자격증 필기 기출문제



조주기능사 필기 기출문제(해설) 및 CBT 2008년10월05일(5회)

최강 자격증 기출문제 전자문제집 CBT : www.comcbt.com


전자문제집 CBT란?
종이 문제집이 아닌 인터넷으로 문제를 풀고 자동으로 채점하며 모의고사, 오답 노트, 해설까지 제공하는
무료 기출문제 학습 프로그램으로 실제 상설검정에서 사용하는 OMR 형식의 CBT를 제공합니다.

최신 조주기능사 필기 기출문제 : [다운로드]


1과목 : 주류학개론


1. Ginger ale에 대한 설명 중 틀린 것은?
     1. 생강의 향을 함유한 소다수이다.
     2. 알코올 성분이 포함된 영양음료이다.
     3. 식욕증진이나 소화제로 효과가 있다.
     4. Gin이나 Brandy와 조주하여 마시기도 한다.

     정답 : []
     정답률 : 79%

2. Gin Fizz의 특징이 아닌 것은?
     1. 하이볼 글라스를 사용한다.
     2. 기법으로 Shaking과 Building를 병행한다.
     3. 설탕의 신맛과 설탕의 단맛이 난다.
     4. 칵테일 오니언으로 장식한다.

     정답 : []
     정답률 : 71%

3. 「단맛」이라는 의미의 프랑스어는?
     1. Tlocken
     2. Blanc
     3. Cru
     4. Doux

     정답 : []
     정답률 : 76%

4. White Russian의 재료는?
     1. Vodka
     2. Dry gin
     3. Old Tom Gin
     4. Cacao

     정답 : []
     정답률 : 78%

5. 커피의 맛과 향을 결정하는 중요 가공요소가 아닌 것은?
     1. Roasting
     2. Blending
     3. Grinding
     4. Maturating

     정답 : []
     정답률 : 70%

6. 다음 중 흑맥주가 아닌 것은?
     1. Irish Stout Beer
     2. Porter Beer
     3. Dortmunt Beer
     4. Munehen Beer

     정답 : []
     정답률 : 30%

7. 용어의 설명이 틀린 것은?
     1. Clos : 최상급의 원산지 관리 증명 와인
     2. Vintage : 원료 포도의 수확 년도
     3. Fortified Wine : 브랜디를 첨가하여 알코올 농도를 강화한 와인
     4. Riserva : 최저 숙성기간을 초과한 이태리 와인

     정답 : []
     정답률 : 41%
     <문제 해설>
Clos
(1) 불어로 “부르고뉴(Bourgogne) 지방의 담으로 둘러싸인 포도밭(원)”을 뜻한다.
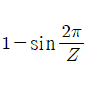
(2) 와인용어로 “담장이 있는 포도원(Enclosed Field, Enclosed Vineyard)”을 가리키는 불어이다.
[해설작성자 : 합격하고싶오용..]

8. Stinger의 주재료와 부재료로 짝지어진 것은?
     1. Brandy, Mint
     2. Gin, Vermouth
     3. Brandy, Cacao
     4. Whisky, Cream

     정답 : []
     정답률 : 48%

9. 다음 중 Fortified Wine이 아닌 것은?
     1. Sherry Wine
     2. Vermouth
     3. Port Wine
     4. Blush Wine

     정답 : []
     정답률 : 42%

10. Terroir의 의미는?
     1. 포도재배에 있어서 영향을 미치는 자연적인 환경요소
     2. 영양분이 풍부한 땅
     3. 와인을 저장할 때 영향을 미치는 온도, 습도, 시간의 변화
     4. 물이 잘 빠지는 토양

     정답 : []
     정답률 : 78%

11. 두송자를 첨가하여 풍미를 나게 하는 술은?
     1. Gin
     2. Rum
     3. Vodka
     4. Tequila

     정답 : []
     정답률 : 72%

12. 장식으로 과일의 껍질만 사용하는 칵테일은?
     1. Moscow Mule
     2. New York
     3. Bronx
     4. Gin Buck

     정답 : []
     정답률 : 55%

13. 와인의 등급을 「AOC, VDQS, Vins De Pays, Vins De Table」로 구분하는 나라는?
     1. 이탈리아
     2. 스페인
     3. 독일
     4. 프랑스

     정답 : []
     정답률 : 80%

14. 민속주 도량형 중 「되」에 대한 설명으로 틀린 것은?
     1. 곡식이나 액체, 가루 등의 분량을 재는 것이다.
     2. 보통 정육면체 또는 직육면체로서 나무나 쇠로 만든다.
     3. 분량(1되)을 부피의 기준으로 하여 2분의 1을 1홉 이라고 한다.
     4. 1되는 약 1.8리터 정도 이다.

     정답 : []
     정답률 : 66%

15. 칵테일의 제조방법이 잘못된 것은?
     1. Gibson에 사용되는 Onion은 완성된 칵테일에 잠기게 한다.
     2. Pink Lady에 사용되는 Nutmeg 가루는 다른 재료와 함께 Shaking 한다.
     3. Bloody Mary에 사용되는 Pepper는 다른 재료와 함께 Shaking 한다.
     4. Angel's kiss에 사용되는 Red Cherry는 완성된 칵테일 잔 위에 올려놓는다.

     정답 : []
     정답률 : 61%

16. Building 기법으로 만든 칵테일이 아닌 것은?
     1. Rob Roy
     2. Negroni
     3. Old Fashioned
     4. Kir Royal

     정답 : []
     정답률 : 47%

17. Straight Wisdy에 대한 설명으로 틀린 것은?
     1. 스코틀랜드에서 생산되는 위스키이다.
     2. 버번 위스키, 콘 위스키 등이 이에 속한다.
     3. 원료곡물 중 한 가지를 51% 이상 사용해야 한다.
     4. 오크통에서 2년 이상 숙성시켜야 한다.

     정답 : []
     정답률 : 52%

18. Malt Whisky를 바르게 설명한 것은?
     1. 대량의 양조주를 연속식으로 증류해서 만든 위스키
     2. 단식 증류기를 사용하여 2회의 증류과정을 거쳐 만든 위스키
     3. 이탄으로 건조한 맥아의 당액을 발효해서 증류한 스코틀랜드의 위스키
     4. 옥수수를 원료로 대맥의 맥아를 사용하여 당화시켜 개량 솥으로 증류한 위스키

     정답 : []
     정답률 : 34%

19. Hop에 대한 설명 중 틀린 것은?
     1. 자웅이주의 숙근식 물로서 수정이 안된 암꽃을 사용한다.
     2. 맥주의 쓴맛과 향을 부여한다.
     3. 거품의 지속성과 향균성을 부여한다.
     4. 맥아즙 속의 당분을 분해하여 알코올과 탄산가스를 만드는 작용을 한다.

     정답 : []
     정답률 : 54%

20. 양주병에 80 proof 라고 표기되어 있는 것은 알코올 도수 얼마에 해당하는가?
     1. 80%
     2. 40%
     3. 20%
     4. 10%

     정답 : []
     정답률 : 94%

21. Grappa에 대한 설명으로 옳은 것은?
     1. 포도주를 만들고 난 포도의 찌꺼기를 원료로 만든 술
     2. 노르망디의 칼바도스에서 생산되는 사과 브랜디.
     3. 과일과 작은 열매를 증류해서 만든 증류주
     4. 북유럽 스칸디나비아 지방의 특산주

     정답 : []
     정답률 : 82%

22. 1Quart는 몇 Ounce인가?
     1. 1oz
     2. 16oz
     3. 32oz
     4. 38.4oz

     정답 : []
     정답률 : 62%

23. Mixing glass를 사용하여 Stir 기법으로 만드는 것은?
     1. Stirrup cup
     2. Gin Fizz
     3. Martini
     4. Singapore Sling

     정답 : []
     정답률 : 58%

24. 다음 중 혼성주에 해당하는 것은?
     1. Armagnac
     2. Corn Whisky
     3. Cointreau
     4. Jamaican Rum

     정답 : []
     정답률 : 62%

25. 프랑스 와인제조에 대한 설명 중 틀린 것은?
     1. 프로방스에서는 주로 로제와인을 많이 생산한다.
     2. 포도당이 에틸알코올과 탄산가스로 변한다.
     3. 포도 발효 상태에서 브랜디를 첨가한다.
     4. 포도 껍질에 있는 천연효모의 작용으로 발효가 된다.

     정답 : []
     정답률 : 61%

26. 다음 주류 중 Bitter가 아닌 것은?
     1. Campari
     2. Undernerg
     3. Jagermeiste
     4. Kirsch

     정답 : []
     정답률 : 25%

27. Mint Frappe에 사용하는 얼음은?
     1. Shaved ice
     2. Cubed ice
     3. Cracked ice
     4. Lumped ice

     정답 : []
     정답률 : 57%

28. 단식증류기의 일반적인 특징이 아닌 것은?
     1. 원료 고유의 향을 잘 얻을 수 있다.
     2. 고급 증류주의 제조에 이용한다.
     3. 적은 양을 빠른 시간에 증류하여 시간이 적게 걸린다.
     4. 증류시 알코올 도수를 80도 이하로 낮게 증류한다.

     정답 : []
     정답률 : 63%

29. Creme De Cacao를 사용하는 칵테일이 아닌 것은?
     1. Cacao Fizz
     2. Mai-Tai
     3. Alexander
     4. Grasshopper

     정답 : []
     정답률 : 45%

30. 오렌지 껍질을 이용하여 만든 리큐르는?
     1. Grand Marnier
     2. Benedictine D.O.M
     3. Kahlua
     4. Sloe Gin

     정답 : []
     정답률 : 64%

2과목 : 주장관리개론


31. 저장관리방법 중 FIFO란?
     1. 임의불출
     2. 매입순출
     3. 가격순출
     4. 선입선출

     정답 : []
     정답률 : 86%

32. 와인의 testing 방법으로 옳은 것은?
     1. 와인을 오픈한 후 공기와 접촉되는 시간을 최소화하여 바로 따른 후 마신다.
     2. 와인에 얼음을 넣어 냉각시킨 후 마신다.
     3. 와인 잔을 흔든 뒤 아로마나 부케의 향을 맡는다.
     4. 검은 종이를 테이블에 깔아 투명도 및 색을 확인한다.

     정답 : []
     정답률 : 84%

33. 주장 원가의 3요소는?
     1. 인건비, 재료비, 주장경비
     2. 재료비, 주장경비, 세금
     3. 인건비, 봉사료, 주장경비
     4. 주장경비, 세금, 재료비

     정답 : []
     정답률 : 89%

34. Bock beer는 어떤 종류의 술인가?
     1. 알코올도수가 높은 흑맥주
     2. 알코올도수가 낮은 담색 맥주
     3. 이탈리아산 고급 흑맥주
     4. 제조 12시간 내의 생맥주

     정답 : []
     정답률 : 67%

35. Wine Master의 의미로 가장 적합한 것은?
     1. 와인의 제조 및 저장관리를 책임지는 사람
     2. 포도나무를 가꾸고, 재배하는 사람
     3. 와인을 판매 및 관리하는 사람
     4. 와인을 구매하는 사람

     정답 : []
     정답률 : 64%

36. 칵테일을 만드는데 필요한 기구는?
     1. Tumbler
     2. Squeezer
     3. Coaster
     4. Service plate

     정답 : []
     정답률 : 73%

37. Bar에서 Happy Hour란?
     1. 바텐더들의 휴식 시간
     2. 손님이 많아 판매액이 늘어나는 시간
     3. 가격 할인 판매 서비스 시간
     4. 영업 마감 시간

     정답 : []
     정답률 : 92%

38. Key Box나 Bottle Member 제도의 설명으로 틀린 것은?
     1. 자기 술병을 가지고 있으므로 음료의 판매회전이 저조하다.
     2. 고정고객을 확보할 수 있다.
     3. 선불이기 때문에 회수가 정확하며 자금운영이 원활하다.
     4. 고객 서비스가 증진된다.

     정답 : []
     정답률 : 69%

39. 샴페인과 같은 포말성 와인의 일반적인 서빙 방법은?
     1. 6~8℃로 냉각시켜 서빙한다.
     2. 12~15℃로 냉각시켜 서빙한다.
     3. 16~18℃ 칠링시켜 서빙한다.
     4. 20~22℃ 정도의 사온으로 서빙한다.

     정답 : []
     정답률 : 46%

40. 주장지배인(Bar Manager)의 주업무가 아닌 것은?
     1. 영업 및 서비스에 관한 지휘 통제권을 갖는다.
     2. 직원의 근무시간표를 작성한다.
     3. 직원들의 교육 훈련을 담당한다.
     4. 인벤토리(Inventory)를 세부적으로 관리한다.

     정답 : []
     정답률 : 64%

41. 음료를 서빙할 때에 일반적으로 사용하는 비품이 아닌 것은?
     1. Napkin
     2. Coaster
     3. Serving Tray
     4. Bar Spoon

     정답 : []
     정답률 : 87%

42. 서비스의 방법으로 적합하지 않은 것은?
     1. 주문된 음료를 신속 . 정확하게 서비스 한다.
     2. 주문은 연장자의 주문을 먼저 받은 다음 여성 손님 순으로 주문을 받는다.
     3. 손님과의 대화중에 다른 손님의 주문이 있을 때는 대화중인 손님의 양해를 구한 후 다른 손님의 주문에 응한다.
     4. 바 카운터는 항상 정리, 정돈하여 청결을 유지한다.

     정답 : []
     정답률 : 81%

43. 설탕, 계란 등을 이용하는 칵테일에 필요한 기구는?
     1. Mixing glass
     2. Strainer
     3. Squeezer
     4. Shaker

     정답 : []
     정답률 : 79%

44. 음료 취급 방법이 잘못된 것은?
     1. 맥주와 맥주글라스는 차갑게 보관된 것을 서브한다.
     2. 글라스는 1/3 하단 부분을 손끝으로 가볍게 쥐어 서브한다.
     3. 와인을 따를 때 글라스에 와인병이 닿아야 한다.
     4. 와인을 따를 때 테이블에 와인 방울이 떨어지지 않도록 한다.

     정답 : []
     정답률 : 80%

45. 다음 중 Fizz류의 칵테일 조주시 사용되는 것은?
     1. Shaker
     2. mixing glass
     3. Pitcher
     4. stirring rod

     정답 : []
     정답률 : 32%

46. Angel's Kiss의 제조 기법은?
     1. Shaker
     2. Stirring
     3. Building
     4. Floating

     정답 : []
     정답률 : 31%

47. 주장에 대한 설명으로 틀린 것은?
     1. 음료를 중심으로 판매 가능한 시설을 갖춘 장소이다.
     2. Bartender에 의해 고객에게 음료를 판매하거나 제공하는 장소이다.
     3. 인적 . 물적 서비스를 상품으로 판매한다.
     4. BAR는 영국의 “Bartender"라는 단어에서 유래되었다.

     정답 : []
     정답률 : 62%

48. 맥주의 관리방법으로 잘못된 것은?
     1. 맥주는 5~10℃의 냉장온도에서 보관하여야 한다.
     2. 장시간 보관, 숙성시켜서 먹는 것이 좋다.
     3. 병을 굴리거나 뒤집지 않는다.
     4. 직사광선을 피해 그늘지고 어두운 곳에 보관하여야 한다.

     정답 : []
     정답률 : 90%

49. 구매부서의 기능이 아닌 것은?
     1. 검수
     2. 저장
     3. 불출
     4. 판매

     정답 : []
     정답률 : 73%

50. measure cup 에 대한 설명 중 틀린 것은?
     1. 각종 주류의 용량을 측정한다.
     2. 위 부분은 1oz(30㎖)이다.
     3. 아랫부분은 1.5oz(45㎖)이다.
     4. 병마개를 감쌀 때 쓰일 수 있다.

     정답 : []
     정답률 : 86%

51. 아래는 어떤 용어에 대한 설명인가?

    

     1. Pantry
     2. Cloakroom
     3. Reception Desk
     4. Hospitality room

     정답 : []
     정답률 : 48%
     <문제 해설>
번역 : 일부 식당의 식품이나 식품 관련 장비를 보관하는 작은 공간 또는 방.
1 - Pantry(팬트리)
2 - Cloakroom(외투실) -> 고객의 외투를 보관하는 곳
3 - Reception Desk(리셉션 데스크)
            -> 일반적으로 고급 레스토랑의 입구에 놓여 있는 단이 높은 책상으로서 주로 접객수장이나 리셉셔니스트가 고객의 예약을 받거나 식당에 오는 예약손님의 안내를 위해서 예약장부, 전화기, 고객명부 등을 비치하여 놓고 사용하고 있다.
4 - Hospitality room(호스피탤리티 룸)
            -> 호스피탤리티 룸은 총지배인이나 객실담당 지배인의 허락하에 단체의 수하물을 임시 보관한다든지 일반고객이 의상을 잠시 동안 갈아 입는 등의 목적으로 제공되는 객실이며, 객실요금은 징수하지 않는다.
[해설작성자 : 테오]

52. 아래의 대화에서 ( )안에 알맞은 단어로 짝지어진 것은?

    

     1. for, feel
     2. to, have
     3. in, know
     4. of, give

     정답 : []
     정답률 : 59%

53. "이것으로 주세요.” 또는“이것으로 할게요.”라는 의미의 표현으로 가장 적합한 것은?
     1. I'll have this one.
     2. Give me one more.
     3. I would like to drink something.
     4. I already had one.

     정답 : []
     정답률 : 86%

54. Which is the correct one as a base of Port Sangaree in the following?
     1. Rum
     2. vodka
     3. Gin
     4. Wine

     정답 : []
     정답률 : 60%

55. 아래의 설명에 해당하는 음료는?

    

     1. Kummel
     2. Sloe Gin
     3. Maraschino
     4. Jagermeister

     정답 : []
     정답률 : 42%

56. ( )안에 가장 적합한 것은?

    

     1. some
     2. many
     3. to
     4. only

     정답 : []
     정답률 : 86%

57. "무료로 더 드리겠습니다.” 또는 “이것은 무료입니다”의 표현으로 적합하지 않은 것은?
     1. I'll make you another on the house.
     2. This is on the house.
     3. This one is complimentary.
     4. This is already paid.

     정답 : []
     정답률 : 50%
     <문제 해설>
1. I'll make you another on the house. 다음 잔은 서비스로 드리겠습니다.
2. This is on the house. 이건 서비스입니다.
3. This one is complimentary. 이 잔은 무료입니다.
4. This is already paid. 이미 지불하셨습니다. (결제 됐습니다)
[해설작성자 : min]

58. Which is a hot drink in the following?
     1. White Lady
     2. Irish Coffee
     3. Frozen Daiquiri
     4. Tequila Sunrise

     정답 : []
     정답률 : 83%

59. 아래 밑줄 친 ( )에 적합한 문장은?

    

     1. What kind of drinks do you have?
     2. What kind of wines do you have?
     3. What kind of beers do you have?
     4. What kind of sauces do you have?

     정답 : []
     정답률 : 86%

60. 아래는 무엇에 대한 설명인가?

    

     1. Wine
     2. Beer
     3. Spirit
     4. Whiskey

     정답 : []
     정답률 : 71%


정 답 지

조주기능사 필기 기출문제(해설) 및 CBT 2008년10월05일(5회)

최강 자격증 기출문제 전자문제집 CBT : www.comcbt.com


전자문제집 CBT란?
종이 문제집이 아닌 인터넷으로 문제를 풀고 자동으로 채점하며 모의고사, 오답 노트, 해설까지 제공하는
무료 기출문제 학습 프로그램으로 실제 상설검정에서 사용하는 OMR 형식의 CBT를 제공합니다.

최신 조주기능사 필기 기출문제 : [다운로드]


1과목 : 주류학개론


1. Ginger ale에 대한 설명 중 틀린 것은?
     1. 생강의 향을 함유한 소다수이다.
     2. 알코올 성분이 포함된 영양음료이다.
     3. 식욕증진이나 소화제로 효과가 있다.
     4. Gin이나 Brandy와 조주하여 마시기도 한다.

     정답 : []
     정답률 : 79%

2. Gin Fizz의 특징이 아닌 것은?
     1. 하이볼 글라스를 사용한다.
     2. 기법으로 Shaking과 Building를 병행한다.
     3. 설탕의 신맛과 설탕의 단맛이 난다.
     4. 칵테일 오니언으로 장식한다.

     정답 : []
     정답률 : 71%

3. 「단맛」이라는 의미의 프랑스어는?
     1. Tlocken
     2. Blanc
     3. Cru
     4. Doux

     정답 : []
     정답률 : 76%

4. White Russian의 재료는?
     1. Vodka
     2. Dry gin
     3. Old Tom Gin
     4. Cacao

     정답 : []
     정답률 : 78%

5. 커피의 맛과 향을 결정하는 중요 가공요소가 아닌 것은?
     1. Roasting
     2. Blending
     3. Grinding
     4. Maturating

     정답 : []
     정답률 : 70%

6. 다음 중 흑맥주가 아닌 것은?
     1. Irish Stout Beer
     2. Porter Beer
     3. Dortmunt Beer
     4. Munehen Beer

     정답 : []
     정답률 : 30%

7. 용어의 설명이 틀린 것은?
     1. Clos : 최상급의 원산지 관리 증명 와인
     2. Vintage : 원료 포도의 수확 년도
     3. Fortified Wine : 브랜디를 첨가하여 알코올 농도를 강화한 와인
     4. Riserva : 최저 숙성기간을 초과한 이태리 와인

     정답 : []
     정답률 : 41%
     <문제 해설>
Clos
(1) 불어로 “부르고뉴(Bourgogne) 지방의 담으로 둘러싸인 포도밭(원)”을 뜻한다.
(2) 와인용어로 “담장이 있는 포도원(Enclosed Field, Enclosed Vineyard)”을 가리키는 불어이다.
[해설작성자 : 합격하고싶오용..]

8. Stinger의 주재료와 부재료로 짝지어진 것은?
     1. Brandy, Mint
     2. Gin, Vermouth
     3. Brandy, Cacao
     4. Whisky, Cream

     정답 : []
     정답률 : 48%

9. 다음 중 Fortified Wine이 아닌 것은?
     1. Sherry Wine
     2. Vermouth
     3. Port Wine
     4. Blush Wine

     정답 : []
     정답률 : 42%

10. Terroir의 의미는?
     1. 포도재배에 있어서 영향을 미치는 자연적인 환경요소
     2. 영양분이 풍부한 땅
     3. 와인을 저장할 때 영향을 미치는 온도, 습도, 시간의 변화
     4. 물이 잘 빠지는 토양

     정답 : []
     정답률 : 78%

11. 두송자를 첨가하여 풍미를 나게 하는 술은?
     1. Gin
     2. Rum
     3. Vodka
     4. Tequila

     정답 : []
     정답률 : 72%

12. 장식으로 과일의 껍질만 사용하는 칵테일은?
     1. Moscow Mule
     2. New York
     3. Bronx
     4. Gin Buck

     정답 : []
     정답률 : 55%

13. 와인의 등급을 「AOC, VDQS, Vins De Pays, Vins De Table」로 구분하는 나라는?
     1. 이탈리아
     2. 스페인
     3. 독일
     4. 프랑스

     정답 : []
     정답률 : 80%

14. 민속주 도량형 중 「되」에 대한 설명으로 틀린 것은?
     1. 곡식이나 액체, 가루 등의 분량을 재는 것이다.
     2. 보통 정육면체 또는 직육면체로서 나무나 쇠로 만든다.
     3. 분량(1되)을 부피의 기준으로 하여 2분의 1을 1홉 이라고 한다.
     4. 1되는 약 1.8리터 정도 이다.

     정답 : []
     정답률 : 66%

15. 칵테일의 제조방법이 잘못된 것은?
     1. Gibson에 사용되는 Onion은 완성된 칵테일에 잠기게 한다.
     2. Pink Lady에 사용되는 Nutmeg 가루는 다른 재료와 함께 Shaking 한다.
     3. Bloody Mary에 사용되는 Pepper는 다른 재료와 함께 Shaking 한다.
     4. Angel's kiss에 사용되는 Red Cherry는 완성된 칵테일 잔 위에 올려놓는다.

     정답 : []
     정답률 : 61%

16. Building 기법으로 만든 칵테일이 아닌 것은?
     1. Rob Roy
     2. Negroni
     3. Old Fashioned
     4. Kir Royal

     정답 : []
     정답률 : 47%

17. Straight Wisdy에 대한 설명으로 틀린 것은?
     1. 스코틀랜드에서 생산되는 위스키이다.
     2. 버번 위스키, 콘 위스키 등이 이에 속한다.
     3. 원료곡물 중 한 가지를 51% 이상 사용해야 한다.
     4. 오크통에서 2년 이상 숙성시켜야 한다.

     정답 : []
     정답률 : 52%

18. Malt Whisky를 바르게 설명한 것은?
     1. 대량의 양조주를 연속식으로 증류해서 만든 위스키
     2. 단식 증류기를 사용하여 2회의 증류과정을 거쳐 만든 위스키
     3. 이탄으로 건조한 맥아의 당액을 발효해서 증류한 스코틀랜드의 위스키
     4. 옥수수를 원료로 대맥의 맥아를 사용하여 당화시켜 개량 솥으로 증류한 위스키

     정답 : []
     정답률 : 34%

19. Hop에 대한 설명 중 틀린 것은?
     1. 자웅이주의 숙근식 물로서 수정이 안된 암꽃을 사용한다.
     2. 맥주의 쓴맛과 향을 부여한다.
     3. 거품의 지속성과 향균성을 부여한다.
     4. 맥아즙 속의 당분을 분해하여 알코올과 탄산가스를 만드는 작용을 한다.

     정답 : []
     정답률 : 54%

20. 양주병에 80 proof 라고 표기되어 있는 것은 알코올 도수 얼마에 해당하는가?
     1. 80%
     2. 40%
     3. 20%
     4. 10%

     정답 : []
     정답률 : 94%

21. Grappa에 대한 설명으로 옳은 것은?
     1. 포도주를 만들고 난 포도의 찌꺼기를 원료로 만든 술
     2. 노르망디의 칼바도스에서 생산되는 사과 브랜디.
     3. 과일과 작은 열매를 증류해서 만든 증류주
     4. 북유럽 스칸디나비아 지방의 특산주

     정답 : []
     정답률 : 82%

22. 1Quart는 몇 Ounce인가?
     1. 1oz
     2. 16oz
     3. 32oz
     4. 38.4oz

     정답 : []
     정답률 : 62%

23. Mixing glass를 사용하여 Stir 기법으로 만드는 것은?
     1. Stirrup cup
     2. Gin Fizz
     3. Martini
     4. Singapore Sling

     정답 : []
     정답률 : 58%

24. 다음 중 혼성주에 해당하는 것은?
     1. Armagnac
     2. Corn Whisky
     3. Cointreau
     4. Jamaican Rum

     정답 : []
     정답률 : 62%

25. 프랑스 와인제조에 대한 설명 중 틀린 것은?
     1. 프로방스에서는 주로 로제와인을 많이 생산한다.
     2. 포도당이 에틸알코올과 탄산가스로 변한다.
     3. 포도 발효 상태에서 브랜디를 첨가한다.
     4. 포도 껍질에 있는 천연효모의 작용으로 발효가 된다.

     정답 : []
     정답률 : 61%

26. 다음 주류 중 Bitter가 아닌 것은?
     1. Campari
     2. Undernerg
     3. Jagermeiste
     4. Kirsch

     정답 : []
     정답률 : 25%

27. Mint Frappe에 사용하는 얼음은?
     1. Shaved ice
     2. Cubed ice
     3. Cracked ice
     4. Lumped ice

     정답 : []
     정답률 : 57%

28. 단식증류기의 일반적인 특징이 아닌 것은?
     1. 원료 고유의 향을 잘 얻을 수 있다.
     2. 고급 증류주의 제조에 이용한다.
     3. 적은 양을 빠른 시간에 증류하여 시간이 적게 걸린다.
     4. 증류시 알코올 도수를 80도 이하로 낮게 증류한다.

     정답 : []
     정답률 : 63%

29. Creme De Cacao를 사용하는 칵테일이 아닌 것은?
     1. Cacao Fizz
     2. Mai-Tai
     3. Alexander
     4. Grasshopper

     정답 : []
     정답률 : 45%

30. 오렌지 껍질을 이용하여 만든 리큐르는?
     1. Grand Marnier
     2. Benedictine D.O.M
     3. Kahlua
     4. Sloe Gin

     정답 : []
     정답률 : 64%

2과목 : 주장관리개론


31. 저장관리방법 중 FIFO란?
     1. 임의불출
     2. 매입순출
     3. 가격순출
     4. 선입선출

     정답 : []
     정답률 : 86%

32. 와인의 testing 방법으로 옳은 것은?
     1. 와인을 오픈한 후 공기와 접촉되는 시간을 최소화하여 바로 따른 후 마신다.
     2. 와인에 얼음을 넣어 냉각시킨 후 마신다.
     3. 와인 잔을 흔든 뒤 아로마나 부케의 향을 맡는다.
     4. 검은 종이를 테이블에 깔아 투명도 및 색을 확인한다.

     정답 : []
     정답률 : 84%

33. 주장 원가의 3요소는?
     1. 인건비, 재료비, 주장경비
     2. 재료비, 주장경비, 세금
     3. 인건비, 봉사료, 주장경비
     4. 주장경비, 세금, 재료비

     정답 : []
     정답률 : 89%

34. Bock beer는 어떤 종류의 술인가?
     1. 알코올도수가 높은 흑맥주
     2. 알코올도수가 낮은 담색 맥주
     3. 이탈리아산 고급 흑맥주
     4. 제조 12시간 내의 생맥주

     정답 : []
     정답률 : 67%

35. Wine Master의 의미로 가장 적합한 것은?
     1. 와인의 제조 및 저장관리를 책임지는 사람
     2. 포도나무를 가꾸고, 재배하는 사람
     3. 와인을 판매 및 관리하는 사람
     4. 와인을 구매하는 사람

     정답 : []
     정답률 : 64%

36. 칵테일을 만드는데 필요한 기구는?
     1. Tumbler
     2. Squeezer
     3. Coaster
     4. Service plate

     정답 : []
     정답률 : 73%

37. Bar에서 Happy Hour란?
     1. 바텐더들의 휴식 시간
     2. 손님이 많아 판매액이 늘어나는 시간
     3. 가격 할인 판매 서비스 시간
     4. 영업 마감 시간

     정답 : []
     정답률 : 92%

38. Key Box나 Bottle Member 제도의 설명으로 틀린 것은?
     1. 자기 술병을 가지고 있으므로 음료의 판매회전이 저조하다.
     2. 고정고객을 확보할 수 있다.
     3. 선불이기 때문에 회수가 정확하며 자금운영이 원활하다.
     4. 고객 서비스가 증진된다.

     정답 : []
     정답률 : 69%

39. 샴페인과 같은 포말성 와인의 일반적인 서빙 방법은?
     1. 6~8℃로 냉각시켜 서빙한다.
     2. 12~15℃로 냉각시켜 서빙한다.
     3. 16~18℃ 칠링시켜 서빙한다.
     4. 20~22℃ 정도의 사온으로 서빙한다.

     정답 : []
     정답률 : 46%

40. 주장지배인(Bar Manager)의 주업무가 아닌 것은?
     1. 영업 및 서비스에 관한 지휘 통제권을 갖는다.
     2. 직원의 근무시간표를 작성한다.
     3. 직원들의 교육 훈련을 담당한다.
     4. 인벤토리(Inventory)를 세부적으로 관리한다.

     정답 : []
     정답률 : 64%

41. 음료를 서빙할 때에 일반적으로 사용하는 비품이 아닌 것은?
     1. Napkin
     2. Coaster
     3. Serving Tray
     4. Bar Spoon

     정답 : []
     정답률 : 87%

42. 서비스의 방법으로 적합하지 않은 것은?
     1. 주문된 음료를 신속 . 정확하게 서비스 한다.
     2. 주문은 연장자의 주문을 먼저 받은 다음 여성 손님 순으로 주문을 받는다.
     3. 손님과의 대화중에 다른 손님의 주문이 있을 때는 대화중인 손님의 양해를 구한 후 다른 손님의 주문에 응한다.
     4. 바 카운터는 항상 정리, 정돈하여 청결을 유지한다.

     정답 : []
     정답률 : 81%

43. 설탕, 계란 등을 이용하는 칵테일에 필요한 기구는?
     1. Mixing glass
     2. Strainer
     3. Squeezer
     4. Shaker

     정답 : []
     정답률 : 79%

44. 음료 취급 방법이 잘못된 것은?
     1. 맥주와 맥주글라스는 차갑게 보관된 것을 서브한다.
     2. 글라스는 1/3 하단 부분을 손끝으로 가볍게 쥐어 서브한다.
     3. 와인을 따를 때 글라스에 와인병이 닿아야 한다.
     4. 와인을 따를 때 테이블에 와인 방울이 떨어지지 않도록 한다.

     정답 : []
     정답률 : 80%

45. 다음 중 Fizz류의 칵테일 조주시 사용되는 것은?
     1. Shaker
     2. mixing glass
     3. Pitcher
     4. stirring rod

     정답 : []
     정답률 : 32%

46. Angel's Kiss의 제조 기법은?
     1. Shaker
     2. Stirring
     3. Building
     4. Floating

     정답 : []
     정답률 : 31%

47. 주장에 대한 설명으로 틀린 것은?
     1. 음료를 중심으로 판매 가능한 시설을 갖춘 장소이다.
     2. Bartender에 의해 고객에게 음료를 판매하거나 제공하는 장소이다.
     3. 인적 . 물적 서비스를 상품으로 판매한다.
     4. BAR는 영국의 “Bartender"라는 단어에서 유래되었다.

     정답 : []
     정답률 : 62%

48. 맥주의 관리방법으로 잘못된 것은?
     1. 맥주는 5~10℃의 냉장온도에서 보관하여야 한다.
     2. 장시간 보관, 숙성시켜서 먹는 것이 좋다.
     3. 병을 굴리거나 뒤집지 않는다.
     4. 직사광선을 피해 그늘지고 어두운 곳에 보관하여야 한다.

     정답 : []
     정답률 : 90%

49. 구매부서의 기능이 아닌 것은?
     1. 검수
     2. 저장
     3. 불출
     4. 판매

     정답 : []
     정답률 : 73%

50. measure cup 에 대한 설명 중 틀린 것은?
     1. 각종 주류의 용량을 측정한다.
     2. 위 부분은 1oz(30㎖)이다.
     3. 아랫부분은 1.5oz(45㎖)이다.
     4. 병마개를 감쌀 때 쓰일 수 있다.

     정답 : []
     정답률 : 86%

51. 아래는 어떤 용어에 대한 설명인가?

    

     1. Pantry
     2. Cloakroom
     3. Reception Desk
     4. Hospitality room

     정답 : []
     정답률 : 48%
     <문제 해설>
번역 : 일부 식당의 식품이나 식품 관련 장비를 보관하는 작은 공간 또는 방.
1 - Pantry(팬트리)
2 - Cloakroom(외투실) -> 고객의 외투를 보관하는 곳
3 - Reception Desk(리셉션 데스크)
            -> 일반적으로 고급 레스토랑의 입구에 놓여 있는 단이 높은 책상으로서 주로 접객수장이나 리셉셔니스트가 고객의 예약을 받거나 식당에 오는 예약손님의 안내를 위해서 예약장부, 전화기, 고객명부 등을 비치하여 놓고 사용하고 있다.
4 - Hospitality room(호스피탤리티 룸)
            -> 호스피탤리티 룸은 총지배인이나 객실담당 지배인의 허락하에 단체의 수하물을 임시 보관한다든지 일반고객이 의상을 잠시 동안 갈아 입는 등의 목적으로 제공되는 객실이며, 객실요금은 징수하지 않는다.
[해설작성자 : 테오]

52. 아래의 대화에서 ( )안에 알맞은 단어로 짝지어진 것은?

    

     1. for, feel
     2. to, have
     3. in, know
     4. of, give

     정답 : []
     정답률 : 59%

53. "이것으로 주세요.” 또는“이것으로 할게요.”라는 의미의 표현으로 가장 적합한 것은?
     1. I'll have this one.
     2. Give me one more.
     3. I would like to drink something.
     4. I already had one.

     정답 : []
     정답률 : 86%

54. Which is the correct one as a base of Port Sangaree in the following?
     1. Rum
     2. vodka
     3. Gin
     4. Wine

     정답 : []
     정답률 : 60%

55. 아래의 설명에 해당하는 음료는?

    

     1. Kummel
     2. Sloe Gin
     3. Maraschino
     4. Jagermeister

     정답 : []
     정답률 : 42%

56. ( )안에 가장 적합한 것은?

    

     1. some
     2. many
     3. to
     4. only

     정답 : []
     정답률 : 86%

57. "무료로 더 드리겠습니다.” 또는 “이것은 무료입니다”의 표현으로 적합하지 않은 것은?
     1. I'll make you another on the house.
     2. This is on the house.
     3. This one is complimentary.
     4. This is already paid.

     정답 : []
     정답률 : 50%
     <문제 해설>
1. I'll make you another on the house. 다음 잔은 서비스로 드리겠습니다.
2. This is on the house. 이건 서비스입니다.
3. This one is complimentary. 이 잔은 무료입니다.
4. This is already paid. 이미 지불하셨습니다. (결제 됐습니다)
[해설작성자 : min]

58. Which is a hot drink in the following?
     1. White Lady
     2. Irish Coffee
     3. Frozen Daiquiri
     4. Tequila Sunrise

     정답 : []
     정답률 : 83%

59. 아래 밑줄 친 ( )에 적합한 문장은?

    

     1. What kind of drinks do you have?
     2. What kind of wines do you have?
     3. What kind of beers do you have?
     4. What kind of sauces do you have?

     정답 : []
     정답률 : 86%

60. 아래는 무엇에 대한 설명인가?

    

     1. Wine
     2. Beer
     3. Spirit
     4. Whiskey

     정답 : []
     정답률 : 71%


정 답 지

1

2

3

4

5

6

7

8

9

10

11

12

13

14

15

16

17

18

19

20

21

22

23

24

25

26

27

28

29

30

31

32

33

34

35

36

37

38

39

40

41

42

43

44

45

46

47

48

49

50

51

52

53

54

55

56

57

58

59

60

조주기능사 필기 기출문제(해설) 및 CBT 2008년10월05일(5회)을 이용해 주셔서 감사합니다.
조주기능사, 조주, 기능사, 필기, 기출문제, 전자문제집, CBT, 온라인, 모의테스트, 모의고사



List of Articles
번호 제목 글쓴이 날짜 조회 수
3431 청소년상담사 3급(2교시)(구) 필기 기출문제(해설) 및 CBT 2014년03월29일 new 좋은아빠되기 2025.11.14 1
3430 9급 국가직 공무원 관세법개론 필기 기출문제(해설) 및 CBT 2021년04월17일 new 좋은아빠되기 2025.11.14 1
3429 농기계운전기능사 필기 기출문제(해설) 및 CBT 2004년07월18일(4회) new 좋은아빠되기 2025.11.14 1
3428 전기공사기사 필기 기출문제(해설) 및 CBT 모의고사(2025년 11월 14일)(4535320) new 좋은아빠되기 2025.11.14 1
3427 9급 국가직 공무원 관세법개론 필기 기출문제(해설) 및 CBT 2011년04월09일 new 좋은아빠되기 2025.11.14 1
3426 잠수산업기사 필기 기출문제(해설) 및 CBT 2009년05월10일 new 좋은아빠되기 2025.11.14 1
3425 기계가공기능장 필기 기출문제(해설) 및 CBT 2004년04월04일 new 좋은아빠되기 2025.11.14 1
3424 9급 국가직 공무원 토목설계 필기 기출문제(해설) 및 CBT 2008년04월12일 new 좋은아빠되기 2025.11.14 1
3423 경비지도사 2차(경호학) 필기 기출문제(해설) 및 CBT 2021년11월06일 new 좋은아빠되기 2025.11.14 1
3422 9급 국가직 공무원 행정법총론 필기 기출문제(해설) 및 CBT 2011년04월09일 new 좋은아빠되기 2025.11.14 1
3421 토목산업기사 필기 기출문제(해설) 및 CBT 모의고사(2025년 11월 14일)(8031103) new 좋은아빠되기 2025.11.14 1
3420 위험물기능장 필기 기출문제(해설) 및 CBT 2007년04월01일 new 좋은아빠되기 2025.11.14 1
3419 9급 국가직 공무원 조경학 필기 기출문제(해설) 및 CBT 2025년04월05일 new 좋은아빠되기 2025.11.14 1
3418 9급 국가직 공무원 기계설계 필기 기출문제(해설) 및 CBT 2022년04월02일 new 좋은아빠되기 2025.11.14 1
3417 비서 3급 필기 기출문제(해설) 및 CBT 2019년11월10일 new 좋은아빠되기 2025.11.14 1
3416 컴퓨터그래픽스기능사 필기 기출문제(해설) 및 CBT 2014년10월11일(5회) new 좋은아빠되기 2025.11.14 1
3415 9급 지방직 공무원 간호관리 필기 기출문제(해설) 및 CBT 2016년06월18일 new 좋은아빠되기 2025.11.14 1
» 조주기능사 필기 기출문제(해설) 및 CBT 2008년10월05일(5회) new 좋은아빠되기 2025.11.14 1
3413 9급 국가직 공무원 기계설계 필기 기출문제(해설) 및 CBT 2008년04월12일 new 좋은아빠되기 2025.11.14 1
3412 TAT 1급 필기 기출문제(해설) 및 CBT 2020년02월15일 new 좋은아빠되기 2025.11.14 1
Board Pagination Prev 1 2 3 4 5 6 7 8 9 10 11 ... 178 Next
/ 178