자격증 필기 기출문제



산업안전기사 필기 기출문제(해설) 및 CBT 2005년03월20일

최강 자격증 기출문제 전자문제집 CBT : www.comcbt.com


전자문제집 CBT란?
종이 문제집이 아닌 인터넷으로 문제를 풀고 자동으로 채점하며 모의고사, 오답 노트, 해설까지 제공하는
무료 기출문제 학습 프로그램으로 실제 상설검정에서 사용하는 OMR 형식의 CBT를 제공합니다.

최신 산업안전기사 필기 기출문제 : [다운로드]


1과목 : 안전관리론


1. 인간의 적성과 안전과의 관계를 설명한 것으로 맞는 것은?
     1. 사고를 일으키는 것은 그 작업에 적성이 맞지 않는 사람이 그 일을 수행한 이유이므로, 반드시 적성검사를 실시하여 그 결과에 따라 작업자를 배치하여야 한다.
     2. 인간의 감각기별 반응시간은 시각, 청각, 통각 순으로 빠르므로 비상시 비상등을 먼저 켜야 한다.
     3. 사생활에 중대한 변화가 있는 사람이 사고를 유발할 가능성이 높으므로 그러한 사람들에게는 특별한 배려가 필요하다.
     4. 집단의 심적 태도를 교정하는 것보다 개인의 심적 태도를 교정하는 것이 더 용이하다.

     정답 : []
     정답률 : 59%

2. Bird의 재해분포에 따르면 10건의 경상(물적 또는 인적상해)사고가 발생하였을 때 무상해, 무사고(위험순간)는 몇 건이 발생하는가?
     1. 300
     2. 400
     3. 600
     4. 800

     정답 : []
     정답률 : 75%
     <문제 해설>
● Bird
1. 재해분포
[버드의 1 : 10 : 30 : 600의 원칙]
① 1 : (중상)
② 10 : (물적손실, 경상)
③ 30 : (물적손실, 무상해)
④ 600 : (무상해, 무사고)
[해설작성자 : 1]

3. 안전교육에서 학습경험선정의 원리와 거리가 먼 것은?
     1. 가능성의 원리
     2. 계속성의 원리
     3. 다목적달성의 원리
     4. 동기유발의 원리

     정답 : []
     정답률 : 51%
     <문제 해설>
학습경험 선전원이
1. 동기유발의 원리
2. 기회의 원리
3.가능성의 원리
4. 전이의 원리
5.다목적 달성의 원리

계속성의 원리는 파블로프의 학습이론(자극과 반응이론)
파블로프 학습이론 -> 일관성의 원리 , 계속성의 원리, 시간이 원리, 강도의 원리
[해설작성자 : 안전맨]

4. 안전교육과 관련하여 바르게 설명한 것은?
     1. 교재는 노동부, 산업안전공단 또는 지정교육기관이 작성한 교재를 사용하여야 한다.
     2. 무재해운동 참여업체 중 무재해목표를 1배이상 달성 하고 무재해가 진행중인 업체는 안전교육을 면제한다
     3. 무재해교육은 정기교육시간으로 간주되나, 무재해 행사는 그렇지 않다.
     4. 안전교육의 특성상 통신교육은 허용되지 않는다.

     정답 : []
     정답률 : 36%

5. 위험에 대한 안전을 조사할 때의 사전조사에 해당되지않는 것은?
     1. 적성검사
     2. 재해기록
     3. 작업분석
     4. 안전점검

     정답 : []
     정답률 : 36%

6. 탱크, 보일러 또는 반응탑의 내부 등 산소결핍이 우려되는 장소에서 아르곤, 탄산가스 또는 헬륨을 사용하여 용접작업을 시키려고 한다. 이때 사용되어야 할 보호구는?
     1. 방진마스크
     2. 방독마스크
     3. 송기마스크
     4. 활성마스크

     정답 : []
     정답률 : 80%

7. 다음 중 프로그램 학습법의 단점에 해당되지 않는 것은?
     1. 리더의 지도기술이 요구된다.
     2. 교육 내용이 고정화되어 있다.
     3. 학습에 많은 시간이 걸린다.
     4. 집단사고의 기회가 없다.

     정답 : []
     정답률 : 53%

8. 하인리히 법칙에 따르면 상해 사고가 20건이 발생할 때 무상해 사고는 몇 건이 발생하는가?
     1. 60
     2. 140
     3. 200
     4. 300

     정답 : []
     정답률 : 58%
     <문제 해설>
30:300=20:X
6000=30X
X=200
[해설작성자 : 해설작성자]

9. 교육 실시 원칙상 한번에 하나 하나씩 나누어 확실하게 이해시켜야 하는 단계는?
     1. 도입단계
     2. 제시단계
     3. 적용단계
     4. 확인단계

     정답 : []
     정답률 : 53%

10. 메슬로우의 인간의 욕구중 5번째 단계에 속하는 것은?
     1. 존경
     2. 사회
     3. 자아실현
     4. 안전

     정답 : []
     정답률 : 81%
     <문제 해설>
매슬로우 욕구이론
1. 생리
2. 안전
3. 사회적
4. 존경
5. 자아실현
[해설작성자 : 돈많이벌고싶다]

11. 다음 중 하인리히는 인적사고 중 1:29:300의 법칙을 적용하였다. 여기에서 300의 의미는?
     1. 상해가 없는 경우
     2. 경상
     3. 중상
     4. 부상

     정답 : []
     정답률 : 75%
     <문제 해설>
하인리히
     1     :         29 :            300
중상해 : 경상해 : 무상해사고

버드
     1 :        10 :     30                 :     600
중상 : 상해    : 물적만의사고 : 상해도손해도 없는사고
[해설작성자 : comcbt.com 이용자]

12. 방진마스크의 선정기준에 해당되지 않는 것은?
     1. 배기저항이 낮을 것
     2. 흡기저항이 높을 것
     3. 사용적이 적을 것
     4. 시야가 넓을 것

     정답 : []
     정답률 : 58%
     <문제 해설>
흡기저항이 높으면 들숨쉬기가 너무 힘듬 ㅠㅠ
[해설작성자 : 보라매 오키톡끼]

13. 안전관리의 일상점검 업무 단계를 설명한 것이다. 옳게 연결된 것은?
     1. 실상파악 - 대책결정 - 결함발견 - 대책실시
     2. 결함발견 - 대책결정 - 실상파악 - 대책실시
     3. 실상파악 - 결함발견 - 대책실시 - 대책결정
     4. 실상파악 - 결함발견 - 대책결정 - 대책실시

     정답 : []
     정답률 : 80%

14. 안전교육 계획수립시 고려할 사항이 아닌 것은?
     1. 필요한 정보를 수집한다.
     2. 현장의 의견을 충분히 반영한다.
     3. 정부규정에 의한 교육에 치중한다.
     4. 안전교육 시행체계와의 관련을 고려한다.

     정답 : []
     정답률 : 87%

15. 다음은 물건의 정리를 나타낸 그림이다. 관계 없는 것은?

    

     1. 근접의 요인
     2. 동류의 요인
     3. 폐합의 요인
     4. 연속의 요인

     정답 : []
     정답률 : 57%
     <문제 해설>
게슈탈트법칙(Gestalt Factor)
독일어로 형태나 모양을 의미하는 ‘게슈탈트’를 처음 제시한 독일의 심리학자 막스 베르트하이머(Max Wertheimer)가 1910년 여름 기차 여행을 하는 동안 영감을 얻어 주장하게 되었다고 한다. 그는 기차의 불투명한 벽과 창문 프레임이 부분적으로 자신의 시야를 가리고 있는데도 바깥 경치를 볼 수 있다는 것을 깨닫고 그는 눈이 단순히 모든 영상 자극을 받아들이고 뇌는 이러한 감각을 일관된 이미지로 정리한다고 결론을 내린 것이다.

1. 유사성의 법칙: 사람은 집중하기 위해서 가장 간단하고 안정적인 형태를 선택한다. 이 법칙이 정사각형, 원, 삼각형 등 가장 기본적인 모양의 중요성을 강조하여 유사한 시각 요소들은 연관되어 보인다는 법칙이다. 유사성의 법칙의 예로 색맹검사표를 들 수 있다.

2. 근접성의 법칙:    두뇌는 멀리 떨어져 있는 두 물체보다는 서로 근접해 있는 물체들을 밀접하게 연관시킨다는 내용이다. 가까운 거리에 있는 형태일수록 집단화되는 형상을 말한다.

3. 연속성의 법칙:    뇌는 선의 갑작스럽거나 급격한 움직임의 변화를 좋아하지 않고 가능한 한 선의 부드러운 연속을 추구한다는 법칙이다. 이 선은 그림의 일반적인 선이거나 서너 개의 물체가 모여서 선을 형성하는 것일 수 있으며 진행되는 방향에 따라 자연스럽게 연결되는 형태를 선호한다.

4. 공동 운명의 법칙:    배열이나 성격이 같은 것 끼리 집단화되어 보이는 법칙이다. 보는 사람은 같은 방향의 하늘을 지향하는 다섯 개의 화살이나 모아진 다섯 개의 손가락이 모두 동일한 방향을 가리키므로 정신적으로 같이 분류한다.

5. 폐쇄성: 벌어진 도형을 완결시켜 보이려는 법칙을 말한다. 불완전한 형이나 그룹들을 완전한 형태나 그룹으로 완성시키려는 경향이 있다는 것이다.

그외의 폐합의 원리, 곡선의 원리, 나머지 부제의 원리, 객관적 태도의 원리, 경험의 원리등이 있다.
출처: https://hhh8947.tistory.com/208
[해설작성자 : comcbt.com 이용자]

16. 안전조직 중 안전스탭의 주역할이 아닌 것은?
     1. 안전관리 목표 및 방침안 작성
     2. 정보수집과 주지, 활용
     3. 실시계획의 추진
     4. 기본방침 및 안전시책 시달

     정답 : []
     정답률 : 39%
     <문제 해설>
4. 기본 방침 및 안전시책 시달은 사업주의 책임
[해설작성자 : comcbt.com 이용자]

17. 재해발생원인을 관리적인 측면에서 분류하면 기술적 원인, 교육적 원인, 작업관리상 원인으로 분류할 수 있다. 교육적 원인이 아닌 것은?
     1. 안전지식의 부족
     2. 안전수칙을 잘못 알고 있음
     3. 경험, 훈련 등이 서투름
     4. 작업준비 불충분

     정답 : []
     정답률 : 76%
     <문제 해설>
작업준비 불충분 -> 기술적 원인
[해설작성자 : 가자고오]

18. 다음 중 작업자세와 관련하여 틀린 것은?
     1. 가능한 한 신체를 작업대에 가깝게 유지한다.
     2. 가능하면 의자에 계속 앉아서 일하게 하여 자세의 안정성을 유지하여 안전을 확보하고 품질을 균일하게 한다.
     3. 안정된 지점을 벗어날 정도로 손을 지나치게 뻗지 않는다.
     4. 조립라인이나 기계적인 작업의 작업면은 팔꿈치 높이보다 5-10cm 낮게 설정한다.

     정답 : []
     정답률 : 58%

19. TWI의 교육 내용 중 인간관계 관리방법 즉 부하통솔법을 주로 다루는 것은?
     1. JIT(Job Instruction Training)
     2. JMT(Job Method Training)
     3. JRT(Job Relation Training)
     4. JST(Job Safety Training)

     정답 : []
     정답률 : 63%
     <문제 해설>
1. JIT 작업지도훈련
감독자 및 숙련공이 비기너를 가르치는 과정
2.JMT 작업방법훈련
작업자 스스로 작업이 효율적인지 평가하고 그렇지 않다면 개선점을 체계적으로 평가하고 제안하도록 하는 교육과정
3. JRT 인간관계훈련
직원 간의 존경,협력,신뢰 구축을 통한 리더심 문화를 조성하는 과정으로 인간관계에 관련하여 사람에 대한 존중을 강조하고 사람들과의 문제를 해결하고 예방,팀워크 등을 교육하여 품질/안전 및 비용 절감을 달성하기 위한 훈련
4. JST 작업안전훈련
감독자와 작업자에게 잠재적 위험을 인식하고 제거하기 위한 교육을 제공한다. 잠재적인 문제에 대한 인식을 강화하고 근본 원인을 파악하며 연쇄 작용을 제거하는 것을 배운다.
[해설작성자 : 김온지]

20. 브레인스토밍팀 미팅 기법의 4원칙에 해당되지 않는 것은?
     1. 수정발언
     2. 자유분방
     3. 요점발언
     4. 비판금지

     정답 : []
     정답률 : 73%
     <문제 해설>
3. 요점발언(X) 대량발언(O)
[해설작성자 : 집에서는 공부가 안 돼]

2과목 : 인간공학 및 시스템안전공학


21. 인간 실수의 형태를 크게 작위(Commission)실수와 부작위(Omission)실수로 나눌수 있다. 다음 중 작위(Commission) 실수를 바르게 설명한 것은?
     1. 생략한 형태의 실수
     2. 다른 것으로 착각하여 실행한 실수
     3. 수행해야 할 작업을 수행하지 않는 실수
     4. 불안전한 행동에 의한 실수

     정답 : []
     정답률 : 42%
     <문제 해설>
작위실수 : 직무를 수행하지만 잘못 수행할 때 발생 (선택착오, 순서착오, 시간착오 등)
부작위실수 : 직무의 한 단계 또는 전체직무를 누락시킬 때 발생
[해설작성자 : ㄱㅌ]

22. "작업설계시의 딜레마(dilemma)" 란?
     1. 안전투자와 기업이윤간의 딜레마
     2. 작업능률과 작업만족도간의 딜레마
     3. 작업확대와 작업윤택화간의 딜레마
     4. 생산목표와 생산수단간의 딜레마

     정답 : []
     정답률 : 37%

23. 다음은 초기고장과 마모고장의 고장형태와 그 예방대책에 관한 내용이다. 연결이 잘못된 것은?
     1. 초기고장 - 감소형
     2. 마모고장 - 증가형
     3. 초기고장 - 디버깅
     4. 마모고장 - 스크리닝

     정답 : []
     정답률 : 68%
     <문제 해설>
스크리닝은 고장 발생 초기에 있는 것에 스트레스를 가함으로써 고장을 검출 제거하는 것을 말합니다.
그러므로 스크리닝은 마모고장이 아닌 초기고장의 예방대책입니다

24. 단순반복 작업으로 인하여 발생되는 건강장애 즉 CTDS 의 발생요인이 아닌 것은?
     1. 작업적 과도한 힘의 요구
     2. 부적합한 작업자세
     3. 긴 작업주기
     4. 저온환경

     정답 : []
     정답률 : 32%

25. 작업장의 색은 매우 중요하다. 색을 선택할 때 기본 조건이 아닌 것은?
     1. 자극이 강한색은 피한다.
     2. 밝은 색은 상부에 어두운 색은 하부에 둔다.
     3. 차분하고 밝은색을 선택한다.
     4. 순백색을 선택한다.

     정답 : []
     정답률 : 66%

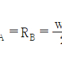
26. 다음 시스템 A의 확률은?

    

     1. 0.64
     2. 0.82
     3. 0.92
     4. 0.97

     정답 : []
     정답률 : 67%
     <문제 해설>
Or 게이트이므로 1-(1-0.7)(1-0.9) = 0.97 이 나온다
[해설작성자 : 귤먹고싶다]

27. 신호검출이론의 적용대상이 아닌 것은?
     1. 성역화
     2. 품질검사
     3. 의학처방
     4. 법정에서의 판정

     정답 : []
     정답률 : 37%

28. 다음 중 진동에 의한 영향이 가장 적은 작업은?
     1. 추적작업
     2. 시각적 인식작업
     3. 형태 식별작업
     4. 수동 제어작업

     정답 : []
     정답률 : 29%

29. 다음 중 시스템안전 위험분석(SSHA)을 수행하기 위한 최초의 작업으로서 구상단계나 설계 및 발주의 극히 초기 에 실시되는 것은?
     1. 예비위험분석(PHA)
     2. 결함위험분석(FHA)
     3. 시스템안전성위험분석(SSHA)
     4. 결함수분석(FTA)

     정답 : []
     정답률 : 83%

30. 우리가 흔히 사용하는 시각적 표시장치와 청각적 표시장치 중 청각적 표시장치를 사용하는 것이 더 좋은 경우는?
     1. 전언이 공간적인 위치를 다룬 경우
     2. 수신자의 청각계통이 과부하 상태일 때
     3. 직무상 수신자가 한 곳에 머무르는 경우
     4. 수신장소가 너무 밝거나 암조응이 요구될 때

     정답 : []
     정답률 : 73%

31. 디버깅(debugging)이란?
     1. 초기 고장기간의 고장원인 도출과정
     2. 우발 고장기간의 고장원인 도출과정
     3. 마모 고장기간의 고장원인 도출과정
     4. 고장원인 도출과는 상관이 없다.

     정답 : []
     정답률 : 70%

32. 인간의 신뢰도가 0.6, 기계의 신뢰도가 0.9이고 인간과 기계가 직렬체제로 작업할 때의 신뢰도는 얼마인가?
     1. 0.43
     2. 0.54
     3. 0.65
     4. 0.76

     정답 : []
     정답률 : 76%

33. 예비위험 분석에서 달성하기 위하여 노력하여야 하는 4가지 주요 사항이 아닌 것은?
     1. 시스템에 관한 주요 사고를 식별하고 개략적인 말로 표시할 것
     2. 사고를 초래하는 요인을 식별할 것
     3. 사고발생 확률을 계산할 것
     4. 식별된 위험을 4가지 범주로 분류할 것

     정답 : []
     정답률 : 34%

34. 작업장의 색채를 설명한 것이으로 틀린 것은?
     1. 지붕은 주위의 환경과 조화를 이루도록 한다.
     2. 벽면은 주위 명도의 2배 이상으로 한다.
     3. 창틀에는 흰빛으로 악센트를 준다.
     4. 바닥의 추천반사율은 40~60%가 좋다.

     정답 : []
     정답률 : 47%
     <문제 해설>
- 바닥의 반사율 (20~40 %)
* 옥내 최적 반사율
천장(80~90%) > 벽(40~60%) > 가구 (25~45%) > 바닥 (20~40 %)
[해설작성자 : comcbt.com 이용자]

35. 인간 기계시스템에서 수동제어 시스템에 속하지 않는 것은?
     1. 연속적 추적제어
     2. 프로그램제어
     3. 계층구조적 제어
     4. 시켄셜제어

     정답 : []
     정답률 : 17%

36. 감각적으로 물리현상을 왜곡하는 지각현상에 해당되는 것은?
     1. 주의산만
     2. 착각
     3. 피로
     4. 부주의

     정답 : []
     정답률 : 59%

37. 위험 및 운전성 검토(HAZOP)의 성패를 좌우하는 중요 요인과 거리가 먼 것은?
     1. 팀의 무재해 운동 추진 실태
     2. 검토에 사용된 도면이나 자료들의 정확성
     3. 팀의 기술능력과 통찰력
     4. 발견된 위험의 심각성을 평가할 때 그 팀의 균형감각을 유지할 수 있는 능력

     정답 : []
     정답률 : 37%
     <문제 해설>
위험 및 운전성 검토의 성패를 좌우하는 요인
1. 팀의 기술능력과 통찰력
2. 사용된 도면, 자료 등의 정확성
3. 발경된 위험의 심각성을 평가할 때 팀의 균형감각 유지 능력
4. 이상(deviation), 원인(Cause), 결과(Consequence) 등을 발견하기 위해 상상력을 동원하는 데 보조수단으로 사용할 수 있는 팀의 능력
[해설작성자 : ㄱㅌ]

38. 반사율이 80%, 글자의 밝기가 400cd/m2인 VDT화면에 314lux의 조명이 있다면 대비는? [단, 대비의 정의는 (배경광-목표광)/배경광을 사용한다.]
     1. -0.6
     2. -1.59
     3. -5.0
     4. -6.0

     정답 : []
     정답률 : 32%
     <문제 해설>
대비 = (휘도-전체휘도)/휘도
휘도 = 반사율 * 조도 / 면적
전체휘도 = 밝기 + 휘도

조도 = 314lx, 밝기 = 400cd/m2
휘도 = 0.80*314/3.14 = 80

대비 = (휘도-전체휘도)/휘도
         = (휘도-(밝기+휘도))/휘도
         = -밝기/휘도
         = -400/80
         =-5.0
[해설작성자 : ㄱㅌ]

39. 공장설비의 안전화를 위하여 레이아웃에 대한 검토를 요하는 사항과 거리가 먼 것은?
     1. 작업의 흐름에 따라 기계설비를 배치시켜 필요없는 운반작업을 극력 배제
     2. 안전한 통로를 설정하고 작업장소와 통로는 명확히 구분
     3. 재료, 제품, 공구들을 놓아둘 곳을 충분히 확보할 것
     4. 필요한 안전장치를 설치할 것

     정답 : []
     정답률 : 22%

40. F.T.A(Fault Tree Analysis)란 무엇인가?
     1. 재해발생을 귀납적, 정성적으로 해석, 예측할 수 있다.
     2. 재해발생을 연역적, 정성적으로 해석, 예측할 수 있다.
     3. 재해발생을 연역적, 정량적으로 해석, 예측할 수 있다.
     4. 재해발생을 귀납적, 정량적으로 해석, 예측할 수 있다.

     정답 : []
     정답률 : 39%

3과목 : 기계위험방지기술


41. 산업용 로봇의 안전방호사항으로 적합한 것은?
     1. 정지된 로봇작업의 가동영역에 출입시 정지상태의 종류를 파악해야 한다.
     2. 로봇작업은 완전자동이므로 안전장치는 필요없다.
     3. 안전플러그는 항상 방책에 고정되어져야 한다.
     4. 비상정지기능이 해제된 후 즉시 자동으로 작업이 복구되어야 한다.

     정답 : []
     정답률 : 56%

42. 다음 중 동력전달장치에서 재해가 가장 많이 발생하는 것은?
     1. 치차(gear)
     2. 벨트(belt)
     3. 축(shaft)
     4. 커플링(coupling)

     정답 : []
     정답률 : 48%

43. 실제용접에서 정격전류 보다 적은전류로 용접하는 경우가 많은데 이때의 허용 사용률(%) 정의로 맞는 것은?
     1. (아크발생시간 / 작업시간) × 100
     2. (아크시간 / 아크시간 + 휴식시간) × 100
     3. 사용율 = (작업시간 / 아크발생시간) × 100
     4. (정격2차전류)2 / (실제용접전류)2 × 정격 사용률

     정답 : []
     정답률 : 52%

44. 보일러의 안전장치에 해당하지 않는 것은?
     1. 압력제한스위치
     2. 압력방출장치
     3. 고·저수위조절장치
     4. 비상정지장치

     정답 : []
     정답률 : 70%
     <문제 해설>
안전밸브.압력제한장치(압력차단스위치).과열방지스위치.저수위차단장치.연소안전장치.연료공급안전장치
가스누설안전장치

45. 그림에서와 같이 100 N의 물건을 불안하게 매달았을 때, 로프 1 및 로프 2 에 작용하는 장력의 크기는?

    

     1. 로프 1 = 50 N, 로프 2 = 50 N
     2. 로프 1 = 50 √3 N, 로프 2 = 50 N
     3. 로프 1 = 50 N, 로프 2 = 50 √3 N
     4. 로프 1 = 50 √3 N, 로프 2 = 50 √3 N

     정답 : []
     정답률 : 43%
     <문제 해설>
로프 1이 받는 힘 = 100N X sin(30)
로프 2가 받는 힘 = 100N X sin(60)
[해설작성자 : comcbt.com 이용자]

46. 프레스의 안전장치 중 가장 완전한 방호가 가능한 안전장치는?
     1. 수인식
     2. 손쳐내기식
     3. 양수조작식
     4. 게이트가드식

     정답 : []
     정답률 : 49%

47. 슬라이드가 내려옴에 따라 손을 쳐내는 막대가 좌우 또는 앞뒤로 왕복하면서 위험점으로부터 손을 보호하여 주는 프레스의 안전장치는?
     1. 스위프 가아드
     2. 풀아웃
     3. 게이트 가아드
     4. 양손조작장치

     정답 : []
     정답률 : 48%

48. 다음 중 보일러에 관한 설명으로서 옳지 않은 것은?
     1. 수면계의 고장은 과열의 원인이 된다.
     2. 부적당한 급수처리는 부식의 원인이 된다.
     3. 안전밸브의 작동불량은 압력상승의 원인이 된다.
     4. 안전장치가 불량할 때에는 최대사용기압에서 파열하는 원인이 된다.

     정답 : []
     정답률 : 39%
     <문제 해설>
안전장치가 불량하더라도 최대사용기압을 초과하였을 때는 파열할 수 있으나, 최대사용기압에서 파열하지 않아야 합니다.
[해설작성자 : 김종성]

49. 축의 설계시 주의할 점이 아닌 것은?
     1. 변형
     2. 강도
     3. 회전방향
     4. 열응력

     정답 : []
     정답률 : 36%
     <문제 해설>
축은 회전체로써 핀에 의해 고정되기 때문에 특수한 경우가 아닌 이상 양방향 회전이 가능합니다.
────ㅁ──── ㅁ의 형태가 핀의 구조임
[해설작성자 : 수도꼭지를 시계방향으로 돌려줘]

50. 선반에서 사용하는 바이트와 관련된 방호장치는?
     1. 브레이크
     2. 터릿
     3. 칩 브레이커
     4. 주축대

     정답 : []
     정답률 : 74%

51. 2000(rpm)인 연삭숫돌의 지름이 5(cm)이라면 최대원주속도는? (단, π = 3.14임.)
     1. 78.5 cm/min
     2. 78.5 m/min
     3. 314.0 cm/min
     4. 314.0 m/min

     정답 : []
     정답률 : 48%
     <문제 해설>
최대원주속도 = 숫돌지름 X π X 분당회전속도(RPM)
[해설작성자 : comcbt.com 이용자]

52. 용접장치에 사용되는 가스 장치실의 구조에 대한 설명 중 틀린 것은?
     1. 벽의 재료는 불연성의 재료를 사용할 것
     2. 천정과 벽은 견고한 콘크리트 구조일 것
     3. 가스누출시 당해 가스가 정체되지 않도록 할 것
     4. 지붕 및 천정의 재료는 가벼운 불연성의 재료를 사용할 것

     정답 : []
     정답률 : 56%
     <문제 해설>
벽은 *_*"철근 콘크리트"*_* 또는 그 이상의 강도를 가진 구조
천장은 해당 없음
[해설작성자 : 집에서는 공부가 안 돼]

53. 양도, 대여, 설치가 제한되는 위험기계기구에 해당되지않는 것은?
     1. 보일러
     2. 프레스
     3. 선반
     4. 연삭기

     정답 : []
     정답률 : 29%

54. 프레스 작업에서 가장 중요한 점검은?
     1. 클러치의 정상적 작동 상태
     2. 동력부분
     3. 받침대
     4. 전원장치

     정답 : []
     정답률 : 65%

55. 승강기의 안전장치가 아닌 것은?
     1. 조속기
     2. 출입문 인터로크
     3. 이탈방지장치
     4. 화이날 리미트 스위치

     정답 : []
     정답률 : 39%

56. 크레인 로프에 4ton의 중량을 걸어 2m/sec2의 가속도로 감아올릴 때 로프에 걸리는 하중은? (단, 중력가속도는 9.8m/sec2 이다.)
     1. 4063kg
     2. 4193kg
     3. 4243kg
     4. 4816kg

     정답 : []
     정답률 : 46%

57. 기계부품에 작용하는 힘 중에서 안전율을 가장 크게 취하여야 할 힘의 종류는?
     1. 반복하중
     2. 교번하중
     3. 충격하중
     4. 정하중

     정답 : []
     정답률 : 58%
     <문제 해설>
* 안전율을 가장 크게 취하여야 할 힘 : 충격하중
* 안전율을 가장 작게 취하여야 할 힘 : 정하중
[해설작성자 : 미싱꼭지]

58. 다음 유해·위험기계·기구 중에서 진동과 소음을 동시에 수반되는 기계설비가 아닌 것은?
     1. 컨베이어
     2. 사출기
     3. 아세틸렌용접장치
     4. 공기압축기

     정답 : []
     정답률 : 57%

59. 전동공구 작업시 주의사항으로 틀린 것은?
     1. 전기드릴 작업시 구멍이 잘 뚫릴 수 있도록 강한 힘을 가해 작업한다.
     2. 진동공구 사용시 진동방지장갑, 청력보호구, 마스크를 착용하고 작업한다.
     3. 전기그라인더 사용시 최고회전수 상태에서 작업을 한다.
     4. 납땜 인두 작업시 배기시설을 확인한 후 작업한다.

     정답 : []
     정답률 : 51%

60. 호이스트(hoist)에서 버튼식 조정판에 연결하는 전원은 얼마가 가장 적당한가?
     1. 200V 이하
     2. 200V 이상
     3. 100V 이상
     4. 100V 이하

     정답 : []
     정답률 : 37%

4과목 : 전기위험방지기술


61. 코로나 방전이 발생하면 공기 중에 무엇이 생성되는가?
     1. O2
     2. O3
     3. N2
     4. N3

     정답 : []
     정답률 : 65%

62. 아세톤을 취급하는 작업장에서 작업자의 정전기 방전으로 인한 화재폭발 재해를 방지하기 위해서는 인체대전전위는 얼마이하로 유지해야 하는가? (단, 인체의 정전용량 100(PF)이고, 아세톤의 최소 착화에너지는 1.15(mJ)로 하며 기타의 조건은 무시한다)
     1. 1.5 × 103(V)
     2. 2.6 × 103(V)
     3. 3.7 × 103(V)
     4. 4.8 × 103(V)

     정답 : []
     정답률 : 30%
     <문제 해설>
에너지(J) = 1/2 X 정전용량(F) X 전압(V)^2
[해설작성자 : comcbt.com 이용자]

63. 전동기를 운전하고자 할 때 개폐기의 조작순서가 맞는 것은?
     1. 메인 스위치 - 분전반 스위치 - 전동기용 개폐기
     2. 분전반 스위치 - 메인 스위치 - 전동기용 개폐기
     3. 전동기용 개폐기 - 분전반 스위치 - 메인 스위치
     4. 분전반 스위치 - 전동기용 스위치 - 메인 스위치

     정답 : []
     정답률 : 62%

64. 조명기구 선정시 고려하여야 할 사항이 아닌 것은?
     1. 직사 눈부심이 없을 것
     2. 반사 눈부심을 적게 할 것
     3. 필요한 조명을 주며 수직, 경사면의 조도가 적당할 것
     4. 조명기구는 설치보다 유지관리에 중점을 둘 것

     정답 : []
     정답률 : 73%

65. 방폭지역의 구분시 환기가 충분한 장소란 "대기중의 가스. 증기의 밀도가 폭발하한계의 ( )를 초과하여 축적되는 것을 방지하는데 충분한 환기량이 보장되는 장소"를 말한다. 이 때 ( )안 알맞는 수치는?
     1. 20%
     2. 25%
     3. 30%
     4. 40%

     정답 : []
     정답률 : 38%
     <문제 해설>
대기중의 가스 또는 증기의 밀도가 폭발 하한계의 25%를 초과하여 축적되는 것을 방지하기 위한 충분한 환기량이 보장되는 장소
[해설작성자 : comcbt.com 이용자]

66. 가습에 의한 부도체의 정전기 대전방지에서 사용할 수 없는 부도체는 다음 중 어느 기를 가진 물질인가?
     1. OH
     2. C6H6
     3. NH2
     4. COOH

     정답 : []
     정답률 : 41%

67. 교류아크 용접기를 용접 중단하였을 경우 용접봉에 인가되는 안전전압[V]은?
     1. 10 이하
     2. 25 이하
     3. 50 이하
     4. 70 이하

     정답 : []
     정답률 : 62%
     <문제 해설>
전기 파트 잘 모르시면 [10옴] [25V]    [500옴-13.61J]    [1000옴-136.1J]    외우시면 좋습니다 ㅎㅎ
[해설작성자 : 김뿡빵]

68. 접지 저항값이 맞는 것은?(관련 규정 개정전 문제로 여기서는 기존 정답인 2번을 누르면 정답 처리됩니다. 자세한 내용은 해설을 참고하세요.)
     1. 제1종접지 : 100[Ω]이하
     2. 제2종접지 : 150/1선지락전류 [Ω]
     3. 제3종접지 : 10[Ω]이하
     4. 특별 제3종접지 : 100[Ω]이하

     정답 : []
     정답률 : 52%
     <문제 해설>
(2021년 KEC 규정 변경으로 인하여 종별 접지관련 문제는 출제되지 않습니다.)

69. 인체의 전기저항 R을 1000[Ω]이라하면 이때 위험 한계 에너지는 몇 J인가? (단, 통전시간은 1초임)
     1. 17.22
     2. 27.22
     3. 37.22
     4. 47.22

     정답 : []
     정답률 : 56%
     <문제 해설>
위험한계 전류 = 165루트(T:시간) 이므로 =165mA 가 된다.
위험한계에너지 = 165mA^2 X 1000[Ω] X T(시간) 이므로 = 27.22J이 된다.
[해설작성자 : comcbt.com 이용자]

70. 지중에 매설된 금속제의 수도관에 접지할 수 있는 경우의 접지 저항값은?
     1. 1[Ω] 이하
     2. 2[Ω] 이하
     3. 3[Ω] 이하
     4. 4[Ω] 이하

     정답 : []
     정답률 : 32%

71. 두가지 용제를 사용하고 있는 어느 도장공장에서 폭발사고가 발생하여 3사람의 부상자를 발생시켰다. 부상자가 입고 있던 조건의 복장으로 정전용량이 120pF 인 사람이 5m 도보후 표면전위를 측정했더니 3000V가 측정되었다. 사용한 혼합용제 가스의 최소 착화에너지는 얼마 이었겠는가?
     1. 0.56mJ 이상
     2. 0.54mJ 이하
     3. 1.09mJ 이상
     4. 1.08mJ 이하

     정답 : []
     정답률 : 38%
     <문제 해설>
1/2CV^2 의 공식을 사용
[해설작성자 : comcbt.com 이용자]

72. 정전작업은 일상생활에 불편을 주어서는 아니되므로 시간을 단축하거나 심야에 작업을 하게 된다. 정전작업 종료시 통전을 위한 순서가 올바른 것은?
     1. 단락접지기구철거 - 개폐기투입 - 작업자에 대한 위험 여부 확인 - 위험표시철거
     2. 단락접지기구철거 - 위험표시철거 - 작업자에 대한 위험 여부 확인 - 개폐기 투입
     3. 개폐기투입 - 위험표시철거 - 작업자에 대한 위험 여부 확인 - 단락접지기구확인
     4. 작업자에 대한 위험 여부 확인 - 단락접지기구 철거 - 개폐기투입 - 위험표시철거

     정답 : []
     정답률 : 20%

73. 아아크를 발생하는 고압용 전기기계, 기구는 가연성물질에 인화되지 않도록 벽 또는 천정으로부터 최소 몇[m]이상 이격하여야 하는가?
     1. 1
     2. 1.5
     3. 2.5
     4. 3.0

     정답 : []
     정답률 : 28%

74. 다음은 내압방폭구조의 기본적 성능에 관한 사항이다. 해당되지 않는 것은?
     1. 내부에서 폭발할 경우 그 압력에 견딜 것.
     2. 습기침투에 대한 보호가 될 것.
     3. 폭발이 외부로 유출되지 않을 것.
     4. 외함 표면온도가 주위의 가연성가스를 점화시키지 않을 것.

     정답 : []
     정답률 : 66%

75. 정전기 발생 방지책이 아닌 것은?
     1. 접지
     2. 가습
     3. 보호구의 착용
     4. 배관내 유속가속

     정답 : []
     정답률 : 56%

76. 정전기 발생현상의 분류에 해당되지 않는 것은?
     1. 마찰대전
     2. 박리대전
     3. 유동대전
     4. 유체대전

     정답 : []
     정답률 : 65%

77. 전동기용 퓨우즈의 사용 목적이 알맞는 것은?
     1. 회로에 흐르는 과전류 차단
     2. 과전압 차단
     3. 누설전류 차단
     4. 역전시 과전류 차단

     정답 : []
     정답률 : 59%

78. 정전기 방전으로 인한 재해가 발생될 조건이 아닌 경우는?
     1. 방전하기에 충분한 전하가 축적되어 있을 때
     2. 부도체의 대전방지를 위해 접지를 한 경우
     3. 대전물체의 전계 세기가 1[mV/m]이상 일 때
     4. 정전기방전 에너지가 주변 가스의 최소 착화 에너지 이상일 때

     정답 : []
     정답률 : 20%

79. 인체의 피부전기저항은 여러가지의 제조건에 의해서 변화를 일으키는데 제조건으로써 가장 가까운 것은?
     1. 피부의 청결
     2. 피부의 노화
     3. 인가전압의 크기
     4. 통전경로

     정답 : []
     정답률 : 44%

80. 제전기는 공기 중 이온을 생성해서 제전을 하는데 다음 중 제전능력이 가장 뛰어난 제전기는?
     1. 이온제어식
     2. 전압인가식
     3. 방사선식
     4. 자기방전식

     정답 : []
     정답률 : 40%

5과목 : 화학설비위험방지기술


81. 빈혈 및 백혈병의 주원인이 되는 유해성 물질은?
     1. 벤젠
     2. 염소
     3. 광물성 분진
     4. 카드늄

     정답 : []
     정답률 : 37%
     <문제 해설>
2번 염소 : 호흡기, 폐부종
3번 분진 : 호흡기, 진폐증
4번 카드뮴 : 신장, 뼈, 이타이이타이병

82. 발화성 약품을 저장하는 다음의 방법 중 틀린 것은?
     1. 황인은 물속에 저장
     2. 나트륨은 석유속에 저장
     3. 칼륨은 석유속에 저장
     4. 적린은 물속에 저장

     정답 : []
     정답률 : 46%

83. 왕복식 압축기의 운전중 실린더 주변에 이상음이 발생한 경우의 원인이 될수 없는 것은?
     1. 주축수의 이완
     2. 피스톤링의 마모 파손
     3. 흡입, 배기밸브의 불량
     4. 실린더내의 물 기타 이물질 혼입

     정답 : []
     정답률 : 56%

84. 다음 분말소화약제 중 ABC분말의 주성분은 어느 것인가?
     1. NH4H2PO4
     2. Na2CO3
     3. Na2SO4
     4. K2CO3

     정답 : []
     정답률 : 55%

85. 원유정제처리업의 사업주는 안전성 확보를 위해 공정안전보고서를 제출하도록 법제화 하였다. 공정안전 보고서에 포함되어야 할 사항으로 거리가 먼 것은?
     1. 공정안전자료
     2. 공정위험성평가서
     3. 평균산업재해율
     4. 비상조치계획

     정답 : []
     정답률 : 53%

86. 압력상승에 기인하는 피해가 예측되는 경우에 검토를 요하는 사항과 거리가 가장 먼 것은?
     1. 가연성혼합기의 형성상황
     2. 압력상승시의 취약부 파괴
     3. 압력파의 전파, 반사, 간섭
     4. 개구부가 있는 공간내의 화염전파와 압력상승

     정답 : []
     정답률 : 27%

87. 물 분무 소화기에 대한 설명 중 틀린 것은?
     1. A급 화재의 소화에 적합하다.
     2. 수동 펌프식과 가스 가압식이 있다.
     3. 가장 구형의 화학소화기로 일명 중탄산나트륨식 소화기라고도 한다.
     4. 수동 펌프식은 수동펌프를 연속적으로 조작하여 물을 방사하도록 되어 있다.

     정답 : []
     정답률 : 56%

88. 다음 중 산업안전보건법상 위험물질의 기준량을 올바르게 나타낸 것은?
     1. 과염소산 - 50kg
     2. 에틸에테르 - 150L
     3. 시안화수소 - 5kg
     4. 부식성 염기류 - 200kg

     정답 : []
     정답률 : 41%
     <문제 해설>
과염소산 : 300Kg
에틸에테르 : 200L
시안화수소 : 5Kg
부식성 염기류 : 300Kg
[해설작성자 : comcbt.com 이용자]

89. 다음은 상압의 공기.아세틸렌 혼합가스의 최소발화에너지(MIE)에 관한 사항이다. 옳은 것은?
     1. 압력이 클수록 MIE는 증가한다.
     2. 불활성물질의 증가는 MIE를 감소시킨다.
     3. 상압의 공기.아세틸렌 혼합가스의 경우 약 9%에서 최대값을 나타낸다.
     4. 일반적으로 화학양론농도 보다도 조금 높은 농도 일때에 극소값이 된다.

     정답 : []
     정답률 : 33%

90. 가연성가스가 충전된 용기를 사용할 때 잘못된 작업 방법은?
     1. 전도의 위험을 없도록 한다.
     2. 밸브의 개폐를 신속히 한다.
     3. 용기의 온도를 섭씨 40도 이하로 유지한다.
     4. 충격이나 화기 기타 발화원이 없도록 조치한다.

     정답 : []
     정답률 : 63%

91. 산업안전보건법상 위험물질을 분류한 것이다. 옳은 것은?
     1. 폭발성물질 - 마그네슘
     2. 금수성물질 - 황화린
     3. 인화성물질 - 유기과산화물
     4. 산화성물질 - 중크롬산

     정답 : []
     정답률 : 36%

92. 마그네슘의 저장 및 안전취급에 관한 설명 중 틀린 것은?
     1. 산화제와 접촉을 피한다.
     2. 일단 점화하면 발열량이 크므로 소화가 곤란하다.
     3. 분진폭발성이 있으므로 누설되지 않도록 포장한다.
     4. 고온에서 유황 및 할로겐과 접하면 흡열반응을 한다.

     정답 : []
     정답률 : 57%

93. 사업주가 가스집합장치를 설치하려 한다. 화기로부터 몇m 이상 떨어진 장소에 설치하여야 하는가?
     1. 5m
     2. 10m
     3. 20m
     4. 30m

     정답 : []
     정답률 : 29%

94. 활성화에너지 E가 대체적으로 같은 값을 가지는 가연성기체의 폭발하한계(x)와 몰 연소열(Q)사이에는 어떤 근사적인 관계가 성립하는가? (단, n은 정수임.)
     1. x·Q = 일정
     2. x/Q = 일정
     3. Q/x = 일정
     4. xn·Q = 일정

     정답 : []
     정답률 : 31%

95. 공기 중에서 아세틸렌의 폭발 하한계는 2.5(부피%)이다. 이 경우 표준상태에서 아세틸렌과 공기의 혼합기체 1m3에 함유되어 있는 아세틸렌의 양은 약 몇 g 인가?
     1. 9
     2. 19
     3. 29
     4. 39

     정답 : []
     정답률 : 30%
     <문제 해설>
1mL=1CM^3
1M^3 = 1000000mL = 1000L

1000L/22.4L = 44.64 mol
폭발하한계 Vol% 까지만 혼합기체에 존재해야 하므로
44.64 mol * 0.025 = 1.116 mol

아세틸린 몰분자량 = 26g
따라서 26g/mol * 1.116 mol = 29.02g
[해설작성자 : 열공파파]

96. 용적비율로 80% CH4, 15% C2H6, 4% C3H8, 1% C4H10로 이루어진 혼합가스의 폭발범위(vol%)는 약 얼마인가? [단, 각 가스의 폭발범위(vol%)는 CH4 5∼15, C2H6 3∼12.5, C3H8 2.1∼9.5, C4H10 1.9∼8.5 이다.]
     1. 4.33∼15.22
     2. 4.27∼14.14
     3. 4.33∼14.14
     4. 4.27∼15.22

     정답 : []
     정답률 : 49%

97. 화학적 반응에 의한 에너지가 점화원이 되지 않게 할 수있는 대책중 거리가 가장 먼 것은?
     1. 불활성화 시킴
     2. 모든 도전체의 접지
     3. 온도와 압력의 제어
     4. 격벽을 이용한 저장공법

     정답 : []
     정답률 : 45%

98. 다음 중 반응기의 구조 방식에 의한 분류에 해당하는 것은?
     1. 연속식 반응기
     2. 유동층형 반응기
     3. 반회분식 반응기
     4. 회분식 균일상반응기

     정답 : []
     정답률 : 46%
     <문제 해설>
구조에 따른 분류
1.관형 2.교반조형 3.탑형 4.유동층형

조작 방법에 따른 분류
1.회분식 2.반회분식 3.연속식 4.플러그
[해설작성자 : 테크]

99. 다음 중 할로겐화 반응의 특징이 아닌 것은?
     1. 강한 발열반응이다.
     2. 연쇄반응에 의해 진행되어 반응속도가 빠르다.
     3. 수분이 존재하면 부식성이 있는 물질을 생성시킨다.
     4. 부반응이 일어나는 경우 대량의 열이 발생되어 위험하다.

     정답 : []
     정답률 : 19%
     <문제 해설>
할로겐화 반응 이란? : 할로겐 원소(F, Cl, Br, I 등)가 다른 원소(주로 유기화합물)와 반응하여 할로겐화 화합물을 생성하는 반응

수분 존재 시 부식성 물질 생성은 일반적으로 염소, 플루오르 등의 기체 자체가 수분과 반응할 때 발생->할로겐화 반응X
[해설작성자 : 2005년 무한도전 시작]

100. 압력용기, 배관, 덕트 및 봄베 등의 밀폐장치가 과잉압력 또는 진공에 의해 파손될 위험에 있을 경우 이를 방지하기 안전장치로서 특히 화학변화에 의한 에너지 방출과 같이 짧은 시간내의 급격한 압력변화에 적합한 것은?
     1. 파열판
     2. 체크밸브
     3. 대기밸브
     4. 밴드스텍

     정답 : []
     정답률 : 58%

101. 산업안전보건법상 자체검사 대상 기계·기구가 아닌 것은?
     1. 프레스 및 전단기
     2. 크레인(호이스트 포함)
     3. 곤도라
     4. 지게차

     정답 : []
     정답률 : 36%
     <문제 해설>
1)프레스 2)전단기 3)크레인 4)리프트    5)압력용기    6)곤돌라 7)국소 배기장치 8)원심기    9)롤러기 10)사출성형기 11)고소작업대 12)컨베이어 13)산업용 로봇
[해설작성자 : swgyu]

102. 토석붕괴 방지방법에 대한 설명으로 틀린 것은?
     1. 말뚝(강관, H형강, 철근콘크리트)을 박아 지반을 강화시킨다.
     2. 활동의 가능성이 있는 토석은 제거한다.
     3. 지표수가 침투되지 않도록 배수시키고 지하수위 저하를 위해 수평보링을 하여 배수시킨다.
     4. 활동에 의한 붕괴를 방지하기 위해 비탈면, 법면의 상단을 다진다.

     정답 : []
     정답률 : 57%
     <문제 해설>
4번문항이 틀렷다기 보다는 가장 거리가멈 근본적인 해결책이 아님
[해설작성자 : 보라매 오키토키]

103. 철골공사 작업시 산업안전보건법상 작업을 중지해야 할 악천후는?
     1. 풍속 8 m/sec
     2. 강우량 1.5 mm/hr
     3. 강설량 5 mm/hr
     4. 지진 진도 1.0

     정답 : []
     정답률 : 50%
     <문제 해설>
철골공사 작업을 중지하여야 하는 기후조건
1. 풍속 10 m/sec 이상인 경우
2. 강우량 1 mm/hr 이상인 경우
3. 강설량 1 ㎝/hr 이상인 경우
4. 지진은 일반공사 진도 4 이상인 경우
[해설작성자 : 쪼롱]

104. 달비계 작업발판의 최대적재하중을 정함에 있어서 안전계수로 옳은 것은?
     1. 달기 와이어로프(Wire rope) : 5 이상
     2. 달기강선 : 5 이상
     3. 달기 체인(Chain) : 3 이상
     4. 달기 훅(Hook) : 5 이상

     정답 : []
     정답률 : 55%
     <문제 해설>
1.달기 와이어로프(Wire rope) : 5 이상 -> 10 이상
2.달기강선 : 5 이상 -> 10 이상
3.달기 체인(Chain) : 3 이상 -> 5 이상

4.달기 훅(Hook) : 5 이상 (o)
[해설작성자 : 가자고오]

105. 강선의 안전계수가 4이고 2000kg/cm2 의 인장강도를 갖는 경우에 최대허용응력은?
     1. 500 kg/cm2
     2. 1000 kg/cm2
     3. 1500 kg/cm2
     4. 2000 kg/cm2

     정답 : []
     정답률 : 68%
     <문제 해설>
4=2000/X
안전계수=인장강도/최대허용응력
x=500
[해설작성자 : 히둥]

106. 흙의 연경도에서 소성상태와 액성상태 사이의 한계를 무엇이라 하는가?
     1. 에터버그(Atterberg)한계
     2. 액성한계
     3. 소성한계
     4. 수축한계

     정답 : []
     정답률 : 21%
     <문제 해설>
애터버그한계 (Atterberg)
액성한계, 소성한계, 수축한계 등의 한계함수비

액성한계 (Lquid limit)
소성상태에서 액성상태로 변환되는 점에서의 함수비

소성한계 (Plastic limit)
반고체상태에서 소성상태로 변환되는 점에서의 함수비

수축한계 (Shrinkage limit)
고체상태에서 반고체상태로 변환되는 점에서의 함수비.수분의 감소가 더 이상 체적 변화에 영향을 미치지 않는 상태
[해설작성자 : Cadillac]

107. 콘크리트 타설시의 유의사항 중 옳지 않은 것은?
     1. 콘크리트 타설 도중 표면에 떠올라 고인 블리딩수가 있을 경우에는 콘크리트 표면에 홈을 만들어 흐르게 하는 등 적당한 조치를 취해야 한다.
     2. 비비기로부터 타설시까지 시간은 외기온도 25℃ 이상에서는 1.5시간을 넘어서는 안된다.
     3. 타설시 콘크리트의 재료분리는 가능한 적게 일어나도록 해야 한다.
     4. 타설한 콘크리트를 거푸집 안에서 횡방향으로 이동시켜서는 안된다.

     정답 : []
     정답률 : 17%
     <문제 해설>
3번 : 재료분리는 절대 일어나지 않도록 주의해야 한다
[해설작성자 : 2005년 서울 어린이대공원]

108. 다음 중 건설용 양중기에 해당하지 않는 것은?
     1. 곤도라
     2. 리프트
     3. 최대하중이 0.25톤 미만인 승강기
     4. 크레인

     정답 : []
     정답률 : 61%

109. 다음 중 터널 굴착 작업시 시공계획에 포함되어야 할 사항으로 거리가 먼 것은?
     1. 굴착의 방법
     2. 터널 지보공 및 복공의 시공 방법과 용수의 처리 방법
     3. 환기 또는 조명시설을 하는 때에는 그 방법
     4. 계기의 이상 유무 점검

     정답 : []
     정답률 : 52%

110. 흙의 안식각을 가장 잘 설명한 것은?
     1. 자연 경사각
     2. 비탈면 각
     3. 시공 경사각
     4. 계획 경사각

     정답 : []
     정답률 : 34%

111. 본 터널(main tunnel)을 시공하기 전에 터널에서 약간 떨어진 곳에 지질조사, 환기, 배수, 운반 등의 상태를 알아보기 위하여 설치하는 터널은?
     1. 파이럿(pilot) 터널
     2. 프리패브(prefab) 터널
     3. 사이드(side) 터널
     4. 쉴드(shield) 터널

     정답 : []
     정답률 : 67%
     <문제 해설>
파일럿 터널: 본 터널을 시공하기 전에 터널에서 약간 떨어진 곳에 지질조사, 환기, 배수, 운반 등의 상태를 알아보기 위하여 설치하는 터널
쉴드 터널 : 터널공법의 하나로 지반 내에 쉴드(shield)라 부르는 강제 원통모양의 외각(外殼)을 가진 굴진기를 추진시켜 터널을 구축하는 공법.
[해설작성자 : 틀린거또틀려]

112. 강관비계의 종류 중 단관비계를 설치할 때 조립간격으로 옳은 것은? (단, 수직방향, 수평방향의 순서임)
     1. 4m, 4m
     2. 5m, 5m
     3. 5.5m, 7.5m
     4. 6m, 8m

     정답 : []
     정답률 : 55%
     <문제 해설>
2 - 단관 비계
3 - 통나무 비계
4 - 틀비계
[해설작성자 : comcbt.com 이용자]

113. 철제거푸집의 장점이 아닌 것은?
     1. 강성이 크다.
     2. 수밀성이 좋다.
     3. 정밀도가 높다.
     4. 가볍다.

     정답 : []
     정답률 : 68%

114. 콘크리트 타설시 내부진동기를 이용한 진동다지기를 할 때 사용상의 주의사항으로 잘못된 것은?
     1. 여러층으로 나누어 진동다지기를 할 때는 진동기를 하층의 콘크리트 속으로 찔러 넣어서는 안된다.
     2. 진동기는 수직방향으로 넣고 간격은 약 50㎝이하로 한다.
     3. 진동기를 넣고 나서 뺄때까지 시간은 보통 5 ∼15초가 적당하다.
     4. 진동기를 가지고 거푸집속의 콘크리트를 옆 방향으로 이동시켜서는 안된다.

     정답 : []
     정답률 : 31%
     <문제 해설>
내부진동기의 사용 방법
1. 진동다지기를 할 때에는 내부진동기를 하층의 콘크리트 속으로 0.1m 정도 찔러 넣는다.
[해설작성자 : 가자고오]

115. 다음 중 발파공의 충전재료로 부적당한 것은?
     1. 점토
     2. 모래
     3. 비발화성 물질
     4. 인화성 물질

     정답 : []
     정답률 : 62%

116. 높이 2m 이상인 작업장에 설치하는 작업발판의 구조 및 설비에 관한 기준으로 옳지 않은 것은?
     1. 발판의 폭이 40cm이상이 되도록 한다.
     2. 발판재료 간의 틈은 3cm이하로 한다.
     3. 작업발판을 작업에 따라 이동할 때에는 불시의 이동에 따른 위험방지 조치를 한다.
     4. 작업발판재료는 전위나 탈락이 없도록 1이상의 지지물에 연결하거나 고정시킨다.

     정답 : []
     정답률 : 64%
     <문제 해설>
2개 이상의 지지물에 연결
[해설작성자 : 간태상]

117. 다음 중 강말뚝의 특징으로 틀린 것은?
     1. 허용응력이 크다.
     2. 내부식성이 크다.
     3. 말뚝길이에 비교적 제한을 받지 않는다.
     4. 굳은 지층에도 관입시킬 수 있다.

     정답 : []
     정답률 : 37%

118. 다음 중 지반의 굴착시 풍화암의 기울기 기준으로 적절한 것은?(2021년 11월 19일 개정된 규정 적용됨)
     1. 1 : 5
     2. 1 : 0.8
     3. 1 : 1.0
     4. 1 : 1.5

     정답 : []
     정답률 : 60%
     <문제 해설>
[기존 규정]
습지 1:1~1:1.5
건지 1:0.5~1:1
풍화암 1:0.8
연암 1:0.5
경암 1:0.3

2021년 11월 19일 개정된 규정
습지 : 1:1~1:1.5
건지 : 1:0.5~1:1
풍화암 : 1:1.0(변경)
연암 : 1:1.0(변경)
경암 : 1:0.5(변경)

119. 롤러의 표면에 돌기를 만들어 부착한 것으로 돌기가 전압층에 매입함에 의해 풍화암을 파쇄하여 흙 속의 간극수압을 소산하게 하고, 다짐의 유효 깊이가 큰 롤러는 무엇인가?
     1. 머캐덤롤러
     2. 탠덤롤러
     3. 탬핑롤러
     4. 타이어롤러

     정답 : []
     정답률 : 58%

120. 특수지반 개량공법 중 하나인 지하연속벽 공법(Slurry Wall)의 특징이 아닌 것은?
     1. 소음과 진동이 다른 항타, 인발 등을 동반하는 공법에 비해 낮다.
     2. 시공 조인트의 처리를 잘하면 높은 차수성을 기대할 수 있다.
     3. 지반 조건에 좌우되지 않는다.
     4. 차수성이 우수하나 임의의 치수와 형상을 선택할 수 없다.

     정답 : []
     정답률 : 30%


정 답 지

산업안전기사 필기 기출문제(해설) 및 CBT 2005년03월20일

최강 자격증 기출문제 전자문제집 CBT : www.comcbt.com


전자문제집 CBT란?
종이 문제집이 아닌 인터넷으로 문제를 풀고 자동으로 채점하며 모의고사, 오답 노트, 해설까지 제공하는
무료 기출문제 학습 프로그램으로 실제 상설검정에서 사용하는 OMR 형식의 CBT를 제공합니다.

최신 산업안전기사 필기 기출문제 : [다운로드]


1과목 : 안전관리론


1. 인간의 적성과 안전과의 관계를 설명한 것으로 맞는 것은?
     1. 사고를 일으키는 것은 그 작업에 적성이 맞지 않는 사람이 그 일을 수행한 이유이므로, 반드시 적성검사를 실시하여 그 결과에 따라 작업자를 배치하여야 한다.
     2. 인간의 감각기별 반응시간은 시각, 청각, 통각 순으로 빠르므로 비상시 비상등을 먼저 켜야 한다.
     3. 사생활에 중대한 변화가 있는 사람이 사고를 유발할 가능성이 높으므로 그러한 사람들에게는 특별한 배려가 필요하다.
     4. 집단의 심적 태도를 교정하는 것보다 개인의 심적 태도를 교정하는 것이 더 용이하다.

     정답 : []
     정답률 : 59%

2. Bird의 재해분포에 따르면 10건의 경상(물적 또는 인적상해)사고가 발생하였을 때 무상해, 무사고(위험순간)는 몇 건이 발생하는가?
     1. 300
     2. 400
     3. 600
     4. 800

     정답 : []
     정답률 : 75%
     <문제 해설>
● Bird
1. 재해분포
[버드의 1 : 10 : 30 : 600의 원칙]
① 1 : (중상)
② 10 : (물적손실, 경상)
③ 30 : (물적손실, 무상해)
④ 600 : (무상해, 무사고)
[해설작성자 : 1]

3. 안전교육에서 학습경험선정의 원리와 거리가 먼 것은?
     1. 가능성의 원리
     2. 계속성의 원리
     3. 다목적달성의 원리
     4. 동기유발의 원리

     정답 : []
     정답률 : 51%
     <문제 해설>
학습경험 선전원이
1. 동기유발의 원리
2. 기회의 원리
3.가능성의 원리
4. 전이의 원리
5.다목적 달성의 원리

계속성의 원리는 파블로프의 학습이론(자극과 반응이론)
파블로프 학습이론 -> 일관성의 원리 , 계속성의 원리, 시간이 원리, 강도의 원리
[해설작성자 : 안전맨]

4. 안전교육과 관련하여 바르게 설명한 것은?
     1. 교재는 노동부, 산업안전공단 또는 지정교육기관이 작성한 교재를 사용하여야 한다.
     2. 무재해운동 참여업체 중 무재해목표를 1배이상 달성 하고 무재해가 진행중인 업체는 안전교육을 면제한다
     3. 무재해교육은 정기교육시간으로 간주되나, 무재해 행사는 그렇지 않다.
     4. 안전교육의 특성상 통신교육은 허용되지 않는다.

     정답 : []
     정답률 : 36%

5. 위험에 대한 안전을 조사할 때의 사전조사에 해당되지않는 것은?
     1. 적성검사
     2. 재해기록
     3. 작업분석
     4. 안전점검

     정답 : []
     정답률 : 36%

6. 탱크, 보일러 또는 반응탑의 내부 등 산소결핍이 우려되는 장소에서 아르곤, 탄산가스 또는 헬륨을 사용하여 용접작업을 시키려고 한다. 이때 사용되어야 할 보호구는?
     1. 방진마스크
     2. 방독마스크
     3. 송기마스크
     4. 활성마스크

     정답 : []
     정답률 : 80%

7. 다음 중 프로그램 학습법의 단점에 해당되지 않는 것은?
     1. 리더의 지도기술이 요구된다.
     2. 교육 내용이 고정화되어 있다.
     3. 학습에 많은 시간이 걸린다.
     4. 집단사고의 기회가 없다.

     정답 : []
     정답률 : 53%

8. 하인리히 법칙에 따르면 상해 사고가 20건이 발생할 때 무상해 사고는 몇 건이 발생하는가?
     1. 60
     2. 140
     3. 200
     4. 300

     정답 : []
     정답률 : 58%
     <문제 해설>
30:300=20:X
6000=30X
X=200
[해설작성자 : 해설작성자]

9. 교육 실시 원칙상 한번에 하나 하나씩 나누어 확실하게 이해시켜야 하는 단계는?
     1. 도입단계
     2. 제시단계
     3. 적용단계
     4. 확인단계

     정답 : []
     정답률 : 53%

10. 메슬로우의 인간의 욕구중 5번째 단계에 속하는 것은?
     1. 존경
     2. 사회
     3. 자아실현
     4. 안전

     정답 : []
     정답률 : 81%
     <문제 해설>
매슬로우 욕구이론
1. 생리
2. 안전
3. 사회적
4. 존경
5. 자아실현
[해설작성자 : 돈많이벌고싶다]

11. 다음 중 하인리히는 인적사고 중 1:29:300의 법칙을 적용하였다. 여기에서 300의 의미는?
     1. 상해가 없는 경우
     2. 경상
     3. 중상
     4. 부상

     정답 : []
     정답률 : 75%
     <문제 해설>
하인리히
     1     :         29 :            300
중상해 : 경상해 : 무상해사고

버드
     1 :        10 :     30                 :     600
중상 : 상해    : 물적만의사고 : 상해도손해도 없는사고
[해설작성자 : comcbt.com 이용자]

12. 방진마스크의 선정기준에 해당되지 않는 것은?
     1. 배기저항이 낮을 것
     2. 흡기저항이 높을 것
     3. 사용적이 적을 것
     4. 시야가 넓을 것

     정답 : []
     정답률 : 58%
     <문제 해설>
흡기저항이 높으면 들숨쉬기가 너무 힘듬 ㅠㅠ
[해설작성자 : 보라매 오키톡끼]

13. 안전관리의 일상점검 업무 단계를 설명한 것이다. 옳게 연결된 것은?
     1. 실상파악 - 대책결정 - 결함발견 - 대책실시
     2. 결함발견 - 대책결정 - 실상파악 - 대책실시
     3. 실상파악 - 결함발견 - 대책실시 - 대책결정
     4. 실상파악 - 결함발견 - 대책결정 - 대책실시

     정답 : []
     정답률 : 80%

14. 안전교육 계획수립시 고려할 사항이 아닌 것은?
     1. 필요한 정보를 수집한다.
     2. 현장의 의견을 충분히 반영한다.
     3. 정부규정에 의한 교육에 치중한다.
     4. 안전교육 시행체계와의 관련을 고려한다.

     정답 : []
     정답률 : 87%

15. 다음은 물건의 정리를 나타낸 그림이다. 관계 없는 것은?

    

     1. 근접의 요인
     2. 동류의 요인
     3. 폐합의 요인
     4. 연속의 요인

     정답 : []
     정답률 : 57%
     <문제 해설>
게슈탈트법칙(Gestalt Factor)
독일어로 형태나 모양을 의미하는 ‘게슈탈트’를 처음 제시한 독일의 심리학자 막스 베르트하이머(Max Wertheimer)가 1910년 여름 기차 여행을 하는 동안 영감을 얻어 주장하게 되었다고 한다. 그는 기차의 불투명한 벽과 창문 프레임이 부분적으로 자신의 시야를 가리고 있는데도 바깥 경치를 볼 수 있다는 것을 깨닫고 그는 눈이 단순히 모든 영상 자극을 받아들이고 뇌는 이러한 감각을 일관된 이미지로 정리한다고 결론을 내린 것이다.

1. 유사성의 법칙: 사람은 집중하기 위해서 가장 간단하고 안정적인 형태를 선택한다. 이 법칙이 정사각형, 원, 삼각형 등 가장 기본적인 모양의 중요성을 강조하여 유사한 시각 요소들은 연관되어 보인다는 법칙이다. 유사성의 법칙의 예로 색맹검사표를 들 수 있다.

2. 근접성의 법칙:    두뇌는 멀리 떨어져 있는 두 물체보다는 서로 근접해 있는 물체들을 밀접하게 연관시킨다는 내용이다. 가까운 거리에 있는 형태일수록 집단화되는 형상을 말한다.

3. 연속성의 법칙:    뇌는 선의 갑작스럽거나 급격한 움직임의 변화를 좋아하지 않고 가능한 한 선의 부드러운 연속을 추구한다는 법칙이다. 이 선은 그림의 일반적인 선이거나 서너 개의 물체가 모여서 선을 형성하는 것일 수 있으며 진행되는 방향에 따라 자연스럽게 연결되는 형태를 선호한다.

4. 공동 운명의 법칙:    배열이나 성격이 같은 것 끼리 집단화되어 보이는 법칙이다. 보는 사람은 같은 방향의 하늘을 지향하는 다섯 개의 화살이나 모아진 다섯 개의 손가락이 모두 동일한 방향을 가리키므로 정신적으로 같이 분류한다.

5. 폐쇄성: 벌어진 도형을 완결시켜 보이려는 법칙을 말한다. 불완전한 형이나 그룹들을 완전한 형태나 그룹으로 완성시키려는 경향이 있다는 것이다.

그외의 폐합의 원리, 곡선의 원리, 나머지 부제의 원리, 객관적 태도의 원리, 경험의 원리등이 있다.
출처: https://hhh8947.tistory.com/208
[해설작성자 : comcbt.com 이용자]

16. 안전조직 중 안전스탭의 주역할이 아닌 것은?
     1. 안전관리 목표 및 방침안 작성
     2. 정보수집과 주지, 활용
     3. 실시계획의 추진
     4. 기본방침 및 안전시책 시달

     정답 : []
     정답률 : 39%
     <문제 해설>
4. 기본 방침 및 안전시책 시달은 사업주의 책임
[해설작성자 : comcbt.com 이용자]

17. 재해발생원인을 관리적인 측면에서 분류하면 기술적 원인, 교육적 원인, 작업관리상 원인으로 분류할 수 있다. 교육적 원인이 아닌 것은?
     1. 안전지식의 부족
     2. 안전수칙을 잘못 알고 있음
     3. 경험, 훈련 등이 서투름
     4. 작업준비 불충분

     정답 : []
     정답률 : 76%
     <문제 해설>
작업준비 불충분 -> 기술적 원인
[해설작성자 : 가자고오]

18. 다음 중 작업자세와 관련하여 틀린 것은?
     1. 가능한 한 신체를 작업대에 가깝게 유지한다.
     2. 가능하면 의자에 계속 앉아서 일하게 하여 자세의 안정성을 유지하여 안전을 확보하고 품질을 균일하게 한다.
     3. 안정된 지점을 벗어날 정도로 손을 지나치게 뻗지 않는다.
     4. 조립라인이나 기계적인 작업의 작업면은 팔꿈치 높이보다 5-10cm 낮게 설정한다.

     정답 : []
     정답률 : 58%

19. TWI의 교육 내용 중 인간관계 관리방법 즉 부하통솔법을 주로 다루는 것은?
     1. JIT(Job Instruction Training)
     2. JMT(Job Method Training)
     3. JRT(Job Relation Training)
     4. JST(Job Safety Training)

     정답 : []
     정답률 : 63%
     <문제 해설>
1. JIT 작업지도훈련
감독자 및 숙련공이 비기너를 가르치는 과정
2.JMT 작업방법훈련
작업자 스스로 작업이 효율적인지 평가하고 그렇지 않다면 개선점을 체계적으로 평가하고 제안하도록 하는 교육과정
3. JRT 인간관계훈련
직원 간의 존경,협력,신뢰 구축을 통한 리더심 문화를 조성하는 과정으로 인간관계에 관련하여 사람에 대한 존중을 강조하고 사람들과의 문제를 해결하고 예방,팀워크 등을 교육하여 품질/안전 및 비용 절감을 달성하기 위한 훈련
4. JST 작업안전훈련
감독자와 작업자에게 잠재적 위험을 인식하고 제거하기 위한 교육을 제공한다. 잠재적인 문제에 대한 인식을 강화하고 근본 원인을 파악하며 연쇄 작용을 제거하는 것을 배운다.
[해설작성자 : 김온지]

20. 브레인스토밍팀 미팅 기법의 4원칙에 해당되지 않는 것은?
     1. 수정발언
     2. 자유분방
     3. 요점발언
     4. 비판금지

     정답 : []
     정답률 : 73%
     <문제 해설>
3. 요점발언(X) 대량발언(O)
[해설작성자 : 집에서는 공부가 안 돼]

2과목 : 인간공학 및 시스템안전공학


21. 인간 실수의 형태를 크게 작위(Commission)실수와 부작위(Omission)실수로 나눌수 있다. 다음 중 작위(Commission) 실수를 바르게 설명한 것은?
     1. 생략한 형태의 실수
     2. 다른 것으로 착각하여 실행한 실수
     3. 수행해야 할 작업을 수행하지 않는 실수
     4. 불안전한 행동에 의한 실수

     정답 : []
     정답률 : 42%
     <문제 해설>
작위실수 : 직무를 수행하지만 잘못 수행할 때 발생 (선택착오, 순서착오, 시간착오 등)
부작위실수 : 직무의 한 단계 또는 전체직무를 누락시킬 때 발생
[해설작성자 : ㄱㅌ]

22. "작업설계시의 딜레마(dilemma)" 란?
     1. 안전투자와 기업이윤간의 딜레마
     2. 작업능률과 작업만족도간의 딜레마
     3. 작업확대와 작업윤택화간의 딜레마
     4. 생산목표와 생산수단간의 딜레마

     정답 : []
     정답률 : 37%

23. 다음은 초기고장과 마모고장의 고장형태와 그 예방대책에 관한 내용이다. 연결이 잘못된 것은?
     1. 초기고장 - 감소형
     2. 마모고장 - 증가형
     3. 초기고장 - 디버깅
     4. 마모고장 - 스크리닝

     정답 : []
     정답률 : 68%
     <문제 해설>
스크리닝은 고장 발생 초기에 있는 것에 스트레스를 가함으로써 고장을 검출 제거하는 것을 말합니다.
그러므로 스크리닝은 마모고장이 아닌 초기고장의 예방대책입니다

24. 단순반복 작업으로 인하여 발생되는 건강장애 즉 CTDS 의 발생요인이 아닌 것은?
     1. 작업적 과도한 힘의 요구
     2. 부적합한 작업자세
     3. 긴 작업주기
     4. 저온환경

     정답 : []
     정답률 : 32%

25. 작업장의 색은 매우 중요하다. 색을 선택할 때 기본 조건이 아닌 것은?
     1. 자극이 강한색은 피한다.
     2. 밝은 색은 상부에 어두운 색은 하부에 둔다.
     3. 차분하고 밝은색을 선택한다.
     4. 순백색을 선택한다.

     정답 : []
     정답률 : 66%

26. 다음 시스템 A의 확률은?

    

     1. 0.64
     2. 0.82
     3. 0.92
     4. 0.97

     정답 : []
     정답률 : 67%
     <문제 해설>
Or 게이트이므로 1-(1-0.7)(1-0.9) = 0.97 이 나온다
[해설작성자 : 귤먹고싶다]

27. 신호검출이론의 적용대상이 아닌 것은?
     1. 성역화
     2. 품질검사
     3. 의학처방
     4. 법정에서의 판정

     정답 : []
     정답률 : 37%

28. 다음 중 진동에 의한 영향이 가장 적은 작업은?
     1. 추적작업
     2. 시각적 인식작업
     3. 형태 식별작업
     4. 수동 제어작업

     정답 : []
     정답률 : 29%

29. 다음 중 시스템안전 위험분석(SSHA)을 수행하기 위한 최초의 작업으로서 구상단계나 설계 및 발주의 극히 초기 에 실시되는 것은?
     1. 예비위험분석(PHA)
     2. 결함위험분석(FHA)
     3. 시스템안전성위험분석(SSHA)
     4. 결함수분석(FTA)

     정답 : []
     정답률 : 83%

30. 우리가 흔히 사용하는 시각적 표시장치와 청각적 표시장치 중 청각적 표시장치를 사용하는 것이 더 좋은 경우는?
     1. 전언이 공간적인 위치를 다룬 경우
     2. 수신자의 청각계통이 과부하 상태일 때
     3. 직무상 수신자가 한 곳에 머무르는 경우
     4. 수신장소가 너무 밝거나 암조응이 요구될 때

     정답 : []
     정답률 : 73%

31. 디버깅(debugging)이란?
     1. 초기 고장기간의 고장원인 도출과정
     2. 우발 고장기간의 고장원인 도출과정
     3. 마모 고장기간의 고장원인 도출과정
     4. 고장원인 도출과는 상관이 없다.

     정답 : []
     정답률 : 70%

32. 인간의 신뢰도가 0.6, 기계의 신뢰도가 0.9이고 인간과 기계가 직렬체제로 작업할 때의 신뢰도는 얼마인가?
     1. 0.43
     2. 0.54
     3. 0.65
     4. 0.76

     정답 : []
     정답률 : 76%

33. 예비위험 분석에서 달성하기 위하여 노력하여야 하는 4가지 주요 사항이 아닌 것은?
     1. 시스템에 관한 주요 사고를 식별하고 개략적인 말로 표시할 것
     2. 사고를 초래하는 요인을 식별할 것
     3. 사고발생 확률을 계산할 것
     4. 식별된 위험을 4가지 범주로 분류할 것

     정답 : []
     정답률 : 34%

34. 작업장의 색채를 설명한 것이으로 틀린 것은?
     1. 지붕은 주위의 환경과 조화를 이루도록 한다.
     2. 벽면은 주위 명도의 2배 이상으로 한다.
     3. 창틀에는 흰빛으로 악센트를 준다.
     4. 바닥의 추천반사율은 40~60%가 좋다.

     정답 : []
     정답률 : 47%
     <문제 해설>
- 바닥의 반사율 (20~40 %)
* 옥내 최적 반사율
천장(80~90%) > 벽(40~60%) > 가구 (25~45%) > 바닥 (20~40 %)
[해설작성자 : comcbt.com 이용자]

35. 인간 기계시스템에서 수동제어 시스템에 속하지 않는 것은?
     1. 연속적 추적제어
     2. 프로그램제어
     3. 계층구조적 제어
     4. 시켄셜제어

     정답 : []
     정답률 : 17%

36. 감각적으로 물리현상을 왜곡하는 지각현상에 해당되는 것은?
     1. 주의산만
     2. 착각
     3. 피로
     4. 부주의

     정답 : []
     정답률 : 59%

37. 위험 및 운전성 검토(HAZOP)의 성패를 좌우하는 중요 요인과 거리가 먼 것은?
     1. 팀의 무재해 운동 추진 실태
     2. 검토에 사용된 도면이나 자료들의 정확성
     3. 팀의 기술능력과 통찰력
     4. 발견된 위험의 심각성을 평가할 때 그 팀의 균형감각을 유지할 수 있는 능력

     정답 : []
     정답률 : 37%
     <문제 해설>
위험 및 운전성 검토의 성패를 좌우하는 요인
1. 팀의 기술능력과 통찰력
2. 사용된 도면, 자료 등의 정확성
3. 발경된 위험의 심각성을 평가할 때 팀의 균형감각 유지 능력
4. 이상(deviation), 원인(Cause), 결과(Consequence) 등을 발견하기 위해 상상력을 동원하는 데 보조수단으로 사용할 수 있는 팀의 능력
[해설작성자 : ㄱㅌ]

38. 반사율이 80%, 글자의 밝기가 400cd/m2인 VDT화면에 314lux의 조명이 있다면 대비는? [단, 대비의 정의는 (배경광-목표광)/배경광을 사용한다.]
     1. -0.6
     2. -1.59
     3. -5.0
     4. -6.0

     정답 : []
     정답률 : 32%
     <문제 해설>
대비 = (휘도-전체휘도)/휘도
휘도 = 반사율 * 조도 / 면적
전체휘도 = 밝기 + 휘도

조도 = 314lx, 밝기 = 400cd/m2
휘도 = 0.80*314/3.14 = 80

대비 = (휘도-전체휘도)/휘도
         = (휘도-(밝기+휘도))/휘도
         = -밝기/휘도
         = -400/80
         =-5.0
[해설작성자 : ㄱㅌ]

39. 공장설비의 안전화를 위하여 레이아웃에 대한 검토를 요하는 사항과 거리가 먼 것은?
     1. 작업의 흐름에 따라 기계설비를 배치시켜 필요없는 운반작업을 극력 배제
     2. 안전한 통로를 설정하고 작업장소와 통로는 명확히 구분
     3. 재료, 제품, 공구들을 놓아둘 곳을 충분히 확보할 것
     4. 필요한 안전장치를 설치할 것

     정답 : []
     정답률 : 22%

40. F.T.A(Fault Tree Analysis)란 무엇인가?
     1. 재해발생을 귀납적, 정성적으로 해석, 예측할 수 있다.
     2. 재해발생을 연역적, 정성적으로 해석, 예측할 수 있다.
     3. 재해발생을 연역적, 정량적으로 해석, 예측할 수 있다.
     4. 재해발생을 귀납적, 정량적으로 해석, 예측할 수 있다.

     정답 : []
     정답률 : 39%

3과목 : 기계위험방지기술


41. 산업용 로봇의 안전방호사항으로 적합한 것은?
     1. 정지된 로봇작업의 가동영역에 출입시 정지상태의 종류를 파악해야 한다.
     2. 로봇작업은 완전자동이므로 안전장치는 필요없다.
     3. 안전플러그는 항상 방책에 고정되어져야 한다.
     4. 비상정지기능이 해제된 후 즉시 자동으로 작업이 복구되어야 한다.

     정답 : []
     정답률 : 56%

42. 다음 중 동력전달장치에서 재해가 가장 많이 발생하는 것은?
     1. 치차(gear)
     2. 벨트(belt)
     3. 축(shaft)
     4. 커플링(coupling)

     정답 : []
     정답률 : 48%

43. 실제용접에서 정격전류 보다 적은전류로 용접하는 경우가 많은데 이때의 허용 사용률(%) 정의로 맞는 것은?
     1. (아크발생시간 / 작업시간) × 100
     2. (아크시간 / 아크시간 + 휴식시간) × 100
     3. 사용율 = (작업시간 / 아크발생시간) × 100
     4. (정격2차전류)2 / (실제용접전류)2 × 정격 사용률

     정답 : []
     정답률 : 52%

44. 보일러의 안전장치에 해당하지 않는 것은?
     1. 압력제한스위치
     2. 압력방출장치
     3. 고·저수위조절장치
     4. 비상정지장치

     정답 : []
     정답률 : 70%
     <문제 해설>
안전밸브.압력제한장치(압력차단스위치).과열방지스위치.저수위차단장치.연소안전장치.연료공급안전장치
가스누설안전장치

45. 그림에서와 같이 100 N의 물건을 불안하게 매달았을 때, 로프 1 및 로프 2 에 작용하는 장력의 크기는?

    

     1. 로프 1 = 50 N, 로프 2 = 50 N
     2. 로프 1 = 50 √3 N, 로프 2 = 50 N
     3. 로프 1 = 50 N, 로프 2 = 50 √3 N
     4. 로프 1 = 50 √3 N, 로프 2 = 50 √3 N

     정답 : []
     정답률 : 43%
     <문제 해설>
로프 1이 받는 힘 = 100N X sin(30)
로프 2가 받는 힘 = 100N X sin(60)
[해설작성자 : comcbt.com 이용자]

46. 프레스의 안전장치 중 가장 완전한 방호가 가능한 안전장치는?
     1. 수인식
     2. 손쳐내기식
     3. 양수조작식
     4. 게이트가드식

     정답 : []
     정답률 : 49%

47. 슬라이드가 내려옴에 따라 손을 쳐내는 막대가 좌우 또는 앞뒤로 왕복하면서 위험점으로부터 손을 보호하여 주는 프레스의 안전장치는?
     1. 스위프 가아드
     2. 풀아웃
     3. 게이트 가아드
     4. 양손조작장치

     정답 : []
     정답률 : 48%

48. 다음 중 보일러에 관한 설명으로서 옳지 않은 것은?
     1. 수면계의 고장은 과열의 원인이 된다.
     2. 부적당한 급수처리는 부식의 원인이 된다.
     3. 안전밸브의 작동불량은 압력상승의 원인이 된다.
     4. 안전장치가 불량할 때에는 최대사용기압에서 파열하는 원인이 된다.

     정답 : []
     정답률 : 39%
     <문제 해설>
안전장치가 불량하더라도 최대사용기압을 초과하였을 때는 파열할 수 있으나, 최대사용기압에서 파열하지 않아야 합니다.
[해설작성자 : 김종성]

49. 축의 설계시 주의할 점이 아닌 것은?
     1. 변형
     2. 강도
     3. 회전방향
     4. 열응력

     정답 : []
     정답률 : 36%
     <문제 해설>
축은 회전체로써 핀에 의해 고정되기 때문에 특수한 경우가 아닌 이상 양방향 회전이 가능합니다.
────ㅁ──── ㅁ의 형태가 핀의 구조임
[해설작성자 : 수도꼭지를 시계방향으로 돌려줘]

50. 선반에서 사용하는 바이트와 관련된 방호장치는?
     1. 브레이크
     2. 터릿
     3. 칩 브레이커
     4. 주축대

     정답 : []
     정답률 : 74%

51. 2000(rpm)인 연삭숫돌의 지름이 5(cm)이라면 최대원주속도는? (단, π = 3.14임.)
     1. 78.5 cm/min
     2. 78.5 m/min
     3. 314.0 cm/min
     4. 314.0 m/min

     정답 : []
     정답률 : 48%
     <문제 해설>
최대원주속도 = 숫돌지름 X π X 분당회전속도(RPM)
[해설작성자 : comcbt.com 이용자]

52. 용접장치에 사용되는 가스 장치실의 구조에 대한 설명 중 틀린 것은?
     1. 벽의 재료는 불연성의 재료를 사용할 것
     2. 천정과 벽은 견고한 콘크리트 구조일 것
     3. 가스누출시 당해 가스가 정체되지 않도록 할 것
     4. 지붕 및 천정의 재료는 가벼운 불연성의 재료를 사용할 것

     정답 : []
     정답률 : 56%
     <문제 해설>
벽은 *_*"철근 콘크리트"*_* 또는 그 이상의 강도를 가진 구조
천장은 해당 없음
[해설작성자 : 집에서는 공부가 안 돼]

53. 양도, 대여, 설치가 제한되는 위험기계기구에 해당되지않는 것은?
     1. 보일러
     2. 프레스
     3. 선반
     4. 연삭기

     정답 : []
     정답률 : 29%

54. 프레스 작업에서 가장 중요한 점검은?
     1. 클러치의 정상적 작동 상태
     2. 동력부분
     3. 받침대
     4. 전원장치

     정답 : []
     정답률 : 65%

55. 승강기의 안전장치가 아닌 것은?
     1. 조속기
     2. 출입문 인터로크
     3. 이탈방지장치
     4. 화이날 리미트 스위치

     정답 : []
     정답률 : 39%

56. 크레인 로프에 4ton의 중량을 걸어 2m/sec2의 가속도로 감아올릴 때 로프에 걸리는 하중은? (단, 중력가속도는 9.8m/sec2 이다.)
     1. 4063kg
     2. 4193kg
     3. 4243kg
     4. 4816kg

     정답 : []
     정답률 : 46%

57. 기계부품에 작용하는 힘 중에서 안전율을 가장 크게 취하여야 할 힘의 종류는?
     1. 반복하중
     2. 교번하중
     3. 충격하중
     4. 정하중

     정답 : []
     정답률 : 58%
     <문제 해설>
* 안전율을 가장 크게 취하여야 할 힘 : 충격하중
* 안전율을 가장 작게 취하여야 할 힘 : 정하중
[해설작성자 : 미싱꼭지]

58. 다음 유해·위험기계·기구 중에서 진동과 소음을 동시에 수반되는 기계설비가 아닌 것은?
     1. 컨베이어
     2. 사출기
     3. 아세틸렌용접장치
     4. 공기압축기

     정답 : []
     정답률 : 57%

59. 전동공구 작업시 주의사항으로 틀린 것은?
     1. 전기드릴 작업시 구멍이 잘 뚫릴 수 있도록 강한 힘을 가해 작업한다.
     2. 진동공구 사용시 진동방지장갑, 청력보호구, 마스크를 착용하고 작업한다.
     3. 전기그라인더 사용시 최고회전수 상태에서 작업을 한다.
     4. 납땜 인두 작업시 배기시설을 확인한 후 작업한다.

     정답 : []
     정답률 : 51%

60. 호이스트(hoist)에서 버튼식 조정판에 연결하는 전원은 얼마가 가장 적당한가?
     1. 200V 이하
     2. 200V 이상
     3. 100V 이상
     4. 100V 이하

     정답 : []
     정답률 : 37%

4과목 : 전기위험방지기술


61. 코로나 방전이 발생하면 공기 중에 무엇이 생성되는가?
     1. O2
     2. O3
     3. N2
     4. N3

     정답 : []
     정답률 : 65%

62. 아세톤을 취급하는 작업장에서 작업자의 정전기 방전으로 인한 화재폭발 재해를 방지하기 위해서는 인체대전전위는 얼마이하로 유지해야 하는가? (단, 인체의 정전용량 100(PF)이고, 아세톤의 최소 착화에너지는 1.15(mJ)로 하며 기타의 조건은 무시한다)
     1. 1.5 × 103(V)
     2. 2.6 × 103(V)
     3. 3.7 × 103(V)
     4. 4.8 × 103(V)

     정답 : []
     정답률 : 30%
     <문제 해설>
에너지(J) = 1/2 X 정전용량(F) X 전압(V)^2
[해설작성자 : comcbt.com 이용자]

63. 전동기를 운전하고자 할 때 개폐기의 조작순서가 맞는 것은?
     1. 메인 스위치 - 분전반 스위치 - 전동기용 개폐기
     2. 분전반 스위치 - 메인 스위치 - 전동기용 개폐기
     3. 전동기용 개폐기 - 분전반 스위치 - 메인 스위치
     4. 분전반 스위치 - 전동기용 스위치 - 메인 스위치

     정답 : []
     정답률 : 62%

64. 조명기구 선정시 고려하여야 할 사항이 아닌 것은?
     1. 직사 눈부심이 없을 것
     2. 반사 눈부심을 적게 할 것
     3. 필요한 조명을 주며 수직, 경사면의 조도가 적당할 것
     4. 조명기구는 설치보다 유지관리에 중점을 둘 것

     정답 : []
     정답률 : 73%

65. 방폭지역의 구분시 환기가 충분한 장소란 "대기중의 가스. 증기의 밀도가 폭발하한계의 ( )를 초과하여 축적되는 것을 방지하는데 충분한 환기량이 보장되는 장소"를 말한다. 이 때 ( )안 알맞는 수치는?
     1. 20%
     2. 25%
     3. 30%
     4. 40%

     정답 : []
     정답률 : 38%
     <문제 해설>
대기중의 가스 또는 증기의 밀도가 폭발 하한계의 25%를 초과하여 축적되는 것을 방지하기 위한 충분한 환기량이 보장되는 장소
[해설작성자 : comcbt.com 이용자]

66. 가습에 의한 부도체의 정전기 대전방지에서 사용할 수 없는 부도체는 다음 중 어느 기를 가진 물질인가?
     1. OH
     2. C6H6
     3. NH2
     4. COOH

     정답 : []
     정답률 : 41%

67. 교류아크 용접기를 용접 중단하였을 경우 용접봉에 인가되는 안전전압[V]은?
     1. 10 이하
     2. 25 이하
     3. 50 이하
     4. 70 이하

     정답 : []
     정답률 : 62%
     <문제 해설>
전기 파트 잘 모르시면 [10옴] [25V]    [500옴-13.61J]    [1000옴-136.1J]    외우시면 좋습니다 ㅎㅎ
[해설작성자 : 김뿡빵]

68. 접지 저항값이 맞는 것은?(관련 규정 개정전 문제로 여기서는 기존 정답인 2번을 누르면 정답 처리됩니다. 자세한 내용은 해설을 참고하세요.)
     1. 제1종접지 : 100[Ω]이하
     2. 제2종접지 : 150/1선지락전류 [Ω]
     3. 제3종접지 : 10[Ω]이하
     4. 특별 제3종접지 : 100[Ω]이하

     정답 : []
     정답률 : 52%
     <문제 해설>
(2021년 KEC 규정 변경으로 인하여 종별 접지관련 문제는 출제되지 않습니다.)

69. 인체의 전기저항 R을 1000[Ω]이라하면 이때 위험 한계 에너지는 몇 J인가? (단, 통전시간은 1초임)
     1. 17.22
     2. 27.22
     3. 37.22
     4. 47.22

     정답 : []
     정답률 : 56%
     <문제 해설>
위험한계 전류 = 165루트(T:시간) 이므로 =165mA 가 된다.
위험한계에너지 = 165mA^2 X 1000[Ω] X T(시간) 이므로 = 27.22J이 된다.
[해설작성자 : comcbt.com 이용자]

70. 지중에 매설된 금속제의 수도관에 접지할 수 있는 경우의 접지 저항값은?
     1. 1[Ω] 이하
     2. 2[Ω] 이하
     3. 3[Ω] 이하
     4. 4[Ω] 이하

     정답 : []
     정답률 : 32%

71. 두가지 용제를 사용하고 있는 어느 도장공장에서 폭발사고가 발생하여 3사람의 부상자를 발생시켰다. 부상자가 입고 있던 조건의 복장으로 정전용량이 120pF 인 사람이 5m 도보후 표면전위를 측정했더니 3000V가 측정되었다. 사용한 혼합용제 가스의 최소 착화에너지는 얼마 이었겠는가?
     1. 0.56mJ 이상
     2. 0.54mJ 이하
     3. 1.09mJ 이상
     4. 1.08mJ 이하

     정답 : []
     정답률 : 38%
     <문제 해설>
1/2CV^2 의 공식을 사용
[해설작성자 : comcbt.com 이용자]

72. 정전작업은 일상생활에 불편을 주어서는 아니되므로 시간을 단축하거나 심야에 작업을 하게 된다. 정전작업 종료시 통전을 위한 순서가 올바른 것은?
     1. 단락접지기구철거 - 개폐기투입 - 작업자에 대한 위험 여부 확인 - 위험표시철거
     2. 단락접지기구철거 - 위험표시철거 - 작업자에 대한 위험 여부 확인 - 개폐기 투입
     3. 개폐기투입 - 위험표시철거 - 작업자에 대한 위험 여부 확인 - 단락접지기구확인
     4. 작업자에 대한 위험 여부 확인 - 단락접지기구 철거 - 개폐기투입 - 위험표시철거

     정답 : []
     정답률 : 20%

73. 아아크를 발생하는 고압용 전기기계, 기구는 가연성물질에 인화되지 않도록 벽 또는 천정으로부터 최소 몇[m]이상 이격하여야 하는가?
     1. 1
     2. 1.5
     3. 2.5
     4. 3.0

     정답 : []
     정답률 : 28%

74. 다음은 내압방폭구조의 기본적 성능에 관한 사항이다. 해당되지 않는 것은?
     1. 내부에서 폭발할 경우 그 압력에 견딜 것.
     2. 습기침투에 대한 보호가 될 것.
     3. 폭발이 외부로 유출되지 않을 것.
     4. 외함 표면온도가 주위의 가연성가스를 점화시키지 않을 것.

     정답 : []
     정답률 : 66%

75. 정전기 발생 방지책이 아닌 것은?
     1. 접지
     2. 가습
     3. 보호구의 착용
     4. 배관내 유속가속

     정답 : []
     정답률 : 56%

76. 정전기 발생현상의 분류에 해당되지 않는 것은?
     1. 마찰대전
     2. 박리대전
     3. 유동대전
     4. 유체대전

     정답 : []
     정답률 : 65%

77. 전동기용 퓨우즈의 사용 목적이 알맞는 것은?
     1. 회로에 흐르는 과전류 차단
     2. 과전압 차단
     3. 누설전류 차단
     4. 역전시 과전류 차단

     정답 : []
     정답률 : 59%

78. 정전기 방전으로 인한 재해가 발생될 조건이 아닌 경우는?
     1. 방전하기에 충분한 전하가 축적되어 있을 때
     2. 부도체의 대전방지를 위해 접지를 한 경우
     3. 대전물체의 전계 세기가 1[mV/m]이상 일 때
     4. 정전기방전 에너지가 주변 가스의 최소 착화 에너지 이상일 때

     정답 : []
     정답률 : 20%

79. 인체의 피부전기저항은 여러가지의 제조건에 의해서 변화를 일으키는데 제조건으로써 가장 가까운 것은?
     1. 피부의 청결
     2. 피부의 노화
     3. 인가전압의 크기
     4. 통전경로

     정답 : []
     정답률 : 44%

80. 제전기는 공기 중 이온을 생성해서 제전을 하는데 다음 중 제전능력이 가장 뛰어난 제전기는?
     1. 이온제어식
     2. 전압인가식
     3. 방사선식
     4. 자기방전식

     정답 : []
     정답률 : 40%

5과목 : 화학설비위험방지기술


81. 빈혈 및 백혈병의 주원인이 되는 유해성 물질은?
     1. 벤젠
     2. 염소
     3. 광물성 분진
     4. 카드늄

     정답 : []
     정답률 : 37%
     <문제 해설>
2번 염소 : 호흡기, 폐부종
3번 분진 : 호흡기, 진폐증
4번 카드뮴 : 신장, 뼈, 이타이이타이병

82. 발화성 약품을 저장하는 다음의 방법 중 틀린 것은?
     1. 황인은 물속에 저장
     2. 나트륨은 석유속에 저장
     3. 칼륨은 석유속에 저장
     4. 적린은 물속에 저장

     정답 : []
     정답률 : 46%

83. 왕복식 압축기의 운전중 실린더 주변에 이상음이 발생한 경우의 원인이 될수 없는 것은?
     1. 주축수의 이완
     2. 피스톤링의 마모 파손
     3. 흡입, 배기밸브의 불량
     4. 실린더내의 물 기타 이물질 혼입

     정답 : []
     정답률 : 56%

84. 다음 분말소화약제 중 ABC분말의 주성분은 어느 것인가?
     1. NH4H2PO4
     2. Na2CO3
     3. Na2SO4
     4. K2CO3

     정답 : []
     정답률 : 55%

85. 원유정제처리업의 사업주는 안전성 확보를 위해 공정안전보고서를 제출하도록 법제화 하였다. 공정안전 보고서에 포함되어야 할 사항으로 거리가 먼 것은?
     1. 공정안전자료
     2. 공정위험성평가서
     3. 평균산업재해율
     4. 비상조치계획

     정답 : []
     정답률 : 53%

86. 압력상승에 기인하는 피해가 예측되는 경우에 검토를 요하는 사항과 거리가 가장 먼 것은?
     1. 가연성혼합기의 형성상황
     2. 압력상승시의 취약부 파괴
     3. 압력파의 전파, 반사, 간섭
     4. 개구부가 있는 공간내의 화염전파와 압력상승

     정답 : []
     정답률 : 27%

87. 물 분무 소화기에 대한 설명 중 틀린 것은?
     1. A급 화재의 소화에 적합하다.
     2. 수동 펌프식과 가스 가압식이 있다.
     3. 가장 구형의 화학소화기로 일명 중탄산나트륨식 소화기라고도 한다.
     4. 수동 펌프식은 수동펌프를 연속적으로 조작하여 물을 방사하도록 되어 있다.

     정답 : []
     정답률 : 56%

88. 다음 중 산업안전보건법상 위험물질의 기준량을 올바르게 나타낸 것은?
     1. 과염소산 - 50kg
     2. 에틸에테르 - 150L
     3. 시안화수소 - 5kg
     4. 부식성 염기류 - 200kg

     정답 : []
     정답률 : 41%
     <문제 해설>
과염소산 : 300Kg
에틸에테르 : 200L
시안화수소 : 5Kg
부식성 염기류 : 300Kg
[해설작성자 : comcbt.com 이용자]

89. 다음은 상압의 공기.아세틸렌 혼합가스의 최소발화에너지(MIE)에 관한 사항이다. 옳은 것은?
     1. 압력이 클수록 MIE는 증가한다.
     2. 불활성물질의 증가는 MIE를 감소시킨다.
     3. 상압의 공기.아세틸렌 혼합가스의 경우 약 9%에서 최대값을 나타낸다.
     4. 일반적으로 화학양론농도 보다도 조금 높은 농도 일때에 극소값이 된다.

     정답 : []
     정답률 : 33%

90. 가연성가스가 충전된 용기를 사용할 때 잘못된 작업 방법은?
     1. 전도의 위험을 없도록 한다.
     2. 밸브의 개폐를 신속히 한다.
     3. 용기의 온도를 섭씨 40도 이하로 유지한다.
     4. 충격이나 화기 기타 발화원이 없도록 조치한다.

     정답 : []
     정답률 : 63%

91. 산업안전보건법상 위험물질을 분류한 것이다. 옳은 것은?
     1. 폭발성물질 - 마그네슘
     2. 금수성물질 - 황화린
     3. 인화성물질 - 유기과산화물
     4. 산화성물질 - 중크롬산

     정답 : []
     정답률 : 36%

92. 마그네슘의 저장 및 안전취급에 관한 설명 중 틀린 것은?
     1. 산화제와 접촉을 피한다.
     2. 일단 점화하면 발열량이 크므로 소화가 곤란하다.
     3. 분진폭발성이 있으므로 누설되지 않도록 포장한다.
     4. 고온에서 유황 및 할로겐과 접하면 흡열반응을 한다.

     정답 : []
     정답률 : 57%

93. 사업주가 가스집합장치를 설치하려 한다. 화기로부터 몇m 이상 떨어진 장소에 설치하여야 하는가?
     1. 5m
     2. 10m
     3. 20m
     4. 30m

     정답 : []
     정답률 : 29%

94. 활성화에너지 E가 대체적으로 같은 값을 가지는 가연성기체의 폭발하한계(x)와 몰 연소열(Q)사이에는 어떤 근사적인 관계가 성립하는가? (단, n은 정수임.)
     1. x·Q = 일정
     2. x/Q = 일정
     3. Q/x = 일정
     4. xn·Q = 일정

     정답 : []
     정답률 : 31%

95. 공기 중에서 아세틸렌의 폭발 하한계는 2.5(부피%)이다. 이 경우 표준상태에서 아세틸렌과 공기의 혼합기체 1m3에 함유되어 있는 아세틸렌의 양은 약 몇 g 인가?
     1. 9
     2. 19
     3. 29
     4. 39

     정답 : []
     정답률 : 30%
     <문제 해설>
1mL=1CM^3
1M^3 = 1000000mL = 1000L

1000L/22.4L = 44.64 mol
폭발하한계 Vol% 까지만 혼합기체에 존재해야 하므로
44.64 mol * 0.025 = 1.116 mol

아세틸린 몰분자량 = 26g
따라서 26g/mol * 1.116 mol = 29.02g
[해설작성자 : 열공파파]

96. 용적비율로 80% CH4, 15% C2H6, 4% C3H8, 1% C4H10로 이루어진 혼합가스의 폭발범위(vol%)는 약 얼마인가? [단, 각 가스의 폭발범위(vol%)는 CH4 5∼15, C2H6 3∼12.5, C3H8 2.1∼9.5, C4H10 1.9∼8.5 이다.]
     1. 4.33∼15.22
     2. 4.27∼14.14
     3. 4.33∼14.14
     4. 4.27∼15.22

     정답 : []
     정답률 : 49%

97. 화학적 반응에 의한 에너지가 점화원이 되지 않게 할 수있는 대책중 거리가 가장 먼 것은?
     1. 불활성화 시킴
     2. 모든 도전체의 접지
     3. 온도와 압력의 제어
     4. 격벽을 이용한 저장공법

     정답 : []
     정답률 : 45%

98. 다음 중 반응기의 구조 방식에 의한 분류에 해당하는 것은?
     1. 연속식 반응기
     2. 유동층형 반응기
     3. 반회분식 반응기
     4. 회분식 균일상반응기

     정답 : []
     정답률 : 46%
     <문제 해설>
구조에 따른 분류
1.관형 2.교반조형 3.탑형 4.유동층형

조작 방법에 따른 분류
1.회분식 2.반회분식 3.연속식 4.플러그
[해설작성자 : 테크]

99. 다음 중 할로겐화 반응의 특징이 아닌 것은?
     1. 강한 발열반응이다.
     2. 연쇄반응에 의해 진행되어 반응속도가 빠르다.
     3. 수분이 존재하면 부식성이 있는 물질을 생성시킨다.
     4. 부반응이 일어나는 경우 대량의 열이 발생되어 위험하다.

     정답 : []
     정답률 : 19%
     <문제 해설>
할로겐화 반응 이란? : 할로겐 원소(F, Cl, Br, I 등)가 다른 원소(주로 유기화합물)와 반응하여 할로겐화 화합물을 생성하는 반응

수분 존재 시 부식성 물질 생성은 일반적으로 염소, 플루오르 등의 기체 자체가 수분과 반응할 때 발생->할로겐화 반응X
[해설작성자 : 2005년 무한도전 시작]

100. 압력용기, 배관, 덕트 및 봄베 등의 밀폐장치가 과잉압력 또는 진공에 의해 파손될 위험에 있을 경우 이를 방지하기 안전장치로서 특히 화학변화에 의한 에너지 방출과 같이 짧은 시간내의 급격한 압력변화에 적합한 것은?
     1. 파열판
     2. 체크밸브
     3. 대기밸브
     4. 밴드스텍

     정답 : []
     정답률 : 58%

101. 산업안전보건법상 자체검사 대상 기계·기구가 아닌 것은?
     1. 프레스 및 전단기
     2. 크레인(호이스트 포함)
     3. 곤도라
     4. 지게차

     정답 : []
     정답률 : 36%
     <문제 해설>
1)프레스 2)전단기 3)크레인 4)리프트    5)압력용기    6)곤돌라 7)국소 배기장치 8)원심기    9)롤러기 10)사출성형기 11)고소작업대 12)컨베이어 13)산업용 로봇
[해설작성자 : swgyu]

102. 토석붕괴 방지방법에 대한 설명으로 틀린 것은?
     1. 말뚝(강관, H형강, 철근콘크리트)을 박아 지반을 강화시킨다.
     2. 활동의 가능성이 있는 토석은 제거한다.
     3. 지표수가 침투되지 않도록 배수시키고 지하수위 저하를 위해 수평보링을 하여 배수시킨다.
     4. 활동에 의한 붕괴를 방지하기 위해 비탈면, 법면의 상단을 다진다.

     정답 : []
     정답률 : 57%
     <문제 해설>
4번문항이 틀렷다기 보다는 가장 거리가멈 근본적인 해결책이 아님
[해설작성자 : 보라매 오키토키]

103. 철골공사 작업시 산업안전보건법상 작업을 중지해야 할 악천후는?
     1. 풍속 8 m/sec
     2. 강우량 1.5 mm/hr
     3. 강설량 5 mm/hr
     4. 지진 진도 1.0

     정답 : []
     정답률 : 50%
     <문제 해설>
철골공사 작업을 중지하여야 하는 기후조건
1. 풍속 10 m/sec 이상인 경우
2. 강우량 1 mm/hr 이상인 경우
3. 강설량 1 ㎝/hr 이상인 경우
4. 지진은 일반공사 진도 4 이상인 경우
[해설작성자 : 쪼롱]

104. 달비계 작업발판의 최대적재하중을 정함에 있어서 안전계수로 옳은 것은?
     1. 달기 와이어로프(Wire rope) : 5 이상
     2. 달기강선 : 5 이상
     3. 달기 체인(Chain) : 3 이상
     4. 달기 훅(Hook) : 5 이상

     정답 : []
     정답률 : 55%
     <문제 해설>
1.달기 와이어로프(Wire rope) : 5 이상 -> 10 이상
2.달기강선 : 5 이상 -> 10 이상
3.달기 체인(Chain) : 3 이상 -> 5 이상

4.달기 훅(Hook) : 5 이상 (o)
[해설작성자 : 가자고오]

105. 강선의 안전계수가 4이고 2000kg/cm2 의 인장강도를 갖는 경우에 최대허용응력은?
     1. 500 kg/cm2
     2. 1000 kg/cm2
     3. 1500 kg/cm2
     4. 2000 kg/cm2

     정답 : []
     정답률 : 68%
     <문제 해설>
4=2000/X
안전계수=인장강도/최대허용응력
x=500
[해설작성자 : 히둥]

106. 흙의 연경도에서 소성상태와 액성상태 사이의 한계를 무엇이라 하는가?
     1. 에터버그(Atterberg)한계
     2. 액성한계
     3. 소성한계
     4. 수축한계

     정답 : []
     정답률 : 21%
     <문제 해설>
애터버그한계 (Atterberg)
액성한계, 소성한계, 수축한계 등의 한계함수비

액성한계 (Lquid limit)
소성상태에서 액성상태로 변환되는 점에서의 함수비

소성한계 (Plastic limit)
반고체상태에서 소성상태로 변환되는 점에서의 함수비

수축한계 (Shrinkage limit)
고체상태에서 반고체상태로 변환되는 점에서의 함수비.수분의 감소가 더 이상 체적 변화에 영향을 미치지 않는 상태
[해설작성자 : Cadillac]

107. 콘크리트 타설시의 유의사항 중 옳지 않은 것은?
     1. 콘크리트 타설 도중 표면에 떠올라 고인 블리딩수가 있을 경우에는 콘크리트 표면에 홈을 만들어 흐르게 하는 등 적당한 조치를 취해야 한다.
     2. 비비기로부터 타설시까지 시간은 외기온도 25℃ 이상에서는 1.5시간을 넘어서는 안된다.
     3. 타설시 콘크리트의 재료분리는 가능한 적게 일어나도록 해야 한다.
     4. 타설한 콘크리트를 거푸집 안에서 횡방향으로 이동시켜서는 안된다.

     정답 : []
     정답률 : 17%
     <문제 해설>
3번 : 재료분리는 절대 일어나지 않도록 주의해야 한다
[해설작성자 : 2005년 서울 어린이대공원]

108. 다음 중 건설용 양중기에 해당하지 않는 것은?
     1. 곤도라
     2. 리프트
     3. 최대하중이 0.25톤 미만인 승강기
     4. 크레인

     정답 : []
     정답률 : 61%

109. 다음 중 터널 굴착 작업시 시공계획에 포함되어야 할 사항으로 거리가 먼 것은?
     1. 굴착의 방법
     2. 터널 지보공 및 복공의 시공 방법과 용수의 처리 방법
     3. 환기 또는 조명시설을 하는 때에는 그 방법
     4. 계기의 이상 유무 점검

     정답 : []
     정답률 : 52%

110. 흙의 안식각을 가장 잘 설명한 것은?
     1. 자연 경사각
     2. 비탈면 각
     3. 시공 경사각
     4. 계획 경사각

     정답 : []
     정답률 : 34%

111. 본 터널(main tunnel)을 시공하기 전에 터널에서 약간 떨어진 곳에 지질조사, 환기, 배수, 운반 등의 상태를 알아보기 위하여 설치하는 터널은?
     1. 파이럿(pilot) 터널
     2. 프리패브(prefab) 터널
     3. 사이드(side) 터널
     4. 쉴드(shield) 터널

     정답 : []
     정답률 : 67%
     <문제 해설>
파일럿 터널: 본 터널을 시공하기 전에 터널에서 약간 떨어진 곳에 지질조사, 환기, 배수, 운반 등의 상태를 알아보기 위하여 설치하는 터널
쉴드 터널 : 터널공법의 하나로 지반 내에 쉴드(shield)라 부르는 강제 원통모양의 외각(外殼)을 가진 굴진기를 추진시켜 터널을 구축하는 공법.
[해설작성자 : 틀린거또틀려]

112. 강관비계의 종류 중 단관비계를 설치할 때 조립간격으로 옳은 것은? (단, 수직방향, 수평방향의 순서임)
     1. 4m, 4m
     2. 5m, 5m
     3. 5.5m, 7.5m
     4. 6m, 8m

     정답 : []
     정답률 : 55%
     <문제 해설>
2 - 단관 비계
3 - 통나무 비계
4 - 틀비계
[해설작성자 : comcbt.com 이용자]

113. 철제거푸집의 장점이 아닌 것은?
     1. 강성이 크다.
     2. 수밀성이 좋다.
     3. 정밀도가 높다.
     4. 가볍다.

     정답 : []
     정답률 : 68%

114. 콘크리트 타설시 내부진동기를 이용한 진동다지기를 할 때 사용상의 주의사항으로 잘못된 것은?
     1. 여러층으로 나누어 진동다지기를 할 때는 진동기를 하층의 콘크리트 속으로 찔러 넣어서는 안된다.
     2. 진동기는 수직방향으로 넣고 간격은 약 50㎝이하로 한다.
     3. 진동기를 넣고 나서 뺄때까지 시간은 보통 5 ∼15초가 적당하다.
     4. 진동기를 가지고 거푸집속의 콘크리트를 옆 방향으로 이동시켜서는 안된다.

     정답 : []
     정답률 : 31%
     <문제 해설>
내부진동기의 사용 방법
1. 진동다지기를 할 때에는 내부진동기를 하층의 콘크리트 속으로 0.1m 정도 찔러 넣는다.
[해설작성자 : 가자고오]

115. 다음 중 발파공의 충전재료로 부적당한 것은?
     1. 점토
     2. 모래
     3. 비발화성 물질
     4. 인화성 물질

     정답 : []
     정답률 : 62%

116. 높이 2m 이상인 작업장에 설치하는 작업발판의 구조 및 설비에 관한 기준으로 옳지 않은 것은?
     1. 발판의 폭이 40cm이상이 되도록 한다.
     2. 발판재료 간의 틈은 3cm이하로 한다.
     3. 작업발판을 작업에 따라 이동할 때에는 불시의 이동에 따른 위험방지 조치를 한다.
     4. 작업발판재료는 전위나 탈락이 없도록 1이상의 지지물에 연결하거나 고정시킨다.

     정답 : []
     정답률 : 64%
     <문제 해설>
2개 이상의 지지물에 연결
[해설작성자 : 간태상]

117. 다음 중 강말뚝의 특징으로 틀린 것은?
     1. 허용응력이 크다.
     2. 내부식성이 크다.
     3. 말뚝길이에 비교적 제한을 받지 않는다.
     4. 굳은 지층에도 관입시킬 수 있다.

     정답 : []
     정답률 : 37%

118. 다음 중 지반의 굴착시 풍화암의 기울기 기준으로 적절한 것은?(2021년 11월 19일 개정된 규정 적용됨)
     1. 1 : 5
     2. 1 : 0.8
     3. 1 : 1.0
     4. 1 : 1.5

     정답 : []
     정답률 : 60%
     <문제 해설>
[기존 규정]
습지 1:1~1:1.5
건지 1:0.5~1:1
풍화암 1:0.8
연암 1:0.5
경암 1:0.3

2021년 11월 19일 개정된 규정
습지 : 1:1~1:1.5
건지 : 1:0.5~1:1
풍화암 : 1:1.0(변경)
연암 : 1:1.0(변경)
경암 : 1:0.5(변경)

119. 롤러의 표면에 돌기를 만들어 부착한 것으로 돌기가 전압층에 매입함에 의해 풍화암을 파쇄하여 흙 속의 간극수압을 소산하게 하고, 다짐의 유효 깊이가 큰 롤러는 무엇인가?
     1. 머캐덤롤러
     2. 탠덤롤러
     3. 탬핑롤러
     4. 타이어롤러

     정답 : []
     정답률 : 58%

120. 특수지반 개량공법 중 하나인 지하연속벽 공법(Slurry Wall)의 특징이 아닌 것은?
     1. 소음과 진동이 다른 항타, 인발 등을 동반하는 공법에 비해 낮다.
     2. 시공 조인트의 처리를 잘하면 높은 차수성을 기대할 수 있다.
     3. 지반 조건에 좌우되지 않는다.
     4. 차수성이 우수하나 임의의 치수와 형상을 선택할 수 없다.

     정답 : []
     정답률 : 30%


정 답 지

1

2

3

4

5

6

7

8

9

10

11

12

13

14

15

16

17

18

19

20

21

22

23

24

25

26

27

28

29

30

31

32

33

34

35

36

37

38

39

40

41

42

43

44

45

46

47

48

49

50

51

52

53

54

55

56

57

58

59

60

61

62

63

64

65

66

67

68

69

70

71

72

73

74

75

76

77

78

79

80

81

82

83

84

85

86

87

88

89

90

91

92

93

94

95

96

97

98

99

100

101

102

103

104

105

106

107

108

109

110

111

112

113

114

115

116

117

118

119

120

산업안전기사 필기 기출문제(해설) 및 CBT 2005년03월20일을 이용해 주셔서 감사합니다.
산업, 안전, 기사, 산업안전기사, 필기, 기출문제, 전자문제집, CBT, 온라인, 모의테스트, 모의고사



List of Articles
번호 제목 글쓴이 날짜 조회 수
3768 산림기사 필기 기출문제(해설) 및 CBT 2015년03월08일 좋은아빠되기 2025.11.15 5
3767 수능(세계사) 필기 기출문제(해설) 및 CBT 2014년07월10일 좋은아빠되기 2025.11.15 4
3766 PSAT 언어논리 필기 기출문제(해설) 및 CBT 2018년03월10일 좋은아빠되기 2025.11.15 3
3765 건축기사 필기 기출문제(해설) 및 CBT 2022년03월05일 좋은아빠되기 2025.11.15 4
» 산업안전기사 필기 기출문제(해설) 및 CBT 2005년03월20일 좋은아빠되기 2025.11.15 5
3763 9급 국가직 공무원 교육학개론 필기 기출문제(해설) 및 CBT 2022년04월02일 좋은아빠되기 2025.11.15 4
3762 워드프로세서 (구 1급) 필기 기출문제(해설) 및 CBT 2008년07월20일 좋은아빠되기 2025.11.15 3
3761 초음파비파괴검사기사 필기 기출문제(해설) 및 CBT 2015년08월16일 좋은아빠되기 2025.11.15 4
3760 미용사(네일) 필기 기출문제(해설) 및 CBT 2016년01월24일 좋은아빠되기 2025.11.15 5
3759 경비지도사 2차(경호학) 필기 기출문제(해설) 및 CBT 2022년11월12일 좋은아빠되기 2025.11.15 3
3758 초음파비파괴검사산업기사 필기 기출문제(해설) 및 CBT 2015년08월16일 좋은아빠되기 2025.11.15 4
3757 화약류관리산업기사 필기 기출문제(해설) 및 CBT 2008년03월02일 좋은아빠되기 2025.11.15 5
3756 컨벤션기획사 2급(구) 필기 기출문제(해설) 및 CBT 2020년08월22일 좋은아빠되기 2025.11.15 4
3755 플라스틱창호기능사 필기 기출문제(해설) 및 CBT 모의고사(2025년 11월 15일)(7235123) 좋은아빠되기 2025.11.15 3
3754 9급 지방직 공무원 서울시 정보봉사개론 필기 기출문제(해설) 및 CBT 모의고사(2025년 11월 15일)(152370) 좋은아빠되기 2025.11.15 4
3753 자기비파괴검사기사(구) 필기 기출문제(해설) 및 CBT 2006년03월05일 좋은아빠되기 2025.11.15 5
3752 정보처리산업기사 필기 기출문제(해설) 및 CBT 모의고사(2025년 11월 15일)(7816921) 좋은아빠되기 2025.11.15 6
3751 컴퓨터응용선반기능사 필기 기출문제(해설) 및 CBT 2012년07월22일(4회) 좋은아빠되기 2025.11.15 3
3750 9급 지방직 공무원 서울시 정보봉사개론 필기 기출문제(해설) 및 CBT 2019년06월15일 좋은아빠되기 2025.11.15 5
3749 기계조립산업기사 필기 기출문제(해설) 및 CBT 모의고사(2025년 11월 15일)(6576461) 좋은아빠되기 2025.11.15 6
Board Pagination Prev 1 ... 13 14 15 16 17 18 19 20 21 22 ... 206 Next
/ 206