자격증 필기 기출문제



화학분석기능사 필기 기출문제(해설) 및 CBT 2015년07월19일(4회)

최강 자격증 기출문제 전자문제집 CBT : www.comcbt.com


전자문제집 CBT란?
종이 문제집이 아닌 인터넷으로 문제를 풀고 자동으로 채점하며 모의고사, 오답 노트, 해설까지 제공하는
무료 기출문제 학습 프로그램으로 실제 상설검정에서 사용하는 OMR 형식의 CBT를 제공합니다.

최신 화학분석기능사 필기 기출문제 : [다운로드]


1과목 : 일반화학


1. 20℃, 0.5atm에서 10L인 기체가 있다. 표준상태에서 이 기체의 부피는?
     1. 2.54L
     2. 4.65L
     3. 5L
     4. 10L

     정답 : []
     정답률 : 67%
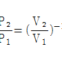
     <문제 해설>
PV/T=P'V'/T' 표준값 T=273K P=1atm
[해설작성자 : JMJ]

표준상태는 0되며 1atm이며 보일-샤를의 법칙을 적용한다.
따라서 P1V1/T1=P2V2/T2
0.5atm*10L/293K=1atm*V2/273k
= V2는 약 4.65L
[해설작성자 : 할 수 있다! 합격한다!]

2. 에탄올에 진한 황산을 넣고 180℃에서 반응시켰을 때 알코올의 제거반응으로 생성되는 물질은?
     1. CH3OH
     2. CH2 = CH2
     3. CH3CH2CH2SO3
     4. CH3CH2S

     정답 : []
     정답률 : 67%
     <문제 해설>
에틸렌은 에탄올에 진한 황산을 넣고 약 160~180돌로 가열해 만든다
[해설작성자 : 화학 공부하는사람]

3. 이온 결합에 대한 설명으로 틀린 것은?
     1. 이온 결정은 극성 용매인 물에 잘 녹지 않는 것이 많다.
     2. 전자를 잃은 원자는 양이온이 되고, 전자를 얻은 원자는 음이온이 된다.
     3. 이온 결정은 고체 상태에서는 양이온과 음이온이 강하게 결합되어 있기 때문에 전류가 흐르지 않는다.
     4. 전자를 잃기 쉬운 금속 원자로부터 전자를 얻기 쉬운 비금속 원자로 하나 이상의 전자가 이동할 때 형성된다.

     정답 : []
     정답률 : 67%
     <문제 해설>
이온결정은 극성용매인 물에 잘 녹는다.
[해설작성자 : ish3525]

4. CO2와 H2O는 모두 공유결합으로 된 삼원자 분자인데 CO2 는 비극성이고 H2O는 극성을 띠고 있다. 그 이유로 옳은 것은?
     1. C가 H보다 비금속성이 크다.
     2. 결합구조가 H2O는 굽은형이고 CO2는 직선형이다.
     3. H2O의 분자량이 CO2의 분자량보다 적다.
     4. 상온에서 H2O는 액체이고 CO2는 기체이다.

     정답 : []
     정답률 : 82%
     <문제 해설>
CO2는 C=O=C로 양쪽으로 동일한 힘을 받는 반면, H2O의 경우, H-O-H가 O에 결합되지 전자쌍으로 인해 굽음
[해설작성자 : 어쩔시구a]

5. 수산화나트륨(NaOH) 80g을 물에 녹여 전체 부피가 1000mL가 되게 하였다. 이 용액의 N농도는 얼마인가? (단, 수산화나트륨의 분자량은 40 이다.)
     1. 0.08N
     2. 1N
     3. 2N
     4. 4N

     정답 : []
     정답률 : 72%
     <문제 해설>
노르말 농도 = (분자의 1당량/ 분자의 양 )//(분자의 부피/1L)
[해설작성자 : qmfpdls]

노르말 농도 = (80/40) / 1000 = 2
[해설작성자: 가온]

naoh는 1당량이므로 몰농도와 동일
1몰=40g/mol
N농도=(80/40)/1L
[해설작성자 : 하다보면 되겠지]

6. 500mL의 물을 증발시키는데 필요한 열은 얼마인가? (단, 물의 증발열은 40.6kJ/mol 이다.)
     1. 222kJ
     2. 1128kJ
     3. 2256kJ
     4. 20300kJ

     정답 : []
     정답률 : 66%
     <문제 해설>
500mL * 1g/1mL * 1mol/18g * 40.6kJ/mol = 1128kJ
[해설작성자 : 100]

7. 칼륨(K) 원자는 19개의 양성자와 20개의 중성자를 가지고 있다. 원자번호와 질량수는 각각 얼마인가?
     1. 9, 19
     2. 9, 39
     3. 19, 20
     4. 19, 39

     정답 : []
     정답률 : 87%
     <문제 해설>
원자번호는 양성자의 수와 같고 전자 수와 같습니다.
질량수는 양성자수 + 중성자수 이기 때문에 19+20으로 39의 값이 나옵니다.
[해설작성자 : ish3525]

8. 다음 중 이온화에너지가 가장 작은 원소는?
     1. 나트륨(Na)
     2. 마그네슘(Mg)
     3. 알루미늄(Al)
     4. 규소(Si)

     정답 : []
     정답률 : 68%
     <문제 해설>
일반적으로 주기율표에서 족의 위쪽에서 아래쪽으로 갈수록 첫번 째 이온화 에너지가 감소.
(이유: 평균적으로 전자는 핵에서 멀수록 제거하기 쉽기 때문)
주기의 왼쪽에서 오른쪽으로 갈수록 이온화 에너지가 증가.
(이유: 비금속은 전자를 잃지 않고 얻으려는 경향 때문)
[해설작성자 : 제우스]

이 문제는 같은 2주기에 있는 물질들입니다.
이온화 에너지가 작은 원소는 Na 입니다 나머지 원자는 원자번호가 크기에 이온화 에너지 큽니다
만약 문제에 주기가 아니라 족으로 되어있을시 원자번호가 크면 클수록 이온화 에너지가 작아집니다
[해설작성자 : 헤에엥]

아래와 같은 오류 신고가 있었습니다.
여러분들의 많은 의견 부탁 드립니다.
추후 여러분들의 의견을 반영하여 정답을 수정하도록 하겠습니다.
참고로 정답 변경은 오류 신고 5회 이상일 경우 수정합니다.

[오류 신고 내용]
이 문제는 같은 2주기에 있는 물질들입니다. -> 3주기
[해설작성자 : 열쿤]

9. 벤젠의 반응에서 소량의 철의 존재하에서 벤젠과 염소가스를 반응시키면 수소 원자와 염소 원자의 치환이 일어나 클로로벤젠이 생기는 반응을 무엇이라 하는가?
     1. 니트로화
     2. 술폰화
     3. 할로겐화
     4. 알킬화

     정답 : []
     정답률 : 72%
     <문제 해설>
염소는 할로겐원소입니다.
[해설작성자 : 석화고 운전과]

10. “어떠한 화학반응이라도 반응물 전체의 질량과 생성물 전체의 질량은 서로 차이가 없고 완전히 같다” 라고 설명할 수 있는 법칙은?
     1. 일정성분비의 법칙
     2. 배수비례의 법칙
     3. 질량보존의 법칙
     4. 기체반응의 법칙

     정답 : []
     정답률 : 87%
     <문제 해설>
일정성분비의 법칙 : 한 화합물을 구성하는 구성 성분 원소들은 동일한 질량비를 지닌다.

배수비례의 법칙 : 2종류의 원소가 화합하여 2가지 이상의 화합물을 만들 때, 한 원소의 일정량과 결합하는 다른 원소의 질량 사이에 일정한 정수비가 성립한다.

질량보존의 법칙 : 화학반응에서 반응물 전체의 질량은 생성물 전체의 질량과 같다.

기체반응의 법칙 : 기체 사이의 화학 반응에서 같은 온도와 같은 압력에서 그 부피를 측정했을 때 반응하는 기체와 생성되는 기체 사이에는 간단한 정수비가 성립한다
[해설작성자 : 석화고 운전과]

11. 다음 중 카르복시기는?
     1. -O-
     2. -OH
     3. -CHO
     4. -COOH

     정답 : []
     정답률 : 77%
     <문제 해설>
-COOH : 카복시기(카르복시기)
-O- : 에테르기
-OH : 하이드록시기(수산기)
-CHO : 포밀기(포르밀기, 알데하이드기)
[해설작성자 : 석유화학고 학생]

12. 다음 유기화합물 중 파라핀계 탄화수소는?
     1. C5H10
     2. C4H8
     3. C3H6
     4. CH4

     정답 : []
     정답률 : 66%
     <문제 해설>
파라핀계는 즉 알케인계(Alkane) 입니다. 그렇다면 C n H 2n+2 이기 때문에 각각 대입하면 값이 나옵니다.
[해설작성자 : ish3525]

13. 다음 중 성격이 다른 화학식은?
     1. CH3COOH
     2. C2H5OH
     3. C2H5CHO
     4. C2H3O2

     정답 : []
     정답률 : 69%
     <문제 해설>
OH기 있냐 없냐가 아니고
1.2.3번은 -COOH기 (카르복시기), -OH기(알콜기) -CHO기 (알데히드기)인 작용기가 있는 시성식이고
4번은 분자의 갯수를 순서대로 나열한 분자식 입니다.
[해설작성자 : 비비고 사미환]

14. 다음 물질 중 혼합물인 것은?
     1. 염화수소
     2. 암모니아
     3. 공기
     4. 이산화탄소

     정답 : []
     정답률 : 80%
     <문제 해설>
혼합물 → 물질들 끼리 섞여 있는 정도가 일정한 혼합물
화합물,단체 → 원소로 만 이루어진 물질들
[해설작성자 : 서울의 달]

15. 27℃인 수소 4L를 압력을 일정하게 유지하면서, 부피를 2L로 줄이려면 온도를 얼마로 하여야 하는가?
     1. -273℃
     2. -123℃
     3. 157℃
     4. 327℃

     정답 : []
     정답률 : 65%
     <문제 해설>
샤를의법칙에 따라    V1/T1=V2/T2 (단,압력은 일정하다) V=부피 T=절대온도 4/(27+273)=2/X
X=150 섭씨온도=절대온도-273이므로 답:-123
                                                    
[해설작성자 : 석화고]

16. 건조 공기 속에서 네온은 0.0018%를 차지한다. 몇 ppm인가?
     1. 1.8ppm
     2. 18ppm
     3. 180ppm
     4. 1800ppm

     정답 : []
     정답률 : 68%
     <문제 해설>
1PPM은 1/10^6 입니다
[해설작성자 : 울산큰고래]

%는 ppm보다 104 큰 값이다
[해설작성자 : Doudou]

17. 1g의 라듐으로부터 1m 떨어진 거리에서 1시간동안 받는 방사선의 영향을 무엇이라 하는가?
     1. 1 렌트겐
     2. 1 큐리
     3. 1 렘
     4. 1 베크렐

     정답 : []
     정답률 : 74%
     <문제 해설>
렌트겐 : 방사선 조사선량의 단위
큐리 : 방사능 측정 단위
렘 : 생물학적 효과를 고려한 선량당량의 단위
베크렐 : 방사선물질에서 방출되는 방사선의 양을 나타내는 국제 단위(SI)
[해설작성자 : 경식마고4기]

18. 다음 중 분자 안에 배위결합이 존재하는 화합물은?
     1. 벤젠
     2. 에틸알콜
     3. 염소이온
     4. 암모늄이온

     정답 : []
     정답률 : 58%
     <문제 해설>
배위결합이란 공유전자쌍을 한쪽 원소에서 일방적으로 제공하는 형태로, 암모늄이온이 대표적이다.
[해설작성자 : 석유화학고 학생]

19. 증기압에 대한 설명으로 틀린 것은?
     1. 증기압이 크면 증발이 어렵다.
     2. 증기압이 크면 끓는점이 낮아진다.
     3. 증기압은 온도가 높아짐에 따라 커진다.
     4. 증기압이 크면 분자간 인력이 작아진다.

     정답 : []
     정답률 : 65%
     <문제 해설>
증기압이 크면 증발이 쉽습니다.
[해설작성자 : ish3525]

20. 볼타 전지의 음극에서 일어나는 반응은?
     1. 환원
     2. 산화
     3. 응집
     4. 킬레이트

     정답 : []
     정답률 : 66%
     <문제 해설>
볼타전지는 (음극에는 산화)    (양극에는 환원) 입니다
[해설작성자 : 고슴돠치]

2과목 : 분석화학


21. 황산구리 용액에 아연을 넣을 경우 구리가 석출되는 것은 아연이 구리보다 무엇의 크기가 크기 때문인가?
     1. 이온화경향
     2. 전기저항
     3. 원자가전자
     4. 원자번호

     정답 : []
     정답률 : 80%

22. NH4+ 의 원자가전자는 총 몇 개인가?
     1. 7
     2. 8
     3. 9
     4. 10

     정답 : []
     정답률 : 58%
     <문제 해설>
5+(1*4)=9
9-1=8
[해설작성자 : 화공인]

23. 다음 중 1패러데이(F)의 전기량은?
     1. 1mol의 물질이 갖는 전기량
     2. 1개의 전자가 갖는 전기량
     3. 96500개의 전자가 갖는 전기량
     4. 1g당량 물질이 생성할 때 필요한 전기량

     정답 : []
     정답률 : 67%

24. 반응속도에 영향을 주는 인자로서 가장 거리가 먼 것은?
     1. 반응온도
     2. 반응식
     3. 반응물의 농도
     4. 촉매

     정답 : []
     정답률 : 77%
     <문제 해설>
반응식은 반응속도와 아무런 관계가 없다.
[해설작성자 : 한식마고 릴라뿜]

25. 다음 중 콜로이드 용액이 아닌 것은?
     1. 녹말 용액
     2. 점토 용액
     3. 설탕 용액
     4. 수산화알루미늄 용액

     정답 : []
     정답률 : 59%
     <문제 해설>
콜로이드용액은 녹말,점토, 수산화알루미늄 용액입니다.
[해설작성자 : ish3525]

26. Ni2+ 의 확인반응에서 디메틸글리옥심(dimethylglyoxime)을 넣으면 무슨색으로 변하는 가?
     1. 붉은색
     2. 푸른색
     3. 검정색
     4. 하얀색

     정답 : []
     정답률 : 65%
     <문제 해설>
3족 양이온인 니켈을 확인하는 반응은 다이메틸글리옥심과의 붉은색 변색반응이다.
[해설작성자 : 25년도 1회차/윈큐]

27. 다음 황화물 중 흑색 침전이 아닌 것은?
     1. PbS
     2. CuS
     3. HgS
     4. CdS

     정답 : []
     정답률 : 56%
     <문제 해설>
아래와 같은 오류 신고가 있었습니다.
여러분들의 많은 의견 부탁 드립니다.
추후 여러분들의 의견을 반영하여 정답을 수정하도록 하겠습니다.
참고로 정답 변경은 오류 신고 5회 이상일 경우 수정합니다.

[오류 신고 내용]
CuS 가 황색 침전=노란색 침전입니다.
[해설작성자 : 동과대 화공]

[오류신고 반론]
아니 오류신고 잘못됨 4번 맞음요
[해설작성자 : 앙ㅊ진우]

[오류신고 반론]
Cds는 노랑색임
[해설작성자 : 쫑이]

[추가 오류 신고]
cus가 노란색 맞습니다
[해설작성자 : 경식마고 ]

[오류신고 반론]
Cds노란색 입니다 무조건 cus는 황화물 흑색침전이고 나머지보기도 다 흑색침전입니다
[해설작성자 : 지나가는남정네]

[오류신고 반론]
Cds 침전물은 노란색을 띕니다. Cus를 포함한 다른 보기들의 침전물은 흑색침전물을 띕니다.
[해설작성자 : 슬기로운 유니콘]

[오류신고 반론]
황화합물 중 검은색이 CuS인 황화구리 이지만
문제에서는 황화물 중 흑색침전을 물어봤기 때문에 4번인 CdS는 황색입니다.
[해설작성자 : 찰리브라운]

28. 양이온의 계통적인 분리 검출법에서는 방해 물질을 제거시켜야 한다. 다음 중 방해 물질이 아닌 것은?
     1. 유기물
     2. 옥살산 이온
     3. 규산 이온
     4. 암모늄 이온

     정답 : []
     정답률 : 67%
     <문제 해설>
분리 검출법 방해 물질은 유기물, 옥살산 이온, 규산 이온이 있다.
[해설작성자 : 여수석유화학고생]

29. 중화 적정에 사용되는 지시약으로서 8.3~10.0pH 정도의 변색범위를 가지며 약산과 강염기의 적정에 사용되는 것은?
     1. 메틸옐로
     2. 페놀프탈레인
     3. 메틸오렌지
     4. 브롬티몰블루

     정답 : []
     정답률 : 80%
     <문제 해설>
약산과 강염기 적정에 사용되는 지시약은 페놀프탈레인입니다.
[해설작성자 : ish3525]

30. 몰 농도를 구하는 식을 옳게 나타낸 것은?
     1. 몰농도(M) = 용질의몰수(mol)/용액의부피(L)
     2. 몰농도(M) = 용질의몰수(mol)/용매의질량(kg)
     3. 몰농도(M) = 용질의질량(g)/용액의질량(kg)
     4. 몰농도(M) = 용질의당량/용액의부피(L)

     정답 : []
     정답률 : 73%
     <문제 해설>
몰농도 = 용질의 몰 수(mol)/용액의 부피(L) 입니다
[해설작성자 : 석화고 운전과]

31. 0.01M Ca2+ 50.0mL 와 반응하려면 0.05M EDTA 몇 mL 가 필요한가?
     1. 10
     2. 25
     3. 50
     4. 100

     정답 : []
     정답률 : 59%
     <문제 해설>
0.01X50=0.05XEDTA
[해설작성자 : comcbt.com 이용자]

32. 다음 반응에서 정반응이 일어날 수 있는 경우는?

    

     1. 반응 온도를 높인다.
     2. 질소의 농도를 감소시킨다.
     3. 수소의 농도를 감소시킨다.
     4. 암모니아의 농도를 감소시킨다.

     정답 : []
     정답률 : 59%
     <문제 해설>
정반응 = 온도 낮아진다, 압력은 높아진다.
[해설작성자 : 짱혜빈]

르샤틀리에 원리에 의해 생성물/반응물의 농도가 낮아지면 화학평형을 유지하기 위해 정/역반응이 일어나게 됩니다. 정반응은 질소와 수소가 암모니아를 이루는 것이니 암모니아의 농도를 줄여야 되겠지요?
[해설작성자 : 동과대 화공과 ]

33. 다음 수용액 중 산성이 가장 강한 것은?
     1. pH = 5 인 용액
     2. [H+] = 10-8M 인 용액
     3. [OH-] = 10-4M 인 용액
     4. pOH = 7 인 용액

     정답 : []
     정답률 : 68%
     <문제 해설>
PH가 낮을수록 산성이 강합니다.
[해설작성자 : ish3525]

수소로 볼 경우 0에서, 수산기로 볼 경우 14에서 계산합니다.
[해설작성자 : comcbt.com 이용자]

34. 용액의 전리도(α)를 옳게 나타낸 것은?
     1. 전리된 몰농도 / 분자량
     2. 분자량 / 전리된 몰농도
     3. 전체 몰농도 / 전리된 몰농도
     4. 전리된 몰농도 / 전체 몰농도

     정답 : []
     정답률 : 76%
     <문제 해설>
전리도 = 전리된 몰농도 / 전체 몰농도 입니다.
[해설작성자 : 석화고 운전과]

35. 제2족 구리족 양이온과 제2족 주석족 양이온을 분리하는 시약은?
     1. HCI
     2. H2S
     3. Na2S
     4. (NH4)2CO3

     정답 : []
     정답률 : 66%
     <문제 해설>
정성분석 양이온 제2족 구리족과 제2족 주석족에서 두 혼합물이 수용액일경우
황화수소(H2S)기체를 주입하면 황화구리(CuS)와 황화주석(SnS)되며
황화구리(CuS)는 침전이되며, 황화주석(SnS)는 용해가 된다.
그러므로 원심분리로 침전된 황화구리(CuS)와 용해된 황화주석(SnS)을 분리한다.
[해설작성자 : 울산큰고래]

36. 다음 중 건조용으로 사용되는 실험기구는?
     1. 데시케이터
     2. 피펫
     3. 메스실린더
     4. 플라스크

     정답 : []
     정답률 : 80%
     <문제 해설>
피펫은 아주 미량의 액체를 분주할 때 사용
메스실린더는 용액의 부피를 측정할 때 사용(정확한)
플라스크는 특정의 용액의 부피를 측정할 때 사용
[해설작성자 : 에헤헤헤헤헿]

37. 25℃에서 용해도가 35 인 염, 20g을 50℃ 의 물 50mL 에 완전 용해시킨 다음 25℃로 냉각하면 약 몇 g의 염이 석출 되는가?
     1. 2.0
     2. 2.3
     3. 2.5
     4. 2.8

     정답 : []
     정답률 : 58%
     <문제 해설>
35g/100g=25도 용해도 이므로 밀도를 1g/mL 라 하면 17.5g / 50mL이다.
20g-17.5g=2.5g 이다
[해설작성자 : 꺌량봉]

용해도: 물100g 녹는 양
25도 100ml    35g= 50ml 17.5g
50도 50ml 20g

석출량
50도-25도
20g-17.5g= 2.5g
[해설작성자 : 유치원숭]

38. 불꽃반응 색깔을 관찰할 때 노란색을 띠는 것은?
     1. K
     2. As
     3. Ca
     4. Na

     정답 : []
     정답률 : 75%
     <문제 해설>
K(칼륨): 보라색
As(비소): 푸른색
Ca(칼슘): 주황색
Na(나트륨): 노란색
+ Cu(구리): 청록색
+ Li(리튬): 빨간색
[해설작성자 : 또또]

39. 약염기를 강산으로 적정할 때 당량점의 pH는?
     1. pH 4 이하
     2. pH 7 이하
     3. pH 7 이상
     4. pH 4 이상

     정답 : []
     정답률 : 64%
     <문제 해설>
pH 7 이하 = 산
pH 7 이상 = 염기
[해설작성자 : .]

40. 97wt% H2SO4의 비중이 1.836 이라면 이 용액 노르말 농도는 약 몇 N 인가? (단, H2SO4의 분자량은 98.08 이다.)
     1. 18
     2. 36
     3. 54
     4. 72

     정답 : []
     정답률 : 53%
     <문제 해설>
(97% x 1.836g/L x 10) ÷ 98.08 = 18.16M
2당량이므로 18.16M x 2 = 36.32N
[해설작성자 : 킹콩]

(0.97 × 1.836 [g/mL] ×1000[mL/L]) ÷ 98.08 [g/mol] = 18.16 mol/L
2당량 N = 당량 × M 이므로 18.16×2가 답
[해설작성자 : 제너럴마스터]

41. 빛이 음파처럼 여러 가지 빛이 합쳐 빛의 세기를 증가하거나 서로 상쇄하여 없앨 수 있다. 예를 들면 여러 개의 종이에 같은 물감을 그린 다음 한 장만 보면 연하게 보이지만 여러 장을 겹쳐보면 진하게 보인다. 그리고 여러 가지 물감을 섞으면 본래의 색이 다르게 나타나는 이러한 현상을 무엇이라 하는가?
     1. 빛의 상쇄
     2. 빛의 간섭
     3. 빛의 이중성
     4. 빛의 회절

     정답 : []
     정답률 : 66%

42. 포화 칼로멜(calomel)전극 안에 들어있는 용액은?
     1. 포화 염산
     2. 포화 황산알루미늄
     3. 포화 염화칼슘
     4. 포화 염화칼륨

     정답 : []
     정답률 : 56%
     <문제 해설>
포화 칼로멜 전극:염화수은을 포화시킨 포화 염화칼륨 수용액을 전해질 용액으로 사용하는 칼로멜 전극.
[해설작성자 : 울산큰고래]

43. 유리 기구의 취급 방법에 대한 설명으로 틀린 것은?
     1. 유리 기구를 세척할 때에는 중크롬산칼륨과 황산의 혼합 용액을 사용한다.
     2. 유리 기구와 철제, 스테인리스강 등 금속재질의 실험 실습 기구는 같이 보관한다.
     3. 뷰렛, 메스실린더, 피펫 등 눈금이 표시된 유리 기구는 가열하지 않는다.
     4. 깨끗이 세척된 유리 기구는 유리 기구의 벽에 물방울이 없으며, 깨끗이 세척되지 않은 유리 기구의 벽은 물방울이 남아 있다.

     정답 : []
     정답률 : 77%
     <문제 해설>
금속재질의 물질과 함께 보관 시 파손의 우려가 있다.
[해설작성자 : 한식마고 릴라뿜]

44. 기체 크로마토그래피에서 정지상에 사용하는 흡착제의 조건이 아닌 것은?
     1. 점성이 높아야 한다.
     2. 성분이 일정해야 한다.
     3. 화학적으로 안정해야 한다.
     4. 낮은 증기압을 가져야 한다.

     정답 : []
     정답률 : 70%
     <문제 해설>
점성은 낮아야 합니다.
[해설작성자 : ish3525]

점성이 높을수록 처리속도가 느려지고 비용이 많이 든다
[해설작성자 : 한식마고 릴라뿜]

45. 과망간산칼륨 시료를 20ppm으로 1L를 만들려고 한다. 이 때 과망간산칼륨을 몇 g 칭량하여야 하는가?
     1. 0.0002g
     2. 0.002g
     3. 0.02g
     4. 0.2g

     정답 : []
     정답률 : 48%
     <문제 해설>
ppm= mg/L

X
- = 20 * 10^-3 mg /L     = >    X= 20 * 10^-3 mg    ->    X=0.02
1L
[해설작성자 : zeus]

ppm=mg/L
x/1L=20mg/1000ml=0.02g/L    ->    x=0.02g
[해설작성자 : 벼락치기]

46. 가스 크로마토그래프의 주요 구성부가 아닌 것은?
     1. 운반 기체부
     2. 주입부
     3. 흡광부
     4. 컬럼

     정답 : []
     정답률 : 64%
     <문제 해설>
흡광부는 분광광도계의 주요 구성부 이다.
[해설작성자 : 한식마고 제조공정과]

47. 용액이 산성인지 알칼리성인지 또는 중성인지를 알려면, 용액 속에 들어 있는 공존 물질에는 관계가 없고 용액 중에 [H+] : [OH-]의 농도비로 결정되는데 [H+]>[OH-]의 용액은?
     1. 산성
     2. 알칼리성
     3. 중성
     4. 약성

     정답 : []
     정답률 : 77%
     <문제 해설>
H+ 이온이 많을수록 산성이 되고 OH- 이온이 많을수록 알카리성이 된다
H+ 이온 과 OH- 이온이 같거나 없다면 중성이 된다
[해설작성자 : 내년에 시험봄]

48. 가스크로마토그래피의 검출기 중 불꽃 이온화 검출기에 사용되는 불꽃을 위해 필요한 기체는?
     1. 헬륨
     2. 질소
     3. 수소
     4. 산소

     정답 : []
     정답률 : 50%
     <문제 해설>
GC에서는 대부분의 유기화합물을 수소-공기 불꽃으로 연소시켜 발생된 이온을 통해 분석한다.
[해설작성자 : 25년도 1회/윈큐]

49. 가스 크로마토그래피의 시료 혼합 성분은 운반 기체와 함께 분리관을 따라 이동하게 되는데 분리관의 성능에 영향을 주는 요인으로 가장 거리가 먼 것은?
     1. 분리관의 길이
     2. 분리관의 온도
     3. 검출기의 기록계
     4. 고정상의 충전 방법

     정답 : []
     정답률 : 68%
     <문제 해설>
기록계와 성능은 관련이 없쥬
[해설작성자 : 울산큰고래]

50. 분광광도계를 이용하여 시료의 투과도를 측정한 결과 투과도가 10%T 이었다. 이 때 흡광도는 얼마인가?
     1. 0.5
     2. 1
     3. 1.5
     4. 2

     정답 : []
     정답률 : 68%
     <문제 해설>
A(흡광도) = -logT(투과도) = -log0.1 = log10 = 1
[해설작성자 : 100]

아래와 같은 오류 신고가 있었습니다.
여러분들의 많은 의견 부탁 드립니다.
추후 여러분들의 의견을 반영하여 정답을 수정하도록 하겠습니다.
참고로 정답 변경은 오류 신고 5회 이상일 경우 수정합니다.

[오류 신고 내용]
오류
-log 0.1 = log 1/10 * 10 = 1
[해설작성자 : 여행인플루언서 @가온]

51. 다음 중 발화성 위험물끼리 짝지어진 것은?
     1. 칼륨, 나트륨, 황, 인
     2. 수소, 아세톤, 에탄올, 에틸에테르
     3. 등유, 아크릴산, 아세트산, 크레졸
     4. 질산암모늄, 니트로셀룰로오스, 피크린산

     정답 : []
     정답률 : 62%

52. 일반적으로 어떤 금속을 그 금속이온이 포함된 용액 중에 넣었을 때 금속이 용액에 대하여 나타내는 전위를 무엇이라 하는가?
     1. 전극전위
     2. 과전압전위
     3. 산화ㆍ환원전위
     4. 분극전위

     정답 : []
     정답률 : 57%

53. 용액 중의 물질이 빛을 흡수하는 성질을 이용하는 분석기기를 무엇이라 하는가?
     1. 비중계
     2. 용액 광도계
     3. 액성 광도계
     4. 분광 광도계

     정답 : []
     정답률 : 82%

54. 분광광도계의 부분 장치 중 다음과 관련 있는 것은?

    

     1. 광원부
     2. 파장선택부
     3. 시료부
     4. 검출부

     정답 : []
     정답률 : 51%

55. 다음의 기호 중 적외선을 나타내는 것은?
     1. VIS
     2. UV
     3. IR
     4. X-Ray

     정답 : []
     정답률 : 65%
     <문제 해설>
VIS 가시광선
UV 자외선
IR 적외선
X RAY 방사선
[해설작성자 : 앙김흐츼]

56. 가스 크로마토그래피(gas chromatography)로 가능한 분석은?
     1. 정성분석만 가능
     2. 정량분석만 가능
     3. 반응속도 분석만 가능
     4. 정량분석과 정성분석이 가능

     정답 : []
     정답률 : 75%
     <문제 해설>
cg는 그래프의 면적을 통해 정량분석, 머무름시간을 통해 정성을 할 수 있다.
[해설작성자 : 한식마고 릴라뿜]

57. 가시선의 광원으로 주로 사용하는 것은?
     1. 수소 방전등
     2. 중수소 방전등
     3. 텅스텐 등
     4. 나트륨 등

     정답 : []
     정답률 : 69%

58. 가스크로마토그래피(GC)에서 운반가스로 주로 사용되는 것은?
     1. O2, H2
     2. O2, N2
     3. He, Ar
     4. CO2, CO

     정답 : []
     정답률 : 77%
     <문제 해설>
가스크로마토그래피(GC)는 수소, 질소, 또는 비활성기체를 사용한다
[해설작성자 : 2022년 1-3반 석화고 운전과 학생]

59. 액체-고체 크로마토그래피(LSC)의 분리 메카니즘은?
     1. 흡착
     2. 이온교환
     3. 배제
     4. 분배

     정답 : []
     정답률 : 71%

60. 람베르트-비어 법칙에 대한 설명이 맞는 것은?
     1. 흡광도는 용액의 농도에 비례하고 용액의 두께에 반비례한다.
     2. 흡광도는 용액의 농도에 반비례하고 용액의 두께에 비례한다.
     3. 흡광도는 용액의 농도와 용액의 두께에 비례한다.
     4. 흡광도는 용액의 농도와 용액의 두께에 반비례한다.

     정답 : []
     정답률 : 58%
     <문제 해설>
A=elc
e=앱실론(상수)
l=두께
c=농도
[해설작성자 : comcbt.com 이용자]


정 답 지

화학분석기능사 필기 기출문제(해설) 및 CBT 2015년07월19일(4회)

최강 자격증 기출문제 전자문제집 CBT : www.comcbt.com


전자문제집 CBT란?
종이 문제집이 아닌 인터넷으로 문제를 풀고 자동으로 채점하며 모의고사, 오답 노트, 해설까지 제공하는
무료 기출문제 학습 프로그램으로 실제 상설검정에서 사용하는 OMR 형식의 CBT를 제공합니다.

최신 화학분석기능사 필기 기출문제 : [다운로드]


1과목 : 일반화학


1. 20℃, 0.5atm에서 10L인 기체가 있다. 표준상태에서 이 기체의 부피는?
     1. 2.54L
     2. 4.65L
     3. 5L
     4. 10L

     정답 : []
     정답률 : 67%
     <문제 해설>
PV/T=P'V'/T' 표준값 T=273K P=1atm
[해설작성자 : JMJ]

표준상태는 0되며 1atm이며 보일-샤를의 법칙을 적용한다.
따라서 P1V1/T1=P2V2/T2
0.5atm*10L/293K=1atm*V2/273k
= V2는 약 4.65L
[해설작성자 : 할 수 있다! 합격한다!]

2. 에탄올에 진한 황산을 넣고 180℃에서 반응시켰을 때 알코올의 제거반응으로 생성되는 물질은?
     1. CH3OH
     2. CH2 = CH2
     3. CH3CH2CH2SO3
     4. CH3CH2S

     정답 : []
     정답률 : 67%
     <문제 해설>
에틸렌은 에탄올에 진한 황산을 넣고 약 160~180돌로 가열해 만든다
[해설작성자 : 화학 공부하는사람]

3. 이온 결합에 대한 설명으로 틀린 것은?
     1. 이온 결정은 극성 용매인 물에 잘 녹지 않는 것이 많다.
     2. 전자를 잃은 원자는 양이온이 되고, 전자를 얻은 원자는 음이온이 된다.
     3. 이온 결정은 고체 상태에서는 양이온과 음이온이 강하게 결합되어 있기 때문에 전류가 흐르지 않는다.
     4. 전자를 잃기 쉬운 금속 원자로부터 전자를 얻기 쉬운 비금속 원자로 하나 이상의 전자가 이동할 때 형성된다.

     정답 : []
     정답률 : 67%
     <문제 해설>
이온결정은 극성용매인 물에 잘 녹는다.
[해설작성자 : ish3525]

4. CO2와 H2O는 모두 공유결합으로 된 삼원자 분자인데 CO2 는 비극성이고 H2O는 극성을 띠고 있다. 그 이유로 옳은 것은?
     1. C가 H보다 비금속성이 크다.
     2. 결합구조가 H2O는 굽은형이고 CO2는 직선형이다.
     3. H2O의 분자량이 CO2의 분자량보다 적다.
     4. 상온에서 H2O는 액체이고 CO2는 기체이다.

     정답 : []
     정답률 : 82%
     <문제 해설>
CO2는 C=O=C로 양쪽으로 동일한 힘을 받는 반면, H2O의 경우, H-O-H가 O에 결합되지 전자쌍으로 인해 굽음
[해설작성자 : 어쩔시구a]

5. 수산화나트륨(NaOH) 80g을 물에 녹여 전체 부피가 1000mL가 되게 하였다. 이 용액의 N농도는 얼마인가? (단, 수산화나트륨의 분자량은 40 이다.)
     1. 0.08N
     2. 1N
     3. 2N
     4. 4N

     정답 : []
     정답률 : 72%
     <문제 해설>
노르말 농도 = (분자의 1당량/ 분자의 양 )//(분자의 부피/1L)
[해설작성자 : qmfpdls]

노르말 농도 = (80/40) / 1000 = 2
[해설작성자: 가온]

naoh는 1당량이므로 몰농도와 동일
1몰=40g/mol
N농도=(80/40)/1L
[해설작성자 : 하다보면 되겠지]

6. 500mL의 물을 증발시키는데 필요한 열은 얼마인가? (단, 물의 증발열은 40.6kJ/mol 이다.)
     1. 222kJ
     2. 1128kJ
     3. 2256kJ
     4. 20300kJ

     정답 : []
     정답률 : 66%
     <문제 해설>
500mL * 1g/1mL * 1mol/18g * 40.6kJ/mol = 1128kJ
[해설작성자 : 100]

7. 칼륨(K) 원자는 19개의 양성자와 20개의 중성자를 가지고 있다. 원자번호와 질량수는 각각 얼마인가?
     1. 9, 19
     2. 9, 39
     3. 19, 20
     4. 19, 39

     정답 : []
     정답률 : 87%
     <문제 해설>
원자번호는 양성자의 수와 같고 전자 수와 같습니다.
질량수는 양성자수 + 중성자수 이기 때문에 19+20으로 39의 값이 나옵니다.
[해설작성자 : ish3525]

8. 다음 중 이온화에너지가 가장 작은 원소는?
     1. 나트륨(Na)
     2. 마그네슘(Mg)
     3. 알루미늄(Al)
     4. 규소(Si)

     정답 : []
     정답률 : 68%
     <문제 해설>
일반적으로 주기율표에서 족의 위쪽에서 아래쪽으로 갈수록 첫번 째 이온화 에너지가 감소.
(이유: 평균적으로 전자는 핵에서 멀수록 제거하기 쉽기 때문)
주기의 왼쪽에서 오른쪽으로 갈수록 이온화 에너지가 증가.
(이유: 비금속은 전자를 잃지 않고 얻으려는 경향 때문)
[해설작성자 : 제우스]

이 문제는 같은 2주기에 있는 물질들입니다.
이온화 에너지가 작은 원소는 Na 입니다 나머지 원자는 원자번호가 크기에 이온화 에너지 큽니다
만약 문제에 주기가 아니라 족으로 되어있을시 원자번호가 크면 클수록 이온화 에너지가 작아집니다
[해설작성자 : 헤에엥]

아래와 같은 오류 신고가 있었습니다.
여러분들의 많은 의견 부탁 드립니다.
추후 여러분들의 의견을 반영하여 정답을 수정하도록 하겠습니다.
참고로 정답 변경은 오류 신고 5회 이상일 경우 수정합니다.

[오류 신고 내용]
이 문제는 같은 2주기에 있는 물질들입니다. -> 3주기
[해설작성자 : 열쿤]

9. 벤젠의 반응에서 소량의 철의 존재하에서 벤젠과 염소가스를 반응시키면 수소 원자와 염소 원자의 치환이 일어나 클로로벤젠이 생기는 반응을 무엇이라 하는가?
     1. 니트로화
     2. 술폰화
     3. 할로겐화
     4. 알킬화

     정답 : []
     정답률 : 72%
     <문제 해설>
염소는 할로겐원소입니다.
[해설작성자 : 석화고 운전과]

10. “어떠한 화학반응이라도 반응물 전체의 질량과 생성물 전체의 질량은 서로 차이가 없고 완전히 같다” 라고 설명할 수 있는 법칙은?
     1. 일정성분비의 법칙
     2. 배수비례의 법칙
     3. 질량보존의 법칙
     4. 기체반응의 법칙

     정답 : []
     정답률 : 87%
     <문제 해설>
일정성분비의 법칙 : 한 화합물을 구성하는 구성 성분 원소들은 동일한 질량비를 지닌다.

배수비례의 법칙 : 2종류의 원소가 화합하여 2가지 이상의 화합물을 만들 때, 한 원소의 일정량과 결합하는 다른 원소의 질량 사이에 일정한 정수비가 성립한다.

질량보존의 법칙 : 화학반응에서 반응물 전체의 질량은 생성물 전체의 질량과 같다.

기체반응의 법칙 : 기체 사이의 화학 반응에서 같은 온도와 같은 압력에서 그 부피를 측정했을 때 반응하는 기체와 생성되는 기체 사이에는 간단한 정수비가 성립한다
[해설작성자 : 석화고 운전과]

11. 다음 중 카르복시기는?
     1. -O-
     2. -OH
     3. -CHO
     4. -COOH

     정답 : []
     정답률 : 77%
     <문제 해설>
-COOH : 카복시기(카르복시기)
-O- : 에테르기
-OH : 하이드록시기(수산기)
-CHO : 포밀기(포르밀기, 알데하이드기)
[해설작성자 : 석유화학고 학생]

12. 다음 유기화합물 중 파라핀계 탄화수소는?
     1. C5H10
     2. C4H8
     3. C3H6
     4. CH4

     정답 : []
     정답률 : 66%
     <문제 해설>
파라핀계는 즉 알케인계(Alkane) 입니다. 그렇다면 C n H 2n+2 이기 때문에 각각 대입하면 값이 나옵니다.
[해설작성자 : ish3525]

13. 다음 중 성격이 다른 화학식은?
     1. CH3COOH
     2. C2H5OH
     3. C2H5CHO
     4. C2H3O2

     정답 : []
     정답률 : 69%
     <문제 해설>
OH기 있냐 없냐가 아니고
1.2.3번은 -COOH기 (카르복시기), -OH기(알콜기) -CHO기 (알데히드기)인 작용기가 있는 시성식이고
4번은 분자의 갯수를 순서대로 나열한 분자식 입니다.
[해설작성자 : 비비고 사미환]

14. 다음 물질 중 혼합물인 것은?
     1. 염화수소
     2. 암모니아
     3. 공기
     4. 이산화탄소

     정답 : []
     정답률 : 80%
     <문제 해설>
혼합물 → 물질들 끼리 섞여 있는 정도가 일정한 혼합물
화합물,단체 → 원소로 만 이루어진 물질들
[해설작성자 : 서울의 달]

15. 27℃인 수소 4L를 압력을 일정하게 유지하면서, 부피를 2L로 줄이려면 온도를 얼마로 하여야 하는가?
     1. -273℃
     2. -123℃
     3. 157℃
     4. 327℃

     정답 : []
     정답률 : 65%
     <문제 해설>
샤를의법칙에 따라    V1/T1=V2/T2 (단,압력은 일정하다) V=부피 T=절대온도 4/(27+273)=2/X
X=150 섭씨온도=절대온도-273이므로 답:-123
                                                    
[해설작성자 : 석화고]

16. 건조 공기 속에서 네온은 0.0018%를 차지한다. 몇 ppm인가?
     1. 1.8ppm
     2. 18ppm
     3. 180ppm
     4. 1800ppm

     정답 : []
     정답률 : 68%
     <문제 해설>
1PPM은 1/10^6 입니다
[해설작성자 : 울산큰고래]

%는 ppm보다 104 큰 값이다
[해설작성자 : Doudou]

17. 1g의 라듐으로부터 1m 떨어진 거리에서 1시간동안 받는 방사선의 영향을 무엇이라 하는가?
     1. 1 렌트겐
     2. 1 큐리
     3. 1 렘
     4. 1 베크렐

     정답 : []
     정답률 : 74%
     <문제 해설>
렌트겐 : 방사선 조사선량의 단위
큐리 : 방사능 측정 단위
렘 : 생물학적 효과를 고려한 선량당량의 단위
베크렐 : 방사선물질에서 방출되는 방사선의 양을 나타내는 국제 단위(SI)
[해설작성자 : 경식마고4기]

18. 다음 중 분자 안에 배위결합이 존재하는 화합물은?
     1. 벤젠
     2. 에틸알콜
     3. 염소이온
     4. 암모늄이온

     정답 : []
     정답률 : 58%
     <문제 해설>
배위결합이란 공유전자쌍을 한쪽 원소에서 일방적으로 제공하는 형태로, 암모늄이온이 대표적이다.
[해설작성자 : 석유화학고 학생]

19. 증기압에 대한 설명으로 틀린 것은?
     1. 증기압이 크면 증발이 어렵다.
     2. 증기압이 크면 끓는점이 낮아진다.
     3. 증기압은 온도가 높아짐에 따라 커진다.
     4. 증기압이 크면 분자간 인력이 작아진다.

     정답 : []
     정답률 : 65%
     <문제 해설>
증기압이 크면 증발이 쉽습니다.
[해설작성자 : ish3525]

20. 볼타 전지의 음극에서 일어나는 반응은?
     1. 환원
     2. 산화
     3. 응집
     4. 킬레이트

     정답 : []
     정답률 : 66%
     <문제 해설>
볼타전지는 (음극에는 산화)    (양극에는 환원) 입니다
[해설작성자 : 고슴돠치]

2과목 : 분석화학


21. 황산구리 용액에 아연을 넣을 경우 구리가 석출되는 것은 아연이 구리보다 무엇의 크기가 크기 때문인가?
     1. 이온화경향
     2. 전기저항
     3. 원자가전자
     4. 원자번호

     정답 : []
     정답률 : 80%

22. NH4+ 의 원자가전자는 총 몇 개인가?
     1. 7
     2. 8
     3. 9
     4. 10

     정답 : []
     정답률 : 58%
     <문제 해설>
5+(1*4)=9
9-1=8
[해설작성자 : 화공인]

23. 다음 중 1패러데이(F)의 전기량은?
     1. 1mol의 물질이 갖는 전기량
     2. 1개의 전자가 갖는 전기량
     3. 96500개의 전자가 갖는 전기량
     4. 1g당량 물질이 생성할 때 필요한 전기량

     정답 : []
     정답률 : 67%

24. 반응속도에 영향을 주는 인자로서 가장 거리가 먼 것은?
     1. 반응온도
     2. 반응식
     3. 반응물의 농도
     4. 촉매

     정답 : []
     정답률 : 77%
     <문제 해설>
반응식은 반응속도와 아무런 관계가 없다.
[해설작성자 : 한식마고 릴라뿜]

25. 다음 중 콜로이드 용액이 아닌 것은?
     1. 녹말 용액
     2. 점토 용액
     3. 설탕 용액
     4. 수산화알루미늄 용액

     정답 : []
     정답률 : 59%
     <문제 해설>
콜로이드용액은 녹말,점토, 수산화알루미늄 용액입니다.
[해설작성자 : ish3525]

26. Ni2+ 의 확인반응에서 디메틸글리옥심(dimethylglyoxime)을 넣으면 무슨색으로 변하는 가?
     1. 붉은색
     2. 푸른색
     3. 검정색
     4. 하얀색

     정답 : []
     정답률 : 65%
     <문제 해설>
3족 양이온인 니켈을 확인하는 반응은 다이메틸글리옥심과의 붉은색 변색반응이다.
[해설작성자 : 25년도 1회차/윈큐]

27. 다음 황화물 중 흑색 침전이 아닌 것은?
     1. PbS
     2. CuS
     3. HgS
     4. CdS

     정답 : []
     정답률 : 56%
     <문제 해설>
아래와 같은 오류 신고가 있었습니다.
여러분들의 많은 의견 부탁 드립니다.
추후 여러분들의 의견을 반영하여 정답을 수정하도록 하겠습니다.
참고로 정답 변경은 오류 신고 5회 이상일 경우 수정합니다.

[오류 신고 내용]
CuS 가 황색 침전=노란색 침전입니다.
[해설작성자 : 동과대 화공]

[오류신고 반론]
아니 오류신고 잘못됨 4번 맞음요
[해설작성자 : 앙ㅊ진우]

[오류신고 반론]
Cds는 노랑색임
[해설작성자 : 쫑이]

[추가 오류 신고]
cus가 노란색 맞습니다
[해설작성자 : 경식마고 ]

[오류신고 반론]
Cds노란색 입니다 무조건 cus는 황화물 흑색침전이고 나머지보기도 다 흑색침전입니다
[해설작성자 : 지나가는남정네]

[오류신고 반론]
Cds 침전물은 노란색을 띕니다. Cus를 포함한 다른 보기들의 침전물은 흑색침전물을 띕니다.
[해설작성자 : 슬기로운 유니콘]

[오류신고 반론]
황화합물 중 검은색이 CuS인 황화구리 이지만
문제에서는 황화물 중 흑색침전을 물어봤기 때문에 4번인 CdS는 황색입니다.
[해설작성자 : 찰리브라운]

28. 양이온의 계통적인 분리 검출법에서는 방해 물질을 제거시켜야 한다. 다음 중 방해 물질이 아닌 것은?
     1. 유기물
     2. 옥살산 이온
     3. 규산 이온
     4. 암모늄 이온

     정답 : []
     정답률 : 67%
     <문제 해설>
분리 검출법 방해 물질은 유기물, 옥살산 이온, 규산 이온이 있다.
[해설작성자 : 여수석유화학고생]

29. 중화 적정에 사용되는 지시약으로서 8.3~10.0pH 정도의 변색범위를 가지며 약산과 강염기의 적정에 사용되는 것은?
     1. 메틸옐로
     2. 페놀프탈레인
     3. 메틸오렌지
     4. 브롬티몰블루

     정답 : []
     정답률 : 80%
     <문제 해설>
약산과 강염기 적정에 사용되는 지시약은 페놀프탈레인입니다.
[해설작성자 : ish3525]

30. 몰 농도를 구하는 식을 옳게 나타낸 것은?
     1. 몰농도(M) = 용질의몰수(mol)/용액의부피(L)
     2. 몰농도(M) = 용질의몰수(mol)/용매의질량(kg)
     3. 몰농도(M) = 용질의질량(g)/용액의질량(kg)
     4. 몰농도(M) = 용질의당량/용액의부피(L)

     정답 : []
     정답률 : 73%
     <문제 해설>
몰농도 = 용질의 몰 수(mol)/용액의 부피(L) 입니다
[해설작성자 : 석화고 운전과]

31. 0.01M Ca2+ 50.0mL 와 반응하려면 0.05M EDTA 몇 mL 가 필요한가?
     1. 10
     2. 25
     3. 50
     4. 100

     정답 : []
     정답률 : 59%
     <문제 해설>
0.01X50=0.05XEDTA
[해설작성자 : comcbt.com 이용자]

32. 다음 반응에서 정반응이 일어날 수 있는 경우는?

    

     1. 반응 온도를 높인다.
     2. 질소의 농도를 감소시킨다.
     3. 수소의 농도를 감소시킨다.
     4. 암모니아의 농도를 감소시킨다.

     정답 : []
     정답률 : 59%
     <문제 해설>
정반응 = 온도 낮아진다, 압력은 높아진다.
[해설작성자 : 짱혜빈]

르샤틀리에 원리에 의해 생성물/반응물의 농도가 낮아지면 화학평형을 유지하기 위해 정/역반응이 일어나게 됩니다. 정반응은 질소와 수소가 암모니아를 이루는 것이니 암모니아의 농도를 줄여야 되겠지요?
[해설작성자 : 동과대 화공과 ]

33. 다음 수용액 중 산성이 가장 강한 것은?
     1. pH = 5 인 용액
     2. [H+] = 10-8M 인 용액
     3. [OH-] = 10-4M 인 용액
     4. pOH = 7 인 용액

     정답 : []
     정답률 : 68%
     <문제 해설>
PH가 낮을수록 산성이 강합니다.
[해설작성자 : ish3525]

수소로 볼 경우 0에서, 수산기로 볼 경우 14에서 계산합니다.
[해설작성자 : comcbt.com 이용자]

34. 용액의 전리도(α)를 옳게 나타낸 것은?
     1. 전리된 몰농도 / 분자량
     2. 분자량 / 전리된 몰농도
     3. 전체 몰농도 / 전리된 몰농도
     4. 전리된 몰농도 / 전체 몰농도

     정답 : []
     정답률 : 76%
     <문제 해설>
전리도 = 전리된 몰농도 / 전체 몰농도 입니다.
[해설작성자 : 석화고 운전과]

35. 제2족 구리족 양이온과 제2족 주석족 양이온을 분리하는 시약은?
     1. HCI
     2. H2S
     3. Na2S
     4. (NH4)2CO3

     정답 : []
     정답률 : 66%
     <문제 해설>
정성분석 양이온 제2족 구리족과 제2족 주석족에서 두 혼합물이 수용액일경우
황화수소(H2S)기체를 주입하면 황화구리(CuS)와 황화주석(SnS)되며
황화구리(CuS)는 침전이되며, 황화주석(SnS)는 용해가 된다.
그러므로 원심분리로 침전된 황화구리(CuS)와 용해된 황화주석(SnS)을 분리한다.
[해설작성자 : 울산큰고래]

36. 다음 중 건조용으로 사용되는 실험기구는?
     1. 데시케이터
     2. 피펫
     3. 메스실린더
     4. 플라스크

     정답 : []
     정답률 : 80%
     <문제 해설>
피펫은 아주 미량의 액체를 분주할 때 사용
메스실린더는 용액의 부피를 측정할 때 사용(정확한)
플라스크는 특정의 용액의 부피를 측정할 때 사용
[해설작성자 : 에헤헤헤헤헿]

37. 25℃에서 용해도가 35 인 염, 20g을 50℃ 의 물 50mL 에 완전 용해시킨 다음 25℃로 냉각하면 약 몇 g의 염이 석출 되는가?
     1. 2.0
     2. 2.3
     3. 2.5
     4. 2.8

     정답 : []
     정답률 : 58%
     <문제 해설>
35g/100g=25도 용해도 이므로 밀도를 1g/mL 라 하면 17.5g / 50mL이다.
20g-17.5g=2.5g 이다
[해설작성자 : 꺌량봉]

용해도: 물100g 녹는 양
25도 100ml    35g= 50ml 17.5g
50도 50ml 20g

석출량
50도-25도
20g-17.5g= 2.5g
[해설작성자 : 유치원숭]

38. 불꽃반응 색깔을 관찰할 때 노란색을 띠는 것은?
     1. K
     2. As
     3. Ca
     4. Na

     정답 : []
     정답률 : 75%
     <문제 해설>
K(칼륨): 보라색
As(비소): 푸른색
Ca(칼슘): 주황색
Na(나트륨): 노란색
+ Cu(구리): 청록색
+ Li(리튬): 빨간색
[해설작성자 : 또또]

39. 약염기를 강산으로 적정할 때 당량점의 pH는?
     1. pH 4 이하
     2. pH 7 이하
     3. pH 7 이상
     4. pH 4 이상

     정답 : []
     정답률 : 64%
     <문제 해설>
pH 7 이하 = 산
pH 7 이상 = 염기
[해설작성자 : .]

40. 97wt% H2SO4의 비중이 1.836 이라면 이 용액 노르말 농도는 약 몇 N 인가? (단, H2SO4의 분자량은 98.08 이다.)
     1. 18
     2. 36
     3. 54
     4. 72

     정답 : []
     정답률 : 53%
     <문제 해설>
(97% x 1.836g/L x 10) ÷ 98.08 = 18.16M
2당량이므로 18.16M x 2 = 36.32N
[해설작성자 : 킹콩]

(0.97 × 1.836 [g/mL] ×1000[mL/L]) ÷ 98.08 [g/mol] = 18.16 mol/L
2당량 N = 당량 × M 이므로 18.16×2가 답
[해설작성자 : 제너럴마스터]

41. 빛이 음파처럼 여러 가지 빛이 합쳐 빛의 세기를 증가하거나 서로 상쇄하여 없앨 수 있다. 예를 들면 여러 개의 종이에 같은 물감을 그린 다음 한 장만 보면 연하게 보이지만 여러 장을 겹쳐보면 진하게 보인다. 그리고 여러 가지 물감을 섞으면 본래의 색이 다르게 나타나는 이러한 현상을 무엇이라 하는가?
     1. 빛의 상쇄
     2. 빛의 간섭
     3. 빛의 이중성
     4. 빛의 회절

     정답 : []
     정답률 : 66%

42. 포화 칼로멜(calomel)전극 안에 들어있는 용액은?
     1. 포화 염산
     2. 포화 황산알루미늄
     3. 포화 염화칼슘
     4. 포화 염화칼륨

     정답 : []
     정답률 : 56%
     <문제 해설>
포화 칼로멜 전극:염화수은을 포화시킨 포화 염화칼륨 수용액을 전해질 용액으로 사용하는 칼로멜 전극.
[해설작성자 : 울산큰고래]

43. 유리 기구의 취급 방법에 대한 설명으로 틀린 것은?
     1. 유리 기구를 세척할 때에는 중크롬산칼륨과 황산의 혼합 용액을 사용한다.
     2. 유리 기구와 철제, 스테인리스강 등 금속재질의 실험 실습 기구는 같이 보관한다.
     3. 뷰렛, 메스실린더, 피펫 등 눈금이 표시된 유리 기구는 가열하지 않는다.
     4. 깨끗이 세척된 유리 기구는 유리 기구의 벽에 물방울이 없으며, 깨끗이 세척되지 않은 유리 기구의 벽은 물방울이 남아 있다.

     정답 : []
     정답률 : 77%
     <문제 해설>
금속재질의 물질과 함께 보관 시 파손의 우려가 있다.
[해설작성자 : 한식마고 릴라뿜]

44. 기체 크로마토그래피에서 정지상에 사용하는 흡착제의 조건이 아닌 것은?
     1. 점성이 높아야 한다.
     2. 성분이 일정해야 한다.
     3. 화학적으로 안정해야 한다.
     4. 낮은 증기압을 가져야 한다.

     정답 : []
     정답률 : 70%
     <문제 해설>
점성은 낮아야 합니다.
[해설작성자 : ish3525]

점성이 높을수록 처리속도가 느려지고 비용이 많이 든다
[해설작성자 : 한식마고 릴라뿜]

45. 과망간산칼륨 시료를 20ppm으로 1L를 만들려고 한다. 이 때 과망간산칼륨을 몇 g 칭량하여야 하는가?
     1. 0.0002g
     2. 0.002g
     3. 0.02g
     4. 0.2g

     정답 : []
     정답률 : 48%
     <문제 해설>
ppm= mg/L

X
- = 20 * 10^-3 mg /L     = >    X= 20 * 10^-3 mg    ->    X=0.02
1L
[해설작성자 : zeus]

ppm=mg/L
x/1L=20mg/1000ml=0.02g/L    ->    x=0.02g
[해설작성자 : 벼락치기]

46. 가스 크로마토그래프의 주요 구성부가 아닌 것은?
     1. 운반 기체부
     2. 주입부
     3. 흡광부
     4. 컬럼

     정답 : []
     정답률 : 64%
     <문제 해설>
흡광부는 분광광도계의 주요 구성부 이다.
[해설작성자 : 한식마고 제조공정과]

47. 용액이 산성인지 알칼리성인지 또는 중성인지를 알려면, 용액 속에 들어 있는 공존 물질에는 관계가 없고 용액 중에 [H+] : [OH-]의 농도비로 결정되는데 [H+]>[OH-]의 용액은?
     1. 산성
     2. 알칼리성
     3. 중성
     4. 약성

     정답 : []
     정답률 : 77%
     <문제 해설>
H+ 이온이 많을수록 산성이 되고 OH- 이온이 많을수록 알카리성이 된다
H+ 이온 과 OH- 이온이 같거나 없다면 중성이 된다
[해설작성자 : 내년에 시험봄]

48. 가스크로마토그래피의 검출기 중 불꽃 이온화 검출기에 사용되는 불꽃을 위해 필요한 기체는?
     1. 헬륨
     2. 질소
     3. 수소
     4. 산소

     정답 : []
     정답률 : 50%
     <문제 해설>
GC에서는 대부분의 유기화합물을 수소-공기 불꽃으로 연소시켜 발생된 이온을 통해 분석한다.
[해설작성자 : 25년도 1회/윈큐]

49. 가스 크로마토그래피의 시료 혼합 성분은 운반 기체와 함께 분리관을 따라 이동하게 되는데 분리관의 성능에 영향을 주는 요인으로 가장 거리가 먼 것은?
     1. 분리관의 길이
     2. 분리관의 온도
     3. 검출기의 기록계
     4. 고정상의 충전 방법

     정답 : []
     정답률 : 68%
     <문제 해설>
기록계와 성능은 관련이 없쥬
[해설작성자 : 울산큰고래]

50. 분광광도계를 이용하여 시료의 투과도를 측정한 결과 투과도가 10%T 이었다. 이 때 흡광도는 얼마인가?
     1. 0.5
     2. 1
     3. 1.5
     4. 2

     정답 : []
     정답률 : 68%
     <문제 해설>
A(흡광도) = -logT(투과도) = -log0.1 = log10 = 1
[해설작성자 : 100]

아래와 같은 오류 신고가 있었습니다.
여러분들의 많은 의견 부탁 드립니다.
추후 여러분들의 의견을 반영하여 정답을 수정하도록 하겠습니다.
참고로 정답 변경은 오류 신고 5회 이상일 경우 수정합니다.

[오류 신고 내용]
오류
-log 0.1 = log 1/10 * 10 = 1
[해설작성자 : 여행인플루언서 @가온]

51. 다음 중 발화성 위험물끼리 짝지어진 것은?
     1. 칼륨, 나트륨, 황, 인
     2. 수소, 아세톤, 에탄올, 에틸에테르
     3. 등유, 아크릴산, 아세트산, 크레졸
     4. 질산암모늄, 니트로셀룰로오스, 피크린산

     정답 : []
     정답률 : 62%

52. 일반적으로 어떤 금속을 그 금속이온이 포함된 용액 중에 넣었을 때 금속이 용액에 대하여 나타내는 전위를 무엇이라 하는가?
     1. 전극전위
     2. 과전압전위
     3. 산화ㆍ환원전위
     4. 분극전위

     정답 : []
     정답률 : 57%

53. 용액 중의 물질이 빛을 흡수하는 성질을 이용하는 분석기기를 무엇이라 하는가?
     1. 비중계
     2. 용액 광도계
     3. 액성 광도계
     4. 분광 광도계

     정답 : []
     정답률 : 82%

54. 분광광도계의 부분 장치 중 다음과 관련 있는 것은?

    

     1. 광원부
     2. 파장선택부
     3. 시료부
     4. 검출부

     정답 : []
     정답률 : 51%

55. 다음의 기호 중 적외선을 나타내는 것은?
     1. VIS
     2. UV
     3. IR
     4. X-Ray

     정답 : []
     정답률 : 65%
     <문제 해설>
VIS 가시광선
UV 자외선
IR 적외선
X RAY 방사선
[해설작성자 : 앙김흐츼]

56. 가스 크로마토그래피(gas chromatography)로 가능한 분석은?
     1. 정성분석만 가능
     2. 정량분석만 가능
     3. 반응속도 분석만 가능
     4. 정량분석과 정성분석이 가능

     정답 : []
     정답률 : 75%
     <문제 해설>
cg는 그래프의 면적을 통해 정량분석, 머무름시간을 통해 정성을 할 수 있다.
[해설작성자 : 한식마고 릴라뿜]

57. 가시선의 광원으로 주로 사용하는 것은?
     1. 수소 방전등
     2. 중수소 방전등
     3. 텅스텐 등
     4. 나트륨 등

     정답 : []
     정답률 : 69%

58. 가스크로마토그래피(GC)에서 운반가스로 주로 사용되는 것은?
     1. O2, H2
     2. O2, N2
     3. He, Ar
     4. CO2, CO

     정답 : []
     정답률 : 77%
     <문제 해설>
가스크로마토그래피(GC)는 수소, 질소, 또는 비활성기체를 사용한다
[해설작성자 : 2022년 1-3반 석화고 운전과 학생]

59. 액체-고체 크로마토그래피(LSC)의 분리 메카니즘은?
     1. 흡착
     2. 이온교환
     3. 배제
     4. 분배

     정답 : []
     정답률 : 71%

60. 람베르트-비어 법칙에 대한 설명이 맞는 것은?
     1. 흡광도는 용액의 농도에 비례하고 용액의 두께에 반비례한다.
     2. 흡광도는 용액의 농도에 반비례하고 용액의 두께에 비례한다.
     3. 흡광도는 용액의 농도와 용액의 두께에 비례한다.
     4. 흡광도는 용액의 농도와 용액의 두께에 반비례한다.

     정답 : []
     정답률 : 58%
     <문제 해설>
A=elc
e=앱실론(상수)
l=두께
c=농도
[해설작성자 : comcbt.com 이용자]


정 답 지

1

2

3

4

5

6

7

8

9

10

11

12

13

14

15

16

17

18

19

20

21

22

23

24

25

26

27

28

29

30

31

32

33

34

35

36

37

38

39

40

41

42

43

44

45

46

47

48

49

50

51

52

53

54

55

56

57

58

59

60

화학분석기능사 필기 기출문제(해설) 및 CBT 2015년07월19일(4회)을 이용해 주셔서 감사합니다.
, 필기, 기출문제, 전자문제집, CBT, 온라인, 모의테스트, 모의고사



List of Articles
번호 제목 글쓴이 날짜 조회 수
4328 9급 지방직 공무원 서울시 조림 필기 기출문제(해설) 및 CBT 모의고사(2025년 11월 17일)(4104522) new 좋은아빠되기 2025.11.17 1
4327 비서 2급 필기 기출문제(해설) 및 CBT 2019년05월13일 new 좋은아빠되기 2025.11.17 1
4326 화학분석기사(구) 필기 기출문제(해설) 및 CBT 2010년09월05일 new 좋은아빠되기 2025.11.17 1
4325 배관기능사 필기 기출문제(해설) 및 CBT 2008년02월03일(1회) new 좋은아빠되기 2025.11.17 4
4324 9급 국가직 공무원 형법총론 필기 기출문제(해설) 및 CBT 2016년04월09일 new 좋은아빠되기 2025.11.17 2
4323 경찰공무원(순경) 형사소송법 필기 기출문제(해설) 및 CBT 모의고사(2025년 11월 17일)(3300103) new 좋은아빠되기 2025.11.17 1
4322 9급 국가직 공무원 노동법개론 필기 기출문제(해설) 및 CBT 2019년04월06일 new 좋은아빠되기 2025.11.17 1
4321 9급 지방직 공무원 서울시 사회(유공자) 필기 기출문제(해설) 및 CBT 2022년06월18일 new 좋은아빠되기 2025.11.17 1
4320 계리직공무원 한국사 필기 기출문제(해설) 및 CBT 2018년07월21일 new 좋은아빠되기 2025.11.17 1
4319 9급 국가직 공무원 응용역학개론 필기 기출문제(해설) 및 CBT 2015년04월18일 new 좋은아빠되기 2025.11.17 1
4318 제선기능사 필기 기출문제(해설) 및 CBT 2013년07월21일(4회) new 좋은아빠되기 2025.11.17 1
» 화학분석기능사 필기 기출문제(해설) 및 CBT 2015년07월19일(4회) new 좋은아빠되기 2025.11.17 1
4316 에너지관리산업기사 필기 기출문제(해설) 및 CBT 2003년08월31일 new 좋은아빠되기 2025.11.17 1
4315 자동차차체수리기능사 필기 기출문제(해설) 및 CBT 모의고사(2025년 11월 17일)(1111510) new 좋은아빠되기 2025.11.17 1
4314 컴퓨터활용능력 1급 필기 기출문제(해설) 및 CBT 모의고사(2025년 11월 17일)(1907731) new 좋은아빠되기 2025.11.17 2
4313 기상기사 필기 기출문제(해설) 및 CBT 2012년03월04일 new 좋은아빠되기 2025.11.17 1
4312 전자부품장착기능사 필기 기출문제(해설) 및 CBT 2015년07월19일(4회) new 좋은아빠되기 2025.11.17 1
4311 축로기능사 필기 기출문제(해설) 및 CBT 2003년03월30일(2회) new 좋은아빠되기 2025.11.17 1
4310 공조냉동기계기사(구) 필기 기출문제(해설) 및 CBT 2011년03월20일 new 좋은아빠되기 2025.11.17 1
4309 배관기능장 필기 기출문제(해설) 및 CBT 2009년03월29일 new 좋은아빠되기 2025.11.17 1
Board Pagination Prev 1 ... 7 8 9 10 11 12 13 14 15 16 ... 228 Next
/ 228