자격증 필기 기출문제



응용지질기사 필기 기출문제(해설) 및 CBT 2005년 08월 07일

최강 자격증 기출문제 전자문제집 CBT : www.comcbt.com


전자문제집 CBT란?
종이 문제집이 아닌 인터넷으로 문제를 풀고 자동으로 채점하며 모의고사, 오답 노트, 해설까지 제공하는
무료 기출문제 학습 프로그램으로 실제 상설검정에서 사용하는 OMR 형식의 CBT를 제공합니다.

최신 응용지질기사 필기 기출문제 : [다운로드]


1과목 : 암석학 및 광물학


1. 라브라도라이트 사장석 표면에서 관찰되는 라브라도리슨스 효과의 원인은?
     1. 원자 층에서 일어나는 빛의 회절효과
     2. 알바이트 사장석과 경계에서 일어나는 빛의 간섭효과
     3. 신선한 광물표면에서 일어나는 빛의 반사효과
     4. 취편쌍정 경계에서 일어나는 빛의 간섭효과

     정답 : []
     정답률 : 67%

2. 결정은 성장하면서 일정한 모습을 가지게 되는데, 결정 또는 결정집합체가 나타나는 일반적인 모양을 정벽(habit)이라 한다. 아래 그림은 망간광물에서 흔히 관찰되는 고사리 모양의 정벽인데 어떤 종류의 정벽인가?

   

     1. 주상
     2. 운모상
     3. 포도상
     4. 수지상

     정답 : []
     정답률 : 61%

3. 어떤 한 결정이 결정축 a, b, c를 각각 표축비의 2, 3, 1 배수로 절단할 때 이를 바이스(Weiss) 기호로는 {2a : 3b : 1c}로 나타내는데, 이 결정면의 밀러(Miller)지수는?
     1. ( 1 2 0 )
     2. ( 2 1 3 )
     3. ( 3 2 6 )
     4. ( 2 3 1 )

     정답 : []
     정답률 : 60%

4. 다음 중 탄산염광물로 조합된 것은?
     1. 인회석 - 석고
     2. 갈철석 - 석류석
     3. 경석고 - 방해석
     4. 돌로마이트 - 마그네사이트

     정답 : []
     정답률 : 70%

5. 다음 광물 중에서 휘석군(pyroxene)에 속하는 것은?
     1. 앤소필라이트(anthophyllite)
     2. 녹니석(chlorite)
     3. 오자이트(augite)
     4. 포스터라이트(forsterite)

     정답 : []
     정답률 : 47%

6. 다음 광물들은 철 화합물인데 화학적 분류에 있어서 상이한 것이 있다. 어느 것인가?
     1. 백철석
     2. 적철석
     3. 티탄철석
     4. 자철석

     정답 : []
     정답률 : 58%

7. 다이아몬드의 구성원소가 취하고 있는 원자결합방식은?
     1. 공유결합
     2. 금속결합
     3. 이온결합
     4. 잔류결합

     정답 : []
     정답률 : 75%

8. 어떤 광물의 경도가 석영보다는 약하고 정장석 보다는 강하다면 이 광물의 경도로 적절한 것은? (단, mohs 경도계를 기준)
     1. 5.5
     2. 6.5
     3. 7.5
     4. 8.5

     정답 : []
     정답률 : 64%

9. 다음 전성이 가장 좋은 광물은 무엇인가?
     1. 백운모
     2. 자연금
     3. 석고
     4. 펙톨라이트

     정답 : []
     정답률 : 75%

10. 다음 중 동위원소에 대한 설명으로 맞는 것은?
     1. 원자번호는 같지만 양성자수가 서로 다른 원소
     2. 원자번호는 다르지만 양성자수가 서로 같은 원소
     3. 원자번호는 같지만 질량수가 서로 다른 원소
     4. 원자번호는 같지만 전자수가 서로 다른 원소

     정답 : []
     정답률 : 66%

11. 다음 중 변성광물이 아닌 것은?
     1. 해록석(glauconite)
     2. 십자석(stairolite)
     3. 남정석(kyanite)
     4. 근청석(cordierite)

     정답 : []
     정답률 : 56%

12. 반려암과 섬록암을 나누는 기준으로 맞는 것은?
     1. An > 50이면 반려암
     2. CaO > 10%이면 반려암
     3. Fo > 50이면 섬록암
     4. FeO > 10%이면 섬록암

     정답 : []
     정답률 : 55%

13. 다이아몬드를 산출하는 초염기성암은 다음 중 어느 것인가?
     1. 듀나이트(dunite)
     2. 킴벌라이트(kimberlite)
     3. 페리도타이트(peridotite)
     4. 사문암(serpentinite)

     정답 : []
     정답률 : 65%

14. 지구진화의 초기에 지구대기 중 산소의 함량이 낮았음을 지시하는 증거는 다음 중 어느 것인가?
     1. 장석질 사암
     2. 철광상
     3. 인광상
     4. 암염

     정답 : []
     정답률 : 46%

15. 야외에서 채취한 화성암을 석리(石理)에 따라 분류할 때 화산암에 해당하는 사항은?
     1. 조립이며 완정질인 것
     2. 반상인 것
     3. 치밀하며 비정질인 것
     4. 반정인 것

     정답 : []
     정답률 : 43%

16. 제주도를 형성하고 있는 화성암체의 산상은?
     1. 저반
     2. 용암류
     3. 암맥
     4. 암주

     정답 : []
     정답률 : 75%

17. 셰일(shale)과 이암(mudstone)과 다른 점은?
     1. 셰일은 이암보다 장석의 함량이 많다.
     2. 셰이은 이암보다 입자의 크기가 크다.
     3. 셰일은 이암보다 탄질물을 많이 포함한다.
     4. 셰일은 이암보다 잘 쪼개지는 성질이 있다.

     정답 : []
     정답률 : 50%

18. 상하로 인접한 두 지층 사이에 커다란 시간적 간격을 나타내 주는 퇴적구조는?
     1. 사층리
     2. 건열
     3. 연흔
     4. 부정합

     정답 : []
     정답률 : 67%

19. 변성상 평형도에 대한 다음 설명 중에서 틀린 것은?
     1. 평형 상태에서 공존선은 교차되지 않는다.
     2. ACF도는 변성 염기성암과 불순한 석회질암에 포한된 광물 조합은 도시하기 위해 사용되는 삼각도 이다.
     3. AFM도는 AKFM 4성분계 도면에서 유래되었다.
     4. CFM도는 변성산성암의 상변화를 도시하는데 유용하다.

     정답 : []
     정답률 : 46%

20. 석회질 암석내에 석영과 점토광물이 불순물로 포함되어 있을 때, 이 암석이 변성작용을 받으면 새로운 광물들이 생성되면서 기체를 방출한다. 이때 방출될 수 있는 기체는?
     1. 오존(O3)
     2. 아르곤(Ar)
     3. 메탄(CH4)
     4. 이산화탄소(CO2)

     정답 : []
     정답률 : 84%

2과목 : 구조지질학


21. 암석에 생기는 절리의 특성이 아닌 것은?
     1. 융기작용이나 삭박작용 동안에 발생할 수 있다.
     2. 습곡작용과 관련하여 규칙적으로 발달할 수 있다.
     3. 인장응력 또는 전단응력에 의해 생긴다.
     4. 변성작용에 의해 생긴다.

     정답 : []
     정답률 : 58%

22. 다음 그림은 어떤 단층의 생성과정을 나타낸 그림인가?

    

     1. 정단층
     2. 오버드러스트
     3. 점완단층
     4. 성장단층

     정답 : []
     정답률 : 77%

23. 다음 중 조륙운동에서 융기의 증거와 관계 없는 것은?
     1. 이탈리아 세라피스 사원의 대리석 기둥에서 해저생물인 보오링셀의 자국이 있다.
     2. 해저삼림이 있다.
     3. 해안단구와 하안단구가 있다.
     4. 높은 산위에 해성퇴적암인 석회암층이 있다.

     정답 : []
     정답률 : 55%

24. 다음 그림과 같은 노두에서 관찰한 Slaty cleavage로 해석한 구조 중 가장 옳은 것은?

    

     1. monocline
     2. 동쪽에 syncline구조가 있고, 이 습곡은 남쪽으로 plunge한다.
     3. 동쪽에 syncline구조가 있고, 이 습곡은 북쪽으로 plunge한다.
     4. 서쪽에 syncline구조가 있고, 이 습곡은 남쪽으로 plunge한다.

     정답 : []
     정답률 : 45%

25. 다음 중 빙하와 관계가 깊은 것은?
     1. Rias식 해안
     2. Karst 지형
     3. Fiord
     4. 악지지형(惡地地形)

     정답 : []
     정답률 : 82%

26. Anticlinorium이란 다음 중 어떠한 지질구조를 의미하는 가?
     1. 다수의 습곡이 대규모의 향사를 이루고 있는 지질구조
     2. 주경사의 방향으로 습곡축들이 발달하는 지질구조
     3. 다수의 습곡이 대규모의 배사를 이루고 있는 지질구조
     4. 습곡과 단층이 반복하는 지질구조

     정답 : []
     정답률 : 72%

27. 규모 7의 지진은 규모 4의 지진보다 얼마나 더 많은 에너지를 방출하는가?
     1. 약 30배
     2. 약 3배
     3. 약 27000배
     4. 약 1000배

     정답 : []
     정답률 : 67%

28. 해양저 확장설(sea-floor spreading)의 가장 중요한 증거가 된 것은 해양지각의 자기이상대 무늬의 발견과 해석에서 비롯되었다고 한다. 해양저 확장의 가장 직접적인 증거가 된 것은 이러한 자기이상대의 어떠한 특성 때문인가?
     1. 특이한 무늬모양
     2. 전-부의 반복적인 자기이상
     3. 해양지각 암석의 자화
     4. 자기이상대의 대칭성

     정답 : []
     정답률 : 71%

29. 다음에 나열된 동위원소들 중 가장 젊은 지질연대를 측정할 수 있는 것은?
     1. 87Rb → 87Sr
     2. 238U → 206Pb
     3. 235U → 207Pb
     4. 14C → 14N

     정답 : []
     정답률 : 77%

30. 호상열도(弧狀列島)에서 일어나는 화성활동의 특징이 되는 것은?
     1. 안산암질(安山岩質) 마그마 활동이 빈번하다.
     2. 화강암질의 관입이 활발하다.
     3. 혼성암(混成岩)의 발달이 빈번하다.
     4. 초염기성암의 발달이 격심하다.

     정답 : []
     정답률 : 74%

31. 압쇄암에 대한 설명 중에서 틀린 것은?
     1. 압쇄암은 지하 심부에서 형성된 단층암이다.
     2. 압쇄암은 압쇄엽리를 가지며 압쇄된 정도에 따라 protomylonite, mylonite, ultramylonite 등으로 구분한다.
     3. 압쇄암은 야외에서 관찰한 때 압쇄정도에 따라 마치 편마암이나 편암같아 보이는 암석이다.
     4. 압쇄암은 심한 재결정작용을 받아 형성된 암석으로 접촉변성암이다.

     정답 : []
     정답률 : 65%

32. 수계발달 특성 중 기반암의 지질구조에 의한 것이 아닌 것은?
     1. 평행 수계(parallel drainage)
     2. 격자상 수계(trellis drainage)
     3. 장방형 수계(rectangular drainage)
     4. 수지상 수계(dendritic drainage)

     정답 : []
     정답률 : 60%

33. 다음 표는 4개 층의 두께와 각 층의 전단 변형(shear strain)을 보여준다. 전체 A,B,C,D 층에 대한 평균 전단변형은 얼마인가?

    

     1. 35.28
     2. 15.12
     3. 7.55
     4. 0.19

     정답 : []
     정답률 : 48%

34. 다음 중 하곡의 발달에 영향을 미치는 요소가 아닌 것은?
     1. 사면 경사의 점도
     2. 강수량을 좌우하는 기후
     3. 침식에 대한 저항성을 규정하는 지질구조
     4. 퇴적물의 공급방향

     정답 : []
     정답률 : 64%

35. 다음 중 천발, 중발, 심발지진이 모두 발생하는 곳은?
     1. 중앙해령
     2. 변환단층
     3. San andreas 단층
     4. 섭입대

     정답 : []
     정답률 : 78%

36. 미국의 알버타주와 아리조나주에 걸쳐 넓게 발달하는 우식 및 토양침식에 의한 지형으로 우곡이 무수히 패여서 형성된 거친 지형의 명칭은?
     1. 메사(mesa)
     2. 에스카프먼트(escarpment)
     3. 약지(badland)
     4. 뷰트(butte)

     정답 : []
     정답률 : 58%

37. 지구 구조론(Global tectonics)에서 지구표면하에 위치하는 암석권(Lithosphere)의 두께는 얼마나 되는가?
     1. 약 10km
     2. 약 100km
     3. 약 2600km
     4. 약 2200km

     정답 : []
     정답률 : 62%

38. 현재 일본에서 활발한 지진활동의 원인은?
     1. 태평양판이 유라시아 판 하부로 섭입
     2. 화산활동
     3. 인도판과 유라시아판의 충돌
     4. 일본은 주로 퇴적암으로 이루어져 있기 때문

     정답 : []
     정답률 : 80%

39. 대규모 지진의 발생시 함께 발달할 수 있는 지표 현상이 아닌 것은?
     1. 사태(Landsliding)
     2. 슬럼핑(slumping)
     3. 토석류(earth flow)
     4. 포행(creep)

     정답 : []
     정답률 : 74%

40. 우리나라의 지층명과 지질시대가 잘못 짝지워진 것은?
     1. 풍촌층 - 고생대 캠브리아기
     2. 연일층군 - 신생대 마이오세
     3. 신동층군 - 중생대 백악기
     4. 만항층 - 고생대 오오도비스기

     정답 : []
     정답률 : 50%
     <문제 해설>
만항층은 석탄기 지층
[해설작성자 : 증새]

3과목 : 탐사공학


41. 방사능 탐사의 대상 중 가장 거리가 먼 것은?
     1. 우라늄 탄광
     2. 지하수
     3. 단층
     4. 황화광물체

     정답 : []
     정답률 : 25%

42. 길이가 같은 두 개의 단진자가 각각 A, B 두지점에 있다. 두 단진자의 주기를 측정한 결과 A, B 지점에서 각각 T, 2T 였다고 하면 A, B점의 중력값과의 관계는?
     1. A 지점이 B지점의 2배
     2. A 지점이 B지점의 1/2배
     3. A 지점이 B지점의 4배
     4. A 지점이 B지점의 1/4배

     정답 : []
     정답률 : 62%

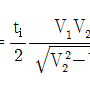
43. 다음 중 시간영역유도분극탐사와 관련이 없는 것은?
     1. V1/V2(V1=잔류전압, V2=정상전압 )
     2. 감쇠시간적분(decay-time integral)
     3. 충전성(chargeability)
     4. 위상차(phase difference)

     정답 : []
     정답률 : 48%

44. 다음 중 유도분극(IP)탐사에서 주파수 효과란? (단, ρ1은 낮은 주파수 혹은 직류 겉보기 비저항이고, ρ2는 높은 주파수 혹은 교류 겉보기 비저항이다.)
     1.
     2.
     3.
     4.

     정답 : []
     정답률 : 57%

45. 지하수 탐사에 가장 많이 사용되는 물리탐사 방법은?
     1. 중력탐사
     2. 자력탐사
     3. 탄사파탐사 반사법
     4. 전기비저항탐사

     정답 : []
     정답률 : 48%

46. 지하자원 탐사에 이용되는 부분의 중력계(gravitimeter)에 있어서 측정되는 중력장은 구체적으로 무엇인가?
     1. 지오이드(geoid)
     2. 중력포텐셜(gravitational potential)
     3. 절대중력(absolute gravity)
     4. 상대중력(relative gravity)

     정답 : []
     정답률 : 24%

47. 다음 지열의 특성에 대한 설명 중 맞지 않는 것은?
     1. 열전도도는 화강암 보다 자철석이 더 높다.
     2. 지열유량은 제 3기 조산대보다 선캠브리아기의 순상지가 더 높다.
     3. 지구 내부의 열 에너지원은 대부분 방사성 동위원소의 붕괴로 알려져 있다.
     4. 대양에서의 지열발산이 대륙 쪽 보다 더 넓게 분포한다.

     정답 : []
     정답률 : 46%

48. 우리나라에서 주향이 남-북(NS)방향인 지질구조에 대하여 VLF 전자탐사를 실시하고자 한다. 이때 어느 송신소를 선택해야 가장 효과 적이겠는가?
     1. NAA
     2. NDT
     3. NPM
     4. NWC

     정답 : []
     정답률 : 60%

49. 자력탐사의 물리량 측정단위는 다음 중 어느 것인가?
     1. Gauss
     2. gal
     3. simens/m
     4. ohom-m

     정답 : []
     정답률 : 43%

50. 그림과 같이 아주층의 속도가 상부층의 속도보다 큰 구조에서 A지점에서 B지점까지 탐성파가 전달될 때의 파의 전파 경로는 어느 것인가?

    

     1. ①번 경로
     2. ②번 경로
     3. ③번 경로
     4. ④번 경로

     정답 : []
     정답률 : 78%

51. GPR탐사에 대한 설명 중 잘못된 것은?
     1. 고해상도의 물리탐사방법이다.
     2. 가탐심도가 작으므로 주로 천부조사에 적용된다.
     3. 수 십 MHz 이상의 고주파를 사용한다.
     4. 일반적으로 굴절법이 가장 널리 사용된다.

     정답 : []
     정답률 : 56%

52. Pb - Zn - Ag 광상의 지시 원소로 적합한 것은?
     1. As
     2. Hg
     3. Rn
     4. SO4

     정답 : []
     정답률 : 64%

53. 상부층의 P 파 속도는 1,500m/s이며 밀도는 2.00g/cm3 이고, 하부층의 P 파 속도는 4,500m/s이며 밀도는 2.60g/cm3 이다. 반사계수와 투과 계수는 얼마인가?
     1. 반사계수 : 0.41, 투과계수 : 0.59
     2. 반사계수 : 0.49, 투과계수 : 0.51
     3. 반사계수 : 0.51, 투과계수 : 0.49
     4. 반사계수 : 0.59, 투과계수 : 0.41

     정답 : []
     정답률 : 68%

54. 다음 중 지표 탄성파 반사법 자료처리 과정이 아닌 것은?
     1. CDP 중합(common depth point stacking)
     2. 뮤팅(Muting)
     3. 초동발췌(first arrival time picking)
     4. NMO(normal move-out)

     정답 : []
     정답률 : 60%

55. 다음 중 중력참사 결과를 해석할 때 양의 중력이상을 나타내는 지질구조는?
     1. 암염돔 구조
     2. 해구
     3. 열곡대
     4. 염기성 암석

     정답 : []
     정답률 : 52%

56. 물리탐사 측정기기 중 강자성체의 자기 포화 특성을 이용하여 자기장을 측정하는 기기는 무엇인가?
     1. 핵 자력계
     2. 플럭스게이트
     3. 포테클리노미터
     4. 스퀴드자력계

     정답 : []
     정답률 : 56%

57. 다음 중 중력 참사에 있어서 측정과 기준면사이의 물질에 대한 보정방법으로 맞는 것은?
     1. 위도보정
     2. 푸리-에어 보정
     3. 부게보정
     4. 지형보정

     정답 : []
     정답률 : 44%

58. 48channel의 수진기를 이용하여 CMP(common mid point) 모음 방법을 통하여 탄성파 자료를 획득하고자 한다. 수진기 간격은 40m, 음원간의 각도는 40m 라고 할때, 공통반사점을 가지는 트레이스의 수(CMP 수)는 얼마인가?
     1. 24
     2. 36
     3. 48
     4. 60

     정답 : []
     정답률 : 42%

59. 화학원소의 지구화학적 분류에서 쉽게 이온화되어 이온결합의 경향이 높은 원소들이 주로 속하는 분류는?
     1. 친철(siderophile)원소
     2. 친동(chalcophile)원소
     3. 친석(lithophile)원소
     4. 친기(atmophile)원소

     정답 : []
     정답률 : 54%

60. 다음 무질 중 대자율이 가장 큰 것은?
     1. 자철석
     2. 석탄
     3. 갈철석
     4. 화강암

     정답 : []
     정답률 : 58%

4과목 : 지질공학


61. 피암대수층을 가장 올바르게 설명한 것은?
     1. 포화된 대수층 상부에 두터운 불투수층이 있어 지하수가 구속을 받는다.
     2. 포화된 대수층 상하부에 불투수층이 피복되어 지하수가 심한 압력을 받는다.
     3. 유역상류로부터 유동되는 지하수의 압력을 받아 피압현상을 받는 지층이다.
     4. 포화된 지하수가 유역하류에 불투수층이 높여 흐름을 저지할 때 피압현상을 일으키는 지층이다.

     정답 : []
     정답률 : 47%

62. 지질구조가 댐구축시 미치는 영향이 아닌 것은?
     1. 단층파쇄대가 있는 경우 파이핑 현상이 일어날 수 있다.
     2. 중력댐기초에 단층이 있는 경우 침투수에 의한 부양력이 문제가 될 수있다.
     3. 습곡의 향사구조상의 댐기초는 배사구조상의 댐기초보다 적응 부양력이 예상된다.
     4. 습곡의 배사구조보다 향사구조에서 측면 슬라이딩에 있어서는 더 안전하다.

     정답 : []
     정답률 : 58%

63. 암질평가에는 R.Q.D가 보편적으로 적용된다. 암질이 양호(good)로 판정되는 R.Q.D범위(%)는 다음 중 어느것인가?
     1. 25~50
     2. 59~70
     3. 75~90
     4. 90~100

     정답 : []
     정답률 : 59%

64. 어떤 점토시료를 일축 압축 시험한 결과, 압축 강도가 1.2kg/cm2, 파괴면과 수평면이 이루는 각은 47° 였다면 시료의 점착력은?
     1. 0.56kg/cm2
     2. 1.56kg/cm2
     3. 2.56kg/cm2
     4. 3.56kg/cm2

     정답 : []
     정답률 : 13%

65. 다음 중 산사태 및 사면붕괴 문제 해결을 위한 공학적 설계에서 가장 중요하게 다루어져야 하는 것은?
     1. 일축압축강도
     2. 탄성계수
     3. 마찰각
     4. 탄성파속도

     정답 : []
     정답률 : 73%

66. 다음 중 실내 투수 시험법은?
     1. Tube법
     2. Auger법
     3. 정수위 투수시험법
     4. Piezometer법

     정답 : []
     정답률 : 48%

67. 그림과 같은 토양 컬럼 실험에서 토양A의 투수계수(KA)는 3×10-3cm/sec 이고, 두께는 70cm이다. 또한 토양 B의 투수계수(KB)는 2×10-3cm/sec 이고, 두께는 30cm이다. 토양A와 토양 B의 연직방향 평균 투수계수(KV)는 얼마인가? (문제 오류로 문제 및 보기 내용이 정확하지 않습니다. 정확한 내용을 아시는 분께서는 오류신고를 통하여 내용 작성 부탁드립니다. 정답은 2번입니다.)
     1. 2.50×10-3cm/sec
     2. 2.61×10-3cm/sec
     3. 2.70×10-3cm/sec
     4. 2.87×10-3cm/sec

     정답 : []
     정답률 : 41%

68. 터널 외형 단면보다 약간 큰 단면을 가지는 튼튼한 강재의 통을 지반중에 밀어넣고 진행시켜 그 선단부 지반의 붕괴를 막으면서 굴착하는 방법은?
     1. 침매공법
     2. 실드공법
     3. 개착공법
     4. 언더피닝공법

     정답 : []
     정답률 : 45%

69. 다음 중 단열암반에 설치된 시추공으로부터 얻을 수 있는 자료에 해당되지 않는 것은?
     1. 단열주향
     2. 단열경사
     3. 단열크기
     4. 단열간격

     정답 : []
     정답률 : 44%

70. 다음 중 동다짐(Dynamic compaction)공법에 대한 설명으로 틀린 것은? (다)
     1. 전력설비가 없는 곳에서의 시공이 가능하다.
     2. 지지력의 소폭적인 증가가 요구될 때 효과적이다.
     3. 주변의 흙이 교란되지 않고 소음이 적다.
     4. 낙하고 조절이 가능하여 강력한 에너지를 얻을 수 있다.

     정답 : []
     정답률 : 63%

71. 어떤 현장 모래의 습윤밀도와 함수비를 측정한 결과 각각 1.80g/cm3와 32.0%였다면 건조밀도는? (단, 흙 입자의 비중은 2.56)
     1. 1.05g/cm3
     2. 1.36g/cm3
     3. 2.65g/cm3
     4. 2.80g/cm3

     정답 : []
     정답률 : 38%

72. 굴착 공사중에 발생하는 지하수의 처리공법으로 적절치 않은 것은?
     1. 디프웰(deep well)공법
     2. 웰포인트(well point)공법
     3. 피트(pit)공법
     4. 프리로딩(pre loading)공법

     정답 : []
     정답률 : 52%

73. 수압파쇄법의 설명으로 틀린 것은?
     1. 수직응력은 암반의 단위중량과 심도의 곱으로 구한다.
     2. 이 시험에 의해 암반의 인장강도를 구할 수 있다.
     3. 수압에 의한 균열의 발달은 최대 주응력방향이다.
     4. 시 시험법은 암반의 변형계수를 구하기 위한 시험이다.

     정답 : []
     정답률 : 23%

74. 다음 중 풍화(weathering)에 대한 설명으로 틀린것은?
     1. 건조하거나 추운 지역에서보다 열대지방이 풍화가 더 잘 일어난다.
     2. 고온에서 생성된 광물들은 저온에서 정출 된 광물들에 비해 더 쉽게 풍화된다.
     3. 지표 환경과 비슷한 퇴적암이 화성암과 비교할 때 풍화에 약하다.
     4. 비가 많은 열대지방에서 고령석이 가수분해되면 보옥사이트가 된다.

     정답 : []
     정답률 : 58%

75. 지표 근처에 연약 점토층에 부분적으로 분포된어 있는 경우 적용할 수 있는 지반개량공법으로 가장 적당한 것은?
     1. 바이브로플로테이션공법
     2. 지하수위저하공법
     3. 굴착치환공법
     4. 동압밀공법

     정답 : []
     정답률 : 54%

76. 극한평형조건을 이용하여 해석 할 수 없는 암반사면의 파괴 형태는?
     1. 평면파괴
     2. 전도파괴
     3. 쐐기파괴
     4. 원호파괴

     정답 : []
     정답률 : 35%

77. 흙의 부피가 팽창하여 지표면이 부풀어 오르는 현상을 동상(frost heave)이라고 한다. 다음 중 동상이 가장 잘 읽어나는 흙은 어느거인가?
     1. 실트
     2. 자갈
     3. 모래
     4. 점토

     정답 : []
     정답률 : 39%

78. 다음 중 콘크리트 댐에 속하지 않는 것은?
     1. 중력댐(gravity dam)
     2. 아치댐(arch dam)
     3. 부벽댐(butteress dam)
     4. 사력댐(earth dam)

     정답 : []
     정답률 : 70%

79. 암석의 풍화 정도를 측정하기 위한 지수 시험법으로 적당한 것은?
     1. 전단시험
     2. 슬래이크 내구시험
     3. 평판재하시험
     4. 피로시험

     정답 : []
     정답률 : 38%

80. Darcy의 법칙이 적용되기 위한 한계조건들에 해당되지 않는 것은?
     1. 매질과 이를 통과하는 유체 사이에 화학반응이 없어야 한다.
     2. 압력에 따른 부피의 변호가 없는 비압축성 유동이어야 한다.
     3. 다공질매체 내에서 100% 포화된 상태로 유동이 발생해야 한다.
     4. 층류유동 조건을 충족하기 위해서는 Reynold수가 매우 커야한다.

     정답 : []
     정답률 : 73%

81. 다음 지층 중 석탄층이 주로 협재되어 있는 지층은?
     1. 홍점통
     2. 사동통
     3. 녹암통
     4. 고방산통

     정답 : []
     정답률 : 35%

82. 우리나라 석탄자원에 대한 설명은?
     1. 주로 갈탄이다.
     2. 주로 유연탄이다.
     3. 주로 무연탄이다.
     4. 모두 비슷한 비율로 생산된다.

     정답 : []
     정답률 : 66%

83. 우리나라 석회암의 주분포지인 삼척, 영월, 문경, 단양, 지역의 석회암은 언제 퇴적된 것인가?
     1. 시생대초
     2. 중생대초
     3. 신생대초
     4. 고생대초

     정답 : []
     정답률 : 53%

84. 철광상으로서 그 규모가 가장 큰 것의 성인은?
     1. 퇴적광상
     2. 마그마광상
     3. 교대광상
     4. 사광상

     정답 : []
     정답률 : 38%

85. 공동충진(cavity filling)광상 중 판상의 광체인 것은?
     1. 열극광맥(fissure veins)
     2. 망상광맥(stockworks)
     3. 공극충진 광상(pore-space fillings)
     4. 각력 광상(breccia deposits)

     정답 : []
     정답률 : 40%

86. 다음에 열거한 광물들이 공생하기 어려운 광물 조합은?
     1. 금, 석영, 황철석
     2. 철망간중석, 안티모니광, 휘수연광
     3. 적철석, 섬아연석, 황동석
     4. 코발트광, 니켈광, 은광

     정답 : []
     정답률 : 45%

87. 철광석으로 이용되지 못하는 광물은?
     1. 갈철석
     2. 자철석
     3. 적철석
     4. 유비철석

     정답 : []
     정답률 : 50%

88. 한국의 주요 철광상중의 하나였던 강원도 양양철광의 철광을 배태하는 암석은?
     1. 각섬암(amphibolite)
     2. 유문암(rhyolite)
     3. 회장암(anorthite)
     4. 규암(quartzite)

     정답 : []
     정답률 : 49%

89. 모암과 광화용액 사이의 반응에 의하여 일어나는 모암변질 효과와 가장 거리가 먼 것은?
     1. 모암에 재결정작용을 일으킨다.
     2. 모암을 일부 용융시킨다.
     3. 모암에 투수성을 증가시킨다.
     4. 모암의 색깔을 변화시킨다.

     정답 : []
     정답률 : 27%

90. 광석에서 관찰되는 횡단구조는 어떠한 작용에 의하여 이루어 지는가?
     1. 교대작용
     2. 침전작용
     3. 동시정출작용
     4. 동력변성작용

     정답 : []
     정답률 : 43%

91. 우리나라에서 고령토(Kaoline)광상의 중요 분포지는 다음 중 어느 곳인가?
     1. 경상남도 하동
     2. 경상북도 청송
     3. 충청북도 제천
     4. 강원도 삼척

     정답 : []
     정답률 : 65%

92. 국내에서는 모암이 돌로마이트나 돌로마이트질 석회암인 것과 사문암인 것으로 대별되는데, 양질의 광석은 돌로마이트를 모암으로하는 광상에서 산출되나, 광량면에서는 사문암을 모암으로 하는 광상이 전체의 90%이상을 차지하는 광종은?
     1. 활석
     2. 석면
     3. 흑연
     4. 우라늄

     정답 : []
     정답률 : 56%

93. 접촉교대광상을 가장 잘 형성할 수 있는 관입암은?
     1. 화강섬록암
     2. 화강암
     3. 섬록암
     4. 섬장암

     정답 : []
     정답률 : 57%

94. 고기의 변성암류의 엽리 등 층상구조에 거의 조화적으로 층상~렌즈상으로 배태된 소위 층상 함동유화철광상으로 유럽의 바라스칸, 칼레도니아 등 세계의 조산대내에 발달되는 주요 동 및 유화철광상의 주요 형태는?
     1. 스카른광상
     2. 벳시형동광상
     3. 반암동광상
     4. 열수광상

     정답 : []
     정답률 : 68%

95. Ca, Mg 또는 Mn의 탄산염으로 구성된 모암이 실리카, 알루미나, 철 등이 부가되어 반응을 일으켜 칼슘, 마그네슘, 알루미늄, 철 등의 규산염광물집합체로 변질된 현상을 무엇이라 하는가?
     1. 주석화
     2. 프로필라이트화
     3. 규화
     4. 스카른화

     정답 : []
     정답률 : 26%

96. 세계적으로 널리 알려져 있으며 함백향사의 남쪽 날개에 있는 태백산 광화대 내의 풍촌석회암과 묘봉층에 협재된 석회암이 화강암과 접촉부에서 선택적으로 교대되어 형성된 대규모 스카른형 중석ㆍ휘수연 광상은?
     1. 상동
     2. 연화
     3. 무극
     4. 광양

     정답 : []
     정답률 : 32%

97. 남한의 금속광상생성은 다음 중 어느 시기가 제일 많은가?
     1. 원생대
     2. 고생대
     3. 중생대
     4. 신생대

     정답 : []
     정답률 : 46%

98. 열수광상(hydrothermal deposites)은 천열수, 중열수, 심열수 광상으로 크게 분류된다. 이를 분류하는 가장 중요한 요인은 무엇인가?
     1. 심도(온도)
     2. pH
     3. 관계화성암
     4. 모암

     정답 : []
     정답률 : 73%

99. 지하 깊은 곳에서 광화용액(Ore bearing fluid)이 이동하는 방법과 거리가 먼 것은?
     1. 확산(Diffusion)을 통한 이동
     2. 결정의 벽개면을 통한 이동
     3. 입자의 경계를 통한 이동
     4. 정상류처럼 흐름(Flow)을 통한 이동

     정답 : []
     정답률 : 67%

100. 변성광상의 주요 광석광물이 아닌 것은?
     1. 석면
     2. 흑연
     3. 황산연석
     4. 활석

     정답 : []
     정답률 : 30%


정 답 지

1

2

3

4

5

6

7

8

9

10

11

12

13

14

15

16

17

18

19

20

21

22

23

24

25

26

27

28

29

30

31

32

33

34

35

36

37

38

39

40

41

42

43

44

45

46

47

48

49

50

51

52

53

54

55

56

57

58

59

60

61

62

63

64

65

66

67

68

69

70

71

72

73

74

75

76

77

78

79

80

81

82

83

84

85

86

87

88

89

90

91

92

93

94

95

96

97

98

99

100

응용지질기사 필기 기출문제(해설) 및 CBT 2005년 08월 07일을 이용해 주셔서 감사합니다.
, 필기, 기출문제, 전자문제집, CBT, 온라인, 모의테스트, 모의고사



List of Articles
번호 제목 글쓴이 날짜 조회 수
4529 응용지질기사 필기 기출문제(해설) 및 CBT 2013년 03월 10일(업데이트) new 좋은아빠되기 2025.11.17 1
4528 응용지질기사 필기 기출문제(해설) 및 CBT 2012년 08월 26일(업데이트) new 좋은아빠되기 2025.11.17 1
4527 응용지질기사 필기 기출문제(해설) 및 CBT 2012년 05월 20일(업데이트) new 좋은아빠되기 2025.11.17 1
4526 응용지질기사 필기 기출문제(해설) 및 CBT 2010년 05월 09일(업데이트) new 좋은아빠되기 2025.11.17 1
4525 응용지질기사 필기 기출문제(해설) 및 CBT 2010년 03월 07일(업데이트) new 좋은아빠되기 2025.11.17 1
4524 응용지질기사 필기 기출문제(해설) 및 CBT 2008년 07월 27일(업데이트) new 좋은아빠되기 2025.11.17 0
» 응용지질기사 필기 기출문제(해설) 및 CBT 2005년 08월 07일(업데이트) new 좋은아빠되기 2025.11.17 0
4522 의료전자기능사 필기 기출문제(해설) 및 CBT 2014년 04월 06일[2회](업데이트) new 좋은아빠되기 2025.11.17 1
4521 의료전자기능사 필기 기출문제(해설) 및 CBT 2013년 07월 21일[4회](업데이트) new 좋은아빠되기 2025.11.17 0
4520 의료전자기능사 필기 기출문제(해설) 및 CBT 2013년 04월 14일[2회](업데이트) new 좋은아빠되기 2025.11.17 1
4519 의료전자기능사 필기 기출문제(해설) 및 CBT 2012년 07월 22일[4회](업데이트) new 좋은아빠되기 2025.11.17 0
4518 관광통역안내사 2교시(구) 필기 기출문제(해설) 및 CBT 2022년 08월 20일(업데이트) new 좋은아빠되기 2025.11.17 0
4517 9급 지방직 공무원 자료조직개론 필기 기출문제(해설) 및 CBT 2021년06월05일 new 좋은아빠되기 2025.11.17 0
4516 관광통역안내사 2교시(구) 필기 기출문제(해설) 및 CBT 2021년 09월 04일(업데이트) new 좋은아빠되기 2025.11.17 0
4515 관광통역안내사 2교시(구) 필기 기출문제(해설) 및 CBT 2020년 09월 05일(업데이트) new 좋은아빠되기 2025.11.17 0
4514 전자상거래관리사 2급 필기 기출문제(해설) 및 CBT 2023년 06월 17일(업데이트) new 좋은아빠되기 2025.11.17 0
4513 정수시설운영관리사 3급 1차 필기 기출문제(해설) 및 CBT 2025년 04월 19일(업데이트) new 좋은아빠되기 2025.11.17 0
4512 정수시설운영관리사 3급 1차 필기 기출문제(해설) 및 CBT 2024년 08월 10일(업데이트) new 좋은아빠되기 2025.11.17 0
4511 정수시설운영관리사 1급 1차 필기 기출문제(해설) 및 CBT 2023년 09월 09일(업데이트) new 좋은아빠되기 2025.11.17 0
4510 정수시설운영관리사 1급 1차 필기 기출문제(해설) 및 CBT 2019년 06월 08일(업데이트) new 좋은아빠되기 2025.11.17 0
Board Pagination Prev 1 2 3 4 5 6 7 8 9 10 11 ... 233 Next
/ 233