자격증 필기 기출문제



응용지질기사 필기 기출문제(해설) 및 CBT 2013년 03월 10일

최강 자격증 기출문제 전자문제집 CBT : www.comcbt.com


전자문제집 CBT란?
종이 문제집이 아닌 인터넷으로 문제를 풀고 자동으로 채점하며 모의고사, 오답 노트, 해설까지 제공하는
무료 기출문제 학습 프로그램으로 실제 상설검정에서 사용하는 OMR 형식의 CBT를 제공합니다.

최신 응용지질기사 필기 기출문제 : [다운로드]


1과목 : 암석학 및 광물학


1. 퇴적암의 구분에서 사암은 기질(matrix)의 함량에 따라서 잡사암과 이질사암으로 나누어진다. 이때의 기질의 성분 함량 기준은?
     1. 5%
     2. 15%
     3. 30%
     4. 50%

     정답 : []
     정답률 : 76%

2. 셰일과 이암의 차이를 가장 잘 나타낸 것은?
     1. 석영의 함량
     2. 화석의 유무
     3. 암석의 색깔
     4. 박리성의 유무

     정답 : []
     정답률 : 77%

3. 다음 중 변성작용이 일어나는 장소로 옳지 않은 것은?
     1. 거대한 산맥의 하부
     2. 마그마가 상승하는 지역
     3. 해구에서 판이 섭입하는 지역
     4. 순상지의 지표 부근

     정답 : []
     정답률 : 86%

4. 다음 중 안산암에 대한 설명으로 옳지 않은 것은?
     1. 화산암에 속한다.
     2. 알칼리 장석이 주성분 광물이다.
     3. 유색광물은 주로 흑운모와 각섬석이다.
     4. 섬록암과 비슷한 화학성분으로 구성되어 있다.

     정답 : []
     정답률 : 72%
     <문제 해설>
안산암은 주로 사장석, 보통각섬석, 보통휘석으로 구성된다. 규산염의 함량비가 57~63%이며, 알칼리 함량은 8%에 미치지 못한다.
[해설작성자 : 토익치매노인]

5. 다음 중 퇴적물을 퇴적암으로 변화시키는 속성작용의 일반적인 범주에 속하지 않는 것은?
     1. 재결정작용, 용해작용
     2. 교결작용, 치환작용
     3. 용융작용, 변성작용
     4. 자생작용, 생물교란작용

     정답 : []
     정답률 : 71%

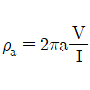
6. 사문암의 변성되기 전 원암으로 가장 적절한 것은?
     1. 감람암
     2. 섬록암
     3. 섬장암
     4. 화강암

     정답 : []
     정답률 : 62%

7. 다음 중 조화적 관입암체에 해당하는 것은?
     1. 암상
     2. 암맥
     3. 저반
     4. 암주

     정답 : []
     정답률 : 79%

8. 다음 중 가장 높은 압력에서 만들어지는 변성상은?
     1. 각성암
     2. 백림암상
     3. 에클로자이트상
     4. 청색편암상

     정답 : []
     정답률 : 80%

9. 다음 중 유문암질 마그마의 설명으로 옳지 않은 것은?
     1. 안산암질 마그마에 비해 점성이 크다.
     2. 현무암질 마그마에 비해 유동성이 크다.
     3. 현무암질 마그마에 비해 용존가스 함량이 높은 편이다.
     4. 화산분출시 전체 마그마의 10% 정도를 차지한다.

     정답 : []
     정답률 : 84%

10. 다음 중 현정질 화성암의 구성 광물이 대, 중, 소의 다양한 크기의 입자로 구성되어 있는 조직은?
     1. 구상 조직
     2. 세리에이트 조직
     3. 반정질 조직
     4. 구과상 조직

     정답 : []
     정답률 : 61%

11. 다음 중 광물의 생성환경을 알아보려면 어떤 분석이 적합한가?
     1. 비색분석
     2. 동위원소분석
     3. 원자흡수분광분석
     4. 중성자활성분석

     정답 : []
     정답률 : 78%

12. 정장석에서 관찰할 수 있는 칼스바드 쌍정(Carlsbad twin)은 ㄷ 축을 쌍정축으로 몇 도 회전하여 이루어지는가?
     1. 30°
     2. 60°
     3. 120°
     4. 180°

     정답 : []
     정답률 : 72%

13. 불투명 광물의 연마편상에서 반사광을 이용하여 관찰할 수 없는 것은?
     1. 반사도
     2.
     3. 이방성
     4. 간섭색

     정답 : []
     정답률 : 55%

14. 다음 결정형 중 등축정계에 속하지 않는 것은?
     1. 팔면체
     2. 능면체
     3. 육면체
     4. 십이면체

     정답 : []
     정답률 : 80%

15. 다음 원소들의 전자구조에서 L각에 8개의 전자를 가지고 있는 원소가 아닌 것은?
     1. Na
     2. Si
     3. F
     4. K

     정답 : []
     정답률 : 63%

16. 빛이 고밀도 물질에서 저밀도 물질로 입사할 때, 임계각 이상의 입사각을 가지고 입사한 광선이 나타내는 현상은?
     1. 난반사 현상
     2. 복굴절 현상
     3. 전반사 현상
     4. 단굴절 현상

     정답 : []
     정답률 : 75%

17. 다음 중 용융점이 가장 낮은 광물은?
     1. 휘안석
     2. 석류석
     3. 정장석
     4. 석영

     정답 : []
     정답률 : 60%

18. 광물 등의 원자결합방식과 특성과의 관계에 대한 설명 중 옳지 않은 것은?
     1. 공유결합을 하고 있는 광물들은 대체로 용해가 잘 되지않고, 대단히 높은 용융점과 비등점을 가지고 있다.
     2. 금속결합을 하고 있는 광물들은 전기와 열에 대한 높은 전도성을 가진다.
     3. 광물 중에서 이온결합의 좋은 예는 소금과 형석에서 찾아볼 수 있다.
     4. 유기탄소화합물에서 분자내의 결합은 잔류결합이고, 분자간에는 공유결합으로 되어 있다.

     정답 : []
     정답률 : 90%

19. 결정이 성장하면서 일정한 모습을 가지게 되는데 이를 정벽(habit)이라 한다. 다음 그림은 적철석에서 흔히 관찰되는 정벽인데 무엇이라 하는가?

    

     1. 신장상
     2. 방사상
     3. 어란상
     4. 수지상

     정답 : []
     정답률 : 72%

20. 다음 중 동질이상의 관계를 갖는 광물의 연결로 옳지 않은 것은?
     1. 방해석-아라고나이트
     2. 석영-트리디마이트
     3. 황철석-백철석
     4. 백운석-금홍석

     정답 : []
     정답률 : 55%

2과목 : 구조지질학


21. 다음 중 추가령열곡이 해당하는 지형은 무엇인가?
     1. 단층곡
     2. 배사곡
     3. 메사
     4. 사행천

     정답 : []
     정답률 : 51%

22. 이전 지층과 새 지층 사이에 명확한 변형에 의한 구조적인 단절을 지시하는 부정합의 형태로서 가장 특징적인 것은?
     1. 비정합(disconformity)
     2. 난정합(nonconformity)
     3. 경사부정합(angular unconformity)
     4. 기저부정합(basal unconformity)

     정답 : []
     정답률 : 73%

23. 점완단층(listric fault)에 대한 설명으로 옳은 것은?
     1. 단층의 경사각이 일정하다.
     2. 인장력에 의해서도 발생한다.
     3. 지반에 습곡이 형성된 결과 발생한다.
     4. 지하로 갈수록 수직 낙차가 증가한다.

     정답 : []
     정답률 : 74%

24. 대륙지각의 평균 밀도가 2700kg/m3일 때 지각 하부의 900m 깊이에서의 정암압력(lithostatic pressure)은?
     1. 23.8MPa
     2. 238Mpa
     3. 47.6MPa
     4. 475Mpa

     정답 : []
     정답률 : 66%

25. 다음 중 지구의 내부 구조에 대한 설명으로 옳지 않은 것은?
     1. 지각은 대륙지각과 해양지각으로 구분되어 해양지각의 평균밀도는 대륙지각보다 높다.
     2. 맨틀은 상부맨틀과 하부맨틀로 구분되며 상부맨틀의 대표적인 암석은 화강암이다.
     3. 외핵은 액체상태이며 지구의 자기장을 발생시키는 금속 힘의 운동은 외핵에서 일어난다.
     4. 내핵은 높은 온도에도 불구하고 지구 중심부와 엄청난 압력에 의해서 고체상태이다.

     정답 : []
     정답률 : 78%

26. 다음 그림을 설명하는 용어 중 맞는 것은? (단, Ta, J, K는 각각 지질시대를 나타내는 약자이며, 순서대로 Triassic, Jurassic, Cretaceous를 의미한다.)

    

     1. 배사(anticline)
     2. 향사형 배사(synformal anticline)
     3. 향사(syncline)
     4. 배사형 향사(antiformal syncline)

     정답 : []
     정답률 : 63%
     <문제 해설>
배사 -> 오래된 지층이 아래에 위치하고 튀어나온 형태
향사 -> 오래된 지층이 아래에 위치하고 움푹 파인 형태
배사형 향사 -> 배사에서 지층의 순서만 바뀜
향사형 배사 -> 향사에서 지층의 순서만 바뀜
[해설작성자 : 고민남]

27. 동태평양 융기대(East Pacific Rise)는 어느 판 경계에 해당하는가?
     1. 발산형
     2. 섭입형
     3. 충돌형
     4. 변환단층형

     정답 : []
     정답률 : 63%

28. 습곡구조에서 발달하는 층간 소습곡구조는 큰 규모의 습곡구조를 유추하는데 도움이 된다. 아래 그림에서 각 위치에서 적절하지 못한 소습곡 구조는?

    

     1. A
     2. B
     3. C
     4. D

     정답 : []
     정답률 : 79%
     <문제 해설>
a,b,c,d가 그림에 없습니다

29. 다음 ( )안의 내용으로 옳은 것은? (단, 보기항은 A, B의 순서이다.) (문제 오류로 현재 복원중입니다. 보기 내용을 아시는 분들께서는 오류 신고를 통하여 보기 작성 부탁 드립니다. 정답은 4번입니다.)

    

     1. 10, 32
     2. 20, 64
     3. 복원중 (정확한 보기 내용을 아시는분께서는 오류 신고를 통하여 내용 작성부탁 드립니다.)
     4. 100, 1000

     정답 : []
     정답률 : 70%

30. 만약 100MPa의 전단응력이 0.1million year(my)의 전단변형율을 형성했다면, 이 물질의 점성도(viscosity)는?
     1. 1MPa-my
     2. 10MPa-my
     3. 100MPa-my
     4. 1000MPa-my

     정답 : []
     정답률 : 59%

31. 다음 중 지자기의 줄무늬가 대칭적으로 발견되는 곳은?
     1. 수렴경계
     2. 발산경계
     3. 충돌경계
     4. 변환단층경계

     정답 : []
     정답률 : 77%

32. 주향과 경사가 각각 N60°E, 60° SE와 N60°W, 30° SW인 두 면이 있을 때, 두 면이 만나는 교차선의 방향(trend)은?
     1. NE
     2. SE
     3. SW
     4. NW

     정답 : []
     정답률 : 68%

33. 다음 중 우리나라의 동해(East Sea)는 어느 것에 해당되는가?
     1. 호상열도(Island arc)
     2. 배호분지(Back-arc basin)
     3. 전호분지(Fore-arc basin)
     4. 전호해령(Fore-arc ridge)

     정답 : []
     정답률 : 84%

34. 다음 중 정단층 운동에 수반되어 나타나는 특징적인 구조로 보기 어려운 것은?
     1. 성장단층(growth fault)
     2. 꽃구조(flower structure)
     3. 지루와 지구(horst and graben)
     4. 회전 배사구조(roll-over anticline)

     정답 : []
     정답률 : 74%

35. 다음 조선누층군에 해당하는 지층 중 캄브리아기 지층이 아닌 것은?
     1. 장산 규암층
     2. 풍촌 석회암층
     3. 마차리층
     4. 영흥층

     정답 : []
     정답률 : 38%

36. 다음 중 사행천의 유속이 느린 안쪽에 퇴적되어 만들어진 지형은?
     1. 배후습지
     2. 범람원
     3. 단구
     4. 포인트바

     정답 : []
     정답률 : 54%

37. 다음 중 아래 그림(진원기구해)과 관계가 가장 적은 지진은? (단, 방향성은 고려하지 않음)

    

     1. 1906년 미국 샌프란시스코지진
     2. 1923년 일본 동경지진
     3. 1999년 대만 치치지진
     4. 2004년 인도네시아 수마트라지진

     정답 : []
     정답률 : 80%

38. 태평양 주변에는 환태평양 지진대라고 하여 태평양 주변을 따라 지진이 많이 발생한다. 이렇게 많은 지진이 발생하는 가장 큰 이유는?
     1. 바다와 육지의 경계이기 때문에
     2. 화산활동의 경계이기 때문에
     3. 판의 경계부가 많기 때문에
     4. 태평양판이 워낙 큰 판이기 때문에

     정답 : []
     정답률 : 82%

39. 다음 중 광산 단층대와 가장 관련이 없는 단층은?
     1. 옥동단층
     2. 모량단층
     3. 밀양단층
     4. 동래단층

     정답 : []
     정답률 : 55%

40. 다음 중 14C 동위원소방법에 의해 연대측정이 가능한 물질로 가장 적합하지 않은 것은?
     1. 나무조각
     2. 동물의 뼈
     3. 쳐어트
     4. 조개껍질

     정답 : []
     정답률 : 85%

3과목 : 탐사공학


41. 다음 중 유도분극탐사에서 가장 많이 사용하는 전극 배열법은?
     1. 웨너 배열법
     2. 쌍극자 배열법
     3. 리 배열법
     4. 슐럼버져 배열법

     정답 : []
     정답률 : 63%

42. 다음의 수평 2층 구조의 주시곡선도에 대한 설명으로 옳은 것은?

    

     1. 상부층의 속도가 하부층의 속도보다 크다.
     2. 굴절파가 도달되지 않는 거리는 음원으로부터 5m 이다.
     3. 굴절파가 처음으로 초동으로 나타나는 거리는 10m 이다.
     4. 하부층의 속도는 5000m/sec이다.

     정답 : []
     정답률 : 47%

43. 굴절법 탄성파 탐사에서 음원으로부터 굴절파가 최초로 나타나는 거리를 임계거리라 한다. 수평 2층 구조에서 제 1층의 탄성파 속도가 0.8km/sec, 제 2층의 속도가 2.4km/sec, 제 1층의 두께가 20m일 경우 임계거리는?
     1. 4.24m
     2. 8.49m
     3. 14.14m
     4. 17.51m

     정답 : []
     정답률 : 50%

44. 지하투과 레이다 탐사의 적용분야가 아닌 것은?
     1. 터널배면 라이닝 검사
     2. 구조물의 비파괴 검사
     3. 심부 지각구조 탐사
     4. 고고학 유적탐사

     정답 : []
     정답률 : 64%

45. 다음 중 지열 탐사에 이용되는 물리적 현상에 대한 설명으로 옳은 것은?
     1. 뜨거운 상태의 암석은 S파의 진폭이 감소한다.
     2. 뜨거운 상태의 암석은 P파의 속도가 증가한다.
     3. Qurie점 이상의 온도에서 암석은 잃었던 자성을 얻게 된다.
     4. 뜨거운 상태의 암석의 전기비저항은 매우 높다.

     정답 : []
     정답률 : 53%

46. 다음 그림과 같은 웨너(Wenner) 전극배열법에 의한 겉보기비저항 값은 얼마인가? (단, P1, P2간의 전위차 △V=1000mV)

    

     1. 300Ω-m
     2. 600Ω-m
     3. 900Ω-m
     4. 1200Ω-m

     정답 : []
     정답률 : 54%

47. 감마선의 컴프턴 산란을 이용하여 암석의 체적밀도를 측정하는 물리 검층법은?
     1. 자연감마선 검층
     2. 밀도 검층
     3. 중성자 검층
     4. 음파 검층

     정답 : []
     정답률 : 80%

48. 원소들의 분산이 일어나는 지구화학적 환경 중 2차 환경에 대한 설명으로 옳지 않은 것은?
     1. 화성활동이나 변성작용이 일어나는 환경이다.
     2. 온도와 압력이 낮고, 산소와 이산화탄소의 함량이 높다.
     3. 유체의 이동이 비교적 활발한 환경이다.
     4. 일반적으로 지하수면 상부의 지표 부근의 환경을 말한다.

     정답 : []
     정답률 : 52%

49. 전기비저항 검층을 통해서 알 수 있는 정보가 아닌 것은?
     1. 지층의 공극률
     2. 지층의 물 포화율
     3. 지층의 변형률
     4. 지층의 탄화수소 포화율

     정답 : []
     정답률 : 71%

50. 반사법 탄성파 탐사를 이용하여 얻은 자료에서 지표하부의 경사면에 의해 발생하는 겉보기반사정(apparent reflecting point)을 실제의 위치로 이동시키거나 회절파를 제거할 목적으로 실시하는 자료처리의 과정은?
     1. 구조보정(migration)
     2. 정보정(static correction)
     3. 공심점 모음 중합(CDP gather stack)
     4. 수직경로시차 보정(normal moveout correction)

     정답 : []
     정답률 : 55%

51. 굴절법 탄성파탐사에서 실제로 존재하는 층이 탐지되지 않을 때 그 층은 숨은층(hidden layer)이라고 한다. 다음 중 숨은층이 발생하는 원인으로 옳지 않은 것은?
     1. 층의 두께가 입사파의 한 파장보다 클 경우
     2. 하부층의 속도가 상부층의 속도보다 더 낮을 경우
     3. 상부층과 하부층의 속도차이가 매우 작을 경우
     4. 수진기의 간격이 너무 클 경우

     정답 : []
     정답률 : 62%

52. 어떤 철 광산 지역에서 중력탐사를 실시할 때 해발고도가 100m이다. 이때 고도보정 값은 얼마인가? (단, 암석의 평균밀도 값은 2.8g/cm3이다.)
     1. 1.91mGal
     2. 19.12mGal
     3. 191.2mGal
     4. 1912mGal

     정답 : []
     정답률 : 73%

53. 0℃, 760mmHg의 공기 중에서 1cm3 당 단위 정전하를 띠도록 하는 방사선을 의미하는 단위는?
     1. 렌트겐
     2. 큐리
     3. 암페어
     4. 패러데이

     정답 : []
     정답률 : 78%

54. 지구화학탐사에서 토양을 분류할 때 지형 · 모재 · 시간등의 영향을 받아서 생성되는 토양은?
     1. 간대성 토양
     2. 성대성 토양
     3. 비성대성 토양
     4. 잔류 토양

     정답 : []
     정답률 : 64%

55. 다음 중 방사능탐사에서 주목되는 원소가 아닌 것은?
     1. U
     2. Th
     3. K
     4. Ca

     정답 : []
     정답률 : 75%

56. 외부 자기장을 서서히 증가시키면 강자성 물질의 자기유도는 원점으로부터 곡선적으로 증가하다가 어느 한계에 도달하면 더 이상 증가하지 않으며, 외부자기장을 감소시키면 자기유도도 감소하나 처음 증가했던 곡선을 따라 감소하지 않고 일정량의 잔류자기가 남게되는 곡선적인 관계를 무엇이라고 하는가?
     1. 항자기력 곡선(coercive force loop)
     2. 자기 쌍극 곡선(magnetic dipole loop)
     3. 표준 곡선(standard curve)
     4. 자기이력 곡선(hysteresis loop)

     정답 : []
     정답률 : 82%

57. 반사법 탄성파탐사에 의해 획득한 48개의 트레이스를 갖는 한 세트의 CDP 자료가 있다. NMO 보정 후 중합하면 총 몇 개의 트레이스가 생성되는가?
     1. 1개
     2. 12개
     3. 24개
     4. 48개

     정답 : []
     정답률 : 56%

58. 다음 중 지하투과 레이다 탐사에 대한 설명으로 옳지 않은 것은?
     1. 수 10mHz에서 수 GHz 주파수 대역의 전자기 펄스를 이용하는 탐사법이다.
     2. 매질간 유전율의 차이에 의한 전자기파의 반사와 회절현상 등을 측정한다.
     3. 건조한 사암이나 역암 등의 구조에서는 전자기파의 심도에 따른 감쇄가 커져 적용이 어렵다.
     4. 사용이 간편하고 분해능이 높은 비파괴 탐사법이다.

     정답 : []
     정답률 : 74%

59. 다음 ( )안에 알맞은 것은?

    

     1. 두께(depth)
     2. 반사각(reflection angle)
     3. 음향 임피던스(acoustic impedance)
     4. 임계거리(critical distance)

     정답 : []
     정답률 : 71%

60. 농도가 다른 용액들 사이에서 여러 가지 이온들의 기동성(mobility)의 차에 기인하는 전위는?
     1. 전기역학적 전위
     2. 확산 전위
     3. 셰일 전위
     4. 광화 전위

     정답 : []
     정답률 : 72%

4과목 : 지질공학


61. 암반조사결과, 아래와 같이 3개의 절리군과 하나의 불규칙한 절리가 조사되었다. 이 암반의 체적절리계수(Jv, Volumetric Joint Count)의 값은?

    

     1. 3.0개/m3
     2. 3.2개/m3
     3. 3.4개/m3
     4. 3.6개/m3

     정답 : []
     정답률 : 59%

62. 통일분류법에 의한 조립토의 분류에서 200번체 통과율이 5% 미만이고, 입도가 좋은 경우 해당하는 기호는?
     1. SC
     2. SM
     3. GW
     4. GM

     정답 : []
     정답률 : 76%

63. 암석의 풍화 정도를 측정하기 위한 지수 시험법(Index test)으로 적당한 것은?
     1. 크립시험
     2. 슬레이크 내구성 시험
     3. 평판재하시험
     4. 피로시험

     정답 : []
     정답률 : 70%

64. 2층의 수평 퇴적층이 있다. 첫 번째 층의 두께는 10m, 수평방향 투수계수는 5 x 10-3cm/s이고, 두 번째 층의 두께는 20m, 수평방향 투수계수는 2 x 10-3cm/s 일 때 수평방향의 평균 투수계수는 얼마인가?
     1. 2 x 10-3cm/s
     2. 3 x 10-3cm/s
     3. 4 x 10-3cm/s
     4. 5 x 10-3cm/s

     정답 : []
     정답률 : 70%

65. 충적층의 비포화대 내에 저투수성 점토층이 협재되어 있어 자유면 지하수의 수평범위가 국부적으로만 분포되어 있는 대수층을 무엇이라 하는가?
     1. 피압 대수층
     2. 지연 대수층
     3. 준 대수층
     4. 부유 대수층

     정답 : []
     정답률 : 74%

66. 지반의 강도를 증가시키고 용수와 누수를 방지하기 위해 지반속에 응결제를 넣어 고결시키는 방법은?
     1. 약액주입공법
     2. 샌드드레인 공법
     3. 프리로딩공법
     4. 웰포인트공법

     정답 : []
     정답률 : 86%

67. 사면에서의 암반분류법으로 사용되는 SMR법에서 고려되는 보정요소로 옳지 않은 것은?
     1. 불연속면과 절취사면의 주향차이각
     2. 평면파괴 시 불연속면의 경사각
     3. 불연속면과 절취사면 마찰각의 상관관계
     4. 굴착방법

     정답 : []
     정답률 : 63%

68. 대규모 산사태의 원인으로 적합하지 않은 것은?
     1. 집중 강우
     2. 암석 포행
     3. 지진 진동
     4. 화산 분출

     정답 : []
     정답률 : 79%
     <문제 해설>
암석 포행은 소규모
[해설작성자 : 밥먹고싶다,,,]

69. 다음 중 현지암반의 변형계수를 측정할 수 있는 시험방법이 아닌 것은?
     1. 공내팽창계시험
     2. 평판재하시험
     3. 압력터널시험
     4. 응력해방시험

     정답 : []
     정답률 : 34%

70. 암반분류법인 Q분류법에 대한 설명으로 옳지 않은 것은?
     1. 암반특성을 평가하여 지보량을 산정하기 위해 Barton등 (1974)에 의해 제안되었다.
     2. (RQD/Jn) 항은 암반구조를 나타내며, 최대값과 최소값 사이에서 최대 200배 차이가 난다.
     3. (Jr/Ja) 항은 절리면 또는 충전물의 거칠기 및 마찰특성을 나타낸다.
     4. (Jw/SRF) 항에서는 터널 굴착 현장에서의 지하수압 및 현장응력 수준이 고려된다.

     정답 : []
     정답률 : 74%

71. 터널 굴착시 지보재로 사용되는 록볼트의 지보효과로 옳지 않은 것은?
     1. 차수효과
     2. 내압효과
     3. 원지반 아치형성효과
     4. 봉합효과

     정답 : []
     정답률 : 67%

72. 지반침하의 형태에 따른 분류 중 골형 침하(trough subs dence)의 특징으로 옳지 않은 것은?
     1. 급경사층에서 발생하는 경향이 있다.
     2. 오랜 시간에 걸쳐 서서히 발생한다.
     3. 넓은 지역에 걸쳐 발생한다.
     4. 지표 침하량의 크기가 침하 면적에 비해 작다.

     정답 : []
     정답률 : 77%

73. 일축압축시험 시 암석 시험편 양끝단과 가압판과의 사이에 발생하는 마찰효과(end effect)에 대한 설명으로 옳지 않은 것은?
     1. 시험편 내 마찰효과가 작용하는 부분이 상대적으로 클수록강도는 감소한다.
     2. 마찰효과에 의해 시험편 양끝단에는 전단응력이 발생한다.
     3. 마찰효과로 인해 시험편 양끝단에 가해지는 압축응력은 주응력이 아니다.
     4. 마찰효과의 영향을 감소시키기 위해서는 시험편의 길이/직경 비가 적어도 2는 되어야 한다.

     정답 : []
     정답률 : 48%

74. 절리면의 전단강도식 중 Barton이 제안한 관계식에 사용되는 변수에 해당하지 않는 것은?
     1. 절리면의 기본마찰각
     2. 절리면의 압축강도
     3. 절리면의 거칠기 계수
     4. 절리면의 팽창각

     정답 : []
     정답률 : 56%

75. 토립자의 비중이 2.72인 흙의 전체단위중량이 1.92g/cm3이고, 함수비가 18%라고 할 때 이 흙의 수중단위중량은?
     1. 1.03gcm3
     2. 1.75g/cm3
     3. 2.24g/cm3
     4. 2.89g/cm3

     정답 : []
     정답률 : 35%

76. 표준관입시험시 사용되는 샘플러로 자갈이나 암반층을 제외한 모든 토질의 교란시료를 채취하는 데 가장 널리 사용되는 샘플러의 종류는 무엇인가?
     1. 분리형 원통 샘플러(split spoon sampler)
     2. 얇은 관 샘플러(thin wall tube sampler)
     3. 고정 피스톤 샘플러(stationary piston sampler)
     4. 이중관 샘플러(double tube core barrel)

     정답 : []
     정답률 : 83%

77. 흙의 동상현상에 대한 설명으로 옳지 않은 것은?
     1. 흙속의 물이 얼어서 부피가 팽창하여 지표면이 부풀어 오르는 현상이다.
     2. 자갈, 모래와 같은 조립토에서는 공극이 커서 동상이 잘 나타나지 않는다.
     3. 점토는 모관상승높이가 크고 불투수성이어서 동상이 가장 잘 일어난다.
     4. 동상을 방지하기 위해서는 지하수위를 낮추고 지하수 공급을 억제하여야 한다.

     정답 : []
     정답률 : 70%

78. 지반의 투수계수를 측정하는 시험법 중 현장 시험법이 아닌 것은?
     1. 주수 시험
     2. 압밀 시험
     3. 양수 시험
     4. 순간 충격 시험

     정답 : []
     정답률 : 48%

79. 현장에서 수행하는 비교적 간편한 슈미트 해머 타격시험으로 구할 수 있는 암석의 역학적 특성은?
     1. 전단강도
     2. 일축압축강도
     3. 인장강도
     4. 삼축압축강도

     정답 : []
     정답률 : 76%

80. 다음 중 풍화(weathering)에 대한 설명으로 옳지 않은 것은?
     1. 건조하거나 추운 지역에서보다 열대지방이 풍화가 더 잘 일어난다.
     2. 고온에서 생성된 광물들은 저온에서 정출된 광물들에 비해 더 쉽게 풍화된다.
     3. 지표 환경과 비슷한 퇴적암이 화성암과 비교할 때 풍화에 약하다.
     4. 비가 많은 열대지방에서 고령석이 가수분해되면 보옥사이트가 된다.

     정답 : []
     정답률 : 44%

81. 다음 중 용해성 모암에 염수가 유입될 경우 일반적으로 만들어지는 광상의 형태는?
     1. 맥상광상
     2. 교대광상
     3. 반암형광상
     4. 잔류광상

     정답 : []
     정답률 : 50%

82. 반암형 광상은 산출되는 금속원소의 종류에 의해 크게 5가지로 구분된다. 다음 중 산출되는 금속원소에 속하지 않는 것은?
     1. 구리
     2. 몰리브덴
     3.
     4.

     정답 : []
     정답률 : 55%

83. 다음 중 열수광상에서의 모암변질작용에 해당하지 않는 것은?
     1. 녹니석화작용
     2. 견운모화작용
     3. 규화작용
     4. 주석화작용

     정답 : []
     정답률 : 62%

84. 열극충진광상의 광석의 조직으로 가장 적절하지 않는 것은?
     1. 정동과 공동
     2. 칵케이드 구조
     3. 대칭적 호상구조
     4. 몰로폼 구조

     정답 : []
     정답률 : 37%

85. 유리 및 광학렌즈 제조용, 표백제, 합금 및 기타 화학약품의 원료로 사용되고 있는 바륨(Ba)의 주요 광석광물은?
     1. 독중석(witherite)
     2. 금록석(chrysoberyl)
     3. 녹주석(beryl)
     4. 지르콘(zircon)

     정답 : []
     정답률 : 57%

86. 표성부화광상의 산화부화대에서 산출하는 광물은?
     1. 휘동석
     2. 공작석
     3. 휘은석
     4. 섬아연석

     정답 : []
     정답률 : 48%

87. 다음 중 황화광물과 그 활용도의 연결로 옳지 않은 것은?
     1. 방연석 - 납 생산
     2. 황철석 - 황산 생산
     3. 진사 - 수은 생산
     4. 황동석 - 주석 생산

     정답 : []
     정답률 : 59%

88. 다음 중 사문암이 광역변성작용을 받아 변성광상을 이루었을 때 생성 될 수 있는 것은?
     1. 석고
     2. 활석
     3. 고령토
     4. 규조토

     정답 : []
     정답률 : 58%

89. 우리나라에서 우라늄을 가장 많이 함유하고 있는 지층은?
     1. 대동계 탄질 점판암층
     2. 평안계 탄질 셰일층
     3. 옥천계 탄질 점판암층
     4. 경상계 탄질 셰일층

     정답 : []
     정답률 : 62%

90. 다음 중 화산성 괴상 황화물광상에서 산출되는 전형적인 금속은?
     1. 주석, 텅스텐
     2. 구리, 아연, 납
     3. 금, 은
     4. 철, 몰리브덴, 리튬

     정답 : []
     정답률 : 77%

91. 광화작용이나 변질작용의 형성 온도를 직간접적으로 측정하는 데는 다양한 방법이 있는데, 이에 해당되지 않는 것은?
     1. 광물의 용융점
     2. 광물의 합성법
     3. 유체포유물
     4. 방사성동위원소비

     정답 : []
     정답률 : 74%

92. 다음 중 고령토 광상이 형성되는 지질현상과 가장 관계없는 것은?
     1. 풍화작용
     2. 열수변질작용
     3. 변성작용
     4. 퇴적작용

     정답 : []
     정답률 : 64%

93. 반암 동광상에서 주로 수반되는 변질작용으로 구성된 것은?
     1. 칼륨 변질과 필릭 변질
     2. 탄산염 변질과 강고령토 변질
     3. 녹니석 변질과 황옥 변질
     4. 강옥 변질과 칼륨 변질

     정답 : []
     정답률 : 80%

94. 다음 중 스카른형 광상에 해당하지 않는 것은?
     1. 연화광상
     2. 상동광상
     3. 달성광상
     4. 신예미광상

     정답 : []
     정답률 : 45%

95. 국내 금 · 은 광상의 광화시기는 주로 쥐라기와 백악기로 분류할 수 있다. 다음 중 백악기의 천열수형 금 · 은 광상의 특징으로 옳은 것은?
     1. 심도 수 km 이상의 깊은 곳에서 생성되었다.
     2. 대보화성활동과 관련된다.
     3. 심한 규화작용 및 점토화 변질작용을 받았다.
     4. 광물의 침전 기작은 주로 불혼화에 의한다.

     정답 : []
     정답률 : 39%

96. 다이아몬드를 함유할 수 있는 암석은 어떤 종류의 화성암에 속하는가?
     1. 초염기성암
     2. 염기성암
     3. 중성암
     4. 산성암

     정답 : []
     정답률 : 78%

97. 우리나라의 신생대 제3기층 분포지에 해당하지 않은 것은?
     1. 양남분지
     2. 포항분지
     3. 공주분지
     4. 서귀포층

     정답 : []
     정답률 : 48%

98. 사장석을 전형적으로 교대하거나 각섬석-흑운모를 교대하는 탄산염광물, 녹니석, 녹염석 등의 변질광물을 생성시키는 변질작용은?
     1. 필릭 변질작용
     2. 이질 변질작용
     3. 칼륨 변질작용
     4. 프로필라이트 변질작용

     정답 : []
     정답률 : 75%

99. 우리나라 고생대 석회석광상의 특징에 대한 설명 중 옳지 않은 것은?
     1. 조선누층군과 평안누층군 등에 분포한다.
     2. 생성시기는 캄브리아기~오르도비스기와 석탄기 말에 해당한다.
     3. 퇴적환경은 육성층과 해성층이 모두 확인되나 주로 육성기원이다.
     4. 주 분포지역으로는 강원도 중부와 남부 및 충북 북부지역이다.

     정답 : []
     정답률 : 68%

100. 우리나라 불국사 화강암의 관입 시기는?
     1. 백악기
     2. 쥐라기
     3. 트라이아스기
     4. 석탄기

     정답 : []
     정답률 : 72%


정 답 지

1

2

3

4

5

6

7

8

9

10

11

12

13

14

15

16

17

18

19

20

21

22

23

24

25

26

27

28

29

30

31

32

33

34

35

36

37

38

39

40

41

42

43

44

45

46

47

48

49

50

51

52

53

54

55

56

57

58

59

60

61

62

63

64

65

66

67

68

69

70

71

72

73

74

75

76

77

78

79

80

81

82

83

84

85

86

87

88

89

90

91

92

93

94

95

96

97

98

99

100

응용지질기사 필기 기출문제(해설) 및 CBT 2013년 03월 10일을 이용해 주셔서 감사합니다.
, 필기, 기출문제, 전자문제집, CBT, 온라인, 모의테스트, 모의고사



List of Articles
번호 제목 글쓴이 날짜 조회 수
» 응용지질기사 필기 기출문제(해설) 및 CBT 2013년 03월 10일(업데이트) new 좋은아빠되기 2025.11.17 1
4528 응용지질기사 필기 기출문제(해설) 및 CBT 2012년 08월 26일(업데이트) new 좋은아빠되기 2025.11.17 1
4527 응용지질기사 필기 기출문제(해설) 및 CBT 2012년 05월 20일(업데이트) new 좋은아빠되기 2025.11.17 1
4526 응용지질기사 필기 기출문제(해설) 및 CBT 2010년 05월 09일(업데이트) new 좋은아빠되기 2025.11.17 1
4525 응용지질기사 필기 기출문제(해설) 및 CBT 2010년 03월 07일(업데이트) new 좋은아빠되기 2025.11.17 1
4524 응용지질기사 필기 기출문제(해설) 및 CBT 2008년 07월 27일(업데이트) new 좋은아빠되기 2025.11.17 0
4523 응용지질기사 필기 기출문제(해설) 및 CBT 2005년 08월 07일(업데이트) new 좋은아빠되기 2025.11.17 0
4522 의료전자기능사 필기 기출문제(해설) 및 CBT 2014년 04월 06일[2회](업데이트) new 좋은아빠되기 2025.11.17 1
4521 의료전자기능사 필기 기출문제(해설) 및 CBT 2013년 07월 21일[4회](업데이트) new 좋은아빠되기 2025.11.17 0
4520 의료전자기능사 필기 기출문제(해설) 및 CBT 2013년 04월 14일[2회](업데이트) new 좋은아빠되기 2025.11.17 1
4519 의료전자기능사 필기 기출문제(해설) 및 CBT 2012년 07월 22일[4회](업데이트) new 좋은아빠되기 2025.11.17 0
4518 관광통역안내사 2교시(구) 필기 기출문제(해설) 및 CBT 2022년 08월 20일(업데이트) new 좋은아빠되기 2025.11.17 0
4517 9급 지방직 공무원 자료조직개론 필기 기출문제(해설) 및 CBT 2021년06월05일 new 좋은아빠되기 2025.11.17 0
4516 관광통역안내사 2교시(구) 필기 기출문제(해설) 및 CBT 2021년 09월 04일(업데이트) new 좋은아빠되기 2025.11.17 0
4515 관광통역안내사 2교시(구) 필기 기출문제(해설) 및 CBT 2020년 09월 05일(업데이트) new 좋은아빠되기 2025.11.17 0
4514 전자상거래관리사 2급 필기 기출문제(해설) 및 CBT 2023년 06월 17일(업데이트) new 좋은아빠되기 2025.11.17 0
4513 정수시설운영관리사 3급 1차 필기 기출문제(해설) 및 CBT 2025년 04월 19일(업데이트) new 좋은아빠되기 2025.11.17 0
4512 정수시설운영관리사 3급 1차 필기 기출문제(해설) 및 CBT 2024년 08월 10일(업데이트) new 좋은아빠되기 2025.11.17 0
4511 정수시설운영관리사 1급 1차 필기 기출문제(해설) 및 CBT 2023년 09월 09일(업데이트) new 좋은아빠되기 2025.11.17 0
4510 정수시설운영관리사 1급 1차 필기 기출문제(해설) 및 CBT 2019년 06월 08일(업데이트) new 좋은아빠되기 2025.11.17 0
Board Pagination Prev 1 2 3 4 5 6 7 8 9 10 11 ... 233 Next
/ 233