자격증 필기 기출문제



콘크리트기능사 필기 기출문제(해설) 및 CBT 2012년04월08일(2회)(2360)

최강 자격증 기출문제 전자문제집 CBT : www.comcbt.com


전자문제집 CBT란?

종이 문제집이 아닌 인터넷으로 문제를 풀고 자동으로 채점하며 모의고사, 오답 노트, 해설까지 제공하는
무료 기출문제 학습 프로그램으로 실제 상설검정에서 사용하는 OMR 형식의 CBT를 제공합니다.


최신 콘크리트기능사 필기 기출문제 : [다운로드]

1과목 : 콘크리트재료


1. 해중 공사 또는 한중 콘크리트 공사용 시멘트는?
     1. 고로 슬래그 시멘트
     2. 보통 포틀랜드 시멘트
     3. 알루미나 시멘트
     4. 백색 포틀랜드 시멘트

     정답 : []
     정답률 : 67%

2. 자체로는 수경성이 없으나 콘크리트 속에 녹아있는 수산화칼슘과 상온에서 천천히 화합하여 불용성 물질을 만드는 포졸란 반응을 하는 혼화재는?
     1. 팽창재
     2. 플라이 애시
     3. 폴리어
     4. 고로슬래그 미분말

     정답 : []
     정답률 : 45%

3. 포졸란(Pozzolan)의 종류에 해당하지 않는 것은?
     1. 규조토
     2. 규산백토
     3. 고로슬래그
     4. 포졸리스

     정답 : []
     정답률 : 77%

4. [보기] 에 설명하는 시멘트의 성질은?

   

     1. 비중
     2. 강도
     3. 분말도
     4. 안정성

     정답 : []
     정답률 : 58%

5. 굵은 골재의 언힌 석편 함유량의 한도는 최대값을 몇 %(질량백분율)로 규정하고 있는가?
     1. 3%
     2. 5%
     3. 10%
     4. 13%

     정답 : []
     정답률 : 61%

6. 시멘트의 분말도에 대한 설명으로 틀린것은?
     1. 시멘트의 분말도가 높으면 조기강도가 작아진다.
     2. 시멘트의 입자가 가늘수록 분말도가 높다.
     3. 분말도란 시멘트 입자의 고운 정도를 나타낸다.
     4. 분말도가 높으면 시멘트의 표면적이 커서 수화작용이 빠르다.

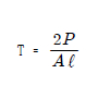
     정답 : []
     정답률 : 77%

7. 다음 중 특수 시멘트에 속하는 것은?
     1. 백색 포틀랜드 시멘트
     2. 플라이 애시 시멘트
     3. 내황산염 포틀랜드 시멘트
     4. 팽창 시멘트

     정답 : []
     정답률 : 69%

8. 운반거리가 먼 레미콘이나 무더운 여름철 콘크리트의 시공에 사용하는 혼화제는?(문제 오류로 보기 내용이 정확하지 않습니다. 정확한 내용을 아시는분 께서는 오류신고를 통하여 내용 작성 부탁 드립니다. 정답은 2번 입니다.)
     1. 기포제
     2. 지연제
     3. 복원중
     4. 복원중

     정답 : []
     정답률 : 77%

9. 골재에서 F.M(Fineness Modulus)이란 무엇을 뜻하는가?
     1. 입도
     2. 조립률
     3. 잔골재율
     4. 골재의 단위량

     정답 : []
     정답률 : 83%

10. 콘크리트에서 부순돌을 굵은 골재로 사용했을 때의 설명으로 틀린 것은?
     1. 일반골재를 사용한 콘크리트와 동일한 워커빌리티의 콘크리트를 얻기 위해 단위수량이 많아진다.
     2. 일반골재를 사용한 콘크리트와 동일한 워커빌리티의 콘크리트를 얻기 위해 잔골재율이 작아진다.
     3. 일반골재를 사용한 콘크리트 보다 시멘트 페이스트와의 부착이 좋다.
     4. 포장 콘크리트에 사용하면 좋다.

     정답 : []
     정답률 : 59%

11. 굵은 골재의 최대치수에 대한 설명으로 옳은 것은?
     1. 콘크리트에서 굵은골재의 최대치수가 크면 소요 단위수량은 증가한다.
     2. 콘크리트에서 굵은 골재의 최대치수가 크면 소요 단위시멘트량은 증가한다.
     3. 굵은골재의 최대치수가 크면 재료분리가 감소한다.
     4. 굵은골재의 최대치수가 크면 시멘트 풀의 양이 적어져서 경제적이다.

     정답 : []
     정답률 : 50%

12. 시멘트의 응결시간에 대한 설명으로 옳은 것은?
     1. 일반적으로 물-시멘트가 클수록 응결시간이 빨라진다.
     2. 풍화되었을 때에는 응결시간이 늦어진다.
     3. 온도가 높으면 응결시간이 늦어진다.
     4. 분말도가 크면 응결시간이 늦어진다.

     정답 : []
     정답률 : 73%

13. AF 콘크리트의 특성에 대한 설명으로 틀린 것은?
     1. 워커빌리티(workability)가 좋아진다.
     2. 소요 단위수량이 적어진다.
     3. 재료 분리가 줄어든다.
     4. 공기량 1% 증가에 압축강도가 4~6% 정도 커진다.

     정답 : []
     정답률 : 62%

14. 시방배합에서 잔골재와 굵은 골재르 구별 하는 표준체는?
     1. 5mm 체
     2. 10mm체
     3. 2.5mm체
     4. 1.2mm체

     정답 : []
     정답률 : 89%

15. 다음의 혼화재료 중에서 사용량이 소량으로서 배합계산에서 그 양을 무시할 수 있는 것은?
     1. AE제
     2. 팽창재
     3. 플라이애시
     4. 고로 슬래그 미분말

     정답 : []
     정답률 : 62%
     <문제 해설>
워커빌리티를 개선하기위해 넣는 AE제는 매우 소량을 넣기 때문에 계산에서 무시합니다.
[해설작성자 : 무시무시한 최충진]

16. 무근 콘크리트 구조물의 부재 최소 치수가 160mm일 때 굵은 골재 최대 치수는 몇 mm이하로 하여야 하는가?
     1. 25mm
     2. 40mm
     3. 50mm
     4. 100mm

     정답 : []
     정답률 : 73%

17. 고로 슬래그 시멘트에 관한 설명으로 옳은 것은?
     1. 보통 포틀랜드 시멘트에 비해 응결이 빠르다.
     2. 보통 포틀랜드 시멘트에 비해 발열량이 많아 균열발생이 크다.
     3. 보통 포틀랜드 시멘트에 비해 해수 및 화학 작용에 대한 저향성이 크다.
     4. 보통 포틀랜드 시멘트에 비해 조기강도가 크다.

     정답 : []
     정답률 : 72%

18. 중용열 포틀랜드 시멘트에 대한 설명으로 옳은 것은?
     1. 수화열을 크게 만든 것이다.
     2. 장기강도가 작다.
     3. 한증 콘크리트에 적합하다.
     4. 매스 콘크리트용으로 적합하다.

     정답 : []
     정답률 : 58%

19. 골재의 저장 방법에 대한 설명으로 틀린것은?
     1. 잔골재, 굵은골재 및 종류와 입도가 다른 골재는 서로 섞어 균질한 골재가 되도록 하여 저장한다.
     2. 먼지나 잡물 등이 섞이지 않도록 한다.
     3. 골재의 저장 설비에는 알맞은 배수 시설을 한다.
     4. 골재는 햇빛을 바로 쬐지 않도록 알맞은 시설을 갖추어야 한다.

     정답 : []
     정답률 : 86%

20. 시멘트 저장 중에 공기와 접촉하면 공기중의 수분 및 이산화탄소를 흡수하여 가벼운 수화반응을 일으키게 되는데 이러한 현상을 무엇이라 하는가?
     1. 경화
     2. 풍화
     3. 수축
     4. 응결

     정답 : []
     정답률 : 77%

2과목 : 콘크리트시공


21. 다음 중 촉진양생에 포함되지 않는 것은?
     1. 증기양생
     2. 오토클레이브양생
     3. 막양생
     4. 고주파양생

     정답 : []
     정답률 : 51%

22. 외기온도가 25℃미만인 경우 콘크리트 비비기에서부터 타설이 끝날 때까지의 시간은 원칙적으로 얼마 이내라야 하는가?
     1. 30분
     2. 1시간
     3. 1시간 30분
     4. 2시간

     정답 : []
     정답률 : 60%

23. 한중 콘크리트의 시공에 관한 사항 중 옳지 않은 것은?
     1. 물, 골재, 시멘트를 가열하여 적당한 온도에서 비볐다.
     2. 가능한 한 단위 수량을 줄였다.
     3. 타설할 때의 콘크리트 온도를 구조물의 단면치수, 기상조건 등을 고려하여 5~20℃의 범위에서 정하였다.
     4. AE콘크리트를 사용하여 시공하였다.

     정답 : []
     정답률 : 53%

24. 수송관을 통하여 입력으로 비빈 콘크리트를 치기 할 장소까지 연속적으로 보내는 기계는?
     1. 콘크리트 펌프(concrete pump)
     2. 트럭믹서(truck mixer)
     3. 콘크리트 슈트(concrete chute)
     4. 콘크리트 믹서(concrete mixer)

     정답 : []
     정답률 : 74%
     <문제 해설>
아래와 같은 오류 신고가 있었습니다.
여러분들의 많은 의견 부탁 드립니다.
추후 여러분들의 의견을 반영하여 정답을 수정하도록 하겠습니다.
참고로 정답 변경은 오류 신고 5회 이상일 경우 수정합니다.

[오류 신고 내용]
압력 아닌가요?

25. 콘크리트 펌프에 대한 설명 중 옳지 않은 것은?
     1. 압송조건은 관내에 콘크리트가 막히는 일이 없도록 정해야 한다.
     2. 수송관의 배치는 될 수 있는 대로 굴곡을 적게 한다.
     3. 수송관은 될 수 잇는 대로 수평 또는 상향으로 하여 콘크리트를 압송한다.
     4. 보통 콘크리트를 펌프로 압송할 경우, 굵은골재의 최대 치수는 25mm이하로 하여야한다.

     정답 : []
     정답률 : 55%

26. 콘크리트 타설 시 버킷, 호퍼 등의 배출구로부터 콘크리트의 타설면 까지의 높이는 얼마 이내를 원칙으로 하는가?
     1. 1.0m 이내
     2. 1.5m 이내
     3. 2.0m 이내
     4. 2.5m 이내

     정답 : []
     정답률 : 81%

27. 콘크리트를 제조할 때 각 재료의 계량에 대한 허용오차중 골재의 허용오차로 옳은 것은?
     1. ±1%
     2. ±2%
     3. ±3%
     4. ±4%

     정답 : []
     정답률 : 76%

28. 거푸집의 외부에 진동을 주어 내부 콘크리트를 다지는 기계는?
     1. 표면 진동기
     2. 거푸집 진동기
     3. 내부 진동기
     4. 콘크리트 플페이서

     정답 : []
     정답률 : 67%

29. 콘크리트 또는 모르터가 엉기기 시작하지는 않았지만 비빈 후 상당히 시간이 지났거나 또 재료가 분리된 경우에 다시 비비는 작업을 무엇이라고 하는가?
     1. 되비비기
     2. 거듭비비기
     3. 믹서
     4. 슈트(chute)

     정답 : []
     정답률 : 67%

30. 일반 수중콘크리트에 대한 설명으로 틀린것은?
     1. 트레미, 콘크리트 펌프 등에 의해 타설한다.
     2. 물-결합재비는 50%이하라야 한다.
     3. 단위 시멘트량은 300kg/m2이상으로 한다.
     4. 콘크리트는 수중에 낙하시키지 않아야 한다.

     정답 : []
     정답률 : 81%

31. 콘크리트 타설에 대한 설명으로 틀린 것은?
     1. 한 구획 내의 콘크리트는 타설이 완료될 때까지 연속해서 타설해야 한다.
     2. 콘크리트는 그 표면이 한 구획 내에서는 거의 수평이 되도록 타설하는 것을 원칙으로 한다.
     3. 콘크리트 타설의 1층 높이는 다짐능력을 고려하여 이를 결정하여야 한다.
     4. 타설한 콘크리트는 그 수평을 맞추기 위하여 거푸집 안에서 횡방향으로 이동시키면서 작업하여야 한다.

     정답 : []
     정답률 : 80%

32. 슬래브 및 보의 밑면의 경우 콘크리트 압축 강도가 몇MPa 이상일 때 거푸집을 허세할 수 있는가? (단, 콘크리트의 설계 기준 강도는 21MPa 이다.)
     1. 7MPa 이상
     2. 14MPa 이상
     3. 18MPa 이상
     4. 21MPa 이상

     정답 : []
     정답률 : 62%

33. 일명 고온고압양생이라고 하며, 증기압 7-15기압, 온도 180℃ 정도의 고온, 고압으로 양생하는 방법은?
     1. 오토클레이브 양생
     2. 상압증기양생
     3. 전기양성
     4. 가압양생

     정답 : []
     정답률 : 66%

34. 경사 슈트에 의해 콘크리트를 운반 하는 경우 기울기는 연직 1에 대하여 수평을 얼마 정도로 하는 것이 좋은가?
     1. 1
     2. 2
     3. 3
     4. 4

     정답 : []
     정답률 : 73%

35. 콘크리트 다지기에 내부진동기를 사용할 경우 삽입간격은 일반직으로 얼마 이하로 하는 것이 좋은가?
     1. 0.5m이하
     2. 1m이하
     3. 1.5m이하
     4. 2m이하

     정답 : []
     정답률 : 67%

36. 프리플레이스트 콘크리트에 대한 설명으로 틀린 것은?
     1. 장기강도가 적다.
     2. 경화수축이 적다.
     3. 수밀성이 크다.
     4. 내구성이 크다.

     정답 : []
     정답률 : 53%

37. 다음 중 특수 콘크리트에 대한 설명으로 옳은 것은?
     1. 열평균기온이 4℃ 이하에서 콘크리트를 사용하는 것을 서중콘크리트라 한다.
     2. 압축 공기에 의해 모르타르 또는 콘크리트를 뿜어 시공하는 것을 프리플레이스트 콘크리트라 한다.
     3. 구조물의 치수가 커서 시멘트의 수화열에 대한 고려를 하여 시공하는 것을 매스콘크리트라 한다.
     4. 서중콘크리트를 치고자 할 때는 조강 또는 초조강 포틀랜드 시멘트를 사용하면 좋다.

     정답 : []
     정답률 : 49%

38. 콘크리트를 타설할 때 거푸집의 높이가 높을 경우, 펌프배관의 배출구를 타설면 가까운 곳까지 내려서 콘크리트를 타설하여야 한다. 그 이유로 가장 적합한 것은?
     1. 슬럼프의 감소를 막기 위해서
     2. 타설 시간을 단축하기 위해서
     3. 재료분리를 막기 위해서
     4. 양생을 쉽게 하기 위해서

     정답 : []
     정답률 : 74%

39. 콘크리트의 비비기에 대한 설명으로 옳은 것은?
     1. 콘크리트 비비기는 오래하면 할수로 재료가 분리되지 않으며, 강도가 커진다.
     2. AE콘크리트 비비기는 오래하면 할수록 공기량이 증가한다.
     3. 비비기는 미리 정해둔 비비기 시간이상 계속하면 안 된다.
     4. 비비기 시간에 대한 시험을 실시하지 않은 경우 그 최소 시간은 가경식 믹서인 경우 1분 30초 이상을 표준으로 한다.

     정답 : []
     정답률 : 56%

40. 수중 콘크리트를 타설할 때는 물을 정지시킨 정수 중에서 타설하는 것이 좋으나, 완전히 물막이를 할 수 없는 경우 최대 유속이 1초간 몇 cm이하로 하여야 하는가?
     1. 5cm이하
     2. 10cm이하
     3. 15cm이하
     4. 20cm이하

     정답 : []
     정답률 : 67%

41. 콘크리트의 블리딩시험(KS F 2414)은 굵은 골재의 최대치수가 최대 몇 mm이하인 콘크리트에 적용하는가?
     1. 25mm
     2. 30mm
     3. 50mm
     4. 80mm

     정답 : []
     정답률 : 36%

42. 콘크리트의 슬럼프 시험에서 콘크리트의 내려앉은 길이를 어느 정도의 정밀도로 측정하여야 하는가?
     1. 0.5mm
     2. 1mm
     3. 5mm
     4. 10mm

     정답 : []
     정답률 : 58%

43. 아래의 그림은 잔골재의 밀도 및 흡수율 시험에서 잔골재를 원뿔형 몰드에 넣어 다지고 나 후 빼 올렸을 때의 형태를 나타낸 것이다. 함수량이 많은 순서로 나열하면?

    

     1. A>C>B
     2. C>A>B
     3. B>A>C
     4. A>B>C

     정답 : []
     정답률 : 80%
     <문제 해설>
쉽게 생각해서 젖은 모래일수록 잘 뭉쳐지는거라 보면 됩니다.
[해설작성자 : 모래성 장인 최충진]

44. 콘크리트 압축강도 시험용 공시체를 제작시 캐핑의 재료로 사용하는 시멘트 풀의 물-시멘트 비로 가장 적합한 것은?
     1. 15~18%
     2. 19~22%
     3. 23~26%
     4. 27~30%

     정답 : []
     정답률 : 62%

45. 시멘트 비중시험에 사용되는 기구는?
     1. 르샤틀리에 플라스크
     2. 데시케이터
     3. 피크노미터
     4. 건조로

     정답 : []
     정답률 : 82%

46. 블리딩 시험에서 처음 60분 동안은 몇분 간격으로 표면에 생긴 블리딩의 물을 빨아 내는가?
     1. 5분 간격으로
     2. 10분 간격으로
     3. 20분 간격으로
     4. 30분 간격으로

     정답 : []
     정답률 : 83%

47. 콘크리트용 모래에 포함되어 있는 유기불순물을 시험에 사용되는 시약은?
     1. 수산화나트륨
     2. 염화칼슘
     3. 페놀프탈레인
     4. 규산나트륨

     정답 : []
     정답률 : 76%

48. 공시체가 지간의 3등분 중앙에서 파괴되었을 때 횡강도는 약 얼마인가?(단, 150×150×530mm 의 공시체를 사용하였으며, 지간 450mm, 최대하중이 25kN이다.)
     1. 2.73MPa
     2. 3.03MPa
     3. 3.33MPa
     4. 4.73MPa

     정답 : []
     정답률 : 50%

49. 로스앤젤레스 시험기로 굵은 골재 마모 시험을 한 시료의 잔량과 통과량을 구분하기 우해 사용하는 체는?
     1. 1.2mm체
     2. 1.7mm체
     3. 2.5mm체
     4. 5.0mm체

     정답 : []
     정답률 : 62%

50. 시멘트 모르타르의 강도 시험에 표준모래를 사용하는 이유로서 가장 적합한 것은?
     1. 경제적인 모르타르를 제조하여 시험하기 위함이다.
     2. 표준모래는 양생이 쉽고 온도에 영향을 적게 받기 때문이다.
     3. 표준모래는 품질이 좋고 강도가 크기 때문이다.
     4. 모래알의 차이에 의한 영향을 없애고 시험조건을 일정하게 하기 위함이다.

     정답 : []
     정답률 : 72%
     <문제 해설>
표준모래는 알갱이의 크기차이가 매우 근소하기때문에 시험조건이 일정해짐
[해설작성자 : 꽃보다 최충진]

51. 굳지 않은 콘크리트의 공기 함유량 시험에서 보일(Boyle)의 법칙을 이용한 시험법은?
     1. 밀도법
     2. 용적법
     3. 질량법
     4. 공기실 압력법

     정답 : []
     정답률 : 72%

52. 잔골재 표면수 시험(KS F 2509)에 대한 설명으로 옳지 않은 것은?
     1. 시험방법 중 질량법이 있다.
     2. 시험의 정밀도는 각 시험값과 평균값과의 차가 3% 이하 이어야 한다.
     3. 시험방법 중 용적법이 있다.
     4. 시험은 동시에 채취한 시료에 대하여 2회 실시하고 결과는 그 평균값으로 나타낸다.

     정답 : []
     정답률 : 50%

53. 물-시멘트비가 66%, 단위수량이 176kg/m2일 때 단위 시멘트량은 얼마인가?
     1. 266.7kg/m2
     2. 279.8kg/m2
     3. 285.4kg/m2
     4. 293.1kg/m2

     정답 : []
     정답률 : 50%
     <문제 해설>
176 / 0.66 = 266.7
[해설작성자 : comcbt.com 이용자]

54. 콘크리트의 슬럼프 시험을 통하여 알 수 있는 것은?
     1. 반죽질기
     2. 내진성
     3. 압축강도
     4. 탄성계수

     정답 : []
     정답률 : 79%

55. 골재의 단위용적질량 시험에서 굵은 골재의 단위용적질량 평균값이 1.64/m3이고 밀도가 2.60g/cm3이면 공극률은?
     1. 4.2%
     2. 30.9%
     3. 36.9%
     4. 63.1%

     정답 : []
     정답률 : 41%
     <문제 해설>
1.64÷2.6=0.631×100=1000-631=369
[해설작성자 : comcbt.com 이용자]

56. 콘크리트 압축강도 시험에 필요한 공시체의 지름은 굵은 골재 최대치수의 몇 배 이상이며 또한 몇 mm이상이어야 하는가?
     1. 2배, 30mm
     2. 3배, 100mm
     3. 2배, 100mm
     4. 3배, 200mm

     정답 : []
     정답률 : 77%

57. 골재의 단위용적 질량시험 방법 중 충격에 의한 경우는 용기에 시료를 3층으로 나누어 채우고 각 층 마다 용기의 한 쪽을 몇 cm 정도 들어 올려서 낙하시켜야 하는가?
     1. 5cm
     2. 10cm
     3. 15cm
     4. 20cm

     정답 : []
     정답률 : 54%

58. 압축강도 시험의 기록이 없는 현장에서 콘크리트의 설계기준압축강도가 40MPa일 때 배합강도는?
     1. 47MPa
     2. 48MPa
     3. 49MPa
     4. 50MPa

     정답 : []
     정답률 : 35%
     <문제 해설>
콘크리트 압축강도의 표준편차를 알지 못할때 또는 압축강도의 시험횟수가 14회 이하인 경우 콘크리트 배합강도
호칭강도(Mpa) 35초과 : 1.1fcn+5    -> 1.1*40+5 = 49
[해설작성자 : 헷갈린다 ]

59. 잔골재의 절대 부피가 0.279m3이고 잔골재 밀도가 2.64g/cm3일 때 단위 잔골재량은 약 얼마인가?
     1. 106kg
     2. 573kg
     3. 737kg
     4. 946kg

     정답 : []
     정답률 : 51%

60. 잔골재 밀도 시험의 결과가 아래의 표와 같을 때 이잔골재의 표면건조 포화상태의 밀도는?

    

     1. 2.046g/cm3
     2. 2.357g/cm3
     3. 2.586g/cm3
     4. 2.612g/cm3

     정답 : []
     정답률 : 36%


정 답 지

1

2

3

4

5

6

7

8

9

10

11

12

13

14

15

16

17

18

19

20

21

22

23

24

25

26

27

28

29

30

31

32

33

34

35

36

37

38

39

40

41

42

43

44

45

46

47

48

49

50

51

52

53

54

55

56

57

58

59

60

콘크리트기능사 필기 기출문제(해설) 및 CBT 2012년04월08일(2회)을 이용해 주셔서 감사합니다.
, 필기, 기출문제, 전자문제집, CBT, 온라인, 모의테스트, 모의고사



List of Articles
번호 제목 글쓴이 날짜 조회 수
9732 콘크리트기능사 필기 기출문제(해설) 및 CBT 2007년01월28일(1회)(2351) 좋은아빠되기 2025.11.25 1
9731 콘크리트기능사 필기 기출문제(해설) 및 CBT 2007년04월01일(2회)(2352) 좋은아빠되기 2025.11.25 3
9730 콘크리트기능사 필기 기출문제(해설) 및 CBT 2007년09월16일(5회)(2353) 좋은아빠되기 2025.11.25 2
9729 콘크리트기능사 필기 기출문제(해설) 및 CBT 2008년02월03일(1회)(2354) 좋은아빠되기 2025.11.25 4
9728 콘크리트기능사 필기 기출문제(해설) 및 CBT 2008년10월05일(5회)(2355) 좋은아빠되기 2025.11.25 1
9727 콘크리트기능사 필기 기출문제(해설) 및 CBT 2009년03월29일(2회)(2356) 좋은아빠되기 2025.11.25 3
9726 콘크리트기능사 필기 기출문제(해설) 및 CBT 2009년09월27일(5회)(2357) 좋은아빠되기 2025.11.25 1
9725 콘크리트기능사 필기 기출문제(해설) 및 CBT 2011년02월13일(1회)(2358) 좋은아빠되기 2025.11.25 3
9724 콘크리트기능사 필기 기출문제(해설) 및 CBT 2011년04월17일(2회)(2359) 좋은아빠되기 2025.11.25 2
» 콘크리트기능사 필기 기출문제(해설) 및 CBT 2012년04월08일(2회)(2360) 좋은아빠되기 2025.11.25 3
9722 콘크리트기능사 필기 기출문제(해설) 및 CBT 2013년07월21일(4회)(2361) 좋은아빠되기 2025.11.25 1
9721 콘크리트기능사 필기 기출문제(해설) 및 CBT 2014년01월26일(1회)(2362) 좋은아빠되기 2025.11.25 3
9720 콘크리트기능사 필기 기출문제(해설) 및 CBT 2014년04월06일(2회)(2363) 좋은아빠되기 2025.11.25 2
9719 콘크리트기능사 필기 기출문제(해설) 및 CBT 2014년07월20일(4회)(2364) 좋은아빠되기 2025.11.25 3
9718 콘크리트기능사 필기 기출문제(해설) 및 CBT 2015년01월25일(1회)(2365) 좋은아빠되기 2025.11.25 1
9717 콘크리트기능사 필기 기출문제(해설) 및 CBT 2015년04월04일(2회)(2366) 좋은아빠되기 2025.11.25 3
9716 콘크리트기능사 필기 기출문제(해설) 및 CBT 2015년07월19일(4회)(2367) 좋은아빠되기 2025.11.25 3
9715 콘크리트기능사 필기 기출문제(해설) 및 CBT 2016년01월24일(1회)(2368) 좋은아빠되기 2025.11.25 3
9714 콘크리트기능사 필기 기출문제(해설) 및 CBT 2016년04월02일(2회)(2369) 좋은아빠되기 2025.11.25 1
9713 콘크리트기능사 필기 기출문제(해설) 및 CBT 2016년07월10일(4회)(2370) 좋은아빠되기 2025.11.25 3
Board Pagination Prev 1 ... 471 472 473 474 475 476 477 478 479 480 ... 962 Next
/ 962