자격증 필기 기출문제



건축설비기사 필기 기출문제(해설) 및 CBT 2006년05월14일(2433)

최강 자격증 기출문제 전자문제집 CBT : www.comcbt.com


전자문제집 CBT란?

종이 문제집이 아닌 인터넷으로 문제를 풀고 자동으로 채점하며 모의고사, 오답 노트, 해설까지 제공하는
무료 기출문제 학습 프로그램으로 실제 상설검정에서 사용하는 OMR 형식의 CBT를 제공합니다.


최신 건축설비기사 필기 기출문제 : [다운로드]

1과목 : 건축일반


1. 목조 벽체의 가새에 관한 기술 중 옳지 않은 것은?
     1. 가새의 경사는 45°에 가까울수록 유리하다.
     2. 가새의 단면은 큰 것이 좋지만 기둥에 휨 모멘트를 줄 수도 있으므로 주의해야 한다.
     3. 가새와 샛기둥의 접합부는 가새를 조금 따내어 맞추는 것이 좋다.
     4. 가새는 수평력에 대하여 견디게 하는 부재이다.

     정답 : []
     정답률 : 59%

2. 목구조 접합에 관한 설명 중 가장 부적당한 것은?
     1. 응력이 작은 곳에서 이음과 맞춤을 한다.
     2. 이음과 맞춤은 공작이 간단한 것이 좋다.
     3. 이음과 맞춤을 정확히 가공하여 서로 밀착되도록 한다.
     4. 이음과 맞춤의 단면은 응력의 방향과 일치하도록 하여 응력을 균등하게 전달시킨다.

     정답 : []
     정답률 : 54%

3. 알루미늄 창호에 대한 설명으로 틀린 것은?
     1. 감도가 약하므로 외부 커튼윌로 사용할 경우에는 멀리온 내부에 철판을 접합시켜 보강한다.
     2. 알칼리에 약하므로 모르타르와 직접 접촉을 피한다.
     3. 가공성이 우수하여 복잡한 형태의 단면을 형성할 수 있다.
     4. 가볍고 기밀성이 좋다.

     정답 : []
     정답률 : 25%

4. 다음 중 결로발생의 원인과 가장 관계가 먼 것은?
     1. 실내와의 온도차
     2. 실내에 습기의 과다발생
     3. 건물지붕의 기울기
     4. 건물외피의 단열상태

     정답 : []
     정답률 : 79%

5. 다음의 단층교사에 대한 설명 중 옳지 않은 것은?
     1. 학습활동을 실외에 연장할 수가 있다.
     2. 부지의 이용률이 높으며 치밀한 평면계획을 할 수가 있다.
     3. 채광 및 환기가 유리하다.
     4. 재해 시 피난 상 유리하다.

     정답 : []
     정답률 : 66%

6. 상점의 판매형식 중 대면판매에 대한 설명으로 틀린 것은?
     1. 진열 면적이 크고 상품의 충동적 구매와 선택이 용이하다.
     2. 상품의 설명을 하기가 편하다.
     3. 판매원의 고정 위치를 접하기가 용이하다.
     4. 포장, 계산이 편리하다.

     정답 : []
     정답률 : 65%

7. 다음 중 블록의 빈 속에 철근을 배근하고 콘크리트를 사출하여 보강한 가장 이상적인 블록구조는?
     1. 조적식 블록조
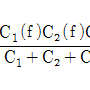
     2. 거푸집 블록조
     3. 블록 장막벽
     4. 보강콘크리트 블록조

     정답 : []
     정답률 : 91%

8. 실내의 음향계획에 대한 설명 중 옳지 않은 것은?
     1. 음은 실내에 동일하게 들리도록 한다.
     2. 반사음이 어느 한 부분으로 집중되는 것은 좋지 않다.
     3. 청중이 많으면 잔향시간이 짧아진다.
     4. 흡음재를 사용하면 반향이 커진다.

     정답 : []
     정답률 : 78%

9. 경사지를 적절하게 이용할 수 있으며, 각호마다 전용의 정원을 갖는 주택형식은?
     1. 테리스 하우스(terrace house)
     2. 타운 하우스(town house)
     3. 중정형 하우스(patio house)
     4. 로 하우스(row house)

     정답 : []
     정답률 : 74%

10. 다음의 병원의 간호사 대기소에 대한 설명 중 가장 부적당한 것은?
     1. 1개소 간호사 대기소에서 관리하는 병상 수는 30~40개소 이하로 한다.
     2. 간호사의 보행거리는 24m 이내가 되도록 한다.
     3. 가급적 각 간호단위, 각 층 및 동별로 설치한다.
     4. 계단, 엘리베이터실과는 떨어진 곳에 설치한다.

     정답 : []
     정답률 : 82%

11. 다음 중 철근콘크리트보에서 스터럽을 사용하는 가장 주된 이유는?
     1. 전단력에 의한 균열방지
     2. 보의 좌굴방지
     3. 주근의 철근량 감소
     4. 콘크리트 부착력 증대

     정답 : []
     정답률 : 40%

12. 다음 중 철근 콘크리트 기둥에 띠철근이나 나선철근을 사용하는 목적과 가장 관계가 먼 것은?
     1. 기둥 주근의 좌굴에 대한 보강
     2. 수평력에 대한 전단 보강
     3. 주근 내부의 콘크리트 구속효과
     4. 기둥의 휨모멘트에 대한 보강

     정답 : []
     정답률 : 52%

13. 초등학교의 계간으로 적당하지 않은 것은?
     1. 계단의 표면은 미끄럽지 않도록 마무리한다.
     2. 안전을 위하여 모든 계단에는 난간을 설치해야 한다.
     3. 계단높이 3m 이내마다 계단창을 설치한다.
     4. 단 높이는 16cm 이하여야 한다.

     정답 : []
     정답률 : 30%

14. 다음 중 리조트 호텔(resort hotel)에 속하지 않는 것은?
     1. 클럽 하우스
     2. 터미널 호텔
     3. 온천호텔
     4. 산장호텔

     정답 : []
     정답률 : 87%

15. 다음의 아파트의 평면 형식에 대한 설명 중 옳은 것은?
     1. 편복도형은 복도가 폐쇄형이므로 각호의 통풍 및 채광이 좋지 않다.
     2. 중복도형은 독립성은 좋으나 부지의 이용률이 낮다.
     3. 집중형은 통풍, 채광 조건이 좋아 기계적 환경조절이 필요하지 않다.
     4. 계간실형은 동선이 짧으므로 출입이 편하며 독립성이 좋다.

     정답 : []
     정답률 : 74%

16. 다음의 사무소 건축물의 코어계획에 대한 설명 중 옳지 않은 것은?
     1. 코어 내의 공간과 임대 사무실 사이의 동선은 간단해야 한다.
     2. 코어 내의 각 공간은 각 층마다 공통의 위치에 있도록 한다.
     3. 엘리베이터는 가급적 중앙에 집중시키도록 한다.
     4. 엘리베이터 혹은 출입구문에 바싹 접근해 있도록 한다.

     정답 : []
     정답률 : 77%

17. 다음 중 실내조명 설계순서에서 가장 우선적으로 고려해야 할 사항은?
     1. 조명방식의 선정
     2. 소요조도의 결정
     3. 조명기구의 배치결정
     4. 조명기구의 선정

     정답 : []
     정답률 : 75%

18. 다음 중 열교(thermal bridge)현상에 관한 설명으로 가장 부적당한 것은?
     1. 벽이나 바닥, 지붕 등의 건축물 부위에 단열이 연속되지 않는 부분이 있을 때 생긴다.
     2. 열교현상을 줄이기 위해서는 콘크리트 라멘조의 경우 가능한 한 내단열로 시공한다.
     3. 열교현상이 발생하는 부위는 표면온도가 낮아져서 결로가 쉽게 발생한다.
     4. 열교현상이 발생하면 전체 단열성이 저하된다.

     정답 : []
     정답률 : 76%

19. 사무소 건축에 있어서 개실 시스템에 대한 설명으로 옳은 것은?
     1. 독립성과 쾌적감의 이점이 있는데 반해 공사비가 비교적 고가이다.
     2. 소음 발생 때문에 프라이버시가 결여되기 쉽다.
     3. 방 길이에는 변화를 줄 수 없으나, 연속된 긴 복도 때문에 방 깊이에 변화를 줄 수 있다.
     4. 대표적인 개실 시스템으로 오피스 랜드스케이핑이 있다.

     정답 : []
     정답률 : 44%

20. 다음의 동선계획에 대한 설면 중 옳지 않은 것은?
     1. 동선은 일상생활의 움직임을 표시한 궤적이다.
     2. 동선의 3요소는 길이, 빈도, 위치이다.
     3. 동선계획이란 동선을 효율적이고, 합리적으로 유도하기 위한 계획이다.
     4. 일반적으로 화장실, 계단, 현관과 같은 사용빈도가 높은 곳은 동선을 짧게 계획한다.

     정답 : []
     정답률 : 63%
     <문제 해설>
동선계획의 3요소 : 속도 빈도 하중
[해설작성자 : comcbt.com 이용자]

2과목 : 위생설비


21. 급수설비를 설계하는데 있어서 다음의 항목 중 가장 먼저 결정해야 될 사항은?
     1. 수도 인입관의 설계
     2. 수수조의 크기
     3. 급수관의 관경 결정
     4. 급수량의 산정

     정답 : []
     정답률 : 80%

22. 배수 및 통기배관에 대한 설명 중 옳지 않은 것은?
     1. 배수수평관에는 배수와 그것에 포함되어 있는 고형물을 신속하게 배출하기 위하여 구배를 두어야 한다.
     2. 간접배수계통 및 특수배수계통의 통기관은 다른 통기계통과 접속하여 공동으로 대기 중에 개구한다.
     3. 배수수직관의 관경은 최하부부터 최상부까지 동일하게 한다.
     4. 지분을 관통하는 통기관은 지붕으로부터 150mm 이상 입상하여 대기 중에 개구한다.

     정답 : []
     정답률 : 61%

23. 급탕배관에 관한 설명 중 옳지 않은 것은?
     1. 건물의 벽 관통부분의 배관에는 슬리브를 끼운다.
     2. 급탕관의 최상부에는 공기배기 장치를 설치한다.
     3. 관의 신축에 대비 100m 이내마다 신축 이음 1개를 설치한다.
     4. 중앙식 급탕설비는 원칙적으로 강제순환방식으로 한다.

     정답 : []
     정답률 : 71%

24. 다음 중 배수트랩이 구비해야 할 조건과 가장 관계가 먼 것은?
     1. 유효 봉수 깊이(50m[mm] 이상 100[mm] 이하)를 가질 것
     2. 가동부분이 있으며 가동부분에 봉수를 형성할 것
     3. 가능한 한 구조가 간단할 것
     4. 배수시에 자기세정이 가능할 것

     정답 : []
     정답률 : 75%

25. 연면적 2000m2 사무실 건물의 1일 급수량은? (단, 1인 1일당 평균사용수량 : 100L/dayㆍ인, 유효면적당 인원 0.2인/m2, 유효면적비율 60%)
     1. 20,000 L/day
     2. 40,000 L/day
     3. 24,000 L/day
     4. 120,000 L/day

     정답 : []
     정답률 : 80%

26. 어떤 소방대상물의 한 층에 옥내소화전을 5개 설치하려고 한다. 옥내소화전설비의 수원의 최소 유효 저수량은 몇 m3인가?(관련 규정 개정전 문제로 여기서는 기존 정답인 2번을 누르면 정답 처리됩니다. 자세한 내용은 해설을 참고하세요.)
     1. 7m3
     2. 13m3
     3. 2m3
     4. 28m3

     정답 : []
     정답률 : 60%
     <문제 해설>
옥내 소화전 최대 2개로 개정됨
= 5.2m^3

27. 통기관의 관경에 대한 기술 중 틀린 것은?
     1. 결합통기관의 관경은 통기수직관과 배수수직관 중 작은 쪽 관경 이상으로 한다.
     2. 루프통기관의 관경은 배수수평지관과 통기수직관 중 작은 쪽 관경의 1/2 이상으로 한다.
     3. 각개통기관의 관경은 그것이 접속되는 배수관 관경의 1/2 이상으로 한다.
     4. 신정통기관의 관경은 배수수직관 관경의 1/2 이상으로 한다.

     정답 : []
     정답률 : 42%
     <문제 해설>
신정통기관 : 원칙적으로 배수수직관의 상단 지름을 그대로 연장하게되나, 최소 75mm 이상으로 한다.
[해설작성자 : 쏘공주]

28. 다음의 물의 경도에 대한 설명 중 옳지 않은 것은?
     1. 일반적으로 물이 접하고 있는 지층의 종류와 관계없이 지표수는 경수, 지하수는 연수로 간주된다.
     2. 경도가 큰 물을 경수, 경도가 낮은 물을 연수라고 한다.
     3. 물의 경도는 물 속에 녹아있는 칼슘, 마그네슘 등의 염류의 양을 탄산칼슘의 농도로 환산하여 나타낸다.
     4. 경도의 표시는 도(度) 또는 ppm이 사용된다.

     정답 : []
     정답률 : 82%

29. LPG 및 LNG에 대한 설명으로 옳지 않은 것은?
     1. LNG는 천연적으로 산출하는 천연가스를 -162℃까지 냉각 액화한 것을 말한다.
     2. LPG는 주위에서 증발잠열을 빼앗아 가화한다.
     3. LPG는 일산화탄소를 함유하지 않기 때문에 생가스에 의한 중독의 위험성은 없으나 질식 또는 불완전 연소에 의한 일산화탄소 중독의 가능성은 있다.
     4. LNG의 비중은 공기의 비중보다 크므로 누설되었을 때 하부에 체류하기 쉽다.

     정답 : []
     정답률 : 77%

30. 배수설비에서 트랩의 봉수가 파괴되는 원인이 아닌 것은?
     1. 수격작용
     2. 자기사이폰 작용
     3. 증발현상
     4. 모세관현상

     정답 : []
     정답률 : 80%

31. 옥외소화전 설비에 관한 설명으로 틀린 것은?
     1. 2개의 옥외소화전을 동시에 사용할 경우 각 옥외소화전의 노즐 선단에서의 방수압력은 2.5kg/cm2 이상이 되도록 한다.
     2. 호스 접결구는 소방대상물의 각 부분으로부터 하나의 호수 접결구까지의 수평거리가 40m 이하가 되도록 설치하여야 한다.
     3. 옥외소화전설비에는 옥외소화전마다 그로부터 5m 이내의 장소에 소화전함을 설치하여야 한다.
     4. 옥외소화전설비의 수원은 그 저수량이 옥외수화전의 설치개수에 5m3를 곱한 양 이상이 되도록 한다.

     정답 : []
     정답률 : 52%

32. 어떤 정화조에서 유입수의 BOD가 150(mg/L), 유출수의 BOD가 60mg/L)일 때 이 정화조의 BOD 제거율은?
     1. 60%
     2. 90%
     3. 75%
     4. 40%

     정답 : []
     정답률 : 74%

33. 배관의 신축이음쇠에 대한 설명으로 옳은 것은?
     1. 스위블형 : 2개 이상의 엘보를 조합한 것으로 굴곡부의 압력강하가 크고 신축량이 큰 배관에 주로 사용된다.
     2. 슬리브형 : 관의 신축을 슬리브의 변형으로 흡수하도록 한 것으로서 곡선배관부위에도 사용이 가능하다.
     3. 벨로즈형 : 신축량이 큰 장점이 있으나 설치장소를 많이 차지하며 누설우려가 있다.
     4. 루프형 : 관의 구부림과 관자체의 가요성을 이용해서 배관의 신축을 흡수한다.

     정답 : []
     정답률 : 45%

34. 펌프의 양정에 대한 설명 중 옳지 않은 것은?
     1. 물을 높은 곳으로 보내는 경우, 흡수면으로부터 토출수면까지의 수직거리를 실양정이라고 한다.
     2. 흡수면으로부터 토출수면까지 거리만큼 물이 올라가는데 필요한 에너지를 전양정이라고 한다.
     3. 흡수면에서 펌프축 중심까지의 수직거리를 토출 실양정이라고 한다.
     4. 물이 흐를 때는 유속에 상당하는 에너지가 필요하며, 이 에너지를 속도수두라 한다.

     정답 : []
     정답률 : 50%

35. 대ㆍ소변기 관련사랑으로 틀린 것은?
     1. 전자 감응식 소변기는 전원 공급방식과 건전지 사용방식이 있다.
     2. 아파트에서 로우탱크식 대변기를 사용하는 주된 이유는 수압 때문이다.
     3. 대변기는 내부 유수 면이 넓을수록 냄새방지에 효과적이다.
     4. 절수형 대변기는 절수형 플러시 밸브 등 전용의 기구가 필요하며, 설치 가격은 약간 비싸지만 절수효과에 따른 경비절약이 가능하다.

     정답 : []
     정답률 : 34%

36. 건물의 내부에 사용하는 급수배관 재료에 대한 설명으로 옳지 않은 것은?
     1. 아면도 강관은 기계적 강도와 시공성은 양호하지만 부식으로 인한 수질오염의 문제가 있다.
     2. 수도용 동관은 내식성이 뛰어나고 마찰저항이 작다.
     3. 스테인레스 강관은 적수나 청수의 염려가 없지만 동결이나 충격에 약하다.
     4. 경질염화비닐관은 배관의지지 및 고정이 어렵고 내화성이 없다.

     정답 : []
     정답률 : 38%

37. 다음의 펌프에 관한 설명 중 옳은 것은?
     1. 펌프 1대에 임펠러 1개를 갖고 있는 경우 단단(單段)펌프라 하며 양정이 그다지 높지 않은 경우에 사용된다.
     2. 볼류트 펌프는 임펠러 주위에 안내날개를 갖고 있기 때문에 고양정을 얻을 수 있다.
     3. 펌프의 축 동력은 회전수의 제곱에 비례한다.
     4. 캐비테이션을 방지하기 위해서는 흡수관을 가능한 한 깊고 얇게 함과 동시에 관내에 공기가 체류할 수 있도록 배관한다.

     정답 : []
     정답률 : 59%

38. 물의 비중량은 1000[kg/m3], 양수량은 100[L/min], 전양정은 20[m], 펌프효율은 60[%]일 때 양수펌프의 축 동력[kW]은?
     1. 0.25
     2. 0.54
     3. 0.75
     4. 1.00

     정답 : []
     정답률 : 57%

39. 중앙식 급탕방식에 대한 설명으로 옳지 않은 것은?
     1. 배관 및 기기로부터의 열손실이 많다.
     2. 급탕 개소마다 가열기의 설치 스페이스가 필요하다.
     3. 시공 후 기구 증설에 따른 배관 변경 공사를 하기 어렵다.
     4. 기계실 등에 다른 설비 기계와 함께 가열장치 등이 설치되기 때문에 관리가 용이하다.

     정답 : []
     정답률 : 59%

40. 급탕설비의 열원기기를 설계할 경우 주의사항을 설명한 것 중 틀린 것은?
     1. 가열기의 능력과 저탕량을 결정하기 위하여, 시간 최대 급탕량과 피크로드의 계속시간을 알아야 한다.
     2. 탕의 사용상태가 간헐적이며 일시적으로 사용량이 많은 건물에서는 저탕용량을 그게 하고 가열능력도 크게 한다.
     3. 장시간에 걸쳐서 탕의 사용량이 평균적인 건물에서는 저탕용량을 작게 하고 가열능력을 크게 취한다.
     4. 공장과 같이 증기 등의 열원을 풍부하게 얻을 수 있는 경우에는 가열기의 능력을 크게 한다.

     정답 : []
     정답률 : 58%

3과목 : 공기조화설비


41. 유인유닛과 팬코일유닛 비교시 틀린 것은?
     1. 팬코일유닛은 유인유닛에 비해 소음이 적다.
     2. 유인유닛은 전용계통 덕트가 필요하다.
     3. 팬코일유닛은 내부에 팬이 있어 보수가 필요하다.
     4. 유인유닛은 냉방용으로만 사용된다.

     정답 : []
     정답률 : 62%

42. 보일러에 관한 다음의 A군과 B군의 조합 중에서 잘못된 것은?
     1. A군 : 증발계수, B군 : 실제증발량÷상당증발량
     2. A군 : 급수예열장치, B군 : 인젝터
     3. A군 : 굴뚝의 단면적, B군 : 켄트(KENT)의 식
     4. A군 : 대용량연소장치, B군 : 회전식 버너

     정답 : []
     정답률 : 26%

43. 다음 건물의 공기조화방식의 연결로 가장 적당한 것은?
     1. 백화점의 매장-가변풍량 단일덕트방식
     2. 호텔의 객실-단일덕트방식
     3. 극장-팬코일유니트방식
     4. 레스토랑-이중덕트방식

     정답 : []
     정답률 : 32%

44. 다음 중 환기효과가 가장 큰 환기법은?
     1. 압입ㆍ흡출병용방식
     2. 압입방식
     3. 흡출방식
     4. 자연환기방식

     정답 : []
     정답률 : 63%

45. 그림과 같은 형태의 펌프의 배치 방식은?

    

     1. 주 펌프(main pumo)방식
     2. 존 펌프(zone pumo)방식
     3. 부스터 펌프(booster pumo)방식
     4. 바이패스(by pumo)방식

     정답 : []
     정답률 : 37%

46. 다음은 동관의 사용용도를 나타낸 것이다. 가장 부적합한 것은?
     1. 냉온수관
     2. 냉각수관
     3. 급수관
     4. 증기관

     정답 : []
     정답률 : 66%

47. 다음 중 증기난방방식을 환수방식에 의해 분류한 것은?
     1. 증력식, 기계식, 진공식
     2. 상향, 하향 급기식
     3. 단관식, 복관식
     4. 고압식, 저압식

     정답 : []
     정답률 : 50%

48. 다음의 습공기 선도상에서 공기 상태점 A가 C로 변할 때 이러한 공기의 상태변화를 무엇이라 하는가?

    

     1. 잠열변화
     2. 가열가습
     3. 냉각감습
     4. 증발냉각

     정답 : []
     정답률 : 61%

49. 환기설비에서 변소나 주방 또는 냄새가 많이 나는 실의 환기는 어떤 방법으로 하는 것이 좋은가?
     1. 압입ㆍ흡출병용방식
     2. 압입식
     3. 흡출식
     4. 자연환기

     정답 : []
     정답률 : 45%

50. 침입외기(극간풍)에 의한 잠열부하의 공식은? (단, Ql : 침입외기량(m3/h), to, tr : 외기온도, 실내온도, xo, xr : 외기의 절대습도, 실내의 절대습도)
     1. qL=0.28Ql (to-tr)
     2. qL=0.24Ql (to-tr)
     3. qL=0.75Ql (xo-xr)
     4. qL=0.717Ql (xo-xr)

     정답 : []
     정답률 : 37%

51. 다음의 열매체 중 상당 발열량[kcal/m2ㆍh]이 가장 큰 것은?
     1. 저압증기
     2. 보통온수
     3. 고압증기
     4. 고온수

     정답 : []
     정답률 : 63%

52. 기기나 배관 내의 유량조절이 빈번하지 않고 일정량으로 유지시키기 위하여 사용되는 밸브는 어느 것인가?
     1. 체크밸브
     2. 볼밸브
     3. 플럭콕
     4. 유니온

     정답 : []
     정답률 : 54%

53. 소음이 적기 때문에 취출풍속을 5m/s 이상으로 사용하며, 소음규제가 심한 방송국 스튜디오나 음악감상실 등에 사용되는 취출구는?
     1. 노즐형
     2. 라인형
     3. 슬롯형
     4. 펑커루버

     정답 : []
     정답률 : 57%

54. 덕트내의 풍속 측정시 가장 편리하게 이용할 수 있는 풍속계는?
     1. 풍차풍속계
     2. 열선식풍속계
     3. 피토우관
     4. 카터온도계에 의한 측정

     정답 : []
     정답률 : 32%

55. 공조설비의 취출구 증류 중에서 천장에 설치하지 않는 것은?
     1. 팬형
     2. 아네모스탯형
     3. 다공판형
     4. 머쉬룸형

     정답 : []
     정답률 : 41%

56. 다음 중 호텔의 객실에 가장 적합한 공조방식은?
     1. 패키지 방식
     2. 인덕션 방식
     3. 유니트 히터방식
     4. 각층 유니트방식

     정답 : []
     정답률 : 11%

57. 20×30m인 사무소 공간의 환기에 의한 외기부하률 계산하면? (단, 1인당 면적 5m2/인, 1인당 환기량 = 25m3/hㆍ인, 실내 t=26℃, xi=0.0105 kg/kg‘, 외기 to=32℃, Xo=0.0212 kg/kg')
     1. 13,200 Kcal/h
     2. 22,300 Kcal/h
     3. 28,300 Kcal/h
     4. 31,300 Kcal/h

     정답 : []
     정답률 : 23%

58. 습공기의 상태치 중 2가지 요소를 알면 습공기선도를 이용하여 나머지 상태치를 구할 수 있는데 다음 중 그 조합으로 틀린 것은?
     1. 건구온도, 습구온도
     2. 절대습도, 비용적
     3. 건구온도, 수증기분압
     4. 현열비, 건구온도

     정답 : []
     정답률 : 21%

59. 관내유속율 V(m/s), 관의 내경율 D(m), 유체의 밀도를 ρ(kg/m3), 동정성계수를 ν(m2/S)라고 할 때 레[이놀드수 Re는?
     1.
     2.
     3.
     4.

     정답 : []
     정답률 : 42%

60. 습공기 선도에 관한 다음 기술 중 가장 적당한 것은?
     1. 0℃ 건조공기의 엔탈피를 0 kcal/jg‘ 로 한다.
     2. 열수분비가 0 이라면 그때 공기의 상태변화에는 절대 습도 변화가 없었다는 의미이다.
     3. 습공기 선도상에 나타나 있는 건구온도 및 습구온도는 비통풍식 건습구 온도계로 측정한 건습구온도와 같다.
     4. 현열비가 1 이라면 잠열부하만 있다는 것을 의미한다.

     정답 : []
     정답률 : 34%

4과목 : 소방 및 전기설비


61. 자성체에 도체를 감고 전류를 흘렀을 때 흐르는 전류에 의한 자장의 자기전력선의 방향을 알 수 있는 법칙은?
     1. 플레밍의 왼손 법칙
     2. 플레밍의 오른손 법칙
     3. 앙페르의 오른 나사 법칙
     4. 렌쯔의 법칙

     정답 : []
     정답률 : 42%

62. 옥내 조명에서 스위치의 일반적인 설치높이는 바닥에서 몇 [m]정도 인가?
     1. 0.5
     2. 1.2
     3. 1.6
     4. 1.8

     정답 : []
     정답률 : 63%

63. 변압기는 다음 중 어떤 현상을 응용한 것인가?
     1. 장전유도
     2. 전자유도
     3. 전계유도
     4. 전압유도

     정답 : []
     정답률 : 64%

64. 다음의 단상유도 전동기 중 역률이 가장 좋은 것은?
     1. 반발 기동형
     2. 콘덴서 기동형
     3. 분상 기동형
     4. 셰이딩 코일형

     정답 : []
     정답률 : 59%

65. 1차 전압 3300[V], 2차 전압 100[V]의 변압기에서 2차 전압을 80[V]로 만들기 위하여는 1차에 몇 [V]를 가하면 되는가? (단, 권선의 임피던스는 무시한다.)
     1. 2640
     2. 2910
     3. 2945
     4. 2970

     정답 : []
     정답률 : 59%
     <문제 해설>
변압기권수와 전압의 관계
N1/N2=V1/V2이므로 33000/100=V1/80
3300:V1=100:80이므로
V1=2640V
[해설작성자 : OF]

66. 다음 중 전기와 관련된 용어와 그 단위의 연결이 옳지 않은 것은?
     1. 자속 : [Wb]
     2. 기자력 : [V]
     3. 정전용량 : [F]
     4. 리액턴스 : [Ω]

     정답 : []
     정답률 : 38%

67. 변압기의 전부하 시의 2차전압이 100[V], 무부하 시의 2차 전압이 102[V]이라면 전압변동률은 몇 퍼센트[%]인가?
     1. 1.96 [%]
     2. 2 [%]
     3. 2.04 [%]
     4. 4 [%]

     정답 : []
     정답률 : 63%

68. 절연파괴 등의 전기사고가 발생하여 인체에 가해져도 위험이 없는 전압은?
     1. 규정 전압
     2. 선로 전압
     3. 안전 전압
     4. 감전 전압

     정답 : []
     정답률 : 83%

69. 10[A]의 전류를 흘렸을 때의 전력이 100[W]인 저항에 20[A]의 전류를 흘렀을 때 전력은 몇 [W]인가?
     1. 100 [W]
     2. 200 [W]
     3. 300 [W]
     4. 400 [W]

     정답 : []
     정답률 : 47%

70. 단상 변압기 3대로 3살 결선하는 방식이 아닌 것은?
     1. V-V결선
     2. ⧍-⧍결선
     3. ⧍-Y결선
     4. Y-⧍결선

     정답 : []
     정답률 : 47%

71. HiV전선이라고도 불리우는 것으로 내열성이 요구되는 옥내 배선에 사용되는 절연전선은?
     1. 600V 비닐절연전선
     2. 600V 2종 비닐절연전선
     3. 600V 고무절연전선
     4. 인입용 비닐절연전선

     정답 : []
     정답률 : 43%

72. 다음 중 3상 농형 유도전동기의 기동법으로 사용되지 않는 것은?
     1. Y-⧍ 기동법
     2. 2차 저항법
     3. 직입 기동법
     4. 리액터 기동법

     정답 : []
     정답률 : 63%

73. 저항 20[Ω]의 전열기에 220[V]의 전압을 60[sec] 동안 가했을 때 발생하는 열량 H[kcal]는 얼마인가?
     1. 145.2[kcal]
     2. 264.0[kcal]
     3. 34.848[kcal]
     4. 63.36[kcal]

     정답 : []
     정답률 : 45%

74. 공조설비의 자동제어에서 압력검출소자로 사용되지 않는 것은?
     1. 다이어프햄
     2. 모발
     3. 브로돈관
     4. 벨로즈

     정답 : []
     정답률 : 57%

75. 다음 그림의 게이트 기호는 무엇을 나타내는가?

    

     1. AND
     2. OR
     3. NOT
     4. NOR

     정답 : []
     정답률 : 64%

76. 전기식 자동제어 방식에 대한 설명으로 틀린 것은?
     1. 검출부와 조절부가 일체형으로 되어 있다.
     2. 정밀한 제어 및 비례 적분제어에 적합하다.
     3. 조작 동력원으로 사용전원을 직접 사용한다.
     4. 신호처리가 쉽고 원격조작도 용이하다.

     정답 : []
     정답률 : 27%

77. 논리식 Aㆍ(A+B)를 간단히 하면 무엇인가?
     1. A+B
     2. AㆍB
     3. B
     4. A

     정답 : []
     정답률 : 64%

78. 자동화재탐지설비의 감지기 중 차등식감지기와 정온식감지기의 기능을 합친 감지기는?
     1. 증계기
     2. 연기 감지기
     3. 보상식 감지기
     4. 광전식 감지기

     정답 : []
     정답률 : 75%

79. 다음 회로의 합성저항은?

    

     1. 6[Ω]
     2. 9[Ω]
     3. 11[Ω]
     4. 16[Ω]

     정답 : []
     정답률 : 65%

80. 그림과 같이 접속한 회로에서 a, b 단자 간에 합성저항은 몇 [Ω]인가?

    

     1. 1
     2. 1.5
     3. 2
     4. 3

     정답 : []
     정답률 : 40%

81. 에너지정책 및 계획 등에 관한 내용 중 틀린 것은?
     1. 국가에너지기본계획은 5년마다 수립한다.
     2. 지역에너지계획은 5년마다 수립한다.
     3. 국가에너지기본계획은 10년 이상을 계획이간으로 한다.
     4. 지역에너지계획은 10년 이상을 계획이간으로 한다.

     정답 : []
     정답률 : 26%

82. 공사감리자가 필요하다고 인정하는 경우에 공사시공자에게 상세시공도면의 작성을 요청할 수 있는 공사의 최소 규모는 건축물의 연면적의 합계가 얼마인가?
     1. 1천제곱미터
     2. 3천제곱미터
     3. 5천제곱미터
     4. 1만제곱미터

     정답 : []
     정답률 : 39%

83. 다음 중 에너지이용합리화법에 의해 에너지사용시설이 소재하는 지역을 관할하는 시ㆍ도지사에게 에너지 사용현황을 신고해야 하는 에너지관리대상자의 기준에 관한 규정으로 맞는 것은?
     1. 연료 및 열과 전력의 연간 사용량의 합계가 2,000 T.O.E 이상인자
     2. 연료 및 열과 전력의 연간 사용량의 합계가 3,000 T.O.E 이상인자
     3. 연료 및 열과 전력의 연간 사용량의 합계가 4,000 T.O.E 이상인자
     4. 연료 및 열과 전력의 연간 사용량의 합계가 5,000 T.O.E 이상인자

     정답 : []
     정답률 : 20%

84. 건축관련법에서 경계벽 및 칸막이 벽의 구조기준으로 옳은 것은?
     1. 철근콘크리트조로서 두께가 12센티미터 이상인 것
     2. 석조로서 두께가 12센티미터 이상인 것
     3. 무근콘크리트조로서 두께가 8센티미터 이상인 것
     4. 벽돌조로서 두께가 19센티미터 이상인 것

     정답 : []
     정답률 : 60%

85. 배연설비에서 배연창의 유효면적 기준은?
     1. 산정기준에 의하여 산정된 면적이 1m2 이상이거나 그 면적의 합계가 당해 건축물의 바닥면적의 10분의 1 이상일 것
     2. 산정기준에 의하여 산정된 면적이 1m2 이상으로서 그 면적의 합계가 당해 건축물의 바닥면적의 10분의 1 이상일 것
     3. 산정기준에 의하여 산정된 면적이 1m2 이상이거나 그 면적의 합계가 당해 건축물의 바닥면적의 100분의 1 이상일 것
     4. 산정기준에 의하여 산정된 면적이 1m2 이상으로서 그 면적의 합계가 당해 건축물의 바닥면적의 100분의 1 이상일 것

     정답 : []
     정답률 : 18%

86. 다음 중 내화구조에 해당하지 않는 것은?
     1. 두께가 10cm인 철근콘크리트조의 벽
     2. 작은 지름이 20cm인 철근콘크리트의 기둥
     3. 두께가 10cm인 철근콘크리트조의 바닥
     4. 철근콘크리트조의 보

     정답 : []
     정답률 : 42%

87. 직통계단으로서 특별피난계단으로 설치하여야 하는 대상은?
     1. 바닥면적이 400m2 인 지하 3층 계단
     2. 바닥면적이 300m2인 지하 2층의 사무소 계단
     3. 15층 갓복도식 아파트 계단
     4. 5층 사무소 건축 계단

     정답 : []
     정답률 : 39%

88. 다음 중 사무소 건축에서 상수도소화용수설비를 설치하여야 할 소방대상물의 최소규모는?
     1. 건축면적 5,000m2
     2. 연 면적 5,000m2
     3. 건축면적 3,000m2
     4. 연 면적 3,000m2

     정답 : []
     정답률 : 57%

89. 오수ㆍ분뇨 및 축산폐수 처리에 관한 법률의 관련 장(章)의 명칭이 아닌 것은?
     1. 오수의 처리
     2. 분뇨의 처리
     3. 지정폐기물 처리의 증명
     4. 오수ㆍ분뇨 및 축산폐수처리관련영업의 허가 등

     정답 : []
     정답률 : 53%

90. 다음 중 스프링클러설비를 설치해야 할 소방대상물은?
     1. 지하층에 있는 관람집회시설로서 무대부분의 바닥면적이 200m2인 것
     2. 3층인 백화점으로서 바닥면적의 합계가 4,000m2인 것
     3. 지하가(터널을 제외)로서 연면적이 1,500m2인 것
     4. 10층인 여관 용도의 건축물로서 9층인 경우

     정답 : []
     정답률 : 26%

91. 오수처리시설의 설치기준에 관한 설명 중 잘못된 것은?
     1. 구조물은 토압ㆍ수압ㆍ자체중량 기타 하중에 견딜 수 있는 구조이어야 한다.
     2. 오수배관은 폐쇄ㆍ역류 및 누수를 방지할 수 있는 구조이어야 한다.
     3. 콘크리트 외의 재질로 구조물을 제작하는 경우 구조물을 원형으로 제작하는 때에는 구조물이 수평을 유지할 수 있도록 구조물 본체에 2.5미터마다 받침대를 설치하여야 한다.
     4. 악취가 발산될 우려가 있는 부분은 밀폐하거나 악취를 방지할 수 있는 시설을 설치하여야 한다.

     정답 : []
     정답률 : 70%

92. 연결송수관설비를 설치하여야 할 소방대살물의 기준으로 옳은 것은?
     1. 층수가 5층 이상으로서 연면적 5,000m2 이상인 것
     2. 층수가 6층 이상으로서 연면적 5,000m2 이상인 것
     3. 층수가 5층 이상으로서 연면적 6,000m2 이상인 것
     4. 층수가 6층 이상으로서 연면적 6,000m2 이상인 것

     정답 : []
     정답률 : 30%

93. 다음 중 소방시설설치 유지 및 안전관리에 관한 법률상 소방시설 중 소화설비에 해당하는 것은?
     1. 연결송수관설비
     2. 옥내소화전설비
     3. 제연설비
     4. 연결살수설비

     정답 : []
     정답률 : 50%

94. 급수관 외경이 100mm 이고, 설계용 외기온도를 영하 5℃로 했을 때 급수관 단열재 두께는? (단, 단열재의 열전도율은 0.04kcal/m2ㆍhㆍ℃ 이하임)
     1. 20mm
     2. 25mm
     3. 40mm
     4. 50mm

     정답 : []
     정답률 : 25%

95. 건축물에 설치하는 지하층의 구조 및 설비기준에 의하면 거실 바닥면적의 합계 기준으로 얼마 이상인 층에 환기설비를 설치하도록 되어 있는가?
     1. 200m2 이상
     2. 500m2 이상
     3. 1,000m2 이상
     4. 2,000m2 이상

     정답 : []
     정답률 : 55%

96. 연면적 200m2를 초과하는 건축물에 설치하는 계단의 설치 기준으로 적합한 것은?
     1. 높이가 3m를 넘는 계단에는 높이 3m 이내마다 너비 1.2m 이상의 계단창을 설치할 것
     2. 높이가 1.5m를 넘는 계단 및 계단창의 양옆에는 난간을 설치할 것
     3. 너비가 3m를 넘는 계단에는 계단의 중간에 너비 2m 이내마다 난간을 설치할 것
     4. 계단을 대체하여 설치하는 경사로는 경사도가 1 : 6을 넘지 아니할 것

     정답 : []
     정답률 : 54%

97. 지역에너지계획의 내용에 포함되어야 할 사항이 아닌 것은?
     1. 지역안의 에너지수급 추이와 전망
     2. 에너지이용의 합리화와 이를 통한 온실가스의 배출을 줄이기 위한 대책
     3. 극내의 에너지수급정세의 추이와 전망
     4. 집단에너지공급대상지역으로 지정된 지역의 집단에너지 공급을 위한 대책

     정답 : []
     정답률 : 59%

98. 대지관련 건축기준 허용오차에서 용적률의 경우 연면적이 5,000m2일 때 건축 허용오차는 몇 m2까지인가?
     1. 25m2
     2. 30m2
     3. 50m2
     4. 100m2

     정답 : []
     정답률 : 22%
     <문제 해설>
아래와 같은 오류 신고가 있었습니다.
여러분들의 많은 의견 부탁 드립니다.
추후 여러분들의 의견을 반영하여 정답을 수정하도록 하겠습니다.
참고로 정답 변경은 오류 신고 5회 이상일 경우 수정합니다.

[오류 신고 내용]
용적율 허용오차는 1%이내입니다, 답은 3번

[관리자 입니다.
문제지 사진원본 확인해 봤는데
정답은 2번이네요.
관련 규정이 개정 되었을 경우 개정된 법령집 내용 및 링크 삽입부탁 드립니다.
그외 다른 문제집 확인 가능한분 계시면 확인 부탁 드립니다.
신고시 출판사명까지 기제 부탁 드립니다.]

99. 산업자원부장관으로부터 에너지기술개발 실시를 할수 있는 자로 부적합한 것은?
     1. 기업의 부설연구소
     2. 고등교육법에 의한 전문대학
     3. 산업기술연구조합육성법에 의한 산업기술연구조합
     4. 에너지관련기술의 용역업자

     정답 : []
     정답률 : 46%

100. 그림과 같은 단면을 가진 거실의 반자 높이로서 맞는 것은?

    

     1. 3.0m
     2. 2.8m
     3. 2.75m
     4. 2.5m

     정답 : []
     정답률 : 33%


정 답 지

1

2

3

4

5

6

7

8

9

10

11

12

13

14

15

16

17

18

19

20

21

22

23

24

25

26

27

28

29

30

31

32

33

34

35

36

37

38

39

40

41

42

43

44

45

46

47

48

49

50

51

52

53

54

55

56

57

58

59

60

61

62

63

64

65

66

67

68

69

70

71

72

73

74

75

76

77

78

79

80

81

82

83

84

85

86

87

88

89

90

91

92

93

94

95

96

97

98

99

100

건축설비기사 필기 기출문제(해설) 및 CBT 2006년05월14일을 이용해 주셔서 감사합니다.
, 필기, 기출문제, 전자문제집, CBT, 온라인, 모의테스트, 모의고사



List of Articles
번호 제목 글쓴이 날짜 조회 수
9574 건축설비기사 필기 기출문제(해설) 및 CBT 2005년03월20일(2431) 좋은아빠되기 2025.11.25 2
9573 건축설비기사 필기 기출문제(해설) 및 CBT 2005년05월29일(2432) 좋은아빠되기 2025.11.25 3
» 건축설비기사 필기 기출문제(해설) 및 CBT 2006년05월14일(2433) 좋은아빠되기 2025.11.25 1
9571 건축설비기사 필기 기출문제(해설) 및 CBT 2006년09월10일(2434) 좋은아빠되기 2025.11.25 3
9570 건축설비기사 필기 기출문제(해설) 및 CBT 2007년03월04일(2435) 좋은아빠되기 2025.11.25 1
9569 건축설비기사 필기 기출문제(해설) 및 CBT 2007년05월13일(2436) 좋은아빠되기 2025.11.25 4
9568 건축설비기사 필기 기출문제(해설) 및 CBT 2007년09월02일(2437) 좋은아빠되기 2025.11.25 1
9567 건축설비기사 필기 기출문제(해설) 및 CBT 2009년05월10일(2438) 좋은아빠되기 2025.11.25 3
9566 건축설비기사 필기 기출문제(해설) 및 CBT 2009년08월30일(2439) 좋은아빠되기 2025.11.25 2
9565 건축설비기사 필기 기출문제(해설) 및 CBT 2010년03월07일(2440) 좋은아빠되기 2025.11.25 3
9564 건축설비기사 필기 기출문제(해설) 및 CBT 2010년05월09일(2441) 좋은아빠되기 2025.11.25 1
9563 건축설비기사 필기 기출문제(해설) 및 CBT 2010년09월05일(2442) 좋은아빠되기 2025.11.25 4
9562 건축설비기사 필기 기출문제(해설) 및 CBT 2011년03월20일(2443) 좋은아빠되기 2025.11.25 2
9561 건축설비기사 필기 기출문제(해설) 및 CBT 2011년06월12일(2444) 좋은아빠되기 2025.11.25 3
9560 건축설비기사 필기 기출문제(해설) 및 CBT 2012년03월04일(2445) 좋은아빠되기 2025.11.25 1
9559 건축설비기사 필기 기출문제(해설) 및 CBT 2012년05월20일(2446) 좋은아빠되기 2025.11.25 3
9558 건축설비기사 필기 기출문제(해설) 및 CBT 2013년03월10일(2447) 좋은아빠되기 2025.11.25 2
9557 건축설비기사 필기 기출문제(해설) 및 CBT 2013년06월02일(2448) 좋은아빠되기 2025.11.25 3
9556 건축설비기사 필기 기출문제(해설) 및 CBT 2013년09월28일(2449) 좋은아빠되기 2025.11.25 1
9555 건축설비기사 필기 기출문제(해설) 및 CBT 2014년03월02일(2450) 좋은아빠되기 2025.11.25 4
Board Pagination Prev 1 ... 475 476 477 478 479 480 481 482 483 484 ... 958 Next
/ 958