자격증 필기 기출문제



건설재료시험기능사 필기 기출문제(해설) 및 CBT 2002년10월06일(5회)(2912)

최강 자격증 기출문제 전자문제집 CBT : www.comcbt.com


전자문제집 CBT란?

종이 문제집이 아닌 인터넷으로 문제를 풀고 자동으로 채점하며 모의고사, 오답 노트, 해설까지 제공하는
무료 기출문제 학습 프로그램으로 실제 상설검정에서 사용하는 OMR 형식의 CBT를 제공합니다.


최신 건설재료시험기능사 필기 기출문제 : [다운로드]

1과목 : 건설재료


1. 어떤 목재 시험편이 기건 상태에서 무게가 100gf 이고 시험편의 체적이 200cm3 이었다면 비중은?
     1. 5.0
     2. 2.0
     3. 1.5
     4. 0.5

     정답 : []
     정답률 : 53%

2. 석유 아스팔트의 설명 중 옳지 않은 것은?
     1. 스트레이트 아스팔트는 연화점이 비교적 낮고 감온성이 크다.
     2. 스트레이트 아스팔트는 점착성, 연성, 방수성이 크다
     3. 블로운 아스팔트는 감온성이 적고 탄력성이 풍부하다
     4. 블로운 아스팔트는 화학적으로 불안정하며 충격저항도 작다.

     정답 : []
     정답률 : 53%
     <문제 해설>
블로운 아스팔트는 탄성, 충격저항이 큽니다.
[해설작성자 : 꽁낄]

3. 화약취급상 주의사항중 옳지 않은 것은?
     1. 다이너마이트는 햇볕의 직사를 피하고 화기가 있는 곳에 두지 않는다.
     2. 뇌관과 폭약은 사용에 편리하도록 한곳에 보관한다.
     3. 화기와 충격에 대하여 각별히 주의한다.
     4. 장기간 보존으로 인한 흡습, 동결에 주의하고 온도와 습도에 의한 품질의 변화가 없도록 해야 한다.

     정답 : []
     정답률 : 96%

4. 시멘트 저장에 관한 사항을 열거한 것 중 잘못된 것은?
     1. 입하순으로 저장
     2. 방습적인 창고여야 한다.
     3. 포대 시멘트는 되도록 많이 쌓는다.
     4. 검사에 편리하게 배치한다.

     정답 : []
     정답률 : 89%

5. 포졸란을 사용한 콘크리트의 영향 중 옳지 않은 것은?
     1. 시멘트가 절약된다.
     2. 콘크리트의 수밀성이 커진다.
     3. 작업이 용이하고 발열량이 증대한다.
     4. 해수에 대한 저항성이 커진다.

     정답 : []
     정답률 : 52%
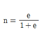
     <문제 해설>
발열량이 커 동결융해 저항성이 큰 것은 AE제
[해설작성자 : 원트합격봉]

6. 경량 골재 콘크리트의 특징을 설명한 것중 옳은 것은?
     1. 내화성이 보통 콘크리트보다 작다.
     2. 강도가 보통 콘크리트보다 크다.
     3. 건조 수축에 의한 변형이 생기기 쉽다.
     4. 탄성계수는 보통 콘크리트 보다 크다.

     정답 : []
     정답률 : 47%

7. 다음 중 대부분 도로포장에 쓰이는 아스팔트는?
     1. 스트레이트 아스팔트
     2. 블론 아스팔트
     3. 로크아스팔트
     4. 레이크아스팔트

     정답 : []
     정답률 : 77%

8. 비교적 연한 스트레이트 아스팔트에 적당한 휘발성 용제를 가하여 일시적으로 점도를 저하시켜 유동성을 좋게 한것은?
     1. 고무 아스팔트
     2. 컷백 아스팔트
     3. 역청 줄눈재
     4. 에멀션화 아스팔트

     정답 : []
     정답률 : 71%

9. 다음 토목공사용 석재중 압축강도가 가장 큰 것은?
     1. 대리석
     2. 응회암
     3. 사암
     4. 화강암

     정답 : []
     정답률 : 84%

10. 재료의 역학적 성질중 재료를 두들길때 얇게 펴지는 성질을 무엇이라 하는가?
     1. 강성
     2. 전성
     3. 인성
     4. 연성

     정답 : []
     정답률 : 84%

11. AE 콘크리트의 알맞은 공기량은 굵은 골재의 최대 치수에 따라 정해지는데 일반적으로 콘크리트 부피의 얼마 정도가 가장 적당한가?
     1. 1∼2%
     2. 2∼3%
     3. 8∼10%
     4. 4∼7%

     정답 : []
     정답률 : 68%

12. 다음 중 혼합 시멘트가 아닌 것은?
     1. 고로 슬래그 시멘트
     2. 알루미나 시멘트
     3. 플라이 애시 시멘트
     4. 포틀랜드 포촐라나 시멘트

     정답 : []
     정답률 : 73%

13. 골재가 갖추어야 할 성질 중 옳지 않은 것은?
     1. 단단하고 내구적일 것
     2. 깨끗하고 먼지, 흙 등이 섞이지 않을 것
     3. 가늘고 긴 조각 등이 있을 것
     4. 필요한 무게를 가질 것

     정답 : []
     정답률 : 84%

14. 다음 체가름 시험 결과치를 보고 잔골재의 조립률을 구하면?

    

     1. 3.96
     2. 3.69
     3. 2.96
     4. 2.69

     정답 : []
     정답률 : 38%

15. 감수제를 사용 했을 때 콘크리트의 성질로 잘못된 것은?
     1. 워커빌리티가 좋아진다.
     2. 내구성이 증대된다.
     3. 수밀성 및 강도가 커진다.
     4. 단위 시멘트의 양이 많아진다.

     정답 : []
     정답률 : 63%

16. 단면적이 80mm2인 강봉을 인장시험하여 항복점하중 2560kgf, 최대하중 3680kgf을 얻었을 때 인장강도는 얼마인가?
     1. 70 kgf/mm2
     2. 46 kgf/mm2
     3. 32 kgf/mm2
     4. 18 kgf/mm2

     정답 : []
     정답률 : 64%
     <문제 해설>
최대 인장하중/원단면적 = 인장강도
3680/80 = 46
[해설작성자 : js짱]

17. 흙의 함수비를 측정하는 시험용 기구가 아닌 것은?
     1. 항온건조기
     2. 데시케이터
     3. 증발접시
     4. 홈파기날

     정답 : []
     정답률 : 70%

18. 시멘트 분말도 시험에서 비표면적(比表面積)은 몇 g의 시멘트가 가지고 있는 총표면적인가?
     1. 1g
     2. 1.5g
     3. 3g
     4. 4.5g

     정답 : []
     정답률 : 65%

19. 콘크리트 시험 중 일반적으로 가장 중요한 강도시험은?
     1. 압축강도
     2. 인장강도
     3. 휨강도
     4. 전단강도

     정답 : []
     정답률 : 80%

20. 원주형 공시체에 의한 콘크리트 강도의 슈미트 해머에 의한 비파괴 시험에서 수정된 반발경도(Ro)는 32.0이다. 압축 강도는?
     1. 232 kg/cm2
     2. 236 kg/cm2
     3. 243 kg/cm2
     4. 223 kg/cm2

     정답 : []
     정답률 : 35%
     <문제 해설>
일본재료학회(보통콘크리트) FC=-184+(13*R0)
                                                     FC=-184+(13*32.0)
                                                     FC=-184+416
                                                     FC=232
(정확하게 강도추정식을 어떤걸로 제시하지 않아 틀렸을 수도 있습니다 ㅠㅠ)
[해설작성자 : comcbt.com 이용자]

2과목 : 건설재료시험


21. 콘크리트 슬럼프 시험할때 콘크리트를 처음 넣는 양은 슬럼프 시험용 모울드 용적의 얼마까지 넣는가?
     1. 3/4
     2. 1/2
     3. 1/3
     4. 1/5

     정답 : []
     정답률 : 83%

22. 다음 시험 중 시험과정에서 수은이 사용되는 경우는 어느 시험인가?
     1. 흙의 비중시험
     2. 흙의 소성한계시험
     3. 흙의 수축한계시험
     4. 흙의 입도시험

     정답 : []
     정답률 : 78%

23. 골재의 체가름 시험 결과를 계산하는 과정으로 잘못 된것은?
     1. 유동곡선을 그린다.
     2. 골재의 최대치수와 조립률을 구한다.
     3. 무게비의 표시는 이것에 가장 가까운 정수로 한다.
     4. 각체에 남는 시료의 무게를 전체 무게에 대한 무게비(%)로 나타낸다.

     정답 : []
     정답률 : 43%

24. 다음중 아스팔트 혼합물의 배합설계시 필요하지 않은 사항은?
     1. 흐름 값 측정
     2. 골재의 체가름 시험
     3. 응결시간 측정
     4. 마샬 안정도 시험

     정답 : []
     정답률 : 32%

25. 콘크리트 인장강도를 측정하기 위한 간접시험 방법으로 가장 적당한 시험은?
     1. 탄성종파시험
     2. 직접전단시험
     3. 비파괴시험
     4. 할렬시험

     정답 : []
     정답률 : 69%

26. 카사그랜드(casagrande)가 고안한 흙의 통일 분류법에서 사용되는 제1문자로 옳지 않은 것은?
     1. C
     2. M
     3. W
     4. O

     정답 : []
     정답률 : 59%

27. 흙의 비중 시험에서 비중병에 시료와 증류수를 넣고 끓이는데 점토질 흙은 최소 얼마 이상 끓여야 이상적인가?
     1. 5분
     2. 10분
     3. 20분
     4. 30분

     정답 : []
     정답률 : 76%

28. 시멘트 모르타르 인장강도 시험에서 다음 내용중 틀린 것은?
     1. 시멘트와 표준모래를 1:2.7의 무게비로 배합한다.
     2. 모르타르를 두손의 엄지 손가락으로 8-10kgf의 힘을 주어 12번씩 다진다.
     3. 시험체를 클립에 고정후 270± 10kgf/min의 속도로 하중을 계속 부하한다.
     4. 공시체 양생은 26± 4℃의 수조에서 양생한다.

     정답 : []
     정답률 : 49%

29. 골재의 단위용적 중량시험 방법이 아닌 것은?
     1. 충격을 이용한 시험
     2. 표준체에 의한 방법
     3. 삽을 사용하는 시험
     4. 봉다짐시험

     정답 : []
     정답률 : 36%

30. 굵은 골재의 비중 및 흡수량 시험에서 공칭 최대치수가 50mm일 때 시료의 최소 무게는?
     1. 2kgf
     2. 3kgf
     3. 8kgf
     4. 18kgf

     정답 : []
     정답률 : 37%

31. 굳지 않은 콘크리트를 흐름 시험하여 콘크리트의 퍼진 지름을 각각 55.2cm, 54.0cm, 54.6cm 로 정하였다. 이 때 콘크리트의 흐름 값은 약 얼마인가?
     1. 113%
     2. 115%
     3. 118%
     4. 123%

     정답 : []
     정답률 : 37%

32. 아스팔트 침입도 시험에서 침입도의 단위는?
     1. 0.1mm
     2. 1mm
     3. 10mm
     4. 100mm

     정답 : []
     정답률 : 67%

33. 현장에서 모래 치환법에 의한 흙의 단위무게 시험을 할때의 유의사항중 옳지 않은 것은?
     1. 측정병의 부피를 구하기 위하여 측정병에 물을 채울 때에 기포가 남지 않도록 한다.
     2. 측정병에 눈금을 표시하여 병과 연결부와의 접속위치를 검정할 때와 같게한다.
     3. 모래를 부어 넣는 동안 깔대기 속의 모래가 항상 반이상이 되도록 일정한 높이를 유지시켜 준다.
     4. 병에 모래를 넣을 때에 병을 흔들어서 가득 담을 수 있도록 한다.

     정답 : []
     정답률 : 69%

34. 콘크리트의 압축 강도 시험에서 시험체의 가압면에는 0.05㎜ 이상의 홈이 있어서는 안 된다. 이를 방지하기 위하여 하는 작업을 무엇이라 하는가?
     1. 몰딩
     2. 캐핑
     3. 리몰딩
     4. 코팅

     정답 : []
     정답률 : 77%

35. 체 눈에 끼인 골재는 어떻게 처리하는가?
     1. 공기로 불어낸다.
     2. 손으로 밀어서 빼낸다.
     3. 부서져도 상관 없으므로 힘껏 빼낸다.
     4. 끼인 골재는 체에 남는 골제에서 제외 시킨다.

     정답 : []
     정답률 : 48%

36. 굵은 골재의 비중시험에서 정밀도는 시험을 두 번하여 그 값의 차가 얼마이하 이어야 하는가?
     1. 0.02
     2. 0.03
     3. 0.04
     4. 0.05

     정답 : []
     정답률 : 42%

37. 반죽된 흙의 함수비를 달리하여 각 함수비에 대한 놋쇠접시의 낙하 횟수와의 관계를 반대수 모눈종이(semilogarithmic paper)에 직선으로 나타낸 그래프를 무엇이라 하는가?
     1. 유동 곡선
     2. 단위무게 곡선
     3. 소성도 곡선
     4. 액성한계 곡선

     정답 : []
     정답률 : 68%

38. 흙의 액성한계 시험시 시료를 넣은 접시를 1cm의 높이에 서 1초에 2회 비율로 몇회 떨어뜨리는가?
     1. 15회
     2. 20회
     3. 25회
     4. 30회

     정답 : []
     정답률 : 75%

39. 아직 굳지 않은 콘크리트 표면에 떠올라서 가라앉은 미세한 물질을 무엇이라고 하는가?
     1. 블리딩
     2. 반죽질기
     3. 워커빌리티
     4. 레이턴스

     정답 : []
     정답률 : 67%

40. 콘크리트 배합설계에서 단위수량이 170kgf이고, 단위시멘트량이 340kgf이면 물-시멘트비는 얼마인가?
     1. 100%
     2. 50%
     3. 200%
     4. 0%

     정답 : []
     정답률 : 80%

41. 시멘트 몰탈 압축강도 시험을 하였다. 시험체의 단면적이 16cm2이고 파괴될 때 최대하중이 1500kgf이었다. 이때 시멘트 몰탈 압축강도는?
     1. 80.6kgf/cm2
     2. 90.6kgf/cm2
     3. 93.8kgf/cm2
     4. 100.6kgf/cm2

     정답 : []
     정답률 : 60%

42. 내부마찰각이 0° 인 연약점토를 일축압축시험하여 일축압축강도가 2.45 kgf/cm2을 얻었다. 이 흙의 점착력은?
     1. 0.849 kgf/cm2
     2. 0.955 kgf/cm2
     3. 1.225 kgf/cm2
     4. 1.649 kgf/cm2

     정답 : []
     정답률 : 57%

43. 콘크리트 슬럼프 시험에서 슬럼프콘은 몇초이내에 벗기며 전 작업 시간은 어느정도로 하는가?(오류 신고가 접수된 문제입니다. 반드시 정답과 해설을 확인하시기 바랍니다.)
     1. 2초 이내, 1분30초 이내
     2. 3초 이내, 1분50초 이내
     3. 4초 이내, 2분10초 이내
     4. 5초 이내, 2분30초 이내

     정답 : []
     정답률 : 42%
     <문제 해설>
아래와 같은 오류 신고가 있었습니다.
여러분들의 많은 의견 부탁 드립니다.
추후 여러분들의 의견을 반영하여 정답을 수정하도록 하겠습니다.
참고로 정답 변경은 오류 신고 5회 이상일 경우 수정합니다.

[오류 신고 내용]
2-3초 이내에 슬럼프 콘을 들어 올려야 하며, 전 작업 시간은 3분 이내로 합니다.
[해설작성자 : comcbt.com 이용자]

[관리자 입니다.
다른 문제집 확인 가능한분 계시면 확인 부탁 드립니다.
신고시 출판사명까지 기제 부탁 드립니다.]

[추가 오류 신고]
벗기는 시간은 2~3초,전작업시간은 3분이내입니다.
[해설작성자 : 철도]

44. 아스팔트 신도 시험에서 시험기의 물의 온도와 시험속도로 맞는 것은?
     1. 물의 온도 20± 0.5℃, 시험기 속도 매분 2± 0.25㎝
     2. 물의 온도 22± 0.5℃, 시험기 속도 매분 3± 0.25㎝
     3. 물의 온도 25± 0.5℃, 시험기 속도 매분 5± 0.25㎝
     4. 물의 온도 28± 0.5℃, 시험기 속도 매분 7± 0.25㎝

     정답 : []
     정답률 : 64%

45. 흙의 비중은 일반적으로 몇℃의 물에 대한 값을 구하는 것인가?
     1. 5℃
     2. 15℃
     3. 25℃
     4. 28℃

     정답 : []
     정답률 : 35%

46. 자연상태의 함수비가 98.0%, 소성한계가 70.0%, 액성지수가 1.17인 흙 시료의 소성 지수의 값은?
     1. 23.9 %
     2. 28.0 %
     3. 59.8 %
     4. 83.8 %

     정답 : []
     정답률 : 24%

47. 모세관의 안지름 0.10mm인 유리관속을 증류수가 상승하는 높이는? (단, 표면장력 T=0.075gf/cm, 접촉각을 0으로 한다.)
     1. 30cm
     2. 3.0cm
     3. 1.5cm
     4. 15cm

     정답 : []
     정답률 : 18%

48. 테르자기의 압밀이론에 관한 가정중 틀린 것은?
     1. 흙은 균질하고 흙속의 간극은 완전히 포화되어 있다.
     2. 흙층의 압축도 일축적으로 일어난다.
     3. 간극비와 압력과의 관계는 곡선이다.
     4. 흙의 성질은 압력의 크기에 관계 없이 일정하다.

     정답 : []
     정답률 : 32%

49. 흙의 다짐시험에 필요한 기구가 아닌 것은?
     1. 프럭터(proctor)
     2. 원통형 금속제 모울드(mold)
     3. 래머(rammar)
     4. 시료추출기(sample extruder)

     정답 : []
     정답률 : 50%

50. 상부구조물에서 오는 하중을 연약한 지반을 통해 견고한 지층으로 전달시키는 기능을 가진 말뚝을 무슨 말뚝이라 하는가?
     1. 마찰말뚝
     2. 인장말뚝
     3. 선단지지말뚝
     4. 경사말뚝

     정답 : []
     정답률 : 70%

51. 다음 그림과 같이 지하수 밑의 A점에 전단강도를 추정한 값은? (단, 점착력(C)은 0.8t/m2, 전단저항각(φ)는 45° 임)

    

     1. 4.62 t/m2
     2. 5.42 t/m2
     3. 6.85 t/m2
     4. 7.62 t/m2

     정답 : []
     정답률 : 29%

52. 도로 포장 두께나 표층, 기층, 노반의 두께 및 재료의 설계에 이용되는 시험은 다음 중 어느 것인가?
     1. 평판재하시험
     2. 삼축압축시험
     3. C.B.R 시험
     4. 현장 흙의 단위무게시험

     정답 : []
     정답률 : 79%

53. 사질지반에 있어서 강성기초의 접지압 분포에 관한 설명 중 옳은 것은?
     1. 기초 밑면에서의 응력은 토질에 상관없이 일정하다.
     2. 기초의 밑면에서는 어느 부분이나 동일하다.
     3. 기초의 모서리 부분에서 최대응력이 발생한다.
     4. 기초의 중앙부에서 최대 응력이 발생한다.

     정답 : []
     정답률 : 51%

54. 두꺼운 유리판 위에 시료를 손바닥으로 굴리면서 늘렸을때, 지름 약 몇mm에서 부서질 때의 함수비를 소성 한계라 하는가?
     1. 1
     2. 3
     3. 5
     4. 7

     정답 : []
     정답률 : 74%

55. 다음 중 흙의 삼상(三相)관계중 세가지 성분이 아닌 것은?
     1.
     2. 공기
     3. 간극
     4. 흙입자

     정답 : []
     정답률 : 67%

56. 다짐곡선에서 최대 건조 단위 무게에 대응하는 함수비를 무엇이라 하는가?
     1. 적정 함수비
     2. 최대 함수비
     3. 최소 함수비
     4. 최적 함수비

     정답 : []
     정답률 : 75%

57. 다음은 어느 기초의 종류를 나타낸 것인가?

    

     1. 전면기초
     2. 복합기초
     3. 케이슨기초
     4. 독립후팅기초

     정답 : []
     정답률 : 53%

58. 전단 강도를 구하기 위한 시험에는 실내시험과 현장시험이 있는데 이 중 현장 시험은 어느 것인가?
     1. 삼축 압축 시험
     2. 표준 관입 시험
     3. 직접 전단 시험
     4. 일축 압축 시험

     정답 : []
     정답률 : 37%

59. 어떤 흙에 있어서 토립자 부분의 무게가 65gf이다. 토립층 부분의 부피가 40cm3일 때, 이 흙의 비중은 얼마인가?
     1. 1
     2. 1.63
     3. 2
     4. 2.45

     정답 : []
     정답률 : 61%

60. 입경 가적곡선에서 D10=0.05mm, D30=0.09mm, D60=0.15mm임을 알았다. 균등계수(Cu)와 곡률계수(Cg)는?
     1. Cu=1.08 , Cg=3.0
     2. Cu=1.08 , Cg=5.0
     3. Cu=3.0 , Cg=1.08
     4. Cu=5.0 , Cg=3.0

     정답 : []
     정답률 : 60%


정 답 지

1

2

3

4

5

6

7

8

9

10

11

12

13

14

15

16

17

18

19

20

21

22

23

24

25

26

27

28

29

30

31

32

33

34

35

36

37

38

39

40

41

42

43

44

45

46

47

48

49

50

51

52

53

54

55

56

57

58

59

60

건설재료시험기능사 필기 기출문제(해설) 및 CBT 2002년10월06일(5회)을 이용해 주셔서 감사합니다.
, 필기, 기출문제, 전자문제집, CBT, 온라인, 모의테스트, 모의고사



List of Articles
번호 제목 글쓴이 날짜 조회 수
9037 자동차차체수리기능사 필기 기출문제(해설) 및 CBT 2006년01월22일(1회)(2894) 좋은아빠되기 2025.11.25 3
9036 자동차차체수리기능사 필기 기출문제(해설) 및 CBT 2006년04월02일(2회)(2895) 좋은아빠되기 2025.11.25 2
9035 자동차차체수리기능사 필기 기출문제(해설) 및 CBT 2007년09월16일(5회)(2896) 좋은아빠되기 2025.11.25 2
9034 자동차차체수리기능사 필기 기출문제(해설) 및 CBT 2008년03월30일(2회)(2897) 좋은아빠되기 2025.11.25 2
9033 자동차차체수리기능사 필기 기출문제(해설) 및 CBT 2008년10월05일(5회)(2898) 좋은아빠되기 2025.11.25 2
9032 자동차차체수리기능사 필기 기출문제(해설) 및 CBT 2009년01월18일(1회)(2899) 좋은아빠되기 2025.11.25 4
9031 자동차차체수리기능사 필기 기출문제(해설) 및 CBT 2009년09월27일(5회)(2900) 좋은아빠되기 2025.11.25 2
9030 자동차차체수리기능사 필기 기출문제(해설) 및 CBT 2010년01월31일(1회)(2901) 좋은아빠되기 2025.11.25 2
9029 자동차차체수리기능사 필기 기출문제(해설) 및 CBT 2011년04월17일(2회)(2902) 좋은아빠되기 2025.11.25 2
9028 자동차차체수리기능사 필기 기출문제(해설) 및 CBT 2011년10월09일(5회)(2903) 좋은아빠되기 2025.11.25 1
9027 자동차차체수리기능사 필기 기출문제(해설) 및 CBT 2012년10월20일(5회)(2904) 좋은아빠되기 2025.11.25 3
9026 자동차차체수리기능사 필기 기출문제(해설) 및 CBT 2013년04월14일(2회)(2905) 좋은아빠되기 2025.11.25 2
9025 자동차차체수리기능사 필기 기출문제(해설) 및 CBT 2014년04월06일(2회)(2906) 좋은아빠되기 2025.11.25 2
9024 자동차차체수리기능사 필기 기출문제(해설) 및 CBT 2014년10월11일(5회)(2907) 좋은아빠되기 2025.11.25 2
9023 자동차차체수리기능사 필기 기출문제(해설) 및 CBT 2015년04월04일(2회)(2908) 좋은아빠되기 2025.11.25 2
9022 자동차차체수리기능사 필기 기출문제(해설) 및 CBT 2015년10월10일(5회)(2909) 좋은아빠되기 2025.11.25 3
9021 자동차차체수리기능사 필기 기출문제(해설) 및 CBT 2016년04월02일(2회)(2910) 좋은아빠되기 2025.11.25 3
9020 건설재료시험기능사 필기 기출문제(해설) 및 CBT 2002년04월07일(2회)(2911) 좋은아빠되기 2025.11.25 3
» 건설재료시험기능사 필기 기출문제(해설) 및 CBT 2002년10월06일(5회)(2912) 좋은아빠되기 2025.11.25 2
9018 건설재료시험기능사 필기 기출문제(해설) 및 CBT 2003년01월26일(1회)(2913) 좋은아빠되기 2025.11.25 2
Board Pagination Prev 1 ... 498 499 500 501 502 503 504 505 506 507 ... 954 Next
/ 954