자격증 필기 기출문제



방사선비파괴검사기능사 필기 기출문제(해설) 및 CBT 2010년10월03일(5회)(3107)

최강 자격증 기출문제 전자문제집 CBT : www.comcbt.com


전자문제집 CBT란?

종이 문제집이 아닌 인터넷으로 문제를 풀고 자동으로 채점하며 모의고사, 오답 노트, 해설까지 제공하는
무료 기출문제 학습 프로그램으로 실제 상설검정에서 사용하는 OMR 형식의 CBT를 제공합니다.


최신 방사선비파괴검사기능사 필기 기출문제 : [다운로드]

1과목 : 방사선투과시험법


1. 와전류탐상시험의 기본 원리로 옳은 것은?
     1. 누설흐름의 원리
     2. 전자유도의 원리
     3. 인장강도의 원리
     4. 잔류자계의 원리

     정답 : []
     정답률 : 89%

2. 모세관 현상을 이용한 비파괴검사법은?
     1. 자분탐상시험
     2. 침투탐상시험
     3. 방사선투과시험
     4. 초음파탐상시험

     정답 : []
     정답률 : 77%

3. 초음파탐상시험을 다른 비파괴검사와 비교했을 때의 장점이 아닌 것은?
     1. 두꺼운 시험체 내부를 검사할 수 있다.
     2. 시험체내의 작은 결함에 대한 검사가 가능하다.
     3. 어떤 물체의 한쪽 면만으로도 검사가 가능하다.
     4. 표면이 열려있는 미세 결함 검출에 매우 우수하다.

     정답 : []
     정답률 : 89%

4. 그림에서와 같이 시험체 속으로 초음파(에너지)가 전달될 때 초음파 선속은 어떻게 되는가?

   

     1. 시험체내에서 퍼지게 된다.
     2. 시험체내에서 한 점에 집중된다.
     3. 시험체내에서 평행한 직선으로 전달된다.
     4. 시험체 표면에서 모두 반사되어 들어가지 못한다.

     정답 : []
     정답률 : 67%

5. 방사선투과시험에서 재질의 두께, 관전압, 노출시간 등의 관계를 도표로 나타낸 것은?
     1. 막대도표
     2. 특성곡선
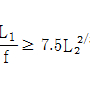
     3. H와 D곡선
     4. 노출선도(노출도표)

     정답 : []
     정답률 : 94%

6. 방사선투과시험의 형광스크린에 대한 설명 중 옳은 것은?
     1. 주로 감마선을 이용할 때 사용한다.
     2. 주로 조사시간을 단축하기 위하여 사용한다.
     3. 경금속을 검사할 때 필름 감광속도를 느리게 하기위해 사용한다.
     4. 조사시간을 길게 하여 납(Pb)스크린보다 값이 저렴해서 경제적이다.

     정답 : []
     정답률 : 66%
     <문제 해설>
X선에서 나타나는 형광작용을 이용한 증감지이다.
조사시간을 10~60% 단축할 수 있다.
[해설작성자 : mj]

7. 누설검사의 1atm을 다른 단위로 환산한 것 중 틀린것은?
     1. 14.7psi
     2. 760torr
     3. 980kg/cm2
     4. 101.3kPa

     정답 : []
     정답률 : 75%

8. 비파괴검사에서 봉(Bar) 내의 비금속 개재물을 무엇이라 하는가?
     1. 겹침(lap)
     2. 용락(burn through)
     3. 언더컷(under cut)
     4. 스트링거(stringer)

     정답 : []
     정답률 : 78%

9. 자분탐상시험 후 탈자를 하지 않아도 지장이 없는 것은?
     1. 자분탐상시험 후 열처리를 해야 할 경우
     2. 자분탐상시험 후 페인트칠을 해야 할 경우
     3. 자분탐상시험 후 전기 아크용접을 실시해야 할 경우
     4. 잔류자계가 측정계기에 영향을 미칠 우려가 있을 경우

     정답 : []
     정답률 : 70%

10. 와전류탐상시험에 대한 설명 중 틀린 것은?
     1. 시험코일의 임피던스변화를 측정하여 결함을 식별 한다.
     2. 접속식 탐상법을 적용하므로서 표피효과가 발생하지 않는다.
     3. 철, 비철 재료의 파이프, 와이어 등 표면 또는 표면 근처 결함을 검출한다.
     4. 시험체 표층부의 결함에 의해 발생된 와전류의 변화를 측정하여 결함을 식별한다.

     정답 : []
     정답률 : 67%

11. 고속 자동탐상이 가능하고 표면 결함의 검출 능력이 우수하며 전도성 재료에 적용할 수 있는 비파괴검사법은?
     1. 자분탐상시험
     2. 음향방출시험
     3. 와전류탐상시험
     4. 초음파탐상시험

     정답 : []
     정답률 : 87%

12. 비파괴검사의 적용에 대한 설명 중 옳은 것은?
     1. 담금질 경화층의 깊이나 막두께 측정에는 와전류탐상시험을 이용한다.
     2. 알루미늄 합금의 재질이나 열처리 상태를 판별하기 위해서는 누설검사가 유용하다.
     3. 구조상 분해할 수 없는 전기용품 내부의 배선 상황을 조사할 때는 침투탐상시험이 유용하다.
     4. 구조재 재질의 적합 여부 및 규정된 내부 결함의 가부를 판정하기 위해서는 주로 육안검사를 이용한다.

     정답 : []
     정답률 : 84%

13. 맞대기 용접부의 덧살(Reinforcement)을 그라인더로 제거해서 판형태로 만들었다. 덧살이 제거된 강용접부의 연마균열 검사에 적합한 비파괴검사만의 조합으로 옳은 것은?
     1. 자분탐상검사와 침투탐상검사
     2. 침투탐상검사와 음향방출검사
     3. 방사선투과검사와 침투탐상검사
     4. 초음파탐상검사와 자분탐상검사

     정답 : []
     정답률 : 69%
     <문제 해설>
연마균열은 표면균열을 말한다.
[해설작성자 : mj]

14. 누설검사의 절대 압력,게이지 압력, 대기 압력 및 진공 압력과의 상관 관계식으로 옳은 것은?
     1. 절대 압력 = 진공 압력 - 대기 압력
     2. 절대 압력 = 대기 압력 + 진공 압력
     3. 절대 압력 = 대기 압력 - 게이지 압력
     4. 절대 압력 = 게이지 압력 + 대기 압력

     정답 : []
     정답률 : 38%

15. 방사선 투과사진의 명료도에 영향을 미치는 기하학적 요인이 아닌 것은?
     1. 필름의 종류
     2. 선원의 크기
     3. 선원과 필름 사이 거리
     4. 증감지와 필름의 접촉상태

     정답 : []
     정답률 : 62%

16. 휴대식 x선 발생장치는 제어기와 x선 발생기로 나누어지며 그 사이는 저압케이블로 연결되어 있다. 다음중 제어기 부위에 속해 있는 장치만으로 조합된 것은?
     1. 조정기, 개폐기
     2. 냉각팬, 고압변압기
     3. 필라멘트, 트랜스
     4. x선관, 온도 릴레이

     정답 : []
     정답률 : 67%
     <문제 해설>
제어장치 : 조정기, 개폐기, 계시기, 전류전압 조절장치
[해설작성자 : mj]

17. 다음 중 가장 무거운 입자는?
     1. α입자
     2. β입자
     3. 중성자
     4. γ입자

     정답 : []
     정답률 : 58%

18. 기하학적 불선명도와 관련하여 좋은 식별도를 얻기 위한 조건으로 옳지 않은 것은?
     1. 선원의 크기가 작은 x선 장치를 사용한다.
     2. 필름-시험체 사이의 거리를 가능한 한 멀리한다.
     3. 선원-시험체 사이의 거리를 가능한 한 멀리한다.
     4. 초점을 시험체의 수직 중심선상에 정확히 놓는다.

     정답 : []
     정답률 : 64%

19. 220kV에서의 철과 동의 방사선 흡수에 대한 등가 인자가 1.0과 1.4일 때,10mm두께의 동판을 투과검사하려면 철판 몇 mm때의 노출시간과 같은가?
     1. 7.1mm
     2. 10mm
     3. 14mm
     4. 24mm

     정답 : []
     정답률 : 59%

20. 방사선 투과사진상 두 부위의 농도차를 무엇이라 하는가?
     1. 방사선 투과사진의 감도
     2. 방사선 투과사진의 흑화도
     3. 방사선 투과사진의 선예도
     4. 방사선 투과사진의 콘트라스트

     정답 : []
     정답률 : 67%

2과목 : 방사선안전관리 관련규격


21. x선 발생장치를 장시간 사용하지 않고 보관할 때의 조치 내용으로 옳은 것은?
     1. 방사창을 기름칠하여 둔다.
     2. 35℃ 이상인 창고에 보관한다.
     3. 최소한 1개월에 1번 정도 예열한다.
     4. 타게트를 분해, 방수처리하여 보관한다.

     정답 : []
     정답률 : 77%

22. 노출도표에 의한 X선 투과촬영에서 촬영 전에 알고 있어야 할 정보가 아닌 것은?
     1. 시험체의 재질
     2. 결함의 종류와 크기
     3. 관전압 및 관전류
     4. 필름 및 증감지의 종류

     정답 : []
     정답률 : 63%
     <문제 해설>
결함의 종류와 크기는 촬영이 끝나고 난 뒤 알 수 있다.
[해설작성자 : mj]

23. X선관에 관한 설명으로 옳지 않은 것은?
     1. 음극은 필라멘트와 포커싱컵으로 되어있다.
     2. 양극의 표전물질은 열전도성이 좋아야한다.
     3. 초점의 크기는 표적물질의 크기로 조절한다.
     4. X선관의 유리관 모양은 튜브에 연결되는 전기회로에 좌우된다.

     정답 : []
     정답률 : 50%

24. 3Ci의 Ir-192선원은 1년 후 약 몇 mCi가 되겠는가? (단, Ir-192의 반감기는 75일이다.)
     1. 52mCi
     2. 103mCi
     3. 213mCi
     4. 425mCi

     정답 : []
     정답률 : 64%

25. 방사선 투과검사시 필름의 현상처리 전에 나타난 인공결함으로 볼 수 없는 것은?
     1. 눌림 표시
     2. 구겨짐 표시
     3. 정전기 표시
     4. 언더컷 표시

     정답 : []
     정답률 : 84%

26. 방사선 작업종사자 및 수시출입자에 대한 방사선의 쟁해를 방지하기 위한 조치에 관한 사항으로 옳지 않은 것은?
     1. 수시출입자의 피폭방사선량이 선량한도를 초과하지 않아야한다.
     2. 방사선 작업종사자의 피폭방사전량이 선량한도를 초과하지 않아야한다.
     3. 방사선 작업종사자가 호흡하는 공기 중의 방사성 물질의 농도가 유도공기중농도(DAC)를 초과하지 않아야한다.
     4. 저장시설 및 보관시설에는 눈에 띄기 쉬운 곳에 취급상의 주의사랑을 게시하여야 하나, 사용시설에는 필요한 경우 생략할 수 있다.

     정답 : []
     정답률 : 73%

27. 다음 중 γ선에 대한 감수성이 가장 큰 인체 부위는?
     1. 근육
     2. 생식선
     3. 피부
     4. 조혈장기

     정답 : []
     정답률 : 61%

28. 알루미늄평판 접합 용접부의 방사선 투과시험방법(KS D 0242)에서 실제로 덧살을 측정하지 않은 경우 용접부의 형상이 한쪽면 덧살 있음이고, 모재의 두께가 10mm미만 일 때 사용되는 계조계의 종류로 옳은 것은?
     1. D1형
     2. D2형
     3. E2형
     4. E3형

     정답 : []
     정답률 : 44%

29. 방사선을 측정할 때 사용되는 감마상수 (γ-fator)에 관한 설명으로 옳은 것은?
     1. 반감기의 다른 표현이다.
     2. 방사능 측정시의 보정인자를 나타낸다.
     3. 방사성 물질의 단위를 나타내는 것이다.
     4. 방사성 물질 1Ci의 점선원에서 1m거리에 1시간 조사되는 조사선량을 나타낸다.

     정답 : []
     정답률 : 66%

30. 배관 용접부의 비파괴 시험방법(KS B 0888)에서 상용압력 0.98MPa이상의 배관으로, 바깥지름 100mm 이상 2000mm미만, 살두께 6mm이상 40mm이하의 원둘레 맞대기 용접부의 비파괴 검사법에 대하여 규정하고 있다. 이 규격에 규정되어 있는 촬영방법에 따라 관의 살두께가 9mm인 용접부를 A급 상질로 촬영하였을 때 투과 도계의 실별 최소 선지름은 얼마인가?
     1. 0.16mm
     2. 0.20mm
     3. 0.25mm
     4. 0.32mm

     정답 : []
     정답률 : 52%
     <문제 해설>
최소선지름이 9mm일 경우,
A급 상질 0.2mm를 사용한다.
[해설작성자 : mj]

31. 서베이미터로 측정된 값이 0.5R/h이면 100mrem의 피폭선량을 받기까지는 얼마동안 그 자리에 있어야 하는가?
     1. 12분
     2. 14분
     3. 18분
     4. 20분

     정답 : []
     정답률 : 49%
     <문제 해설>
한시간에 0.5rem 이므로 0.1rem(=100mrem)은 60/5=12분 동안 그 자리에 있어야 한다.
[해설작성자 : mj]

32. 외부 방사선 피폭의 방어 원칙을 바르게 설명한 것은?
     1. 두껍게 차폐하고, 선원으로부터의 거리는 멀리 하며, 촬영시간은 짧게 한다.
     2. 두껍게 차폐하고, 선원으로부터의 거리는 멀리 하며, 촬영시간은 길게 한다.
     3. 두껍게 차폐하고, 선원으로부터의 거리는 가깝게하며, 촬영시간은 짧게 한다.
     4. 두껍게 차폐하고, 선원으로부터의 거리는 가깝게하며, 촬영시간은 길게 한다.

     정답 : []
     정답률 : 79%

33. 강 용접 이음부의 방사선 투과시험방법(KS B0845)에 따라 강판의 맞대기 이음 용접부를 투과검사 할 경우 상질의 종류가 A급일 때 요구되는 규정된 두과사진의 농도범위로 옳은 것은?
     1. 1.0 이상 2.5 이하
     2. 1.3 이상 4.0 이하
     3. 2.0 이상 3.5 이하
     4. 1.8 이상 4.0 이하

     정답 : []
     정답률 : 60%

34. 1Ci의 Ir-192 선원이 30cm떨어진 곳에서의 선량률이 59 R/h 이었다. 동일한 거리에서 10 Ci의 Ir-192 선원이 있다면 이때 선량률은 얼마인가?
     1. 5.9 R/h
     2. 34.8 R/h
     3. 59 R/h
     4. 590 R/h

     정답 : []
     정답률 : 56%

35. 주강품의 방사선 투과시험방법(KS D 0227)에 따른 촬영배치에 관한 설명으로 옳지 않은 것은?
     1. 계조계는 원칙적으로 투과사진마다 1개 이상으로 한다.
     2. 관 모양의 시험체는 원칙적으로 시험부의 선원쪽 표면위에 투과도계를 놓는다.
     3. 투과도계는 투과 두께의 변화가 적은 경우에 그 투과두께를 대표하는 곳에 1개 놓는다.
     4. 투과도계는 투과 두께의 변화가 큰 경우에 두꺼운 부분을 대표하는 곳 및 얇은 부분을 대표하는 곳에 각각 1개씩 놓아야한다.

     정답 : []
     정답률 : 63%

36. 다음 중 원자력법 시행령에서 규정하고 있는 “방사선”에 해당되지 않는 것은?
     1. 중성자선
     2. 감마선 및 엑스선
     3. 1만 전자볼트 이상의 에너지를 가진 전자선
     4. 알파선, 중양자선, 양자선, 베타선 기타 중하전입자선

     정답 : []
     정답률 : 65%

37. 외부 피폭선량 측정에 사용하는 필름뱃지에 관한 설명으로 옳지 않은 것은?
     1. 필름의 흑화농도를 측정하여 피폭선량을 측정한다.
     2. TLD와는 달리 잠상퇴행에 의한 감도의 감소가 없다.
     3. 금속필터를 사용하여 입사 방사선의 에너지를 결정한다.
     4. 기계적압력, 온도 상승 또는 빛에 노출되었을 때 흐림 현상(Fogging)이 발생한다.

     정답 : []
     정답률 : 66%

38. 주강품의 방사선 투과시험(KS D 0227)에 의하면 두께 130mm되는 주물에 방사선 투과시험을 시행한 결과 16mm직경의 블로홀이 1개 발견되었다면, 홈의 분류상 몇 류에 해단되는가?
     1. 1류
     2. 2류
     3. 5류
     4. 6류

     정답 : []
     정답률 : 30%

39. 강 용접 이음부의 방사선 투과시험방법(KS D0845)에 따라 강판 맞대기 용접 이음부에 대한 검사를 수행할 때 촬영배치에서 선원과 시험부의 선원측 표면 간 거리(L1)는 시험부의 유효길이(L3)의 n배 이상으로 해야 한다고 규정하고 있다. A급 상질을 적용할 경우 계수n의 값은 얼마인가?
     1. 1
     2. 2
     3. 3
     4. 4

     정답 : []
     정답률 : 74%

40. 강 용접 이음부의 방사선 투과시험방법(KS B0845)에서 사용되는 계조계 15형의 모재 두께 한계는 얼마인가?
     1. 20mm이하
     2. 30mm이하
     3. 40mm이하
     4. 50mm이하

     정답 : []
     정답률 : 59%

41. 다음이 설명하고 있는 것은?

    

     1. 데모 버전
     2. 프리웨어
     3. 셰어웨어
     4. 베타버전

     정답 : []
     정답률 : 18%

42. 인터넷에서 사용되는 URL이란?
     1. 인터넷에서 정보를 검색하는 엔진의 일종이다.
     2. 인터넷에서 메일을 전송하는 프로그램이다.
     3. 인터넷에서 파일을 전송할 때 필요한 프로그램이다.
     4. 인터넷에 있는 정보의 위치를 알려주는 표준이다.

     정답 : []
     정답률 : 27%

43. 전자우편을 사용 할 때의 네티켓으로 틀린 것은?
     1. 자신의 비밀번호를 타인에게 절대 공개해서는 안된다.
     2. 메일을 보내기 전에 주소가 올바른지 확인한다.
     3. 선정적이거나 폭력적인 제목은 지양한다.
     4. 제목은 메시지 내용을 상세하게 풀어서 적어야한다.

     정답 : []
     정답률 : 38%

44. 네트워크에 연결된 컴퓨터 시스템의 운영체제, 응용프로그램, 인터넷 서버 등의 취약점을 이용한 침입을 방지하는 기술은?
     1. 시스템 보안
     2. 테이터 보안
     3. 통신 규제
     4. 통신 검열

     정답 : []
     정답률 : 44%

45. 인터넷과 동일한 소프트웨어를 이용하는 기업이나 기관 등의 내부 전용 네트워크로 전자메일 시스템, 전자결재 시스템 등의 방식을 통해 정보교환의 효율성을 가져올 수 있도록 하는 망은?
     1. 인트라넷
     2. 엑스트라넷
     3. 홈페이지
     4.

     정답 : []
     정답률 : 40%

46. 저용융점 합금의 용융 온도는 약 몇 ℃ 이하 인가?
     1. 250℃ 이하
     2. 350℃ 이하
     3. 450℃ 이하
     4. 550℃ 이하

     정답 : []
     정답률 : 64%

47. 알루미늄(AL)에 내식성을 증가시키지 위해서 Mg, Si, Mn등을 첨가한 가공용 알루미늄 합금 중 내식성 알루미늄 합금이 아닌 것은?
     1. 알민
     2. 로엑스
     3. 알드리
     4. 하이드로날륨

     정답 : []
     정답률 : 62%

48. 샤르피 충격시험에 대한 설명 중 틀린 것은?
     1. 인성 및 취성의 정도를 알아보는 시험이다.
     2. 시편에 미리 노치를 가공하여 노치인성을 나타낸다.
     3. 여러 온도에서 시험하여 연성-취성 천이온도를 알 수 있다.
     4. 연성파단면은 입상의 반짝거리는 벽개파단의 특징을 나타낸다.

     정답 : []
     정답률 : 67%

49. Fe-C상태도에서 순철의 자기변태점은?
     1. 210℃
     2. 768℃
     3. 910℃
     4. 1410℃

     정답 : []
     정답률 : 74%

50. 다음 금속 중 용융상태에서 응고할 때 팽창하는 것은?
     1. Sn
     2. Zn
     3. Mo
     4. Bi

     정답 : []
     정답률 : 37%

51. 열처리 TTT곡선에서 TTT가 의미하는 것이 아닌것은?
     1. 온도
     2. 압력
     3. 시간
     4. 변태

     정답 : []
     정답률 : 58%

52. 금속표면에서 스텔라이트, 초경합금 등의 금속을 용착시켜 표면 경화층을 만드는 방법은?
     1. 쇼트 피닝
     2. 금속용사법
     3. 금속침투법
     4. 하드페이싱

     정답 : []
     정답률 : 52%

53. 동(Cu)합금 중에서 가장 큰 강도와 경도를 나타내며 내식성, 도전성, 내피로성 등이 우수하여 베어링, 스프링, 전기접전 및 전극재료 등으로 사용되는 재료는?
     1. 인(P) 청동
     2. 베릴륨(Be) 동
     3. 니켈(Ni) 청동
     4. 규소 (Si) 동

     정답 : []
     정답률 : 60%

54. A3또는 A㎝ 선보다 30~50℃ 높은 온도로 가열한후 공기 중에 냉각하여 탄소강의 표준 조직을 검사하려면 어떤 열처리를 해야 하는가?
     1. 노멀라이징(불림)
     2. 어닐링(풀림)
     3. 퀜칭(담금질)
     4. 템퍼링(뜨임)

     정답 : []
     정답률 : 60%

55. 켈밋(Kelmet)의 주성분으로 옳은 것은?
     1. Cu+Pb
     2. Fe+Zn
     3. Sn+Al
     4. Si+Co

     정답 : []
     정답률 : 58%

56. 탄소 함유량으로 철강 재료를 분류한 것 중 틀린것은?
     1. 순철은 약 0.025%이하의 탄소함유량을 갖는다.
     2. 강은 약 0.2% 이하의 탄소함유량을 갖는다.
     3. 공석강은 약 0.8% 정도의 탄소함유량을 갖는다.
     4. 공정 주철은 약 4.3%정도의 탄소함유량을 갖는다.

     정답 : []
     정답률 : 70%

57. 두 가지 이상의 금속원소가 간단 원자비로 결합되어 성분금속과는 다른 성질을 갖는 물질을 무엇이라 하는가?
     1. 공정 2원 흡금
     2. 금속간 화합물
     3. 침입형 고용체
     4. 전율가용 고용체

     정답 : []
     정답률 : 85%

58. 피복 배합제 중 아크 안정제에 속하지 않는 것은?
     1. 석회석
     2. 알루미늄
     3. 산화티탄
     4. 규산나트륨

     정답 : []
     정답률 : 48%

59. 가스용접에 사용되는 연료가스로서 갖추어야 할 성질 중 틀린 것은?
     1. 용융금속과 화학반응을 일으켜야 한다.
     2. 불꽃의 온도가 높아야 한다.
     3. 연소속도 빨라야 한다.
     4. 발열량이 커야 한다.

     정답 : []
     정답률 : 64%

60. 용접봉 지름이 6mm, 용착효율이 65%인 피복 아크용접봉 200kg을 사용하여 얻을 수 있는 용착금속의 중량은?
     1. 130kg
     2. 200kg
     3. 184kg
     4. 1200kg

     정답 : []
     정답률 : 57%


정 답 지

1

2

3

4

5

6

7

8

9

10

11

12

13

14

15

16

17

18

19

20

21

22

23

24

25

26

27

28

29

30

31

32

33

34

35

36

37

38

39

40

41

42

43

44

45

46

47

48

49

50

51

52

53

54

55

56

57

58

59

60

방사선비파괴검사기능사 필기 기출문제(해설) 및 CBT 2010년10월03일(5회)을 이용해 주셔서 감사합니다.
, 필기, 기출문제, 전자문제집, CBT, 온라인, 모의테스트, 모의고사



List of Articles
번호 제목 글쓴이 날짜 조회 수
9645 방사선비파괴검사기능사 필기 기출문제(해설) 및 CBT 2005년10월02일(5회)(3095) 좋은아빠되기 2025.11.25 1
9644 방사선비파괴검사기능사 필기 기출문제(해설) 및 CBT 2006년10월01일(5회)(3096) 좋은아빠되기 2025.11.25 4
9643 방사선비파괴검사기능사 필기 기출문제(해설) 및 CBT 2007년01월28일(1회)(3097) 좋은아빠되기 2025.11.25 1
9642 방사선비파괴검사기능사 필기 기출문제(해설) 및 CBT 2007년04월01일(2회)(3098) 좋은아빠되기 2025.11.25 4
9641 방사선비파괴검사기능사 필기 기출문제(해설) 및 CBT 2007년09월16일(5회)(3099) 좋은아빠되기 2025.11.25 2
9640 방사선비파괴검사기능사 필기 기출문제(해설) 및 CBT 2008년02월03일(1회)(3100) 좋은아빠되기 2025.11.25 5
9639 방사선비파괴검사기능사 필기 기출문제(해설) 및 CBT 2008년10월05일(5회)(3101) 좋은아빠되기 2025.11.25 1
9638 방사선비파괴검사기능사 필기 기출문제(해설) 및 CBT 2009년01월18일(1회)(3102) 좋은아빠되기 2025.11.25 3
9637 방사선비파괴검사기능사 필기 기출문제(해설) 및 CBT 2009년03월29일(2회)(3103) 좋은아빠되기 2025.11.25 0
9636 방사선비파괴검사기능사 필기 기출문제(해설) 및 CBT 2009년09월27일(5회)(3104) 좋은아빠되기 2025.11.25 3
9635 방사선비파괴검사기능사 필기 기출문제(해설) 및 CBT 2010년01월31일(1회)(3105) 좋은아빠되기 2025.11.25 1
9634 방사선비파괴검사기능사 필기 기출문제(해설) 및 CBT 2010년03월28일(2회)(3106) 좋은아빠되기 2025.11.25 6
» 방사선비파괴검사기능사 필기 기출문제(해설) 및 CBT 2010년10월03일(5회)(3107) 좋은아빠되기 2025.11.25 2
9632 방사선비파괴검사기능사 필기 기출문제(해설) 및 CBT 2011년02월13일(1회)(3108) 좋은아빠되기 2025.11.25 3
9631 방사선비파괴검사기능사 필기 기출문제(해설) 및 CBT 2011년10월09일(5회)(3109) 좋은아빠되기 2025.11.25 1
9630 방사선비파괴검사기능사 필기 기출문제(해설) 및 CBT 2012년02월12일(1회)(3110) 좋은아빠되기 2025.11.25 2
9629 방사선비파괴검사기능사 필기 기출문제(해설) 및 CBT 2012년04월08일(2회)(3111) 좋은아빠되기 2025.11.25 1
9628 방사선비파괴검사기능사 필기 기출문제(해설) 및 CBT 2012년10월20일(5회)(3112) 좋은아빠되기 2025.11.25 4
9627 방사선비파괴검사기능사 필기 기출문제(해설) 및 CBT 2013년01월27일(1회)(3113) 좋은아빠되기 2025.11.25 1
9626 방사선비파괴검사기능사 필기 기출문제(해설) 및 CBT 2013년04월14일(2회)(3114) 좋은아빠되기 2025.11.25 3
Board Pagination Prev 1 ... 508 509 510 511 512 513 514 515 516 517 ... 995 Next
/ 995