자격증 필기 기출문제



대기환경산업기사 필기 기출문제(해설) 및 CBT 2007년03월04일(3318)

최강 자격증 기출문제 전자문제집 CBT : www.comcbt.com


전자문제집 CBT란?

종이 문제집이 아닌 인터넷으로 문제를 풀고 자동으로 채점하며 모의고사, 오답 노트, 해설까지 제공하는
무료 기출문제 학습 프로그램으로 실제 상설검정에서 사용하는 OMR 형식의 CBT를 제공합니다.


최신 대기환경산업기사 필기 기출문제 : [다운로드]

1과목 : 대기오염개론


1. 다음 중 PAN(peroxyacetyl nitrate)의 생성반응식으로 옳은 것은?
     1. CH3COOO + NO2 → CH3COONO2
     2. C6H5COOO + NO2 → C6H5COOONO2
     3. RCOO + O2 → RO2 · + CO2
     4. RO · + NO2 → RONO2

     정답 : []
     정답률 : 82%

2. 다음 중 역사적 대기오염 사건에 관한 설명으로 옳게 연결된 것은?
     1. Krakatau섬 사건 - 인도 Krakatau섬 내 황산공장의 폭발로 발생
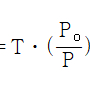
     2. Meuse valley사건 - 미국 펜실바니아 주 피츠버그시의 남쪽에 위치한 공업지대에서 기온역전으로 연무 등과 같은 현상 발생
     3. Poza Rica 사건 - 멕시코 공업지대에서 황화수소 누출
     4. Bhopal시 사건 - 인도 보팔시에서 아연정련소의 황산미스트 유출로 발생

     정답 : []
     정답률 : 알수없음

3. 다음 중 주로 O3 에 의한 피해인 것은?
     1. 고무의 노화
     2. 석회석의 손상
     3. 금속의 부식
     4. 유리 제조품의 부식

     정답 : []
     정답률 : 알수없음

4. 대기중에 존재하는 기체상의 질소산화물 중 대류권에서는 온실가스로 알려져 있고 일명 웃음기체 라고도 하며, 성층권에서는 오존층 파괴물질로 알려져 있는 것은?
     1. NO2
     2. N2O
     3. NO3
     4. N2O5

     정답 : []
     정답률 : 85%
     <문제 해설>
웃음기체 : 아산화질소(일산화이질소)
[해설작성자 : 블베리(펄 샤이닝 블루베리)]

5. 지상 15m의 풍속이 5m/sec일 때, 지상 50m에서의 풍속은? (단, Deacon 식 : U = U0×(Z/Zo)n, 풍속지수 n = 0.25)
     1. 4.5 m/sec
     2. 6.8 m/sec
     3. 8.6 m/sec
     4. 10.2 m/sec

     정답 : []
     정답률 : 84%

6. 주로 화석연료, 특히 석탄 및 중유에 많이 포함되고, 코ㆍ눈ㆍ인후의 자극을 동반하여 격심한 기침을 유발하는 중금속은?
     1. 아연(Zn)
     2. 카드뮴(Cd)
     3. 바나듐(V)
     4. 납(Pb)

     정답 : []
     정답률 : 32%

7. 대기오염물질 중 CO2의 증가는 탄산염을 함유한 석회석 등으로 만든 건축물에 피해를 준다. 이때의 반응식으로 옳은 것은?
     1. CO2 + CaCO3 → Ca(CO2)2 + O
     2. CO2 + CaCO3 + H2O → Ca(HCO3)2
     3. CO2 + CO3 + H2O → 2CO3+ H2
     4. CO2 + CaCO3 + O → Ca(CO3)2

     정답 : []
     정답률 : 알수없음

8. 다음 중 실내 건축재료에서 배출되고 있는 실내공간오염물질이 아닌 것은?
     1. 석면
     2. 안티몬
     3. 포름알데히드
     4. 휘발성유기화합물

     정답 : []
     정답률 : 82%

9. 다음 중 불화수소(HF)를 주로 배출하는 업종은?
     1. 화력발전소
     2. 인산비료공장
     3. 제철공장
     4. 보일러

     정답 : []
     정답률 : 87%

10. 다음 중 디젤기관이 가솔린기관에 비해 보다 문제시 되는 대기오염물질은?
     1. 탄화수소, 일산화탄소
     2. 탄화수소, 질소산화물
     3. 매연, 질소산화물
     4. 매연, 탄화수소

     정답 : []
     정답률 : 43%

11. 다음 중 교외지역에 비해 온도가 높게 나타나는 도시열섬효과(heat island effect)를 가져오는 원인과 가장 거리가 먼 것은?
     1. 인구 집중에 따른 인공열 발생의 증가
     2. 건물 등 구조물에 의한 거칠기 길이의 변화
     3. 지표면의 열적 성질 차이
     4. 기온역전

     정답 : []
     정답률 : 50%

12. Richardson number에 관한 설명으로 옳지 않은 것은?
     1. 기계적 난류와 대류난류 중 어느 것이 지배적인가를 추정할 수 있다.
     2. 무차원 수이다.
     3. 큰 음의 값을 가지면 대류가 지배적이어서 바람이 약하게 되어 강한 수직운동이 일어난다.
     4. 0 에 접근하면 분산이 증가한다.

     정답 : []
     정답률 : 알수없음

13. 로스엔젤레스형 대기오염의 특성으로 옳지 않은 것은?
     1. 광화학적 산화물(photochemical oxidants)을 형성하였다.
     2. 질소산화물과 올레핀계 탄화수소 등이 원인물질로 작용했다.
     3. 자동차 연료인 석유계 연료가 주원인물질로 작용했다.
     4. 초저녁에 주로 발생하였고, 복사역전층과 무풍상태가 계속되었다.

     정답 : []
     정답률 : 79%

14. 대기 중 환경감률이 -4℃/km 인 경우의 대기 상태는?
     1. 과단열
     2. 등온
     3. 미단열
     4. 역전

     정답 : []
     정답률 : 알수없음

15. SO2의 착지 농도를 감소시키기 위한 방법 중 옳지 않은 것은?
     1. 굴뚝 높이를 높게 한다.
     2. 굴뚝 배기가스 배출속도를 높인다.
     3. 배기가스 온도를 가능한 낮춘다.
     4. 저유황유를 사용한다.

     정답 : []
     정답률 : 70%

16. 과거의 역사적인 대기오염사건 중 London형 smog에 관한 설명으로 옳지 않은 것은?
     1. 무풍상태
     2. 기온 0∼5℃의 이른 아침에 발생
     3. 침강성 역전
     4. 가정 난방용 석탄의 매연과 화혁발전소 등의 굴뚝에서 배출된 매연이 주 오염원으로 추정

     정답 : []
     정답률 : 64%

17. 환경대기 중 CO2 농도는 지구 온난화와 관련하여 중요한 관심의 대상이 되고 있다. 미국 화와이에서 측정한 CO2 농도가 1959년에 315.8ppm 이었던 것이 현재까지 14.7% 증가 하였다고 할 때 CO2 농도는 얼마인가?
     1. 332.6 ppm
     2. 362.2 ppm
     3. 386.4 ppm
     4. 403.4 ppm

     정답 : []
     정답률 : 50%

18. 바람에 관여하는 힘 중에서 바람발생의 근본 원인이 되는 것은?
     1. 전향력
     2. 원심력
     3. 마찰력
     4. 기압경도력

     정답 : []
     정답률 : 75%

19. 다음 대기오염물질 중 황화수소(H2S)에 비교적 강한 식물이 아닌 것은?
     1. 복숭아
     2. 토마토
     3. 딸기
     4. 사과

     정답 : []
     정답률 : 85%

20. 대기가 매우 불안정할 때 주로 나타나며, 맑은 날 오후에 주로 발생하기 쉽고, 또한 풍속이 매우 강하여 혼합이 크게 일어날 때 발생하게 되며, 굴뚝이 낮은 경우에는 풍하쪽 지상에 강한 오염이 생기며, 저ㆍ고기압에 상관없이 발생하는 연기의 형태는?
     1. conning 형
     2. looping 형
     3. fanning 형
     4. trapping 형

     정답 : []
     정답률 : 알수없음

2과목 : 대기오염 공정시험 기준(방법)


21. 아래의 시료가스 채취장치에서 B와 C의 명칭으로 적합한 것은?

    

     1. B : 보온재, C : 건조재
     2. B : 보온재, C : 여과재
     3. B : 여과재, C : 보온재
     4. B : 여과재, C : 건조재

     정답 : []
     정답률 : 알수없음

22. 다음은 굴뚝 등에서 배출되는 매연을 링겔만 매연농도표(Ringelmen Smoke Chart)에 의해 비교 측정하는 시험방법에 관한 설명이다. ( )안에 들어갈 말로 가장 알맞은 것은?

    

     1. ① 5, ② 200, ③ 15 ∼ 20
     2. ① 16, ② 200, ③ 30 ∼ 45
     3. ① 16, ② 100, ③ 15 ∼ 20
     4. ① 5, ② 100, ③ 30 ∼ 45

     정답 : []
     정답률 : 57%

23. 다음은 흡광차분광법(Differential Optical Absorption Spectroscopy : DOAS)에 관한 설명이다. ( )안에 들어갈 말로 알맞은 것은?

    

     1. ① 50 ∼ 1000, ② 50 ∼ 70
     2. ① 10 ∼ 50, ② 50 ∼ 170
     3. ① 10 ∼ 50, ② 180 ∼ 2850
     4. ① 50 ∼ 1000, ② 180 ∼ 2850

     정답 : []
     정답률 : 50%

24. 어느 굴뚝 배출가스 중의 황산화물을 침전적정법(아르세나죠Ⅲ)으로 측정하여 다음과 같은 결과를 얻었다. 이 때 황산화물의 농도는?

    

     1. 621.5ppm
     2. 601.3ppm
     3. 554.3ppm
     4. 519.6ppm

     정답 : []
     정답률 : 알수없음

25. 화학반응 등에 따라 굴뚝 등에서 배출되는 가스중의 염소를 분석하는 방법 중 오르토톨리딘법에 대한 설명으로 옳지 않은 것은?
     1. 시료중의 염소농도가 5∼25ppm 인 것의 분석에 적당하다.
     2. 시료 채취관의 재질로는 유리관, 석영관, 불소수지관 등을 사용한다.
     3. 시료 채취관은 굴뚝 직각이고 끝이 중앙부에 오도록 넣는다.
     4. 오르토돌리딘 염산용액은 갈색병에 보관하며 보관 가능 기간은 약 6개월이다.

     정답 : []
     정답률 : 34%

26. 환경대기 중에 부유하고 있는 10μm 이하의 입자상 물질을 여과지 위에 포집하여 질량농도를 구하거나 금속 등의 성분 분석에 이용되며, 흡인펌프, 분립장치, 여과지홀더 및 유량측정부의 구성을 갖는 분석방법은?
     1. 하이볼륨 에어샘플러법
     2. 로우볼륨 에어샘플러법
     3. 광산란법
     4. 광투과법

     정답 : []
     정답률 : 70%

27. 다음 ( )안에 들어갈 알맞은 말은?

    

     1. ① 적자색, ② 40, ③ 0.02 ∼ 0.4
     2. ① 황색, ② 60, ③ 0.02 ∼ 0.4
     3. ① 황색, ② 40, ③ 0.04 ∼ 0.2
     4. ① 적자색, ② 60, ③ 0.04 ∼ 0.2

     정답 : []
     정답률 : 25%

28. 굴뚝 단면이 원형일 경우 측정점의 선정에 관한 설명으로 가장 거리가 먼 것은?
     1. 측정점수는 굴뚝직경이 1m 이하인 경우는 4점으로 한다.
     2. 굴뚝 단면적이 0.25m2이하로 소규모일 경우에는 그 굴뚝 단면의 중심을 대표점으로 하여 1점만 측정한다.
     3. 측정공이 수직굴뚝에 위치할 경우에는 굴뚝 단면의 1/4에 해당하는 반경선상의 측정점으로 줄일 수 있다.
     4. 측정점수는 굴뚝직경이 4m 초과인 경우 반경구분수는 5로 하고, 측정점수는 20점으로 한다.

     정답 : []
     정답률 : 알수없음

29. SO2 1pphm을 ppm과 ppb로 표시하면?
     1. 100 ppm, 10 ppb
     2. 100 ppm, 100 ppb
     3. 0.01 ppm, 10 ppb
     4. 0.01 ppm, 100 ppb

     정답 : []
     정답률 : 55%

30. 다음 표시방법에 관한 설명으로 옳지 않은 것은?
     1. 상온은 15∼25℃, 실온은 1∼35℃, 찬곳(冷所)은 따로 규정이 없는 한 0∼15℃의 곳을 뜻한다.
     2. 냉수(冷水)는 약 15℃이하, 온수(溫水)는 60∼70℃, 열수(熱水)는 약 100℃를 말한다.
     3. “바탕시험(空試驗)을 하여 보정한다.” 함은 시료에 대한 처리 및 측정을 할 때 시료를 사용하지 않고 같은 방법으로 조작한 측정치를 빼는 것을 뜻한다.
     4. “이상” “초과” “이하” “미만” 이라고 기재하였을 때 이(以)자가 쓰여진 쪽은 어느 것이나 기산점(起算點) 또는 기준점(基準點)인 숫자를 포함하며, “미만” 또는 “초과”는 기산점 또는 기준점의 숫자는 포함하지 않으며, “a-b"라 표시한 것은 a초과 b미만 임을 뜻한다.

     정답 : []
     정답률 : 29%

31. 황화수소를 용량법(요오드적정법)으로 정량할 때, 종말정의 판단을 위한 지시약은?
     1. 아르세나조Ⅲ
     2. 영화제이철
     3. 녹말 용액
     4. 메틸렌 블루

     정답 : []
     정답률 : 64%

32. 굴뚝에서의 먼지측정위치 기준에 대한 내용이다. ( )안에 알맞은 내용은?

    

     1. ① 상부, ② 아래, ③ 4배, ④ 하부, ⑤ 위, ⑥ 2배
     2. ① 하부, ② 위, ③ 8배, ④ 상부, ⑤ 아래, ⑥ 2배
     3. ① 하부, ② 위, ③ 2배, ④ 상부, ⑤ 아래, ⑥ 1배
     4. ① 상부, ② 아래, ③ 2배, ④ 하부, ⑤ 위, ⑥ 4배

     정답 : []
     정답률 : 79%

33. 원자 흡광광도법에서 불꽃을 만들기 위한 조연성가스와 가연성가스의 조합 중 원자외 영역에서의 불꽃자체에 의한 흡수가 적기 때문에 이 파장영역에서 분석선을 갖는 원소의 분석에 적당한 가스의 조합은?
     1. 아세틸렌 - 알곤
     2. 수소 - 공기
     3. 아세틸렌 - 공기
     4. 아세틸렌 - 아산화질소

     정답 : []
     정답률 : 알수없음

34. 다음은 램버트 비어(Lambert-Beer)의 법칙에 대한 설명이다. 옳지 않은 것은? (단, Io = 입사광의 강도, It = 투사광의 강도, C = 농도, ℓ : 빛의 투사거리, ε : 흡광계수, t : 투과도)
     1. It = Ioㆍ10-εCℓ
     2. 를 흡광도라 한다.
     3. ε는 비례상수로서 흡광계수(吸光係數)라 하고, C=1moL, ℓ=1mm일 때의 ε의 값을 몰흡광계수라 한다.
     4. 를 투과도라 한다.

     정답 : []
     정답률 : 70%

35. 수산화나트륨 20g을 물에 용해시켜 750mL로 하였다. 이 용액의 농도는?
     1. 0.33 N
     2. 0.67 N
     3. 0.99 N
     4. 1.33 N

     정답 : []
     정답률 : 82%

36. “항량이 될 때까지 건조한다”에서 “항량”의 범위를 벗어나지 않는 것은?
     1. 검체 8g을 1시간 더 건조하여 무게를 달아 보니 7.9975g 이었다.
     2. 검체 4g을 1시간 더 건조하여 무게를 달아 보니 3.9989g 이었다.
     3. 검체 1g을 1시간 더 건조하여 무게를 달아 보니 0.999g 이었다.
     4. 검체 100mg을 1시간 더 건조하여 무게를 달아 보니 99.9mg 이었다.

     정답 : []
     정답률 : 78%

37. 다음 중 환경오염공정시험방법에서 아래의 조건에 해당하는 규정농도 이상의 것을 사용해야 하는 시약은?

    

     1. Hl
     2. H3PO4
     3. HCl
     4. HNO3

     정답 : []
     정답률 : 54%

38. 배출가스 중의 질소산화물을 페놀디술폰산법으로 측정할 경우에 사용하는 시료가스 흡수액으로 알맞은 것은?
     1. 암모니아수
     2. 페놀디술폰산
     3. 황산+과산화수소수
     4. 붕산

     정답 : []
     정답률 : 93%

39. 다음 분석방법 중 연료용 유류 중의 황함유량을 측정하기 위한 방법인 것은?
     1. 방사선식 여기법
     2. 광산란법
     3. 적외선 형광법
     4. 광투과법

     정답 : []
     정답률 : 46%

40. 화학반응 등에 의하여 굴뚝 등에서 배출되는 배출가스 중의 암모니아를 분석하는 방법 중 중화적정법으로 분석하기에 가장 적합한 경우는?
     1. 시료가스 채취량을 40L로 하였을 때 암모니아 농도가 약 10 ppm 미만인 경우
     2. 시료가스 채취량을 40L로 하였을 때 암모니아 농도가 약 100 ppm 미만인 경우
     3. 시료가스 채취량을 20L로 하였을 때 암모니아 농도가 약 10 ppm 미만인 경우
     4. 시료가스 채취량을 20L로 하였을 때 암모니아 농도가 약 100 ppm 미만인 경우

     정답 : []
     정답률 : 55%

3과목 : 대기오염방지기술


41. 유해가스를 처리하는데 있어서 촉매연소법에 관한 설명 중 옳지 않은 것은?
     1. 악취성분을 함유하는 가스를 촉매에 의해 비교적 고온(600∼800℃)에서 산화분해 한다.
     2. 촉매는 백금, 코발트, 니켈 등이 있으나, 고가이지만 성능이 우수한 백금계의 것이 많이 사용한다.
     3. 활성도가 높은 촉매를 사용하는 것이 바람직하지만 내열성과 촉매독(毒)의 문제가 있다.
     4. 이 방법은 직접연소법과 비교하여 연료소비량이 적기 때문에 운전비가 절감되지만, 촉매의 수명이 문제가 된다.

     정답 : []
     정답률 : 알수없음

42. 다음 중 전기집진장치의 특징으로 옳지 않은 것은?
     1. 고온가스 처리가 가능하다.
     2. 부식성 가스가 함유된 먼지도 처리가 가능하다.
     3. 압력손실이 높다.
     4. 전력소비가 적다.

     정답 : []
     정답률 : 64%

43. 관성력 집진장치에서 집진율을 높이는 방법으로 옳지 않은 것은?
     1. 충돌식의 경우 충돌 직전의 각속도가 클수록 집진율이 높아진다.
     2. 반전식의 경우 방향전환을 하는 곡률반경이 작을수록 집진율이 높아진다.
     3. 함진가스의 방향 전환횟수는 많을수록 압력손실은 커지고, 집진율은 높아진다.
     4. 충돌식의 경우 장치 출구의 가스속도가 클수록 집진율이 높아진다.

     정답 : []
     정답률 : 58%

44. 다음 가스연료의 완전연소 반응식으로 옳지 않은 것은?
     1. 수소 : 2H2 + O2 → 2H2O
     2. 일산화탄소 : 2CO + O2 → 2CO2
     3. 메탄 : CH4 + O2 → CO2 + 2H2
     4. 프로판 : C3H8 + 5O2 → 3CO2 + 4H2O

     정답 : []
     정답률 : 85%

45. 유황 1.0%가 함유된 중유 1kg을 연소하는 보일러에서 배출되는 가스 중 황산화물의 농도는? (단, 중유 1kg당 굴뚝배출연소가스량은 13Sm3 이다.)
     1. 130 ppm
     2. 326 ppm
     3. 538 ppm
     4. 1000ppm

     정답 : []
     정답률 : 59%

46. 아래 조건으로 연료를 완전연소시켰을 때 이론연소온도는 몇 ℃ 인가?

    

     1. 2306℃
     2. 2708℃
     3. 3306℃
     4. 3708℃

     정답 : []
     정답률 : 알수없음

47. 다음 흡수장치의 종류 중 기체분산형 흡수장치에 해당되는 것은?
     1. plate tower
     2. packed tower
     3. spray tower
     4. venturi scrubber

     정답 : []
     정답률 : 74%

48. 다음 중 탄화도가 클수록 연료가 가지는 성질로 옳지 않은 것은?
     1. 고정탄소 및 산소의 양이 증가한다.
     2. 수분 및 휘발분이 감소한다.
     3. 착화온도가 높아지며, 발열량이 증가한다.
     4. 연료비(고정탄소(%)/휘발분(%))이 증가한다.

     정답 : []
     정답률 : 알수없음

49. 악취제거시 화학적 산화법에 사용하는 산화제로 가장 거리가 먼 것은?
     1. O3
     2. Fe2(SO4)3
     3. KMnO4
     4. NaOCl

     정답 : []
     정답률 : 54%

50. 다음 집진장치 중 압력손실이 가장 큰 것은?
     1. 관성력 집진장치
     2. 벤츄리 스크레버
     3. 사이클론
     4. 백필터

     정답 : []
     정답률 : 53%

51. 실온에서 물이 동관 파이프 속을 6m/min 로 흐르고 있다. 파이프 관의 단면적이 0.005m2 일 때 관속을 흐르는 유체의 질량유속은(g/sec)은? (단, 물의 밀도는 1g/cm3)
     1. 1200
     2. 800
     3. 500
     4. 300

     정답 : []
     정답률 : 17%

52. 다음 중 천연가스의 이론공기량으로 가장 적절한 것은?
     1. 4.0∼6.0 Nm3/Nm3
     2. 6.0∼8.0 Nm3/Nm3
     3. 8.5∼10.0 Nm3/Nm3
     4. 19.5∼20.5 Nm3/Nm3

     정답 : []
     정답률 : 77%

53. 전기집진기의 집진율 향상에 관한 설명으로 옳지 않은 것은?
     1. 분진의 겉보기고유저항이 낮을 경우는 NH3 가스를 주입한다.
     2. 분진의 비저항이 105~1010Ωcm의 범위이면 입자의 대전과 집진된 분진의 탈진이 정상적으로 진행된다.
     3. 처리가스내 수분은 그 함유량이 증가하면 비저항이 감소하므로, 고비저항의 분진은 수증기를 분사하거나 물을 뿌려 비저항을 낮출 수 있다.
     4. 온도조절시 장치의 부식을 방지하기 위해서는 노점 온도 이하로 유지해야 한다.

     정답 : []
     정답률 : 알수없음

54. 송풍기의 크기와 유체의 밀도가 일정할 때 송풍기 회전속도를 2배로 증가시켰을 때 다음 중 옳은 것은?
     1. 동력은 4배 증가한다.
     2. 유량은 2배 증가한다.
     3. 배출속도는 4배 증가한다.
     4. 정압은 8배 증가한다.

     정답 : []
     정답률 : 64%

55. 벤츄리스크러버에 관한 설명으로 옳지 않은 것은?
     1. 효율이 좋고 광범위하게 사용된다.
     2. 액가스비는 일반적으로 분진의 입경이 작고, 친수성이 아닐수록 커진다.
     3. 10μm 이하의 미립자이거나 소수성의 입자일 경우는 액가스비가 0.3L/m3 정도이다.
     4. 함진가스를 벤츄리관의 목(throat)부에 유속 60∼90m/s로 빠르게 공급하여 목부주변의 노즐로부터 세정액이 흡인 분사되게 함으로써 포집하는 방식이다.

     정답 : []
     정답률 : 31%

56. 다음 중 LPG의 주성분으로 연결된 것은?
     1. C3H8, C4H10
     2. C2H6, C3H6
     3. CH4, C3H6
     4. CH4, C2H6

     정답 : []
     정답률 : 74%

57. 유량이 2,950m3/hr인 배출가스를 흡수탑을 이용하여 제거하고자 한다. 흡수탑의 통과유속을 0.55m/sec로 할 경우 흡수탑의 직경은 얼마로 설계하여야 하는가?
     1. 약 1.38 m
     2. 약 1.58 m
     3. 약 1.78 m
     4. 약 1.98 m

     정답 : []
     정답률 : 24%

58. 어느 먼지의 입경dp(μm)분포를 Rosin-Rammler 분포로 나타낼 때 체상분포를 R(%)로 표시하면 R(%)=100exp(-βdpn)으로 나타낸다. 이 먼지는 입경 20μm 이하가 전체의 몇 %를 차지하는가? (단, 여기서, β=0.063, n=1)
     1. 28.37
     2. 52.34
     3. 71.63
     4. 80.53

     정답 : []
     정답률 : 54%

59. 어떤 유해가스와 물이 일정 온도에서 평형상태에 있다. 유해가스의 분압이 기상에서 40mmHg일 때 수중 유해가스의 농도가 2.7kmol/m3이면 이 때 헨리상수(atmㆍm3/kmol)는? (단, 전압은 1atm이다.)
     1. 0.01
     2. 0.02
     3. 0.03
     4. 0.04

     정답 : []
     정답률 : 63%

60. 충전물이 갖추어야 할 조건과 가장 거리가 먼 것은?
     1. 단위 부피 내의 표면적이 클 것
     2. 가스와 액체가 전체에 균일하게 분포될 것
     3. 간격의 단면적이 작을 것
     4. 가스 및 액체에 대하여 내식성이 있을 것

     정답 : []
     정답률 : 36%

61. 다음은 대기환경규제지역의 지정에 관한 법령사항이다. ( )안에 들어갈 말로 옳은 것은?

    

     1. 5년 이내
     2. 3년 이내
     3. 2년 이내
     4. 1년 이내

     정답 : []
     정답률 : 36%

62. 다음 중 대기환경보전법령에 의한 기본부과금의 부과대상이 되는 오염물질로만 옳게 연결된 것은?
     1. 황화수소, 악취
     2. 먼지, 황산화물
     3. 황산화물, 먼지
     4. 매연, 황화수소

     정답 : []
     정답률 : 알수없음

63. 대기 배출시설 설치허가 신청에 필요한 첨부서류가 아닌 것은?
     1. 배출시설의 설치내역서
     2. 방지시설의 일반도
     3. 방지시설의 연간 유지관리계획서
     4. 종업원수 및 용수사용량 예측내역서

     정답 : []
     정답률 : 69%

64. 대기환경보전법령에 의거한 일일오염물질배출량 및 일일유량의 산정방법에 관한 내용으로 옳지 않은 것은?
     1. 일반오염물질의 배출허용기준초과일일오염물질배출량은 소수점이하 첫째자리까지 계산한다.
     2. 먼지의 배출농도의 단위는 세제곱미터당 밀리그램으로 한다.
     3. 일일유량 산정시 적용되는 측정유량의 단위는 일일당 세제곱미터로 한다.
     4. 일일유량 산정시 적용되는 일일조업시간은 측정하기 전 최근 조업한 30일간의 배출시설의 조업시간 평균차로서 시간으로 표시한다.

     정답 : []
     정답률 : 64%

65. 대기오염물질배출시설 기준에 관한 내용으로 옳지 않은 것은?
     1. 시간당 300kW 이상의 전기아크로(유도로를 포함)
     2. 열병합 발전시설
     3. 100kW 이상의 발전용 내연기관(도서지방용ㆍ비상용 및 수송용 포함)
     4. 동력 20마력이상의 목재가공연마시설(자동대패기ㆍ밀링기ㆍ샌딩기ㆍ그라인딩기ㆍ몰더기에 한한다.)

     정답 : []
     정답률 : 7%

66. 석탄사용시설을 제외한 기타 고체연료 사용시설의 설치기준으로 틀린 것은?
     1. 배출시설의 굴뚝높이는 15m 이상이어야 한다.
     2. 연료는 옥내에 저장하여야 한다.
     3. 굴뚝에서 배출되는 매연을 측정할 수 있는 기기를 설치 하여야 한다.
     4. 연료 및 그 연소재의 수송은 덮개가 있는 차량을 이용 하여야 한다.

     정답 : []
     정답률 : 73%

67. 다음 ( )안에 들어갈 말로 옳은 것은?

    

     1. 대통령령
     2. 환경부장관
     3. 시ㆍ도지사
     4. 국립환경과학원장

     정답 : []
     정답률 : 19%

68. 대기환경보전법규상 특별대책지역안에서 휘발성유기화합물을 배출하는 시설로서 ‘대통령령이 정하는 시설’인 것은?
     1. 저유소의 저장시설 및 출하시설
     2. 금속제품 제조시설
     3. 식품 제조시설
     4. 운송장비 제조시설

     정답 : []
     정답률 : 67%

69. 오존주의보 발령시 조치사항으로만 옳게 연결된 것은?
     1. 주민의 실외활동 금지요청, 사업장 연료사용량 감축 명령, 자동차의 사용자재 요청
     2. 주민의 실외활동 금지요청, 사업장 연료사용량 감축 권고
     3. 주민의 실외활동 제한요청, 자동차의 사용제한명령
     4. 주민의 실외활동 자제요청, 자동차의 사용자제요청

     정답 : []
     정답률 : 28%

70. 배출시설과 방지시설의 정상적인 운영ㆍ관리를 위한 환경기술인의 임명권자는?
     1. 환경부장관
     2. 시ㆍ도지사
     3. 지방환경청장
     4. 사업자

     정답 : []
     정답률 : 알수없음

71. 다음 중 대기환경기준이 설정된 항목이 아닌 것은?
     1. 메탄
     2.
     3. 오존
     4. 이산화질소

     정답 : []
     정답률 : 50%

72. 대기환경보전법에 의거 대통령이 정하는 바에 따라 배출부과금을 부과하지 않는 자에 해당하지 않는 것은?
     1. 대통령령이 정하는 공공기관을 운영하는 사업자
     2. 대통령령이 정하는 최적의 방지시설을 설치한 사업자
     3. 대통령령이 정하는 연료를 사용하는 배출시설을 운영하는 사업자
     4. 대통령령이 정하는 바에 의하여 환경부장관이 국방부장관과 협의하여 정하는 군사시설을 운영하는 자

     정답 : []
     정답률 : 알수없음

73. 대기환경보전법에서 규정하는 용어의 정의로 옳지 않은 것은?
     1. 매연 : 연소 시 발생하는 유리탄소를 주로 하는 미세한 입자상 물질을 말한다.
     2. 먼지 : 대기 중에 떠다니거나 흩날려 내려오는 입자상 물질을 말한다.
     3. 가스 : 물질의 연소ㆍ합성ㆍ분해 시에 발생하거나 물리적 성질에 의하여 발생하는 기체상 물질을 말한다.
     4. 휘발성유기화합물 : 탄화수소류 중 석유화학제품ㆍ유기용제 그 밖의 물질로서 환경부령으로 정한다.

     정답 : []
     정답률 : 59%
     <문제 해설>
휘발성유기화합물 : 탄화수소류 중 석유화학제품ㆍ유기용제 그 밖의 물질로서, 환경부장관이 관계 중앙행정기관의 장과 협의하여 고시한다.

"환경부령으로 정한다"(2007기출) "중앙행정기관의 장이 고시한다"(2022기출) 등 틀린 선지로 나올 가능성이 높음.
[해설작성자 : 블베리(펄 샤이닝 블루베리)]

74. 대기환경보전법규 상 행정처분기준에 관한 설명으로 옳은 것은?
     1. 위반행위가 2이상일 때에는 각 위반사항에 따라 각각 처분한다.
     2. 위반행위의 횟수에 따른 행정처분은 당해 위반행위가 있는 날 이전 최근 3년간 같은 위반행위로 행정처분을 받은 경우에 적용한다.
     3. 조업정지기간은 당해 처분의 이행에 따른 시설의 규모, 기술능력, 기계ㆍ기술의 종류에 관계없이 일정하게 정한다.
     4. 개선명령기간은 당해 처분의 이행에 따른 시설의 규모, 기술능력, 기계ㆍ기술의 종류에 관계없이 일정하게 정한다.

     정답 : []
     정답률 : 10%

75. 다음 ( )안에 들어갈 말로 알맞은 것은?

    

     1. 국무총리령
     2. 환경부령
     3. 대통령령
     4. 시ㆍ도지사령

     정답 : []
     정답률 : 50%

76. 다음 중 대기환경보전법규정에 의한 비산먼지발생사업과 가장 거리가 먼 것은?
     1. 종이제품제조업
     2. 제1차 금속제조업
     3. 건설업
     4. 운송장비제조업

     정답 : []
     정답률 : 31%

77. 다음 중 법 규정에 의한 오염도검사기관이 아닌 것은?
     1. 대구광역시 보건환경연구원
     2. 수도권대기환경청
     3. 환경관리공단법에 의한 환경관리공단
     4. 환경보전협회

     정답 : []
     정답률 : 73%

78. ‘개선명령’을 받은 사업자는 그 명령을 받은 날부터 며칠 이내에 개선계획서를 제출하여야 하는가?
     1. 7일
     2. 10일
     3. 15일
     4. 30일

     정답 : []
     정답률 : 60%

79. 대기환경보전법규상 명시되어 있는 대기오염물질배출시설 중 폐수소각시설의 규모 기준으로 옳은 것은? (단, 소각보일러를 포함한다.)
     1. 소각능력이 시간당 25kg 이상
     2. 소각능력이 시간당 50kg 이상
     3. 소각능력이 시간당 100kg 이상
     4. 소각능력이 시간당 150kg 이상

     정답 : []
     정답률 : 60%

80. 대기환경보전법에 의거 환경부장관이 설치하는 대기오염측정망의 종류가 아닌 것은?
     1. 국가배경농도측정망
     2. 유해대기물질측정망
     3. 대기중금속측정망
     4. 산성강하물측정망

     정답 : []
     정답률 : 알수없음


정 답 지

1

2

3

4

5

6

7

8

9

10

11

12

13

14

15

16

17

18

19

20

21

22

23

24

25

26

27

28

29

30

31

32

33

34

35

36

37

38

39

40

41

42

43

44

45

46

47

48

49

50

51

52

53

54

55

56

57

58

59

60

61

62

63

64

65

66

67

68

69

70

71

72

73

74

75

76

77

78

79

80

대기환경산업기사 필기 기출문제(해설) 및 CBT 2007년03월04일을 이용해 주셔서 감사합니다.
, 필기, 기출문제, 전자문제집, CBT, 온라인, 모의테스트, 모의고사



List of Articles
번호 제목 글쓴이 날짜 조회 수
10466 대기환경산업기사 필기 기출문제(해설) 및 CBT 2007년09월02일(3320) 좋은아빠되기 2025.11.25 3
10465 대기환경산업기사 필기 기출문제(해설) 및 CBT 2007년05월13일(3319) 좋은아빠되기 2025.11.25 1
» 대기환경산업기사 필기 기출문제(해설) 및 CBT 2007년03월04일(3318) 좋은아빠되기 2025.11.25 4
10463 대기환경산업기사 필기 기출문제(해설) 및 CBT 2006년09월10일(3317) 좋은아빠되기 2025.11.25 1
10462 대기환경산업기사 필기 기출문제(해설) 및 CBT 2006년05월14일(3316) 좋은아빠되기 2025.11.25 3
10461 대기환경산업기사 필기 기출문제(해설) 및 CBT 2006년03월05일(3315) 좋은아빠되기 2025.11.25 1
10460 대기환경산업기사 필기 기출문제(해설) 및 CBT 2005년09월04일(3314) 좋은아빠되기 2025.11.25 3
10459 대기환경산업기사 필기 기출문제(해설) 및 CBT 2005년05월29일(3313) 좋은아빠되기 2025.11.25 0
10458 대기환경산업기사 필기 기출문제(해설) 및 CBT 2005년03월20일(3312) 좋은아빠되기 2025.11.25 4
10457 대기환경산업기사 필기 기출문제(해설) 및 CBT 2005년03월06일(3311) 좋은아빠되기 2025.11.25 1
10456 대기환경산업기사 필기 기출문제(해설) 및 CBT 2004년09월05일(3310) 좋은아빠되기 2025.11.25 3
10455 대기환경산업기사 필기 기출문제(해설) 및 CBT 2004년05월23일(3309) 좋은아빠되기 2025.11.25 2
10454 대기환경산업기사 필기 기출문제(해설) 및 CBT 2004년03월07일(3308) 좋은아빠되기 2025.11.25 4
10453 대기환경산업기사 필기 기출문제(해설) 및 CBT 2003년08월31일(3307) 좋은아빠되기 2025.11.25 1
10452 대기환경산업기사 필기 기출문제(해설) 및 CBT 2003년05월25일(3306) 좋은아빠되기 2025.11.25 3
10451 대기환경산업기사 필기 기출문제(해설) 및 CBT 2003년03월16일(3305) 좋은아빠되기 2025.11.25 1
10450 대기환경산업기사 필기 기출문제(해설) 및 CBT 2002년09월08일(3304) 좋은아빠되기 2025.11.25 4
10449 대기환경산업기사 필기 기출문제(해설) 및 CBT 2002년05월26일(3303) 좋은아빠되기 2025.11.25 1
10448 대기환경산업기사 필기 기출문제(해설) 및 CBT 2002년03월10일(3302) 좋은아빠되기 2025.11.25 3
10447 압연기능사 필기 기출문제(해설) 및 CBT 2016년07월10일(4회)(3301) 좋은아빠되기 2025.11.25 2
Board Pagination Prev 1 ... 489 490 491 492 493 494 495 496 497 498 ... 1017 Next
/ 1017