자격증 필기 기출문제



사출(프레스)금형산업기사 필기 기출문제(해설) 및 CBT 2007년08월05일(3938)

최강 자격증 기출문제 전자문제집 CBT : www.comcbt.com


전자문제집 CBT란?

종이 문제집이 아닌 인터넷으로 문제를 풀고 자동으로 채점하며 모의고사, 오답 노트, 해설까지 제공하는
무료 기출문제 학습 프로그램으로 실제 상설검정에서 사용하는 OMR 형식의 CBT를 제공합니다.


최신 사출(프레스)금형산업기사 필기 기출문제 : [다운로드]

1과목 : 금형설계


1. 러너와 게이트의 치수결정에 있어서 검토하여야 할 사항과 거리가 먼 항목은?
     1. 성형품 크기
     2. 성형재료
     3. 캐비티의 형상
     4. 금형의 재질

     정답 : []
     정답률 : 86%

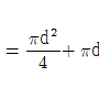
2. 가로 200mm, 세로 300mm, 높이 10mm인 성형품의 중앙에 직경 100mm 인 관통구멍이 있다. 이 성형품을 성형하려면 성형기의 형체력은 약 얼마인가? (단, 캐비티수 1개, 캐비티 내압 600kgf/cm2 이다.)
     1. 250 ton
     2. 285 ton
     3. 313 ton
     4. 200 ton

     정답 : []
     정답률 : 49%

3. 슬리브 이젝터가 사용되는 경우에 가장 적당한 보스 형태는?
     1. 사각형 보스
     2. 다각형 보스
     3. 원형 보스
     4. 직선형 보스

     정답 : []
     정답률 : 86%

4. 다음 중 러너리스 성형법의 특성이 아닌것은?
     1. 성형품 품질형상
     2. 성형재료 절강
     3. 성형품 생산시간 단축
     4. 모든 수지에 적합한 성형법이다.

     정답 : []
     정답률 : 90%

5. 2매 구성 금형에 포함되지 않은 부품은?
     1. 러너 로크핀
     2. 리턴 핀
     3. 하 밀판
     4. 스페이서 블록

     정답 : []
     정답률 : 68%

6. 고정측 형판과 가동측 형판의 위치결정을 하는 부품은?
     1. 리턴 핀
     2. 로케이트링
     3. 스푸루 로크 핀
     4. 가이드 핀

     정답 : []
     정답률 : 80%

7. 러너리스 시스템에 속하지 않는 것은?
     1. 익스텐션 노즐
     2. 웰타입 노즐
     3. 핫러너 방식
     4. 핀포인트형 노즐

     정답 : []
     정답률 : 75%

8. 나사 붙이 성형품을 빼내는 방식이 아닌것은?
     1. 고정나사 코어 방식
     2. 슬라이드 블록방식
     3. 강제 빼기 방식
     4. 회전 나사 코어·캐비터 방식

     정답 : []
     정답률 : 55%

9. 성형품이 운모와 같이 얇은 층으로 되어서 벗겨지는 현상을 무엇이라 하는가?
     1. 기포
     2. 제팅
     3. 표층 박리
     4. 플로 마크

     정답 : []
     정답률 : 89%

10. 다음 중 열경화성 수지에 해당하는 것은?
     1. 에폭시 수지
     2. 염화비닐 수지
     3. 아크릴 수지
     4. 폴리에틸렌 수지

     정답 : []
     정답률 : 79%

11. 프로그레시브 금형에서 파일럿 핀을 사용하는 목적으로 가장 적당한 것은?
     1. 소재를 눌러주기 위하여
     2. 가공한 스크랩을 떨어 뜨리기 위하여
     3. 소재의 이송위치를 맞추어 주기 위하여
     4. 소재가 넓을 때 움직이지 않도록 하기 위하여

     정답 : []
     정답률 : 90%

12. 블랭크의 직경이 120mm인 블랭크를 직경이 60mm가 되도록 드로잉 하였다. 이때 드로잉의 비는?
     1. 0.4
     2. 0.5
     3. 1
     4. 2

     정답 : []
     정답률 : 82%

13. 다음 프레스 가공 중 압축가공에 속하지 않는 것은?
     1. 코이닝 가공
     2. 헤딩 가공
     3. 노칭 가공
     4. 스웨이징 가공

     정답 : []
     정답률 : 70%

14. 단조 등 압축가공을 하기 위한 목적으로 만들어진 프레스기계는 다움 중 어느 것인가?
     1. 크랭크 프레스
     2. 너클 프레스
     3. 프레스 브레이크
     4. 공압 프레스

     정답 : []
     정답률 : 69%

15. 펀치나 다이에 전단각을 보는 가장 큰 이유는?
     1. 펀치나 다이를 보호하기 위하여
     2. 전단명의 형상을 좋게하기 위하여
     3. 다이에 대하여 펀치의 편심을 방지하기 위하여
     4. 전단하중을 감소시키기 위하여

     정답 : []
     정답률 : 81%

16. 배킹 플레이트에 대한 설명 중 알맞은 것은?
     1. 대형 피어싱 펀치를 고정하기 위한 펀치 고정판이다.
     2. 간접적 파일럿 핀을 고정하기 위한 파일럿 핀 고정판이다.
     3. 성형재료의 안내를 위하여 금형 뒷부분에 붙은 판이다.
     4. 펀치가 펀치홀더로 파들어 가는 것을 막아주는 판이다.

     정답 : []
     정답률 : 81%

17. 프레스금형에서 펀치를 펀치고정판에 고정 시키는 방법이 아닌 것은?
     1. 키에 의한 고정
     2. 용접에 의한 고정
     3. 나사에 의한 고정
     4. 볼트에 의한 고정

     정답 : []
     정답률 : 86%

18. 프레스가공에서 연속작업을 하기 위해 각 단계에서 성형품을 트랜스퍼 피더에 의해 이송시키면서 자동 프레스 작업을 할 수 있도록 한 것은?
     1. 포밍다이
     2. 복합다이
     3. 트렌스퍼다이
     4. 프로그레시브다이

     정답 : []
     정답률 : 77%

19. 판재를 벤딩(bending)가공할 때 생기는 응력의 설명으로 옳은 것은?
     1. 단면 어디에서나 일정한 응력을 받는다.
     2. 중립면에 최대의 압축 응력이 발생한다.
     3. 중립면을 기준으로 굽힘 내측에 압축 응력이 발생 한다.
     4. 중립면을 기준으로 굽힘 압축에 전단 응력이 발생한다.

     정답 : []
     정답률 : 78%

20. 볼 슬라이드 다이세트의 특징을 설명한 것으로 틀린 것은?
     1. 마모가 적고 초기의 정도를 장시간 유지 할 수 있다.
     2. 저속 운전 작업에 적합하다.
     3. 부시와 포스트 사이는 볼 직경보다 약간 작으므로 흔들림이 적고 정도가 요구되는 금형에 사용된다.
     4. 대형 다이세트인 경우 취급이 용이하다.

     정답 : []
     정답률 : 58%

2과목 : 기계가공법 및 안전관리


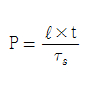
21. 금형용 탄소강 재료를 밀링 커터로 회전수 30rpm으로 가공할 때 이송속도는 몇 mm/min인가? (단, 커터의 날수 12개, 날 1개마다 이송은 0.25mm이다.)
     1. 30
     2. 36
     3. 75
     4. 90

     정답 : []
     정답률 : 70%

22. 드릴링에서 접시머리 나사의 머리부를 묻히게 하기 위하여 원추형의 자리구멍을 내는 작업을 무엇이라 하는가?
     1. 카운터 보링
     2. 스폿 페이싱
     3. 카운터 싱킹
     4. 보링

     정답 : []
     정답률 : 77%

23. 전단강도 32 kgf/mm2 판 두께 1.2mm의 연질탄소강판에 지금 20 mm의 구멍을 펀치로 뚫을 때 필요한 전단력은 약 얼마인가? (단, 전단각이 없는 경우이다.)
     1. 2413 kgf
     2. 2310 kgf
     3. 2215 kgf
     4. 2110 kgf

     정답 : []
     정답률 : 44%

24. 인발 작업에서 지름 5mm의 와이어를 4mm로 만들었을 때 단면 수축율은?
     1. 20%
     2. 30%
     3. 36%
     4. 46%

     정답 : []
     정답률 : 30%

25. 표면은 경도가 높아서 마모나 피로에 잘 견디고 중심부는 강인하여 충격에 의하여 파손되기 어려운 특성이 요구될 때 하는 열처리는?
     1. 뜨임
     2. 불림
     3. 담금질
     4. 표면경화법

     정답 : []
     정답률 : 69%

26. 강을 담금질한 후 재료에 내부 응력을 제거하거나 인성을 주기 위한 목적으로 행하는 열처리는?
     1. 침탄법
     2. 담금질
     3. 뜨임
     4. 질화법

     정답 : []
     정답률 : 89%

27. 탭의 파손 원인이 아닌 것은?
     1. 가공할 구멍이 클 때
     2. 탭 구멍에서 칩 배출이 잘 안될 때
     3. 탭 핸들에 무리한 힘을 주었을 때
     4. 구멍이 너무 작거나 구부러진 경우

     정답 : []
     정답률 : 91%

28. 금형가공에 많이 이용되는 CNC 공작기계로서 자동공구 교환장치(ATC)가 부착되어 있어 여러 가지공구를 필요에 따라서 교환하면서 작업을 진행시키는 공작기계는?
     1. 터릿선반
     2. 지그보링머신
     3. CNC 와이어커팅 머신
     4. 머시닝센터

     정답 : []
     정답률 : 88%

29. CNC 프로그래밍시 G04의 기능은 어느 것인가?
     1. 위치결정기능
     2. 직선보간기능
     3. 드웰기능
     4. 원호보간기능

     정답 : []
     정답률 : 70%

30. 입도가 미세하고 연한 숫돌입자를 낮은 압력으로 공작물 표면에 접촉시켜 매끈하고 높은 정밀도의 표면으로 가공하는 방법은?
     1. 밀링
     2. 슈퍼피니싱
     3. 선반
     4. 머시닝센터

     정답 : []
     정답률 : 94%

31. NC 공작기계에 대한 설명 중 옳지 않은 것은?
     1. Numerical Control 을 줄여서 NC라고 한다.
     2. 수치제어 기계를 말한다.
     3. 기계 작업에 필요한 작업 정보를 수치화하고 이정보를 명령으로 기계를 제어한다.
     4. 정해진 작업을 수동으로 수행시킨다.

     정답 : []
     정답률 : 92%

32. 방전 전극 재료로 적당하지 않는 것은?
     1.
     2. 구리
     3. 그라파이트
     4. 은-텅스텐

     정답 : []
     정답률 : 69%

33. 중량을 및 대형 가공물의 강력절삭에 가장 적합한 밀링은?
     1. 생산형 밀링머신
     2. 수직 밀링머신
     3. 모방 밀링머신
     4. 플레이너형 밀링머신

     정답 : []
     정답률 : 92%

34. 방전 가공시 전극재질의 구비조건이 아닌 것은?
     1. 방전시 안정성이 있을 것
     2. 가공하기가 쉬울 것
     3. 전극 소모가 많을 것
     4. 가공 정밀도가 높을 것

     정답 : []
     정답률 : 93%

35. 서보(servo)기구를 위치 검출 방식에 따라 분류할 때 해당 되지 않는 것은?
     1. 개방 회로 방식
     2. 반개방 회로 방식
     3. 반폐쇄 회로 방식
     4. 폐쇄 회로 방식

     정답 : []
     정답률 : 82%

36. 머시닝센터에서 고정사이클을 취소하는 기능은?
     1. G80
     2. G81
     3. G82
     4. G83

     정답 : []
     정답률 : 82%

37. 금형의 종류는 금형의 구조, 크기, 수량, 가공품의 종료, 성형방법, 재질에 따라 다양하게 분류되는데 플라스틱 금형의 종료가 아닌 것은?
     1. 사출성형 금형
     2. 압출성형 금형
     3. 블로우성형 금형
     4. 폭발성형 금형

     정답 : []
     정답률 : 92%

38. 공작물을 유지하고 지지하며 기계 가공하기 위하여 공작물에 설치하는 특수장치를 무엇이라 하는가?
     1. 바이트
     2. 앤드밀
     3. 단동척
     4. 지그

     정답 : []
     정답률 : 62%

39. 회천하는 상자에 공작물과, 숫돌입자, 공작액, 콤파운드 등을 함께 넣어 공작물의 표면 요절이나 버(burr)를 제거하는 가공법은?
     1. 슈퍼피니싱
     2. 액채호닝
     3. 밀링가공
     4. 베럴가공

     정답 : []
     정답률 : 79%

40. 프레스 가공의 분류 방법 중에서 전단가공이 아닌 것은?
     1. 트리밍
     2. 블랭킹
     3. 피어싱
     4. 엠보싱

     정답 : []
     정답률 : 82%

41. 다음 중 탄소강의 표준 조직이 아닌 것은?
     1. 오스테나이트
     2. 시멘나이트
     3. 펄라이트
     4. 아텐자이트

     정답 : []
     정답률 : 77%

42. 다음 재료 중 기계구조용 탄소강을 나타낸 것은?
     1. STS4
     2. STC4
     3. SM45C
     4. STD11

     정답 : []
     정답률 : 64%

43. 다음 중 플라스틱 재료의 일반적 특성이다. 틀린 것은?
     1. 색상이 다양하다.
     2. 내식성이 우수하다.
     3. 내열성이 우수하다.
     4. 절연성이 우수하다.

     정답 : []
     정답률 : 76%
     <문제 해설>
플라스틱 재료의 일반적인 특성
1. 비중이 낮다.
2. 내식성이 크다.
3. 완충성이 크다.
4. 자기 윤활성이 풍부하다.
5. 성형성이 우수하다.
6. 착색이 자유롭다.
7. 재질의 개량이 가능하다.
8. 저내열성이다.
9. 수축으로 인해 치수가 불안정하다.
10. 강도가 낮다.
11. 내구성이 약하다.
[해설작성자 : 귀염둥이]

44. 다음 중 세라믹 공구의 주성분은 어느 것인가?
     1. Cr2O3
     2. Al2O3
     3. MgO2
     4. Cu3O

     정답 : []
     정답률 : 80%

45. 알루미늄(Al)합금의 특징을 잘못 설명한 것은?
     1. 가볍고 전연성이 좋아 성형 가공이 용이하다.
     2. 우수한 전기 및 열의 양도체이다.
     3. 용융점이 1083°C 로 고온가공성이 높다.
     4. 대기 중에서는 일반적으로 내식성이 양호하다.

     정답 : []
     정답률 : 62%

46. 다음 중 초경합금 금형의 특성이 아닌 것은?
     1. 경도가 높다.
     2. 마찰계수가 크다.
     3. 내 소착성이 높다.
     4. 강도가 크다.

     정답 : []
     정답률 : 70%

47. 금형재료가 반드시 가져야 하는 특성이 아닌 것은?
     1. 높은 내마모성
     2. 높은 열팽창계수
     3. 용이한 가공성
     4. 높은 인성

     정답 : []
     정답률 : 74%

48. 다음 중 경금속으로 보기 어려운 것은?
     1. 알루미늄
     2. 마그네슘
     3. 백금
     4. 티타늄

     정답 : []
     정답률 : 65%

49. 다음 중 내식성이 가장 높고 비자성체인 스테인리스강은?
     1. 페라이트계 스테인리스강
     2. 석출경화형 스테인리스강
     3. 오스테나이트계 스테인리스강
     4. 마텐자이트계 스테인리스강

     정답 : []
     정답률 : 60%

50. 강의 표면 경화법 중 담금질이 필수적인 밥법은?
     1. 침탄법
     2. 질화법
     3. 화염경화법
     4. 고주파경화법

     정답 : []
     정답률 : 56%

51. 정밀측정의 디지털(digital)화에 관한 일반적인 설명 중 올바른 것은?
     1. 개인차에 따른 측정 오차가 제거된다.
     2. 정보의 전송은 쉬우나 연살할 때 오차가 크다.
     3. 읽음과 기록은 간단하나, 측정하는 시간이 많이 소요 된다.
     4. 측정의 다중화 작업이 어렵다.

     정답 : []
     정답률 : 73%

52. 다음 중 오차가 의미하는 것은?
     1. 측정치에서 참값을 뺀 값
     2. 측정치의 모평균에서 참값을 뺀 값
     3. 추정한 종합오차의 한계 값
     4. 측정치의 크기가 고르지 못한 것 또는 고르지 못한 정도

     정답 : []
     정답률 : 71%

53. 버니아캘리퍼스에서 일반적으로 아들자의 한 눈의 어미자의 n-1개의 눈금을 n 등분한 것이다. 어미자의 한 눈금간격이 A이라면 이 버니아로 읽을 수 있는 최소 측정치는?
     1. A / n
     2. A / (n-1)
     3. (n+1)A / n
     4. nA / (n-1)

     정답 : []
     정답률 : 46%

54. 오토클리메이터와 함께 원주 눈금의 정도를 확인하는 데 가장 적합한 것은?
     1. 분할판(index plate)
     2. 폴리곤 프리즘(polygon prism)
     3. N.P.L각도 게이지
     4. 클리노 미터

     정답 : []
     정답률 : 66%

55. 다음 중 각도측정기가 아닌 것은?
     1. 공구 현미경
     2. 실린더 게이지
     3. 오토콜리메이터
     4. 콤비네이션 세트

     정답 : []
     정답률 : 68%

56. 원통의 바깥지름 반경법에 의한 진원도의 측정에 사용될 수 없는 것은?
     1. 양 센터와 측미기
     2. 양 센터와 다이얼 게이지
     3. 외측 마이크로미터
     4. 진원도 측정기

     정답 : []
     정답률 : 58%

57. 60° 미터 나사의 삼침법에 의한 나사 측정시 최적선경을 구하는 공식 중 오차가 가장 작은 것은? (단, P : 나사의 피치, α : 나사산의 반각)
     1. P / (2 cos )
     2. P / (2 sin )
     3. 0.866025 P
     4. 1.7326 P

     정답 : []
     정답률 : 57%

58. 게이지 블록 (qauge block) 측정면의 밀착상태 및 돌기 유무를 알아보기 위한 측정기로 가장 적합한 것은?
     1. 공구 현미경
     2. 옵티컬 플랫 (optical flat)
     3. 투영기
     4. 오토 콜리메이터(auto collimator)

     정답 : []
     정답률 : 64%

59. 다음 중 외경, 내경 깊이를 모두 측정 할 수 있는 측정기는?
     1. 버니어 캘리퍼스
     2. 다이얼 게이지
     3. 하이트 게이지
     4. 마이크로미터

     정답 : []
     정답률 : 84%

60. 게이지 블록 400mm와 조오를 홀더에 넣고 20kgf으로 고정할 때 변형량은? (단, 게이지 블록의 단면은 35 × 9mm, 세로탄성계수 E 는 2.1 × 104 kgf/mm2 이다)
     1. 1.2μm
     2. 1.5μm
     3. 2.0μm
     4. 2.5μm

     정답 : []
     정답률 : 40%


정 답 지

1

2

3

4

5

6

7

8

9

10

11

12

13

14

15

16

17

18

19

20

21

22

23

24

25

26

27

28

29

30

31

32

33

34

35

36

37

38

39

40

41

42

43

44

45

46

47

48

49

50

51

52

53

54

55

56

57

58

59

60

사출(프레스)금형산업기사 필기 기출문제(해설) 및 CBT 2007년08월05일을 이용해 주셔서 감사합니다.
, 필기, 기출문제, 전자문제집, CBT, 온라인, 모의테스트, 모의고사



List of Articles
번호 제목 글쓴이 날짜 조회 수
7057 사출(프레스)금형산업기사 필기 기출문제(해설) 및 CBT 2002년03월10일(3920) 좋은아빠되기 2025.11.25 1
7056 사출(프레스)금형산업기사 필기 기출문제(해설) 및 CBT 2002년05월26일(3921) 좋은아빠되기 2025.11.25 1
7055 사출(프레스)금형산업기사 필기 기출문제(해설) 및 CBT 2002년08월11일(3922) 좋은아빠되기 2025.11.25 1
7054 사출(프레스)금형산업기사 필기 기출문제(해설) 및 CBT 2002년09월08일(3923) 좋은아빠되기 2025.11.25 2
7053 사출(프레스)금형산업기사 필기 기출문제(해설) 및 CBT 2003년03월16일(3924) 좋은아빠되기 2025.11.25 1
7052 사출(프레스)금형산업기사 필기 기출문제(해설) 및 CBT 2003년05월25일(3925) 좋은아빠되기 2025.11.25 1
7051 사출(프레스)금형산업기사 필기 기출문제(해설) 및 CBT 2003년08월10일(3926) 좋은아빠되기 2025.11.25 1
7050 사출(프레스)금형산업기사 필기 기출문제(해설) 및 CBT 2003년08월31일(3927) 좋은아빠되기 2025.11.25 0
7049 사출(프레스)금형산업기사 필기 기출문제(해설) 및 CBT 2004년03월07일(3928) 좋은아빠되기 2025.11.25 1
7048 사출(프레스)금형산업기사 필기 기출문제(해설) 및 CBT 2004년05월23일(3929) 좋은아빠되기 2025.11.25 1
7047 사출(프레스)금형산업기사 필기 기출문제(해설) 및 CBT 2004년08월08일(3930) 좋은아빠되기 2025.11.25 1
7046 사출(프레스)금형산업기사 필기 기출문제(해설) 및 CBT 2004년09월05일(3931) 좋은아빠되기 2025.11.25 2
7045 사출(프레스)금형산업기사 필기 기출문제(해설) 및 CBT 2005년03월06일(3932) 좋은아빠되기 2025.11.25 1
7044 사출(프레스)금형산업기사 필기 기출문제(해설) 및 CBT 2005년03월20일(3933) 좋은아빠되기 2025.11.25 1
7043 사출(프레스)금형산업기사 필기 기출문제(해설) 및 CBT 2005년05월29일(3934) 좋은아빠되기 2025.11.25 1
7042 사출(프레스)금형산업기사 필기 기출문제(해설) 및 CBT 2006년05월14일(3935) 좋은아빠되기 2025.11.25 2
7041 사출(프레스)금형산업기사 필기 기출문제(해설) 및 CBT 2006년08월06일(3936) 좋은아빠되기 2025.11.25 1
7040 사출(프레스)금형산업기사 필기 기출문제(해설) 및 CBT 2007년05월13일(3937) 좋은아빠되기 2025.11.25 1
» 사출(프레스)금형산업기사 필기 기출문제(해설) 및 CBT 2007년08월05일(3938) 좋은아빠되기 2025.11.25 1
7038 사출(프레스)금형산업기사 필기 기출문제(해설) 및 CBT 2008년03월02일(3939) 좋은아빠되기 2025.11.25 2
Board Pagination Prev 1 ... 549 550 551 552 553 554 555 556 557 558 ... 906 Next
/ 906