자격증 필기 기출문제



정보기기운용기능사 필기 기출문제(해설) 및 CBT 2001년10월14일(5회)(4319)

최강 자격증 기출문제 전자문제집 CBT : www.comcbt.com


전자문제집 CBT란?

종이 문제집이 아닌 인터넷으로 문제를 풀고 자동으로 채점하며 모의고사, 오답 노트, 해설까지 제공하는
무료 기출문제 학습 프로그램으로 실제 상설검정에서 사용하는 OMR 형식의 CBT를 제공합니다.


최신 정보기기운용기능사 필기 기출문제 : [다운로드]

1과목 : 전산 기초 이론


1. 다음 중 디지털량은?
     가. 연필의 개수
     나. 온도의 변화
     다. 시간의 흐름
     라. 식물의 성장

     정답 : []
     정답률 : 70%
     <문제 해설>
디지털량은 불연속이며 아날로그량은 연속입니다.
온도는 1.5도가 있지만
연필의량은 1개 2개 3개 이런식으로 존재하지 1.5개는 존재하지 않습니다.

2. 다음 기억장치 중에서 데이터의 처리속도가 가장 빠른 것은?
     가. 자기 디스크
     나. 자기 코어
     다. 자기 테이프
     라. 자기 드럼

     정답 : []
     정답률 : 56%

3. 전자계산기의 장치 중 주기억장치에 기억된 프로그램을 차례로 읽어 그 내용을 해독하고, 해독된 의미에 따라 필요 장치에 신호를 보내어 작동시키며, 그 결과를 검사하는 역할을 하는 장치는?
     가. 제어 장치
     나. 주기억 장치
     다. 연산 장치
     라. 보조 기억 장치

     정답 : []
     정답률 : 63%

4. 십진수 9를 2진수로 변환하면?
     가. 1001
     나. 1010
     다. 0111
     라. 1011

     정답 : []
     정답률 : 81%
     <문제 해설>
8 4 2 1 쓴다.
1 0 0 1 9가 되는 곳에 1을 쓰고 나머지 0을 쓰면 2진수로 바로 바뀜

5. 다음 스위칭 회로(switching circuit)를 논리식으로 표현한 것은?

   

     가. A(B + C)
     나. A + BC
     다. ABC
     라. A + B + C

     정답 : []
     정답률 : 69%

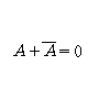
6. 드모르강(De Morgans)의 정리에 해당되는 식은?
     가.
     나.
     다.
     라.

     정답 : []
     정답률 : 82%

7. 오퍼레이팅 시스템(operating system)에서 제어 프로그램에 해당되지 않는 것은?
     가. 감시 프로그램
     나. 언어 번역 프로그램
     다. 데이터 관리 프로그램
     라. 작업 관리 프로그램

     정답 : []
     정답률 : 81%

8. 명령어로서 니모닉 코드(mnemonic code)를 사용하는 프로그램 언어는?
     가. 기계어(Machine Language)
     나. 코볼(Cobol)
     다. 어셈블리어(Assembly Language)
     라. 포트란(Fortran)

     정답 : []
     정답률 : 66%

9. 다음의 기억장치중에서 순차적(SEQUENTIAL) 호출로만 쓸 수 있는 장치는?
     가. 자기드럼(Magnetic Drum)장치
     나. 자기 디스크(Magnetic Disk)장치
     다. 데이터 셀(Date Cell)
     라. 자기 테이프(Magnetic Tape)장치

     정답 : []
     정답률 : 75%

10. 다음 순서도 기호 중 비교·판단 기호는?
     가.
     나.
     다.
     라.

     정답 : []
     정답률 : 90%

2과목 : 정보 기기 운용


11. 도체에 5[A]의 전류가 1분간 흘렀다. 이때 도체를 통과한 전기량은 얼마인가?
     가. 30[C]
     나. 50[C]
     다. 300[C]
     라. 5[C]

     정답 : []
     정답률 : 78%

12. 팩시밀리의 통신방식중 기능별 구성 요소와 관계 없는 것은?
     가. 주사의 조건
     나. 동기유지의 조건
     다. 자동송신기의 조건
     라. 광전변환의 조건

     정답 : []
     정답률 : 52%

13. 다음 출력 방법 중 충격식 프린터(Impact printer)에 속하는 것은?
     가. 데이지 휠 프린터
     나. 잉크 젯 프린터
     다. 레이저 프린터
     라. 열전사 프린터

     정답 : []
     정답률 : 79%

14. 정보에 대응해서 변조된 레이저빔을 이용하여 매체면 위에 기록하고, 재생시에는 기록시보다 약한 레이저빔을 조사해서 정보를 읽어내는 장치는?
     가. 자기디스크 장치
     나. 마이크로필름 장치
     다. 광 디스크 장치
     라. 비디오 자기파일 장치

     정답 : []
     정답률 : 68%

15. 비디오 텍스에서 도형 및 숫자등을 구성하는 방식이 아닌 것은?
     가. 반 이중 방식
     나. 모자이크 방식
     다. 지오 메트릭 방식
     라. 포토 그래픽 방식

     정답 : []
     정답률 : 71%

16. 다음 중 콘덴서의 기호는?
     가.
     나.
     다.
     라.

     정답 : []
     정답률 : 72%

17. 다음 중 출력 장치가 될 수 있는 것은?
     가. 라이트 펜
     나. 디지타이저
     다. CRT 장치
     라. 바코드 판독기

     정답 : []
     정답률 : 69%

18. 다음 중 전자계산기실의 조명 기준으로 가장 적합한 룩스(Lux)는?
     가. 500
     나. 50
     다. 2000
     라. 1000

     정답 : []
     정답률 : 83%

19. 다음 중 다이얼의 3요소가 아닌 것은?
     가. 메이크 욜
     나. 시간 조절기
     다. 임펄스 속도
     라. 최소휴지시간

     정답 : []
     정답률 : 58%

20. 디지털 신호와 아날로그 신호를 서로 변환하는 장치는?
     가. 단말기
     나. 전화기
     다. 모뎀
     라. 중앙제어기

     정답 : []
     정답률 : 86%

21. 200[V]를 가하여 10[A]가 흐르는 직류전동기를 2시간동안 사용할 때 전력량은 얼마인가?
     가. 2 [KWh]
     나. 5 [KWh]
     다. 4 [KWh]
     라. 8 [KWh]

     정답 : []
     정답률 : 60%
     <문제 해설>
W=Pt이고 P=VI이기 때문에
P=2000,t=2
단위가 KWh이기 때문에 답은
4[KWh]
[해설작성자 : 인마고 학생]

22. 텔레텍스트(teletext)의 기본 기능이 아닌 것은?
     가. 프로그램 송출기능
     나. 취재정보 수집기능
     다. 화상정보 전송
     라. 신호 전송기능

     정답 : []
     정답률 : 49%

23. 1[Ω]의 저항 10개를 직렬접속했을 때의 합성저항을 병렬접속했을 때와 비교하면?
     가. 직렬로 접속하면 저항은 100배 작다.
     나. 직렬로 접속하면 저항은 10배 작다.
     다. 직렬로 접속하면 저항은 10배 크다.
     라. 직렬로 접속하면 저항은 100배 크다.

     정답 : []
     정답률 : 52%

24. 마이크로 소프트사의 엑셀에만 걸리는 전용 바이러스는?
     가. 전갈 바이러스
     나. 매크로 바이러스
     다. CIH 바이러스
     라. 예루살렘 바이러스

     정답 : []
     정답률 : 75%

25. 정보기기 관련 시설에 대한 화재 발생시 사용할 수 있는 소화기로 가장 적당한 것은?
     가. 프레온 가스소화기
     나. 스프링쿨러
     다. 이산화탄소 소화기
     라. ABC 분말소화기

     정답 : []
     정답률 : 87%

26. 바이러스의 예방책으로 볼 수 없는 것은?
     가. 부팅용 디스켓은 반드시 write protect(쓰기 금지)를 시킨다.
     나. 부팅과 동시에 메모리 상주용 바이러스감시 프로그램을 실행한다.
     다. 무료 프로그램은 가능한 여러가지 백신프로그램으로 사전 검사후 사용한다.
     라. 중요 프로그램이나 자료는 하드디스크에 보관한다.

     정답 : []
     정답률 : 68%

27. 전지(cell)의 종류는 크게 1차 전지와 2차 전지로 나눌 수 있다. 1차 전지와 2차 전지를 구분하는 가장 큰 특징은 무엇인가?
     가. 전지의 크기
     나. 전지의 연결 방법
     다. 전지의 재사용 여부
     라. 축전지의 저장 용량

     정답 : []
     정답률 : 85%

28. 컴퓨터 바이러스의 감염 경로로 올바르지 않은 것은?
     가. 인터넷 등에 의한 전파
     나. 살아있는 생물처럼 공기로도 감염
     다. 프로그램 불법 복사
     라. 다수의 사람이 공용으로 사용할 경우

     정답 : []
     정답률 : 92%

29. 송화기로부터 전송된 전기 신호를 본래의 음성으로 복원시켜주는 장치는?
     가. 송화기
     나. 수화기
     다. 패킷 교환기
     라. 음성 변복조기

     정답 : []
     정답률 : 68%

30. 자기 잉크를 사용하여 문자를 나타내는 방법으로 은행의 수표 처리 등에 널리 이용되는 입력 매체는?
     가. BAR CODE
     나. OMR
     다. OCR
     라. MICR

     정답 : []
     정답률 : 73%

3과목 : 정보 통신 일반


31. 데이터통신의 특징으로 적합하지 않은 것은?
     가. 시간이나 회수에 관계없이 같은 내용을 반복하여 전송할 수 있다.
     나. 시스템의 신뢰도가 높다.
     다. 광대역 전송이 곤란하다.
     라. 고도의 에러제어방식이 요구된다.

     정답 : []
     정답률 : 75%

32. PCM 통신방식의 장점이 아닌 것은?
     가. 잡음에 강하다.
     나. 누화에 강하다.
     다. 전송 레벨 변동이 없다.
     라. 점유 주파수 대폭이 크다.

     정답 : []
     정답률 : 47%

33. ITU-1 X 시리즈 권고안 중 공중데이터 네트워크에서 패킷형 터미널을 위한 DCE 사이의 접속 규격은?
     가. X.3
     나. X.40
     다. X.21
     라. X.25

     정답 : []
     정답률 : 75%

34. 데이터통신의 교환방식으로 분류할 때 해당되지 않는 것은?
     가. 메시지교환방식
     나. 패킷교환방식
     다. 메모리교환방식
     라. 회선교환방식

     정답 : []
     정답률 : 70%

35. 다음 문장의 빈칸 안에 적합한 용어는?

    

     가. SOH, STX, ETX
     나. SOH, ETX, ETB
     다. ACK, ETX, EOT
     라. ENQ, ACK, NAK

     정답 : []
     정답률 : 58%

36. 다음 중 유선계 뉴미디어로 보기에 거리가 먼 것은?
     가. 비디오텍스
     나. 문자다중방송
     다. 전자우편
     라. CATV

     정답 : []
     정답률 : 50%

37. 데이터통신에 이용되는 단말기(Terminal)의 종류에 속하지 않는 것은?
     가. 비디오 CRT(Video CRT) 단말기
     나. 텔리프린터(Tele Printer) 단말기
     다. AM/FM 라디오(Radio) 단말기
     라. RJE(Remote job entry) 단말기

     정답 : []
     정답률 : 53%

38. 정보가 사회의 중요한 자원이 되며 중요한 활동으로 평가되는 사회는?
     가. 산업사회
     나. 농경사회
     다. 정보사회
     라. 공업사회

     정답 : []
     정답률 : 91%

39. 다음 중 가장 최초로 쓰여진 통신선로로서 전주에 가설하여 이용했던 것은?
     가. 광통신케이블
     나. 가공 나선
     다. PE 국내케이블
     라. 동축케이블

     정답 : []
     정답률 : 59%

40. 정보가 축적된 데이터베이스로부터 TV 수신기와 전화의 연결에 의한 정보서비스로 전화선을 이용하여 각종 정보검색을 할 수 있는 화상정보시스템은?
     가. 근거리지역통신망(LAN)
     나. 텔리텍스트(Teletext)
     다. 비디오텍스(Videotex)
     라. 유선종합방송(CATV)

     정답 : []
     정답률 : 63%

41. 통신속도 보오[baud]에 관한 설명으로 맞는 것은?
     가. 1초간 수신한 정지 펄스의 비
     나. 1분간의 송신 자수
     다. 1초간 송출한 최단 펄스의 비
     라. 1초간의 송신 자수

     정답 : []
     정답률 : 67%

42. 음의 재생과정에서 전화기의 수화값에 있는 진동판의 진동폭이 커지면 감도는?
     가. 일정하다
     나. 낮아진다.
     다. 주기적으로 변한다
     라. 높아진다.

     정답 : []
     정답률 : 46%

43. 다음 중 디지털 동화상을 압축하는 기술기법은?
     가. MPEG
     나. Hypertext
     다. FPLMTS
     라. PCS

     정답 : []
     정답률 : 84%

44. LAN의 특징과는 거리가 먼 것은?
     가. 정보처리기기의 재배치 및 확장성이 뛰어나다.
     나. 경로 선택이 필요하다.
     다. 광대역 전송매체의 사용으로 고속통신이 가능하다.
     라. 종합적인 정보전송이 가능하다.

     정답 : []
     정답률 : 54%

45. 데이터통신의 이용형태 중 생활정보와 밀접하지 않은 것은?
     가. 거래처리(Transaction Processing)
     나. 질의응답(Inqulry/Response)
     다. 공정제어(Process Control)
     라. 원격처리(Remote Processing)

     정답 : []
     정답률 : 48%

46. 다음 중 4선식회선이 필요한 전송방식은?
     가. 전이중통신
     나. 단향통신
     다. 반이중통신
     라. 이동통신

     정답 : []
     정답률 : 81%

47. 광케이블의 기본적인 구조는?
     가. 유리관과 폼스킨
     나. 코어와 글래딩
     다. 철선과 고무절연물
     라. 동선과 PE피복

     정답 : []
     정답률 : 79%

48. 모든 정보가 적어도 두 번은 전송되어야 하는 방식은?
     가. 루프 혹은 에코우 검사
     나. 에러의 무시
     다. 검출후 재전송
     라. 전진에러수정

     정답 : []
     정답률 : 37%

49. RS-232 C 25 Pin 컨넥터의 송신(TXD)과 수신(RXD)의 핀번호는?
     가. 7, 8
     나. 15, 16
     다. 20, 22
     라. 2, 3

     정답 : []
     정답률 : 81%

50. 통신시스템을 구성하는 다음 요소들 중 일반적으로 고장 발생률(에러율)이 가장 낮은 것은?
     가. 입·출력 장치
     나. 통신회선
     다. 중앙처리장치
     라. 운용자

     정답 : []
     정답률 : 49%

51. 다음 전기통신의 관장에 대한 설명 중 적합하지 않은 것은?
     가. 우리나라의 모든 전기통신에 관한 사항은 정보통신부장관이 관장한다.
     나. 전기통신에 관한 정부시책은 정보통신부장관이 마련한다.
     다. 다른 법률의 특별한 규정을 제외하고는 전기통신기본법에 근거를 둔다.
     라. 통신행정의 주관청은 정보통신장관이다.

     정답 : []
     정답률 : 59%

52. 전기통신기본법의 제정 목적에 벗어나는 것은?
     가. 전기통신의 효율적관리
     나. 이용자의 편의도모
     다. 전기통신의 발전촉진
     라. 공공복리의 증진

     정답 : []
     정답률 : 52%

53. 통신사업자가 통신역무 제공시 의무원칙에 관한 사항으로 볼 수 없는 것은?
     가. 정당한 사유없이 역무제공을 거부하여서는 아니된다.
     나. 요금은 그 역무를 공평, 저렴하게 받을 수 있도록 결정되어야 한다.
     다. 역무의 제공시 국가의 보위 및 안보에 관한 통신보안 규제를 홍보하도록 한다.
     라. 업무처리시 공정, 신속, 정확을 기하여야 한다.

     정답 : []
     정답률 : 67%

54. 정보통신서비스 제공자의 준수사항으로 적절하지 않은 것은?
     가. 국가의 경제발전에 유해가 되는 행위를 하여서는 아니된다.
     나. 수신자의 의사에 반하여 영리목적의 광고성 정보를 전송하여도 무방하다.
     다. 공공의 미풍양속을 해치는 행위를 하여서는 아니된다.
     라. 국가의 안전을 위태롭게 하는 행위를 하여서는 아니된다.

     정답 : []
     정답률 : 81%

55. 전기통신사업자가 아닌 것은?
     가. 일반통신사업자
     나. 기간통신사업자
     다. 부가통신사업자
     라. 별정통신사업자

     정답 : []
     정답률 : 80%

56. 통신회선의 신뢰성에 관한 사항 중 정상 열화 요인이 아닌 것은?
     가. 위상 지터
     나. 군지연 왜곡
     다. 랜덤 잡음
     라. 펄스성 잡음

     정답 : []
     정답률 : 39%

57. 다음 설명 중 틀린 것은?
     가. 절대레벨 단위는 dBm이다.
     나. 고주파라 함은 3400Hz 미만의 주파수를 말한다.
     다. 저주파라 함은 300Hz 미만의 주파수를 말한다.
     라. 음성주파수라 함은 300Hz 이상 3400Hz 이하의 주파수를 말한다.

     정답 : []
     정답률 : 63%

58. 기간통신사업자 및 부가통신사업자의 교환설비로부터 이용자 전기통신설비의 최초 단자에 이르기까지의 사이에 구성되는 회선을 무엇이라 하는가?
     가. 국선
     나. 구내선
     다. 중계선
     라. 가입자선

     정답 : []
     정답률 : 68%

59. 전기통신장비의 형식승인 유효기간은 몇 년인가?
     가. 7년
     나. 5년
     다. 3년
     라. 10년

     정답 : []
     정답률 : 55%

60. 다음 중 전자문서의 도달시기로 옳은 것은?
     가. 발신자의 컴퓨터 파일에 전자문서가 기록된 때
     나. 발신자가 전자문서를 작성한 때
     다. 수신자 컴퓨터의 전자문서를 읽은 때
     라. 수신자의 컴퓨터 파일에 전자문서가 기록된 때

     정답 : []
     정답률 : 60%


정 답 지

1

2

3

4

5

6

7

8

9

10

11

12

13

14

15

16

17

18

19

20

21

22

23

24

25

26

27

28

29

30

31

32

33

34

35

36

37

38

39

40

41

42

43

44

45

46

47

48

49

50

51

52

53

54

55

56

57

58

59

60

정보기기운용기능사 필기 기출문제(해설) 및 CBT 2001년10월14일(5회)을 이용해 주셔서 감사합니다.
정보기기운용기능사, 기출문제, 정보기기, 기능사, 필기, 기출문제, 전자문제집, CBT, 온라인, 모의테스트, 모의고사



List of Articles
번호 제목 글쓴이 날짜 조회 수
9227 정보기기운용기능사 필기 기출문제(해설) 및 CBT 2001년01월21일(1회)(4316) 좋은아빠되기 2025.11.25 2
9226 정보기기운용기능사 필기 기출문제(해설) 및 CBT 2001년04월29일(2회)(4317) 좋은아빠되기 2025.11.25 2
9225 정보기기운용기능사 필기 기출문제(해설) 및 CBT 2001년07월22일(4회)(4318) 좋은아빠되기 2025.11.25 1
» 정보기기운용기능사 필기 기출문제(해설) 및 CBT 2001년10월14일(5회)(4319) 좋은아빠되기 2025.11.25 3
9223 정보기기운용기능사 필기 기출문제(해설) 및 CBT 2002년01월27일(1회)(4320) 좋은아빠되기 2025.11.25 0
9222 정보기기운용기능사 필기 기출문제(해설) 및 CBT 2002년04월07일(2회)(4321) 좋은아빠되기 2025.11.25 2
9221 정보기기운용기능사 필기 기출문제(해설) 및 CBT 2002년07월21일(4회)(4322) 좋은아빠되기 2025.11.25 1
9220 정보기기운용기능사 필기 기출문제(해설) 및 CBT 2002년10월06일(5회)(4323) 좋은아빠되기 2025.11.25 3
9219 정보기기운용기능사 필기 기출문제(해설) 및 CBT 2003년01월26일(1회)(4324) 좋은아빠되기 2025.11.25 2
9218 정보기기운용기능사 필기 기출문제(해설) 및 CBT 2003년03월30일(2회)(4325) 좋은아빠되기 2025.11.25 3
9217 정보기기운용기능사 필기 기출문제(해설) 및 CBT 2003년07월20일(4회)(4326) 좋은아빠되기 2025.11.25 1
9216 정보기기운용기능사 필기 기출문제(해설) 및 CBT 2003년10월05일(5회)(4327) 좋은아빠되기 2025.11.25 3
9215 정보기기운용기능사 필기 기출문제(해설) 및 CBT 2004년02월01일(1회)(4328) 좋은아빠되기 2025.11.25 3
9214 정보기기운용기능사 필기 기출문제(해설) 및 CBT 2004년04월04일(2회)(4329) 좋은아빠되기 2025.11.25 2
9213 정보기기운용기능사 필기 기출문제(해설) 및 CBT 2004년07월18일(4회)(4330) 좋은아빠되기 2025.11.25 1
9212 정보기기운용기능사 필기 기출문제(해설) 및 CBT 2004년10월10일(5회)(4331) 좋은아빠되기 2025.11.25 2
9211 정보기기운용기능사 필기 기출문제(해설) 및 CBT 2005년01월30일(1회)(4332) 좋은아빠되기 2025.11.25 2
9210 정보기기운용기능사 필기 기출문제(해설) 및 CBT 2005년04월03일(2회)(4333) 좋은아빠되기 2025.11.25 2
9209 정보기기운용기능사 필기 기출문제(해설) 및 CBT 2005년07월17일(4회)(4334) 좋은아빠되기 2025.11.25 1
9208 정보기기운용기능사 필기 기출문제(해설) 및 CBT 2005년10월02일(5회)(4335) 좋은아빠되기 2025.11.25 2
Board Pagination Prev 1 ... 568 569 570 571 572 573 574 575 576 577 ... 1034 Next
/ 1034