자격증 필기 기출문제



정보기기운용기능사 필기 기출문제(해설) 및 CBT 2002년01월27일(1회)(4320)

최강 자격증 기출문제 전자문제집 CBT : www.comcbt.com


전자문제집 CBT란?

종이 문제집이 아닌 인터넷으로 문제를 풀고 자동으로 채점하며 모의고사, 오답 노트, 해설까지 제공하는
무료 기출문제 학습 프로그램으로 실제 상설검정에서 사용하는 OMR 형식의 CBT를 제공합니다.


최신 정보기기운용기능사 필기 기출문제 : [다운로드]

1과목 : 전산 기초 이론


1. Computer에서의 세대라는 말은 제작년대가 아닌 변화된 Computer의 주구성 요소가 분류의 기준이 된다. 이러한 Computer의 주구성 요소가 발달한 순서대로 정리된 항을 고르시오.
     가. Transistor-진공관-집적회로
     나. 집적회로-진공관-Transistor
     다. 진공관-Transistor-집적회로
     라. 진공관-집적회로-Transistor

     정답 : []
     정답률 : 87%
     <문제 해설>
1세대:진공관
2세대:트랜지스터
3세대:집적회로(IC)
4세대:고밀도집적회로(LSI)
5세대:초고밀도집적회로(VLSI)

2. 입·출력장치의 작용을 제어는 하지만 직접 데이터를 읽거나 쓰거나 하지 않는 장치는?
     가. 제어장치
     나. 기억장치
     다. 입·출력장치
     라. 단말장치

     정답 : []
     정답률 : 66%

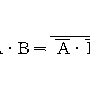
3. 다음 불 대수(Boolean Algebra)의 기본공식에서 틀린 것은?
     가. X·1=X
     나. X·X=X
     다. X+X=X
     라. X+1=X

     정답 : []
     정답률 : 70%
     <문제 해설>
X+1=1

4. 오퍼레이팅 시스템(Operating System)의 대표적인 기능이 아닌 것은?
     가. 기억장치와 입·출력장치 등의 시스템 구성요소의 관리
     나. 프로그램의 집행을 감독하고 통제하는 일
     다. 입·출력장치의 통제
     라. 코볼, FORTRAN 등 원시 프로그램의 번역

     정답 : []
     정답률 : 69%
     <문제 해설>
운영체제는 감시,관리,감독하는 것이므로 번역은 해당이 되지않겠지요^^

5. 출력장치로만 사용되는 것은?
     가. 라인 프린터(Line Printer)
     나. 테이프(Tape)
     다. 콘솔(Console)
     라. 카드(Card)

     정답 : []
     정답률 : 88%
     <문제 해설>
라인프린터 : 미리 만들어진 활자로 한 줄을 만들어 줄 단위로    잉크 리본을 때려서 인쇄하는 방식으로 드럼식과 체인식 으로 구성됨
[해설작성자 : T-ARA지연]

6. 데이터의 표현에서 한 바이트(Byte)는 몇 비트(Bit)를 뜻하는가?
     가. 5Bits
     나. 8Bits
     다. 6Bits
     라. 7Bits

     정답 : []
     정답률 : 80%

7. 그림의 4변수의 카르노 도표(Karnaugh Map)에서 배열되어야 할 변수는?

   

     가.
     나.
     다.
     라.

     정답 : []
     정답률 : 75%

8. FLOW CHART를 작성하는 이유로 적당치 않은 것은?
     가. ERROR 수정이 용이하다.
     나. 프로그램의 인계인수가 용이하다.
     다. MEMORY가 절약된다.
     라. 처리절차를 일목요연하게 한다.

     정답 : []
     정답률 : 67%
     <문제 해설>
순서도 작성에따른 MEMORY 절약은 없습니다.

9. I/O장치와 주기억장치를 연결하는 중계 역할을 담당하는 부분은?
     가. Device
     나. Bus
     다. Channel
     라. Interrupt

     정답 : []
     정답률 : 64%

10. 컴퓨터에 의한 데이터 처리 방식과 가장 거리가 먼 것은?
     가. 온라인 처리
     나. 리얼타임 처리
     다. 팩시밀리 처리
     라. 배치 처리

     정답 : []
     정답률 : 70%

2과목 : 정보 기기 운용


11. 컴퓨터 바이러스가 주는 피해양상 중 틀린 것은?
     가. 프로그램
     나. 데이터
     다. 운영체제
     라. 주변장치

     정답 : []
     정답률 : 78%
     <문제 해설>
주변 장치는 하드웨어 장치이기 때문에 나머지 소프트웨어랑 피해양상이 다르다고 생각하시면 됩니다.
[해설작성자 : comcbt.com 이용자]

12. 다음 중 컴퓨터의 입·출력장치들만 모은 것은?
     가. 광학문자판독기, 디스크, 테이프, 다이오드
     나. 카드리더, 라인프린터, 레지스터, 콘-솔
     다. 모뎀, 인터페이스 카드, 다중화기, 롬
     라. 카드리더, 테이프, 마우스, 라인프린터

     정답 : []
     정답률 : 73%
     <문제 해설>
컴퓨터의 입-출력장치에는 키보드, 마우스, 스캐너, 광학 마크 판독기, 광학 문자 판독기, 자기 문자 판독기, 카드 판독기, 라이트 펜, 조이스틱 등등이 있습니다. 따로 잘 맞추는 방법은 없고 그냥 외우세요
[해설작성자 : kdh0901]

13. 10[Ω], 20[Ω], 10[Ω]의 3개의 저항을 직렬로 접속했을 때 합성저항은 몇 [Ω]인가?
     가. 30
     나. 10
     다. 40
     라. 20

     정답 : []
     정답률 : 82%
     <문제 해설>
직렬로 연결 하기 때문에 10+20+10 = 40 이 나옵니다.
[해설작성자 : 오늘 정보기기 보는 사람 ]

14. 컴퓨터를 설치할 때 고려할 사항과 관계가 먼 것은?
     가. 정전기
     나. 스프링클러장치
     다. 온도 및 습도
     라. 전압

     정답 : []
     정답률 : 74%

15. Word Processor에 관한 설명으로 옳지 않은 것은?
     가. 문서의 작성, 수정, 보관 등이 편리하다.
     나. MS-DOS의 내부 명령어이다.
     다. 문서처리 업무를 자동화해 준다.
     라. 문서작성기라고 번역할 수 있다.

     정답 : []
     정답률 : 71%

16. 다음 표는 팩시밀리(Facsimile)의 화상통신 계통도이다. 각 번호에 들어갈 내용을 번호순으로 올바르게 나열한 것은?

    

     가. 송신원화, 광전변환, 전광변환, 수신원화
     나. 수신원화, 광전변환, 전광변환, 송신원화
     다. 광전변환, 수신원화, 전광변환, 송신원화
     라. 전광변환, 송신원화, 광전변환, 수신원화

     정답 : []
     정답률 : 81%
     <문제 해설>
송신-광전-전송-전광-수신
[해설작성자 : 시험 보러 가는길]

17. 소형의 휴대용 단말기로 음성 및 데이터의 전송 등 이동통신 서비스가 가능한 것은?
     가. Cordless 전화기
     나. CT-1 전화기
     다. PCS 전화기
     라. 신용카드 전화기

     정답 : []
     정답률 : 76%
     <문제 해설>
Cordless 전화기: 무선 집 전화기처럼 Base station 근처에서만 무선으로 사용할 수 있으며, 기본적으로 휴대가 불가능하다.
CT-1 전화기: Cordless 전화기의 일종.
[해설작성자 : 민형준]

18. 다음 중 가장 현대적인 팩시밀리에 사용되는 용지는?
     가. 보통지
     나. 정전지
     다. 청사진 용지
     라. 감열지

     정답 : []
     정답률 : 51%

19. 다음 중 단말장치의 기능이 아닌 것은?
     가. 에러제어 기능
     나. 입·출력 기능
     다. 통신제어 기능
     라. 전송제어 기능

     정답 : []
     정답률 : 33%

20. 마이크로 컴퓨터는 마이크로 프로세서와 주변장치 및 기억장치로 구성되어 이들 장치간에 데이터를 전송하는 버스(BUS)로 이루어져 있다. 아래 그림의 빈곳(?표)에 맞는 장치명은 무엇인가?

    

     가. 입·출력(I/O) 인터페이스
     나. 입·출력(I/O) 버스
     다. 입·출력(I/O) 레지스터
     라. 입·출력(I/O) 단말기

     정답 : []
     정답률 : 59%
     <문제 해설>
입출력 인터페이스는 2개의 입출력 채널, 즉 처리기 입출력 채널과 기억 장치 직접 접근 채널이 상호 작용할 수 있도록 하는 연결기. 처리기 입출력 채널은 데이터 입력 버스를 통해 처리기와 연락을 하며, 문자 중심으로 데이터를 전송한다.
[해설작성자 : niBkoeS]

21. 다음 중 PCM 통신의 장점이 아닌 것은?
     가. 점유주파수 대역폭이 넓다.
     나. 전송구간에 잡음이 축적되지 않는다.
     다. 다중화에 유리하다.
     라. 잡음이나 일그러짐이 적다.

     정답 : []
     정답률 : 42%

22. 컴퓨터 바이러스의 예방 및 대처 방법과 관계 없는 것은?
     가. 불법 복제가 아닌 정품 프로그램을 구한다.
     나. 바이러스를 찾아 자신의 시스템에서 바이러스를 제거한다.
     다. 바이러스와 자주 접촉하여 특성을 파악한다.
     라. 중요 파일은 백업을 만들어 놓는다.

     정답 : []
     정답률 : 82%

23. 3[A] 전류가 30분간 흐르면 이 동안의 전기량은 얼마인가?
     가. 5,400[C]
     나. 3,800[C]
     다. 4,800[C]
     라. 5,200[C]

     정답 : []
     정답률 : 69%
     <문제 해설>
Q = It (전기량 = 전류 * 시간)
30분을 초 단위로 환산하면 60(1분) * 30 = 1,800
그러므로, 1,800 * 3[A] = 5,400[C]
[해설작성자 : 송이버섯]

24. 1[eV]는 몇 [J]인가?
     가. 1
     나. 1.6×1019
     다. 1.6×10-19
     라. 9.1×10-31

     정답 : []
     정답률 : 68%

25. 송화시 수화기에 들리는 측음을 최소한으로 줄여주는 측음방지회로로서 자동식 전화기에 적용되는 방식은?
     가. 맥스웰식
     나. 로킹아마추어식
     다. 브리지식
     라. 부스터식

     정답 : []
     정답률 : 45%

26. 키보드를 장시간 두드림으로서 어깨나 손가락 부위에 손상을 입게되는 직업병을 나타내는 것은?
     가. VDT 증후군
     나. HDD 증후군
     다. DOS 증후군
     라. V3 증후군

     정답 : []
     정답률 : 81%
     <문제 해설>
스마트폰이나 컴퓨터 모니터와 같은 영상 기기를 오랫동안 사용해 생기는 눈의 피로, 어깨·목 통증 등 증상을 통칭하는 용어다. 안구건조증, 거북목 증후군이나 어깨·목 통증 등이 모두 VDT 증후군의 증상에 포함된다.
출처 : [네이버 지식백과] VDT 증후군 [visual display terminal syndrome] (한경 경제용어사전)

27. 전자 파일링(Electronic Filing) 시스템의 특징과 거리가 먼 것은?
     가. 많은 양의 자료를 보관하므로 일률적이고 표준화된 관리가 어렵다.
     나. 그룹별 보관으로 중복되는 내용의 문서를 없앨 수 있다.
     다. 문서의 검색 및 사용이 용이하다.
     라. 문서 관리에 필요한 공간이 절약되며, 업무 환경 개선에 도움을 준다.

     정답 : []
     정답률 : 71%

28. 다음의 키르히호프(Kirchhoff's)의 제1법칙에 대한 설명 중 올바른 것은?
     가. 접속점에 유입되는 전류의 합은 접속점에서 유출되는 전류의 합과 무관하다.
     나. 전원 전압의 합은 전압강하의 합과 같다.
     다. 접속점에 유입되는 전류의 합은 접속점에서 유출되는 전류의 합과 같다.
     라. 접속점에 유입되는 전압의 합은 접속점에서 유출되는 전압의 합과 같다.

     정답 : []
     정답률 : 66%
     <문제 해설>
접속점에 유입되는 전류의 합 = 접속점에서 유출되는 전루의 합은 1법칙
전원 전압의 합 = 전압강하의 합은 2법칙
[해설작성자 : 샹크스(김길규)]

29. 27[V]의 전원 전압에 3[A]의 전류가 흐르는 회로에서의 저항[Ω] 값은?
     가. 9
     나. 7
     다. 8
     라. 6

     정답 : []
     정답률 : 86%

30. 컴퓨터를 이용한 마이크로필름을 고속으로 자동 검색하는 시스템은 무엇인가?
     가. CAR
     나. DTP
     다. DBMS
     라. WORM

     정답 : []
     정답률 : 66%

3과목 : 정보 통신 일반


31. 음성대역에서 데이터 통신에 영향을 거의 미치지 않는 현상은?
     가. 누화(Cross Talk)
     나. 군지연(Group Delay)
     다. 고조파잡음(Harmonic Noise)
     라. 위상지연(Phase Delay)

     정답 : []
     정답률 : 43%

32. 8상 위상변조 방식에서 동시에 전송할 수 있는 bit수는?
     가. 8bit
     나. 1bit
     다. 3bit
     라. 2bit

     정답 : []
     정답률 : 58%

33. 펄스의 위치를 변화시켜 변조시키는 방식은?
     가. PCM
     나. PPM
     다. PWM
     라. PAM

     정답 : []
     정답률 : 35%
     <문제 해설>
- 메시지 교환방식(Message Switching): 전체 메시지를 전송하기 전에 전체 메시지를 수신하고 저장한 후에 전송하는 방식입니다.
- 회선 교환방식(Circuit Switching): 통신 경로를 설정하여 데이터 전송을 위한 전용 회선을 할당하는 방식으로, 전화 통화 등에 사용됩니다.
- 데이터그램 교환방식(Datagram Switching): 각각의 패킷이 독립적으로 전송되며, 패킷은 개별적으로 경로를 선택하여 도착지에 도달하는 방식으로, 인터넷에서 사용되는 방식 중 하나입니다.
[해설작성자 : comcbt.com 이용자]

34. EIA에서 규정하고 있는 변복조기(MODEM)와 단말기 사이의 연결 접속방식은?
     가. ITU-T V.24
     나. RS-232C
     다. TCP/IP
     라. HDLC

     정답 : []
     정답률 : 65%

35. 에러정정 방법으로 타당하지 못한 것은?
     가. 같은 부호를 여러번 송출하여 수신측에서 다수결 원칙으로 에러를 검출한다.
     나. 수신된 데이터를 송신측에 반송하여 본래의 데이터와 비교 후 검출부분을 재송하여 정정한다.
     다. 전송 bit수를 2배로 증가시켜 2개의 데이터를 비교한 후 재송하여 검출부분을 정정한다.
     라. 에러의 검출기능과 정정 기능을 가진 부호를 사용한다.

     정답 : []
     정답률 : 51%

36. 비디오텍스(Videotex)의 기술적 특징이 아닌 것은?
     가. 동시접속이 한정되어 있다.
     나. 단방향으로 통신을 한다.
     다. 화면전송 속도가 비교적 느리다.
     라. 대화형식으로 서비스가 제공된다.

     정답 : []
     정답률 : 46%

37. 가청 주파수의 범위는 대략 얼마인가?
     가. 16[Hz]∼0.2[KHz]
     나. 300[Hz]∼4[KHz]
     다. 20[Hz]∼20[KHz]
     라. 300[Hz]∼200[KHz]

     정답 : []
     정답률 : 47%
     <문제 해설>
가청주파수의 범위는 20[Hz]~20,000[Hz]입니다.

38. ISDN을 구성하는 필수 3대 요소가 아닌 것은?
     가. 교환기의 축적 프로그램 제어방식(SPC)
     나. 공중 음성전화 통신망(PSTN)
     다. 통신망의 공통선 신호방식(CCS)
     라. 시분할 통신기술(TDM)

     정답 : []
     정답률 : 44%

39. 변복조기의 기능으로 맞지 않는 것은?
     가. 등화 기능
     나. 루프(Loop) 기능
     다. 시분할 다중화 기능
     라. 아날로그와 디지털신호의 상호변환 기능

     정답 : []
     정답률 : 42%

40. ITU-T X 시리즈 권고안 중 공중데이터 네트워크에서 패킷형 터미널을 위한 DCE와 DTE 사이의 접속규격은?
     가. X.3
     나. X.21
     다. X.25
     라. X.45

     정답 : []
     정답률 : 75%

41. 크레디트(Credit) 점검, 은행잔고 상태 등의 응용 분야는?
     가. 대화형 시차배분
     나. 원격일괄처리
     다. 정보 검색
     라. 전문교환

     정답 : []
     정답률 : 52%

42. 온-라인, 오프-라인의 기능이 잘못 연결된 것은?
     가. 오프-라인-배치처리
     나. 오프-라인-리얼타임
     다. 온-라인-배치처리
     라. 온-라인-리얼타임

     정답 : []
     정답률 : 64%
     <문제 해설>
리얼타임은 오프라인이 아닌 온라인 입니다.
[해설작성자 : o가영]

43. 데이터통신에서 가장 기본이 되는 정보의 단위는 bit이며, 통신매체에서는 비슷한 단위로 baud가 쓰인다. 이들의 관계를 설명한 것 중 적합하지 않은 것은?
     가. bit rate와 baud rate는 항상 같다.
     나. baud=signal/sec이다.
     다. baud는 시간에 관계되나, bit는 시간과 무관하다.
     라. bit rate와 baud rate는 다를 수도 있다.

     정답 : []
     정답률 : 47%

44. 멀티포인트(Multi-point) 선로의 장점이 아닌 것은?
     가. 비용을 감소시킨다.
     나. 선로를 위한 특별한 제어 소프트웨어가 필요치 않다.
     다. 중앙 컴퓨터의 통신 접속단(PORT)을 줄일 수 있다.
     라. 모뎀수를 줄일 수 있다.

     정답 : []
     정답률 : 58%

45. 단위 부호가 쿼드 비트(Quad bit)이고, 보오 속도가 2,400보오(Baud)인 경우 이 전송신호의 bps 속도는?
     가. 2,400[bps]
     나. 19,200[bps]
     다. 4,800[bps]
     라. 9,600[bps]

     정답 : []
     정답률 : 73%
     <문제 해설>
쿼드비트: 4개의 비트
2400보오(Baud)가 4개가 흐른다고 생각하시면 되겠습니다
그래서 2400*4=9600[bps]

46. 정보(데이터) 통신 시스템의 기본 구성에 있어서 데이터 회선 종단 장치 혹은 신호변환기에 해당하지 않는 것은?
     가. DSU
     나. DCE
     다. MODEM
     라. DTE

     정답 : []
     정답률 : 34%

47. ITU-T X.25는 무엇을 권고하고 있는가?
     가. 공중 데이터 네트워크에서 패킷형 터미널을 위한 DCE와 DTE 사이의 접속규격
     나. 공중 데이터 네트워크에서 동기식 전송을 위한 DTE와 DCE 사이의 접속규격
     다. 공중 데이터 네트워크에서의 패킷 분해/조립 장치
     라. 국내의 동일 PDN에 연결하기 위한 DTE/DCE 접속규격

     정답 : []
     정답률 : 46%

48. 하나의 컴퓨터를 여러 사용자가 동시에 공동 이용하고 있어도 각 사용자가 마치 자기가 혼자서 컴퓨터를 독점하고 있는 것처럼 사용할 수 있는 시스템은?
     가. 메시지 교환(Message Switching)시스템
     나. 혼합 컴퓨터(Hybrid Computer)시스템
     다. 컴퓨터 네트워크(Network)시스템
     라. 타임 쉐어링(Time sharing)시스템

     정답 : []
     정답률 : 60%

49. 데이터통신시스템을 데이터전송계와 데이터처리계로 분류한다면 다음 중 데이터전송계에 관련되지 않는 것은?
     가. 중앙처리장치
     나. 모뎀
     다. 통신제어장치
     라. 데이터전송회선

     정답 : []
     정답률 : 60%

50. 이더넷(Ethernet)에 관한 설명으로 틀린 것은?
     가. DIX 규격을 사용한다.
     나. 데이터 전송속도는 10[Mbps]이다.
     다. 10 BASE T는 비용이 비교적 저렴하므로 일반적으로 많이 이용된다.
     라. 10 BASE 2는 HUB 또는 Multiport Tranceiver 기기가 필요하다.

     정답 : []
     정답률 : 47%

51. 전기통신의 관장에 대한 설명 중 적합하지 않은 것은?
     가. 우리 나라의 모든 전기통신에 관한 사항은 정보통신부장관이 관장한다.
     나. 전기통신에 관한 정보시책은 정보통신부장관이 마련한다.
     다. 다른 법률의 특별한 규정을 제외하고는 전기통신기본법에 근거를 둔다.
     라. 통신행정의 주관청은 정보통신부장관이다.

     정답 : []
     정답률 : 57%

52. 통신위원회의 심의 사항에 해당하는 것은?
     가. 통신사업자간의 업무 분장에 관한 사항
     나. 전기통신역무의 이용요금 승인에 관한 사항
     다. 전기통신역무 이용자의 권익보호에 관한 사항
     라. 전기통신사업자의 허가에 관한 사항

     정답 : []
     정답률 : 44%

53. 다음 중 상호연결이 잘못된 것은?
     가. 저주파수 : 300[Hz] 미만 주파수
     나. 중주파수 : 300[Hz] 미만 3,400[Hz] 이상 주파수
     다. 음성주파수 : 300[Hz] 이상 3,400[Hz] 이하 주파수
     라. 고주파수 : 3,400[Hz]를 초과하는 주파수

     정답 : []
     정답률 : 63%

54. 정보통신의 국제적 표준화를 권고하는 국제기구인 ITU의 우리말 명칭은?
     가. 국제정보통신표준기구
     나. 국제전기통신연합
     다. 국제표준화기구
     라. 세계정보통신연합

     정답 : []
     정답률 : 34%

55. 비트 에러율 측정에서 가장 많이 사용하는 1블록의 비트 수는(bits)?
     가. 53
     나. 2,400
     다. 1,002
     라. 511

     정답 : []
     정답률 : 63%

56. 정보통신망에 관련한 다음 행위 중 가장 엄하게 처벌되는 것은?
     가. 발신자의 동의없이 전자문서를 공개한 경우
     나. 정보통신망에 의하여 전송된 타인의 비밀을 도용한 경우
     다. 정보통신망의 보호조치를 강구하지 않은 경우
     라. 정보통신망을 이용하여 영리목적의 광고를 전송한 경우

     정답 : []
     정답률 : 76%

57. 정보통신서비스 제공자 및 전자문서 중계자가 하지 말아야할 행위가 아닌 것은?
     가. 공공의 안녕 질서 및 미풍양속을 해치는 행위
     나. 중요정보의 국외 유출을 제한하는 행위
     다. 국가의 경제질서 및 경제발전을 위해하는 행위
     라. 국가의 안전을 위태롭게 하는 행위

     정답 : []
     정답률 : 49%

58. 정보통신공사의 조사, 설계, 시공, 감리 등에 관한 기본적인 사항을 규정한 법률은?
     가. 전기통신기본법
     나. 전기통신사업법
     다. 정보통신공사사업법
     라. 정보화 촉진 기본법

     정답 : []
     정답률 : 66%

59. 정보화 촉진에 관한 법률의 목적과 관련이 적은 것은?
     가. 정보통신 산업의 기반 조성
     나. 정보통신 기반의 고도화
     다. 국민경제의 발전에 이바지
     라. 전기통신을 효율적 관리

     정답 : []
     정답률 : 32%

60. 도청, 탐지, 방해통신, 기만통신 및 교신분석 등에 대비한 통신보안은?
     가. 자재 보안
     나. 송신 보안
     다. 암호 보안
     라. 수신 보안

     정답 : []
     정답률 : 38%


정 답 지

1

2

3

4

5

6

7

8

9

10

11

12

13

14

15

16

17

18

19

20

21

22

23

24

25

26

27

28

29

30

31

32

33

34

35

36

37

38

39

40

41

42

43

44

45

46

47

48

49

50

51

52

53

54

55

56

57

58

59

60

정보기기운용기능사 필기 기출문제(해설) 및 CBT 2002년01월27일(1회)을 이용해 주셔서 감사합니다.
정보기기운용기능사, 기출문제, 정보기기, 기능사, 필기, 기출문제, 전자문제집, CBT, 온라인, 모의테스트, 모의고사



List of Articles
번호 제목 글쓴이 날짜 조회 수
9225 정보기기운용기능사 필기 기출문제(해설) 및 CBT 2001년01월21일(1회)(4316) 좋은아빠되기 2025.11.25 2
9224 정보기기운용기능사 필기 기출문제(해설) 및 CBT 2001년04월29일(2회)(4317) 좋은아빠되기 2025.11.25 2
9223 정보기기운용기능사 필기 기출문제(해설) 및 CBT 2001년07월22일(4회)(4318) 좋은아빠되기 2025.11.25 1
9222 정보기기운용기능사 필기 기출문제(해설) 및 CBT 2001년10월14일(5회)(4319) 좋은아빠되기 2025.11.25 3
» 정보기기운용기능사 필기 기출문제(해설) 및 CBT 2002년01월27일(1회)(4320) 좋은아빠되기 2025.11.25 0
9220 정보기기운용기능사 필기 기출문제(해설) 및 CBT 2002년04월07일(2회)(4321) 좋은아빠되기 2025.11.25 2
9219 정보기기운용기능사 필기 기출문제(해설) 및 CBT 2002년07월21일(4회)(4322) 좋은아빠되기 2025.11.25 1
9218 정보기기운용기능사 필기 기출문제(해설) 및 CBT 2002년10월06일(5회)(4323) 좋은아빠되기 2025.11.25 3
9217 정보기기운용기능사 필기 기출문제(해설) 및 CBT 2003년01월26일(1회)(4324) 좋은아빠되기 2025.11.25 2
9216 정보기기운용기능사 필기 기출문제(해설) 및 CBT 2003년03월30일(2회)(4325) 좋은아빠되기 2025.11.25 3
9215 정보기기운용기능사 필기 기출문제(해설) 및 CBT 2003년07월20일(4회)(4326) 좋은아빠되기 2025.11.25 1
9214 정보기기운용기능사 필기 기출문제(해설) 및 CBT 2003년10월05일(5회)(4327) 좋은아빠되기 2025.11.25 3
9213 정보기기운용기능사 필기 기출문제(해설) 및 CBT 2004년02월01일(1회)(4328) 좋은아빠되기 2025.11.25 3
9212 정보기기운용기능사 필기 기출문제(해설) 및 CBT 2004년04월04일(2회)(4329) 좋은아빠되기 2025.11.25 2
9211 정보기기운용기능사 필기 기출문제(해설) 및 CBT 2004년07월18일(4회)(4330) 좋은아빠되기 2025.11.25 1
9210 정보기기운용기능사 필기 기출문제(해설) 및 CBT 2004년10월10일(5회)(4331) 좋은아빠되기 2025.11.25 2
9209 정보기기운용기능사 필기 기출문제(해설) 및 CBT 2005년01월30일(1회)(4332) 좋은아빠되기 2025.11.25 2
9208 정보기기운용기능사 필기 기출문제(해설) 및 CBT 2005년04월03일(2회)(4333) 좋은아빠되기 2025.11.25 2
9207 정보기기운용기능사 필기 기출문제(해설) 및 CBT 2005년07월17일(4회)(4334) 좋은아빠되기 2025.11.25 1
9206 정보기기운용기능사 필기 기출문제(해설) 및 CBT 2005년10월02일(5회)(4335) 좋은아빠되기 2025.11.25 2
Board Pagination Prev 1 ... 568 569 570 571 572 573 574 575 576 577 ... 1034 Next
/ 1034