자격증 필기 기출문제



정보기기운용기능사 필기 기출문제(해설) 및 CBT 2007년04월01일(2회)(4341)

최강 자격증 기출문제 전자문제집 CBT : www.comcbt.com


전자문제집 CBT란?

종이 문제집이 아닌 인터넷으로 문제를 풀고 자동으로 채점하며 모의고사, 오답 노트, 해설까지 제공하는
무료 기출문제 학습 프로그램으로 실제 상설검정에서 사용하는 OMR 형식의 CBT를 제공합니다.


최신 정보기기운용기능사 필기 기출문제 : [다운로드]

1과목 : 전산 기초 이론


1. 10진수 9를 3-초과 코드(Excess-3)로 표현한 것 중 옳은 것은?
     가. 0011
     나. 1111
     다. 1100
     라. 1010

     정답 : []
     정답률 : 67%
     <문제 해설>
3초과 코드란 말그대로 3이 크다는 뜻입니다. 9에 3초과 되었다는 뜻은 9+3=12 즉 12를 나타면 됩니다. 12를 2진수로 표현하면 1100입니다.

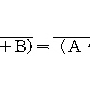
2. 다음 그림은 무슨 게이트 회로인가?

   

     가. AND게이트(Gate) 회로
     나. OR게이트(Gate) 회로
     다. NOT게이트(Gate) 회로
     라. NAND게이트(Gate) 회로

     정답 : []
     정답률 : 80%
     <문제 해설>
NOT 게이트 그림입니다. 앞의 동그라미 모양이 없다면 단순 버퍼 입니다.

3. 언어번역기 프로그램에 해당되지 않는 것은?
     가. 어셈블러(assembler)
     나. 컴파일러(compiler)
     다. 인터프리터(interpreter)
     라. 작업스케줄러(job scheduler)

     정답 : []
     정답률 : 83%
     <문제 해설>
어셈블러, 컴파일러, 인터프리터는 언어변역기 입니다.
작업스케쥴러는 CPU의 작업을 관리해주는것입니다.

4. 출력장치에 해당되지 않는 것은?
     가. 카드리더
     나. 모니터
     다. 라인프린터
     라. X-Y 플로터

     정답 : []
     정답률 : 77%
     <문제 해설>
카드리더기를 말그대로 카드를 리더 즉 읽어 들이는 장치이므로 입력장치 입니다.
참고로 X-Y 플로터는 대형 설계도면등을 출력하는 대형 프린트기라고 생각하시면 됩니다.

5. 10진수 110을 2진법으로 변환한 것 중 옳은 것은?
     가. (1100110)2
     나. (1100111)2
     다. (1101101)2
     라. (1101110)2

     정답 : []
     정답률 : 68%
     <문제 해설>
수를 진법에 해당하는 수 2를 나눌수 없을때까지 나눈다음 각각 나온 나머지를 더한다음 역순으로 읽는다.
110/2...0
55/2...1
27/2...1
13/2...1
6/2...0
3/2...1
1                                뒤에서부터 읽으면 1101110
[해설작성자 : 경기인력개발원-김성용]

6. 다음은 컴퓨터의 하드웨어 구성표이다. 잘못 채워진 것은?

   

     가. ① 중앙처리장치
     나. ② 신호장치
     다. ③ 제어장치
     라. ④ 보조기억장치

     정답 : []
     정답률 : 78%
     <문제 해설>
중앙처리장치 : 연산장치, 제어장치, 주기억장치

7. 입력 A, B가 서로 다른 경우에만 1의 출력을 갖는 Gate는?
     가. EX-NOR
     나. NOR
     다. EX-OR
     라. NAND

     정답 : []
     정답률 : 74%
     <문제 해설>
같으면 0 다르면 1을 출력하는 회로는 XOR(EX-OR)입니다.

8. 다음 중 데이터 발생 즉시 처리하는 방법으로 은행창구업무처리 등에 유용한 시스템은 어느 것인가?
     가. 일괄처리방식(Batch Processing)
     나. 실시간처리방식(Real Time Processing)
     다. 시분할처리방식(Time Sharing Processing)
     라. 오프라인처리방식(Off-Line Processing)

     정답 : []
     정답률 : 89%
     <문제 해설>
즉시처리 라고 하였으므로 실시간으로 즉시 처리 하는것을 말합니다.

9. 다음 중 조합논리회로의 특성에 해당되지 않는 것은?
     가. 출력은 입력신호의 값에 따라 결정된다.
     나. 기억 능력이 없다.
     다. 출력은 입력신호와 이전의 입력신호에 따라 결정된다.
     라. 논리게이트의 조합으로 구성된다.

     정답 : []
     정답률 : 50%
     <문제 해설>
조합논리회로 : 기억기능없음, 입력에의해 출력이 결정됨
순서논리회로 : 기억기능있음, 입력값 + 기억된값에 의해서 출력이 결정됨

10. 다음 중 순서도 작성의 필요성과 거리가 먼 것은?
     가. 프로그램 coding의 기초 자료가 된다.
     나. 작성된 프로그램을 기계어로 번역할 때 요구된다.
     다. 프로그램의 수정 및 인수인계를 쉽게 한다.
     라. 완성된 프로그램의 오류와 정확성을 검증하는 자료가 된다.

     정답 : []
     정답률 : 69%
     <문제 해설>
순서도란 프로그램을 작성하는 보조용으로 사용하는것으로 순서도를 작성한후 실제 프로그래밍 언어로 프로그램을 작성하고 이를 컴파일러 등을 이용하여 기계어로 번역합니다.
작성된 순서도는 프로그래밍언어에 상관없이 작성된것으로 누구나 알기 쉽게 되어 있기 때문에 오류검출 및 인수 인계시 중요한 자료로 쓰입니다.

2과목 : 정보 기기 운용


11. 10Ω의 저항에 10A의 전류를 20분 동안 흘렀다. 이 때 발생하는 열량은 몇 J인가?
     가. 1×104
     나. 2×105
     다. 12×104
     라. 12×105

     정답 : []
     정답률 : 51%
     <문제 해설>
W=PT=I^2RT
     10^2*10*20*60
     100*10*1200
     12*10^5

12. 컴퓨터에서 프롬프트가 A일 때 C 디스크의 파일 목록을 보려고 한다. 이때 사용해야 할 명령 형식으로 맞는 것은?
     가. dir c:
     나. c:
     다. dir/w
     라. dir/p

     정답 : []
     정답률 : 79%
     <문제 해설>
dir은 dos에서 목록을 보기 위한 명령이다
dir c:    -> 현재 디렉토리에서 c:(c드라이브) 의내용을 본다
c:    -> c:(c드라이브)로 이동
dir/w -> 현재 드라이브의 내용을 한줄에 5개의 파일명과 확장자를 보여준다
dir/p -> 현재 드라이브의 내용을 페이지 단위로 보여준다
[해설작성자 : 서울오남컴퓨터학원]

13. 다음 중 시분할다중화기(TDM)의 특징이 아닌 것은?
     가. 한 전송로의 데이터 전송시간을 일정한 시간 폭으로 나누어 전송하는 방식이다.
     나. 1200bps 이하의 비동기식에서만 사용한다.
     다. 단말기와의 속도차를 극복하기 위해 버퍼가 필요하다.
     라. 주파수분할 다중화기보다 고속이다.

     정답 : []
     정답률 : 75%
     <문제 해설>
TDM은 2400bps 이상에서 사용됨.

14. 비디오텍스에서 도형정보의 표현 형식이 아닌 것은?
     가. mosaic방식
     나. laser 방식
     다. geometric 방식
     라. photographic 방식

     정답 : []
     정답률 : 60%
     <문제 해설>
laser    방식    
무조건암기

15. 보조기억매체(자기디스크)의 관리 방법으로 잘못된 것은?
     가. 적당한 온도와 습도가 유지되는 곳에 보관한다.
     나. 직사광선을 피하도록 한다.
     다. 자력이 있는 곳에 보관한다.
     라. 기록매체의 노출된 면을 접촉하지 않도록 한다.

     정답 : []
     정답률 : 88%
     <문제 해설>
보조기억매체(자기디스크)는 자력을 이용하요 정보를 기록한 것으로 자석 옆에 놓아두면 고장난다.

16. 내부저항 200Ω인 정보기기에서 50W가 소모되었다고 하면 흐르는 전류는 몇 A인가?
     가. 0.1
     나. 0.5
     다. 1
     라. 2

     정답 : []
     정답률 : 61%
     <문제 해설>
P = I^2 x R 을 조금 변형시키면 I^2 = P/R = 0.25 따라서 I = 0.5A

17. 입력된 자료의 다음 처리를 위하여 일시적으로 자료를 보관하는 것은?
     가. 메일머지(mail-merge)
     나. 윈도우(window)
     다. 버퍼(buffer)
     라. 롬(ROM)

     정답 : []
     정답률 : 74%
     <문제 해설>
어떤 장치에서 다른 장치로 데이터를 송신할 때 일어나는 시간의 차이나 데이터 흐름의 속도 차이를 조정하기 위하여 일시적으로 데이터를 기억시키는 장치이다.
[해설작성자 : 고3]

18. 저항에 전류가 흐를 때 저항에 생기는 전위차는?
     가. 전류
     나. 전력
     다. 저항
     라. 전압 강하

     정답 : []
     정답률 : 64%

19. 다음 중 전자우편의 보안과 관계가 먼 것은?
     가. CGI
     나. PGP
     다. PEM
     라. S/MIME

     정답 : []
     정답률 : 49%
     <문제 해설>
CGI : 공용 게이트웨이 인터페이스:웹 서버 상에서 사용자 프로그램 실행
[해설작성자 : 류형석찡]

common gateway interface

20. 국산 전자교환기의 명칭에 해당되지 않는 것은?
     가. TDX-1A
     나. TDX-1B
     다. TDX-2
     라. TDX-10

     정답 : []
     정답률 : 51%
     <문제 해설>
TDX-1A: 1만 회선 연결
TDX-1B: 2만 회선 연결
TDX-10: 10만 회선 연결
TDX-100(현재): 100만 회선 연결

21. 다음 화상 통신기기 중 특정의 수신자에게만 서비스하는 것을 목적으로 한 폐회로 텔레비전은?
     가. CATV
     나. CCTV
     다. HDTV
     라. VIDEOTEX

     정답 : []
     정답률 : 69%

22. 콘덴서 2μF, 3μF, 6μF를 직렬로 연결하였을 때 합성 정전 용량은 몇 μF인가?
     가. 0.5
     나. 1
     다. 2
     라. 4

     정답 : []
     정답률 : 74%
     <문제 해설>
콘덴서 q = cv
직렬 = 1/c = 1/c1+1/c2
병렬 = c = c1+c2
[해설작성자 : kaede hakuhi]

23. n개의 건전지를 병렬로 연결하였을 때 올바른 설명은?(단, r : 건전지 내부저항)
     가. 전압은 일정하고 내부저항은 n/r 이다.
     나. 전류의 용량은 n배이고 내부저항은 n/r 이다.
     다. 전압은 일정하고 내부저항은 r/n 이다.
     라. 전류의 용량은 일정하고 내부저항은 r/n 이다.

     정답 : []
     정답률 : 57%

24. 컴퓨터에서 패스워드를 보호하기 위한 조치 중 가장 올바른 것은?
     가. 패스워드는 변경할 필요가 없다.
     나. 다른 사람들이 추측 가능한 것으로 사용한다.
     다. 정기적으로 패스워드를 변경한다.
     라. 패스워드를 친구에게 가르쳐준다.

     정답 : []
     정답률 : 82%

25. 다음 중 충격 방식의 프린터는?
     가. 잉크젯 프린터
     나. 도트 프린터
     다. 레이저 프린터
     라. 열전사 프린터

     정답 : []
     정답률 : 71%
     <문제 해설>
충격식 프린터: 도트프린터, 활자식프린터, 라인프린터
비충격식 프린터: 잉크젯프린터, 열전사프린터, 감열프린터, 레이저프린터
[해설작성자 : BOO]

26. 전산실이나 컴퓨터실에 정전이 되거나 전원 공급이 안될 때 일정 시간 동안 전원을 공급시켜주는 역할을 하는 장비는?
     가. AVR
     나. UPS
     다. 코드접속기
     라. Surge Protector

     정답 : []
     정답률 : 76%

27. 다음 중 프린터와 관계없는 단위는?
     가. LPM
     나. CPI
     다. IRG
     라. CPS

     정답 : []
     정답률 : 78%
     <문제 해설>
IRG: 자기테이프에서 레코드와 레코드 사이의 갭을 가리키는 용어

28. 컴퓨터 등의 디스플레이(display)를 장시간 보면서 작업함으로써 두통, 시각장애, 등의 증세가 나타나는 것을 무엇이라고 하는가?
     가. VDT 증후군
     나. V3 증후군
     다. DOS 증후군
     라. HDD 증후군

     정답 : []
     정답률 : 83%
     <문제 해설>
VDT증후군 : 컴퓨터와 같은 미디어 사용 증가로 사용자의 손목이나 목관절 또는 척주에 무리가 가는 것을 이야기합니다.
그 증세중 두통, 시각장애 등과 같은 현상이 일어나기도 합니다.
[해설작성자 : SoftwarePlutoDY]

29. 다음 중 다중화기에 대한 설명으로 옳지 않은 것은?
     가. 데이터 전송의 효율화를 목적으로 개발되었다.
     나. 각 저속단말기의 속도 합과 고속 채널의 속도 합이 같다.
     다. 지능 다중화기는 집중화기의 역할도 수행한다.
     라. DSU는 디지털용 다중화기이다.

     정답 : []
     정답률 : 43%
     <문제 해설>
DSU는 디지털 전송장비다.
[해설작성자 : 찬이맘]

30. 디지털신호를 기계장치가 빠르게 처리할 수 있도록 하는 집적회로를 말하는 것으로 최근에는 아날로그 신호인 음성을 디지털화 하는 음성 코딩에 사용되기도 하는 것은?
     가. DSP(digital signal processor)
     나. MODEM
     다. DTE(data terminal equipment)
     라. AMP

     정답 : []
     정답률 : 59%

3과목 : 정보 통신 일반


31. 다음 중 정보화 사회의 설명으로 가장 적합한 것은?
     가. 공업기술의 비중이 높은 사회이다.
     나. 토지의 생산력이 높게 평가되는 사회이다.
     다. 정보의 가치가 물질의 가치에 비해 상대적으로 높은 사회이다.
     라. 집중화된 지역사회 유형의 특징을 갖는 사회이다.

     정답 : []
     정답률 : 76%

32. 광섬유케이블에서 광신호가 전송되는 부분은?
     가. 코어(core)
     나. 클래드(clad)
     다. 피이(PE) 절연물
     라. 인장선

     정답 : []
     정답률 : 84%

33. 통신신호의 전송품질의 중요한 척도가 되는 S/N 비를 바르게 설명한 것은?
     가. 원 신호에 대한 잡음의 상대적인 크기의 비율이다.
     나. 정상 전송속도에 대한 지연속도의 비율이다.
     다. 송신신호에 대한 수신신호의 세기 비율이다.
     라. 출력신호 파형의 일그러짐을 말한다.

     정답 : []
     정답률 : 64%

34. 다음 중 변조속도의 단위로 적합한 것은?
     가. Sec
     나. Baud
     다. Hz
     라. dB

     정답 : []
     정답률 : 62%
     <문제 해설>
Baud는 변조속도 단위입니다.

35. 캐리어 신호(carrier signal)의 피크 투 피크(peak to peak) 전압이 전송하는 신호의 크기에 따라 변하는 변조 방식은?
     가. 진폭 변조
     나. 주파수 변조
     다. 위상 변조
     라. 파장 변조

     정답 : []
     정답률 : 60%
     <문제 해설>
캐리어 신호 : 무선 인터페이스를 통한 낮은 주파수의 암호화 정보를 운반하기 위해 조정될 수 있는 전자기 신호

피크 투 피크 : 파형의 플러스 쪽의 최고값에서 마이너스 쪽의 최고값까지의 값을 피크 투 피크(P-P) 치라고 한다. 가정용 100V의 교류 전압의 P-P는 282V이다.

출처 : 네이버 백과사전

(어차피 저희는 외우는 거니까 캐리어신호+피크투피크=진폭변조 라고 외우죠!)
[해설작성자 : 충북산업과학고등학교 박수훈]

36. 헤딩과 텍스트로 이루어진 정보 메시지가 3개의 블록으로 분할되어 전송될 경우 최종 블록에 들어갈 전송 제어문자는?
     가. ETB
     나. ETX
     다. EOT
     라. STX

     정답 : []
     정답률 : 50%
     <문제 해설>
STX - Start Of Text - 텍스트 시작 및 헤딩 종료
ETX - End Of TExt -    텍스트의 끝
EOT - End Of Transmission - 전송을 종료, 데이터 링크를 초기화
ETB - End of Treansmission Block - 전송 블록의 끝
ACK - ACKnowledge - 수신한 정보메시지에 대한 긍정응답
NAK - Negative AcKnowledge - 수신한 정보메시지에 대한 부정응답
BCC - Block Check Character - 오류 검출을 위한 코드
[해설작성자 : 치우마왕]

37. 전송데이터의 에러체크방식 중 수신 단에서 송신 단으로 재송신을 요청하는 방식은?
     가. 패리티 체크방식
     나. FEC 방식
     다. ARQ 방식
     라. CRC-16 방식

     정답 : []
     정답률 : 68%

38. 이동전화 시스템에서 CDMA 방식의 의미는?
     가. 채널분할 다중화방식
     나. 코드분할 다중접속방식
     다. 캐리어 변복조방식
     라. 콤팩트디스크 다중접속방식

     정답 : []
     정답률 : 79%
     <문제 해설>
code division multiple access
=> 코드 분할 다중 접속 방식
[해설작성자 : Kururu]

39. LAN의 네트워크 형태와 가장 관계가 먼 것은?
     가. 스타(star) 형
     나. 링(ring) 형
     다. 버스(bus) 형
     라. 그물(mash) 형

     정답 : []
     정답률 : 53%

40. PC 터미널이 8개가 설치된 시스템에서 각 터미널 상호간용 망형으로 결선하려면 필요한 회선 수는?
     가. 8회선
     나. 16회선
     다. 28회선
     라. 42회선

     정답 : []
     정답률 : 61%
     <문제 해설>
망형공식 : n(n-1)/2
[해설작성자 : pbk]

41. OSI 7계층 모델 중 논리적 링크라고 불리는 가상회로와 가장 밀접한 것은?
     가. 데이터링크 계층
     나. 네트워크 계층
     다. 트랜스포트 계층
     라. 세션 계층

     정답 : []
     정답률 : 47%
     <문제 해설>
논리적 링크와 가상회로 나오면 네트워크계층입니다
[해설작성자 : 흥해공고 자격증왕]

42. 다음 중 LAN과 관련된 용어가 아닌 것은?
     가. ETHERNET
     나. TOKEN-RING
     다. CSMA/CD
     라. IMT-2000

     정답 : []
     정답률 : 56%
     <문제 해설>
IMT-2000 ( International Mobile Telecommunication-2000 )
2000MHz의 주파수를 이용하는 멀티미디어 이동전화.
[해설작성자 : 등교거부]

43. 화상통신 서비스 중 센터 대 단말형의 회화형 화상정보 시스템은?
     가. TV 전화
     나. 팩시밀리
     다. CCTV
     라. 화상응답시스템

     정답 : []
     정답률 : 73%

44. 회선교환방식의 실시간 처리능력과 패킷교환방식의 트래픽 처리능력 등의 장점을 결정하여 발전시킨 교환방식은?
     가. ATM 교환방식
     나. 셀룰러 교환방식
     다. INTERNET 교환방식
     라. 축적 교환방식

     정답 : []
     정답률 : 49%

45. 다음 중 국제통신에 주로 이용되는 통신위성(INTELSAT)의 위치로 적합한 것은?
     가. 북회귀선 상공
     나. 지자극점 상공
     다. 적도 상공
     라. 남극점 상공

     정답 : []
     정답률 : 71%

46. 데이터 전송매체로서 잡음과 보안에 가장 우수한 것은?
     가. 가입전화선
     나. 광섬유케이블
     다. 동축케이블
     라. M/W 무선회선

     정답 : []
     정답률 : 74%

47. 다음 중 정보전달의 5단계를 순서대로 나열한 것은?
     가. 링크확립→링크절단→메시지전달→회로연결→회로절단
     나. 회로연결→링크확립→메시지전달→링크절단→회로절단
     다. 회로절단→링크절단→링크확립→회로연결→메시지전달
     라. 링크절단→메시지전달→링크확립→회로절단→회로연결

     정답 : []
     정답률 : 83%
     <문제 해설>
회-링-메-링-회로 외우세요.
[해설작성자 : 알렉서스]

48. 단말 인터페이스 장치를 X시리즈와 V시리즈로 나누는 근거는 어디에 두고 있는가?
     가. 전송회선
     나. 부가통신회선
     다. 접속커넥터
     라. 전압레벨

     정답 : []
     정답률 : 57%
     <문제 해설>
X시리즈 : 공중데이터교환망(PSDN)으로 "디지털" 데이터를 전송하기위해 개발된 신규터미널용 인터페이스
V시리즈 : 전화망을 이용한 "아날로그" 데이터를 전송하기위해 개발된 터미널 인터페이스

49. 다음 중 지점 간을 직접 접속하는 형태의 회선은?
     가. 전용회선
     나. 부가통신회선
     다. 패킷교환회선
     라. 공중회선

     정답 : []
     정답률 : 68%

50. 다음 중 마이크로파(microwave) 통신방식과 관계없는 것은?
     가. 전자파를 이용하는 무선통신방식이다.
     나. 광을 이용하므로 전송속도가 빠르다.
     다. 이동통신 수단으로도 이용되고 있다.
     라. 중계거리를 고려하여야 한다.

     정답 : []
     정답률 : 62%
     <문제 해설>
마이크로파 통신은 이름 그대로 "전자파의 일종인 마이크로파(극초단파, microwave)"를 사용하는 무선통신 방식입니다.
광(光)을 사용하는 통신은 "광통신(optical communication)"으로 분류되며, 마이크로파 통신과는 다른 영역의 기술입니다.
[해설작성자 : 포항흥해공업고등학교 김현서]

51. 다음 ( )안에 들어갈 내용으로 가장 적합한 것은?

    

     가. 통신구조
     나. 기능표준
     다. 통신규약
     라. 기술수준

     정답 : []
     정답률 : 80%

52. 전기통신을 행하기 위하여 계통적, 유기적으로 연결 구성된 전기통신설비의 집합체는?
     가. 전송설비망
     나. 교환설비망
     다. 전기통신망
     라. 종합정보통신망

     정답 : []
     정답률 : 78%

53. 전기통신사업자의 역무제공의무 등에 관한 원칙으로 볼 수 없는 것은?
     가. 전기통신사업자는 정당한 사유 없이 전기통신여무의 제공을 거부하여서는 아니 된다.
     나. 전기통신사업자는 그 업무처리에 있어서 공평, 신속 및 정학을 기하여야 한다.
     다. 전기통신역무의 요금은 이용자가 편리하고 다양한 전기통신역무를 공평, 저렴하게 제공받을 수 있도록 합리적으로 결정되어야 한다.
     라. 역무의 제공시 국가의 보위 및 안보에 관한 통신보안규제를 홍보하도록 한다.

     정답 : []
     정답률 : 68%

54. 정보통신서비스제공자 및 이용자의 책무가 아닌 것은?
     가. 정보통신서비스 제공자는 이용자의 개인정보를 보호하여야 한다.
     나. 정보통신서비스 제공자는 정보화 사회 조성을 위한 금융지원을 하여야 한다.
     다. 정보통신서비스 제공자는 이용자의 권익보호와 정보이용 능력의 향상에 이바지하여야 한다.
     라. 이용자는 건전한 정보사회가 정착되도록 노력하여야 한다.

     정답 : []
     정답률 : 73%

55. “정보통신망 이용촉지 및 정보보호 등에 관한 법률”의 제정 목적과 거리가 먼 것은?
     가. 국민생활의 향상
     나. 정보통신사업의 경영
     다. 공공복리의 증진에 이바지
     라. 정보통신서비스를 이용하는 자의 개인정보 보호

     정답 : []
     정답률 : 51%

56. 다음 중 전기통신사업의 경영자는?
     가. 부가통신사업자
     나. 정보통신공사업자
     다. 통신기기제조업자
     라. 정보통신부장관

     정답 : []
     정답률 : 42%

57. 우리나라의 전기통신에 관한 사항은 전기통신기본법 또는 다른 법률에 특별히 규정한 것을 제외하고는 누가 관장하는가?(정보통신부가 없어지면서 답이 바뀌었습니다. 여기서는 정답을 2번 처리 합니다.)
     가. 대통령
     나. 정보통신부장관
     다. 국무총리
     라. 한국통신사장

     정답 : []
     정답률 : 77%
     <문제 해설>
정보통신부가 없어지면서 문제의 답이 바뀌었습니다.
전기 통신에 관한 사항은 전기통신기본법 또는 다른 법률에 특별히 규정한 것을 제외하고는 방송통신위원회가 이를 관장함    ....
정답은 방송통신위원회

58. 다음 중 전기통신사업자의 의무로 적합하지 않은 것은?
     가. 이용약관의 변경
     나. 이용자의 보호
     다. 이용약관의 신고
     라. 이용약관의 유출 방지

     정답 : []
     정답률 : 44%

59. 정보화촉진 등을 위하여 정보화촉진기본계획은 누가 수립하는가?
     가. 국무총리
     나. 과학기술부장관
     다. 정보통신부장관
     라. 산업자원부장관

     정답 : []
     정답률 : 67%
     <문제 해설>
정보화촉진기본계획은 정보통신부장관이 수립합니다.
[해설작성자 : niBkoeS]

60. 공공기관의 정보화촉진 등을 지원하고 정보화관련 정책개발을 지원하기 위하여 설립한 기관은?
     가. 통신위원회
     나. 한국정보보호진흥원
     다. 한국정보통신기술협회
     라. 한국정보사회진흥원

     정답 : []
     정답률 : 40%


정 답 지

1

2

3

4

5

6

7

8

9

10

11

12

13

14

15

16

17

18

19

20

21

22

23

24

25

26

27

28

29

30

31

32

33

34

35

36

37

38

39

40

41

42

43

44

45

46

47

48

49

50

51

52

53

54

55

56

57

58

59

60

정보기기운용기능사 필기 기출문제(해설) 및 CBT 2007년04월01일(2회)을 이용해 주셔서 감사합니다.
정보기기운용기능사, 기출문제, 정보기기, 기능사, 필기, 기출문제, 전자문제집, CBT, 온라인, 모의테스트, 모의고사



List of Articles
번호 제목 글쓴이 날짜 조회 수
8233 정보기기운용기능사 필기 기출문제(해설) 및 CBT 2006년01월22일(1회)(4336) 좋은아빠되기 2025.11.25 2
8232 정보기기운용기능사 필기 기출문제(해설) 및 CBT 2006년04월02일(2회)(4337) 좋은아빠되기 2025.11.25 2
8231 정보기기운용기능사 필기 기출문제(해설) 및 CBT 2006년07월16일(4회)(4338) 좋은아빠되기 2025.11.25 2
8230 정보기기운용기능사 필기 기출문제(해설) 및 CBT 2006년10월01일(5회)(4339) 좋은아빠되기 2025.11.25 2
8229 정보기기운용기능사 필기 기출문제(해설) 및 CBT 2007년01월28일(1회)(4340) 좋은아빠되기 2025.11.25 2
» 정보기기운용기능사 필기 기출문제(해설) 및 CBT 2007년04월01일(2회)(4341) 좋은아빠되기 2025.11.25 1
8227 정보기기운용기능사 필기 기출문제(해설) 및 CBT 2007년07월15일(4회)(4342) 좋은아빠되기 2025.11.25 1
8226 정보기기운용기능사 필기 기출문제(해설) 및 CBT 2007년09월16일(5회)(4343) 좋은아빠되기 2025.11.25 1
8225 정보기기운용기능사 필기 기출문제(해설) 및 CBT 2008년02월03일(1회)(4344) 좋은아빠되기 2025.11.25 2
8224 정보기기운용기능사 필기 기출문제(해설) 및 CBT 2008년03월30일(2회)(4345) 좋은아빠되기 2025.11.25 1
8223 정보기기운용기능사 필기 기출문제(해설) 및 CBT 2008년07월13일(4회)(4346) 좋은아빠되기 2025.11.25 0
8222 정보기기운용기능사 필기 기출문제(해설) 및 CBT 2008년10월05일(5회)(4347) 좋은아빠되기 2025.11.25 1
8221 정보기기운용기능사 필기 기출문제(해설) 및 CBT 2009년01월18일(1회)(4348) 좋은아빠되기 2025.11.25 1
8220 정보기기운용기능사 필기 기출문제(해설) 및 CBT 2009년03월29일(2회)(4349) 좋은아빠되기 2025.11.25 2
8219 정보기기운용기능사 필기 기출문제(해설) 및 CBT 2009년07월12일(4회)(4350) 좋은아빠되기 2025.11.25 1
8218 정보기기운용기능사 필기 기출문제(해설) 및 CBT 2009년09월27일(5회)(4351) 좋은아빠되기 2025.11.25 2
8217 정보기기운용기능사 필기 기출문제(해설) 및 CBT 2010년01월31일(1회)(4352) 좋은아빠되기 2025.11.25 1
8216 정보기기운용기능사 필기 기출문제(해설) 및 CBT 2010년03월28일(2회)(4353) 좋은아빠되기 2025.11.25 2
8215 정보기기운용기능사 필기 기출문제(해설) 및 CBT 2010년07월11일(4회)(4354) 좋은아빠되기 2025.11.25 1
8214 정보기기운용기능사 필기 기출문제(해설) 및 CBT 2010년10월03일(5회)(4355) 좋은아빠되기 2025.11.25 2
Board Pagination Prev 1 ... 569 570 571 572 573 574 575 576 577 578 ... 985 Next
/ 985