자격증 필기 기출문제



전산응용기계제도기능사 필기 기출문제(해설) 및 CBT 2012년07월22일(4회)(5135)

최강 자격증 기출문제 전자문제집 CBT : www.comcbt.com


전자문제집 CBT란?

종이 문제집이 아닌 인터넷으로 문제를 풀고 자동으로 채점하며 모의고사, 오답 노트, 해설까지 제공하는
무료 기출문제 학습 프로그램으로 실제 상설검정에서 사용하는 OMR 형식의 CBT를 제공합니다.


최신 전산응용기계제도기능사 필기 기출문제 : [다운로드]

1과목 : 기계재료 및 요소


1. 탄소 공구강의 구비 조건으로 틀린 것은?
     가. 내마모성이 클 것
     나. 가공 및 열처리성이 양호할 것
     다. 저온에서의 경도가 클 것
     라. 강인성 및 내충격성이 우수할 것

     정답 : []
     정답률 : 74%
     <문제 해설>
고온에서 경도가 커야합니다.

2. 인장강도가 255~340MPa로 Ca-Si나 Fe-Si 등의 접종제로 접종 처리한 것으로 바탕조직은 펄라이트이며 내마멸성이 요구되는 공작기계의 안내면이나 강도를 요하는 기관의 실린더 등에 사용되는 주철은?
     가. 칠드 주철
     나. 미하나이트 주철
     다. 흑심가단 주철
     라. 구상흑연 주철

     정답 : []
     정답률 : 53%
     <문제 해설>
칠드주철-용융상태 금형주입 표면급냉경화 백주철
미하나이트주철-강인주철로 강스크랩+선철배합, 고온융해하여 규화석회혼합 주물로 만듦
흑심가단주철-탈탄한것으로 인성/연성부여한 주철
구상흑연주철-마그네슘, 세륨, 칼슘등을 첨가하여 흑연구상한 주철
[해설작성자 : 수원아이티컴퓨터학원]

3. 원자기호와 비중과의 관계가 옳은 것은? (단, 비중은 20℃, 무산소동이다.)
     가. Al - 6.86
     나. Ag - 6.96
     다. Mg - 9.86
     라. Cu - 8.96

     정답 : []
     정답률 : 67%
     <문제 해설>
알류미늄의 비중은 2.6984
은의 비중은 10.49
마그네슘의 비중은 1.738
으로 구리의 비중이 옳습니다.
[해설작성자 : 닭강정]

4. 황동은 어떤 원소의 2원 합금인가?
     가. 구리와 주석
     나. 구리와 망간
     다. 구리와 납
     라. 구리와 아연

     정답 : []
     정답률 : 71%
     <문제 해설>
황동=구리(Cu)+아연(Zn)
청동=구리(Cu)+주석(Sn)
[해설작성자 : 해설작성자]

5. 담금질 응력제거, 치수의 경년변화 방지, 내마모성 향상 등을 목적으로 100~200℃에서 마텐자이트 조직을 얻도록 조작을 하는 열처리 방법은?
     가. 저온뜨임
     나. 고온뜨임
     다. 항온풀림
     라. 저온풀림

     정답 : []
     정답률 : 52%
     <문제 해설>
뜨임온도는 100~200℃이며 담글질 경도는 변화하지 않고 내부응력은 제거해 점도를 회복시키는 것이며 저탄소강,구조강,공구강 등에 실기
[해설작성자 : comcbt.com 이용자]

6. 강재의 KS 규격 기호 중 틀린 것은?
     가. SKH - 고속도 공구강 강재
     나. SM - 기계 구조용 탄소 강재
     다. SS - 일반 구조용 압연 강재
     라. STS - 탄소 공구강 강재

     정답 : []
     정답률 : 63%
     <문제 해설>
STC-탄소공구강, STS-합금공구강, SKH-고속도공구강, SM-기계구조용, SS-일반구조용
[해설작성자 : 수원아이티컴퓨터학원]

7. 복합 재료 중에서 섬유 강화재료에 속하지 않는 것은?(문제 오류로 실제 시험장에서는 모두 정답처리 되었습니다. 처음 발표 당시 라번으로 정답이 발표되었습니다. 여기서는 라번을 정답 처리 합니다.)
     가. 섬유강화 플라스틱
     나. 섬유강화 금속
     다. 섬유강화 시멘트
     라. 섬유강화 고무

     정답 : []
     정답률 : 72%

8. 볼트를 결합시킬 때 너트를 2회전하면 축 방향으로 10mm, 나사산 수는 4산이 진행한다. 이와 같은 나사의 조건은?
     가. 피치 2.5mm, 리드 5mm
     나. 피치 5mm, 리드 5mm
     다. 피치 5mm, 리드10mm
     라. 피치 2.5mm, 리드 10mm

     정답 : []
     정답률 : 57%
     <문제 해설>
리드=줄수*피치=2*2.5=5
[해설작성자 : 수원아이티컴퓨터학원]

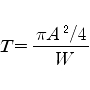
9. 다음 중 후크의 법칙에서 늘어난 길이를 구하는 공식은? (단, λ:변형량, W:인장하중, A:단면적, E:탄성계수, ι:길이 이다.)(문제 오류 입니다. 여기서는 가(1)번을 정답 처리 합니다. 라번의 보기와 가번의 보기가 중복되어 있네요. 추후 수정하여 두겠습니다.)
     가.
     나.
     다.
     라.

     정답 : []
     정답률 : 64%
     <문제 해설>
w/A = E X L2-L1/L1
L2-L1 = WL1/AE
[해설작성자 : DDC]

10. 기어, 풀리, 커플링 등의 회전체를 축에 고정시켜서 회전운동을 전달시키는 기계요소는?
     가. 나사
     나. 리벳
     다.
     라.

     정답 : []
     정답률 : 65%
     <문제 해설>
나사: 기계부품을 결합, 위치조정 또는 힘의 전달 등에 사용
리벳: 강판 또는 형강등을 영구적으로 결합하는데 사용
핀: 2개 이상의 부품을 결합시키는데 주로 사용, 나사 및 너트의 이완 방지
키: 축에 기어, 풀리, 플라이휠, 커플링, 클러치등의 회전체를 고정시켜 회전운동을 전달

2과목 : 기계가공법 및 안전관리


11. 코일스프링의 전체 평균직경이 50㎜, 소선의 직경이 6㎜일 때 스프링 지수는 약 얼마인가?
     가. 1.4
     나. 2.5
     다. 4.3
     라. 8.3

     정답 : []
     정답률 : 63%
     <문제 해설>
스프링지수=전체평균직경/소선직경=50/6=8.3
[해설작성자 : 수원아이티컴퓨터학원]

12. 직선운동을 회전운동으로 변환하거나, 회전운동을 직선운동으로 변환하는데 사용되는 기어는?
     가. 스퍼 기어
     나. 베벨 기어
     다. 헬리컬 기어
     라. 랙과 피니언

     정답 : []
     정답률 : 52%

13. 엔드 저널로서 지름이 50mm의 전동축을 받치고 허용 최대 베어링 압력을 6N/m2, 저널길이를 80mm라 할 때 최대 베어링 하중은 몇 kN인가?
     가. 3.64kN
     나. 6.4kN
     다. 24kN
     라. 30kN

     정답 : []
     정답률 : 45%
     <문제 해설>
압력=하중/단면적, 하중/50*80 = 6 에서 하중=24000(N) = 24(kN)
[해설작성자 : 수원아이티컴퓨터학원]

아래와 같은 오류 신고가 있었습니다.
여러분들의 많은 의견 부탁 드립니다.
추후 여러분들의 의견을 반영하여 정답을 수정하도록 하겠습니다.
참고로 정답 변경은 오류 신고 5회 이상일 경우 수정합니다.

[오류 신고 내용]
길이와 압력의 단위가 안맞는것같습니다
[해설작성자 : comcbt.com 이용자]

14. 축 이음 중 두 축이 평행하고 각 속도의 변동 없이 토크를 전달하는데 가장 적합한 것은?
     가. 올덤 커플링
     나. 플렉시블 커플링
     다. 유니버셜 커플링
     라. 플랜지 커플링

     정답 : []
     정답률 : 53%
     <문제 해설>
플럭시블:두축의 중심선을 일치리키기 어렵거나 또는 전달 토크의 변동으로 충격을 받거나 고속회전으로 진동을 일으키는 경우 고무,강선,가죽,스프링 등을 이용하여 충격과 전동을 완화시켜주는데 사용
유니버셜:두 축이 만나고 각이 수시로 변화하는 경우에 사용되는 커플링
플랜지:두 축 끝에 플랜지를 끼워 키로 고정하고 리머볼트로 결합시킴
[해설작성자 : liyongfu]

15. 나사의 끝을 이용하여 축에 바퀴를 고정시키거나 위치를 조정할 때 사용되는 나사는?
     가. 태핑 나사
     나. 사각 나사
     다. 볼 나사
     라. 멈춤 나사

     정답 : []
     정답률 : 53%

16. 절삭공구 인선의 마모에 해당되지 않는 것은?
     가. 크레이터(crater)
     나. 플랭크(flank)
     다. 치핑(chipping)
     라. 드래싱(dressing)

     정답 : []
     정답률 : 64%
     <문제 해설>
절삭공구 인선의 마모 종류:
크레이터(crater) : 저탄소강이나 스테인리스강 등을    초경합금 절삭날로 고속절삭 하면 연속된 절삭법이 인선윗면을 문지르고 지나기 때문에 일종의 크레이터(crater)가 생김, 이 크레이터가 심해지면 인선이 결손되어 공구 수명 단축
플랭크(flank) : 절삭날의 측면이 절삭 가공면과의 접촉에 의해 닳아서 작아지거나 없어지는 것
치핑(chipping) : 절삭공구의 날 끝 선단의 일부가 미세한 파손을 일으키는 현상
--------------
드레싱(dressing) :    드레서를 사용하여 숫돌차 표면의 숫돌 입자를 제거하고 새로운 숫돌 입자를 내는 작업.
[해설작성자 : 정화야 사랑해]

17. 길이 측정에 적합하지 않은 것은?
     가. 버니어 캘리퍼스
     나. 마이크로미터
     다. 하이트게이지
     라. 수준기

     정답 : []
     정답률 : 72%
     <문제 해설>
수평선 또는 수평면을 구하기 위한 기구.
[해설작성자 : 창원폴리텍]

18. 절삭공구 재료의 구비 조건으로 틀린 것은?
     가. 일감보다 단단하고 강인성이 필요하다.
     나. 절삭할 때 마찰계수가 커야 한다.
     다. 형상을 만들기가 쉽고 가격이 저렴해야 한다.
     라. 높은 온도에서도 경도가 필요하다.

     정답 : []
     정답률 : 70%
     <문제 해설>
마찰계수가 작아야 합니다.
[해설작성자 : comcbt.com 이용자]

19. 구성인선(built-up-edge)에 대한 일반적인 방지대책으로 옳은 것은?
     가. 마찰계수가 큰 절삭공구를 사용한다.
     나. 공구의 윗면 경사각을 크게 한다.
     다. 절삭 속도를 작게 한다.
     라. 절삭 깊이를 크게 한다.

     정답 : []
     정답률 : 58%
     <문제 해설>
구성인선 감소대책
-절삭깊이작게, 공구경사각크게, 절삭속도크게, 절삭유사용
[해설작성자 : 수원아이티컴퓨터학원]

20. 새들 위에 선회대가 있어 테이블을 일정한 각도로 회전시키거나 테이블 상·하로 경사시킬 수 있는 밀링 머신은?
     가. 수직밀링 머신
     나. 수평밀링 머신
     다. 만능 밀링 머신
     라. 램형밀링 머신

     정답 : []
     정답률 : 51%

21. 래핑의 설명으로 옳은 것은?
     가. 건식은 랩과 일감사이에 랩재와 래핑액을 공급하며 가공하는 방식이다.
     나. 건식래핑 뒤에 습식래핑을 한다.
     다. 일감은 랩재질 보다 연해야 한다.
     라. 랩재로 탄화규소(SiC), 산화알루미나(Al2O3)가 주로 쓰인다.

     정답 : []
     정답률 : 46%
     <문제 해설>
래핑 : 랩이라는 공구와 랩제를 사용하여 마모와 연삭작용에 의해 공작물을 다듬질하는 정밀가공법. 건식법은 랩에 파묻힌 랩제의 입자만으로 다듬질하는 방법이며 습식 래핑 뒤에 한다. 랩의 재질은 일감보다 연한 것을 사용하며 주로 주철을 많이 사용한다.
[해설작성자 : cgh]

22. 선반작업에서 주축의 회전수(rpm)를 구하는 공식으로 맞는 것은?
     가.
     나.
     다.
     라.

     정답 : []
     정답률 : 47%
     <문제 해설>
아래와 같은 오류 신고가 있었습니다.
여러분들의 많은 의견 부탁 드립니다.
추후 여러분들의 의견을 반영하여 정답을 수정하도록 하겠습니다.

[오류 신고 내용]
1번에 *1000이 추가되어야 한다.
[해설작성자 : 공대녀]

[오류신고 반론]
답은 절삭속도×1000/원주율×공작물의지름이다.공대녀의 오류에 관해서
공식에서 1000이 붙는 이유는 속도의 단위가 M이기 때문에 일반 공작물의 단위mm를 변환하기 위해 사용하는 수치임
여기 문제에서는 공작물의 단위가 M이기 때문에 1000의 의미는 아무 의미가 없음
그러므로 1번이 정답이며, 1000을 곱해야한다는 오류신고 내용은 잘못되었음.
[해설작성자 : 창원직업전문학교 12PC]

23. 보호구의 구비조건으로 틀린 것은?
     가. 착용 및 작업하기가 쉬워야 한다.
     나. 자기 몸에 맞아야 한다.
     다. 전기가 잘 통해야 된다.
     라. 유해 위험물에 대하여 완전한 방호가 되어야 한다.

     정답 : []
     정답률 : 89%
     <문제 해설>
절연재로 되어 있어야 한다
[해설작성자 : 수원아이티컴퓨터학원]

24. 연삭가공의 특징을 설명한 내용으로 올바르지 않은 것은?
     가. 단단한 재료는 가공이 곤란하다.
     나. 정밀도가 높고 표면 거칠기가 우수하다.
     다. 연삭 압력 및 연삭 저항이 적어 마그네틱 척으로도 가공물을 고정할 수 있다.
     라. 연삭점의 온도가 높다.

     정답 : []
     정답률 : 51%
     <문제 해설>
단단한 재료는 가공하기 쉽다
[해설작성자 : 수원아이티컴퓨터학원]

25. M10×1.5 탭을 가공하기 위한 드릴링 작업 기초구멍으로 다음 중 가장 적합한 것은?
     가. 6.0㎜
     나. 7.5㎜
     다. 8.5㎜
     라. 9.0㎜

     정답 : []
     정답률 : 60%
     <문제 해설>
기초구멍의 크기는 나사의 바깥지름에서 피치만큼 제외 10-1.5=8.5
[해설작성자 : 수원아이티컴퓨터학원]

26. 입체도를 화살표(↖) 방향에서 보았을 때 제1각법의 좌측면도로 옳은 것은?

    

     가.
     나.
     다.
     라.

     정답 : []
     정답률 : 54%
     <문제 해설>
1각법의 좌측면도는 물체의 좌측면에서 본 모습을 투영하여
배치만 정면도의 우측에 할 뿐입니다.
즉, 배치만 우측에 할뿐 1각법 좌측면도의 투영된 모양은 3각법에서 투영된 모양과 동일합니다.
[해설작성자 : 경북산업직업전문학교 대수형님화이팅]

27. 그림의 도면의 양식에 대한 명칭이 틀린 것은?

    

     가. [가] : 중심 마크
     나. [나] : 재단 마크
     다. [다] : 비교 눈금
     라. [라] : 부품란

     정답 : []
     정답률 : 62%
     <문제 해설>
4번은 표제란
[해설작성자 : 수원아이티컴퓨터학원]

28. 그림의 “C" 부분에 들어갈 기하 공차 기호로 가장 알맞은 것은?

    

     가.
     나.
     다.
     라.

     정답 : []
     정답률 : 58%
     <문제 해설>
구멍의 위치를 잡는 위치도공차적용해야
[해설작성자 : 수원아이티컴퓨터학원]

29. 기하공차의 종류에서 위치공차에 해당하는 것은?
     가. 평면도
     나. 원통도
     다. 동심도
     라. 직각도

     정답 : []
     정답률 : 54%
     <문제 해설>
위치공차-위치도,동심도,대칭도
자세공차-평행도,직각도,경사도
[해설작성자 : 수원아이티컴퓨터학원]

30. 다음 끼워맞춤 공차 중 틈새가 가장 큰 것은?
     가. H7/p6
     나. H7/m6
     다. H7/h6
     라. H7/f6

     정답 : []
     정답률 : 57%
     <문제 해설>
구멍기준 H가 기준, 축은 알파벳a쪽이 헐거운끼워맞춤, z쪽이 억지끼워맞춤
[해설작성자 : 수원아이티컴퓨터학원]

[추가 해설]
틈새란? 축과 구멍상이의 간격을 말하는 것임
문제에서는 구멍치수가 H7로 정해져있음
그렇다면 문제에서 주어진 최대의 틈새는 축이 가장 작은 것을 고르면 됨

상용하는 끼워맞춤 축의 치수 허용차(KS B2401)을 참고하자면
헐거움치수는 이름 값처럼 거진 공차값이 -값을 달리고 있음
즉, 틈새를 이야기하는 경우, 그냥 헐거운 공차만 위주로 봐주면서 답을 찾아주는게 좋음.
[해설작성자 : 창원직업전문학교 12PC]

31. 아래와 같은 그림의 일부를 도시하는 것으로도 충분한 경우에 그리는 투상도는?

    

     가. 국부 투상도
     나. 부분 투상도
     다. 회전 투상도
     라. 부분 확대도

     정답 : []
     정답률 : 63%
     <문제 해설>
부분투상도: 그림의 일부를 도시하는 것으로 충분한 경우 그 필요한 부분만을 나타내는 투상도를 의미한다.
[해설작성자 : jonjones]

32. 다음 기계가공 중 일반적으로 표면을 가장 매끄럽게(표면 거칠기 값이 작게) 가공 할 수 있는 것은?
     가. 연삭기
     나. 드릴링 머신
     다. 선반
     라. 밀링

     정답 : []
     정답률 : 62%
     <문제 해설>
기계가공 중에서 표면을 가장 매끄럽게 가공 할 수 있는 것은 연삭기이다
        
[해설작성자 : 의기과 이정운]

33. 치수 보조 기호와 의미가 잘못 연결된 것은?
     가. R - 반지름
     나. C - 45° 모따기
     다. SR - 구의 반지름
     라. (50) - 이론적으로 정확한 치수

     정답 : []
     정답률 : 86%
     <문제 해설>
이론적으로 정확한치수 정사각형표시, () 참고치수를 말함
[해설작성자 : 수원아이티컴퓨터학원]

34. 다음 해칭에 대한 설명 중 틀린 것은?
     가. 해칭선은 수직 또는 수평의 중심선에 대하여 45°로 경사지게 긋는 것이 좋다.
     나. 인접한 단면의 해칭은 선의 방향 또는 각도를 변경 하거나 해칭 간격을 달리하여 긋는다.
     다. 단면 면적이 넓은 경우에는 그 외형선에 따라 적절한 범위에 해칭 또는 스머징을 한다.
     라. 해칭 또는 스머징하는 부분 안에 문자나 기호를 절대로 기입해서는 안 된다.

     정답 : []
     정답률 : 64%
     <문제 해설>
해칭 스머징을 중단하여 기록하지 않음.
해칭 스머징을 하나, 치수가 들어간 부분 거진 직사각형(가상의 직사각형이랄까...)으로 비워두고 그 곳에 치수 값을 기록함.
잘 사용하진 않지만, 피치 못할 경우 사용하는 경우가 더러 있음.
[해설작성자 : 창원직업전문학교 12PC]

35. 다음 그림은 제3각법으로 나타낸 투상도이다. 평면도에 누락된 선을 완성한 것은?

    

     가.
     나.
     다.
     라.

     정답 : []
     정답률 : 56%

36. 최대 허용 한계치수와 최소 허용 한계치수와의 차이값을 무엇이라고 하는가?
     가. 공차
     나. 기준치수
     다. 최대 틈새
     라. 위치수 허용차

     정답 : []
     정답률 : 73%

37. 축용 게이지 제작에 사용되는 IT 기본 공차의 등급은?
     가. IT 01 ~ IT 4
     나. IT 5 ~ IT 8
     다. IT 8 ~ IT 12
     라. IT 11 ~ IT 18

     정답 : []
     정답률 : 53%
     <문제 해설>
게이지제작공차 - 구멍(IT01~05급), 축(IT01~04급)
끼워맞춤공차 - 구멍(IT06~10급), 축(IT05~09급)
[해설작성자 : 수원아이티컴퓨터학원]

아래와 같은 오류 신고가 있었습니다.
여러분들의 많은 의견 부탁 드립니다.
추후 여러분들의 의견을 반영하여 정답을 수정하도록 하겠습니다.

[오류 신고 내용]
해설에 적혀 있는 IT공차 오류에 대해서
IT 공차는 총 20등급으로 KS B 0401에 규정되어 있음
01 0 1 2 3 4 5 6 .... 18까지 있음

IT01 이 IT1인지 IT01 인지 알 수가 없음
하물며 구멍 치수에 IT06을 적는 오류를 범하고 있어서 이부분에 대해서는 수정 하고 싶음.

참고로 IT01, IT0도 역시 고급 게이지 류에 사용함
[해설작성자 : 창원직업전문학교 12PC]

오류신고 내용에 수정하려고함.
구멍 치수는 IT06이 아닌 IT6임. 오해의 소지가 있어 수정함.
[해설작성자 : 창원직업전문학교 12PC]

38. 가공 전 또는 가공 후의 모양을 표시하기 위해 사용하는 선의 종류는?
     가. 가는 1점 쇄선
     나. 가는 파선
     다. 가는 2점 쇄선
     라. 굵은 1점 쇄선

     정답 : []
     정답률 : 58%
     <문제 해설>
대상물의 가공 전 또는 가공 후의 모양을 표시하는 선은 가상선으로 가는 2점 쇄선을 사용한다.
[해설작성자 : 공채살려내라]

39. 표면 거칠기 기호를 간략하게 기입한 것으로 옳은 것은?
     가.
     나.
     다.
     라.

     정답 : []
     정답률 : 51%
     <문제 해설>
표면거칠기 기호중 25는 전체에 대한 거칠기정도값이라 기재불필요
[해설작성자 : 수원아이티컴퓨터학원]

40. 도면에 사용되는 선, 문자가 겹치는 경우에 투상선의 우선 적용되는 순위로 맞는 것은?(오류 신고가 접수된 문제입니다. 반드시 정답과 해설을 확인하시기 바랍니다.)
     가. 문자 → 외형선 → 중심선 → 치수선
     나. 외형선 → 문자 → 중심선 → 숨은선
     다. 문자 → 숨은선 → 외형선 → 중심선
     라. 중심선 → 파단선 → 문자 → 치수보조선

     정답 : []
     정답률 : 78%
     <문제 해설>
도면에 사용 된 '선', '문자'가 겹치는 경우 우선순위
(문자, 기호→외형선→숨은선→절단선→중심선→무게 중심선→치수 보조선)
[해설작성자 : jajj8]

아래와 같은 오류 신고가 있었습니다.
여러분들의 많은 의견 부탁 드립니다.
추후 여러분들의 의견을 반영하여 정답을 수정하도록 하겠습니다.
참고로 정답 변경은 오류 신고 5회 이상일 경우 수정합니다.

[오류 신고 내용]

문자, 기호 (치수) -> 외형선 -> 숨은선 -> 절단선 -> 중심선 -> 무게 중심선 -> 치수 보조선
그러므로 기호 1번(가)의 마지막 항목인 치수선은 잘못된 오류입니다.
정확한 답변이 될려면 치수선 대신에 치수보조선이 들어가야 맞습니다.
[해설작성자 : 경주 기술직업전문학교, 無名人]

41. 제3각법과 제1각법의 표준 배치에서 서로 반대 위치에 있는 투상도의 명칭은?
     가. 평면도와 저면도
     나. 배면도와 평면도
     다. 정면도와 저면도
     라. 정면도와 우측면도

     정답 : []
     정답률 : 64%
     <문제 해설>
1,3각법-평면도와 저면도, 좌측면도와 우측면도는 반대로
[해설작성자 : 수원아이티컴퓨터학원]

42. 다음 그림은 어느 단면도에 해당하는가?

    

     가. 온 단면도
     나. 한쪽 단면도
     다. 회전도시 단면도
     라. 부분 단면도

     정답 : []
     정답률 : 49%
     <문제 해설>
부분단면도는 물체의 일부를 파단선으로 절단투상하는 법
[해설작성자 : 수원아이티컴퓨터학원]

43. 스케치할 물체의 표면에 광명단 또는 스탬프잉크를 칠한 다음 용지에 찍어 실형을 뜨는 스케치법은?
     가. 사진 촬영법
     나. 프린트법
     다. 프리핸드법
     라. 본뜨기법

     정답 : []
     정답률 : 66%
     <문제 해설>
프린트법은 실형을 따오지만 본뜨기법은 윤곽만 따옵니다.
[해설작성자 : cgh]

44. KS표준 중 기계 부문에 해당 되는 분류기호는?
     가. KS A
     나. KS B
     다. KS C
     라. KS D

     정답 : []
     정답률 : 83%
     <문제 해설>
KS A= 기본
KS B= 기계
KS C= 전기
[해설작성자 : 유니텍]

KS D= 금속
[해설작성자 : 0남2]

45. 치수기입의 원칙에 대한 설명으로 틀린 것은?
     가. 필요한 치수를 명료하게 도면에 기입한다.
     나. 가능한 한 주요 투상도에 집중하여 기입한다.
     다. 가능한 한 계산하여 구할 필요가 없도록 기입한다.
     라. 잘 알 수 있도록 중복하여 기입한다.

     정답 : []
     정답률 : 86%

46. ISO 표준에 있는 미터 사다리꼴 나사를 표시하는 기호는?
     가. TM
     나. Tr
     다. TW
     라. PT

     정답 : []
     정답률 : 73%
     <문제 해설>
순서대로 30도 사다리꼴나사, 미터사다리꼴나사, 29도사다리꼴나사, 관용테이퍼나사순
[해설작성자 : 수원아이티컴퓨터학원]

47. 그림과 같은 용접을 하고자 한다. 기호 표시로 옳은 것은?

    

     가.
     나.
     다.
     라.

     정답 : []
     정답률 : 64%
     <문제 해설>
화살표가 지시한 부분에서 용접한 곳을 표시할 때는 지시선의 실선 부분에 기호를 기입,
반대쪽에 용접한 경우는 지시선의 숨은선 부위에 용접기호를 기입한다.
[해설작성자 : ㅇㅇ]

48. 다음 중 체크밸브의 그림 기호는?
     가.
     나.
     다.
     라.

     정답 : []
     정답률 : 74%
     <문제 해설>
순서대로 일반밸브, 앵글밸브, 체크밸브, 슬루스밸브
[해설작성자 : 수원아이티컴퓨터학원]

49. 코일 스프링의 제도방법 중 틀린 것은?
     가. 스프링은 원칙적으로 무하중인 상태로 그린다.
     나. 하중과 높이 또는 처짐과의 관계를 표시할 필요가 있을 때에는 선도 또는 표로 표시한다.
     다. 특별한 단서가 없는 한 모두 오른쪽 감기로 도시하고 왼쪽 감기로 도시할 때에는 “감김 방향 왼쪽”이라고 표시한다.
     라. 코일 스프링의 중간 부분을 생략할 때에는 생략하는 부분을 선지름의 중심선을 굵은 실선으로 그린다.

     정답 : []
     정답률 : 56%
     <문제 해설>
코일스프링의 중간부분을 생략시 가는1점쇄선 또는 가는 2점쇄선
[해설작성자 : 수원아이티컴퓨터학원]

50. “6008C2P6"는 베어링 호칭 번호의 보기이다. 08의 의미는 무엇인가?
     가. 베어링 계열번호
     나. 안지름 번호
     다. 틈새기호
     라. 등급기호

     정답 : []
     정답률 : 82%
     <문제 해설>
60 베어링계열번호, 08 안지름기호, C2 틈새기호, P6 등급기호
[해설작성자 : 수원아이티컴퓨터학원]

51. 나사 제도시 수나사와 암나사의 골지름을 표시하는 선은?
     가. 굵은 실선
     나. 가는 1점 쇄선
     다. 가는 실선
     라. 가는 2점 쇄선

     정답 : []
     정답률 : 59%
     <문제 해설>
아래와 같은 오류 신고가 있었습니다.
여러분들의 많은 의견 부탁 드립니다.
추후 여러분들의 의견을 반영하여 정답을 수정하도록 하겠습니다.
참고로 정답 변경은 오류 신고 5회 이상일 경우 수정합니다.

[오류 신고 내용]
골지름은 굵은 실선 아닌가요?
[해설작성자 : comcbt.com 이용자]

[오류신고 반론]
문제보면 나사 제도라서 수나사와 암나사의 골지름은 가는실선!
[해설작성자 : 문제를 잘 읽자]

52. 다음 중 리벳의 호칭 방법으로 올바른 것은?
     가. 규격 번호, 종류, 호칭지름×길이, 재료
     나. 규격 번호, 길이×호칭지름, 종류, 재료
     다. 재료, 종류, 호칭지름×길이, 규격 번호
     라. 종류, 길이×호칭지름, 재료, 규격 번호

     정답 : []
     정답률 : 61%
     <문제 해설>
KS B 1101 둥근머리 리벳 6*18 MSWR10 이런식으로 표시
규격번호, 종류, 호칭지름*길이, 재료순으로
[해설작성자 : 수원아이티컴퓨터학원]

53. 래크와 기어의 이가 서로 완전히 접하도록 겹쳐 놓았을 때, 기어의 기준 원통과 기준 래크의 기준면 사이를 공통 법선을 따라 측정한 거리를 무엇이라 하는가?
     가. 공칭 피치
     나. 전위량
     다. 법선 피치
     라. 오버핀 치수

     정답 : []
     정답률 : 50%
     <문제 해설>
전위량 - 기어의 기준 원통과 기준 래크이 기준면 사이를 공통 법선을 따라 측정한 거리
법선피치 - 인벌류트 기어에 있어서 특정단면의 서로 접하는 치형 간의 공통법선에 따라서 잰 피치
[해설작성자 : ㅇㅇ]

54. 스퍼 기어에서 모듈(m)이 4, 피치원 지름(D)이 72㎜일 때 전체 이높이(H)는?
     가. 4.0㎜
     나. 7.5㎜
     다. 9.0㎜
     라. 10.5㎜

     정답 : []
     정답률 : 64%
     <문제 해설>
전체이높이=모듈*2.25=4*2.25=9
[해설작성자 : 수원아이티컴퓨터학원]

55. 축의 제도에 대한 설명으로 옳은 것은?
     가. 축은 가공 방향에 관계없이 도시 할 수 있다.
     나. 축은 길이 방향으로 절단하여 전단면도로 그린다.
     다. 긴 축 이라도 중간 부분을 절단해서 그릴 수 없다.
     라. 축에 빗줄 널링을 표시 할 경우에는 축선에 대하여 30°로 엇갈리게 표현한다.

     정답 : []
     정답률 : 65%
     <문제 해설>
30도로 엇갈려야지 널링이 표시가 됩니다
[해설작성자 : 싸이코 ㅍ옆자리]

56. 다음 설명과 관련된 V-벨트의 종류는?

    

     가. A형
     나. B형
     다. E형
     라. M형

     정답 : []
     정답률 : 65%
     <문제 해설>
V-벨트의 단면치수는 M < A < B < C < D < E 순이다.
[해설작성자 : 2019년 1월 16일도 보고있음]

57. CAD시스템에서 데이터 저장장치가 아닌 것은?
     가. USB메모리
     나. HDD
     다. LIGHT PEN
     라. CD-ROm

     정답 : []
     정답률 : 82%
     <문제 해설>
라이트 펜은 입력장치
[해설작성자 : 충에고황서정]

58. 사진 또는 그림과 같이 종이 위의 도형의 정보를 그래픽 형태로 읽어 들여 컴퓨터에 전달하는 입력장치는?
     가. 트랙볼(track ball)
     나. 라이트 펜(light pen)
     다. 스캐너(scanner)
     라. 디지타이저(digitizer)

     정답 : []
     정답률 : 67%
     <문제 해설>
1. 트랙볼 : 마우스와 비슷한 포인팅 디바이스. 표면에 있는 볼을 굴려 화면상의 커서를 제어한다.
2. 라이트 펜 : CRT화면상의 빛에 반응하여 좌표를 인식하는 포인팅 디바이스.
4. 디지타이저 : 직사각형 평면 형태의 전용 입력 패널 위에서, 손에 잡고 사용하는 펜 형태의 스타일러스를 조작하여 아날로그 좌표 등을 인식하는 장치.
[해설작성자 : 양파양파]

59. CAD시스템에서 도면상 임의의 점을 입력할 때 변하지 않는 원점(0,0)을 기준으로 정한 좌표계는?
     가. 상대 좌표계
     나. 상승 좌표계
     다. 증분 좌표계
     라. 절대 좌표계

     정답 : []
     정답률 : 83%
     <문제 해설>
0,0(원점)은 절대 좌표 입니다
[해설작성자 : ㅇㅇ]

60. 솔리드 모델링의 특징을 열거한 것 중 틀린 것은?
     가. 은선 제거가 불가능하다.
     나. 간섭 체크가 용이하다.
     다. 물리적 성질 등의 계산이 가능하다.
     라. 형상을 절단하여 단면도 작성이 용이하다.

     정답 : []
     정답률 : 67%
     <문제 해설>
은선 제거가 불가능 한것은 와이어프레임모델링입니다.
솔리드 모델링은 은선제거가 가능합니다.
즉 와이어프레임모델링을 제외한 은선제거가 가능합니다.
[해설작성자 : 바보선생님]


정 답 지

1

2

3

4

5

6

7

8

9

10

11

12

13

14

15

16

17

18

19

20

21

22

23

24

25

26

27

28

29

30

31

32

33

34

35

36

37

38

39

40

41

42

43

44

45

46

47

48

49

50

51

52

53

54

55

56

57

58

59

60

전산응용기계제도기능사 필기 기출문제(해설) 및 CBT 2012년07월22일(4회)을 이용해 주셔서 감사합니다.
전산응용기계제도기능사, 기능사, 필기, 기출문제, 전자문제집, CBT, 온라인, 모의테스트, 모의고사



List of Articles
번호 제목 글쓴이 날짜 조회 수
12273 전산응용기계제도기능사 필기 기출문제(해설) 및 CBT 2016년07월10일(4회)(5151) 좋은아빠되기 2025.11.25 2
12272 전산응용기계제도기능사 필기 기출문제(해설) 및 CBT 2016년04월02일(2회)(5150) 좋은아빠되기 2025.11.25 0
12271 전산응용기계제도기능사 필기 기출문제(해설) 및 CBT 2016년01월24일(1회)(5149) 좋은아빠되기 2025.11.25 2
12270 전산응용기계제도기능사 필기 기출문제(해설) 및 CBT 2015년10월10일(5회)(5148) 좋은아빠되기 2025.11.25 0
12269 전산응용기계제도기능사 필기 기출문제(해설) 및 CBT 2015년07월19일(4회)(5147) 좋은아빠되기 2025.11.25 2
12268 전산응용기계제도기능사 필기 기출문제(해설) 및 CBT 2015년04월04일(2회)(5146) 좋은아빠되기 2025.11.25 0
12267 전산응용기계제도기능사 필기 기출문제(해설) 및 CBT 2015년01월25일(1회)(5145) 좋은아빠되기 2025.11.25 2
12266 전산응용기계제도기능사 필기 기출문제(해설) 및 CBT 2014년10월11일(5회)(5144) 좋은아빠되기 2025.11.25 0
12265 전산응용기계제도기능사 필기 기출문제(해설) 및 CBT 2014년07월20일(4회)(5143) 좋은아빠되기 2025.11.25 2
12264 전산응용기계제도기능사 필기 기출문제(해설) 및 CBT 2014년04월06일(2회)(5142) 좋은아빠되기 2025.11.25 0
12263 전산응용기계제도기능사 필기 기출문제(해설) 및 CBT 2014년01월26일(1회)(5141) 좋은아빠되기 2025.11.25 2
12262 전산응용기계제도기능사 필기 기출문제(해설) 및 CBT 2013년10월12일(5회)(5140) 좋은아빠되기 2025.11.25 0
12261 전산응용기계제도기능사 필기 기출문제(해설) 및 CBT 2013년07월21일(4회)(5139) 좋은아빠되기 2025.11.25 2
12260 전산응용기계제도기능사 필기 기출문제(해설) 및 CBT 2013년04월14일(2회)(5138) 좋은아빠되기 2025.11.25 0
12259 전산응용기계제도기능사 필기 기출문제(해설) 및 CBT 2013년01월27일(1회)(5137) 좋은아빠되기 2025.11.25 2
12258 전산응용기계제도기능사 필기 기출문제(해설) 및 CBT 2012년10월20일(5회)(5136) 좋은아빠되기 2025.11.25 0
» 전산응용기계제도기능사 필기 기출문제(해설) 및 CBT 2012년07월22일(4회)(5135) 좋은아빠되기 2025.11.25 2
12256 전산응용기계제도기능사 필기 기출문제(해설) 및 CBT 2012년04월08일(2회)(5134) 좋은아빠되기 2025.11.25 0
12255 전산응용기계제도기능사 필기 기출문제(해설) 및 CBT 2012년02월12일(1회)(5133) 좋은아빠되기 2025.11.25 2
12254 전산응용기계제도기능사 필기 기출문제(해설) 및 CBT 2011년10월09일(5회)(5132) 좋은아빠되기 2025.11.25 0
Board Pagination Prev 1 ... 361 362 363 364 365 366 367 368 369 370 ... 979 Next
/ 979