자격증 필기 기출문제



승강기기능사 필기 기출문제(해설) 및 CBT 2013년10월12일(5회)(5812)

최강 자격증 기출문제 전자문제집 CBT : www.comcbt.com


전자문제집 CBT란?

종이 문제집이 아닌 인터넷으로 문제를 풀고 자동으로 채점하며 모의고사, 오답 노트, 해설까지 제공하는
무료 기출문제 학습 프로그램으로 실제 상설검정에서 사용하는 OMR 형식의 CBT를 제공합니다.


최신 승강기기능사 필기 기출문제 : [다운로드]

1과목 : 승강기개론


1. 유압엘리베이터의 작동유의 적정온도의 범위는?
     1. 30℃ 이상 70℃ 이하
     2. 30℃ 이상 80℃ 이하
     3. 5℃ 이상 90℃ 이하
     4. 5℃ 이상 60℃ 이하

     정답 : []
     정답률 : 84%
     <문제 해설>
유압엘리베이터 작동유의 온도는 5도이상 ~ 60도이하입니다.
[해설작성자 : kbs]

2. 레일의 규격은 어떻게 표시하는가?
     1. 1m당 중량
     2. 1m당 레일이 견디는 하중
     3. 레일의 높이
     4. 레일 1개의 길이

     정답 : []
     정답률 : 74%
     <문제 해설>
1본은 5미터이고 규격은 1미터당 중량으로 표시하여 나타냅니다.
[해설작성자 : 황간고 존잘 서민수]

3. 상·하 승강장 및 디딤판에서 하는 검사가 아닌 것은?
     1. 구동체인 안전장치
     2. 디딤판과 핸드레일 속도차
     3. 핸드레일 인입구 안전장치
     4. 스커트 가드 스위치 작동상태

     정답 : []
     정답률 : 42%
     <문제 해설>
구동체인은 기계실에서 검사한다
[해설작성자 : ROMA]

4. 엘리베이터 구조물의 진동이 카로 전달되지 않도록 하는 것은?
     1. 과부하 검출장치
     2. 방진고무
     3. 맞대임고무
     4. 도어 인터록

     정답 : []
     정답률 : 75%
     <문제 해설>
방진 말그대로 진동을 막는다는 의미니까 방진고무
[해설작성자 : 아 그만해]

5. 기계실에 설치되지 않는 것은?
     1. 조속기
     2. 권상기
     3. 제어반
     4. 완충기

     정답 : []
     정답률 : 77%
     <문제 해설>
완충기는 피트에 설치
[해설작성자 : 안공기모띠]

6. 1,200형 엘리베이터의 시간당 수송능력(명/시간)은?
     1. 1,200
     2. 4,500
     3. 6,000
     4. 9,000

     정답 : []
     정답률 : 76%
     <문제 해설>
엘리베이터의 시간당 수송능력
800형 - 6000명.    1200형 - 9000명
[해설작성자 : 한국교통대학교 산학협력단 태양광발전및 전기제어 구직자과정 홍용희]

7. 발전기의 계자전류를 조절하여 발전기의 발생 전압을 임의로 연속적으로 변화시켜 직류모터의 속도를 연속적으로 광범위하게 제어하는 방식은?
     1. 사이리스터 제어방식
     2. 여자기 제어방식
     3. 워드-레오나드 방식
     4. 피드백 제어방식

     정답 : []
     정답률 : 72%
     <문제 해설>
1.사이리스터 제어방식 - 정지레오나드 방식
2.발전기의 계자전류제어 - 워드레오나드 방식
[해설작성자 : 재현]

8. 고속엘리베이터의 일반적인 속도 m/min 범위는?
     1. 40~60
     2. 60~105
     3. 120~300
     4. 360 이상

     정답 : []
     정답률 : 57%
     <문제 해설>
120~300미터가 고속이고 초고속은 300미터 이상입니다

9. 카의 정격속도가 45m/min 이하인 경우 꼭대기 틈새 및 피트 깊이는 각각 몇 m로 규정하고 있는가?
     1. 꼭대기 틈새 : 1.2m 이상, 피트 깊이 : 1.2m 이상
     2. 꼭대기 틈새 : 1.4m 이상, 피트 깊이 : 1.5m 이상
     3. 꼭대기 틈새 : 1.6m 이상, 피트 깊이 : 1.8m 이상
     4. 꼭대기 틈새 : 1.8m 이상, 피트 깊이 : 2.1m 이상

     정답 : []
     정답률 : 44%
     <문제 해설>
카의 정격속도가 45m/min 이하인 경우 꼭대기 틈새 및 피트 깊이는 1.2m이상이다
[해설작성자 : gorany]

10. 도어관련 부품 중 안전장치가 아닌 것은?
     1. 도어 머신
     2. 도어 스위치
     3. 도어 인터록
     4. 도어 클로저

     정답 : []
     정답률 : 59%
     <문제 해설>
도어머신 : 전동기, 감속기 등을 포함한 개폐장치
[해설작성자 : kbs]

11. 수평보행기에서 경사각이 몇 도(°) 이하인 경우, 디딤판을 광폭형으로 설치할 수 있는가?
     1.
     2.
     3. 10°
     4. 12°

     정답 : []
     정답률 : 35%
     <문제 해설>
경사각이 6도 이하여야 광폭형을 설치할 수있다.
[해설작성자 : 버터]

12. 자동차용 엘리베이터나 대형 화물용 엘리베이터에 주로 사용하는 도어 개폐방식은?
     1. CO
     2. SO
     3. UD
     4. UP

     정답 : []
     정답률 : 67%
     <문제 해설>
자동차용 승강기나 대형 화물형 승강기에 사용하는 도어 개폐방식은 UP 이라고 외웁시다.
[해설작성자 : 양준하]

13. 기계실로 가는 계단의 폭은 얼마 이상으로 해야 하는가?
     1. 0.5m
     2. 0.7m
     3. 0.9m
     4. 1.1m

     정답 : []
     정답률 : 53%
     <문제 해설>
기계실로 가는 계단의 폭은 0.7m, 70cm 라고 외워두시면 좋습니다.
[해설작성자 : 광운공고 모소과 2-1 18번]

14. 엘리베이터의 속도가 규정치 이상이 되었을 때 작동하여 동력을 차단하고 비상정지를 작동시키는 기계장치는?
     1. 구동기
     2. 조속기
     3. 완충기
     4. 도어스위치

     정답 : []
     정답률 : 80%
     <문제 해설>
엘레베이터가 미리 정해진 속도에 도달할 때 엘레베이터를 정지시키고 필요 할 때 비상정지장치를 작동시키는 장치.
[해설작성자 : 군대 자격증]

15. 교류 귀환제어방식에 관한 설명으로 옳은 것은?
     1. 카의 실속도와 지력속도를 비교하여 다이오드의 점호각을 바꿔 유도전동기의 속도를 제어한다.
     2. 유도전동기의 1차측 각 상에서 사이리스터와 다이오드를 병렬로 접속하여 토크를 변화시킨다.
     3. 미리 정해진 지령속도에 따라 제어되므로 승차감 및 착상도가 좋다.
     4. 교류 이단속도와 같은 저속주행시간이 없으므로 운전 시간이 길다.

     정답 : []
     정답률 : 34%
     <문제 해설>
교류 귀환 제어 방식은 카의 실속도와 지령속도를 비교하여 사이리스터의 점호각을 바꾸어 유도 전동기의 속도를 제어하는 방식으로 고속용 승강기에 사용됩니다.
[해설작성자 : 나주공고 박지성]

2과목 : 안전관리


16. 기계실이 있는 엘리베이터의 정격속도가 90m/min인 경우 비상정지장치의 작동속도는?
     1. 108m/min 이하
     2. 112.5m/min 이하
     3. 117m/min 이하
     4. 126m/min 이하

     정답 : []
     정답률 : 43%
     <문제 해설>
비상정지장치의 작동속도는 정격속도의 1.4배일때 작동이 됩니다^^
[해설작성자 : 석유화학고 5기계전과 화이팅]

17. 균형추 쪽에도 비상정지장치를 설치해야 하는 경우는?
     1. 정격속도가 360m/min 이상인 승객용
     2. 정격속도가 400m/min 이상인 승객용
     3. 피트 바닥부하를 거실 등으로 사용할 경우
     4. 가이드 레일의 길이가 짧은 경우

     정답 : []
     정답률 : 53%
     <문제 해설>
바닥아래를 거실이나,통로 등으로 사용할경우 설치합니다
[해설작성자 : 아이언맨]

18. 엘리베이터 정전 시 카 내를 조명하여 승객의 불안을 줄여주는 조명에 대한 설명으로 옳은 것은?(관련 규정 개정전 문제로 여기서는 기존 정답인 3번을 누르면 정답 처리됩니다. 자세한 내용은 해설을 참고하세요.)
     1. 램프 중심부에서 2m 떨어진 수직면에서 3lx 이상의 밝기가 필요하다.
     2. 램프 중심부에서 1m 떨어진 수직면에서 2lx 이상의 밝기가 필요하다.
     3. 램프 중심부에서 2m 떨어진 수직면에서 2lx 이상의 밝기가 필요하다.
     4. 램프 중심부에서 1m 떨어진 수직면에서 3lx 이상의 밝기가 필요하다.

     정답 : []
     정답률 : 77%
     <문제 해설>
카    내에서는 정전시 램프중심부에서 2m 떨어진 수직면에서 2Lux이상의 밝기가필요하다. -행안부고시 제 2012-14호 에의거 2013년 9월 14일 부터 승강기 검사기준개정건. 그이전엔 1lux가 답이었음
[해설작성자 : 제주폴리전기]

이 문제 책에 보면 2019년에 법 개정으로 인해서 1m위에5Lx이상의 밝기가 필요하다고해서 문제 보기하나가 바뀌어 있어요
[해설작성자 : 여갸]

19. 승강로 작업 시 착용하는 보호구로 알맞지 않은 것은?
     1. 안전모
     2. 안전대
     3. 핫스틱
     4. 안전화

     정답 : []
     정답률 : 84%
     <문제 해설>
핫스틱은 활선 작업용 기구입니다.
[해설작성자 : 장성준]

20. 문 닫힘 안전장치의 동작 중 부적합한 것은?
     1. 사람이나 물건이 도어 사이에 끼이게 되면 도어의 닫힘 동작이 중단되고 열림 동작으로 바뀌게 되는 장치이다.
     2. 문 닫힘 안전장치는 엘리베이터의 중요한 안전장치로 동작이 확실해야 된다.
     3. 장치를 작동시키면 즉시 도어의 열림 동작이 멈추어야 한다.
     4. 닫힘 동작이 멈춘 후에는 즉시 열림 동작에 의하여 도어가 열려야 한다.

     정답 : []
     정답률 : 68%
     <문제 해설>
문 닫힘 안전장치인데 열림동작이 멈추는것은 틀린것이죠
[해설작성자 : 복학생]

21. 카 상부 작업 시의 안전수칙으로 옳지 않은 것은?
     1. 작업개시 전에 작업등을 켠다.
     2. 이동 중에 로프를 손으로 잡아서는 안된다.
     3. 운전 선택스위치는 자동으로 설치한다.
     4. 안전스위치를 작동시켜 안전회로를 차단시킨다.

     정답 : []
     정답률 : 60%
     <문제 해설>
작업이나 점검시에는 수동으로한다.
[해설작성자 : 승강기가즈아]

22. 안전검사 시의 유의사항으로 옳지 않은 것은?
     1. 여러 가지의 점검방법을 병용하여 점검한다.
     2. 과거의 재해 발생 부분은 고려할 필요 없이 점검한다.
     3. 불량부분이 발견되면 다른 동종의 설비도 점검한다.
     4. 발견된 불량부분은 원인을 조사하고 필요한 대책을 강구한다.

     정답 : []
     정답률 : 85%
     <문제 해설>
과거에 재해가 발생했던 부분은 점검을 해서 다시 발생하지 않도록 해야 합니다. 또한 여러가지 점검방법을 다 써서 점검하고 불량 부분이 발견되면 그것과 관련된 설비도 점검하고 불량이 발생하면 원인을 조사해야 합니다
[해설작성자 : 인직이 아들 참....직]

23. 전기적 문제로 볼 때 감전사고의 원인으로 볼 수 없는 것은?
     1. 전기기구나 공구의 절연파괴
     2. 장시간 계속 운전
     3. 정전작업 시 접지를 안 한 경우
     4. 방전코일이 없는 콘덴서를 사용

     정답 : []
     정답률 : 79%
     <문제 해설>
운전하고 전기하고 관련이없습니다~
[해설작성자 : 요옹공]

24. 재해의 발생 순서로 옳은 것은?
     1. 이상상태 - 불안전 행동 및 상태 - 사고 - 재해
     2. 이상상태 - 사고 - 불안전 행동 및 상태 - 재해
     3. 이상상태 - 재해 - 사고 - 불안전 행동 및 상태
     4. 재해 - 이상상태 - 사고 - 불안전 행동 및 상태

     정답 : []
     정답률 : 80%
     <문제 해설>
쉽게 푸세요 일단 사고나 재해가 뒤라는 건 누구나 알죠? 그러니까 1번이요 좀 더 보자면 재해가 발생하기 전에 맨 처음엔 이상상태가 가장 먼저 발견됩니다.
[해설작성자 : 인직이 아들 참...직]

25. 엘리베이터의 안전장치에 관한 설명으로 틀린 것은?
     1. 작업 형편상 경우에 따라 일시 제거해도 좋다.
     2. 카의 출입문이 열려 있을 경우 움직이지 않는다.
     3. 불량할 때는 즉시 보수한 다음 작업한다.
     4. 반드시 작업 전에 점검한다.

     정답 : []
     정답률 : 82%
     <문제 해설>
어떠한 이유라도 안전장치는 제거하면 안됩니다..
[해설작성자 : 승강기 기능사준비생]

26. 이상 시 재해원인 중 통계적 재해 분류에 속하지 않는 것은?
     1. 중상해
     2. 경상해
     3. 중미상해
     4. 경미상해

     정답 : []
     정답률 : 51%
     <문제 해설>
아래와 같은 오류 신고가 있었습니다.
여러분들의 많은 의견 부탁 드립니다.
추후 여러분들의 의견을 반영하여 정답을 수정하도록 하겠습니다.
참고로 정답 변경은 오류 신고 5회 이상일 경우 수정합니다.

[오류 신고 내용]
책에서 4번이라고 적혀있었므

[추가 오류 신고]
책에 4번이라고 적혀있음
[해설작성자 : 이세인]

[관리자 입니다.
다른 문제집 확인 가능한분 계시면 확인 부탁 드립니다.
신고시 출판사명까지 기제 부탁 드립니다.]

[오류신고 반론]
삼원북스에 나 합격책에는 3번이라고 나와있습니다
통계적으로 재해분류에서 경상해,중상해,무상해(경미상해)로 구분된다라고 나와있습니다
[해설작성자 : 학생]

[오류신고 반론]
중미상해가 어딨어요... 당연히 3번이지

27. 에스컬레이터 사고 발생 중 가장 많이 발생하는 원인은?
     1. 과부하
     2. 기계불량
     3. 이용자의 부주의
     4. 작업자의 부주의

     정답 : []
     정답률 : 64%
     <문제 해설>
에스컬레이터 에서 까불다가 손 잘립니다.
[해설작성자 : 조던]

28. 전기화재의 원인이 아닌 것은?
     1. 누전
     2. 단락
     3. 과전류
     4. 케이블 연피

     정답 : []
     정답률 : 61%
     <문제 해설>
전기화재의 원인등은 정전기,절연열화,과전류,스파크,누전,단락,접촉부의 과열,지락 등이 있다. 그러므로 케이블 연피는 해당하지
않으므로 원인이 될 수없다.
[해설작성자 : 버터]

29. 엘리베이터에 많이 사용하는 가이드 레일의 허용응력은 보통 몇 kgf/cm2인가?
     1. 1,000
     2. 1,450
     3. 2,100
     4. 2,400

     정답 : []
     정답률 : 47%
     <문제 해설>
가이드레일 재질 = SS400
SS400 의 허용응력 2400kg/Cm^2(24kg/mm^2)입니다
[해설작성자 : ㅎㅎ]

30. 비상정지장치에 대한 설명 중 옳지 않은 것은?
     1. 승강로 피트 하부가 통로로 사용된 경우는 카측에만 설치하여야 한다.
     2. 속도 45m/min 이하에는 순간적으로 정지시키는 즉시 작동형이 사용된다.
     3. 정격속도 90m/min인 경우 126m/min에서 작동하였다.
     4. 45m/min 초과의 승강기는 정격속도의 1.4배를 넘지 않는 범위에서 작동하여야 한다.

     정답 : []
     정답률 : 44%
     <문제 해설>
승강로 피트 하부가 통로로 사용되면 균형추가 밑으로 떨어지면 어떡해요!! 그래서 균형추에도 비상정지장치를 달아야 합니다.
[해설작성자 : ㅎㅎ]

3과목 : 승강기보수


31. 이동식 핸드레일은 운행 전 구간에서 디딤판과 핸드레일의 속도 차는 몇 [%]인가?
     1. 0~2
     2. 3~4
     3. 5~6
     4. 7~8

     정답 : []
     정답률 : 79%
     <문제 해설>
디딤판과 핸드레일의 속도 차는 나면 안되겠죠??
[해설작성자 : 석화고 6기 계전과 귀요미]

32. 에스컬레이터의 구조로서 옳지 않은 것은?
     1. 디딤판과 콤(Comb)이 맞물리는 지점에 물체가 끼었을 때 승강을 자동적으로 정지시키는 장치가 있어야 한다.
     2. 디딤판 디딤면의 주행방향 길이는 400mm 이상, 폭은 560mm 이상이어야 한다.
     3. 경사도는 30° 이하로 하며 다만 층고가 6m 이하일 때는 35° 이하로 할 수 있다.
     4. 디딤판과 디딤판과의 높이 차는 200mm 이하이어야 한다.

     정답 : []
     정답률 : 42%
     <문제 해설>
에스컬레이터 디딤판 디딤면의 주행방향 길이는 400[mm]이상, 폭은 560[mm]이상, 1,020[mm]이하이어야 하며, 디딤판과 디딤판과의 높이차는 215[mm]이하이어야한다. 다만 에스컬레이터의 경사각이 30도를 초과하는경우에는 디딤판과 디딤판과의 높이차는 240[mm] 이하로 할 수 있다.
[해설작성자 : 제주폴리전기]

33. 비상용 엘리베이터는 정전 시 몇 초 이내에 엘리베이터 운행에 필요한 전력용량이 자동적으로 발생되어야 하는가?
     1. 60
     2. 90
     3. 120
     4. 150

     정답 : []
     정답률 : 73%
     <문제 해설>
60초 이내, 2시간동안 작동해야 한다.
[해설작성자 : 충북에너지고 대장 김경원]

34. 카가 최하층에 정지하였을 때 균형추 상단과 기계실 하부와의 거리는 카 하부와 완충기와의 거리보다 어떤 상태이어야 하는가?
     1. 작아야 한다.
     2. 커야 한다.
     3. 같아야 한다.
     4. 크거나 작거나 관계없다.

     정답 : []
     정답률 : 50%
     <문제 해설>
카가 완충기에 충돌하기 전 균형추가 기계실 하부에 충돌하기 때문에 균형추 상단과 기계실 하부와의 거리가 카와 완충기와의 거리보다 커야한다.
[해설작성자 : 이ㅋ명]

35. 엘리베이터의 파킹 스위치를 설치해야 하는 곳은?
     1. 오피스 빌딩
     2. 공동주택
     3. 숙박시설
     4. 의료시설

     정답 : []
     정답률 : 55%
     <문제 해설>
행정안전부 고시 제2009-67호 검사기준에 따라 ※3.1.6(19) 엘리베이터의 안정된 사용 및 정지를 위하여 파킹스위치를 설치하여야 하며 다음 기준에 적합하여야 한다. 다만 공동주택, 숙박시설, 의료시설은 제외할 수 있다.
[해설작성자 : gg]

36. 엘리베이터의 운행속도를 기계적이고 전기적인 방법으로 동시에 검출하고 작동하는 안전장치는?
     1. 제동기
     2. 비상정지장치
     3. 조속기
     4. 브레이크

     정답 : []
     정답률 : 69%
     <문제 해설>
조속기는 모터에 가해지는 전원을 차단하여 카를 정지시키는 장치로, 엘리베이터의 운행속도를 검출하는 안정장치이다.
(암기해두시면 좋아요~^^)
[해설작성자 : 버터]

37. 압력배관 작업에 사용되는 배관이음방식에 해당되지 않는 것은?
     1. 관용나사를 사용한 나사이음
     2. 일반나사를 사용한 나사이음
     3. 플랜지 이음
     4. 빅토리 타입 이음

     정답 : []
     정답률 : 51%
     <문제 해설>
압력배관 작업에는 일반나사를 사용하면 절대 안됩니다.
[해설작성자 : 광운전자공업고등학교 모소과 2-1반 장진]

38. 엘리베이터 제어장치의 보수점검 및 조정방법으로 틀린 것은?
     1. 절연저항 측정
     2. 전동기의 진동 및 소음
     3. 저항기의 불량 유무 확인
     4. 각 접점의 마모 및 작동상태

     정답 : []
     정답률 : 32%
     <문제 해설>
전동기는 동력설비이다
[해설작성자 : kbs]

39. 레일은 5m 단위로 제조되는데 T형 가이드 레일에서 13k, 18k, 24k, 30k를 바르게 설명한 것은?
     1. 가이드 레일 형상
     2. 가이드 레일 길이
     3. 가이드 레일 1m의 무게
     4. 가이드 레일 5m의 무게

     정답 : []
     정답률 : 68%
     <문제 해설>
가이드 레일의 호칭은 1[m]당 중량으로 한다.
(은근히 1m랑 5m 헷갈리는 분들 꽤 있으신데, 잘 암기해두세요^^)
[해설작성자 : 버터]

40. 유압엘리베이터의 역저지(체크)밸브에 대한 설명으로 옳은 것은?
     1. 작동유의 압력이 150[%]를 넘지 않도록 하는 밸브이다.
     2. 수동으로 카를 하강시키기 위한 밸브이다.
     3. 카의 정지 중이나 운행 중 작동유의 압력이 떨어져 카가 역행하는 것을 방지하는 밸브이다.
     4. 안전밸브와 역저지 밸브 사이에 설치

     정답 : []
     정답률 : 67%
     <문제 해설>
체크 밸브는
오일이 역류하거나 카가 자유낙하 하는 것을 방지합니다.
[해설작성자 : 나주공고 박지성]

41. 비상정지장치의 작동으로 카가 정지할 때까지 레일이 죄는 힘이 처음에는 약하게 그리고 하강함에 따라 강해지다가 얼마 후 일정치로 도달하는 방식은?
     1. 순간식 비상정지장치
     2. 슬랙로프 세이프티
     3. 플렉시블 가이드 클램프 방식
     4. 플렉시블 웨지 클램프 방식

     정답 : []
     정답률 : 62%
     <문제 해설>
F.G.C (flexible guide clamp) - 레일을 조이는 힘이 동작에서 정지까지 일정
F.W.C (flexible wedge clamp) - 레일을 조이는 힘이 초기에는 약하나 점점 강해진 후 일정
[해설작성자 : 승강기붙고싶다]

42. 로프식 승객용 엘리베이터에서 자동 착상 장치가 고장났을 때의 현상으로 볼 수 없는 것은?
     1. 고속에서 저속으로 전환되지 않는다.
     2. 최하층으로 직행 감속되지 않고 완충기에 충돌하였다.
     3. 어느 한쪽 방향의 착상오차가 100㎜ 이상 일어난다.
     4. 호출된 층에 정지하지 않고 통과한다.

     정답 : []
     정답률 : 43%
     <문제 해설>
2번은 파이널 리미트 스위치가 고장났을 경우
[해설작성자 : 앰주공고]

43. 다음 중 치수가 가장 큰 것은?
     1. 이동케이블과 레일 브래킷 사이의 간격
     2. 테일코드와 카의 간격
     3. 테일코드와 테일코드 사이의 간격
     4. 카 도어 열림 시 출입구 기둥과 도어단자 사이의 간격

     정답 : []
     정답률 : 41%

44. 유압엘리베이터에서 도르래의 직경은 보통 주로프 직경의 몇 배 이상인가?
     1. 10
     2. 20
     3. 30
     4. 40

     정답 : []
     정답률 : 58%
     <문제 해설>
주로프40배, 조속기30배
[해설작성자 : 조커]

45. 강도가 다소 낮으나 유연성을 좋게 하여 소선이 파단 되기 어렵고 도르래의 마모가 적게 제조되어 엘리베이터에 사용되는 소선은?
     1. E종
     2. A종
     3. G종
     4. D종

     정답 : []
     정답률 : 59%
     <문제 해설>
로프 : E종(보통E/V사용), A종(초고층E/V사용), B종(E/V에 사용 거의 안함). G종(습도가 높은 연장에 사용)
[해설작성자 : 홍길동(홍용희)]

46. 유압엘리베이터의 카가 최하층에 정지하였을 때 완충기와의 거리는 최대 몇 ㎜이하인가?
     1. 300
     2. 400
     3. 500
     4. 600

     정답 : []
     정답률 : 37%
     <문제 해설>
카 : 600mm
균형추 : 900mm
[해설작성자 : 버터]

47. 회전측에서 베어링과 접촉하고 있는 부분을 무엇이라고 하는가?
     1. 저널
     2. 체인
     3. 베어링
     4.

     정답 : []
     정답률 : 58%
     <문제 해설>
축의 베어링으로 지지되어 있는 부분을 "저널"이라고 합니다
[해설작성자 : 군대 자격증]

48. 베어링의 구비 조건이 아닌 것은?
     1. 마찰 저항이 적을 것
     2. 강도가 클 것
     3. 가공수리가 쉬울 것
     4. 열전도도가 적을 것

     정답 : []
     정답률 : 47%
     <문제 해설>
베어링이 구비조건

마모가 적고 내구성이 클 것
충격하중에 강할 것
강도와 강성이 클 것
내식성이 좋을 것
가공수리가 쉬울 것
열변형이 적고 열전도율이 좋을 것
[해설작성자 : 버터]

49. SCR의 게이트 작용은?
     1. 소자의 ON-OFF 작용
     2. 소자의 Turn-on 작용
     3. 소자의 브레이크 다운 작용
     4. 소자의 브레이크 오버 작용

     정답 : []
     정답률 : 46%

50. 전동기 주회로의 전압이 400V를 초과할 때 절연저항은 몇 MΩ 이상이어야 하는가?
     1. 0.2
     2. 0.4
     3. 0.6
     4. 1.0

     정답 : []
     정답률 : 63%
     <문제 해설>
150볼트이하ㅡ0.1메가옴
150초과~300이하ㅡ0.2
300초과~400미만ㅡ0.3
400초과ㅡ0.4
[해설작성자 : 광주공고 전기과 김참직]

51. 제어시스템의 과도응답 해석에 가장 많이 쓰이는 입력 모양은?(단, 가로축은 시간이다.)
     1.
     2.
     3.
     4.

     정답 : []
     정답률 : 42%
     <문제 해설>
1번 : 문제처럼 과도응답 해석에 가장 많이 쓰입니다.
2번 : 즉시작동형 비상정지장치 작동 그래프입니다.
3번 : 그냥 만들어낸 그래프로 보입니다.
4번 : F.W.C(플렉시블 웨지 클램프)의 작동 그래프입니다.
[해설작성자 : 승강기기능사란]

52. 전자유도현상에 의한 유도기전력의 방향을 정하는 것은?
     1. 플레밍의 오른손법칙
     2. 옴의 법칙
     3. 플레밍의 왼손법칙
     4. 렌츠의 법칙

     정답 : []
     정답률 : 51%
     <문제 해설>
유도 기전력의 방향은 렌츠
유도 기전력의 크기는 페러데이
[해설작성자 : 내일 시험이당]

렌츠의 법칙은 자기선속의 변화를 방해하는 방향으로 유도전류를 생성하는 것을 말합니다.
[해설작성자 : 나주공고 박지성]

53. 와이어로프의 사용 하중의 파단강도의 어느 정도로 하면 되는가?
     1. 1/2 ~ 1/5
     2. 1/5 ~ 1/10
     3. 2/3 ~3/5
     4. 1/10 ~ 1/15

     정답 : []
     정답률 : 52%

54. 인장(파단)강도가 400kg/cm2인 재료를 사용응력 100kg/cm2로 사용하면 안전계수는?
     1. 1
     2. 2
     3. 3
     4. 4

     정답 : []
     정답률 : 71%
     <문제 해설>
안전율= 극한강도/허용응력=인장강도/허용응력=400/100=4
[해설작성자 : 인천기능장준비생]

55. 변형량과 원래 치수와의 비를 변형률이라 하는데 다음중 변형률의 종류가 아닌 것은?
     1. 가로 변형률
     2. 세로 변형률
     3. 전단 변형률
     4. 전체 변형률

     정답 : []
     정답률 : 65%
     <문제 해설>
변형률의 종류는 크게 4가지로 나뉜다. 가로변형률(압축변형률),세로변형률(인장변형률),전단변형률,부피변형률
[해설작성자 : 버터]

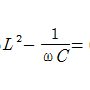
56. 그림과 같은 회로의 합성저항 R은 몇 Ω인가?

    

     1. 3/10
     2. 10/3
     3. 3
     4. 10

     정답 : []
     정답률 : 70%
     <문제 해설>
직렬 합성저항이니 다 더해주시면 됩니다.

57. 3상 교류 전원을 받아서 직류전동기를 구동시키기 위해 DC전원을 만드는 장치는?
     1. 권상기
     2. 정전압장치
     3. 전동발전기
     4. 브리지회로

     정답 : []
     정답률 : 43%

58. 접지저항을 측정하는데 적합하지 않은 것은?
     1. 절연저항계
     2. Wenner 4전극법
     3. 어스 테스터
     4. 콜라우시 브리지법

     정답 : []
     정답률 : 44%
     <문제 해설>
접지저항과 절연저항은 전혀 관계가 없습니다. 완전 다른내용
[해설작성자 : 합격하세요]

59. 동일 규격의 축전지 2개를 병렬로 접속하면 전압과 용량의 관계는 어떻게 되는가?
     1. 전압과 용량이 모두 반으로 줄어든다.
     2. 전압과 용량이 모두 2배가 된다.
     3. 전압은 반으로 줄고 용량은 2배가 된다.
     4. 전압은 변하지 않고 용량은 2배가 된다.

     정답 : []
     정답률 : 44%
     <문제 해설>
축전지 하나의 전압과 용량을 각각 1이라고 하면,
직렬로 2개 접속하면 전압은 2가되고 용량은 1이 됩니다.
반대로 병렬로 2개를 접속하면 전압은 1이되고 용량은 2가 됩니다.
따라서 답은 4번 입니다.
[해설작성자 : 비전동전기남]

60. 다음 중 속도를 제어하는 제어법이 아닌 것은?
     1. 계자 제어법
     2. 전류 제어법
     3. 저항 제어법
     4. 전압 제어법

     정답 : []
     정답률 : 34%
     <문제 해설>
직류전동기의 속도 제어법
1) 전압제어
2) 계자제어
3) 저항제어
[해설작성자 : 태태태민]

직류전동기 속도 제어방법 세가지.
1. 저항에 의한 속도제어. 1) 공식을 보면 저항의 크기로 속도 조절이 가능하다. ...
2. 계자에 의한 속도제어. 1) 자속의 수를 증감해 속도 조절이 가능하다. ...
3. 전압에 의한 속도제어. 1) 전압의 값 V가 증가하면 속도는 이에 비례하여 증가한다.
[해설작성자 : 성중]


정 답 지

1

2

3

4

5

6

7

8

9

10

11

12

13

14

15

16

17

18

19

20

21

22

23

24

25

26

27

28

29

30

31

32

33

34

35

36

37

38

39

40

41

42

43

44

45

46

47

48

49

50

51

52

53

54

55

56

57

58

59

60

승강기기능사 필기 기출문제(해설) 및 CBT 2013년10월12일(5회)을 이용해 주셔서 감사합니다.
승강기기능사, 승강기, 기능사, 필기, 기출문제, 전자문제집, CBT, 온라인, 모의테스트, 모의고사



List of Articles
번호 제목 글쓴이 날짜 조회 수
12935 승강기기능사 필기 기출문제(해설) 및 CBT 2014년10월11일(5회)(5815) 좋은아빠되기 2025.11.25 2
12934 승강기기능사 필기 기출문제(해설) 및 CBT 2014년04월06일(2회)(5814) 좋은아빠되기 2025.11.25 2
12933 승강기기능사 필기 기출문제(해설) 및 CBT 2014년01월26일(1회)(5813) 좋은아빠되기 2025.11.25 1
» 승강기기능사 필기 기출문제(해설) 및 CBT 2013년10월12일(5회)(5812) 좋은아빠되기 2025.11.25 1
12931 승강기기능사 필기 기출문제(해설) 및 CBT 2013년04월14일(2회)(5811) 좋은아빠되기 2025.11.25 2
12930 승강기기능사 필기 기출문제(해설) 및 CBT 2013년01월27일(1회)(5810) 좋은아빠되기 2025.11.25 2
12929 승강기기능사 필기 기출문제(해설) 및 CBT 2012년10월20일(5회)(5809) 좋은아빠되기 2025.11.25 3
12928 승강기기능사 필기 기출문제(해설) 및 CBT 2012년04월08일(2회)(5808) 좋은아빠되기 2025.11.25 1
12927 승강기기능사 필기 기출문제(해설) 및 CBT 2012년02월12일(1회)(5807) 좋은아빠되기 2025.11.25 3
12926 승강기기능사 필기 기출문제(해설) 및 CBT 2011년10월09일(5회)(5806) 좋은아빠되기 2025.11.25 3
12925 승강기기능사 필기 기출문제(해설) 및 CBT 2011년04월17일(2회)(5805) 좋은아빠되기 2025.11.25 3
12924 승강기기능사 필기 기출문제(해설) 및 CBT 2011년02월13일(1회)(5804) 좋은아빠되기 2025.11.25 1
12923 승강기기능사 필기 기출문제(해설) 및 CBT 2010년10월03일(5회)(5803) 좋은아빠되기 2025.11.25 3
12922 승강기기능사 필기 기출문제(해설) 및 CBT 2010년03월28일(2회)(5802) 좋은아빠되기 2025.11.25 2
12921 승강기기능사 필기 기출문제(해설) 및 CBT 2010년01월31일(1회)(5801) 좋은아빠되기 2025.11.25 3
12920 승강기기능사 필기 기출문제(해설) 및 CBT 2009년09월27일(5회)(5800) 좋은아빠되기 2025.11.25 1
12919 승강기기능사 필기 기출문제(해설) 및 CBT 2009년03월29일(2회)(5799) 좋은아빠되기 2025.11.25 3
12918 승강기기능사 필기 기출문제(해설) 및 CBT 2009년01월18일(1회)(5798) 좋은아빠되기 2025.11.25 2
12917 승강기기능사 필기 기출문제(해설) 및 CBT 2008년10월05일(5회)(5797) 좋은아빠되기 2025.11.25 3
12916 승강기기능사 필기 기출문제(해설) 및 CBT 2008년03월30일(2회)(5796) 좋은아빠되기 2025.11.25 0
Board Pagination Prev 1 ... 507 508 509 510 511 512 513 514 515 516 ... 1158 Next
/ 1158