자격증 필기 기출문제



환경기능사 필기 기출문제(해설) 및 CBT 2002년10월06일(5회)(6249)

최강 자격증 기출문제 전자문제집 CBT : www.comcbt.com


전자문제집 CBT란?

종이 문제집이 아닌 인터넷으로 문제를 풀고 자동으로 채점하며 모의고사, 오답 노트, 해설까지 제공하는
무료 기출문제 학습 프로그램으로 실제 상설검정에서 사용하는 OMR 형식의 CBT를 제공합니다.


최신 환경기능사 필기 기출문제 : [다운로드]

1과목 : 대기오염방지


1. 유해가스와 물이 일정온도에서 평형상태에 있을 때 기상의 유해가스 분압이 76mmHg이고, 수중 유해가스 농도가 2Kmol/m3라 가정하면 헨리상수(atm·m3/kmol)는? (단, 전압은 atm으로 하며, 헨리의 법칙은 P = HC, P : 분압, H : 헨리상수, C : 농도)
     1. 0.05
     2. 0.2
     3. 20
     4. 38

     정답 : []
     정답률 : 36%

2. 어떤 집진장치의 집진효율이 99%이고 집진시설 유입구의 먼지농도가 10.5g/Nm3일 때 출구농도는?
     1. 0.0105g/Nm3
     2. 105㎎/m3
     3. 1.05g/Nm3
     4. 1050㎎/m3

     정답 : []
     정답률 : 48%
     <문제 해설>
집진효율 99% => 1%만 남음
10.5 * 0.01 = 0.105g/Nm3 = 105mg/Nm3
[해설작성자 : comcbt.com 이용자]

3. 표준상태에서 대류권내 정상공기 조성 중 가장 큰 부피를 차지하는 것은?
     1. 질소
     2. 산소
     3. 탄산가스
     4. 아르곤

     정답 : []
     정답률 : 78%
     <문제 해설>
대기의 구성 성분 : 질소(78%), 산소(21%), 아르곤(0.93%), 이산화탄소(0.04%), 기타(0.03%)
[해설작성자 : OLDBOY]

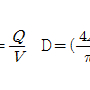
4. 가로 a, 세로 b인 직사각형의 상당지름 De은 얼마인가?
     1.
     2.
     3.
     4.

     정답 : []
     정답률 : 68%

5. 함진가스를 방해판에 충돌시켜 기류의 급격한 방향전환을 이용한 집진장치를 다음 중에서 고르면?
     1. 중력 집진장치
     2. 전기 집진장치
     3. 여과 집진장치
     4. 관성력 집진장치

     정답 : []
     정답률 : 86%
     <문제 해설>
방해판 => 관성력 집진장치
[해설작성자 : comcbt.com 이용자]

6. 압축된 프로판(C3H8 )가스 1kg이 모두 기화된다면 표준상태 에서 몇 Sm3 이 되는가?
     1. 0.51Sm3
     2. 0.69Sm3
     3. 0.76Sm3
     4. 0.85Sm3

     정답 : []
     정답률 : 29%
     <문제 해설>
프로판가스 분자량 = 44
1kg = 약 22.73mol

표준상태에서 1mol = 22.4L
22.73mol = 약 509.09L = 약 0.509m3
[해설작성자 : 트리님]

7. Stokes 영역에서 입자의 종말속도(Vt)를 나타내는 식으로 맞는 것은? (단, d:입자직경, g:중력가속도, ρs :고체입자밀도, ρg :가스밀도, ㎍:가스점도 )
     1. Vt = d2·g(ρs-ρg ) / (18㎍)
     2. Vt = d· g(ρs-ρg ) / (9㎍)
     3. Vt = d· g(ρs-ρg ) / (18㎍)
     4. Vt = d2·g(ρs-ρg ) / (9㎍)

     정답 : []
     정답률 : 49%

8. 연소가스와 대기의 온도가 각각 220℃와 20℃일 때 통풍력이 25mmH2O가 되기 위한 굴뚝의 높이는? (단, 연소가스 및 대기의 표준상태에서의 비중량은 1.3kg/Sm3이다.)
     1. 47m
     2. 51m
     3. 55m
     4. 59m

     정답 : []
     정답률 : 40%

9. 20℃, 740mmHg에서 SO2가스의 농도가 5ppm이다. 표준상태 (S.T.P)로 환산한 농도는 몇 ppm인가?
     1. 4.54
     2. 5.00
     3. 5.51
     4. 12.96

     정답 : []
     정답률 : 46%

10. 연료의 발열량에는 고발열량과 저발열량이 있는데, 이들 값의 차이는 무엇인가?
     1. 연료 중의 탄소 성분의 연소열
     2. 연소 시 발생되는 비산재의 현열
     3. 연료의 불완전 연소로 생성된 일산화탄소의 연소열
     4. 연료중의 수분 및 연소에 의해 생성된 수분의 응축열

     정답 : []
     정답률 : 54%

11. 유해가스 흡수 장치에서 흡수액의 구비 조건에 대한 설명 중 옳지 않은 것은?
     1. 점성이 커야 한다.
     2. 용해도가 커야 한다.
     3. 휘발성이 작아야 한다.
     4. 화학적으로 안정해야 한다.

     정답 : []
     정답률 : 67%
     <문제 해설>
점성이 크면 오히려 흡수를 하기 힘듬.
고로 정담은 1번
[해설작성자 : LC]

12. 촉매 산화법으로 악취물질을 함유한 가스를 산화, 분해하여 처리하고자 할 때, 연소 온도 범위는?
     1. 100∼200℃
     2. 300∼400℃
     3. 500∼600℃
     4. 700∼800℃

     정답 : []
     정답률 : 64%

13. 연소과정에서 주로 발생하는 질소 산화물의 형태는?
     1. NO
     2. NO2
     3. NO3
     4. N2O

     정답 : []
     정답률 : 59%

14. 다음 중 전기 집진장치의 장점으로 볼 수 없는 것은?
     1. 고효율 집진 장치이다.
     2. 미립자의 집진이 가능하다.
     3. 초기 시설비가 적게 든다.
     4. 고온 가스에서도 처리가 가능하다.

     정답 : []
     정답률 : 68%

15. 여과식 집진장치의 집진 원리와 가장 거리가 먼 것은?(오류 신고가 접수된 문제입니다. 반드시 정답과 해설을 확인하시기 바랍니다.)
     1. 관성 충돌
     2. 직접 차단
     3. 확산 포집
     4. 중력 침강

     정답 : []
     정답률 : 37%
     <문제 해설>
아래와 같은 오류 신고가 있었습니다.
여러분들의 많은 의견 부탁 드립니다.
추후 여러분들의 의견을 반영하여 정답을 수정하도록 하겠습니다.
참고로 정답 변경은 오류 신고 5회 이상일 경우 수정합니다.

[오류 신고 내용]
보기 오류인 것 같습니다.

여과 집진장치의 원리
1마이크로미터 보다 큰 입자 : 직접차단,관성 충돌,중력 침강
1마이크로미터보다 작은 입자 : 정전기, 확산에 의해 제거

보기 답이 전부 맞는 답으로 나온 거 같아서..

[관리자 입니다.
다른 문제집 확인 가능한분 계시면 확인 부탁 드립니다.
신고시 출판사명까지 기제 부탁 드립니다.]

[추가 오류 신고]
3번이답입니다

[추가 오류 신고]
나합격 환경기능사 63쪽을 보면 여과집진장치의 원리는 중력침강,관성충돌,직접차단,확산포집입니다
즉 답이 없습니다 전부 여과집진장치 원리입니다
[해설작성자 : 모두의지인]

2과목 : 폐수처리


16. 탄소동화작용을 하지 않고 유기물질을 섭취하는 미생물 이며 폐수내의 질소와 용존산소가 부족한 경우에도 잘 성장하여 슬러지팽화를 유발하는 것은?
     1. 균류, 곰팡이류
     2. 조류
     3. 세균류
     4. 원생동물류

     정답 : []
     정답률 : 59%

17. 생물학적 원리를 이용한 하수고도처리공법 중 A/0공법의 공정으로 알맞은 것은?
     1. 포기조-무산소조-침전지
     2. 무산소조-포기조-무산소조-재폭기조-침전지
     3. 혐기조-포기조-침전지
     4. 혐기조-호기조-무산소조-침전지

     정답 : []
     정답률 : 53%

18. 생물학적 원리를 이용하여 인(P)을 효과적으로 제거하기 위한 고도처리 공법은?
     1. 활성슬러지 공법
     2. 3단계 Bardenpho 공법
     3. phostrip 공법
     4. 살수여상 공법

     정답 : []
     정답률 : 68%

19. ppm으로 표시되는 물의 경도 표시는?
     1. CaCO3 mg/H2O 1L
     2. CaO mg/H2O 1L
     3. CaCO3 mg/H2O 100cc
     4. CaO mg/H2O 100cc

     정답 : []
     정답률 : 53%

20. 순수한 물의 농도는?
     1. 45.56M
     2. 55.56M
     3. 65.56M
     4. 75.56M

     정답 : []
     정답률 : 49%

21. 성층현상이 뚜렷한 계절을 알맞게 짝지은 것은?
     1. 겨울, 가을
     2. 가을, 봄
     3. 겨울, 여름
     4. 봄, 여름

     정답 : []
     정답률 : 72%
     <문제 해설>
기온이 크게 높거나 낮을때
[해설작성자 : 트리님]

22. 카드뮴은 다음 어떤 공장에서 주로 배출되는가?
     1. 제지업
     2. 주류제조업
     3. 코-크스 제조업
     4. 도금공장

     정답 : []
     정답률 : 74%

23. 수거되어온 분뇨의 염소이온 농도가 5000mg/ℓ이던 것이 생물학적 처리과정을 거쳐 최종 방류수에서는 500mg/ℓ가 되었다. 이로서 알 수 있는 내용으로 가장 적절한 것은? (단, 염소소독은 하지 않았음)
     1. 생물학적 처리효율이 90%이다.
     2. 예기치 않은 화학반응이 일어났다.
     3. 방류수의 함수율이 90%이상이다.
     4. 수거분뇨를 10배 희석하여 처리하였다.

     정답 : []
     정답률 : 45%

24. 하천상류 지점의 BOD가 20ppm이고 그 지점에서 24시간 유하 했을 때 BOD가 10ppm이라면 탈산소계수(day -1 )는? (단, 두지점 사이의 유량, 수온 등 기타 영향을 없다.)
     1. 0.1
     2. 0.2
     3. 0.3
     4. 0.4

     정답 : []
     정답률 : 27%
     <문제 해설>
아래와 같은 오류 신고가 있었습니다.
여러분들의 많은 의견 부탁 드립니다.
추후 여러분들의 의견을 반영하여 정답을 수정하도록 하겠습니다.
참고로 정답 변경은 오류 신고 5회 이상일 경우 수정합니다.

[오류 신고 내용]
BOD는 유기물이 분해되어 소비된 산소의 양을 나타내는 지표입니다. 따라서 BOD가 감소할수록 더 많은 양의 유기물이 분해되어 산소가 소비되었다는 것을 의미합니다.

이 문제에서는 하천상류 지점에서 24시간 동안 유하한 후 BOD가 10ppm으로 감소했다는 것이 주어졌습니다. 이는 하천상류 지점에서 유기물이 분해되어 산소가 소비되었다는 것을 의미합니다.

따라서 탈산소계수는 하루에 1일당 BOD 감소율을 나타내는데, 이 경우 하루 동안 BOD가 20ppm에서 10ppm으로 감소했으므로 탈산소계수는 (20-10)/1 = 10입니다.

하지만 문제에서는 탈산소계수를 day-1의 형태로 요구하고 있으므로, 10을 1일로 나누어주면 10/1 = 10입니다. 따라서 정답은 0.3이 아니라 10입니다.

따라서 보기에서 정답이 "0.3"인 이유는 없습니다.
[해설작성자 : 김태영]

BODt=BODu(1-e^-Kdt) 인데 해당 정답이 나올려면 20*(1-e^-0.7) 즉 탈산소계수에 시간을 빼면 가능합니다.
자연로그 In를 취해 탈산소계수를 구하면 In(20/10)/1=0.693입니다.
[해설작성자 : comcbt.com 이용자]

25. 일반적 슬러지 처리처분 계통으로 알맞은 것은?
     1. 생슬러지→농축→개량(약품처리)→소화→기계탈수→최종처분
     2. 생슬러지→농축→기계탈수→소화→열처리→최종처분
     3. 생슬러지→농축→개량(약품처리)→기계탈수→소화→최종처분
     4. 생슬러지→농축→소화→개량(약품처리)→기계탈수→최종처분

     정답 : []
     정답률 : 32%
     <문제 해설>
슬러지 처리 계통
1.농축하여 함수율 감소
2.소화시켜 안정화함
3.개량하여 탈수성 향상
4.탈수시켜 감량화
5.최종처분
[해설작성자 : 트리님]

26. 도로와 사유지의 경계선에 따라서 도로부지 내에 설치하는 배수로를 무엇이라 하는가?
     1. 우수받이
     2. 측구
     3. 오수받이
     4. 맨홀

     정답 : []
     정답률 : 43%

27. 다음 폐수처리법 중 고액분리 방법이 아닌 것은?
     1. 전기투석법
     2. 부상분리법
     3. 스크리닝
     4. 원심분리법

     정답 : []
     정답률 : 53%

28. 어느 하수처리장에서 활성슬러지 공법으로 처리하고자 한다. 유량이 20,000m3/day, BOD가 250mg/L인 하수를 24시간 Blower를 가동시켜 150m3/min율로 공기를 공급 하여 BOD를 80% 제거한다면 제거된 BOD 1kg당 소모된 공기량은?
     1. 96m3 air/kg-BOD
     2. 76m3 air/kg-BOD
     3. 54m3 air/kg-BOD
     4. 48m3 air/kg-BOD

     정답 : []
     정답률 : 35%
     <문제 해설>
bod 총량 20000*0.25=5000
하루 공기공급량 150*60*24=216000
제거된 bod 80% 5000*0.8=4000
kg당 소모된 공기량 216000/4000=54
[해설작성자 : wvvwvwvwvw]

29. 활성오니법으로 처리한 슬러지의 탈수 후 무게가 150kg이고, 항량으로 건조 후 무게가 50kg이라면 탈수 후 슬러지 수분의 함량은?
     1. 46.7(%)
     2. 56.7(%)
     3. 66.7(%)
     4. 76.7(%)

     정답 : []
     정답률 : 53%

30. 활성오니법을 적용하고 있는 종말처리장에서 팽화가 발생 하였다. 이로 인하여 나타난 현상으로 보기 어려운 것은?
     1. 활성슬러지가 백색을 띠며 유동상태로 된다.
     2. 슬러지의 침전분리성이 악화되고 압밀침전이 곤란해진다.
     3. 포기조의 SVI가 200 이상 된다.
     4. 최종 침전지에서 플록(Floc)이 미세하게 해체 되어 침강하지 않고 상징수와 함께 월류한다.

     정답 : []
     정답률 : 43%

31. BOD 측정 시 잔류염소의 방해를 제거하기 위해 주입하는 시약은?
     1. NaOH
     2. AgNO3
     3. Na2SO3
     4. FeCl2

     정답 : []
     정답률 : 42%

32. 다음 중 SVI(Sludge Volume Index)와 SDI(Sludge Density Index)의 관계가 맞는 것은?
     1. SVI = 100/SDI
     2. SVI = 10/SDI
     3. SVI = 1/SDI
     4. SVI = SDI/1000

     정답 : []
     정답률 : 67%

33. 활성슬러지 공법에서 2차침전지 슬러지를 폭기조로 반송 시키는 주된 목적은?
     1. 슬러지를 순환시켜 배출슬러지를 최소화하기 위해
     2. 폭기조 내 요구되는 미생물 농도를 유지하기 위해
     3. 최초침전 유출수를 농축하기 위해
     4. 폐수중 무기고형물을 산화하기 위해

     정답 : []
     정답률 : 54%

34. 폐수를 응집 처리할 때 영향을 주는 인자와 가장 거리가 먼 것은?
     1. 수온
     2. pH
     3. DO
     4. Colloid의 종류와 농도

     정답 : []
     정답률 : 56%

35. 다음 중 점오염원(Point source)과 가장 거리가 먼 것은?
     1. 가정하수
     2. 공장폐수
     3. 공단폐수
     4. 농경지유출수

     정답 : []
     정답률 : 69%

3과목 : 폐기물처리


36. 슬러지 농축방법 중 원심분리 농축에 관한 설명으로 틀린 것은?
     1. 소요 부지가 크다.
     2. 악취문제가 적다.
     3. 유지관리가 어렵다.
     4. 약품 주입 없이 운전이 가능하다.

     정답 : []
     정답률 : 25%

37. 안정된 매립지에서 가장 많이 발생되는 가스는?
     1. CH4
     2. O2
     3. N2
     4. H2S

     정답 : []
     정답률 : 67%

38. 폐기물 위생매립의 종류에 해당되지 않는 것은?
     1. 지역식
     2. 경사식
     3. 도랑식
     4. 저장식

     정답 : []
     정답률 : 47%

39. 폐기물의 파쇄(shredding)목적이 아닌 것은?
     1. 부식효과 억제
     2. 겉보기 비중의 증가
     3. 특정 성분의 분리
     4. 비표면적의 증가

     정답 : []
     정답률 : 54%

40. 착화온도와 착화점에 관한 다음 설명 중 옳은 것은?
     1. 착화온도 이하에서는 점화원을 접촉시켜도 연소가 일어나지 않는다.
     2. 착화온도는 좋은 연료일수록 높아진다.
     3. 화학반응성이 클수록 착화온도는 높아진다.
     4. 화학결합의 활성도가 클수록 착화온도는 낮다.

     정답 : []
     정답률 : 51%

41. 폐기물 퇴비화 공정 시 발생되는 생성물과 가장 거리가 먼 것은?
     1. NH3
     2. CO2
     3. C2H5OH
     4. H2O

     정답 : []
     정답률 : 54%
     <문제 해설>
C2H5OH = 에탄올
[해설작성자 : 합격기원]

42. 하수처리 방류수에서 염소요구량이 5ppm, 잔류염소량이 4ppm으로 하고자 할 때 실질적으로 필요한 염소량은 몇 ppm인가?
     1. 2
     2. 4
     3. 5
     4. 9

     정답 : []
     정답률 : 43%

43. RDF에 대한 설명으로 틀린 것은?
     1. RDF은 Refuse Derived Fuel의 약자이다.
     2. 폐기물을 이용하여 연료화한 것이다.
     3. 성형입자라고도 한다.
     4. 밀도가 균일하지 않는다.

     정답 : []
     정답률 : 63%

44. 쓰레기 발생량에 영향을 미치는 요인과 가장 거리가 먼 것은?
     1. 쓰레기통의 크기
     2. 쓰레기통의 색도
     3. 부엌용 분쇄기의 사용
     4. 법규

     정답 : []
     정답률 : 67%

45. 폐기물 발생량 조사방법으로 알맞지 않는 것은?
     1. 적재차량 계수분석
     2. 직접 계근법
     3. 물질성상분석법
     4. 물질 수지법

     정답 : []
     정답률 : 72%

46. 2.5의 압축비로 쓰레기를 압축하였다면 압축하기 전과 압축 후의 체적 감소율은 몇%인가? (단, 압축비는 Vi / Vf이다.)
     1. 20%
     2. 40%
     3. 60%
     4. 80%

     정답 : []
     정답률 : 40%

47. 유기성 고형물의 퇴비화를 위한 함수율로 적당한 것은?
     1. 10∼20%
     2. 30∼40%
     3. 50∼60%
     4. 70∼80%

     정답 : []
     정답률 : 53%

48. 짐머만(Zimmerman)공법이라고도 불리며 액상 슬러지에 열과 압력을 작용시켜 용존산소에 의하여 화학적으로 슬러지 내의 유기물을 산화시키는 방법은?
     1. 혐기성 소화
     2. 호기성 소화
     3. 습식 산화
     4. 화학적 안정화

     정답 : []
     정답률 : 66%

49. 슬러지 중의 고형물 함량은 40%이고 고형물의 건조중량이 500㎏이라 할 때 이 슬러지 총량은? (단, 슬러지 비중은 1.0으로 한다.)
     1. 500kg
     2. 750kg
     3. 1,250kg
     4. 1,850kg

     정답 : []
     정답률 : 53%
     <문제 해설>
슬러지 총량 중 40%가 500kg 이니 1%는 12.5kg, 그럼 총량인 100%는 1250kg.
[해설작성자 : OLDBOY]

위에 분 해설도 맞긴 한데, 1% 계산을 생각하면 복잡하니 간단하게 남깁니다.

슬러지총량 * 40% = 500kg
슬러지총량 = 500kg / 40% = 1250kg
[해설작성자 : comcbt.com 이용자]

50. 폐기물의 수거노선을 결정할 때 고려해야할 사항이 아닌 것은?
     1. 가능한 한 지형지물 및 도로경계와 같은 장벽을 이용 하여 간선도로 부근에서 시작하고 끝나도록 배치한다.
     2. 출발점은 차고지와 가깝게 하고 수거된 마지막 콘테이너가 가장 처분지에 가까이 위치하도록 배치한다.
     3. 교통이 혼잡한 지역에서 발생되는 쓰레기는 가능한 출퇴근 시간을 피하여 새벽에 수거한다.
     4. 아주 적은 양의 쓰레기가 발생되는 발생원은 하루 중 가장 먼저 수거한다.

     정답 : []
     정답률 : 82%

51. 폐기물을 잘게 부수는 파쇄 장치를 작용하는 힘에 따라 분류할 때 적당하지 않은 것은?
     1. 임호프파쇄기
     2. 전단식파쇄기
     3. 충격식파쇄기
     4. 압축식파쇄기

     정답 : []
     정답률 : 67%

52. 폐기물의 최종처리 방법으로 알맞게 짝지어진 것은?
     1. 압축-파쇄
     2. 매립-해양투기
     3. 파쇄-매립
     4. 선별-해양투기

     정답 : []
     정답률 : 49%

53. 폐기물의 퇴비화 과정에서 산성발효로 인하여 pH가 낮아질 경우 첨가시킬 수 있는 물질은?
     1. CaCl2
     2. CaCO3
     3. H3PO4
     4. MgCl2

     정답 : []
     정답률 : 63%

54. 폐기물에서 에너지를 회수하는 방법이 아닌 것은?
     1. 혐기성 소화
     2. 슬러지 개량
     3. RDF 제조
     4. 소각열 회수

     정답 : []
     정답률 : 54%

55. 슬러지를 개량(conditioning)하는 가장 큰 목적은?
     1. 탈수성 향상
     2. 조성의 변화
     3. 악취 제거
     4. 부패 방지

     정답 : []
     정답률 : 69%

56. 어떤 측정된 소음원의 음압이 기준음압보다 10배 증가할 때 음압레벨은 몇 dB씩 증가하는가?
     1. 5
     2. 10
     3. 15
     4. 20

     정답 : []
     정답률 : 47%

57. 지면에 설치할 수 있는 구조로서 진동신호를 전기신호로 바꾸어 주는 장치는?
     1. 진동픽업
     2. 증폭기
     3. 감각보정회로
     4. 동특성조절기

     정답 : []
     정답률 : 40%

58. 손으로 소음계를 잡고 소음을 측정할 경우 소음계는 측정자의 몸으로 부터 몇 ㎝ 이상 떨어져야 하는가?
     1. 20㎝ 이상
     2. 30㎝ 이상
     3. 50㎝ 이상
     4. 70㎝ 이상

     정답 : []
     정답률 : 61%

59. 파동이나 빛이 진행하다가 장애물을 만나면 차단되지 않고 장애물의 뒤쪽까지 전파되는 현상은?
     1. 회절
     2. 반사
     3. 간섭
     4. 굴절

     정답 : []
     정답률 : 66%

60. 방진재중 금속스프링의 장점이라 볼 수 없는 것은?
     1. 환경요소에 대한 저항성이 크다.
     2. 최대변위가 허용된다.
     3. 공진 시에 전달율이 매우 크다.
     4. 저주파 차진에 좋다.

     정답 : []
     정답률 : 42%
     <문제 해설>
- 금속스프링
환경요소(온도, 부식 용해)에 저항성이 있다
최대변위가 허용된다
저주파 차진에 좋다
공진시 전달률 작다
[해설작성자 : comcbt.com 이용자]


정 답 지

1

2

3

4

5

6

7

8

9

10

11

12

13

14

15

16

17

18

19

20

21

22

23

24

25

26

27

28

29

30

31

32

33

34

35

36

37

38

39

40

41

42

43

44

45

46

47

48

49

50

51

52

53

54

55

56

57

58

59

60

환경기능사 필기 기출문제(해설) 및 CBT 2002년10월06일(5회)을 이용해 주셔서 감사합니다.
환경, 기능사, 환경기능사, 필기, 기출문제, 전자문제집, CBT, 온라인, 모의테스트, 모의고사



List of Articles
번호 제목 글쓴이 날짜 조회 수
13370 환경기능사 필기 기출문제(해설) 및 CBT 2006년04월02일(2회)(6259) 좋은아빠되기 2025.11.25 0
13369 환경기능사 필기 기출문제(해설) 및 CBT 2006년01월22일(1회)(6258) 좋은아빠되기 2025.11.25 0
13368 환경기능사 필기 기출문제(해설) 및 CBT 2005년10월02일(5회)(6257) 좋은아빠되기 2025.11.25 0
13367 환경기능사 필기 기출문제(해설) 및 CBT 2005년07월27일(4회)(6256) 좋은아빠되기 2025.11.25 0
13366 환경기능사 필기 기출문제(해설) 및 CBT 2005년01월30일(1회)(6255) 좋은아빠되기 2025.11.25 0
13365 환경기능사 필기 기출문제(해설) 및 CBT 2004년10월10일(5회)(6254) 좋은아빠되기 2025.11.25 0
13364 환경기능사 필기 기출문제(해설) 및 CBT 2004년07월18일(4회)(6253) 좋은아빠되기 2025.11.25 0
13363 환경기능사 필기 기출문제(해설) 및 CBT 2004년02월01일(1회)(6252) 좋은아빠되기 2025.11.25 0
13362 환경기능사 필기 기출문제(해설) 및 CBT 2003년10월05일(5회)(6251) 좋은아빠되기 2025.11.25 0
13361 환경기능사 필기 기출문제(해설) 및 CBT 2003년01월26일(1회)(6250) 좋은아빠되기 2025.11.25 0
» 환경기능사 필기 기출문제(해설) 및 CBT 2002년10월06일(5회)(6249) 좋은아빠되기 2025.11.25 0
13359 환경기능사 필기 기출문제(해설) 및 CBT 2002년01월27일(1회)(6248) 좋은아빠되기 2025.11.25 0
13358 환경기능사 필기 기출문제(해설) 및 CBT 2001년10월14일(5회)(6247) 좋은아빠되기 2025.11.25 0
13357 환경기능사 필기 기출문제(해설) 및 CBT 2001년07월22일(4회)(6246) 좋은아빠되기 2025.11.25 0
13356 에너지관리기능사 필기 기출문제(해설) 및 CBT 2016년07월10일(4회)(6245) 좋은아빠되기 2025.11.25 0
13355 에너지관리기능사 필기 기출문제(해설) 및 CBT 2016년04월02일(2회)(6244) 좋은아빠되기 2025.11.25 0
13354 에너지관리기능사 필기 기출문제(해설) 및 CBT 2016년01월24일(1회)(6243) 좋은아빠되기 2025.11.25 0
13353 에너지관리기능사 필기 기출문제(해설) 및 CBT 2015년10월10일(5회)(6242) 좋은아빠되기 2025.11.25 0
13352 에너지관리기능사 필기 기출문제(해설) 및 CBT 2015년07월19일(4회)(6241) 좋은아빠되기 2025.11.25 0
13351 에너지관리기능사 필기 기출문제(해설) 및 CBT 2015년04월04일(2회)(6240) 좋은아빠되기 2025.11.25 0
Board Pagination Prev 1 ... 319 320 321 322 323 324 325 326 327 328 ... 992 Next
/ 992