자격증 필기 기출문제



환경기능사 필기 기출문제(해설) 및 CBT 2007년09월16일(5회)(6263)

최강 자격증 기출문제 전자문제집 CBT : www.comcbt.com


전자문제집 CBT란?

종이 문제집이 아닌 인터넷으로 문제를 풀고 자동으로 채점하며 모의고사, 오답 노트, 해설까지 제공하는
무료 기출문제 학습 프로그램으로 실제 상설검정에서 사용하는 OMR 형식의 CBT를 제공합니다.


최신 환경기능사 필기 기출문제 : [다운로드]

1과목 : 대기오염방지


1. 다음 중 집진장치에 대한 설명으로 옳은 것은?
     1. 사이클론은 여과집진장치에 해당된다.
     2. 중력집진장치는 고효율 집진장치에 해당된다.
     3. 여과집진장치는 수분이 많은 먼지 처리에 적합하다.
     4. 전기집진장치는 코로나 방전을 이용하여 집진하는 장치이다.

     정답 : []
     정답률 : 84%

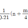
2. 배출가스량과 이동속도를 감안한 덕트의 단면적과 관경을 산정하는 공식은? (단, A=관의 단면적(m2), Q=배출가스량(m3/min), V=덕트 내 유속(m/sec), D=덕트의 직경(m))
     1.
     2.
     3.
     4.

     정답 : []
     정답률 : 51%

3. 대기오염공정시험법상 굴뚝 등에서 배출 되는 배출가스 중 질소산화물을 분석하는데 사용하는 분석방법은?
     1. 페놀디술폰산법
     2. 중화적정법
     3. 침전적정법
     4. 아르세나조 Ⅲ법

     정답 : []
     정답률 : 67%

4. 다음 가스 흡수장치 중 장치내의(겉보기) 가스 속도가 가장 큰 것은?
     1. 충전탑
     2. 분무탑
     3. 제트스크러버
     4. 벤츄리스크러버

     정답 : []
     정답률 : 78%

5. 다음 중 충전탑의 충전물이 갖추어야 할 조건으로 틀린 것은?
     1. 비표면적이 커야 한다.
     2. 마찰저항이 커야 한다.
     3. 공극률이 커야 한다.
     4. 내식성과 내열성이 커야 한다.

     정답 : []
     정답률 : 54%

6. 일반적으로 배기가스의 입구처리속도가 증가하면 제거효율이 커지는 것으로 가장 알맞은 집진장치는?
     1. 중력집진장치
     2. 원심력집진장치
     3. 전기집진장치
     4. 여과집진장치

     정답 : []
     정답률 : 59%

7. 다음 대기오염 물질 중 물리적 상태가 다른 하나는?
     1. 먼지
     2. 매연
     3. 검댕
     4. 황산화물

     정답 : []
     정답률 : 60%
     <문제 해설>
123 - 입자상 물질
4 - 가스
[해설작성자 : 트리님]

8. 중량비가 C : 86%, H : 4%, O : 8%, S : 2%인 석탄을 연소할 경우 필요한 이론 산소량은?
     1. 약 1.6Sm3/kg
     2. 약 1.8Sm3/kg
     3. 약 2.0Sm3/kg
     4. 약 2.2Sm3/kg

     정답 : []
     정답률 : 57%

9. 대기오염방지시설 중 가스상 물질을 처리할 수 있는 흡착장치와 거리가 먼 것은?
     1. 고정층 흡착장치
     2. 촉매층 흡착장치
     3. 이동층 흡착장치
     4. 유동층 흡착장치

     정답 : []
     정답률 : 62%
     <문제 해설>
가스처리 흡착장치 = 고정, 이동, 유동 3가지
[해설작성자 : 트리님]

10. pH의 정의로 옳은 것은?
     1. pH=-log[H+]
     2. pH=log[H+]
     3. pH=-log[OH+]
     4. pH=log[OH+]

     정답 : []
     정답률 : 51%

11. 원형송풍관이 아닌 사각송풍관일 경우 원형송풍관의 지름에 해당하는 사각송풍관의 상당지름을 구하여 계산하는데, 가로 45㎝, 세로 55㎝인 직사각형 후드의 상당지름은?
     1. 37.5㎝
     2. 44.5㎝
     3. 49.5㎝
     4. 50.5㎝

     정답 : []
     정답률 : 50%

12. 산성비의 원인 물질로만 올바르게 나열된 것은?
     1. SO2, NO2, NH3
     2. CH4, NO2, HCl
     3. CH4, NH3, HCN
     4. SO2, NO2, HCl

     정답 : []
     정답률 : 64%

13. 다음 중 유효굴뚝높이에 영향을 미치는 인자와 가장 거리가 먼 것은?
     1. 굴뚝의 높이
     2. 풍속
     3. 풍향
     4. 배출가스의 온도

     정답 : []
     정답률 : 53%
     <문제 해설>
풍향이 바뀌면 배출되는 가스가 날아가는 방향이 바뀔뿐이지 유효굴뚝높이가 변하지는 않는다
[해설작성자 : 트리님]

14. 전기집진장치에 관한 설명으로 옳지 않은 것은?
     1. 0.1㎛ 이하의 미세입자까지 포집이 가능하다.
     2. 압력손실이 커서 동력비가 많이 소요 된다.
     3. 약 350℃ 전후의 고온가스를 처리할 수 있다.
     4. 전압변동과 같은 조건에 쉽게 적응하기 어렵다.

     정답 : []
     정답률 : 47%

15. 프로판(C3H8) 22kg을 완전 연소시키기 위해 10%의 과잉 공기를 사용했을 경우 필요한 공기의 양(Sm3)은?
     1. 112
     2. 123
     3. 293
     4. 587

     정답 : []
     정답률 : 34%

2과목 : 폐수처리


16. 불소제거를 위하여 가장 많이 이용되는 폐수처리 방법은?
     1. 화학침전
     2. 물리침전
     3. 생물침전
     4. 자연침전

     정답 : []
     정답률 : 83%

17. 다음 농도 표시 중에 가장 낮은 농도는?
     1. 0.44mg/L
     2. 0.44㎍/mL
     3. 0.44ppm
     4. 44ppb

     정답 : []
     정답률 : 40%

18. 0.0001M-HCl 용액의 pH는 얼마인가? (단, HCl은 100% 이온화한다.)
     1. 2
     2. 3
     3. 4
     4. 5

     정답 : []
     정답률 : 59%

19. 하·폐수 처리 공정 중 활성탄의 일반적인 용도로 가장 거리가 먼 것은?
     1. 응집, 침전한 후 색깔의 제거
     2. 다량의 기름 제거
     3. 냄새가 나는 물의 탈취
     4. 하수 중의 미량 중금속의 제거

     정답 : []
     정답률 : 42%

20. 탈질(denitification) 과정을 거쳐 질소 성분이 최종적으로 변환된 질소의 형태는?
     1. NO2- - N
     2. NO3- - N
     3. NH3 - N
     4. N2

     정답 : []
     정답률 : 59%

21. DO 측정 시 종말점에서의 색깔 변화는?
     1. 청색 → 무색
     2. 적색 → 무색
     3. 무색 → 청색
     4. 무색 → 적색

     정답 : []
     정답률 : 39%

22. “생석회”의 분자식으로 옳은 것은?
     1. CaCO3
     2. CaO3
     3. CaO
     4. Ca(OH)2

     정답 : []
     정답률 : 35%

23. 폐수를 응집침전 시킬 때의 고려사항 중 가장 거리가 먼 것은?
     1. pH
     2. 교반속도
     3. 용존산소량
     4. 응집제 첨가량

     정답 : []
     정답률 : 60%

24. 살수여상법 유지관리 시 주의사항으로 거리가 먼 것은?
     1. 냄새의 발생
     2. 연못화 현상
     3. 파리의 발생
     4. 슬러지 팽화

     정답 : []
     정답률 : 71%

25. 하천의 유량은 1,000m3/day, BOD 농도 26ppm이며, 이 하천에 흘러드는 폐수의 양이 100m3/day, BOD농도 165ppm이라고 하면 하천과 폐수가 완전 혼합된 후의 BOD 농도는?
     1. 38.6ppm
     2. 40.9ppm
     3. 44.5ppm
     4. 49.8ppm

     정답 : []
     정답률 : 32%
     <문제 해설>
혼합 농도 = (1000*26)+(100*165) / 1000+100 = 38.6
[해설작성자 : 하고기]

26. 어느 도시의 생활하수량이 22,000ton/day이고, BOD가 100mg/L일 때, 4,550m3의 포기조로 처리할 경우 BOD 용적부하(kg BOD/m3·day)는?
     1. 0.32
     2. 0.40
     3. 0.48
     4. 0.52

     정답 : []
     정답률 : 50%
     <문제 해설>
100 * 4550 = 455000
22000 / 455000 = 0.048
[해설작성자 : 합격기원]

27. 폐수량이 1,500m3/day, BOD 150mg/L의 총 BOD 부하량은?
     1. 2.25kg/day
     2. 22.5kg/day
     3. 225kg/day
     4. 2250kg/day

     정답 : []
     정답률 : 48%

28. 침전지에서 침전물의 침전효율을 높이는 조건으로 가장 적합한 것은? (단, 기타 물리적 조건이 같은 경우이다.)
     1. 침전탱크의 깊이(m)를 유속(m/hr)으로 나눈 값이 작을수록 높아진다.
     2. 침전탱크의 폭(m)를 유속(m/hr)으로 나눈 값이 클수록 높아진다.
     3. 침전탱크의 크기(m3)를 유량(m3/hr)으로 나눈 값이 작을수록 높아진다.
     4. 침전탱크의 크기(m3)를 유량(m3/hr)으로 나눈 값이 클수록 높아진다.

     정답 : []
     정답률 : 28%

29. 카드뮴은 다음 어떤 공장에서 주로 배출 되는가?
     1. 도자기 제조공장
     2. 염산 제조공장
     3. 코크스 제조공장
     4. 도금 공장

     정답 : []
     정답률 : 71%

30. 폐수처리방법 중 부상처리에 대한 설명으로 맞는 것은?
     1. 생물학적 처리방식의 일종
     2. 가벼운 입자 제거
     3. 부상 촉진제로 물 사용
     4. 폐수와 부유물 결합

     정답 : []
     정답률 : 53%

31. 다음은 생물학적 처리방법에 대한 설명이다. 옳지 않은 것은?
     1. 주로 유기성 폐수의 처리에 적용한다.
     2. 미생물을 이용한 처리방법으로 호기성 처리방법은 부패조 등이 있다.
     3. 살수여상은 부착성장식 생물학적 처리 공법이다.
     4. 산화지는 자연에 의하여 처리하기 때문에 활성 슬러지법에 비해 적정처리가 어렵다.

     정답 : []
     정답률 : 51%

32. 폐수처리에 있어서 스크린(Screen) 조작으로 옳은 것은?
     1. 수로 흐름을 용이하게 하기 위해 큰 고형물(나뭇조각, 플라스틱 등)을 제거하는 조작이다.
     2. 화학적 플록을 제거하는 조작이다.
     3. 비교적 밀도가 크고, 입자의 크기가 작은 고형물을 제거하는 조작이다.
     4. BOD와 관계가 있는 유기물인 가용성 물질을 제거하는 조작이다.

     정답 : []
     정답률 : 61%

33. 지표수와 상대 비교 시 지하수의 수질 특성에 대한 설명 중 옳지 않은 것은?
     1. 지질특성에 영향을 받는다.
     2. 환경변화에 대한 반응이 느리다.
     3. 미생물에 의한 생화학적 자정작용이나 화학적 자정능력이 약하다.
     4. 수온변화가 심하다.

     정답 : []
     정답률 : 64%
     <문제 해설>
수온변화가 적다
[해설작성자 : 트리님]

34. 수질오염 방지시설의 처리능력 또는 설계 시에 사용되는 다음 용어 중 그 성격이 나머지 셋과 다른 것은?
     1. F/M비
     2. SVI
     3. 용적부하
     4. 슬러지부하

     정답 : []
     정답률 : 59%

35. 침사지내의 평균유속은 보통 얼마로 유지하는 것이 적당한가?
     1. 0.3m/sec
     2. 1.5m/sec
     3. 2.5m/sec
     4. 3.0m/sec

     정답 : []
     정답률 : 48%

3과목 : 폐기물처리


36. 폐기물을 분석하기 위한 시료의 축소화 방법으로만 옳게 나열된 것은?
     1. 구획법, 교호삽법, 원추 4분법
     2. 구획법, 교호삽법, 직접계근법
     3. 교호삽법, 물질수지법, 원추 4분법
     4. 구획법, 교호삽법, 적재차량계수법

     정답 : []
     정답률 : 74%

37. 분뇨의 특성에 해당하지 않는 것은?
     1. 다량의 유기물을 함유하고 있다.
     2. pH는 4~4.5 범위의 산성이다.
     3. 고액분리가 어렵다.
     4. 음식섭취와 밀접한 관계가 있다.

     정답 : []
     정답률 : 59%

38. 슬러지 소각의 장점으로 가장 거리가 먼 것은?
     1. 병원균의 사멸로 위생적이며 안전하다.
     2. 슬러지 용적이 감소된다.
     3. 시설비 및 유지관리비가 저렴하다.
     4. 다른 처리법에 비해 소요면적이 적다.

     정답 : []
     정답률 : 44%

39. 일정기간 동안 특정지역의 쓰레기 수거 차량의 대수를 조사하여 이 값에 폐기물의 겉보기 비중을 보정하여 중량으로 환산하여 폐기물 발생량을 조사하는 방법을 무엇이라 하는가?
     1. 직접계근법
     2. 적재차량계수분석법
     3. 간접계근법
     4. 대수조사법

     정답 : []
     정답률 : 76%

40. 쓰레기의 저위발열량을 측정하기 위한 방법과 가장 거리가 먼 것은?
     1. 추정식에 의한 방법
     2. 단열열량계에 의한 방법
     3. 원소분석에 의한 방법
     4. 직접연소에 의한 방법

     정답 : []
     정답률 : 35%
     <문제 해설>
쓰레기 저위발열량 측정
- 단열 열량계에 의한 방법
- 추정식에 의한 방법
- 물리적 조성에 의한 방법
- 원소분석에 의한 방법
* 직접연소의 경우 수증기의 응축잠열이 포함될 가능성이 있다. 저위발열량은 응축잠열 제외한 열량
[해설작성자 : comcbt.com 이용자]

41. 폐기물의 선별방법으로 가장 거리가 먼 것은?
     1. 흡착선별
     2. 공기선별
     3. 자석선별
     4. 스크린선별

     정답 : []
     정답률 : 64%

42. 탄소 8kg을 완전 연소시키는데 필요한 이론 산소량(Sm3)은?
     1. 11.2Sm3
     2. 14.9Sm3
     3. 18.7Sm3
     4. 20.6Sm3

     정답 : []
     정답률 : 38%
     <문제 해설>
8000/12=2000/3=666.67
666.67*22.4=14933.3333L
1Sm^3=1000L
14933.333/1000=14.93
[해설작성자 : comcbt.com 이용자]

43. 밀도가 350kg/m3인 폐기물을 750kg/m3이 되도록 압축시켰을 때의 부피감 소율은?
     1. 약 72%
     2. 약 68%
     3. 약 53%
     4. 약 47%

     정답 : []
     정답률 : 39%

44. 화격자 소각로의 장점에 해당되는 것은?
     1. 체류시간이 짧고 교반력이 강하다.
     2. 연속적인 소각과 배출이 가능하다.
     3. 열에 쉽게 용융되는 물질의 소각에 적합하다.
     4. 가동·정지 조작이 간편하며, 구동부분의 마모 손실이 적다.

     정답 : []
     정답률 : 47%

45. 1차 침전지에서 인발한 슬러지의 함수율이 99%이었다. 이 슬러지를 함수율 97%로 농축시켰더니 33m3이 되었다면 1차 침전지에서 인발한 슬러지 양(m3) 은? (단, 슬러지의 비중은 모두 1이다.)
     1. 80
     2. 99
     3. 135
     4. 150

     정답 : []
     정답률 : 44%

46. 호기성 단계의 매립지에서 매립초기에 시간에 따른 발생량 증가폭이 큰 가스는? (단, 기체 구성비(%))
     1. 수소
     2. 메탄
     3. 질소
     4. 이산화탄소

     정답 : []
     정답률 : 43%
     <문제 해설>
호기성 반응에서는 산화물이 발생 (이산화탄소, 질산화물, 황산화물 등)
[해설작성자 : 트리님]

47. 폐기물 퇴비화에 대한 설명이다. 옳지 않은 것은?
     1. 호기성 미생물에 의해 유기물을 분해한다.
     2. 퇴비화한 후에는 C/N비가 높아진다.
     3. 초기단계에서는 분해되기 쉬운 당류, 아미노산 등이 분해된다.
     4. 퇴비화 결과 암갈색의 부식질이 생성 된다.

     정답 : []
     정답률 : 55%

48. 어떤 물질을 분석한 결과 1,500ppm의 결과를 얻었다. 이것을 %로 환산하면 얼마나 되겠는가?
     1. 0.15%
     2. 1.5%
     3. 15%
     4. 150%

     정답 : []
     정답률 : 58%
     <문제 해설>
ppm : 백만분율, % : 백분율
1500에다가 10000을 나누면 됩니다.
[해설작성자 : comcbt.com 이용자]

49. 호기성 소화법과 상대 비교 시 혐기성 소화법의 단점이 아닌 것은?
     1. 슬러지 생성량이 많고, 탈수가 불량하다.
     2. 미생물의 성장속도가 느리다.
     3. 암모니아와 H2S에 의한 악취 발생의 문제가 크다.
     4. 운전조건의 변화에 따른 적응시간이 길다.

     정답 : []
     정답률 : 34%

50. 화학약품을 이용하여 응집한 슬러지를 탈수하기 위해 사용하는 탈수장치와 가장 거리가 먼 것은?
     1. 가압 탈수기
     2. 부상 탈수기
     3. 원심 탈수기
     4. 벨트프레스 탈수기

     정답 : []
     정답률 : 44%

51. 인구 100,000명의 중소도시에 발생되는 쓰레기의 양이 200m3/day(밀도 750kg/m3)이다. 적재량 5ton 트럭으로 운반 하려면 1일 소요되는 트럭 대수는? (단, 트럭은 1회 운행)
     1. 12대
     2. 18대
     3. 24대
     4. 30대

     정답 : []
     정답률 : 51%
     <문제 해설>
1m3 당 750kg이니 200X750/5000=30
[해설작성자 : OLDBOY]

52. 황함유량이 2.5%이고 비중이 0.87인 중유를 350L/hr로 태우는 경우 SO2발생 량(Nm3/hr)은? (단, 황성분은 전량이 SO2로 전환되며, 표준상태 기준)
     1. 약 2.7
     2. 약 3.6
     3. 약 4.6
     4. 약 5.3

     정답 : []
     정답률 : 22%

53. 쓰레기를 압축하는 목적으로 가장 거리가 먼 것은?
     1. 저장이 쉽도록 한다.
     2. 운반비를 줄일 수 있다.
     3. 부피를 감소시켜 운반이 쉽도록 한다.
     4. 재활용 물질을 분리·선별할 때 쉽도록 한다.

     정답 : []
     정답률 : 66%

54. RDF에 대한 설명으로 틀린 것은?
     1. RDF는 Refues Derived Fuel의 약자이다.
     2. 폐기물 중의 가연성 성분만을 선별하여 함수율, 불순물, 입경 등을 조절하여 연료화 시킨 것이다.
     3. 부패하기 쉬운 유기물질로 구성되어 있기 때문에 수분 함량이 증가하면 부패한다.
     4. 시설비 및 동력비가 저렴하며, 운전이 용이하다.

     정답 : []
     정답률 : 52%

55. 수거대상인구가 550,000명이고, 수거실 적이 220,000톤/년 이라면 1인 1일 폐기물발생량(kg)은? (단, 1년 365일로 계산한다.)
     1. 1.1kg
     2. 1.3kg
     3. 1.5kg
     4. 2.1kg

     정답 : []
     정답률 : 45%
     <문제 해설>
220000000KG/550000명/365일=1.09
[해설작성자 : OLDBOY]

56. 한 대 통과 시 소음도가 77dB(A)인 자동차가 동시에 두 대가 지나가면 소음도 [dB(A)]는?
     1. 80
     2. 82
     3. 83
     4. 84

     정답 : []
     정답률 : 35%
     <문제 해설>
2대의 자동차 3dB만 높아진다.
[해설작성자 : 합격기원]

57. 진동발생원의 진동을 측정한 결과 가속도 진폭이 0.02m/sec2이었다. 이를 진동가속도레벨(VAL)로 나타내면 몇 dB인가?
     1. 57dB
     2. 60dB
     3. 63dB
     4. 67dB

     정답 : []
     정답률 : 38%

58. 가청주파수의 범위로 알맞은 것은?
     1. 20Hz 이하
     2. 20~20,000Hz
     3. 20,000Hz 이상
     4. 200kHz 이하

     정답 : []
     정답률 : 78%

59. 발음원이 이동할 때 그 진행 방향쪽에서는 원래 발음원의 음보다 고음으로 진행 반대쪽에서는 저음으로 되는 현상을 무엇이라 하는가?
     1. 도플러 효과
     2. 회절
     3. 지향효과
     4. 마스킹 효과

     정답 : []
     정답률 : 70%

60. 투과율이 0.05인 건축재료의 투과손실은?
     1. 8dB
     2. 10dB
     3. 13dB
     4. 15dB

     정답 : []
     정답률 : 40%


정 답 지

1

2

3

4

5

6

7

8

9

10

11

12

13

14

15

16

17

18

19

20

21

22

23

24

25

26

27

28

29

30

31

32

33

34

35

36

37

38

39

40

41

42

43

44

45

46

47

48

49

50

51

52

53

54

55

56

57

58

59

60

환경기능사 필기 기출문제(해설) 및 CBT 2007년09월16일(5회)을 이용해 주셔서 감사합니다.
환경, 기능사, 환경기능사, 필기, 기출문제, 전자문제집, CBT, 온라인, 모의테스트, 모의고사



List of Articles
번호 제목 글쓴이 날짜 조회 수
13392 환경기능사 필기 기출문제(해설) 및 CBT 2014년01월26일(1회)(6282) 좋은아빠되기 2025.11.25 0
13391 환경기능사 필기 기출문제(해설) 및 CBT 2013년10월12일(5회)(6281) 좋은아빠되기 2025.11.25 0
13390 환경기능사 필기 기출문제(해설) 및 CBT 2013년04월14일(2회)(6280) 좋은아빠되기 2025.11.25 0
13389 환경기능사 필기 기출문제(해설) 및 CBT 2013년01월27일(1회)(6279) 좋은아빠되기 2025.11.25 0
13388 환경기능사 필기 기출문제(해설) 및 CBT 2012년04월08일(2회)(6277) 좋은아빠되기 2025.11.25 0
13387 환경기능사 필기 기출문제(해설) 및 CBT 2012년02월12일(1회)(6276) 좋은아빠되기 2025.11.25 0
13386 환경기능사 필기 기출문제(해설) 및 CBT 2011년10월09일(5회)(6275) 좋은아빠되기 2025.11.25 0
13385 환경기능사 필기 기출문제(해설) 및 CBT 2011년04월17일(2회)(6274) 좋은아빠되기 2025.11.25 0
13384 환경기능사 필기 기출문제(해설) 및 CBT 2011년02월13일(1회)(6273) 좋은아빠되기 2025.11.25 0
13383 환경기능사 필기 기출문제(해설) 및 CBT 2010년10월03일(5회)(6272) 좋은아빠되기 2025.11.25 0
13382 환경기능사 필기 기출문제(해설) 및 CBT 2010년03월28일(2회)(6271) 좋은아빠되기 2025.11.25 0
13381 환경기능사 필기 기출문제(해설) 및 CBT 2010년01월31일(1회)(6270) 좋은아빠되기 2025.11.25 0
13380 환경기능사 필기 기출문제(해설) 및 CBT 2009년09월27일(5회)(6269) 좋은아빠되기 2025.11.25 0
13379 환경기능사 필기 기출문제(해설) 및 CBT 2009년03월29일(2회)(6268) 좋은아빠되기 2025.11.25 0
13378 환경기능사 필기 기출문제(해설) 및 CBT 2009년01월18일(1회)(6267) 좋은아빠되기 2025.11.25 0
13377 환경기능사 필기 기출문제(해설) 및 CBT 2008년10월05일(5회)(6266) 좋은아빠되기 2025.11.25 0
13376 환경기능사 필기 기출문제(해설) 및 CBT 2008년03월30일(2회)(6265) 좋은아빠되기 2025.11.25 0
13375 환경기능사 필기 기출문제(해설) 및 CBT 2008년02월03일(1회)(6264) 좋은아빠되기 2025.11.25 0
» 환경기능사 필기 기출문제(해설) 및 CBT 2007년09월16일(5회)(6263) 좋은아빠되기 2025.11.25 0
13373 환경기능사 필기 기출문제(해설) 및 CBT 2007년04월01일(2회)(6262) 좋은아빠되기 2025.11.25 0
Board Pagination Prev 1 ... 309 310 311 312 313 314 315 316 317 318 ... 983 Next
/ 983