자격증 필기 기출문제



전자기능사 필기 기출문제(해설) 및 CBT 2013년10월12일(5회)(6855)

최강 자격증 기출문제 전자문제집 CBT : www.comcbt.com


전자문제집 CBT란?

종이 문제집이 아닌 인터넷으로 문제를 풀고 자동으로 채점하며 모의고사, 오답 노트, 해설까지 제공하는
무료 기출문제 학습 프로그램으로 실제 상설검정에서 사용하는 OMR 형식의 CBT를 제공합니다.


최신 전자기능사 필기 기출문제 : [다운로드]

1과목 : 전기전자공학


1. 다음 그림과 같은 회로의 명칭은?

   

     1. 피어스 C-B형 발진회로
     2. 피어스 B-E형 발진회로
     3. 하틀리 발진회로
     4. 콜피츠 발진회로

     정답 : []
     정답률 : 80%
     <문제 해설>
일단, 그림을 보면 회로에서 맨 좌측에 있는 기호가 수정 진동자이다.
트랜지스터를 이용한 수정발진회로는 수정편을 트랜지스터 베이스, 이미터, 컬렉터 단자의 접속점에 따라 이름을 부여한다.
회로를 보면 수정진동자가 트랜지스터의 베이스와 이미터에 접속되어 회로가 구성되어 있으므로 피어스 B-E 발진기라 부른다.
[해설작성자 : 한준희]

2. FET의 핀치오프(Pinch-off) 전압이란?
     1. 드레인 전류가 포화일 때의 드레인-소스간의 전압
     2. 드레인 전류가 0 인 때의 드레인-소스간의 전압
     3. 드레인 전류가 0 인 때의 게이트-드레인간의 전압
     4. 드레인 전류가 0 인 때의 게이트-소스간의 전압

     정답 : []
     정답률 : 55%
     <문제 해설>
게이트와 소스간의 역전압을 서서히 증가시키면 내부의 전류통로인 채널이 증가하면서 드레인 전류가 0이 될 때의 게이트와 소스간 역전압을 핀치오브전압이라고 한다.
[해설작성자 : 한준희]

3. JK 플립플롭을 이용한 비동기식 계수기의 오동작에 대한 설명으로 적합한 것은?
     1. 오동작과 클록 주파수와는 관련 없다.
     2. 클록 주파수가 높을수록 오동작 가능성이 크다.
     3. 클록 주파수가 낮을수록 오동작 가능성이 크다.
     4. 직렬로 연결된 플립플롭의 수가 많을수록 오동작의 가능성이 적다.

     정답 : []
     정답률 : 66%
     <문제 해설>
비동기형 계수기는 플립플롭을 직렬로 구성하고 클럭펄스는 첫단 플립플롭에만 입력을 인가하고 다음 단 플립플롭에는 첫단 출력이 입력으로 사용되는 방식으로 플립플롭마다 클럭 입력이 다른 비동기방식이기 때문에 주파수가 높으면 오동작 가능성이 크다.
[해설작성자 : 한준희]

4. 증폭기에서 바이어스가 적당하지 않으면 일어나는 현상으로 옳지 않은 것은?
     1. 이득이 낮다.
     2. 전력 손실이 많다.
     3. 파형이 일그러진다.
     4. 주파수 변화 현상이 일어난다.

     정답 : []
     정답률 : 52%
     <문제 해설>
바이어스전압이 이상적인 전압보다 크거나 작으면 동작점 위치가 변화 되므로 입력 전압에 비례한 출력을 얻을 수 없고 파형의 일그러짐과 전력 손실을 가져온다.
[해설작성자 : 한준희]

5. 열전자 방출 재료의 구비조건으로 옳지 않은 것은?
     1. 일함수가 적을 것
     2. 융점이 낮을 것
     3. 방출효율이 좋을 것
     4. 가공, 공작이 용이할 것

     정답 : []
     정답률 : 69%
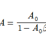
     <문제 해설>
재료의 구비조건
-일함수가 작을것
-융점이 높을것
-방출 효율이 좋을 것
-진공 속에서 증발이 안될 것
-가공 및 공작이 용이할 것
[해설작성자 : 한준희]

6. 트랜지스터와 비교하여 전계효과 트랜지스터(FET)에 관한 설명 중 옳지 않은 것은?
     1. 다수 캐리어 제어 방식이다.
     2. 게이트 전압 제어로 드레인 전류를 제어한다.
     3. 출력 임피던스가 매우 높다.
     4. 열적으로 안정된 동작을 한다.

     정답 : []
     정답률 : 60%
     <문제 해설>
전계효과트랜지스터
-입력임피던스가 매우 높다.
-TR보다 잡음이 적다.
-열 안전성이 좋다.
-비교적 방사능 현상의 영향을 덜 받는다.
-BJT보다 이득 대역폭 적(積)이 적다.
[해설작성자 : 한준희]

7. 다음과 같은 회로에서 출력 Vo는?

   

     1.
     2. 1
     3. Vi
     4. -Vi

     정답 : []
     정답률 : 67%
     <문제 해설>
전압 플로어의 구성은 반전 입력과 출력 단자를 궤환시킨다. 비반전 입력(+)에 신호를 인가하면 입력신호가 출력에 동상으로 따라오는 회로이다.
즉, Vi = Vo가 된다.
[해설작성자 : 한준희]

8. 직렬형 정전압 회로의 특징에 대한 설명 중 옳지 않은 것은?
     1. 과부하시 전류가 제한된다.
     2. 경부하시 효율이 병렬에 비하여 훨씬 크다.
     3. 출력 전압의 안정 범위가 비교적 넓게 설계된다.
     4. 증폭단을 증가시킴으로써 출력저항 및 전압 안정계수를 매우 작게 할 수 있다.

     정답 : []
     정답률 : 55%
     <문제 해설>
정전압회로
-직렬 정전압 안정화 회로 : 제어용 TR과 부하저항 RL이 직렬로 구성되며, 전압제어용 회로로서 경부하시 효율은 높다.
    기준전압을 설정하는 제너 다이오드 전압에 따라 전압 범위를 설정할 수 있어 전압 설정범위가 크다.
-병렬 정전압 안정화 회로 : 부하저항과 병렬로 구성되어 있으며 소비전력이 크므로 효율이 직렬형 보다 낮고 전류제어용이다.
[해설작성자 : 한준희]

9. 다음 중 제너 다이오드를 사용하는 회로는?
     1. 검파회로
     2. 전압안정회로
     3. 고주파발진회로
     4. 고압정류회로

     정답 : []
     정답률 : 76%
     <문제 해설>
제너 다이오드는 내부 임계전압 범위에 따른 순방향 전압을 유지하고 그 이상 혹은 이하의 전압이 걸리면 제너브레이크다운(제너항복)으로 역으로 급격한 전류를 흘리며 순방향 전류흐름을 차단하므로 기준전압 이상의 전압변동에 따른 전압안정 및 회로를 보호할 수 있다.
[해설작성자 : 한준희]

10. Y 결선의 전원에서 각 상의 전압이 100[V]일 때 선간 전압은?
     1. 약 100[V]
     2. 약 141[V]
     3. 약 173[V]
     4. 약 200[V]

     정답 : []
     정답률 : 64%
     <문제 해설>
교류의 3Ø의 Y결선 Vl=√3
Vp=Vl*각 상전압
    =√3*100[V]=173[V]
[해설작성자 : 한준희]

11. 다음 중 집적회로(Integrated Circuit)의 장점이 아닌 것은?
     1. 신뢰성이 높다.
     2. 대량 생산할 수 있다.
     3. 회로를 초소형으로 할 수 있다.
     4. 주로 고주파 대전력용으로 사용된다.

     정답 : []
     정답률 : 81%
     <문제 해설>
집적회로는 전력출력이 작아도 되는 소형.경량의 회로에 적합하며, 신뢰성이 특히 중요시 된다.
[해설작성자 : 한준희]

12. 이상형 병렬 저항형 CR발진회로의 발진주파수는?
     1.
     2.
     3.
     4.

     정답 : []
     정답률 : 74%
     <문제 해설>
이상형 CR발진회로 콜렉터에서 3단 CR로 구성하여 입력 베이스에 양되먹임 되어 위상이 180'와 트랜지스터의 역위상 180'가 가산된 360'정현파 출력을 얻는 발진기로서 발진 조건 및 주파수는 다음과 같다.
-발진을 지속하기 위해서는 Av>=-29로 한다.
-Av=-Rf/Rl>=-29, f0=1/2π√6RC(C직렬회로)이다.
[해설작성자 : 한준희]

13. 다음 중 플립플롭 회로와 같은 것은?
     1. 클리핑회로
     2. 무안정 멀티바이브레이터회로
     3. 단안정 멀티바이브레이터회로
     4. 쌍안정 멀티바이브레이터회로

     정답 : []
     정답률 : 85%
     <문제 해설>
쌍안정 멀티바이브레이터 : 2개의 안정 상태를 가지며 2개의 트리거 펄스에 의해 하나의 구형파를 발생시킬 수 있다(2:1). 이 회로를 플립플롭이라고 하며 기억장치 등에 사용된다.
[해설작성자 : 한준희]

14. 100[Ω]의 저항에 10[A]의 전류를 1분간 흐르게 하였을 때의 발열량은?
     1. 36[kcal]
     2. 72[kcal]
     3. 144[kcal]
     4. 288[kcal]

     정답 : []
     정답률 : 76%
     <문제 해설>
H=0.24I^2Rt[cal]
=0.24*10^2*100*1*60
=144,000[cal]=144[kcal]
[해설작성자 : 한준희]

15. 고전압 고전류를 얻기 위해서는 다음 중 어느 정류 회로가 좋은가?
     1. 반파정류기
     2. 단상 양파정류기
     3. 브리지정류기
     4. 배전압 반파정류기

     정답 : []
     정답률 : 63%
     <문제 해설>
브리지정류기는 다이오드 4개에 각각 분배되어 역전압비가 작아지므로 고전압 고전류에 적합하다.
[해설작성자 : 한준희]

2과목 : 전자계산기일반


16. 다음 중 저주파 발진기로 가장 적합한 것은?
     1. CR 발진기
     2. 콜피츠 발진기
     3. 수정 발진기
     4. 하틀리 발진기

     정답 : []
     정답률 : 51%
     <문제 해설>
CR 발진기는 LC 동조회로를 사용하지 않으며, 발진 주파수는 CR의 시정수에 의해 정해지고 발진 주파수는 저주파대로에서 발진 파형이 깨끗합니다.
[해설작성자 : 김맹고]

17. 2진수 11010.11110를 8진수와 16진수로 올바르게 변환한 것은?
     1. (32.74)8, (D0.F)16
     2. (32.74)8, (1A.F)16
     3. (62.72)8, (D0.F)16
     4. (62.72)8, (1A.F)16

     정답 : []
     정답률 : 68%
     <문제 해설>
-2진수를 3bit의 BCD 코드로 묶은 후 8진수로 변환한다.
(11010.11110)_2=(32.74)_8
-2진수를 4bit의 BCD 코드로 묶은후 16진수로 변환한다.
(11010.11110)_2=(1A.F)_16
[해설작성자 : 한준희]

18. ADD 명령을 사용하여 1을 덧셈하는 것과 같이 해당 레지스터의 내용에 1을 증가시키는 명령어는?
     1. DEC
     2. INC
     3. MUL
     4. SUB

     정답 : []
     정답률 : 61%
     <문제 해설>
INCrease의 약자로 1씩 더하는 의미 입니다.
[해설작성자 : 포철공고 허니]

19. 다음 중 C 언어의 자료형과 거리가 먼 것은?
     1. integer
     2. double
     3. char
     4. short

     정답 : []
     정답률 : 64%
     <문제 해설>
정수, 실수 및 문자를 기본 자료형 데이터라 하며, 정수형 자료에는 char, short, int, long, long long있습니다.
[해설작성자 : 김맹고]

20. 다음 중 제어장치의 역할이 아닌 것은?
     1. 명령을 해독한다.
     2. 두수의 크기를 비교한다.
     3. 입출력을 제어한다.
     4. 시스템 전체를 감시 제어한다.

     정답 : []
     정답률 : 77%
     <문제 해설>
두수의 크기를 비교하는 장치는 연산장치이다.
[해설작성자 : emma]

21. 마이크로프로세서의 구성요소가 아닌 것은?
     1. 제어 장치
     2. 연산 장치
     3. 레지스터
     4. 분기 버스

     정답 : []
     정답률 : 72%
     <문제 해설>
마이크로프로세서는 중앙처리장치의 기능을 집적화한 것으로서 제어장치(명령어 해석 및 실행), 레지스터, 연산장치(ALU) 등의 기본 구성을 갖는다.
[해설작성자 : comcbt.com 이용자]

22. 8비트로 부호와 절대값 방법으로 표현된 수 42를 한 비트씩 좌우측으로 산술 시프트 하면?
     1. 좌측 시프트 : 42, 우측 시프트 : 42
     2. 좌측 시프트 : 84, 우측 시프트 : 42
     3. 좌측 시프트 : 42, 우측 시프트 : 21
     4. 좌측 시프트 : 84, 우측 시프트 : 21

     정답 : []
     정답률 : 75%
     <문제 해설>
좌측시프트하면 *2
우측시프트하면*1/2
[해설작성자 : 즌자공고 마카오킴]

23. 불 대수의 기본 정리 중 틀린 것은?
     1. x+x·y=y
     2. x·(x+y)=x
     3. (xㆍy)'=x'+y'
     4. x·(y+z)=x·y+x·z

     정답 : []
     정답률 : 60%

24. 다음 중 설명이 바르게 된 것은?
     1. 자심(magnetic core)은 보조기억장치로 사용된다.
     2. 자기디스크, 자기 테이프는 주기억장치로 사용된다.
     3. DRAM은 SRAM보다 용량이 크고 속도가 빠르다.
     4. 누산기는 사칙연산, 논리연산 등의 중간 결과를 기억한다.

     정답 : []
     정답률 : 63%

25. 입출력 장치에 대한 설명으로 옳지 않은 것은?
     1. 대표적인 출력장치로는 프린터, 모니터, 플로터 등이 있다.
     2. 스캐너는 그림이나 사진, 문서 등을 이미지 형태로 입력하는 장치이다.
     3. 광학마크판독기(OMR)는 특정한 의미를 지닌 굵고 가는 막대로 이루어진 코드를 판독하는 입력장치이며 판매시점 관리시스템에 주로 사용한다.
     4. 디지타이저는 종이에 그려져 있는 그림, 차트, 도형, 도면 등을 판 위에 대고 각각의 위치와 정보를 입력하는 장치이며 CAD/CAM 시스템에 사용한다.

     정답 : []
     정답률 : 69%
     <문제 해설>
특정한 의미를 지닌 굵고 가는 막대로 이루어진 코들르 판독하여 컴퓨터 내부로 입력하는 장치
슈퍼마켓이나 편의점 등의 판매 시점 관리 시스템에 주로 사용된다
이것은 '바 코드 판독기' 입니다.
[해설작성자 : 공마도벽꾼]

26. 연산에 관계되는 상태와 인터럽트(interrupt) 신호를 기억하는 것은?
     1. 가산기
     2. 누산기
     3. 상태 레지스터
     4. 보수기

     정답 : []
     정답률 : 64%
     <문제 해설>
아래와 같은 오류 신고가 있었습니다.
여러분들의 많은 의견 부탁 드립니다.
추후 여러분들의 의견을 반영하여 정답을 수정하도록 하겠습니다.
참고로 정답 변경은 오류 신고 5회 이상일 경우 수정합니다.

[오류 신고 내용]
누산기 : 연산정치를 구성하는 중심이 되는 레지스터로서 사칙연산, 논리연산 등의 결과와 인터럽트 신호를 기럭한다.
고로 정답은 2번
[해설작성자 : 지나가던 암기충]

[관리자 입니다.
누산기는 "연산결과를 일시적으로 저장"하는 장치입니다.
문제에서는 연산에 관계되는 "상태"와 인터럽트 신호를 저장하는 곳을 물었습니다.
정답은 상태 레지스터가 맞습니다.]

[추가 오류 신고]
관리자님 2020년도 책 보니깐 누산기 맞네요
(책과상상)
[해설작성자 : 리민따이니]

[오류신고 반론]
누산기는 연산과 관련되어 있습니다
그러나 상태신호를 기억하지는 않습니다
그래서 상태 레지스터입니다
[해설작성자 : 공마 전설 2학년]

[추가 오류 신고]
누산기 = 연산장치를 구성하는 중심이 되는 레지스터 로서 사칙연산, 논리연산 등의 결과와 "인터럽트 신호"를 기억함
[해설작성자 : 화이띠!]

[추가 오류 신고]
누산기: 연산장치를 구성하는 중심이 되는 레지스터로서 사칙연산, 논리연산 등의 결과와 '인터럽트 신호를 기억'
이라고 책과 상상 교재에 나와있습니다
[해설작성자 : 민서김]

[오류신고 반론]
인터럽트 신호를 기억하는 것은 상태 레지스터입니다.

27. 순서도를 사용함으로써 얻을 수 있는 효과가 아닌 것은?
     1. 프로그램 코딩의 직접적인 자료가 된다.
     2. 프로그램을 다른 사람에게 쉽게 인수, 인계할 수 있다.
     3. 프로그램의 내용과 일 처리 순서를 한눈에 파악할 수 있다.
     4. 오류가 발생했을 때 그 원인을 찾아 수정하기가 어렵다.

     정답 : []
     정답률 : 80%
     <문제 해설>
오류가 발생했을 때 그 원인을 찾아 수정하기 매우 정말 진짜 짱 쉽습니다.
[해설작성자 : 공마도벽꾼]

28. ROM에 대한 설명 중 틀린 것은?
     1. 비휘발성 소자이다.
     2. 내용을 읽어내는 것만이 가능하다.
     3. 사용자가 작성한 프로그램이나 데이터를 저장하고 처리할 수 있다.
     4. 시스템 프로그램을 저장하기 위해 많이 사용된다.

     정답 : []
     정답률 : 66%
     <문제 해설>
ROM
- 정보에 대해 읽기만 허용
- 비휘발성 기억장치
- 시스템 프로그램 저장에 사용
[해설작성자 : 공마고 ㅈㅅㅇ]

29. 어떤 전자 기술자가 색 띠 저항을 측정하고자 한다. 그런데 그 저항의 색 띠가 벗겨져 값을 읽을 수 없었다. 그래서 그 전자 기술자는 옆에 있는 테스터기(MultiTester)를 두고, 연구실에 있는 휘트스톤 브리지(Wheatstone Bridge)를 가져와 저항 값을 측정하였다. 그 이유로 가장 적당한 것은?
     1. 시간이 남아서
     2. 저항의 정밀한 값을 알고 싶어서
     3. 저항 값과 전류 용량을 알고 싶어서
     4. 저항의 저항 값뿐만 아니라 저항의 전력(W) 용량까지 알아보려고

     정답 : []
     정답률 : 66%
     <문제 해설>
휘트스톤 브리지 : 정밀 저항 측정
외워두세요
[해설작성자 : 공마고 ㅈㅅㅇ]

30. 가동코일형 전류계에서 측정하고자 하는 전류가 50[mA] 이상으로 클 때에는 계기에 무엇을 접속하여 측정하는가?
     1. 정류기
     2. 분류기
     3. 검류기
     4. 배율기

     정답 : []
     정답률 : 56%
     <문제 해설>
분류기:전류계의 측정 범위를 확대시키기 위해 사용(병렬접속)
배율기:전압계의 측정 범위를 확대시키기 위해 사용(직렬접속)
[해설작성자 : 시린•승화]

3과목 : 전자측정


31. 다음 ( ) 안에 들어갈 내용으로 옳은 것은?

    

     1. ①우연오차, ②분배기
     2. ①전위오차, ②배율기
     3. ①표피오차, ②고주파 변류기
     4. ①전위오차, ②고주파 변류기

     정답 : []
     정답률 : 64%
     <문제 해설>
대전류를 측정할 경우에 열전쌍의 허용 전류가 커지므로 열선이 굵어지고, 표피 오차가 커져서 차단 주파수가 낮아진다
[해설작성자 : 수도 6-2]

32. 저항값을 측정하는 방법 중 중저항 1[Ω] ~ 1[㏁]을 측정하는 방법으로 가장 적합하지 않은 것은?
     1. 전류 전압계법
     2. 전위차계법
     3. 브리지법
     4. 저항계법

     정답 : []
     정답률 : 53%
     <문제 해설>
전위차계법은 저저항의 측정에 사용합니다!
[해설작성자 : ☜-(*~*)-☞]

33. 참값이 25.00[V]인 전압을 측정하였더니 24.85[V] 라는 값을 얻었다. 이 때 보정 백분율은 약 몇 [%] 인가?
     1. +0.6[%]
     2. -0.6[%]
     3. +0.15[%]
     4. -0.15[%]

     정답 : []
     정답률 : 47%
     <문제 해설>
보정 백분율={(T-M)/M} * 100
{(25-24.85)/24.85} * 100 = 0.6
[해설작성자 : comcbt.com 이용자]

문제가 백분율 오차를 물었다면 -0.6이지만,
지금은 보정 백분율을 물으므로 0.6이 맞음
[해설작성자 : ㅇ]

[오류신고 반론]
보정률
T-M
--- * 100
M


25.00-24.85
----------- * 100 = 0.6 입니다
     24.85
[해설작성자 : ㅁㄴㅇㄹ]

T가 첨값이고 M이 측정값
보정백분율 T-M/M x 100
오차백분율 M-T/T x 100
저 문제에서 묻는건 보정백분율
그러니까 답은 0.6
[해설작성자 : 햇갈리게 하지마]

34. 기록계기의 기록 방법에 해당하지 않는 것은?
     1. 실선식
     2. 타점식
     3. 자동평형식
     4. 흡수식

     정답 : []
     정답률 : 57%
     <문제 해설>
기록계기의 종류
실선식 계기
타점식 기록계기
자동평형식 기록계기
X-Y 기록계기
[해설작성자 : comcbt.com 이용자]

35. 3상 전력을 측정하는 방법으로 적합하지 않은 것은?
     1. 2 전력계법
     2. 3 전력계법
     3. 고주파 전력계법
     4. 멀티미터 전력계법

     정답 : []
     정답률 : 54%
     <문제 해설>
3상 전력의 측정에는 1전력계법, 2전력계법, 3전력계법 등이 사용됩니다.
[해설작성자 : 김맹고]

36. 안테나의 실효 저항은 희망주파수에서 공진시킨 상태에서 측정해야 한다. 실효 저항 측정법이 아닌 것은?
     1. 저항 삽입법
     2. 작도법(Pauli의 방법)
     3. 치환법
     4. coil 삽입법

     정답 : []
     정답률 : 64%
     <문제 해설>
안테나의 실효저항측정법은
저항삽입법 작도법 치환법 Q미터법이있다
[해설작성자 : 수도공고 박도운]

37. 표준신호 발생기의 출력은 1[㎶]를 기준으로 하여 0[dB]로 표시하는 것이 보통이다. 환산된 출력이 60[dB]일 때, 전압은 몇 [㎶] 인가?
     1. 1[㎶]
     2. 10[㎶]
     3. 100[㎶]
     4. 1000[㎶]

     정답 : []
     정답률 : 45%
     <문제 해설>
20log10(10의x제곱)=60
20*x=60
x=3 10의3승=1000
따라서 답은 1000
[해설작성자 : 공마고 ㅈㅇㅊ]

38. 오실로스코프로 전압을 측정할 때 수평 편향판에 가해지는 전압의 파형은?
     1. 정현파
     2. 직류
     3. 톱니파
     4. 구형파

     정답 : []
     정답률 : 53%
     <문제 해설>
오실로스코프의 수직축 단자에 측정하고자 하는 신호를 가하고 수평축 단자에는 평형의 동기를 맞추기 위하여 톱니파를 공급합니다.
[해설작성자 : 김맹고]

39. R, L, C 등을 직렬로 연결시켜 직렬 공진회로의 특성을 이용한 주파수계는?
     1. 동축 주파수계
     2. 흡수형 주파수계
     3. 헤테로다인 주파수계
     4. 공동 주파수계

     정답 : []
     정답률 : 54%
     <문제 해설>
흡수형 주파수계는 고주파수의 측정에 사용된다.
1. 직렬 공진회로의 주파수 특성을 이용한 것으로 R,L,C 공진회로의 대략의 주파수 측정에 사용된다.
2. 공진회로의 Q가 크지 않을 때에는 공진점을 찾기가 어려우므로 정밀한 측정이 어렵다.
3. 대체로 100[KHz] 이하의 고주파 측정에 사용된다
[해설작성자 : 김맹고]

40. 다음은 무엇에 대한 설명인가?

    

     1. 표본화
     2. 양자화
     3. 부호화
     4. 복호화

     정답 : []
     정답률 : 70%
     <문제 해설>
표본화:아날로그 신호를 일정한 간격으로 샘플링하는 것
양자화:간단한 수치로 고치는것
부호화:양자화 값을 2진 디지털 부호로 바꾸는것

41. 다음 제어량 중 서보 기구에 속하는 것은?
     1. 압력
     2. 유량
     3. 위치
     4. 속도

     정답 : []
     정답률 : 57%
     <문제 해설>
서보기구 : 방향이나 위치의 추지제어를 말한다
[해설작성자 : 공주마고 JSB]

42. 다음 중 공정제어에 속하지 않는 것은?
     1. 온도 제어
     2. 전압 제어
     3. 액면 제어
     4. 압력 제어

     정답 : []
     정답률 : 37%
     <문제 해설>
생산공정에서 전체적 또는 부분적 과정을 자동화시킨 다양한 조작.
컴퓨터에 입력되는 변수를 계산하여 출력장치를 통해 직접 공정에 적용한다.
변수의 예로는 온도제어와 압력제어가 있다.
[해설작성자 : ㅂㅈㅎ]

43. 다음 설명 중 전장 발광과 관계가 없는 것은?
     1. 전장 발광판, 고유형 EL과 주입형 EL 등 3종류로 나눈다.
     2. 전장 발광 현상을 일렉트로 루미네센스 라고 한다.
     3. 전장 발광판은 발광재료에 따라 발광색이 다르나 주파수에는 관계가 없다.
     4. 전장 발광은 반도체의 성질을 가지고 있는 물질에 전장을 가하였을 때 생기는 발광 현상을 말한다.

     정답 : []
     정답률 : 66%
     <문제 해설>
전장 발광은 발광 재료에 따라서 색이 바뀌며 같은 재료라도 주파수에 따라서 색이 바뀐다.
즉, 주파수에도 관계가 있다.

44. 다음 중 태양전지는 무슨 효과를 이용한 것인가?
     1. 광전자 방출 효과
     2. 광방전 효과
     3. 광기전력 효과
     4. 광증폭 효과

     정답 : []
     정답률 : 79%

45. 초음파의 발생 소자 중 전기왜형 진동자로 사용되는 소자는?
     1. 페라이트
     2. 수정
     3. 티탄산 바륨
     4. 롯셀염

     정답 : []
     정답률 : 55%
     <문제 해설>
전기 왜형 진동자 : 진동자의 두께, 모양, 크기에 따라 진동 형태가 달라진다.
1. 최근에는 사용 온도 한계가 높고, 온도 특성이 좋은 지르콘티탄산납(PZT) 진동자가 널리 사용된다.
2. 전기 왜형 진동자의 사용 주파수는 200[kHz]~2[MHz]이다.
[해설작성자 : 김맹고]

46. 그림과 같이 복합유전체를 선택 가열하는 경우 온도가 높은 순서로 옳은 것은? (단, 그림은 3개의 비커를 축이 일치하도록 하여 전극판 사이에 놓고 유전가열 하는 경우로서 주파수는 20[MHz]로 하며, 식염수는 0.1% NaCl 이다.)

    

     1. 식염수 > 지방 > 물
     2. 물 > 식염수 > 지방
     3. 지방 > 식염수 > 물
     4. 식염수 > 물 > 지방

     정답 : []
     정답률 : 76%

47. 다음 중 자동 온수기에서 제어대상은?
     1. 온도
     2.
     3. 연료
     4. 조절밸브

     정답 : []
     정답률 : 63%
     <문제 해설>
제어 대상-물
제어량-온도
목표값-설정값
[해설작성자 : 김형민]

48. 흑백 방송은 정상이나 컬러 방송 수신시 색이 전혀 안 나온다면 조사 할 요소는?
     1. 제2영상 증폭회로
     2. X 복조회로
     3. 컨버전스 회로
     4. 컬러 킬러회로

     정답 : []
     정답률 : 77%

49. 펄스레이더에서 전파를 발사하여 수신할 때까지 2.8[㎲]가 걸렸다면 목표물까지의 거리는?
     1. 14[m]
     2. 28[m]
     3. 280[m]
     4. 420[m]

     정답 : []
     정답률 : 44%
     <문제 해설>
D=ct/2
(D=목표까지 거리,c=전파의 속도 3×10↑8,
t=전파의 왕복시간)
D=(3×10↑8)*(2.8×10↑-6)/2 = 420[m]
[해설작성자 : ☜-(*~*)-☞]

펄스레이더의 분해능은 1us에 150m임.
2.8us일때는 150x 2.8 해서 = 420m이다.
[해설작성자 : 쌍기사]

50. 다음 그림은 동작 신호량(Z)과 조작량(Y)의 관계를 나타낸 것이다. 그림의 ( )안에 알맞은 것은?

    

     1. 적분시간
     2. 미분시간
     3. 동작범위
     4. 비례대

     정답 : []
     정답률 : 63%
     <문제 해설>
그림은 조직량이 편차, 즉 동작신호에 비례하는 비례동작 선도로서, 편차와 조직량이 비례하는 () 부분을 비례대라고 합니다.
[해설작성자 : 김맹고]

51. 전자 냉동기의 기본원리를 나타낸 것이다. "ㄷ"점에서 발열이 있었다면 흡열현상이 나타나는 곳은?

    

     1.
     2.
     3.
     4.

     정답 : []
     정답률 : 74%
     <문제 해설>
ㄱ, ㄹ 사이에 전압을 가하여 도체 1, 2를 통하여 전류가 흐르면 ㄴ, ㄷ 접합점에서는 전류에 비례하는 열의 흡수 및 발산이 생기는데 ㄴ 점에서 열을 흡수한다면 ㄷ점에서는 열을 발산한다.
[해설작성자 : 김맹고]

52. 수신기의 종합특성에 해당되지 않는 것은?
     1. 감도
     2. 충실도
     3. 선택도
     4. 변조도

     정답 : []
     정답률 : 62%
     <문제 해설>
수신기의 특성
1. 감도
2. 선택도
3. 충실도
4. 안정도
[해설작성자 : 김맹고]

53. 2개의 스피커를 병렬 연결했을 때의 합성 임피던스는 1개의 스피커 때보다 어떻게 되는가?
     1. 1/4
     2. 1/2
     3. 2배
     4. 4배

     정답 : []
     정답률 : 62%
     <문제 해설>
병렬접속의 합성 임피던스는 R/n이므로 1/2배가 됩니다.
[해설작성자 : 김맹고]

54. FM 수신기에서 스켈치(squelch) 회로의 사용 목적은?
     1. 입력신호가 없을 때 수신기 내부 잡음을 제거한다.
     2. FM 전파 수신기 수신기 내부 잡음을 증폭한다.
     3. 국부발진 주파수의 변동을 막는다.
     4. 안테나로부터 불필요한 복사를 제거한다.

     정답 : []
     정답률 : 51%
     <문제 해설>
FM 수신기의 저주파 출력단에는 반송파 입력이 약하거나 없을 때는 일반적으로 큰 잡음이 생깁니다. 스켈치회로는 이 잡음을 방지하기 위하여 수신 입력전압이 어느 정도 이하일 때 저주파 증폭기가 동작하지 않도록 하는 회로입니다.
[해설작성자 : 김맹고]

55. 녹음 때는 고역을 재생 때는 저역을 각각의 증폭기로 보정하여 전체를 통하여 평탄한 특성으로 만드는 것을 무엇이라고 하는가?
     1. 등화
     2. 소거
     3. 증폭
     4. 재생

     정답 : []
     정답률 : 73%

56. 다음 중 TV 수신 안테나가 아닌 것은?
     1. 반파장 다이폴 안테나
     2. 폴디드(folded) 안테나
     3. 야기(yagi) 안테나
     4. 비월 안테나

     정답 : []
     정답률 : 63%
     <문제 해설>
TV 수신 안테나의 종류
1. 반파장 다이폴 안테나
2. 폴디드 안테나
3. 야기 안테나
4. 인라인형 안테나
5. 코니컬 안테나
[해설작성자 : 김맹고]

57. 오디오 앰프(audio amp)에 부궤환을 걸어줄 때의 현상이 아닌 것은?
     1. 주파수 특성이 개선된다.
     2. 안정도가 향상된다.
     3. 찌그러짐이 감소된다.
     4. 증폭도가 증가한다.

     정답 : []
     정답률 : 52%
     <문제 해설>
증폭이득은'감소'하지만 주파수 특성이 개선됩니다!
[해설작성자 : 무라타 히메코]

또한 증폭도는 감소하지만 안정도는 증가합니다!
[해설작성자 : 공]

58. 다음 중 산란 효과를 보완하여 X-선 영상의 해상도를 높이기 위해 사용되는 것은?
     1. 필터
     2. 셔터
     3. 그리드
     4. 증감지

     정답 : []
     정답률 : 66%

59. 다음 중 전력 증폭기의 출력 P[W]는? (단, V는 출력되는 음성전압, R은 스피커의 부하저항)
     1. P = V2/R[W]
     2. P = R/V2[W]
     3. P = V/R[W]
     4. P = R/V[W]

     정답 : []
     정답률 : 67%
     <문제 해설>
P=VI I=V/R이니
P=V^2/R이 된다
[해설작성자 : 수도공고    구희중]

60. 광학 현미경의 광원은 전자현미경의 어느 곳에 해당되는가?
     1. 전자총
     2. 전자렌즈
     3. 여자 전류전원
     4. 시료

     정답 : []
     정답률 : 62%
     <문제 해설>
광학 현미경과 전자 현미경이 기본적으로 다른 점은 광학 현미경에서는 시료 위의 정보를 전하는 매개체로서 빛을 사용하여 상을 확대하는 데 광학 렌즈를 사용하지만, 전자 현미경에서는 정보를 전달하는 매개체로서 전자 빔을 사용하고 또한 상을 확대시키는 데에는 전자렌즈를 사용하는 것입니다.
[해설작성자 : 김맹고]


정 답 지

1

2

3

4

5

6

7

8

9

10

11

12

13

14

15

16

17

18

19

20

21

22

23

24

25

26

27

28

29

30

31

32

33

34

35

36

37

38

39

40

41

42

43

44

45

46

47

48

49

50

51

52

53

54

55

56

57

58

59

60

전자기능사 필기 기출문제(해설) 및 CBT 2013년10월12일(5회)을 이용해 주셔서 감사합니다.
전자기기능사, 전자기기, 전자, 기기, 기능사, 필기, 기출문제, 전자문제집, CBT, 온라인, 모의테스트, 모의고사



List of Articles
번호 제목 글쓴이 날짜 조회 수
» 전자기능사 필기 기출문제(해설) 및 CBT 2013년10월12일(5회)(6855) new 좋은아빠되기 2025.11.25 0
4197 전자기능사 필기 기출문제(해설) 및 CBT 2014년01월16일(1회)(6856) new 좋은아빠되기 2025.11.25 1
4196 전자기능사 필기 기출문제(해설) 및 CBT 2014년04월06일(2회)(6857) new 좋은아빠되기 2025.11.25 0
4195 전자기능사 필기 기출문제(해설) 및 CBT 2014년07월20일(4회)(6858) new 좋은아빠되기 2025.11.25 0
4194 전자기능사 필기 기출문제(해설) 및 CBT 2014년10월11일(5회)(6859) new 좋은아빠되기 2025.11.25 0
4193 전자기능사 필기 기출문제(해설) 및 CBT 2015년01월25일(1회)(6860) new 좋은아빠되기 2025.11.25 0
4192 전자기능사 필기 기출문제(해설) 및 CBT 2015년04월04일(2회)(6861) new 좋은아빠되기 2025.11.25 0
4191 전자기능사 필기 기출문제(해설) 및 CBT 2015년07월19일(4회)(6862) new 좋은아빠되기 2025.11.25 0
4190 전자기능사 필기 기출문제(해설) 및 CBT 2015년10월10일(5회)(6863) new 좋은아빠되기 2025.11.25 0
4189 전자기능사 필기 기출문제(해설) 및 CBT 2016년01월24일(1회)(6864) new 좋은아빠되기 2025.11.25 0
4188 전자기능사 필기 기출문제(해설) 및 CBT 2016년04월02일(2회)(6865) new 좋은아빠되기 2025.11.25 0
4187 전자기능사 필기 기출문제(해설) 및 CBT 2016년07월10일(4회)(6866) new 좋은아빠되기 2025.11.25 0
4186 전자캐드기능사 필기 기출문제(해설) 및 CBT 2002년12월08일(5회)(6867) new 좋은아빠되기 2025.11.25 0
4185 전자캐드기능사 필기 기출문제(해설) 및 CBT 2003년07월20일(4회)(6868) new 좋은아빠되기 2025.11.25 0
4184 전자캐드기능사 필기 기출문제(해설) 및 CBT 2004년07월18일(4회)(6869) new 좋은아빠되기 2025.11.25 0
4183 전자캐드기능사 필기 기출문제(해설) 및 CBT 2005년07월17일(4회)(6870) new 좋은아빠되기 2025.11.25 0
4182 전자캐드기능사 필기 기출문제(해설) 및 CBT 2006년04월02일(2회)(6871) new 좋은아빠되기 2025.11.25 0
4181 전자캐드기능사 필기 기출문제(해설) 및 CBT 2006년10월01일(5회)(6872) new 좋은아빠되기 2025.11.25 0
4180 전자캐드기능사 필기 기출문제(해설) 및 CBT 2007년09월16일(5회)(6873) new 좋은아빠되기 2025.11.25 0
4179 전자캐드기능사 필기 기출문제(해설) 및 CBT 2008년03월30일(2회)(6874) new 좋은아빠되기 2025.11.25 0
Board Pagination Prev 1 ... 694 695 696 697 698 699 700 701 702 703 ... 908 Next
/ 908