자격증 필기 기출문제



전자기능장 필기 기출문제(해설) 및 CBT 2017년07월08일(6950)

최강 자격증 기출문제 전자문제집 CBT : www.comcbt.com


전자문제집 CBT란?

종이 문제집이 아닌 인터넷으로 문제를 풀고 자동으로 채점하며 모의고사, 오답 노트, 해설까지 제공하는
무료 기출문제 학습 프로그램으로 실제 상설검정에서 사용하는 OMR 형식의 CBT를 제공합니다.


최신 전자기능장 필기 기출문제 : [다운로드]

1과목 : 임의구분


1. 온도, 압력, 액체면, 유량 및 농도 등의 공업프로세스의 상태량을 제어하는 것은?
     1. 공정제어
     2. 추종제어
     3. 자동조정
     4. 서보제어

     정답 : []
     정답률 : 85%

2. 다음 중 10진수 5에 대한 3-초과 코드로 옳은 것은?
     1. 0001
     2. 0101
     3. 1010
     4. 1000

     정답 : []
     정답률 : 87%
     <문제 해설>
3초과 코드 Excess-Three Code
- 10진수를 2진수로 표현하는 방법의 하나
- 임의의 10진수에 3을 더하고 이것을 2진수로 한 것

10진수: 5 + 3 = 8
8의 2진수 = 1000
[해설작성자 : 나대로]

3. 자동제어에서 목표값으로 유지하는 제어방식으로 옳은 것은?
     1. 정치제어
     2. 서보제어
     3. 추치제어
     4. 프로그램제어

     정답 : []
     정답률 : 76%

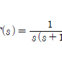
4. 2단자 임피던스 함수 일 때 극점은?
     1. +1
     2. -1
     3. 2, 3
     4. -2, -3

     정답 : []
     정답률 : 89%
     <문제 해설>
극점 : 전달함수의 분모를 0으로 만드는 s값
[해설작성자 : 날아라새들아]

5. CPU를 통하지 않고 입출력 장치와 메모리 사이에서 데이터를 주고받는 방식은?
     1. CTC
     2. PIPO
     3. DMA
     4. NMI

     정답 : []
     정답률 : 92%
     <문제 해설>
Direct Memory Access의 약자로써 메모리에 직접 접근한다는 뜻
[해설작성자 : 로이아빠]

6. 그림과 같은 회로에서 출력 발진주파수는 몇 Hz인가?

   

     1. 200
     2. 480
     3. 820
     4. 950

     정답 : []
     정답률 : 80%
     <문제 해설>
T = 0.693 * ((R1 + 2*R2) * C1)
T = 0.002079
F = 1 / T
F = 481 Hz
[해설작성자 : jmkim]

7. 다음 중 교류 전동기는?
     1. 유도 전동기
     2. 직권 전동기
     3. 분권 전동기
     4. 복권 전동기

     정답 : []
     정답률 : 92%

8. 회전 운동계의 토크 및 관성 모멘트는 전자계의 무엇으로 대응 되는가?
     1. 전압 및 인덕턴스
     2. 저항 커패시터
     3. 전압 및 전류
     4. 저항 및 인덕턴스

     정답 : []
     정답률 : 80%

9. 테이프 레코더의 자기헤드 중 재생헤드의 특성을 결정하는 요인이 아닌 것은?
     1. 주파수 특성
     2. 외부 유도잡음
     3. 누화(cross talk)
     4. 녹음 간격

     정답 : []
     정답률 : 79%

10. 녹음기에서 테이프를 일정한 속도로 움직이게 하는 것은?
     1. 캡스턴과 핀치롤러
     2. 핀치롤러와 텐션암
     3. 캡스턴과 테이프 가이드
     4. 테이프 가이드와 테이프 패드

     정답 : []
     정답률 : 86%

11. 반도체 레이저 재료로서 흔히 사용되는 물질은?
     1. Ge
     2. InGaAsP
     3. ZnS
     4. CdSe

     정답 : []
     정답률 : 85%

12. 듀티 사이클(duty cycle)이 0.1이고, 주기가 40μs인 펄스의 폭은?
     1. 3μs
     2. 4μs
     3. 5μs
     4. 6μs

     정답 : []
     정답률 : 93%

13. 다음 회로에서 스위치를 닫았을 때 흐르는 전류가 닫기 전에 흐르던 전류의 2배가 되도록하기 위한 저항 R의 값은 약 몇 Ω 인가?

    

     1. 0.5Ω
     2. 0.67Ω
     3. 0.33Ω
     4. 1.5Ω

     정답 : []
     정답률 : 74%

14. 컴퓨터 시스템에서 데이터의 입출력을 관리하고, CPU의 명령 수행에 필요한 신호를 내보내는 장치는?
     1. DMA
     2. 제어장치
     3. 레지스터
     4. 프로그램 카운터

     정답 : []
     정답률 : 75%

15. 다음 중 대칭 4단자 회로에서 특성 임피던스는?
     1.
     2.
     3.
     4.

     정답 : []
     정답률 : 86%

16. 유도 가열은 주로 어떤 작용을 이용한 것인가?
     1. 유전체손
     2. 맴돌이 전류손
     3. 히스테리시스손
     4. 주파수손

     정답 : []
     정답률 : 91%

17. 디지털 데이터를 디지털 신호로 변환하는 전송부호화의 종류에 속하지 않는 것은?
     1. NRZ
     2. CMI
     3. 인터리빙
     4. 맨체스터

     정답 : []
     정답률 : 78%

18. 소음의 영향으로 필요한 소리가 잘 들리지 않는 현상(효과)은?
     1. 마스킹(masking) 효과
     2. 양이(兩耳) 효과
     3. 명룡(鳴龍) 현상
     4. 스테레오 효과

     정답 : []
     정답률 : 88%

19. 다음 중 PCM(펄스 코드 변조)의 기본 원리구성으로 옳은 것은?
     1. 표본화 → 양자화 → 부호화
     2. 부호화 → 양자화 → 표본화
     3. 표본화 → 부호화 → 양자화
     4. 양자화 → 표본화 → 부호화

     정답 : []
     정답률 : 88%

20. 다음 중 이상적인 연산증폭기의 조건은? (단, Zin는 증폭기의 입력 임피던스, ZO는 출력 임피던스이다.)
     1. Zin = ∞, ZO = 0
     2. Zin = 0, ZO = ∞
     3. Zin = ∞, ZO = ∞
     4. Zin = 0, ZO = 0

     정답 : []
     정답률 : 86%

2과목 : 임의구분


21. 전압증폭도가 100, 왜율이 10%인 증폭기에 귀환율 β=0.09의 부귀환을 걸었을 때 왜율은 몇 % 인가?
     1. 0.1
     2. 0.5
     3. 1
     4. 5

     정답 : []
     정답률 : 63%

22. 불대수식 A + B · C 와 등가인 것은?
     1. A · B(B + C)
     2. (A + B) · A
     3. A · B(A + C)
     4. (A + B)(A + C)

     정답 : []
     정답률 : 85%

23. pn접합에서 접합용량에 영향을 주지 않는 것은?
     1. 역방향 전압의 크기
     2. 접합 면적의 크기
     3. 역포화 전류의 크기
     4. 공간전하 영역의 폭

     정답 : []
     정답률 : 71%

24. 연산증폭기의 성능을 평가하는 주요항목으로 차동이득과 동상이득의 비를 나타내는 것은?
     1. 슬루율(slew rate)
     2. 전원 전압 제거비(PSRR)
     3. 동상 신호 제거비(CMRR)
     4. 오프셋 전압(offset voltage)

     정답 : []
     정답률 : 81%

25. 다음 중 어떤 상태 또는 명령을 2진 코드로 변환하여 출력하는 해독기의 반대 기능을 수행하는 조합 논리회로는?
     1. 디코더
     2. 인코더
     3. 멀티플렉서
     4. 디멀티플렉서

     정답 : []
     정답률 : 80%

26. 마이크로프로세서 장치에서 주기억 장치, 연산논리장치(ALU) 외에 꼭 있어야 할 요소는?
     1. 입력 장치
     2. 출력 장치
     3. 제어 장치
     4. 보조 기억 장치

     정답 : []
     정답률 : 87%

27. 질량이 m이고 운동량이 P인 전자의 운동에너지는?
     1.
     2.
     3.
     4.

     정답 : []
     정답률 : 72%

28. 제어계의 출력신호와 입력신호의 비를 무엇이라 하는가?
     1. 미분함수
     2. 적분함수
     3. 제어함수
     4. 전달함수

     정답 : []
     정답률 : 84%

29. 연산증폭기에서 슬루율(Slew rate)은 무엇으로 나타내는가?
     1. 잡음특성
     2. 이득특성
     3. 동상제거비
     4. 스위칭특성

     정답 : []
     정답률 : 71%

30. 2진 반가산기의 합(Sum)을 만족시키는 게이트는?
     1. AND
     2. OR
     3. EX-OR
     4. NAND

     정답 : []
     정답률 : 78%

31. 초크 입력형과 비교한 커패시터 입력형 평활회로에 대한 설명으로 틀린 것은?
     1. 저가이다.
     2. 대전류에 적합하다.
     3. 전압변동률이 나쁘다.
     4. 첨두 역전압이 높다.

     정답 : []
     정답률 : 79%

32. FM 수신기에서 입력 신호가 없거나 작을 경우에 내부 잡음을 억제하는 회로는?
     1. 스켈치 회로
     2. 디엠퍼시스
     3. 진폭 제한기
     4. 주파수 판별기

     정답 : []
     정답률 : 80%

33. 온도 변화에 따라 저항값이 변화하는 반도체 소자는?
     1. SCR
     2. UJT
     3. 서미스터(Thermistor)
     4. 터널 다이오드(Tunnel Diode)

     정답 : []
     정답률 : 92%

34. α차단주파수(fα)가 20MHz인 트랜지스터를 이미터 접지로 사용할 경우 β차단주파수(fβ)는? (단, 전류증폭도 α=0.96 이다.)
     1. 200kHz
     2. 400kHz
     3. 6000
     4. 800kHz

     정답 : []
     정답률 : 57%

35. 유전 가열장치로서 식품조리에 이용되는 전자관은?
     1. 아크관
     2. 사이러트론
     3. 클라이스트론
     4. 마그네트론

     정답 : []
     정답률 : 87%

36. 다음 중 VCR 영상신호를 기록할 때 고역의 S/N비 열화방지를 위해 사용되는 회로는?
     1. White Peak Clipping
     2. De-emphasis
     3. Pre-emphasis
     4. Clamping

     정답 : []
     정답률 : 80%

37. 명령어 집합에서 명령어가 수행하는 연산의 종류로 틀린 것은?
     1. 입출력 기능
     2. 전달 기능
     3. 연산 기능
     4. 저장 기능

     정답 : []
     정답률 : 68%

38. 각 주변 장치로부터 CPU에 대하여 동시에 인터럽트가 발생한 경우보다 CPU에 가까운 쪽의 인터럽트를 우선적으로 실행하는 것은?
     1. 벡터
     2. 폴링
     3. 논 마스크
     4. 데이지 체인

     정답 : []
     정답률 : 73%

39. 테이프 레코더에서 와우 플로터 현상을 설명한 것은?
     1. 테이프가 녹음기의 헤드나 캡스턴과 마찰되면서 발생되는 귀에 거슬리는 마찰음을 말함
     2. 테이프의 재생 중 때때로 발생되는 소리의 감소현상
     3. 테이프의 겹쳐진 부분에서 녹음 신호가 서로 다른 부분으로 옮겨가 재생 시 소리가 이중으로 나는 현상
     4. 테이프의 주행속도가 정상보다 느렸다 빨랐다 할때 일어나는 현상

     정답 : []
     정답률 : 85%

40. 8분주 회로를 만들 때 최소 몇 개의 T플립플롭을 사용하여야 하는가?
     1. 2
     2. 3
     3. 4
     4. 5

     정답 : []
     정답률 : 86%

41. 다음 중 FM 검파회로에 비(ratio)검파회로를 사용하는 이유로 가장 적절한 것은?
     1. 동조가 간단하므로
     2. 출력 임피던스가 낮으므로
     3. 검파 출력 전압이 크므로
     4. 진폭 제한 작용을 가지므로

     정답 : []
     정답률 : 71%

42. 자유공간에서 반파장 쌍극자 안테나의 방사전력이 100W일 때, 최대 방사방향으로 5km 떨어진 지점에서의 전계강도는 약 얼마인가? (단, 반파 안테나의 방사저항(R)은 73.13Ω, 방사전계 E, 전류 I, 거리가 d일 때 이다.)
     1. 5[mV/m]
     2. 14[mV/m]
     3. 26[mV/m]
     4. 70[mV/m]

     정답 : []
     정답률 : 66%

43. 그림의 구형파 펄스의 듀티 사이클(duty cycle)은 몇 % 인가?

    

     1.
     2.
     3.
     4.

     정답 : []
     정답률 : 87%

44. 다음 중 유도전동기의 회전력과 단자 전압의 관계로 옳은 것은?
     1. 단자 전압에 정비례
     2. 단자 전압의 제곱에 비례
     3. 단자 전압의 세제곱에 비례
     4. 단자 전압의 에 비례

     정답 : []
     정답률 : 84%

45. 다음 중 BCD 코드가 아닌 것은?
     1. 0110
     2. 1011
     3. 1001
     4. 1000

     정답 : []
     정답률 : 79%

46. 블록선도(block diagram)를 그릴 때 유의해야 할 사항이 아닌 것은?
     1. 화살은 신호가 전달되는 방향으로 나타낸다.
     2. 정사각형, 직사각형 및 삼각형의 블록을 사용한다.
     3. 신호가 전달되는 방향은 될 수 있는 대로 오른쪽에서 왼쪽으로 한다.
     4. 각 블록 사이는 단선으로 연결하는 것이 원칙이지만 복선도 사용할 수도 있다.

     정답 : []
     정답률 : 88%

47. 아날로그 레코드 플레이어에서 톤 암(Tone Arm)의 부속품 가운데 암의 축을 비틀려는 힘의 작용을 막기 위한 것은?
     1. 암 베이스
     2. 암 리프트
     3. 래터럴 밸런서
     4. 인사이드 포스 캔슬러

     정답 : []
     정답률 : 83%
     <문제 해설>
래터럴 밸런서(Lateral balacer)는 암의 축(피봇에서 카드리지 팁에 이르는 직선 축)에 비틀리려는 힘이 작용하는 것을 방지하기 위한 웨이트로서, 이 밸런스를 완전히 취하면 플레이어가 다소 기울어져 있어도 암이 흐르거나 하지 않습니다. 그리고 상하 좌우의 움직임도 훨씬 원활하게 됩니다
[해설작성자 : 날아라새들아]

48. 키르히호프의 법칙에 대한 설명으로 틀린 것은?
     1. 이 법칙은 선형소자로만 이루어진 회로에 적용가능하다.
     2. 제1법칙은 전류법칙, 제2법칙은 전압법칙이다.
     3. 임의의 폐회로에서 전압상승의 총합은 전압강하의 총합과 같다.
     4. 회로망에서 임의의 접속점에 유입하는 전류와 유출하는 전류의 대수합은 0이다.

     정답 : []
     정답률 : 82%

49. R-L 직렬회로에서 t가 0일 때, 갑자기 전압을 가하면 전류가 0에서 정상전류의 63.2%에 도달하는 시간은 몇 초인가? (단, 저항은 20Ω이고 인덕턴스는 1H이다.)
     1. 0.01
     2. 0.05
     3. 0.1
     4. 0.5

     정답 : []
     정답률 : 60%

50. 레이더에 마이크로파가 사용되는 이유로 가장 적합한 것은?
     1. 변조특성이 좋기 때문에
     2. 페이딩 적기 때문에
     3. 지향성이 강하기 때문에
     4. 송신기 제작이 용이하기 때문에

     정답 : []
     정답률 : 85%

51. 그림과 같은 블록선도에서 전달함수( )를 구하면?

    

     1.
     2.
     3.
     4.

     정답 : []
     정답률 : 85%

52. 직렬 제어형 정전압 회로의 블록도에서 빈칸에 들어가야 할 명칭으로 가장 적합한 것은?

    

     1. ㉠제어소자, ㉡오차검출, ㉢샘플회로
     2. ㉠오차검출, ㉡샘플회로, ㉢제어소자
     3. ㉠샘플회로, ㉡제어소자, ㉢오차검출
     4. ㉠샘플회로, ㉡오차검출, ㉢제어소자

     정답 : []
     정답률 : 83%

53. 주파수 변조시스템에서 대역폭은? (단, Δf는 최대주파수 편이, fm은 변조 주파수이다.)
     1.
     2.
     3. B = Δf + fm
     4. B = 2(Δf + fm)

     정답 : []
     정답률 : 79%

54. 동기식 계수기의 특징으로 틀린 것은?
     1. 동작속도가 고속이다.
     2. 클록발진기가 별도로 필요하다.
     3. 설계가 어렵고 불규칙적이다.
     4. 회로가 복잡하고 주로 큰 시스템에 사용된다.

     정답 : []
     정답률 : 74%

55. 브레인스토밍(Brainstorming)과 가장 관계가 깊은 것은?
     1. 특성요인도
     2. 파레토도
     3. 히스토그램
     4. 회귀분석

     정답 : []
     정답률 : 80%

56. 검사특성곡선(OC Curve)에 관한 설명으로 틀린것은? (단, N: 로트의 크기, n: 시료의 크기, c: 합격판정개수 이다.)
     1. N, n이 일정할 때 c가 커지면 나쁜 로트의 합격률은 높아진다.
     2. N, c가 일정할 때 n이 커지면 좋은 로트의 합격률은 낮아진다.
     3. N/n/c의 비율이 일정하게 증가하거나 감소하는 퍼센트 샘플링 검사시 좋은 로트의 합격률은 영향이 없다.
     4. 일반적으로 로트의 크기 N이 시료 n에 비해 10배 이상 크다면, 로트의 크기를 증가시켜도 나쁜 로트의 합격률은 크게 변화하지 않는다.

     정답 : []
     정답률 : 70%

57. 다음 그림의 AOA(Activity-on-Arc) 네트워크에서 E 작업을 시작하려면 어떤 작업들이 완료되어야 하는가?

    

     1. B
     2. A, B
     3. B, C
     4. A, B, C

     정답 : []
     정답률 : 82%

58. 다음 데이터로부터 통계량을 계산한 것 중 틀린 것은?

    

     1. 범위(R) = 7.6
     2. 제곱합(S) = 7.59
     3. 중앙값(Me) = 24.3
     4. 시료분산(s2) = 8.988

     정답 : []
     정답률 : 75%

59. 표준시간을 내경법으로 구하는 수식으로 맞는 것은?
     1. 표준시간 = 정미시간+여유시간
     2. 표준시간 = 정미시간×(1+여유시간)
     3. 표준시간 = 정미시간×(1/1-여유율)
     4. 표준시간 = 정미시간×(1/1+여유율)

     정답 : []
     정답률 : 78%

60. 품질특성에서 X관리도로 관리하기에 가장 거리가 먼 것은?
     1. 볼펜의 길이
     2. 알코올 농도
     3. 1일 전력소비량
     4. 나사길이의 부적합품 수

     정답 : []
     정답률 : 82%


정 답 지

1

2

3

4

5

6

7

8

9

10

11

12

13

14

15

16

17

18

19

20

21

22

23

24

25

26

27

28

29

30

31

32

33

34

35

36

37

38

39

40

41

42

43

44

45

46

47

48

49

50

51

52

53

54

55

56

57

58

59

60

전자기능장 필기 기출문제(해설) 및 CBT 2017년07월08일을 이용해 주셔서 감사합니다.
전자기기능장, 전자,기기, 기능장, 필기, 기출문제, 전자문제집, CBT, 온라인, 모의테스트, 모의고사



List of Articles
번호 제목 글쓴이 날짜 조회 수
14067 통신설비기능장 필기 기출문제(해설) 및 CBT 2010년07월11일(6965) 좋은아빠되기 2025.11.25 0
14066 통신설비기능장 필기 기출문제(해설) 및 CBT 2010년03월28일(6964) 좋은아빠되기 2025.11.25 0
14065 통신설비기능장 필기 기출문제(해설) 및 CBT 2009년08월27일(6963) 좋은아빠되기 2025.11.25 0
14064 통신설비기능장 필기 기출문제(해설) 및 CBT 2009년03월29일(6962) 좋은아빠되기 2025.11.25 0
14063 통신설비기능장 필기 기출문제(해설) 및 CBT 2008년07월13일(6961) 좋은아빠되기 2025.11.25 0
14062 통신설비기능장 필기 기출문제(해설) 및 CBT 2007년07월15일(6960) 좋은아빠되기 2025.11.25 0
14061 통신설비기능장 필기 기출문제(해설) 및 CBT 2006년07월16일(6959) 좋은아빠되기 2025.11.25 0
14060 통신설비기능장 필기 기출문제(해설) 및 CBT 2005년07월17일(6957) 좋은아빠되기 2025.11.25 0
14059 통신설비기능장 필기 기출문제(해설) 및 CBT 2004년07월18일(6955) 좋은아빠되기 2025.11.25 1
14058 통신설비기능장 필기 기출문제(해설) 및 CBT 2003년07월02일(6953) 좋은아빠되기 2025.11.25 0
14057 통신설비기능장 필기 기출문제(해설) 및 CBT 2002년07월21일(6952) 좋은아빠되기 2025.11.25 0
14056 전자기능장 필기 기출문제(해설) 및 CBT 2018년03월31일(6951) 좋은아빠되기 2025.11.25 0
» 전자기능장 필기 기출문제(해설) 및 CBT 2017년07월08일(6950) 좋은아빠되기 2025.11.25 0
14054 전자기능장 필기 기출문제(해설) 및 CBT 2017년03월05일(6949) 좋은아빠되기 2025.11.25 0
14053 전자기능장 필기 기출문제(해설) 및 CBT 2016년07월10일(6948) 좋은아빠되기 2025.11.25 0
14052 전자기능장 필기 기출문제(해설) 및 CBT 2016년04월02일(6947) 좋은아빠되기 2025.11.25 0
14051 전자기능장 필기 기출문제(해설) 및 CBT 2015년07월19일(6946) 좋은아빠되기 2025.11.25 0
14050 전자기능장 필기 기출문제(해설) 및 CBT 2015년04월04일(6945) 좋은아빠되기 2025.11.25 0
14049 전자기능장 필기 기출문제(해설) 및 CBT 2014년07월20일(6944) 좋은아빠되기 2025.11.25 0
14048 전자기능장 필기 기출문제(해설) 및 CBT 2014년04월06일(6943) 좋은아빠되기 2025.11.25 0
Board Pagination Prev 1 ... 260 261 262 263 264 265 266 267 268 269 ... 968 Next
/ 968