자격증 필기 기출문제



통신설비기능장 필기 기출문제(해설) 및 CBT 2014년10월04일(6973)

최강 자격증 기출문제 전자문제집 CBT : www.comcbt.com


전자문제집 CBT란?

종이 문제집이 아닌 인터넷으로 문제를 풀고 자동으로 채점하며 모의고사, 오답 노트, 해설까지 제공하는
무료 기출문제 학습 프로그램으로 실제 상설검정에서 사용하는 OMR 형식의 CBT를 제공합니다.


최신 통신설비기능장 필기 기출문제 : [다운로드]

1과목 : 임의 과목 구분(20문항)


1. 다음 중 축적 프로그램 제어방식과 관계없는 것은?
     1. 컴퓨터의 소프트웨어 기술이 중요하다.
     2. 제어부의 동작 프로그램을 미리 만들어 기억시킨다.
     3. 필요한 프로그램은 호처리에 관한 것과 보수용으로 나눈다.
     4. 저장된 프로그램의 기능변경이 곤란하다.

     정답 : []
     정답률 : 90%

2. 다음 중 전자교환기의 보수용 프로그램의 종류로 볼 수 없는 것은?
     1. 고장장치 식별용 프로그램
     2. 서브루틴 프로그램
     3. 저속 패턴 설정용 프로그램
     4. 장치의 폐쇄/해제용 프로그램

     정답 : []
     정답률 : 73%

3. 교환기에서 어떤 입중계선에 발생한 호가 전체의 출중계선을 사용할 수 있는 상태를 전리용도라고 하며 이렇게 형성된 중계선군을 완전군이라고 한다. 완전군의 결성방법이 아닌 것은?
     1. 직선결선법
     2. 사선결선법
     3. 회전결선법
     4. 교차결선법

     정답 : []
     정답률 : 78%

4. TDX-10은 기본적으로 3개의 서브시스템(Subsystem)으로 구성되어 있다. 이에 해당되지 않는 것은?
     1. ASS(Access Switching Subsystem)
     2. CDL(Central Data Link)
     3. INS(Interconnection Network Subsystem)
     4. CCS(Central Control Subsystem)

     정답 : []
     정답률 : 81%

5. 전화국의 수가 30개인 복지국에서 국간 중계선을 망형으로 결선하면 중계선 수는?
     1. 255
     2. 435
     3. 300
     4. 600

     정답 : []
     정답률 : 90%
     <문제 해설>
망형 중계선수=(n x n-1)÷2
(30x29)÷2=`435`
[해설작성자 : byulbit22]

6. 다음 중 PCM 통신에서 양자화 잡음을 줄이기 위한 방법과 거리가 먼 것은?
     1. 압신기를 사용한다.
     2. 비선형 양자화를 한다.
     3. 저역여파기의 차단 특성을 좋게 한다.
     4. 양자화시 사용하는 스텝 수를 증가시킨다.

     정답 : []
     정답률 : 70%
     <문제 해설>
양자화잡음 줄이기
1. 압신기
2. 비선형양자화
3. 양자화 계단수(스텝수)증가
[해설작성자 : 보라매 탑클라스]

7. 다음 설명은 네트워크의 어떤 기능에 대한 설명인가?

   

     1. 교환 기능
     2. 라우팅 기능
     3. 흐름제어 기능
     4. 트래픽감시 기능

     정답 : []
     정답률 : 92%

8. 다음 중 통신망의 회선품질 파라미터에 해당되지 않는 것은?
     1. 전송손실
     2. 회선잡음
     3. 신호대잡음비(SNR)
     4. 누설전류제한

     정답 : []
     정답률 : 84%

9. 교환 통신시스템에서 가동시간(MTBF)과 고장시간(MTTR)이 주어질 경우 이용률은?
     1.
     2.
     3.
     4.

     정답 : []
     정답률 : 77%

10. 가입자의 발신, 통화 중 확인, 필요한 중계선 확인 등의 감시 기능을 담당하는 전자교환기의 치는?
     1. 통화 스위치 회로망
     2. 주사 장치
     3. 중앙 제어 장치
     4. 일시 기억 장치

     정답 : []
     정답률 : 90%

11. 다음 중 방향탐지용 안테나로 사용되지 않는 것은?
     1. Loop 안테나
     2. Adcock 안테나
     3. Bellini-새냐 안테나
     4. Whip 안테나

     정답 : []
     정답률 : 75%

12. 다음 중 완충증폭부에서 A급 증폭방식이 주로 사용되는 이유로서 가장 적합한 것은?
     1. 능률이 좋기 때문
     2. 기생진동이 생기지 않기 때문
     3. 안정하게 증폭할 수 있기 때문
     4. 제작하기 쉽기 때문

     정답 : []
     정답률 : 80%

13. 복사저항이 80[Ω]이고 손실저항이 20[Ω]이라고 할 때 안테나의 복사효율은 얼마인가?
     1. 100[%]
     2. 90[%]
     3. 80[%]
     4. 70[%]

     정답 : []
     정답률 : 87%
     <문제 해설>
[80 / 20+80] * 100 = 80
[해설작성자 : CYGNUS]

14. 다음 중 전파에 대한 설명으로 적합하지 않은 것은?
     1. 전파는 횡파이다.
     2. 위상속도와 군속도의 곱은 광속도의 제곱과 같다.
     3. 매질 중에서 전파의 속도는 투자율이나 유전율이 클수록 속도가 늦어진다.
     4. 전파는 빛과 같이 간섭 현상만 갖는다.

     정답 : []
     정답률 : 79%

15. 다음 중 안테나의 반치폭(HPBW)에 대한 설명으로 적합한 것은?
     1. 주엽의 최대 복사방향의 전계강도를 말한다.
     2. 주엽의 최대 복사방향에 대하여 -3[dB]되는 두 방향 사이의 각을 말한다.
     3. 주엽의 최대 복사방향에 대하여 -6[dB]되는 두 방향 사이의 각을 말한다.
     4. 주엽의 최대 복사방향에 대하여 -12[dB]되는 두 방향 사이의 각을 말한다.

     정답 : []
     정답률 : 74%

16. 다음 중 위성체 버스에 대한 설명과 거리가 먼 것은?
     1. 기계적으로 탑재체를 보호해 주는 역할을 수행한다.
     2. 위성 안테나에서 수신한 미약한 신호를 증폭한 후 위성안테나를 통해 지구국으로 재 전송하는 기능을 수행한다.
     3. 전기 에너지를 발생시켜 위성체에 필요한 전력을 공급해 주는 역할을 수행한다.
     4. 위성을 정해진 궤도내에서 요구되는 지상의 영역과 통신할 수 있도록 위성의 자세를 유지시켜 준다.

     정답 : []
     정답률 : 69%
     <문제 해설>
인공위성 시스템은 크게 미션(mission) 시스템과 버스(bus) 시스템으로 구분할 수 있는데, 미션 시스템은 인공위성이 가진 목적을 수행하기 위한 부분으로 지구관측 위성의 경우 빛 또는 광변화를 전기신호로 변환하는 장치인 광학 센서가, 통신위성의 경우 송수신 및 주파수 변환을 위한 트랜스폰더(transponder)와 안테나가 이에 해당한다. 버스 시스템은 미션 시스템 이외의 부분들에 대한 총칭으로 인공위성의 뼈대인 구조 시스템, 전력을 공급하는 전원 시스템, 인공위성의 자세와 궤도이동을 위한 자세제어 시스템, 궤도변환을 목적으로 연료와 추력기 등으로 구성된 추진 시스템, 육상의 지상 시스템과 서로 데이터 및 제어 명령을 주고받는 텔레미터 트래킹(Telemetry Tracking)와 명령(command) 시스템, 위성의 동작 온도를 적정하게 관리해 주는 열제어 시스템 등으로 구성된다. 버스 시스템에서 버스(bus)는 위성 본체를 가리키는데 앞서 언급한 여러 시스템이 하위 시스템으로서 버스에 장착된다.
[해설작성자 : comcbt.com 이용자]

17. PLL(주파수 합성기)의 주요 구성이 아닌 것은?
     1. AGC
     2. VCO
     3. LPF
     4. 위상비교기

     정답 : []
     정답률 : 91%

18. 다음 중 그림과 같은 회로의 필터 역할은?

    

     1. HPF(High Pass Filter)
     2. LPF(Low Pass Filter)
     3. BPF(Band Pass Filter)
     4. BRF(Band Reject Filter)

     정답 : []
     정답률 : 86%
     <문제 해설>
OP-AMP를 사용한 능동 필터의 장점.
1. OP-AMP가 이득을 가지므로 삽입 손실이 없다.
2. 수동 필터에 비해 값이 저렴하다.
3. 능동필터는 동조가 용이하고, 필요한 응답을 변경하지 않고 넓은 주파수 범위에 걸쳐 조정될 수 있다.
4. 고입력 임피던스와 저출력 임피던스를 가진다.

추가로 이 문제에서 R1, R2와 C1, C2를 바꾸면 (R1,R2 -> C1,C2 , C1,C2 -> R1, R2) LPF 가 된다.
[해설작성자 : MR.T ]

19. 절대이득의 기준안테나로 사용되는 것은?
     1. 무손실 미소 다이폴안테나
     2. 무손실 반파장 다이폴안테나
     3. 무손실 등방성 안테나
     4. 무손실 루프 안테나

     정답 : []
     정답률 : 82%
     <문제 해설>
안테나 이득에는 반파장 안테나를 사용하는 상대이득
등방성 안테나를 사용하는 절대 이득
단소 수직 안테나를 사용하는 지상이득

상반,절등,지단
[해설작성자 : 국선문노]

20. 이동통신에서 사용되는 다원 접속방식이 아닌 것은?
     1. SDMA
     2. FDMA
     3. TDMA
     4. CDMA

     정답 : []
     정답률 : 83%
     <문제 해설>
다원접속(Multiple access)방식 :
통신을 하고자 하는 여러 명의 사용자들이 하나의 전송매체를 이용하여 통화할 때,
다른 통화자에게는 서로 간섭을 주지 않고 자신의 정보를 자기가 원하는 상대방에게 전달하는 기술

1. 주파수분할 다중접속(FDMA)
2. 시분할 다중접속(TDMA)
3. 코드분할 다중접속(CDMA)
[해설작성자 : MR.T]

2과목 : 임의 과목 구분(20문항)


21. 자유공간에서 반파장 다이폴 안테나의 급전점의 전류가 5[A]일 때 최대 복사방향으로 100[km] 떨어진 지점의 전계강도는?
     1. 1[mV/m]
     2. 2[mV/m]
     3. 3[mV/m]
     4. 4[mV/m]

     정답 : []
     정답률 : 49%
     <문제 해설>
다이폴 안테나 방사전력은P= 3.13I^2(W)
자유공간의 전계강도는 E=7 √P/D(V/m)이다.
=7*√3.131*5^2/100000=0.000309
[해설작성자 : 강하수]

아래와 같은 오류 신고가 있었습니다.
여러분들의 많은 의견 부탁 드립니다.
추후 여러분들의 의견을 반영하여 정답을 수정하도록 하겠습니다.
참고로 정답 변경은 오류 신고 5회 이상일 경우 수정합니다.

[오류 신고 내용]
반파장 다이폴 안테나의 전계강도
E=60×I÷r[V/M]
=60×5÷100000
=0.003
[해설작성자 : sunt33]

22. 다음 중 수신기의 선택도를 향상시키는 방법과 거리가 먼 것은?
     1. 고주파증폭단을 증가한다.
     2. 중간주파수증폭단을 증가한다.
     3. 동조회로의 Q를 높게 한다.
     4. 저주파증폭부의 이득을 크게 한다.

     정답 : []
     정답률 : 68%

23. 다음 중 IPsec의 설명으로 적합하지 않은 것은?
     1. IETF에서 개발한 프로토콜이다.
     2. IPrP층에서 데이터를 보호하기 위한 복수의 프로토콜로 구성된다.
     3. 송수신자의 주소에 사설네트워크 주소를 이용할 수 있다.
     4. 연결형 무결성, 기밀성, 접근제어 등의 서비스를 제공한다.

     정답 : []
     정답률 : 81%
     <문제 해설>
안전한 IP 통신을 위한 표준 프로토콜 모음(Internet Protocol Suite)으로서, 노드 간 통신의 보안 확보를 위해 인증, 데이터 무결성 보장, 암호화 등을 담당한다. 1995년도에 IETF에서 표준화되었으며, 접근제어, 메시지 위변조 방지를 위한 비연결성 무결성, 재전송 공격 방지 등을 보장하는 보안 서비스를 제공하기 위해 설계되었다.

IPsec은 AH(Authentication Header)와 ESP(Encapsulated Security Payload)라는 2개의 프로토콜로 구성된다. AH는 인증 헤더 및 데이터 무결성 보장을 위해 동작하며, ESP는 캡슐화를 통한 데이터 암호화 서비스를 담당한다. AH, ESP와 함께 암호화 키를 관리하기 위해 IKE(Internet Key Exchange) 프로토콜이 어플리케이션 계층에서 사용된다.

IPv4, IPv6 모두에 대응하며 IPv6에서는 전용 확장헤더가 정의되어 있다. 동일한 노드 간 통신에서도 프로토콜 및 포트 번호 등을 이용해 여러 암호화 기법과 키 보안 프로토콜을 사용할 수 있다. 이처럼 통신 양단 간에 공유하는 협약을 보안연계(Security Association)라고 하고, 이는 송수신측 간에 보안성이 제공되어 수립된 논리적 통신 경로를 의미한다. 이 SA를 관리하는 데이터베이스를 SAD라고 한다.

IPsec의 동작 모드는 패킷 데이터 부분만을 암호화(혹은 인증)하는 전송 모드와, 헤더를 포함한 패킷 전체를 통째로 데이터로 취급하고 암호화(혹은 인증)하여 새로운 IP헤더를 추가하는 터널링 모드가 있다.

IPsec은 네트워크 계층에서 동작하므로(3.5계층) 어플리케이션 종류와 무관하게 사용 가능하다. 즉 FTP, HTTP, SMTP 등의 모든 TCP/IP 어플리케이션에 대해 보안 프로토콜로 사용 가능하다. 또한 TCP/IP상에서 동작하기 때문에 하위 계층의 네트워크 토폴로지에 대해 독립적이며, 터널링 모드를 사용할 경우 여러 프로토콜과 동작할 수 있다.

IPsec은 AH, ESP 각각에 대해 다양한 설정이 가능하여 유연함을 제공하지만, 설정 가능한 조합이 많아 복잡하고 두 점 사이에 설정이 일치하지 않는 경우 통신이 성립되지 않는다는 단점이 있다.
[네이버 지식백과] IPsec [Internet Protocol Security] (두산백과)
[해설작성자 : 강하수]

24. 다음 중 RFID 기술에 대한 설명으로 알맞지 않은 것은?
     1. RFID는 빠르고 신뢰성이 있으며 이동 중에도 통신이 가능하다.
     2. RFID Tag는 위조가 불가능하며 반영구적이고 재사용이 가능하다.
     3. RFID는 라디오 주파수를 이용하여 냉온, 습기, 먼지, 열 등의 열악한 판독 환경에서도 판독률이 높다.
     4. RFID는 인식을 위해 직접 조준이 필요하며 일시에 다량의 Tag 판독이 불가능하지만 순차적 인식은 가능하다.

     정답 : []
     정답률 : 78%
     <문제 해설>
ACTIVE RFID는 먼거리에서 다량판독 가능
[해설작성자 : 123]

25. 다음 중 광대역 서비스의 베어러 서비스(Bearer service)와 관련이 없는 OSI 참조모델의 계층은 무엇인가?
     1. 응용(Application) 계층
     2. 네트워크(Network) 계층
     3. 데이터링크(Data link) 계층
     4. 물리(Physical) 계층

     정답 : []
     정답률 : 67%
     <문제 해설>
ㅇ 베어러 서비스 (Bearer Service)
         * 베어러 (Bearer)
                . 영어 뜻으로는, 전달/전송/운반체, 가상 컨테이너 등을 의미함
    - OSI 7계층모델의 하위 계층 (1,2,3 계층) 만으로 정보전달 기능을 제공하는 서비스
                . 사용자에게는 직접 인식되지는 않으며,
                . 주로, 백본망 내부 양끝점 또는 가입자 엑세스 지점의 양끝단 간에 이루어짐
[해설작성자 : ggchoi]

26. 다음 중 가상사설망(VPN) 서비스의 접속방식에 따른 종류로 적합하지 않은 것은?
     1. Intranet VPN
     2. Extranet VPN
     3. Remote Access VPN
     4. Telnet VPN

     정답 : []
     정답률 : 80%

27. 다음 중 디지털 변조가 아닌 것은? (문제 오류로 실제 시험에서는 모두 정답처리 되었습니다. 여기서는 1번을 누르면 정답 처리 됩니다.)
     1. ASK
     2. FSK
     3. PSK
     4. PCM

     정답 : []
     정답률 : 86%

28. 데이터 신호속도 4,800[bps]인 모뎀에서 4위상 PSK를 사용할 때 변조속도는?
     1. 1,000[bps]
     2. 2,000[bps]
     3. 1,200[bps]
     4. 2,400[bps]

     정답 : []
     정답률 : 81%
     <문제 해설>
4위상 즉 2^2이므로 1초에 2비트씩 변조를 실시하므로 변조 속도는 2400bps
[해설작성자 : 123]

29. 디지털 통신망은 여러 가지 디지털 신호를전송해야 하는데 이 때 1초간에 보내는 펄스의 수가 정확하게 맞지 않으면 데이터 손실이 발생하기 때문에 통신망의 모든 장치의 클럭 주파수를 정확하게 동기 시키는데 사용할 수 있는 망 동기 방식이 아닌 것은?
     1. 독립 동기방식
     2. 상호 동기방식
     3. 종속 동기방식
     4. 회선 동기방식

     정답 : []
     정답률 : 73%

30. 다음 중 방화벽의 주요 구성요소에 속하지 않는 것은?
     1. 프록시 서버
     2. 암호 시스템
     3. 베스천 호스트
     4. 스크린 라우터

     정답 : []
     정답률 : 78%

31. TCP 세그먼트의 헤더(Header) 정보를 살펴보니 헤더길이(HLEN) 필드의 비트 값이 ‘1111’이었다. 헤더의 전체 크기로 적합한 것은?
     1. 30[byte]
     2. 40[byte]
     3. 50[byte]
     4. 60[byte]

     정답 : []
     정답률 : 77%
     <문제 해설>
4 bit로 표현할수 있는 수는 0~ 15    총헤더크기는 60 byte     HELN * 4 가 헤더의 크기
즉 1111==> 15 그러므로 15*4= 60
[해설작성자 : 강하수]

32. 전송로의 대역폭이 3[kHz]이고 신호대잡음비가 20[dB]인 경우 샤논의 정리에 의한 전송로의 채널용량은 약 얼마인가?
     1. 약 4.75[kbps]
     2. 약 6.01[kbps]
     3. 약 16.08[kbps]
     4. 약 19.97[kbps]

     정답 : []
     정답률 : 76%
     <문제 해설>
C=B *log2(1+S/N)
여기서 신호대 잡음비가 20dB임으로 S/N 은 100( 2log10=20)
그러므로 C= 3* log2(101)= 19.97
[해설작성자 : 강하수]

33. 동기식전송 방식의 데이터블럭 구성형식은 헤더부분과 정보부분 등으로 구성되는데 이러한 구성 형식을 무엇이라 하는가?
     1. 패리티(Parity)
     2. 프레임(Frame)
     3. 플래그(Flag)
     4. 사이클(Cycle)

     정답 : []
     정답률 : 83%

34. 아날로그 데이터를 디지털 형태로 변환하는 Coder와 디지털 형태를 원래의 아날로그 데이터로 Decoder하는 것은 무엇인가?
     1. MODEM
     2. CCU
     3. DSU
     4. CODEC

     정답 : []
     정답률 : 86%
     <문제 해설>
아날로그 → 디지털 A/D CODEC
디지털 → 아날로그 D/A MODEM
디지털 → 디지털 D/D DSU

ADC
DAM
DDD
[해설작성자 : 국선문노]

35. 다음 중 WDM(파장분할다중화) 기술에 대한 설명으로 적합하지 않은 것은?
     1. 여러 채널을 광학적으로 다중화하여 한 개의 광섬유를 통해 전송한다.
     2. 광섬유의 손실이 적은 1.310[nm] 영역이 주로 사용된다.
     3. 장거리 전송을 위해 EDFA 등 광증폭기가 필요하다.
     4. 변조방법, 아날로그, 디지털 등의 전송형태에 관계없이 어떠한 광신호의 전달에도 이용될 수 있다.

     정답 : []
     정답률 : 89%

36. 다음 중 트위스트 페어 케이블의 누설 콘덕턴스(G)에 대한 수식은?
     1. G=wCsinδ
     2. G=wCtanδ
     3. G=wCcosδ
     4.

     정답 : []
     정답률 : 78%

37. 다음 중 접지의 목적과 관계가 없는 것은?
     1. 정전기로부터 통신시스템 보호
     2. 대지와 통신시스템에 대한 최대 전위차 제공
     3. 낙뢰, 과도전류, 과도전압으로부터 인명ㆍ장비 보호
     4. 전원개폐기에서 발생하는 서지에 대한 방전로 제공

     정답 : []
     정답률 : 85%
     <문제 해설>
통신접지의 목적
①낙뢰. 과전류, 과전압으로부터 인명 및 장비 보호
②낙뢰 및 전원개폐에서 발생되는 서지(surge)에 대한 방전로 제공
③정전기로부터 시스템보호
④랙 및 함체로부터 불요전자파 영향제거
⑤대지에 대한 회로 기준 전위의 안정화

2번 대지와 통신시스템에 대한 최대 전위차 제공이 아닌
        대지에 대한 회로 기준 전위의 안정화 임.
[해설작성자 : 나무그네]

38. 다음 중 광섬유를 SIF, GIF로 분류하는 것은 무엇에 따른 것인가?
     1. 코어의 굴절률 분포 형태
     2. 클래드의 굴절률 분포 형태
     3. 코어와 클래드의 사이의 굴절률 분포 형태
     4. 개구수의 굴절률차에 따른 분포

     정답 : []
     정답률 : 57%
     <문제 해설>
ㅇ 계단형 굴절율 다중모드 광섬유 (Step Index Fiber, SI형)
         - 계단형은 코어의 굴절율이 균일한 계단형을 의미
ㅇ 언덕형 굴절율 다중모드 광섬유 (Graded Index Fiber, GI형)
        - 언덕형은 코어의 굴절율이 비균일, 가운데가 가장 높은 억덕형을 의미
[해설작성자 : ggchoi]

39. 광섬유의 규격화 주파수에 대한 설명으로 적합한 것은?
     1. 규격화 주파수 값은 파장이 적어지면 작아진다.
     2. 규격화 주파수 값은 코어경이 작아지면 커진다.
     3. 규격화 주파수 값은 굴절율 차가 커지면 작아진다.
     4. 광섬유가 단일모드가 되기 위한 조건을 나타낸다.

     정답 : []
     정답률 : 71%

40. 케이블 포설시 허용 장력이 250[kg], 케이블 무게가 4[kg], 지하관로의 마찰계수가 0.5일 때 맨홀의 설치 간격은?
     1. 31.25[m]
     2. 125[m]
     3. 500[m]
     4. 1,000[m]

     정답 : []
     정답률 : 87%
     <문제 해설>
마찰계수= 허용장력/수직장력
0.5= 250/(4*X)
X= 250/2=125
[해설작성자 : 강하수]

41. 다음 중 광파이버 접속시 모드 변환이 일어나는 원인이 아닌 것은?
     1. 광섬유의 축이 일치하지 않을 때
     2. 코어와 클래드의 경계면에 요철이 있을 때
     3. 접속 단면이 평행하지 않을 때
     4. 광섬유의 마이크로밴딩이 없을 때

     정답 : []
     정답률 : 88%

42. 구내에 설치하는 100회선 이하의 배선 단자함의 접지 저항은 몇 [Ω] 이하인가?
     1. 1[Ω]
     2. 10[Ω]
     3. 50[Ω]
     4. 100[Ω]

     정답 : []
     정답률 : 72%

43. 케이블 매설위치를 탐색하고자 측정기를 매설위치 바로 위의 대지에 놓았을 때 발진음의 상태는?
     1. 수직으로 놓았을 때 최대음, 수평으로 놓았을 때 최소가 된다.
     2. 수직으로 놓았을 때 최소음, 수평으로 놓았을 때 최대가 된다.
     3. 수직, 수평 모두 최대음이 된다.
     4. 수직, 수평 모두 발진음이 나타나지 않는다.

     정답 : []
     정답률 : 90%

44. 다음 중 펄스 시험기로 측정할 수 있는 것은?
     1. 통신선로의 고장점 측정
     2. 펄스 주기 측정
     3. 레헤르선 파장계의 고장점 측정
     4. 유선통신선로에 진행하고 있는 주파수 측정

     정답 : []
     정답률 : 82%

45. 광전력 손실의 측정방법에 해당되지 않는 것은?
     1. 후방산란법
     2. 컷백법
     3. 삽입법
     4. 바레이 루트법

     정답 : []
     정답률 : 81%

46. FM 송신기에서 최대주파수 편이 f=70[kHz]이고, 변조신호 주파수가 5[kHz]인 경우 대역폭은 [kHz]인가?
     1. 65[kHz]
     2. 75[kHz]
     3. 130[kHz]
     4. 150[kHz]

     정답 : []
     정답률 : 72%
     <문제 해설>
70khz x 2 + 5khz x 2 = 150
[해설작성자 : 한상준]

47. 직류 출력 전압이 무부하일 때 250[V], 전부하일 때 225[V]이면 이 정류기의 전압 변동률은 약 몇 [%]인가?
     1. 10.0[%]
     2. 11.1[%]
     3. 15.1[%]
     4. 22.2[%]

     정답 : []
     정답률 : 85%
     <문제 해설>
전압변동율 = (무부하전압-전부하전압)/전부하전압*100%
[해설작성자 : 김병태]

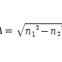
48. Core의 굴절률 n1=2이고, Cladding의 굴절률 n2=√3 었다고 하면 이 광섬유의 임계각도는 몇 도인가?
     1. 30°
     2. 45°
     3. 60°
     4. 90°

     정답 : []
     정답률 : 79%
     <문제 해설>
임계각= sin-1(크래등 굴절율/코아굴절율)
[해설작성자 : 강하수]

49. 각종 통신설비의 접지체는 가스, 산 등에 의한 부식의 우려가 없는 곳에 매설하여야 한다. 접지 상단이 지표면에서 수직으로 최소 어느 정도의 깊이에 매설하여야 하는가?
     1. 55[cm] 이상
     2. 64[cm] 이상
     3. 75[cm] 이상
     4. 85[cm] 이상

     정답 : []
     정답률 : 85%

50. 다음 괄호 안에 들어갈 내용으로 맞는 것은?

    

     1. 단자함
     2. 분배함
     3. 주배선반
     4. 국선수용단자반

     정답 : []
     정답률 : 90%

51. 방송공용수신의 경우 지상파 수신용 TV안테나와 피뢰침 간의 이격거리는 몇 [m] 이상이어야 하는가?
     1. 0.5[m]
     2. 1[m]
     3. 5[m]
     4. 10[m]

     정답 : []
     정답률 : 80%

52. 가공통신선과 특고압의 가공강전류전선을 공가하는 전주의 안전계수는 얼마 이상으로 하여야 하는가?
     1. 1
     2. 2
     3. 3
     4. 4

     정답 : []
     정답률 : 62%
     <문제 해설>
아래와 같은 오류 신고가 있었습니다.
여러분들의 많은 의견 부탁 드립니다.
추후 여러분들의 의견을 반영하여 정답을 수정하도록 하겠습니다.

[오류 신고 내용]
1.2이상
[해설작성자 : ms.kim]

[오류신고 반론]
KICI-2016-09 정보통신공사 설계기준에 따르면 2번 2.0이상이 맞습니다.
[해설작성자 : 김병태]

53. 다음 괄호 안에 들어갈 내용으로 가장 적합한 것은?

    

     1. ±1
     2. ±5
     3. ±10
     4. ±20

     정답 : []
     정답률 : 90%

54. 구내통신설비의 기술기준에서 20세대 미만 공동주택의 인입배관 내경 기준으로 적합한 것은?
     1. 최소 26[mm] 이상
     2. 최소 36[mm] 이상
     3. 최소 54[mm] 이상
     4. 최소 64[mm] 이상

     정답 : []
     정답률 : 77%
     <문제 해설>
20세대 미만 최소 36mm
20세대 이상 최소 54mm
[해설작성자 : 강하수]

55. 설비 배치 방식에 대한 일반적 특징으로 적절하지 못한 것은?
     1. 고정위치 배치는 제품이 커서 이동이 어려운 경우에 적합하다.
     2. 그룹배치는 제품별 배치와 공정별 배치의 혼합형으로 셀형 배치라고도 한다.
     3. 제품별 배치는 설비나 작업자에 문제가 생겼을 때 라인 전체에 영향을 준다.
     4. 공정별 배치는 소품종 대량생산인 경우에 가장 적합한 형태이다.

     정답 : []
     정답률 : 79%
     <문제 해설>
소품종 대량상산인경우 제품별 배치에 적합하다.
[해설작성자 : 미스터공]

56. 샘플의 채취간격이 공정의 변화하는 품질의 주기성보다 긴 경우에 사용하는 샘플링검사는?
     1. 취락 샘플링검사
     2. 계통 샘플링검사
     3. 2단계 샘플링검사
     4. 단순 랜덤 샘플링검사

     정답 : []
     정답률 : 68%

57. 관리한계선을 구하는데 있어서 포아송분포가 아닌 이항분포를 이용하는 것으로 시료의 크기가 일정한 경우에 가장 적절한 관리도는?
     1. np(Pn) 관리도
     2. P관리도
     3. U관리도
     4. C관리도

     정답 : []
     정답률 : 70%

58. 신규 사업 계획안들에 대한 사업성 비교분석을 위하여 활용되는 일반적인 방법으로 볼 수 없는 것은?
     1. 손익분기점분석
     2. 투자회수기간
     3. 수익률분석
     4. 워크샘플링법

     정답 : []
     정답률 : 86%

59. 작업계획은 생산계획의 단계 중 어디에 해당하는가?
     1. 실시계획
     2. 실행계획
     3. 준비계획
     4. 절차계획

     정답 : []
     정답률 : 88%

60. 다음 중 간접적으로 표준시간을 산출하는 기법이 아닌 것은?
     1. PTS(Predetermined Time Standard)
     2. 표준자료법
     3. 스톱워치법
     4. 실적자료법

     정답 : []
     정답률 : 81%


정 답 지

1

2

3

4

5

6

7

8

9

10

11

12

13

14

15

16

17

18

19

20

21

22

23

24

25

26

27

28

29

30

31

32

33

34

35

36

37

38

39

40

41

42

43

44

45

46

47

48

49

50

51

52

53

54

55

56

57

58

59

60

통신설비기능장 필기 기출문제(해설) 및 CBT 2014년10월04일을 이용해 주셔서 감사합니다.
통신설비기능장, 통신, 설비, 기능장, 필기, 기출문제, 전자문제집, CBT, 온라인, 모의테스트, 모의고사



List of Articles
번호 제목 글쓴이 날짜 조회 수
14092 소방설비기사(전기분야) 필기 기출문제(해설) 및 CBT 2005년09월04일(6990) 좋은아빠되기 2025.11.25 0
14091 소방설비기사(전기분야) 필기 기출문제(해설) 및 CBT 2005년05월29일(6989) 좋은아빠되기 2025.11.25 0
14090 소방설비기사(전기분야) 필기 기출문제(해설) 및 CBT 2005년03월06일(6988) 좋은아빠되기 2025.11.25 0
14089 소방설비기사(전기분야) 필기 기출문제(해설) 및 CBT 2004년09월05일(6987) 좋은아빠되기 2025.11.25 0
14088 소방설비기사(전기분야) 필기 기출문제(해설) 및 CBT 2004년05월23일(6986) 좋은아빠되기 2025.11.25 0
14087 소방설비기사(전기분야) 필기 기출문제(해설) 및 CBT 2004년03월07일(6985) 좋은아빠되기 2025.11.25 0
14086 소방설비기사(전기분야) 필기 기출문제(해설) 및 CBT 2003년08월31일(6984) 좋은아빠되기 2025.11.25 0
14085 소방설비기사(전기분야) 필기 기출문제(해설) 및 CBT 2003년05월25일(6983) 좋은아빠되기 2025.11.25 0
14084 소방설비기사(전기분야) 필기 기출문제(해설) 및 CBT 2003년03월16일(6982) 좋은아빠되기 2025.11.25 0
14083 통신설비기능장 필기 기출문제(해설) 및 CBT 2018년10월06일(6981) 좋은아빠되기 2025.11.25 0
14082 통신설비기능장 필기 기출문제(해설) 및 CBT 2018년03월10일(6980) 좋은아빠되기 2025.11.25 1
14081 통신설비기능장 필기 기출문제(해설) 및 CBT 2017년10월14일(6979) 좋은아빠되기 2025.11.25 0
14080 통신설비기능장 필기 기출문제(해설) 및 CBT 2017년03월04일(6978) 좋은아빠되기 2025.11.25 0
14079 통신설비기능장 필기 기출문제(해설) 및 CBT 2016년10월08일(6977) 좋은아빠되기 2025.11.25 0
14078 통신설비기능장 필기 기출문제(해설) 및 CBT 2016년03월05일(6976) 좋은아빠되기 2025.11.25 0
14077 통신설비기능장 필기 기출문제(해설) 및 CBT 2015년10월04일(6975) 좋은아빠되기 2025.11.25 1
14076 통신설비기능장 필기 기출문제(해설) 및 CBT 2015년03월07일(6974) 좋은아빠되기 2025.11.25 0
» 통신설비기능장 필기 기출문제(해설) 및 CBT 2014년10월04일(6973) 좋은아빠되기 2025.11.25 0
14074 통신설비기능장 필기 기출문제(해설) 및 CBT 2014년03월09일(6972) 좋은아빠되기 2025.11.25 0
14073 통신설비기능장 필기 기출문제(해설) 및 CBT 2013년10월12일(6971) 좋은아빠되기 2025.11.25 0
Board Pagination Prev 1 ... 274 275 276 277 278 279 280 281 282 283 ... 983 Next
/ 983