자격증 필기 기출문제



소방설비기사(전기분야) 필기 기출문제(해설) 및 CBT 2006년03월05일(6991)

최강 자격증 기출문제 전자문제집 CBT : www.comcbt.com


전자문제집 CBT란?

종이 문제집이 아닌 인터넷으로 문제를 풀고 자동으로 채점하며 모의고사, 오답 노트, 해설까지 제공하는
무료 기출문제 학습 프로그램으로 실제 상설검정에서 사용하는 OMR 형식의 CBT를 제공합니다.


최신 소방설비기사(전기분야) 필기 기출문제 : [다운로드]

1과목 : 소방원론


1. 다음의 할로겐 화합물중 오존 파괴지수가 가장 큰 것은?
     1. Halon 104
     2. Halon 1211
     3. Halon 2402
     4. Halon 1301

     정답 : []
     정답률 : 67%
     <문제 해설>
1301은 소화효과가 좋고, 인체에 해가 적으나, 오존 파괴지수는 가장크다.
[해설작성자 : 이정귀]

2. 화재의 원인이 되는 정전기 예방대책 중 잘못된 것은?
     1. 접지시설을 한다.
     2. 비전도체물질을 사용한다.
     3. 공기의 상대습도를 높인다.
     4. 공기를 이온화한다.

     정답 : []
     정답률 : 71%

3. 자연발화성 물질이라고 볼 수 없는 것은?
     1. 니트로 셀룰로우즈
     2. 질산에틸
     3. 트리에틸알루미늄
     4. 벤젠

     정답 : []
     정답률 : 60%

4. 다음의 파라핀계 탄화수소 중 발열량이 가장 큰 것은?
     1. 메탄
     2. 프로판
     3. 헵탄
     4. 테칸

     정답 : []
     정답률 : 42%
     <문제 해설>
파라핀계 탄화수소의 탄소수 증가에 따라
1. 인화점이 높아진다
2. 착화점이 낮아진다
3. 연소범위가 좁아진다
4. 발열량이 커진다    메탄<프로판<헵탄<데칸

[추가 해설]

옥탄(CnH2n+2)
탄소가 순서 1 -> 10
메탄 > 에탄 > 프로판 > 부탄 > 펜탄 > 헥산 > 헵탄 > 옥탄 > 노난 > 테칸
[해설작성자 : 열공파파]

5. 위험물질의 위험성을 나타내는 성질에 대한 설명으로 옳지 않는 것은?
     1. 알킬알루미늄, 수소화나트륨 및 탄화칼슘은 금수성 물질이다.
     2. 유황은 가연성고체인 제2류 위험물이다.
     3. 알코올류라 함은 탄소수가 1개에서 3개 까지인 포화1가 알코올류 의미한다.
     4. 황린은 가연성 고체로서 제2류 위험물에 속한다.

     정답 : []
     정답률 : 73%

6. 연소의 3요소 중 점화원 (발화원)의 분류로서 기계적 점화원으로만 되어 있는 것은?
     1. 충격, 마찰, 기화열
     2. 고온표면, 열방사선
     3. 단열압축, 충격, 마찰
     4. 나화, 자연발열, 단열압축

     정답 : []
     정답률 : 77%

7. 에스테르와 알칼리의 작용으로 가수분해되어 알코올과 산의 알칼리염이 되는 반응은?
     1. 수소와 분해반응
     2. 탄화반응
     3. 비누화반응
     4. 할로겐화반응

     정답 : []
     정답률 : 76%

8. 화재시의 연소현상에 관항 설명으로 적당하지 못한 것은?
     1. 화재는 가연물의 원료로부터 시작하여 그 연소로 종료된다. 이와같은 과정을 연소현상이라 한다.
     2. 공기는 지상에 널리 존재하고 있으며 공기중에서 가연물질이 가열되면 연소를 시작한다.
     3. 가열되어 발생한 화재는 기상이나 가연물의 상태와는 관계없이 이동하지 않고, 성장하지도 아니한다.
     4. 연소의 요인으로는 접염, 대류, 복사, 비화 등이 있다.

     정답 : []
     정답률 : 77%

9. 물의 냉각 특성으로 옳지 않는 것은?
     1. 물은 온도가 낮을수록 냉각효과가 크다.
     2. 건조한 상태에서 증발이 용이하다.
     3. 분무상태일 때에는 냉각효과가 적다.
     4. 물방울 크기가 작은 분무상태일 때 냉각 효과가 크다.

     정답 : []
     정답률 : 69%

10. 인화성 액체의 연소점, 인화점, 발화점의 온도 순서로 옳은 것은?
     1. 연소점 > 인화점 > 발화점
     2. 인화점 > 발화점 > 연소점
     3. 인화점 > 연소점 > 발화점
     4. 발화점 > 연소점 > 인화점

     정답 : []
     정답률 : 67%
     <문제 해설>
*온도가 높은 순서
발화점:점화원이 없어도 스스로 연소되는 최저온도
연소점:불이 붙은 후, 불을 제거하여도 연소가 유지되는 온도
인화점:점화원(불)이 있을 때 연소되는 최저온도
[해설작성자 : 아사히카]

11. 소화분말의 주성분이제 제1인산모늄인 분말소화약제는?
     1. 1종 분말소화약제
     2. 2종 분말소화약제
     3. 3종 분말소화약제
     4. 4종 분말소화약제

     정답 : []
     정답률 : 80%

12. 다음 중 분진 폭발의 위험성이 없는 것은?
     1. 소석회
     2. 어분
     3. 석탄분말
     4. 밀가루

     정답 : []
     정답률 : 84%

13. 후래쉬 오버(flash over)에 대한 설명으로 가장 타당한 것은?
     1. 에너지가 느리게 집적되는 현상
     2. 가연성 가스가 방출되는 현상
     3. 가연성 가스가 분해되는 현상
     4. 급격히 화염이 확대되는 현상

     정답 : []
     정답률 : 85%

14. 다음 물질중 분자내부에 산소를 함유하고 있지 않는 액체 탄화수소 중에 보관해야 하는 것은?
     1. 황화린
     2. 황린
     3. 적린
     4. 나트륨

     정답 : []
     정답률 : 45%

15. 다음 화학물질중 금수성이 가장 큰 물질은?
     1. 철분
     2. 구리분
     3. 황린
     4. 나트륨

     정답 : []
     정답률 : 62%

16. 건물 신축시 방재기능의 요인으로 고려해야 할 동선 계획과 관계가 먼 것은?
     1. 명쾌한 피난통로의 확보
     2. 각 기능 단위의 유기적 연결
     3. 두 방향 피난통로의 확보
     4. 이해하기 쉬운 평면계획

     정답 : []
     정답률 : 71%

17. 연소시의 생성물로 인체에 유해한 영향을 미치는 것에 대한 설명이 옳게 된 것은? (문제 오류로 실제 시험에서는 모두 정답처리 되었습니다. 여기서는 가번을 누르면 정답 처리 됩니다.)
     1. 암모니아는 냉매로 사용되고 있으므로, 누출시 동해(凍害)의 위험은 있으나 자극성은 없다.
     2. 황하수소가스는 무자극성이나, 조금만 호흡해도 감지 능력을 상실케 한다.
     3. 일산화탄소는 산소와의 결합력이 극히 강하여 질식 작용에 의한 독성을 나타낸다.
     4. 아크로레인은 독성은 약하나 화학제품의 연소시 다량 발생하므로 쉽게 치사농도에 이르게 한다.

     정답 : []
     정답률 : 74%

18. 제3류 위험물중 자연발화성만 있고 금수성이 없기 때문에 물속에 보관하는 물질은?
     1. 알킬리튬
     2. 황린
     3. 칼륨
     4. 알루미늄 탄화물류

     정답 : []
     정답률 : 85%

19. 다음은 연료의 발열량에 대한 설명이다. 잘못 된 것은?
     1. 연소시 생성되는 수증기 증발잠열의 포함여부에 따라 고발열량과 저발열량으로 나눈다.
     2. 일반적으로 표시하는 단위는 KJ/Kg, kcal/kg, kcal/mol 등이다.
     3. 기체의 발열량은 단위체적을 일정하게 하기 위하여 일반적으로 25℃, 1atm의 부피를 기준으로 한다.
     4. 수증기의 증발잠열을 포함하지 않는 저발열량은 진발열량이라고도 한다.

     정답 : []
     정답률 : 55%
     <문제 해설>
stp 상태. 0(영)도 씨 1기압에서

20. 실의 상부에 설치된 창 또는 전용 제연구로부터 연기를 옥외로 배출하는 방식으로 전원이나 복잡한 장치가 필요하지 않으며, 평상시 화기 겸용으로 방재설비의 유휴화 방지에 이점이 있는 것은?
     1. 밀폐 제연방식
     2. 스모그 타워 제연방식
     3. 자연 제연방식
     4. 기계 제연방식

     정답 : []
     정답률 : 65%

2과목 : 소방전기회로


21. 전자회로에서 온도 보상용으로 가장 많이 사용되는 것은?
     1. 코일
     2. 저항
     3. 서미스터
     4. 콘덴서

     정답 : []
     정답률 : 82%

22. 직류전동기는 자장 중에서 도체에 전류를 흘리면 그 도체에 힘이 작용한다는 누구의 법칙을 직접 응용한 것인가?
     1. 플레밍의 왼손법칙
     2. 가우스의 법칙
     3. 스토우크스의 법칙
     4. 패러데이의 법칙

     정답 : []
     정답률 : 60%

23. 반도체가 아닌 것은?
     1. 베크라이트
     2. 셀렌
     3. 규소
     4. 아산화동

     정답 : []
     정답률 : 42%

24. 106dyne은 몇 N 인가?
     1. 1
     2. 10
     3. 105
     4. 106

     정답 : []
     정답률 : 41%
     <문제 해설>
F=M * a
1dyne = 1g * 1cm/s^2
1N = 1kg * 1m/s^2 = 1000g * 100cm/s^2 = 100000dyne = 10^5dyne

10^6 dyne = 10N
[해설작성자 : 열공파파]

25. 저항 3Ω과 유도리액턴트 4Ω의 직렬 회로에 교류 100V를 가한 때 흐르는 전류와 위상각은?
     1. 20A, 530
     2. 20A, 730
     3. 14.3A, 370
     4. 58.3A. 530

     정답 : []
     정답률 : 47%

26. 반도체의 특징이 아닌 것은?
     1. 전류와 전압의 관계는 비직선형이다.
     2. 연전현상, 광전현상, 홀효과 등이 심하다.
     3. 반도체와 금속의 면이나 또는 P형, N형 반도체의 집합면의 접합점에서 정류작용을 한다.
     4. 저항온도계수가 (+)이다.

     정답 : []
     정답률 : 61%

27. 정현파 교류의 평균값에 어떤 수를 곱하면 실효값을 얻을 수 있는가?
     1.
     2.
     3.
     4.

     정답 : []
     정답률 : 30%
     <문제 해설>
4번에서 파이가 루트 밖에 있어야 함.
평균값=(2/파이), 실효값=(1/루트2) 따라서 실효값=평균값x(파이/2루트2)=평균값x(파이x루트2/4)
[해설작성자 : r1004]

28. 변압기의 온도 상승 시험을 하는데 가장 좋은 방법은?
     1. 유도시험법
     2. 반환부하법
     3. 단락법
     4. 고조파 억제법

     정답 : []
     정답률 : 44%

29. 어떤 측정계기의 지시값을 M, 참값을 T라 할 때 보정률은 몇 % 인가?
     1.
     2.
     3.
     4.

     정답 : []
     정답률 : 77%

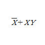
30. 그림과는 같은 논리회로는?

    

     1. AND회로
     2. OR회로
     3. NOT회로
     4. NOR회로

     정답 : []
     정답률 : 77%

31. AC서보전동기에 대한 설명으로 틀린 것은?
     1. 큰 회전력이 요구되지 않는 계에 사용되는 전동기이다.
     2. 고정자의 기준 권선에는 정전압을 인가하며, 제어 권선에는 제어용 전압을 인가한다.
     3. 속도 회전력 특성을 선형화하고 제어전압을 입력으로 화전자의 회전각을 출력으로 보았을때 이 전동기의 전달함수는 비분요소와 2차요소의 직렬결합으로 볼 수 있다.
     4. 기준권선과 제어권선의 두 고정자 권선이 있으며, 90도의 위상차가 있는 2상전압을 인가하여 회전자계를 만든다.

     정답 : []
     정답률 : 47%

32. 평행판콘덴서의 양 극판의 간격을 2배로 하고 면적을 1/2로 하면 정전용량은 처음의 몇 배가 되는가?
     1. 2
     2. 1
     3. 1/2
     4. 1/4

     정답 : []
     정답률 : 56%

33. 그림과 같은 회로의 전류는 몇 A 인가? (단, 교류 전원)

    

     1. 3
     2. 4
     3. 5
     4. 6

     정답 : []
     정답률 : 56%
     <문제 해설>
I=V/Z
임피던스 Z = √(R^2+L^2) = √(4^2+3^2) = 5
전류 I = 30 / 5 = 6A
[해설작성자 : 아사히카]

34. 자기인덕턴스 L1, L2 상호인덕턴스 M의 코일을 같은 방향으로 직렬 연결한 경우의 합성인덕턴스는?
     1. L1 + L2 - M
     2. L1 + L2 + M
     3. L1 + L2 - 2M
     4. L1 + L2 + 2M

     정답 : []
     정답률 : 68%

35. 회로에서 각 계기의 지시값이 ⓥ=240V, Ⓐ=5A, W=720W라면 이 회로의 무효전력은 몇 Var 인가?

    

     1. 480
     2. 720
     3. 960
     4. 1200

     정답 : []
     정답률 : 58%
     <문제 해설>
단상의 피상전력 Pa 유효전력 P 무효전력 Pr이라 하면,

피상전력 Pa = VI = 240*5 = 1200

피상전력 Pa^2 = P^2 + Pr^2 - > 1200^2 = 720^2 + Pr^2

Pr^2 = Pa^2-P^2 -> Pr^2 = 1200^2 - 720^2 -> 921600

Pr = 960

원래 식은 Pa = 루트(P*2+Pr*2) 이라던지 역률 cosθ를 찾아서 하는게 정확하지만
cosθ - > sinθ 전환법 모르시면 위에 식으로 하셔도 됩니다.
[해설작성자 : 친구는공]

36. 그림에서 저항 20Ω에 흐르는 전류는 몇 A 인가?

    

     1. 0.4
     2. 0.6
     3. 1
     4. 5

     정답 : []
     정답률 : 43%
     <문제 해설>
중첩의 원리
1.전압원 단락시
I2=(R1/R1+R2)*I
5*3/5+20=0.6[A]

2.전류원 개방시
I=V/R1+R2
20/5+20=0.4[A]

* 20옴에 흐르는 전류는 I2+I=0.6+0.4 = 1[A]
[해설작성자 : 별이빛나는밤]

전류원 개방시
I=V/R1+R2
    10/5+20=0.4[A]
[해설작성자 : 영마]

37. 그림과 같은 반파정류회로에 스위치 A를 사용하여 부하저항 RL 을 떼어 냈을 경우, 콘덴서 C의 충전전압은 몇 V 되겠는가?

    

     1. 12π
     2. 24π
     3. 12√2
     4. 24√2

     정답 : []
     정답률 : 57%

38. 제어요소는 동작신호를 무엇으로 변환하는 요소인가?
     1. 조작량
     2. 제어량
     3. 비교량
     4. 검출량

     정답 : []
     정답률 : 66%

39. 온도, 유량 압력 등의 공업프로세스 상태량을 제어량으로 하는 지어계로서 프로세스에 가해지는 외란의 억제를 주된 목적으로 하는 것은?
     1. 서보기구
     2. 자동제어
     3. 정치제어
     4. 프로세스제어

     정답 : []
     정답률 : 72%

40. 어떤 회로에 전압 V(t)=VMcoswt를 가했더니 회로에 흐르는 전류가 i(t)=IMsinwt이였다. 이 회로가 한 개의 회로소자로 구성되어 있다면 이 소자의 종류는? (단, VM>0, IM>0 이다.)
     1. 저항
     2. 인덕턴스
     3. 정전용량
     4. 콘덕던스

     정답 : []
     정답률 : 55%
     <문제 해설>
인덕턴스
고리 모양의 도선인 코일에 시간에 따라 변하는 전류를 흘려주면 코일을 통과하는 자기선속이 시간에 따라 변화하고, 이로 인하여 패러데이의 전자기유도 법칙으로 설명되는 유도기전력이 발생한다. 이 때에 처음에 흘려준 전류의 시간에 따른 변화율과 이로 인해 발생한 유도기전력의 크기 사이의 비율을 나타내는 물리량이 인덕턴스이다. 국제단위계에서 인덕턴스의 단위는 헨리(henry, 기호 H)이며 1 H = 1 m2·kg·s-2·A-2이다.
[해설작성자 : 승현용가리]

3과목 : 소방관계법규


41. 다음 용어의 정의 중 틀린 것은?
     1. “소방대상물”이라 함은 건축물, 차량, 선박(모든선박) 선박건조구조물, 산림 그 밖의 공작물 또는 물건을 말한다.
     2. “관계지역”이라 함은 소방대상물이 있는 장소 및 그 이웃지역으로서 화재의 예방ㆍ경계ㆍ진압, 구조ㆍ구급 등의 활동에 필요한 지역을 말한다.
     3. “관계인”이라 함은 소방대상물의 소유자ㆍ관리자는 점유자를 말한다.
     4. “소방대장”이라 함은 소방본부장 또는 소방서장 등 화재, 재난ㆍ재해 그 밖의 위급한 상황이 발생한 현장에서 소방대를 지휘하는 자를 말한다.

     정답 : []
     정답률 : 75%
     <문제 해설>
"소방대상물"이란 건축물, 차량, 선박(「선박법」 제1조의2제1항에 따른 선박으로서 항구에 매어둔 선박만 해당함), 선박 건조 구조물, 산림, 그 밖의 인공 구조물 또는 물건을 말합니다(「소방기본법」 제2조제1호).
[해설작성자 : 쭌마이황]

42. 두께가 최소 몇 mm 이상의 종이류가 실내장식물에 해당되는가?
     1. 1
     2. 2
     3. 3
     4. 4

     정답 : []
     정답률 : 66%

43. 산화성 고체이며 제1류 위험물에 해당하는 것은?
     1. 황화린
     2. 적린
     3. 마그네슘
     4. 염소산염류

     정답 : []
     정답률 : 74%

44. 다음 중 소방활동구역에 출입할 수 있는 자는?
     1. 소방활동구역 밖에 있는 소방대상물의 소유자ㆍ관리자 또는 점유자
     2. 한국 소방 검정공사에 종사하는 자
     3. 의사ㆍ간호사 그 밖의 구조ㆍ구급업무에 종사하는 자
     4. 수사업무에 종사하지 않는 검찰공무원

     정답 : []
     정답률 : 76%

45. 다음 중 위험물 임시저장 기간으로 맞는 것은?
     1. 90일이내
     2. 80일이내
     3. 70일이내
     4. 60일이내

     정답 : []
     정답률 : 80%

46. 건축물의 대수선ㆍ증축ㆍ개축ㆍ재축 또는 용도변경의 신고를 수리할 권한이 있는 행정기관은 그 신고를 수리한 때에는 그 건축물 등의 공사 시공지 또는 소재지를 관할하는 소방본부장 또는 서장에게 몇 일 이내에 그 사실을 알려야 하는가?
     1. 7년
     2. 7일
     3. 지체없이
     4. 30일

     정답 : []
     정답률 : 41%

47. 소방설비산업기사 자격을 취득한 후 최소 몇 년 이상 소방 실무경력이 있어야 소방시설관리사 응시자격이 주는가?
     1. 7년
     2. 5년
     3. 4년
     4. 3년

     정답 : []
     정답률 : 46%

48. 한국소방안전협회의 업무가 아닌 것은?
     1. 소방기술과 안전관리에 관한 교육 및 조사ㆍ연구
     2. 소방시설 및 위험물 안전에 관한 조사ㆍ연구
     3. 소방기술과 안전관리에 관한 각종 간행물의 발간
     4. 화재예방과 안전관리 의식의 고취를 대국민 홍보

     정답 : []
     정답률 : 69%

49. 건축허가등을 함에 있어서 미리 소방본부장 또는 소방서장의 동의를 받아야 하는 건축물 등의 범위가 아닌 것은?
     1. 차고ㆍ주차장으로 사용되는 층 중 바닥면적이 200제곱미터 이상인 층이 있는 시설
     2. 승강기 등 기계장치에 의한 주차시설로서 자동차 10대 이상을 주차할 수 있는 시설
     3. 항공기격납고, 관망탑, 항공관제탑, 방송용 송ㆍ수신탑
     4. 지하층 또는 무창층이 있는 건축물로서 바닥면적이 150제곱미터 이상이 층이 있는 것

     정답 : []
     정답률 : 70%
     <문제 해설>
건축허가 동의 대상
기본 400m2
학교 100
노유자 200
장애인 300
주차장 200 , 20대
무창층 150
[해설작성자 : 아사히카]

50. 대지경계선 안에 2 이상의 건축물이 있는 경우 연소우려가 있는 구조로 볼 수 있는 것은?
     1. 1층 외벽으로부터 수평거리 6m 이상 이고 개구부가 설치되지 않은 구조
     2. 2층 외벽으로부터 수평거리 10m 이상 이고 개구부가 설치되지 않은 구조
     3. 2층 외벽으로부터 수평거리 6m 이상 이고 개구부가 다른 건축물을 향하여 설치된 구조
     4. 1층 외벽으로부터 수평거리 10m 이상 이고 개구부가 다른 건축물을 향하여 설치된 구조

     정답 : []
     정답률 : 43%
     <문제 해설>
연소우려 건축물 구조
1층 6m이하
2층 10m이하
보기 3번은 2층 10m 이하이므로 연소우려 건축물
[해설작성자 : 아사히카]

51. 화제경계지구의 지정대상지역이 아닌 것은?
     1. 시장지역
     2. 공장ㆍ창고가 밀집한 지역
     3. 위험물의 저장 및 처리시설이 밀집한 지역
     4. 소방출동로가 있는 지역

     정답 : []
     정답률 : 81%

52. 방염업자가 사망하거나 그 영업을 양도한 때 방염업자의 지위를 승계한 자의 법적 절차는?
     1. 시ㆍ도지사에게 신고 하여야 한다.
     2. 시ㆍ도지사의 허가를 받는다.
     3. 시ㆍ도지사의 인가를 받는다.
     4. 시ㆍ도지사에게 통지 한다.

     정답 : []
     정답률 : 73%

53. 제조소 중 위험물을 취급하는 건축물의 구조는 특별한 경우를 제외하고 어떻게 하여야 하는가?
     1. 지하층이 없는 구조이어야 한다.
     2. 지하층이 있는 구조이어야 한다.
     3. 지하층이 있는 1층 이내의 건축물이어야 한다.
     4. 지하층이 있는 2층 이내의 건축물이어야 한다.

     정답 : []
     정답률 : 73%

54. 다음 중 소방기본법의 목적과 거리가 먼 것은?
     1. 화재를 예방ㆍ경계하고 진압하는 것
     2. 건축물의 안전한 사용을 통하여 안락한 국민생활을 보장해 주는 것
     3. 화재, 재난ㆍ재해로부터 구조ㆍ구급하는 것
     4. 공공의 안녕질서 유지와 복리증진에 기여하는 것

     정답 : []
     정답률 : 57%

55. 소방시설공사업자가 착공신고서에 첨부하여야 할 서류가 아닌 것은?
     1. 설계도서
     2. 건축허가서
     3. 기술관리를 하는 기술인력의 기술자격증 사본
     4. 소방시설공사업 등록증 사본

     정답 : []
     정답률 : 38%

56. 특정소방대상물의 의료시설중 병원에 해당 하는 것은?
     1. 마약진료소
     2. 장례식장
     3. 전염병원
     4. 요양소

     정답 : []
     정답률 : 32%
     <문제 해설>
병원 - 종합병원, 치과병원, 한방병원, 요양병원
격리병원 - 전염병원, 마약진료소
의원, 한의원, 침술원 등은 근린생활시설이다.
[해설작성자 : 곡구마]

57. 지방소방기술심의 위원회의 심의사항은?
     1. 화재안전기준에 관한 사항
     2. 소방시설의 구조와 원리 등에 있어서 공범이 특수한 설계 및 시공에 관한 사항
     3. 소방시설 공사 하자의 판단기준에 관한 사항
     4. 소방시설에 대한 하자 여부의 판단에 관한 사항

     정답 : []
     정답률 : 46%
     <문제 해설>
중앙소방 → 소방시설 공사하자
지방소방 → 소방시설 하자
[해설작성자 : 짱돌뱅이]

58. 다음 중 농예용ㆍ축산용 또는 수산용으로 필요한 난방시설을 위해 사용하는 위험물의경우 시ㆍ도지사의 허가를 받지 아니 할 수 있는 지정수량은 몇 배 인가?
     1. 20배 이하
     2. 30배 이하
     3. 40배 이하
     4. 100배 이하

     정답 : []
     정답률 : 71%

59. 소방기관이 소방업무를 수행하는데 필요한 인력과 장비 등에 관한 기준은 어느 것으로 정하는가?(관련 규정 개정전 문제로 기존 정답은 2번 이었습니다. 자세한 내용은 해설을 참고 하세요.)
     1. 대통령령
     2. 행정자치부령
     3. 시ㆍ도의 조례
     4. 행정자치부 고시

     정답 : []
     정답률 : 71%
     <문제 해설>
총리령

60. 다음 설명된 내용 중 공동방화관리대상물과 거리가 먼 것은?
     1. 지하층을 제외한 11층 이상인 건축물
     2. 지하층
     3. 복합건축물로서 연면적이 5000m2 이상인 것
     4. 판매시설 및 영업시설 중 도매시장 및 소매시장

     정답 : []
     정답률 : 55%

61. 누전경보기의 전원은 배선용 차단기에 있어서는 몇 [A] 이하의 것으로 각극을 개폐할 수 있어야 하는가?
     1. 10[A]
     2. 20[A]
     3. 30[A]
     4. 40[A]

     정답 : []
     정답률 : 69%

62. 무선통신보조설비의 기준에서 사용하는 용어의 정의 중 거리가 먼 것은?
     1. “분배기”란 신호의 전송로가 분기되는 장소에 설치하는 것을 말한다.
     2. “분파기”란 서로 다른 주파수의 합성된 신호를 분리하기 위해 사용하는 장치를 말한다.
     3. “혼합기”란 3개 이상의 입력신호를 원하는 비율로 조합한 출력이 발생하도록 하는 장치를 말한다.
     4. “증폭기”란 신호정송 시 신호가 약해져 수신이 불가능 해지는 것을 방지하기 위한 장치를 말한다.

     정답 : []
     정답률 : 61%
     <문제 해설>
“혼합기”란 2 이상의 입력신호를 원하는 비율로 조합한 출력이 발생하도록 하는 장치를 말한다.
[해설작성자 : 쌍쌍기사]

63. 비상조명등에 사용하는 광원용 램프는 어떤 전구이여야 하는가?
     1. 단일 코일 전구
     2. 2중 코일 전구
     3. 3중 코일 전구
     4. 4중 코일 전구

     정답 : []
     정답률 : 55%
     <문제 해설>
-비상조명등의 광원-
-광원용 램프를 백열전구를 사용하는 경우 이중 코일 전구를 사용한다. 단, 2개 이상의 백열전구를 병렬로 연결해서 사용할 때는 단일 코일 전구를 사용할 수 있다.
[해설작성자 : 승현용가리]

64. 비상콘센트설비의 전원회로의 설치 기준에 맞지 않는 것은?
     1. 전원회로는 3상교류 220V 또는 380V인 것으로 할 것
     2. 전원회로는 각 층에 있어서 2 이상이 되도록 할 것
     3. 콘센트마다 배선용차단기를 설치하여야 하며 충전부가 노출되도록 할 것
     4. 비상콘센트용의 풀박스 등은 방청도장을 한 것으로서 두께 1.6mm이상의 철판으로 할 것

     정답 : []
     정답률 : 59%

65. 단독경보형 감지기를 설치하여야 하는 특정소방대상물은?
     1. 연면적 1,000[m2]미만의 아파트
     2. 연면적 1,500[m2]미만의 기숙사
     3. 연면적 1,000[m2]미만의 숙박시설
     4. 연면적 2,500[m2]미만의 합숙소

     정답 : []
     정답률 : 43%

66. 7층인 의료시설에 설치하여야 할 피난기구가 아닌 것은?
     1. 구조대
     2. 피난교
     3. 피난용트랩
     4. 미끄럼대

     정답 : []
     정답률 : 70%

67. 다음 중 경계구역을 별개로 설정하여야 하는 것으로 옳은 것은?
     1. 파이프덕트
     2. 복도
     3. 통로
     4. 거실

     정답 : []
     정답률 : 60%

68. 비상방송설비에서 지하층을 제외한 5층 이상의 소방대상물에서 2층 이상에서 발화한 때 우선적으로 경보하여야 할 층은?
     1. 발화층
     2. 발화층 및 그 직상층
     3. 발화층ㆍ그 직상층 및 지하층
     4. 발화층ㆍ그 직상층ㆍ및 지하층

     정답 : []
     정답률 : 66%

69. 광전식분리형감지기의 설치기준에 맞지 않는 것은?
     1. 감지기의 광축의 길이는 공칭감지거리 범위 이내여야 한다.
     2. 감지기의 수광부는 설치된 뒷벽으로부터 1m 이상의 위치에 설치해야 한다.
     3. 감지기의 수광면은 햇빛을 직접 받지 않도록 설치해야 한다.
     4. 광축은 나란히 벽으로부터 0.6m이상 이격하여야 한다.

     정답 : []
     정답률 : 44%

70. 무선통신보조설비의 결합손실 이란?
     1. 어떤 전기회로에 어떤 기기(機器) 또는 물질을 추가로 삽입시켰을 때 이것으로 인하여 발생되는 전력 손실을 말한다.
     2. 도체에 전류가 흐르게 되면 그 도체의 임피던스에 의하여 도체 내에서 전력손실이 생기는 것을 말한다.
     3. 도체에 전류가 흐르게 되면 그 도체의 임피던스에 의하여 도체 밖에서 전력손실이 생기는 것을 말한다.
     4. 어떤 전기회로에서 변압기를 접속하게 되는 경우 발생되는 손실을 말한다.

     정답 : []
     정답률 : 54%

71. 경계전로의 누설전류를 자동적으로 검출하여 이를 누전경보기의 수신부에 송신하는 것을 무엇이라 하는가?
     1. 수신부
     2. 변류기
     3. 확성기
     4. 증폭기

     정답 : []
     정답률 : 81%

72. 외기에 면하여 상시 개방된 부분이 있는 차고ㆍ주차장ㆍ창고 등에 있어서는 외기에 면하는 각 부분으로부터 몇 m 미만의 범위안에 있는 부분은 경계구역의 면적에 산입하지 아니하는가?
     1. 5
     2. 10
     3. 45
     4. 50

     정답 : []
     정답률 : 65%

73. 화재발생 상황을 사이렌으로 경보하는 설비는?
     1. 비상벨설비
     2. 자동식 사이렌설비
     3. 발신기
     4. 비상방송설비

     정답 : []
     정답률 : 59%

74. 다음 중 비상방송설비의 음향장치 설치 기준에 맞지 않는 것은?
     1. 확성기의 음성입력은 3W 이상일 것
     2. 음량조정기를 설치하는 경우 음량조정기의 배선은 3선식으로 할 것
     3. 조작부의 조작스위치는 0.5m이상 1.0m 이하로 할 것
     4. 확성기는 각 층마다 설치하되 그 층이 각 부분으로부터 하나의 확성기까지의 수평거리가 25m이하가 되도록 할 것

     정답 : []
     정답률 : 79%

75. 다음 중 자동화탐지설비의 구성요소에 해당되지 않은 것은?
     1. 음향장치
     2. 동축케이블
     3. 발신기
     4. 감지기

     정답 : []
     정답률 : 63%

76. 다음 중 자동화탐지설비의 구성요소에 해당되지 않은 것은?
     1. 충전시험
     2. 방전시험
     3. 안전장치시험
     4. 충격전압시험

     정답 : []
     정답률 : 35%

77. 자동화재탐지설비의 경계구역에 대한 설명 중 맞는 것은?
     1. 1000m2 이하에서는 2개의 층을 하나의 경계구역으로 할 수 있다.
     2. 하나의 경계구역의 면적은 600m2 이하로 하고 한 변의 길이는 50m 이하로 할 것
     3. 당해 소방대상물의 주된 출입구에서 그 내부 전체가 보이는 경우에는 경계구역이 면적은 1500m2 이하로 할 것
     4. 지하구 경계구역의 길이는 1000m 이하로 할 것

     정답 : []
     정답률 : 70%

78. 유도등의 전원 중 비상전원을 축전지로 하되 유효하게 작동시킬 수 있는 시간은 몇 분 이상인가?
     1. 10분 이상
     2. 20분 이상
     3. 30분 이상
     4. 40분 이상

     정답 : []
     정답률 : 63%

79. 비상콘센트설비를 설치 하여야 할 소방대상물은?
     1. 지하층을 제외한 5층 이상의 각층
     2. 지하층을 제외한 7층 이상의 각층
     3. 지하층을 제외한 9층 이상의 각층
     4. 지하층 및 지하층을 제외한 11층 이상의 각층

     정답 : []
     정답률 : 59%

80. 피난구 유도등의 조명도는 피난기구로부터 몇 [m]의 거리에서 문자 및 색채를 쉽게 식별할 수 있는 것으로 하여야 하는가?
     1. 10[m]
     2. 20[m]
     3. 25[m]
     4. 30[m]

     정답 : []
     정답률 : 33%


정 답 지

1

2

3

4

5

6

7

8

9

10

11

12

13

14

15

16

17

18

19

20

21

22

23

24

25

26

27

28

29

30

31

32

33

34

35

36

37

38

39

40

41

42

43

44

45

46

47

48

49

50

51

52

53

54

55

56

57

58

59

60

61

62

63

64

65

66

67

68

69

70

71

72

73

74

75

76

77

78

79

80

소방설비기사(전기분야) 필기 기출문제(해설) 및 CBT 2006년03월05일을 이용해 주셔서 감사합니다.
소방설비기사,전기,분야, 소방, 설비, 기사, 필기, 기출문제, 전자문제집, CBT, 온라인, 모의테스트, 모의고사



List of Articles
번호 제목 글쓴이 날짜 조회 수
14105 소방설비기사(전기분야) 필기 기출문제(해설) 및 CBT 2010년03월07일(7003) 좋은아빠되기 2025.11.25 0
14104 소방설비기사(전기분야) 필기 기출문제(해설) 및 CBT 2009년08월30일(7002) 좋은아빠되기 2025.11.25 0
14103 소방설비기사(전기분야) 필기 기출문제(해설) 및 CBT 2009년05월10일(7001) 좋은아빠되기 2025.11.25 0
14102 소방설비기사(전기분야) 필기 기출문제(해설) 및 CBT 2009년03월01일(7000) 좋은아빠되기 2025.11.25 0
14101 소방설비기사(전기분야) 필기 기출문제(해설) 및 CBT 2008년09월07일(6999) 좋은아빠되기 2025.11.25 0
14100 소방설비기사(전기분야) 필기 기출문제(해설) 및 CBT 2008년05월11일(6998) 좋은아빠되기 2025.11.25 0
14099 소방설비기사(전기분야) 필기 기출문제(해설) 및 CBT 2008년03월02일(6997) 좋은아빠되기 2025.11.25 0
14098 소방설비기사(전기분야) 필기 기출문제(해설) 및 CBT 2007년09월02일(6996) 좋은아빠되기 2025.11.25 0
14097 소방설비기사(전기분야) 필기 기출문제(해설) 및 CBT 2007년05월13일(6995) 좋은아빠되기 2025.11.25 0
14096 소방설비기사(전기분야) 필기 기출문제(해설) 및 CBT 2007년03월04일(6994) 좋은아빠되기 2025.11.25 0
14095 소방설비기사(전기분야) 필기 기출문제(해설) 및 CBT 2006년09월10일(6993) 좋은아빠되기 2025.11.25 0
14094 소방설비기사(전기분야) 필기 기출문제(해설) 및 CBT 2006년05월17일(6992) 좋은아빠되기 2025.11.25 0
» 소방설비기사(전기분야) 필기 기출문제(해설) 및 CBT 2006년03월05일(6991) 좋은아빠되기 2025.11.25 0
14092 소방설비기사(전기분야) 필기 기출문제(해설) 및 CBT 2005년09월04일(6990) 좋은아빠되기 2025.11.25 0
14091 소방설비기사(전기분야) 필기 기출문제(해설) 및 CBT 2005년05월29일(6989) 좋은아빠되기 2025.11.25 0
14090 소방설비기사(전기분야) 필기 기출문제(해설) 및 CBT 2005년03월06일(6988) 좋은아빠되기 2025.11.25 0
14089 소방설비기사(전기분야) 필기 기출문제(해설) 및 CBT 2004년09월05일(6987) 좋은아빠되기 2025.11.25 0
14088 소방설비기사(전기분야) 필기 기출문제(해설) 및 CBT 2004년05월23일(6986) 좋은아빠되기 2025.11.25 0
14087 소방설비기사(전기분야) 필기 기출문제(해설) 및 CBT 2004년03월07일(6985) 좋은아빠되기 2025.11.25 0
14086 소방설비기사(전기분야) 필기 기출문제(해설) 및 CBT 2003년08월31일(6984) 좋은아빠되기 2025.11.25 0
Board Pagination Prev 1 ... 285 286 287 288 289 290 291 292 293 294 ... 995 Next
/ 995