자격증 필기 기출문제



건축기사 필기 기출문제(해설) 및 CBT 2010년03월07일(7147)

최강 자격증 기출문제 전자문제집 CBT : www.comcbt.com


전자문제집 CBT란?

종이 문제집이 아닌 인터넷으로 문제를 풀고 자동으로 채점하며 모의고사, 오답 노트, 해설까지 제공하는
무료 기출문제 학습 프로그램으로 실제 상설검정에서 사용하는 OMR 형식의 CBT를 제공합니다.


최신 건축기사 필기 기출문제 : [다운로드]

1과목 : 건축계획


1. 은행의 주출입구(방풍실부)로서 가장 적합한 것은?
     1.
     2.
     3.
     4.

     정답 : []
     정답률 : 68%
     <문제 해설>
일반적으로 은행의 출입문은 도난 방지상 안여닫이로 한다. 방풍실을 둘 경우 바깥문은 바깥여닫이 또는 자재문으로 한다.

2. 미술관의 연속순로 형식에 대한 설명 중 옳은 것은?
     1. 많은 실을 순서별로 통하여야 하는 불편이 있으나 공간절약의 이점이 있다.
     2. 중심부에 하나의 큰 홀을 두고 그 주위에 각 전시실을 배치하여 자유로이 출입하는 형식이다.
     3. 평면적인 형식으로 2, 3개 층의 입체적인 방법은 불가능하다.
     4. 각 실을 필요시에는 자유로이 독립적으로 폐쇄할 수 있다.

     정답 : []
     정답률 : 82%
     <문제 해설>
연속 순회형식 특징
- 단순하고 공간이 절약된다.
- 소규모 전시실에 적합하다.
- 전시벽면을 많이 만들 수 있다.
- 많은 실을 순서별로 통해야 하고, 1실을 닫으면 전체 동선이 막히게 된다.
[해설작성자 : 백창수]

3. 사무소 건축의 실단위 계획에 대한 설명 중 옳지 않은 것은?
     1. 개실 시스템은 독립성과 쾌적감의 이점이 있다.
     2. 개실 시스템은 연속된 긴 복도로 인해 방깊이에 변화를 주기가 용이하다.
     3. 개방식 배치는 개실 시스템보다 공사비가 저렴하다.
     4. 개방식 배치는 전면적을 유용하게 이용할 수 있다.

     정답 : []
     정답률 : 80%
     <문제 해설>
개실시스템는 정해진 폭을 갖고 있는 유형으로 방 깊이변화 주시에 부적합
[해설작성자 : 8854]

4. 사무소 건축에서 엘리베이터 대수 산정시 기준이 되는 것은?
     1. 출근시간대의 수송인원
     2. 퇴근시간대의 수송인원
     3. 점심시간 직전의 수송인원
     4. 점심시간 직후의 수송인원

     정답 : []
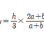
     정답률 : 88%

5. 다음 중 캐빈 린치(Kevin Lynch)가 주장한 “도시이미지”의 구성요소가 아닌 것은?
     1. Paths
     2. Edges
     3. Linkages
     4. Landmarks

     정답 : []
     정답률 : 78%
     <문제 해설>
케빈 린치
- paths ; 통로
- districts ; 지역
- nodes ; 결절점
- edges ; 경계
- landmarks ; 랜드마크

6. 백화점의 진열장 배치에 대한 설명 중 옳지 않은 것은?
     1. 직각배치 방식은 판매장 면적이 최대한으로 이용되고 간단하다.
     2. 사행배치는 주통로 이외의 제2통로를 상하교통계를 향해서 45° 사선으로 배치한 것이다.
     3. 사행배치는 많은 고객이 판매장 구석까지 가기 쉬운 이점이 있으나 이형의 진열장이 필요하다.
     4. 자유유선 배치방식은 획일성을 탈피할 수 있으며 변화와 개성을 추구할 수 있고 시설비가 적게 든다.

     정답 : []
     정답률 : 79%

7. 2층 단독주택에서 1층에 부모가, 2층에 자녀들이 거주할 경우에 가족의 단한에 가장 영향을 줄 수 있는 요소는?
     1. 계단의 배치
     2. 침실의 방위
     3. 건물의 층고
     4. 식당과 부엌의 연결방법

     정답 : []
     정답률 : 84%

8. 다음 중 공공 도서관에서 능률적인 작업용량을 고려할 경우, 200000권의 책을 수장하는 서고의 바닥면적으로 가장 적당한 것은?
     1. 1000 m2
     2. 600 m2
     3. 500 m2
     4. 400 m2

     정답 : []
     정답률 : 83%
     <문제 해설>
권수 나누기 200
200000 ÷ 200 = 1000m^2
[해설작성자 : 호로록]

9. 쇼핑센터의 공간구성에서 페디스트리언 지대(Pedestrian area)의 일부로서 고객을 각 상점에 유도하는 주요 보행자 동선인 동시에 고객의 휴식처로서 기증을 갖고 있는 곳은?
     1. 몰(Mall)
     2. 코트(Court)
     3. 핵상점(Magnet store)
     4. 허브(Hub)

     정답 : []
     정답률 : 84%

10. 극장의 평면형 중 프로시니엄형에 대한 설명으로 옳지 않은 것은?
     1. 강연, 콘서트, 독주, 연극공연 등에 적합하다.
     2. 연기자가 일정한 방향으로만 관객을 대하게 된다.
     3. 무대의 배경을 만들지 않으므로 경제성이 있다
     4. Picture frame stage라고도 불린다.

     정답 : []
     정답률 : 83%
     <문제 해설>
3번 선택지는 아레나형(Arena형)에 대한 설명이다.

11. 다음 중 극장건축과 관계가 없는 것은?
     1. 그린 룸(green room)
     2. 사이클로라마(cyclorama)
     3. 플라이 갤러리(fly gallery)
     4. 캐럴(carrel)

     정답 : []
     정답률 : 83%
     <문제 해설>
캐럴은 도서관 건축 계획에서 열람자가 도서 가까이에 있을 필요가 있을 때 서고 내부에 작은 연구실 형식을 취한 열람실을 말한다.

12. 공장건축에 관한 설명 중 옳은 것은?
     1. 자연환기방식의 경우 환기방법은 채광형식과 관련하여 건물형태를 결정하는 매우 중요한 요소가 된다.
     2. 재료반입과 제품반출 동선은 동일하게 하고 물품동선과 사람동선은 별도로 하는 것이 바람직하다.
     3. 외부인 동선과 작업원 동선은 동일하게 하고, 견학자는 생산과 교차하지 않는 동선을 확보하도록 한다.
     4. 계획시부터 장래증축을 고려하는 것이 필요하며 평면형은 가능한 요철이 많은 것이 유리하다.

     정답 : []
     정답률 : 70%
     <문제 해설>
2. 재료 반입, 반출 동선 및 물품 동선과 사람동선은 모두 별도로 하는것이 바람직 하다.
3. 외부인 동선과 작업원 동선은 별도로 하고, 견학자는 생산과 교차하지 않는 동선을 확보해야 한다.
4. 계획시부터 장래증축을 고려하는 것은 필요하나, 평면형은 가능한 요철을 두지 않는것이 유리하다.

13. 호텔의 건축계획에 관한 설명 중 옳지 않은 것은?
     1. 주식당(main dining room)은 숙박객 및 외래객을 대상으로 하며 외래객이 편리하게 이용할 수 있도록 출입구를 별도로 설치한다.
     2. 기준층의 객실수는 기준층의 면적이나 기둥간격의 구조적인 문제에 영향을 받는다.
     3. 로비는 퍼블릭 스페이스의 중심으로 휴식, 면회, 담화, 독서 등 다목적으로 사용되는 공간이다.
     4. 객실의 크기는 대지나 건물의 형태에 영향을 받지 않는다.

     정답 : []
     정답률 : 81%

14. 초등학교 건축의 교실환경계획에 관한 설명 중 옳지 않은 것은?
     1. 교실의 색채는 저학년의 경우 난색계통, 고학년은 대체로 사고력의 증진을 위해 중성색이나 한색계통의 배색이 좋다.
     2. 일반적으로 교실채광은 칠판을 향해 좌측채광을 원칙으로 한다.
     3. 교실 채광은 일조시간이 긴 방위를 택하고 1방향 채광일 때는 깊은 곳까지 고른 조도가 얻어질 수 있도록 한다.
     4. 책상 면의 조도는 교실의 칠판 면의 조도보다 더 밝아야 한다.

     정답 : []
     정답률 : 73%
     <문제 해설>
4. 칠판 면의 조도가 책상면의 조도보다 높게하여 음영이 생기지 않도록 한다.
[해설작성자 : 민짜루]

15. 건축물의 방재계획 내용으로 옳지 않은 것은?
     1. 재난 발생시에 대비하여 일정시간 안전한 건축공간을 확보하여야 한다.
     2. 재난 시 안전히 피할 수 있는 통로와 설비를 확보하여야 한다.
     3. 소화나 구출 활동이 신속히 펼쳐질 수 있는 설비를 확보하여야 한다.
     4. 신속한 대피를 위하여 각 층에서 한 방향으로만의 피난 통로를 확보하여야 한다.

     정답 : []
     정답률 : 85%
     <문제 해설>
신속한 대피를 할려면 한방향이아닌 양방향 피난통로를 확보하여야합니다
[해설작성자 : 이승빈]

16. 르네상스 시대의 건축가에 해당되지 않는 사람은?
     1. 비트루비우스
     2. 브루넬레스키
     3. 미켈란젤로
     4. 알베르티

     정답 : []
     정답률 : 51%
     <문제 해설>
비트루비우스는 로마시대 건축가

17. 아파트의 평면형식에 대한 설명 중 옳지 않은 것은?
     1. 홀형은 계단 또는 엘리베이터 홀로부터 직접 주거 단위로 들어가는 형식이다.
     2. 홀형은 통행부 면적이 작아서 건물의 이용도가 높다.
     3. 집중형은 채광ㆍ통풍 조건이 좋아 기계적 환경조절이 필요하지 않다.
     4. 중복도형은 대지에 대해서 건물 이용도가 높으나, 프라이버시가 좋지 않다.

     정답 : []
     정답률 : 80%
     <문제 해설>
집중형은 프라이버시가 극히 나쁘며, 통풍.채광상 불리하다.
복도부분의 환기를 해결하기 위해 고도의 설비시설을 요함.

18. 아파트의 단면형식 중 메조넷형(maisonette type)에 대한 설명으로 옳지 않은 것은?
     1. 주택 내부공간의 다양한 변화추구가 가능하다.
     2. 공용 및 서비스 면적이 증가한다.
     3. 통로가 없는 층의 평면은 일조, 통풍 및 전망이 좋다.
     4. 거주성, 특히 프라이버시의 확보가 용이하다.

     정답 : []
     정답률 : 69%
     <문제 해설>
메조넷형    복층을 의미한다

19. 공장건축의 레이아웃(layout)에 대한 설명 중 옳지 않은 것은?
     1. 고정식 레이아웃은 기능이 동일하거나 유사한 공정, 기계를 접합하여 배치하는 방식이다.
     2. 레이아웃은 장래 공장규모의 변화에 대응한 융통성이 있어야 한다.
     3. 제품중심의 레이아웃은 대량생산에 유리하며 생산성이 높다.
     4. 표준화가 어려운 경우에 적합한 형식은 공정중심의 레이아웃이다.

     정답 : []
     정답률 : 63%
     <문제 해설>
고정식 레이아웃은 주가되는 재료나 조립부분품이 고정되고 사람이나 기계가 이동해가며 작업하는 방식을 말한다.
선박,건축등과 같이 규모가 크고 소량인 경우에 적합.
[해설작성자 : comcbt.com 이용자]

1. 제품중심의 레이아웃 : 제품의 흐름에 따라 공정,기계,기구를 배치. 대량생산가능, 생산성높음, 공정시간 효율적
2. 공정중심의 레이아웃 : 다품종 소량생산, 생산성은 낮음, 주문공장 생산에 적합
3. 고정식 레이아웃 : 재료고정, 기계나 사람이 움직이는 형태(선박, 건축 등)
[해설작성자 : 참새짹]

20. 종합병원의 건축계획에 대한 설명 중 옳지 않은 것은?
     1. 부속진료부는 외래환자 및 입원환자 모두가 이용하는 곳이다.
     2. 집중식 병원건축에서 부속진료부외 외래부는 주로 건물의 저층부에 구성된다.
     3. 간호사 대기소는 각 간호단위 또는 각층 및 동별로 설치한다.
     4. 외래진료부의 운영방식에 있어서 미국의 경우는 대게 클로즈드 시스템인데 비하여, 우리나라는 오픈 시스템이다.

     정답 : []
     정답률 : 83%
     <문제 해설>
4. 미국의 경우는 오픈 시스템이며 한국이 클로즈드 시스템이다.

2과목 : 건축시공


21. 다음 중 녹막이 칠에 부적합한 도료는?
     1. 광명단
     2. 크레오소트유
     3. 아연분말 도료
     4. 역청질 도료

     정답 : []
     정답률 : 72%
     <문제 해설>
크레오소트유는 목재 방부제로 사용

22. 개량아스팔트 시트 방수공사 중 최상층에 노출용의 개량아스팔트 시트를 사용하여 전면 밀착으로 하는 공법을 나타내는 기호는?
     1. M-PrF
     2. M-MiF
     3. M-MiT
     4. M-RuF

     정답 : []
     정답률 : 56%
     <문제 해설>
M-MiF        최상층에 노출용 개량아스팔트 시트를 사용하여 전면 밀착으로 하는 공법으로는 a,b 2종류가 있으며 자유로이 선탁하여 적용 가능
M-PrF        보호층이 필요한 개량아스팔트 시트 전면 밀착공법
M-MiT         최상층에 노출용의 개량아스팔트 시트를 사용하고, 방수층 사이에 단열재를 삽입하는 공법
[해설작성자 : 시험시러]

23. 가이데릭(Guy derick)에 대한 설명 중 옳지 않은 것은?
     1. 기계대수는 평면높이의 가동범위ㆍ조립능력과 공기에 따라 결정한다.
     2. 붐(boom)의 길이는 마스트의 길이보다 길다.
     3. 볼 휠(ball wheel)은 가이데릭 하단부에 위치한다.
     4. 붐(boom)의 회전각은 360° 이다.

     정답 : []
     정답률 : 71%

24. 다음 중 공사수행방식에 따른 계약에 해당되지 않는 것은?
     1. 설계ㆍ시공 분리계약
     2. 단가도급계약
     3. 설계ㆍ시공 일괄계약
     4. 턴키계약

     정답 : []
     정답률 : 66%
     <문제 해설>
단가도급계약은 공사비 지불방식에 따른 계약방식.
[해설작성자 : ttahhe]

25. 문 윗틀과 문짝에 설치하여 문이 자동적으로 닫혀지게 하며, 개폐속도를 조절할 수 있는 장치는?
     1. 도어 체크(Door check)
     2. 도어 홀더(Door holder)
     3. 피봇 힌지(Pivot hinge)
     4. 도어 체인(Door chain)

     정답 : []
     정답률 : 79%
     <문제 해설>
도어 홀더 - 문열림방지
피벗 힌지 - 무거운 문에 사용, 용수철 쓰지않음
[해설작성자 : comcbt.com 이용자]

26. 철근콘크리트공사에서 콘크리트 이어치기에 대한 설명으로 옳지 않은 것은?
     1. 콘크리트의 이어치기는 원칙적으로 응력이 집중되는 곳에서 한다.
     2. 보는 스팬의 중앙 또는 단부의 1/4 부분에서 이어친다.
     3. 기둥ㆍ기초는 슬래브의 상단에서 이어친다.
     4. 캔틸레버 보는 이어치기를 하지 않고 한번에 타설한다.

     정답 : []
     정답률 : 70%
     <문제 해설>
콘크리트의 이어치기는 원칙적으로 응력이 적은곳에서 한다.

27. 표준형 벽돌을 사용하여 줄눈 10mm로 시공할 때 2.0B 벽돌벽의 두께는? (단, 공간쌓기 아님)
     1. 210mm
     2. 390mm
     3. 320mm
     4. 430mm

     정답 : []
     정답률 : 65%
     <문제 해설>
표준형 벽돌 : 190mm이므로 2.0B 벽돌벽의 두께 = 190mm+10mm+190mm = 390mm

28. 건축 석재에서 석영, 장석 및 운모로 이루어 졌으며 통상적으로 강도가 크고, 내구성이 커서, 내ㆍ외부 벽체, 기둥 등에 다양하게 사용되는 석재는?
     1. 화강암
     2. 석회암
     3. 대리석
     4. 점판암

     정답 : []
     정답률 : 63%

29. 미장 공사에서 균열을 방지하기 위하여 고려해야 할 사항 중 옳지 않은 것은?
     1. 바름면은 바람 또는 직사광선 등에 의한 급속한 건조를 피한다.
     2. 1회의 바름 두께는 가급적 얇게 한다.
     3. 쇠 흙손질을 충분히 한다.
     4. 모르타르 바름의 정벌바름은 초벌바름보다 부배합으로 한다.

     정답 : []
     정답률 : 74%
     <문제 해설>
재료배합은 바탕에 가까울수록 부배합, 정벌에 가까울수록 빈배합이 원칙이다.

30. 연약점토의 점착력을 판정하기 위한 지반조사 방법으로 가장 알맞은 것은?
     1. 표준관입시험
     2. 베인테스트
     3. 샘플링
     4. 탄성파탐사법

     정답 : []
     정답률 : 72%
     <문제 해설>
베인테스트(베인시험)은 보링의 구멍을 이용하여 +자 날개형의 테스터를 지반에 때려박고 회전시켜 회전력에 의하여
진흙의 점착력을 판별하는 시험방법이다.

31. 다음 중 벽돌공사에 대한 설명으로 옳지 않은 것은?
     1. 치장줄눈의 줄눈파기 깊이는 15mm 정도로 한다.
     2. 쌓기용 모르타르의 강도는 벽돌강도와 동등하거나 그 이상으로 한다.
     3. 하루에 쌓는 높이는 1.2m~1.5m를 표준으로 한다.
     4. 모르타르에 사용되는 모래는 제염된 것을 사용한다.

     정답 : []
     정답률 : 59%
     <문제 해설>
치장줄눈의 줄눈파기 깊이는 6mm정도로 한다.

32. 토공사 적산에 대한 설명 중 옳지 않은 것은?
     1. 흙막이가 있는 경우 터파기 깊이가 5m 이하일 때 터파기 여유폭은 60~90cm 를 표준으로 한다.
     2. 흙막이가 없는 경우 터파기 깊이가 4m 이하일 때 터파기 여유폭은 50cm 를 표준으로 한다.
     3. 깊이 3m 미만의 터파기는 휴식각을 고려하지 않는 수직 터파기량으로 산출한다.
     4. 잔토처리시 흙파기량을 전부 잔토처리할 때의 잔토처리량은 (흙파기체적)×(토량환산계수)로 한다.

     정답 : []
     정답률 : 61%
     <문제 해설>
깊이 1m 미만의 터파기는 휴식각을 고려하지 않는 수직 터파기량으로 산출한다.

33. 슬라이딩 폼(Sliding form)에서 거푸집을 일정한 속도로 계속 끌어올리는 장치의 명칭은?
     1. 요오크(York)
     2. 메탈(Metal)
     3. 유로(Euro)
     4. 워플(Waffle)

     정답 : []
     정답률 : 63%
     <문제 해설>
2. Metal Form : 철판, 앵글등을 써서 제작된 철제 거푸집
3. Euro Form : 종래의 나무 form을 개선하여 내수합판과 경량 frame으로 제작
4. Waffle Form : 무량판 구조에서 특수상자 모양으로 된 기성재 거푸집

아래와 같은 오류 신고가 있었습니다.
여러분들의 많은 의견 부탁 드립니다.
추후 여러분들의 의견을 반영하여 정답을 수정하도록 하겠습니다.
참고로 정답 변경은 오류 신고 5회 이상일 경우 수정합니다.

[오류 신고 내용]
이건 다 거푸집을 끌어올리는 장치가 아니라, 거푸집의 종류인데요?
장치의 이름은 '잭'

34. 보통 철골구조인 경우 철골 1ton당 도장면적은?(오류 신고가 접수된 문제입니다. 반드시 정답과 해설을 확인하시기 바랍니다.)
     1. 20~33m2
     2. 33~50m2
     3. 50~65m2
     4. 65~72m2

     정답 : []
     정답률 : 64%
     <문제 해설>
아래와 같은 오류 신고가 있었습니다.
여러분들의 많은 의견 부탁 드립니다.
추후 여러분들의 의견을 반영하여 정답을 수정하도록 하겠습니다.
참고로 정답 변경은 오류 신고 5회 이상일 경우 수정합니다.

[오류 신고 내용]
철골 도장면적 1ton 당
큰부재(간단한 구조) : 25~30m2
보통 부재 : 30~45m2
작은 부재(복잡한 구조) : 45~60m2
[해설작성자 : 용]

[관리자 입니다.
다른 문제집 확인 가능한분 계시면 확인 부탁 드립니다.
신고시 출판사명까지 기제 부탁 드립니다.]

35. 수밀콘크리트 시공에 대한 설명 중 옳지 않은 것은?(관련 규정 개정전 문제로 여기서는 기존 정답인 1번을 누르면 정답 처리됩니다. 자세한 내용은 해설을 참고하세요.)
     1. 불가피하게 이어치기 할 경우 이어치기 면의 레이턴스를 제거하고 빈배합 콘크리트를 사용한다.
     2. 콘크리트의 표면마감은 진공처리방법을 사용하는 것이 좋다.
     3. 타설이 완료된 콘크리트면은 즉시 습윤상태로 유지하고, 2주 이상 장기간 물에 접하게 하여 건조하지 않게 한다.
     4. 부어넣는 콘크리트 온도는 30℃ 이하로 하고 진동기 사용을 원칙으로 한다.

     정답 : []
     정답률 : 70%
     <문제 해설>
부어넣기 콘크리트 온도 시간간격은 25℃미만일때 90분 이내로 바뀜
[해설작성자 : 새가날아든다]

아래와 같은 오류 신고가 있었습니다.
여러분들의 많은 의견 부탁 드립니다.
추후 여러분들의 의견을 반영하여 정답을 수정하도록 하겠습니다.
참고로 정답 변경은 오류 신고 5회 이상일 경우 수정합니다.

[오류 신고 내용]
연속 부어넣기 온도 시간간격은
25ºC 이하 기온에서 120분이내
25ºC 초과 기온에서 90분 이내로 바뀜.
[해설작성자 : 인씨가문]

36. 화살선형 Net Work의 화살표에 대한 설명 중 옳지 않은 것은?
     1. 화살표 밑에는 계획작업 일수를 숫자로 기재한다.
     2. 더미(dummy)는 화살점선으로 표시한다.
     3. 화살표 위에는 결합점 번호를 기재한다.
     4. 화살표의 길이는 특정한 의미가 없다.

     정답 : []
     정답률 : 71%
     <문제 해설>
화살선형 net work의 화살표 위에는 작업명, 아래에는 작업일수를 기재한다.
[해설작성자 : kkang]

37. 다음 중 도료의 원료로 사용되는 천연수지가 아닌 것은?
     1. 로진(rosin)
     2. 셀락(shellac)
     3. 코펄(copal)
     4. 알키드 수지(alkyd resin)

     정답 : []
     정답률 : 73%
     <문제 해설>
알키드 수지는 지방산, 다가알코올, 다염기산의 에스터화 반응으로 생성되는 합성수지이다.

38. 용접 작업 시 용착급속 단면에 생기는 작은 은색의 점으로 수소의 영향에 의해서 발생하며 100℃로 가열하여 24시간 방치하면 수소가 방출되어 회복되는 불완전용접의 종류는?
     1. 피시 아이(fish eye)
     2. 블로 홀(blow hall)
     3. 슬래그 섞임(slag inclusion)
     4. 크레이터(crater)

     정답 : []
     정답률 : 76%

39. 시공기계에 관한 설명 중 옳지 않은 것은?
     1. 타워크레인은 골조공사의 거푸집, 철근 양중에 주로 사용된다.
     2. 파워셔블은 위치한 지면보다 높은 곳의 굴착에 적합하다.
     3. 스크레이퍼는 굴착, 적재, 운반, 정지 등의 작업을 연속적으로 할 수 있는 중ㆍ장거리용 토공기계이다.
     4. 바이브레이팅 롤러(Vibrating roller)는 콘크리트 다지기에 사용된다.

     정답 : []
     정답률 : 61%
     <문제 해설>
바이브레이팅 롤러는 사질토나 자갈질토에 적합하다. 주로 도로보수에 이용되는 장비

40. 다음 중 수량산출시 할증률이 가장 큰 것은?
     1. 이형철근
     2. 자기타일
     3. 붉은벽돌
     4. 단열재

     정답 : []
     정답률 : 73%
     <문제 해설>
이형철근, 자기타일, 붉은타일 - 3%
단열재 - 10%
[해설작성자 : 인씨가문]

3과목 : 건축구조


41. 그림과 같은 압축재에 V-V 축의 세장비 값으로 옳은 것은? (단, A=10cm2, Iv=36cm4)

    

     1. 270.3
     2. 263.1
     3. 254.8
     4. 236.4

     정답 : []
     정답률 : 58%

42. 지지하중이 작용하는 철근콘크리트 부재의 설계에 관한 상세규정으로 옳지 않은 것은?
     1. 축방향철근-접합면에서 정모멘트에 대한 강도는 부모멘트에 대한 강도의 2/3 이상이어야 한다.
     2. 횡방향철근-첫 번째 후프철근은 지지부재의 면으로 부터 50mm 이내에 위치하여야 한다.
     3. 횡방향철근-후프철근이 필요하지 않은 곳에서는 부재의 전 길이에 걸쳐서 d/2 이내의 간격으로 양단 내진갈고리를 갖춘 스터럽을 배치하여야 한다.
     4. 횡방향철근-후프철근의 최대간격은 d/4, 축방향철근의 최소 지름의 8배, 후프철근지름의 24배, 300mm 중 가장 작은 값을 초과하지 않아야 한다.

     정답 : []
     정답률 : 30%
     <문제 해설>
지지하중이 아니라 지진하중입니다.
축방향철근-접합면에서의 정(+)휨강도는 부(-)휨강도의 1/3이상이어야 한다.
[해설작성자 : 용용이]

43. 다음 그림의 단순보에서 AC부재의 전단력은?

    

     1. 5.2 kN
     2. 7.1 kN
     3. 10.6 kN
     4. 15 kN

     정답 : []
     정답률 : 49%
     <문제 해설>
10*cos45
[해설작성자 : Peach]

10*cos(45)=10*루트2/2=7.07
[해설작성자 : 히히]

44. 강도설계법에서 흙에 접하는 기둥의 최소 피복두께 기준으로 옳은 것은? (단, 현장치기 콘크리트로서 D25인 철근임)
     1. 20mm
     2. 30mm
     3. 40mm
     4. 50mm

     정답 : []
     정답률 : 49%
     <문제 해설>
흙에 접하거나 옥외에 직접 노출되는 콘크리트에서 최소 피복두께는 D29이상 60mm D25이하 50mm D16이하 40mm , 해당 문제는 D25이므로 정답 50mm
[해설작성자 : 화이팅]

45. 그림과 같은 단순보의 중앙에 집중하중 P가 1개 작용할 때, 지점에 생기는 처짐각은?

    

     1.
     2.
     3.
     4.

     정답 : []
     정답률 : 53%
     <문제 해설>
처짐각 : θA=θB일때, = PL2/16EI
처짐 : ∫max=∫C일때 PL3/48EI
[해설작성자 : 민짜루]

46. 그림은 강도설계법에서 단근 직사각형보의 응력도를 나타낸 것이다. 응력중심간 거리(d - a/2)로 옳은 것은? (단, fck=21MPa, fy=300MPa, b=300mm, d=540mm, As=1161mm2)

    

     1. 507.5mm
     2. 524.4mm
     3. 486.8mm
     4. 472.4mm

     정답 : []
     정답률 : 49%
     <문제 해설>
a=As*fy/(이타*0.85*B)
= 1161*300/(1*0.85*300)= 65.04
a/2 = 32.5
d-a = 540-32.5 = 507.5
[해설작성자 : 훈이]

47. 2경간 연속보에서 반력 Rc의 크기는? (단, F, I는 일정함)

    

     1. 31.25 kN
     2. 25 kN
     3. 18.75 kN
     4. 11.25 kN

     정답 : []
     정답률 : 33%
     <문제 해설>
5/8*WL
=> 5/8 x 5 x 10 = 31.25
[해설작성자 : 동지섣달]

48. 토질 및 지반에 관한 설명 중 옳지 않은 것은?
     1. 자갈층ㆍ모래층은 투수성이 큰 편이지만 젖은 점토층은 투수성이 작다.
     2. 점토와 모래의 중간 크기를 갖는 흙을 실트라 한다.
     3. 지진시 액상화 현상은 모래질 지반보다 점토질 지반에서 일어나기 쉽다.
     4. 점토질 지반에서 흙의 내부마찰각이 같은 경우 점착력이 클수록 옹벽에 가해지는 토압은 작아진다.

     정답 : []
     정답률 : 55%
     <문제 해설>
액상화는 모래지반에서 잘일어남
[해설작성자 : 8854]

49. 강구조 고력볼트 마찰접합의 특징에 관한 설명 중 옳지 않은 것은?
     1. 시공이 용이하여 공기가 절약된다.
     2. 접합부의 강성과 강도가 크다.
     3. 불량개소의 수정이 용이하다.
     4. 사용강재가 절약된다.

     정답 : []
     정답률 : 47%
     <문제 해설>
강재가 절약된다 -> 용접접합에 대한 설명
[해설작성자 : 동지섣달]

50. 다음 구조물의 부정정 차수는?

    

     1. 1차 부정정
     2. 2차 부정정
     3. 3차 부정정
     4. 4차 부정정

     정답 : []
     정답률 : 49%
     <문제 해설>
N=4+8+3-2*7=1
[해설작성자 : 라잇미업]

(2+2-3)+(-2)+(1+1)
[해설작성자 : ..]

51. 고층건물의 구조형식 중에서 건물의 외곽기둥을 밀실하게 배치하고 일체화한 형식은?
     1. 트러스 구조
     2. 튜브 구조
     3. 골조 아웃리거 구조
     4. 슈퍼프레임 구조

     정답 : []
     정답률 : 45%

52. 다음과 같은 트러스에서 a부재의 부재력은 얼마인가?

    

     1. 20kN(인장)
     2. 30kN(압축)
     3. 40kN(인장)
     4. 60kN(압축)

     정답 : []
     정답률 : 67%

53. 그림에서 절점 D는 이동을 하지 않으며, A, B, C는 고정단일 때 C단의 모멘트는? (단, k는 강비임)

    

     1. 4.0 kNㆍm
     2. 4.5 kNㆍm
     3. 5.0 kNㆍm
     4. 5.5 kNㆍm

     정답 : []
     정답률 : 61%

54. 그림과 같은 좌우대칭의 T형 단면의 도심(G)이 플랜지 하단과 일치하게 하려면 플랜지 폭 B의 크기는? (단위: cm)

    

     1. 360 cm
     2. 180 cm
     3. 120 cm
     4. 60 cm

     정답 : []
     정답률 : 48%
     <문제 해설>
아래 하단부 직사각형= (면적)×도심 (20×60)×30= 36000
36000을 위에 두께 20으로 나눈다
36000÷20 = 1800mm → 180cm
이와 같이 위에 미지수 길이 180cm이 나온다

55. 한계상태 설계법에 따른 강구조 이음부에 대한 설계세칙 중 옳지 않은 것은?(오류 신고가 접수된 문제입니다. 반드시 정답과 해설을 확인하시기 바랍니다.)
     1. 응력을 전달하는 단속모살용접이음부의 길이는 모살사이즈의 10배 이상 또한 30mm 이상을 원칙으로 한다.
     2. 응력을 전달하는 겹침이음은 1열 이상의 모살용접을 원칙으로 한다.
     3. 고력볼트의 구멍중심간 거리는 공칭직경의 2.5배 이상으로 한다.
     4. 고력볼트의 구멍중심에서 볼트머리 또는 너트가 접하는 재의 연단까지의 최대거리는 판두께의 12배 이하 또한 150mm 이하로 한다.

     정답 : []
     정답률 : 30%
     <문제 해설>
2.겹침이음:2열이상모살용접

아래와 같은 오류 신고가 있었습니다.
여러분들의 많은 의견 부탁 드립니다.
추후 여러분들의 의견을 반영하여 정답을 수정하도록 하겠습니다.
참고로 정답 변경은 오류 신고 5회 이상일 경우 수정합니다.

[오류 신고 내용]
1. 40mm임    따라서 답1,2 두개입니다
[해설작성자 : ㅎㅎ]

[관리자 입니다.
문제지 사진원본 확인해 봤는데 보기에 이상은 없구요.
정답은 2번이네요.
다른 문제집 확인 가능한분 계시면 확인 부탁 드립니다.
신고시 출판사명까지 기제 부탁 드립니다.]

56. 지진계에 기록된 진폭을 진원의 깊이와 진앙까지의 거리 등을 고려하여 지수로 나타낸 것으로 장소에 관계없는 절대적 개념의 지진크기를 말하는 것은?
     1. 규모
     2. 진도
     3. 진원시
     4. 지진동

     정답 : []
     정답률 : 67%
     <문제 해설>
1. 규모 : 진원의 깊이와 진앙까지의 거리 등을 고려하여 지수로 나타낸 것으로 장소에 관계없는 절대적 개념의 지진크기
2. 진도 : 특정 지역에서 느껴지는 흔들림의 강도와 영향을 나타내는 상대적인 척도
3. 진원시 : 진원역 중에서 최초로 지진파가 발생된 점
4. 지진동 : 지진파가 지표에 도달할 때 지반의 흔들림
[해설작성자 : 민짜루]

57. 그림과 같은 모살용접의 유효길이는?

    

     1. 1.0 cm
     2. 9.4 cm
     3. 10.7 cm
     4. 11.4 cm

     정답 : []
     정답률 : 58%
     <문제 해설>
아래와 같은 오류 신고가 있었습니다.
여러분들의 많은 의견 부탁 드립니다.
추후 여러분들의 의견을 반영하여 정답을 수정하도록 하겠습니다.
참고로 정답 변경은 오류 신고 5회 이상일 경우 수정합니다.

[오류 신고 내용]
13.1cm

아래와 같은 오류 신고가 있었습니다.
여러분들의 많은 의견 부탁 드립니다.
추후 여러분들의 의견을 반영하여 정답을 수정하도록 하겠습니다.
참고로 정답 변경은 오류 신고 5회 이상일 경우 수정합니다.

[오류 신고 내용]
13.1cm

[오류신고 반론]
유효길이 I-2s 이므로 2번 맞습니다.
[해설작성자 : D-1]

58. 강도설계법에서 철근콘크리트구조물의 공칭간도 산정 시 사용되는 강도감소계수로 옳지 않은 것은?
     1. 콘크리트의 지압력(포스트텐션 정착부나 스트럿-타이모델은 제외) : 0.65
     2. 압축지배 단면 중 나선철근으로 보강된 철근콘크리트부재 : 0.70
     3. 전단력과 비틀림모멘트 : 0.70
     4. 무근콘크리트의 휨모멘트. 압축력, 전단력, 지압력 : 0.55

     정답 : []
     정답률 : 45%
     <문제 해설>
전단력과 비틀림모멘트→0.75            
[해설작성자 : 오키도키]

59. 직경 2.2cm, 길이 50cm의 강봉에 측방향 인장력을 작용시켰더니 길이는 0.04cm 늘어났고 직경은 0.0006cm 줄었다. 이 재료의 포아송수는?
     1. 0.34
     2. 2.93
     3. 0.015
     4. 66.67

     정답 : []
     정답률 : 55%
     <문제 해설>
(0.04/50) / (0.006/2.2)
[해설작성자 : 기사공뷰]

포아송비 가로방향변형률 / 축방향변형률 = (가로방향변형/직경) / (축방향변형/축길이) = 0.34
포아송수는 포아송비의 역수이므로 0.34^(-1) = 2.93
[해설작성자 : 붙고싶어요]

60. 철근 콘크리트 T형보의 유효폭 산정과 가장 관계가 먼 것은?
     1. 슬래브의 세장비
     2. 슬래브의 두께
     3. 양측 슬래브의 중심간의 거리
     4. 보의 경간

     정답 : []
     정답률 : 64%

4과목 : 건축설비


61. 에너지를 절약하기 위한 방법과 가장 관계가 먼 것은?
     1. 열관류율이 낮은 재료를 사용한다.
     2. 동일한 재료인 경우 두께가 두꺼운 것을 사용한다.
     3. 열전도율이 낮은 재료를 사용한다.
     4. 흡수성이 높은 재료를 사용한다.

     정답 : []
     정답률 : 54%

62. 다음의 배선공사에 대한 설명 중 옳지 않은 것은?
     1. 합성수지관 공사는 옥내의 점검 불가능한 은폐장소에서는 사용할 수 없다.
     2. 금속관 공사는 옥내의 은폐장소 및 노출장소에 모두 사용이 가능하다.
     3. 금속관 공사는 외부적 응력에 대해 전선보호의 신뢰성이 높다.
     4. 플로어 덕트 공사에서 덕트 내부에는 절연전선을 사용한다.

     정답 : []
     정답률 : 53%
     <문제 해설>
1. 합성수지관은 옥내의 은폐장소, 화학공장, 연구실의 배선에 사용한다.
[해설작성자 : kkang]

63. 공기조화방식 중 팬코일 유닛 방식에 대한 설명으로 옳지 않은 것은?
     1. 덕트 방식에 비해 유닛의 위치 변경이 쉽다.
     2. 유닛을 창문 밑에 설치하면 콜드 드래프트를 줄일 수 있다.
     3. 전공기 방식으로 각 실에 수배관으로 인한 누수의 염려가 없다.
     4. 각 실의 유닛은 수동으로도 제어할 수 있고, 개별 제어가 쉽다.

     정답 : []
     정답률 : 67%
     <문제 해설>
팬코일 유닛 방식 : 전수방식(온수 사용 - 온도 80도)
누수 염려, 개별 제어 쉽고 부하에 대응 가능
[해설작성자 : 풀운명]

64. 다음은 극장의 객석내에 설치하여야 하는 통로유도등과 관련된 기준 내용이다. ( )안에 알맞은 것은?

    

     1. 1 [lx]
     2. 2 [lx]
     3. 5 [lx]
     4. 10 [lx]

     정답 : []
     정답률 : 44%

65. 지역난방 방식에 대한 설명 중 옳지 않은 것은?
     1. 시설이 대규모이므로 관리가 용이하고 열효율면에서 유리하다.
     2. 각 건물의 이용시간차를 이용하면 보일러의 용량을 줄일 수 있다.
     3. 설비의 고도화로 대기오염 등 공해를 방지할 수 있다.
     4. 고온수난방을 채용할 경우 감압장치가 필요하며 응축수트랩이나 환수관이 복잡해진다.

     정답 : []
     정답률 : 55%

66. 배수용 배관재에 대한 설명 중 옳지 않은 것은?
     1. 경질염화비닐관은 내식성은 우수하나 충격에 약하다.
     2. 연관은 내식성이 작아 배수용 보다는 난방배관에 주로 사용된다.
     3. 동관은 전기 및 열전도율이 좋고 전성ㆍ연성이 풍부하여 가공도 용이하다.
     4. 주철관은 오배수관이나 지중 매설 배관에 사용된다.

     정답 : []
     정답률 : 54%
     <문제 해설>
연관은 급 배수용으로 사용된다

67. 엘리베이터의 주요 기기의 설치 위치는 기계실, 승강로, 승장 등으로 나눌 수 있다. 다음 중 기계실에 설치하는 것은?
     1. 가이드 레일
     2. 완충기
     3. 균형추
     4. 권상기

     정답 : []
     정답률 : 66%
     <문제 해설>
1. 가이드 레일 : 레일 간격은 일정해야 하며, 승강로 벽에 평행하게 정렬되어야한다.
2. 완충기 : 승강로 최상부와 최하부에 위치
3. 균형추 : 카와 연결된 중량물로 승강로에 위치한다.
4. 권상기 : 카를 상하 구동시키는 장치로 기계실 또는 승강로 최상부에 위치한다.
[해설작성자 : 민짜루]

68. 방열기의 표준방열량 산정에서 사용되는 표준상태의 열매의 온도는? (단, 열매는 증기)
     1. 80℃
     2. 94℃
     3. 100℃
     4. 102℃

     정답 : []
     정답률 : 43%
     <문제 해설>
증기 : 102℃
온수 : 80℃
[해설작성자 : 풀운명]

69. 조명설비에서 불쾌 글레어(Discomfort glare)의 원인과 가장 거리가 먼 것은?
     1. 휘도가 낮은 광원
     2. 시선 부근에 노출된 광원
     3. 눈에 입사하는 광속의 과다
     4. 물체와 그 주위 사이의 고휘도 대비

     정답 : []
     정답률 : 67%

70. 크로스 커넥션(cross connection)에 대한 설명으로 가장 알맞은 것은?
     1. 상수로부터의 급수계통(배관)과 그 외의 계통이 직접 접속되어 있는 것
     2. 관로내의 유체가 급격히 변화하여 압력변화를 일으키는 것
     3. 겨울철 난방을 하고 있는 실내에서, 창을 타고 차가운 공기가 하부로 내려오는 현상
     4. 급탕ㆍ반탕관의 순환거리를 각 계통에 있어서 거의 같게 하여 전 계통의 탕의 순환을 촉진하는 방식

     정답 : []
     정답률 : 58%
     <문제 해설>
배관과 그외의 계통의 직접접속
[해설작성자 : 혠]

71. 어떤 실의 취득열량이 현열 35000[W], 잠열 15000[W] 이었을 때 현열비는?
     1. 0.3
     2. 0.4
     3. 0.7
     4. 2.3

     정답 : []
     정답률 : 69%
     <문제 해설>
                                현열                                                 35000
SHF = -------------------------    =        -----------------    = 0.7
                        현열 + 잠열                                    35000 + 15000                
[해설작성자 : 풀운명]

72. 배관의 신축이음쇠의 종류에 속하지 않은 것은?
     1. 밸로우즈형 신축이음쇠
     2. 스위블형 신축이음쇠
     3. 신축곡관
     4. 플랜지식 이음쇠

     정답 : []
     정답률 : 44%
     <문제 해설>
신축이음쇠 종류
밸로우즈,스위블,신축,슬리브

73. 전기설비가 어느 정도 유효하게 사용되는가를 나타내며, 다음과 같이 표현되는 것은?

    

     1. 수용률
     2. 부등률
     3. 부하률
     4. 역률

     정답 : []
     정답률 : 68%

74. 엘리베이터의 조작 방식 중 무운전원 방식으로 다음과 같은 특징을 갖는 것은?

    

     1. 단식자동방식
     2. 카 스위치방식
     3. 승합전자동방식
     4. 시그널 콘트롤 방식

     정답 : []
     정답률 : 65%
     <문제 해설>
무운전원 방식중 승합전자동방식은 카 버튼이나 승강장의 호룰신호로 시동, 정지한다.
누른 순서에 상관없이 각 호출에 의해 자동적으로 정지한다.
[해설작성자 : kkang]

75. 통기관에 대한 설명 중 옳지 않은 것은?
     1. 사이폰 작용 및 배압에 의해서 트랩봉수가 파괴되는 것을 방지한다.
     2. 배수관 계통의 환기를 도모하여 관내를 청결하게 유지한다.
     3. 각개통기방식은 기능적으로 가장 우수하고 이상적이다
     4. 신정통기방식은 회로통기방식이라고도 하며, 통기수직관을 설치한 배수ㆍ통기계통에 이용된다.

     정답 : []
     정답률 : 54%
     <문제 해설>
루프통기관이 회로통기방식입니다

76. 배수관의 관경과 구배에 대한 설명 중 옳지 않은 것은?
     1. 배수관경을 크게 하면 할수록 배수능력은 향상된다.
     2. 배관구배를 너무 급하게 하면 흐름이 빨라 고형물이 남는다.
     3. 배관구배를 완만하게 하면 세정력이 저하된다.
     4. 배수 수평관의 구배는 최소 1/200 이상으로 한다.

     정답 : []
     정답률 : 49%
     <문제 해설>
배수관경이 너무 커지면 고형물이 잠기는 부피가 작아져서 배수능력이 떨어집니다

77. 어느 점광원에서 1[m] 떨어진 곳의 직각면 조도가 200[lx]일 때, 이 광원에서 2[m] 떨어진 곳의 조도는?
     1. 25 [lx]
     2. 50 [lx]
     3. 100 [lx]
     4. 200 [lx]

     정답 : []
     정답률 : 73%
     <문제 해설>
조도는 거리제곱에 반비례
200/4 = 50
[해설작성자 : 롱롱이]

78. 스프링클러설비용 수조에 대한 설명 중 옳지 않은 것은?
     1. 수조의 내측에 수위계를 설치하여야 한다.
     2. 수조의 상단이 바닥보다 높은 때에는 수조의 외측에 고정식 사다리를 설치하여야 한다.
     3. 수조가 실내에 설치된 때에는 그 실내에 조명설비를 설치하여야 한다.
     4. 수조의 밑부분에는 청소용 배수밸브 또는 배수관을 설치하여야 한다.

     정답 : []
     정답률 : 51%
     <문제 해설>
1.수조 외측에 수위계 설치

79. 연면적 1500m2인 사무소 건물에서 필요한 1일 급수량은?

    

     1. 5m3
     2. 8m3
     3. 12m3
     4. 15m3

     정답 : []
     정답률 : 53%
     <문제 해설>
1일 급수량 = 연면적 * 연면적에 대한 유효 면적의 비율 * 유효면적당 인원 * 1일 1인당 사융수량
[해설작성자 : 최강이]

80. 어느 실에 필요한 램프의 개수를 구하고자 한다. 그 실의 바닥면적을 A, 평균조도를 E, 조명률을 U, 보수율을 M, 램프 1개의 광속(光束)을 F라고 할 때, 소요램프수의 적절한 산정식은?
     1.
     2.
     3.
     4.

     정답 : []
     정답률 : 56%

81. 다음 중 두께에 관계없이 방화구조에 해당되는 것은?
     1. 석고판 위에 시멘트모르타르를 바른 것
     2. 심벽에 흙으로 맞벽치기한 것
     3. 암면보온판 위에 석면시멘트판을 붙인 것
     4. 시멘트모르타르 위에 타일을 붙인 것

     정답 : []
     정답률 : 65%

82. 도시관리계획결정에 따라 시설보호지구를 세분하여 지정할 경우, 지정할 수 있는 세분화된 시설보호지구에 해당하지 않는 것은?(오류 신고가 접수된 문제입니다. 반드시 정답과 해설을 확인하시기 바랍니다.)
     1. 학교시설보호지구
     2. 항만시설보호지구
     3. 공용시설보호지구
     4. 공원시설보호지구

     정답 : []
     정답률 : 31%
     <문제 해설>
아래와 같은 오류 신고가 있었습니다.
여러분들의 많은 의견 부탁 드립니다.
추후 여러분들의 의견을 반영하여 정답을 수정하도록 하겠습니다.
참고로 정답 변경은 오류 신고 5회 이상일 경우 수정합니다.

[오류 신고 내용]
법률 재정에 따라 시설보호지구는 삭제된 항목입니다.
[해설작성자 : 캠코간당]

83. 국토의 계획 이용에 관한 법률에 의한 기반시설 중 광장의 종류에 속하지 않는 것은?
     1. 교통광장
     2. 전시광장
     3. 지하광장
     4. 경관광장

     정답 : []
     정답률 : 49%

84. 건축물의 건축허가를 신청하는 경우 에너지절약계획서를 제출하여야 하는 대상 건축물은?(관련 규정 개정전 문제로 여기서는 기존 정답인 1번을 누르면 정답 처리 됩니다. 자세한 내용은 해설을 참고하세요.)
     1. 운동시설 중 실내수영장으로서 당해 용도에 사용되는 바닥면적의 합계가 1,000m2인 건축물
     2. 교육연구시설 중 연구소로서 당해 용도에 사용되는 바닥면적의 합계가 2,000m2인 건축물
     3. 업무시설 중 사무소로서 당해 용도에 사용되는 바닥면적의 합계가 2,000m2인 건축물
     4. 종교시설로서 그 용도에 사용되는 바닥면적의 합계가 5,000m2인 건축물

     정답 : []
     정답률 : 65%

85. 다음의 부설주차장의 설치와 관련된 기준 내용 중 밑줄 친 “대통령령이 정하는 규모” 에 해당하는 것은?

    

     1. 주차대수 100대의 규모
     2. 주차대수 200대의 규모
     3. 주차대수 300대의 규모
     4. 주차대수 400대의 규모

     정답 : []
     정답률 : 59%

86. 그림과 같은 일반 건축물의 건축 면적은?

    

     1. 80m2
     2. 100m2
     3. 120m2
     4. 168m2

     정답 : []
     정답률 : 66%
     <문제 해설>
지붕선 안으로 1m씩 들어가야함
10*12=120
[해설작성자 : Peach]

87. 건축허가 대상 건축물이라 하더라도 건축신고를 하면 건축허가를 받은 것으로 보는 경우에 속하지 않는 것은?
     1. 연면적의 합계가 100제곱미터 이하인 건축물의 건축
     2. 바닥면적의 합계가 85제곱미터 이내의 증축
     3. 바닥면적의 합계기 85제곱미터 이내의 재축
     4. 연면적이 250제곱미터 미만이고 4층 미만인 건축물의 대수선

     정답 : []
     정답률 : 56%
     <문제 해설>
4. 연면적이 200제곱미터 미만이고 3층 미만인 건축물의 대수선
[해설작성자 : Noh]

88. 주거에 쓰이는 바닥면적의 합계가 200제곱미터인 주거용 건축물에 설치하는 음용수용 급수관의 최소지름은?
     1. 25 mm
     2. 32 mm
     3. 40 mm
     4. 50 mm

     정답 : []
     정답률 : 41%

89. 건축물에 설치하는 지하층의 구조 밀 설비에 관한 기준 내용으로 옳지 않은 것은?
     1. 거실의 바닥면적이 50m2이상인 층에는 직통계단외에 피난층 또는 지상으로 통하는 비상탈출구 및 환기통을 설치할 것
     2. 바닥면적이 1,000m2 이상인 층에는 피난층 또는 지상으로 통하는 직통계단을 방화구획으로 구획되는 각 부분마다 1개소 이상 설치하되, 이를 피난계단 또는 특별 피난계단으로 할 것
     3. 거실의 바닥면적의 합계가 1,000m2이상인 층에는 환기설비를 설치할 것
     4. 지하층의 바닥면적이 200m2이상인 층에는 식수공급을 위한 급수전을 1개소 이상 설치할 것

     정답 : []
     정답률 : 48%
     <문제 해설>
지하층의 바닥면적 300이상인 층에는 식수공급을 위한 급수전 1개소 이상 설치

90. 다음 중 용도별 건축물의 종류가 잘못 연결된 것은?
     1. 공관 - 단독주택
     2. 기숙사 - 공동주택
     3. 바닥면적이 500m2인 보건소 - 제1종 근린생활시설
     4. 바닥면적이 500m2인 교회 - 제2종 근린생활시설

     정답 : []
     정답률 : 47%
     <문제 해설>
종교집회장의 경우 500m^2 미만인 건축물이 제2종 근린생활 시설입니다.
[해설작성자 : 야가다꾼]

91. 6층 이상으로서 연면적 2,000m2이상인 다음 건축물 중 승용승강기를 가장 많이 설치해야 하는 것은? (단, 8인승 승용승강기인 경우)
     1. 문화 및 집회시설 중 집회장
     2. 교육연구 및 복지시설
     3. 업무시설
     4. 위락시설

     정답 : []
     정답률 : 59%
     <문제 해설>
6층 이상 연면적 2000m2 이상
공연장/집회장/관람장, 판매시설, 의료시설 : 2대
전시장 및 동식물원, 업무시설, 위락시설, 숙박시설 : 1대
기타시설 : 1대
[해설작성자 : 슬구]

92. 다음의 건축선에 따른 건축제한과 관련된 기준 내용 중 ( )안에 알맞은 것은?

    

     1. 1.5
     2. 3
     3. 4.5
     4. 6.

     정답 : []
     정답률 : 60%

93. 도시관리계획결정의 고시가 있을때 지적이 표시된 지형도에 도시관리계획사항을 명시한 도면을 작성하여야 하는데, 이 도면의 축척 기준은?
     1. 축척 3천분의 1 내지 5천분의 1
     2. 축척 1천500분의 1 내지 3천분의 1
     3. 축척 500분의 1 내지 1천500분의 1
     4. 축척 250분의 1 내지 500분의 1

     정답 : []
     정답률 : 45%
     <문제 해설>
아래와 같은 오류 신고가 있었습니다.
여러분들의 많은 의견 부탁 드립니다.
추후 여러분들의 의견을 반영하여 정답을 수정하도록 하겠습니다.
참고로 정답 변경은 오류 신고 5회 이상일 경우 수정합니다.
[관리자의 말 : 시험지 원본 확인결과 아래 오류신고와는 달리 축적 500 이었습니다.]

[오류 신고 내용]
3번에 축척 500분의 1이 아니라 1000분의 1입니다

[추가 오류 신고]
한솔과년도 25페이지    1000분의1    5000분의1
[해설작성자 : -]

[오류신고 반론]
계획도에 쓰이는 지형도의 축척은 1000분의1 5000분의 1이 맞으나
문제에서 나오는 지형도면 작성 시 축척은 500분의 1 1500분의 1이 맞습니다
- 한솔 2021 법규 P.493
[해설작성자 : 인씨가문]

[관리자 입니다.
다른 문제집 확인 가능한분 계시면 확인 부탁 드립니다.
신고시 출판사명까지 기제 부탁 드립니다.]

[추가 오류 신고]
책: 2025 시대에듀 건축기사 필기 Project
페이지: 326

도시.군관리계획_계획도
-축척 1천분의 1 또는 축척 5천분의 1의 지형도에 명시한 도면으로 작성한다.
-해당 지형도가 없는 경우 축척 2만5천분의 1의 지형도에 명시한 도면으로 작성한다.
[해설작성자 : 비뽀]

94. 다음 중 건축에 속하지 않는 것은?
     1. 대수선
     2. 이전
     3. 증축
     4. 개축

     정답 : []
     정답률 : 62%
     <문제 해설>
건축의 범위는 신축, 증축, 개축, 재축, 이전, 이다.
[해설작성자 : kkang]

95. 노상주차장의 구조ㆍ설비기준 내용으로 옳지 않은 것은?
     1. 주간선도로에 원칙상 설치하여서는 아니된다.
     2. 너비 6m 미만의 도로에 원칙상 설치하여서는 아니된다.
     3. 종단경사도가 3%를 초과하는 도로에 원칙상 설치하여서는 아니된다.
     4. 주차대수 규모가 20대 이상인 경우에는 장애인전용주차구획을 1면 이상 설치하여야 한다.

     정답 : []
     정답률 : 49%
     <문제 해설>
종단경사도(자동차 진행방향의 기울기를 말한다. 이하 같다)가 4퍼센트를 초과하는 도로에 설치하여서는 아니 된다. 다만, 다음 각 목의 경우에는 그러하지 아니하다.

3프로가 아니라 4프로입니다.
[해설작성자 : 정지좀풀어주세요]

96. 다음 그림과 같은 대지에 건축물을 건축하고자 한다. 층수는 지하는 1층(200m2), 지상은 5층으로 하고자 할 경우 최대한 건축할 수 있는 연면적은? (단, 건폐율은 50%, 용적률은 200% 이다.)

    

     1. 1196m2
     2. 1200m2
     3. 1396m2
     4. 1695m2

     정답 : []
     정답률 : 39%
     <문제 해설>
1. 건축면적: 30×20= 600
2. 용적률: 200% → 2
2. 공제면적: 1/2 ×2×2= 2    (6m도로는 표에서 보면 가로 세로 양쪽이 "6>D>4"로 판정됨 그래서 2m)
3. 연면적: (건축면적-공제면적)×용적률)+지하층면적
                    (600-2)×2+200= 1396
(걸러지는 식은 건페율)


아래와 같은 오류 신고가 있었습니다.
여러분들의 많은 의견 부탁 드립니다.
추후 여러분들의 의견을 반영하여 정답을 수정하도록 하겠습니다.
참고로 정답 변경은 오류 신고 5회 이상일 경우 수정합니다.

[오류 신고 내용]
용적률 산정시 지하층 면적 제외
답 1번
[해설작성자 : ㅇㅇ]

97. 건축물의 연면적 중 주차장으로 사용되는 부분의 비율이 70퍼센트인 경우 주차전용건축물로 볼 수 없는 것은?
     1. 주차장 외의 용도로 사용되는 부분이 종교시설인 경우
     2. 주차장 외의 용도로 사용되는 부분이 의료시설인 경우
     3. 주차장 외의 용도로 사용되는 부분이 운동시설인 경우
     4. 주차장 외의 용도로 사용되는 부분이 업무시설인 경우

     정답 : []
     정답률 : 56%
     <문제 해설>
70% - 단독주택, 공동주택, 제1종, 제2종근린생활시설, 문화 및 집회시설, 종교시설, 판매시설, 운수시설, 운동시설, 업무시설, 창고시설, 자동차관련시설
그외 95%이상

주로 70% 아닌 오답으로 숙박시설, 의료시설 보기가 자주나옴
[해설작성자 : 롱롱이]

98. 공개 공지 또는 공개 공간의 확보 대상 지역에 속하지 않는 것은?
     1. 상업지역
     2. 준공업지역
     3. 일반주거지역
     4. 전용주거지역

     정답 : []
     정답률 : 59%

99. 건축물관련 건축기준의 허용오차가 옳지 않은 것은?
     1. 출구 너비 : 2% 이내
     2. 바닥판 두께 : 3% 이내
     3. 건축물 높이 : 3% 이내
     4. 벽체 두께 : 3% 이내

     정답 : []
     정답률 : 51%
     <문제 해설>
건축물 높이 : 2% 이내(1m를 초과할 수 없다)
[해설작성자 : comcbt.com 이용자]

100. 주차장의 주차단위구획의 최소 면적은? (단, 평행주차형식 외의 경우이며, 일반형)
     1. 10m2
     2. 11.5m2
     3. 12m2
     4. 12.5m2

     정답 : []
     정답률 : 43%
     <문제 해설>
문제에서 평행주차식,일반형 이라고 기재
평행주차 일반형=2.0*6.0 입니다.
경형=1.7*4.5
보도와 차도의 구분이 없는 주거지역의 도로=2.0*5.0
이륜자동차=1.0*2.3입니다.
그리고 평행주차 이외=2.5*5 입니다.(일반형)
[해설작성자 : 주차장극혐]

[[2018년 03월 21일 개정된 규정]
평행주차형식 외의 경우(너비, 길이)
경형 : 2.0 이상 3.6 이상
일반형 : 2.5 이상, 5.0 이상
확장형 : 2.6 이상, 5.2 이상
장애인용 : 3.3 이상, 5.0 이상
이륜자동차전용 : 1.0 이상, 2.3 이상

평행주차의 경우(너비,길이)
경형 : 1.7 이상, 4.5 이상
일반형 : 2.0 이상, 6.0 이상
보도와 차도의 구분이 없는 주거지역의 도로 : 2.0 이상, 5.0 이상
이륜자동차전용 : 1.0 이상 2.3 이상


정 답 지

1

2

3

4

5

6

7

8

9

10

11

12

13

14

15

16

17

18

19

20

21

22

23

24

25

26

27

28

29

30

31

32

33

34

35

36

37

38

39

40

41

42

43

44

45

46

47

48

49

50

51

52

53

54

55

56

57

58

59

60

61

62

63

64

65

66

67

68

69

70

71

72

73

74

75

76

77

78

79

80

81

82

83

84

85

86

87

88

89

90

91

92

93

94

95

96

97

98

99

100

건축기사 필기 기출문제(해설) 및 CBT 2010년03월07일을 이용해 주셔서 감사합니다.
, 필기, 기출문제, 전자문제집, CBT, 온라인, 모의테스트, 모의고사



List of Articles
번호 제목 글쓴이 날짜 조회 수
7426 건축기사 필기 기출문제(해설) 및 CBT 2008년03월02일(7141) 좋은아빠되기 2025.11.25 0
7425 건축기사 필기 기출문제(해설) 및 CBT 2008년05월11일(7142) 좋은아빠되기 2025.11.25 0
7424 건축기사 필기 기출문제(해설) 및 CBT 2008년09월07일(7143) 좋은아빠되기 2025.11.25 0
7423 건축기사 필기 기출문제(해설) 및 CBT 2009년03월01일(7144) 좋은아빠되기 2025.11.25 0
7422 건축기사 필기 기출문제(해설) 및 CBT 2009년05월10일(7145) 좋은아빠되기 2025.11.25 0
7421 건축기사 필기 기출문제(해설) 및 CBT 2009년08월30일(7146) 좋은아빠되기 2025.11.25 0
» 건축기사 필기 기출문제(해설) 및 CBT 2010년03월07일(7147) 좋은아빠되기 2025.11.25 0
7419 건축기사 필기 기출문제(해설) 및 CBT 2010년05월09일(7148) 좋은아빠되기 2025.11.25 0
7418 건축기사 필기 기출문제(해설) 및 CBT 2010년09월05일(7149) 좋은아빠되기 2025.11.25 1
7417 건축기사 필기 기출문제(해설) 및 CBT 2011년03월20일(7150) 좋은아빠되기 2025.11.25 1
7416 건축기사 필기 기출문제(해설) 및 CBT 2011년06월12일(7151) 좋은아빠되기 2025.11.25 1
7415 건축기사 필기 기출문제(해설) 및 CBT 2011년10월02일(7152) 좋은아빠되기 2025.11.25 1
7414 건축기사 필기 기출문제(해설) 및 CBT 2012년03월04일(7153) 좋은아빠되기 2025.11.25 1
7413 건축기사 필기 기출문제(해설) 및 CBT 2012년05월20일(7154) 좋은아빠되기 2025.11.25 1
7412 건축기사 필기 기출문제(해설) 및 CBT 2012년09월15일(7155) 좋은아빠되기 2025.11.25 1
7411 건축기사 필기 기출문제(해설) 및 CBT 2013년03월10일(7156) 좋은아빠되기 2025.11.25 1
7410 건축기사 필기 기출문제(해설) 및 CBT 2013년06월02일(7157) 좋은아빠되기 2025.11.25 1
7409 건축기사 필기 기출문제(해설) 및 CBT 2013년09월28일(7158) 좋은아빠되기 2025.11.25 1
7408 건축기사 필기 기출문제(해설) 및 CBT 2014년03월02일(7159) 좋은아빠되기 2025.11.25 1
7407 건축기사 필기 기출문제(해설) 및 CBT 2014년05월25일(7160) 좋은아빠되기 2025.11.25 1
Board Pagination Prev 1 ... 708 709 710 711 712 713 714 715 716 717 ... 1084 Next
/ 1084