자격증 필기 기출문제



전기공사기사 필기 기출문제(해설) 및 CBT 2004년09월05일(7254)

최강 자격증 기출문제 전자문제집 CBT : www.comcbt.com


전자문제집 CBT란?

종이 문제집이 아닌 인터넷으로 문제를 풀고 자동으로 채점하며 모의고사, 오답 노트, 해설까지 제공하는
무료 기출문제 학습 프로그램으로 실제 상설검정에서 사용하는 OMR 형식의 CBT를 제공합니다.


최신 전기공사기사 필기 기출문제 : [다운로드]

1과목 : 전기응용 및 공사재료


1. 금속관 1본의 표준길이 [m]는?
     1. 6
     2. 5.5
     3. 4
     4. 3.6

     정답 : []
     정답률 : 72%
     <문제 해설>
금속관 기본 이해(금속전선관)
    1) 호칭
        ①박강 :    외경에 가까운 홀수
        ②후강 :    내경에 가까운 짝수
    2) 1본의 길이 : 3.66m
[해설작성자 : dusty]

2. 청색 형광 램프의 형광체는 무엇인가?
     1. 규산 카드뮴
     2. 붕산 카드
     3. 규산 아연
     4. 텅스텐산 칼슘

     정답 : []
     정답률 : 60%
     <문제 해설>
①텅스텐산칼슘 : 청색
②텅스텐산마그네슘 : 청백색
③규산아연 : 녹색(고효율)
④규산카드뮴 : 등색
⑤붕산카드뮴 : 핑크색(정육점진열장)

따라서, 청색은 텅스텐산칼슘입니다. 정답은 4번입니다.
[해설작성자 : AAA]

3. 2중 코일 필라멘트 사용시 그 효과는?
     1. 효율을 좋게 한다.
     2. 광색을 개선한다.
     3. 휘도를 줄인다.
     4. 배색을 개선한다.

     정답 : []
     정답률 : 80%

4. 전기 철도용 변전소의 간격을 짧게 하는 이유는?
     1. 효율이 좋다.
     2. 절연저항을 적게한다.
     3. 전식이 적다.
     4. 건설비가 적다.

     정답 : []
     정답률 : 75%

5. 가요 전선관 공사에 의한 저압옥내 배선에서 틀린 것은?
     1. 전선은 절연전선 일 것
     2. 1종 금속제 가요 전선관의 두께는 0.5mm 이상일 것
     3. 내면은 전선의 피복을 손상하지 아니하도록 매끈한 것일 것
     4. 가요 전선관 안에는 전선에 접속점이 없도록 할 것

     정답 : []
     정답률 : 79%
     <문제 해설>
1종 금속제 가요전선관은 두께 0.8[mm]이상인 것일것.
[해설작성자 : 전기공사기사 준비중]

6. 백열전구의 전광속이 1200[lm]이다, 입체각 600[sr]으로 복사되고 있을 때 광도[cd]는 얼마인가?
     1. 1
     2. 2
     3. 3
     4. 4

     정답 : []
     정답률 : 88%
     <문제 해설>
I = F/w(입체각)
I = 1200/600
[해설작성자 : 비한]

7. 간접식 저항로에 속하지 않는 것은 어느 것인가?
     1. 흑연화로
     2. 발열체로
     3. 탄소립로(크리프롤로)
     4. 염욕로

     정답 : []
     정답률 : 68%
     <문제 해설>
직접 저항 가열 방식 -흑연화로, 카보런덤로, 카바이드로
간접 저항 가열 방식- 크립프롤로, 발열체로, 염욕로
[해설작성자 : 공상깅상]

8. 케이블 또는 콘덴서용 절연유는 다음과 같은 성질을 가져야 한다. 틀린 것은?
     1. 함침시키는 온도에서 점도가 클 것
     2. 유전손이 적을 것
     3. 열전도율이 작을 것
     4. 팽창 계수가 작을 것

     정답 : []
     정답률 : 78%
     <문제 해설>
점도가 작아야됨
[해설작성자 : comcbt.com 이용자]

9. 앵글베이스(또는 U좌금)의 용도는?
     1. 옥외변대에 설치되는 변압기를 고정시키기 위한 부속 자재이다.
     2. 앵글을 절단 또는 가공할 때 필요한 앵글 가공용 공구이다.
     3. 완금 또는 앵글류의 지지물에 COS 또는 핀애자를 고정시키는 부속 자재이다.
     4. 큐비클에 부착되는 각종 계기를 고정시키는데 사용되는 아연도금 된 앵글이다.

     정답 : []
     정답률 : 67%

10. 접지극의 재료에서 접지 전극의 재료가 아닌 것은?
     1. Al봉
     2. 동봉
     3. 동판
     4. 철관

     정답 : []
     정답률 : 78%
     <문제 해설>
접지전극의 재료는 동판, 동봉, 철관, 철봉, 매설지선 
[해설작성자 : ㅁㅁ]

Al 은 도전율이 구리의 60퍼에 불과한데, 접지극으로 쓰면 안되겠져..
[해설작성자 : 대충하자]

11. 조명기구나 소형전기기구에 전력을 공급하는 것으로 상점이나 백화점, 전시장 등에서 조명기구의 위치를 바꾸기가 빈번한 곳에 사용되는 것은?
     1. 라이팅덕트
     2. 스포트라이트
     3. 다운라이트
     4. 코퍼라이트

     정답 : []
     정답률 : 80%

12. 천정면을 여러 형태로 오려내고 다양한 형태의 매입기구를 취부하며, 높은 천정의 은행 영업실, 대형홀, 백화점 1층 등에 쓰이는 조명은?
     1. 밸런스 조명
     2. 코브 조명
     3. 루버 조명
     4. 코퍼 조명

     정답 : []
     정답률 : 67%
     <문제 해설>
코퍼조명 : 천정에 삼각 사각등으로 구멍을 뚫는다 거기에 매입해서 등을 설치한다
[해설작성자 : 전기땃다공사가자]

13. 100[ℓ], 15[℃]의 물을 2시간에 45[綽]의 온도로 올리는 데 필요한 전열기의 용량은 약 몇 [kW]인가? (단, 열효율은 90[%]라 한다.)
     1. 2.0
     2. 2.5
     3. 3.0
     4. 3.5

     정답 : []
     정답률 : 70%
     <문제 해설>
P=mcT'/860tn=100*1*(45-15)/860*2*0.9=1.94
[해설작성자 : SH]

14. 예비전원으로 시설하는 축전지에서 부하에 이르는 전로에 는 무엇을 시설 하여야 하는가?
     1. PT
     2. 개폐기 및 과전류차단기
     3. CT
     4. MOF

     정답 : []
     정답률 : 87%
     <문제 해설>
예비축전지와 연결 시 : 개폐기, 과전류차단기
예비발전기와 연결 시 : 개폐기, 과전류차단기, 전류계, 전압계 시설
[해설작성자 : 은둔자]

15. 데드 브레이크식 케이블 접속재 연결부품에서 케이블을 개폐기와 연결하는 몸체는?
     1. 엘보 커넥터
     2. 절연플러그
     3. 부싱 익스텐더
     4. 접속플러그

     정답 : []
     정답률 : 55%

16. 기체 또는 액체 속에 고체의 입자가 분산되어 있을 경우이에 전압을 가하면 입자가 이동한다 이 현상을 무엇이라 하는가?
     1. 전해 연마
     2. 전기 영동
     3. 용융염 전해
     4. 전기 도금

     정답 : []
     정답률 : 81%
     <문제 해설>
전기영동(電氣泳動, electrophoresis) 혹은 전기이동은 전극 사이의 전기장 하에서 용액 속의 전하가 반대 전하의 전극을 향하여 이동하는 화학현상이다. - 출처 : Wikipedia
[해설작성자 : ㅇㅅㅇ]

17. 고압 차단기에 사용되는 것이 아닌 것은?
     1. OCB
     2. ABB
     3. VCB
     4. DS

     정답 : []
     정답률 : 84%
     <문제 해설>
DS : 단로기

18. 폭 20[m]의 도로 중앙에 6[m]의 높이로 간격 24[m] 마다 400[W]의 수은전구를 가설할때 조명율 0.25, 감광보상율을 1.3 이라 하면 도로면의 평균 조도[lx]는 얼마인가? (단, 400[W] 수은 전구의 전광속은 23000[lm]이다.)
     1. 약 18.4
     2. 약 9.2
     3. 약 4.6
     4. 약 46

     정답 : []
     정답률 : 64%
     <문제 해설>
E = 23000×0.25×1 / 20×24×1.3 = 9.21
[해설작성자 : 다람쥐]

한쪽(편측)배열, 중앙배열은 FUN = EAD
지그재그, 양쪽배열은 FUN = EAD에 A에 해당하는 면적에 1/2를 해야합니다.
[해설작성자 : 전기기사]

19. 50[ton]의 전차가 20[Ω]의 경사를 올라가는데 필요한 견인력은 몇 [kg]인가? (단, 저항은 무시한다.)
     1. 100
     2. 150
     3. 1000
     4. 1500

     정답 : []
     정답률 : 76%
     <문제 해설>
50    * 10^3 * (20/1000) = 1000 kg
[해설작성자 : 올해취뽀가즈아]

20. IV 전선 600V 2종 비닐 절연전선은 제외)의 절연물의 최고 허용온도는?
     1. 60℃
     2. 80℃
     3. 90℃
     4. 180℃

     정답 : []
     정답률 : 58%
     <문제 해설>
IV : 60℃
HIV(600V 2종 비닐 절연전선) : 75℃
[해설작성자 : 뭐하쇼]

2과목 : 전력공학


21. 선로의 3상 단락전류는 대개 다음과 같은 식으로 구한다. 여기에서 IN 은 무엇인가?

    

     1. 그 선로의 평균전류
     2. 그 선로의 최대전류
     3. 전원 변압기의 선로측 정격전류(단락측)
     4. 전원 변압기의 전원측 정격전류

     정답 : []
     정답률 : 15%

22. 수력발전소의 댐을 설계하거나 저수지의 용량 등을 결정 하는데 가장 적당한 것은?
     1. 유량도
     2. 적산유량곡선
     3. 유황곡선
     4. 수위유량곡선

     정답 : []
     정답률 : 14%

23. 영상변류기를 사용하는 계전기는?
     1. 과전류계전기
     2. 저전압계전기
     3. 지락과전류계전기
     4. 과전압계전기

     정답 : []
     정답률 : 17%

24. 18kV, 500MVA를 정격으로 하는 발전기가 0.25 PU(perunit)의 리액턴스를 가지고 있다. 20kV, 100MVA의 새로운기준(base)에서의 리액턴스 값은 얼마인가?
     1. 0.25 PU
     2. 0.405 PU
     3. 0.0405 PU
     4. 0.025 PU

     정답 : []
     정답률 : 9%

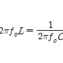
25. 1상의 대지정전용량 C[F], 주파수 f[㎐]인 3상 송전선의 소호리액터 공진탭의 리액턴스는 몇 Ω 인가? (단, 소호리액터를 접속시키는 변압기의 리액턴스는Xt[Ω]이다.)
     1.
     2.
     3.
     4.

     정답 : []
     정답률 : 10%

26. 피뢰기의 충격방전 개시전압은 무엇으로 표시하는가?
     1. 직류전압의 크기
     2. 충격파의 평균치
     3. 충격파의 최대치
     4. 충격파의 실효치

     정답 : []
     정답률 : 18%

27. 거리계전기의 "기억작용" 이란?
     1. 고장 후에도 건전 전압을 잠시 유지하는 작용
     2. 고장 위치를 기억하는 작용
     3. 거리와 시간을 판별하는 작용
     4. 전압, 전류의 고장 전 값을 기억하는 작용

     정답 : []
     정답률 : 9%

28. 중성점 직접접지방식에서 1선지락전류를 나타내는 식은? (단, Z1, Z2, Z0 는 정상, 역상, 영상임피던스이며, E a는 지락상의 무부하 기전력이다.)
     1.
     2.
     3.
     4.

     정답 : []
     정답률 : 17%

29. 일반회로정수가 A , B , C , D 인 선로에 임피던스가 인 변압기가 수전단에 접속된 계통의 일반회로정수 D0는?
     1.
     2.
     3.
     4.

     정답 : []
     정답률 : 16%

30. 유도장해를 방지하기 위한 전력선측의 대책으로 옳지 않은 것은?
     1. 소호리액터를 채용한다.
     2. 차폐선을 설치한다.
     3. 중성점 전압을 가능한 높게 한다.
     4. 중성점 접지에 고저항을 넣어서 지락전류를 줄인다.

     정답 : []
     정답률 : 12%

31. 다음 중 지락사고시의 건전상의 전압 상승이 가장 작은 접지방식은?
     1. 소호리액터 접지식
     2. 고저항 접지식
     3. . 비접지식
     4. 직접접지식

     정답 : []
     정답률 : 9%

32. 차단기의 고속도재폐로의 목적은?
     1. 고장의 신속한 제거
     2. 안정도 향상
     3. 기기의 보호
     4. 고장전류 억제

     정답 : []
     정답률 : 17%

33. 선로정수에 영향을 가장 많이 주는 것은?
     1. 전선의 배치
     2. 송전전압
     3. 송전전류
     4. 역률

     정답 : []
     정답률 : 8%

34. 경간 200m의 지지점이 수평인 가공전선로가 있다. 전선 1m의 하중은 2kg, 전선의 인장하중은 4000kg, 안전률을 2.5로 하면 이도는 몇 m 인가? (단, 풍압하중은 없는 것으로 한다.)
     1. 4.5
     2. 5.5
     3. 6.25
     4. 8.25

     정답 : []
     정답률 : 15%

35. 하루에 8600kcal/kg의 석탄을 100ton 사용하여, 최대출력50000kW, 일부하율 50%로 운전하는 화력 발전소의 효율은 몇 % 인가?
     1. 30
     2. 40
     3. 50
     4. 60

     정답 : []
     정답률 : 3%

36. 접지봉을 사용하여 희망하는 접지저항까지 줄일 수 없을 때 사용하는 선은?
     1. 차폐선
     2. 가공지선
     3. 크로스본드선
     4. 매설지선

     정답 : []
     정답률 : 10%

37. 100V의 수용가를 220V로 승압했을 때 특별히 교체하지 않아도 되는 것은?
     1. 백열전등의 전구
     2. 옥내배선의 전선
     3. 콘센트와 플러그
     4. 형광등의 안정기

     정답 : []
     정답률 : 8%

38. 부하전력 및 역률이 같을 때 전압을 N 배 승압하면 전압 강하율과 전력손실은 어떻게 되는가?
     1. 전압강하율 : 1/n, 전력손실 :1/n2
     2. 전압강하율 : 1/n2, 전력손실 : 1/n
     3. 전압강하율 : 1/n, 전력손실 : 1/n
     4. 전압강하율 : 1/n2, 전력손실 : 1/n2

     정답 : []
     정답률 : 11%

39. 공통 중성선 다중접지방식의 배전선로에 있어서 Recloser[R], Sectionalizer[S], Line fuse[F]의 보호협조에서 보호협조가 가장 적합한 배열은? (단, 왼쪽은 후비보호 역할이다.)
     1. S-F-R
     2. S-R
     3. F-S-R
     4. R-S-F

     정답 : []
     정답률 : 20%

40. 150kVA 단상변압기 3대를 △-△결선으로 사용하다가 한대의 고장으로 V-V결선하여 사용하면 약 몇 kVA 부하까지 걸 수 있겠는가?
     1. 200
     2. 220
     3. 240
     4. 260

     정답 : []
     정답률 : 15%
     <문제 해설>
150 x 루트3 = 259.80 --> 260
[해설작성자 : 합격 간절함]

3과목 : 전기기기


41. 유도 전압 조정기와 관련이 없는 것은? (단, 유도 전압 조정기는 단상, 3상 모두를 말한다.)
     1. 위상의 연속 변화
     2. 분로권선
     3. 유도전압은 Vs=VsmSinθ
     4. 직렬권선

     정답 : []
     정답률 : 7%

42. B종 절연물의 최고 허용온도는 몇 [℃]인가?
     1. 90
     2. 105
     3. 120
     4. 130

     정답 : []
     정답률 : 13%

43. 3상 동기발전기의 여자전류 10[A]에 대한 단자전압이 1000√3 [V], 3상 단락전류 50[A]이다. 이때의 동기임피던스 [Ω]는?
     1. 20
     2. 15
     3. 10
     4. 5

     정답 : []
     정답률 : 12%

44. 3상 유도전동기의 기동법으로 사용되지 않는 것은?
     1. Y-△기동법
     2. 기동보상기법
     3. 2차저항에 의한 기동법
     4. 1차저항에 의한 기동법

     정답 : []
     정답률 : 8%

45. 동기각속도 ω0, 회전자 각속도 ω 인 유도전동기의 2차 효율은?
     1.
     2.
     3.
     4.

     정답 : []
     정답률 : 11%

46. 직류기의 다중 중권 권선법에서 전기자 병렬 회로수 a와 극수p 사이에는 어떤 관계가 있는가? (단, 다중도는 m 이다.)
     1. a=2
     2. a=2m
     3. a=p
     4. a=mp

     정답 : []
     정답률 : 12%

47. 2방향성 3단자 다이리스터는 어느 것인가?
     1. SCR
     2. SSS
     3. SCS
     4. TRIAC

     정답 : []
     정답률 : 16%

48. 직류 직권전동기의 회전수를 반으로 줄이면 토크는 약 몇 배인가?
     1. 1/4
     2. 1/2
     3. 4
     4. 2

     정답 : []
     정답률 : 8%

49. 단상 유도전동기의 기동 방법 중 기동 토크가 가장 큰 것은?
     1. 분상 기동형
     2. 반발 기동형
     3. 반발 유도형
     4. 콘덴서 기동형

     정답 : []
     정답률 : 17%

50. 3상유도전동기에서 고조파 회전자계가 기본파 회전방향과 역방향인 고조파는?
     1. 제 3고조파
     2. 제 5고조파
     3. 제 7조파
     4. 제 13고조파

     정답 : []
     정답률 : 15%

51. 3300[V], 60[Hz]용 변압기의 와류손이 360[W]이다. 이 변압기를 2750[V], 50[Hz]에서 사용할 때 이 변압기의 와류 손은 어떻게 되는가?
     1. 약 360 [W]
     2. 약 330 [W]
     3. 약 250 [W]
     4. 약 210 [W]

     정답 : []
     정답률 : 15%
     <문제 해설>
와류손 = (2750/3300)^2 * 360 = 250[W]
[해설작성자 : 따고싶다 or 어디든 빌런]

52. 변압기의 임피던스 전압이란?
     1. 정격전류시 2차측 단자전압
     2. 변압기의 1차를 단락, 1차에 1차 정격전류와 같은 전류를 흐르게 하는데 필요한 1차전압
     3. 변압기 누설임피던스와 정격전류와의 곱인 내부전압 강하이다.
     4. 변압기의 2차를 단락, 2차에 2차 정격전류와 같은 전류를 흐르게 하는데 필요한 2차전압

     정답 : []
     정답률 : 6%

53. 도체수 Z, 내부회로대수 a 인 교류 정류자 전동기의 1 내부 회로의 유효권수 We 는? (단, 분포권 계수는 2/π 이다.)
     1.
     2.
     3.
     4.

     정답 : []
     정답률 : 7%

54. 동기 전동기에 관한 설명 중 옳지 않은 것은?
     1. 기동 토크가 작다.
     2. 유도 전동기에 비해 효율이 양호하다.
     3. 여자기가 필요하다.
     4. 역률을 조정할 수 없으며, 속도는 불변이다.

     정답 : []
     정답률 : 20%

55. 급, 배수 펌프 등의 수조 수위를 자동 운전시키는 경우에 적절한 동력용 제어기기는?
     1. 레벨 스위치
     2. 리밋 스위치
     3. 마이크로 스위치
     4. 트리거 스위치

     정답 : []
     정답률 : 13%

56. 변압기의 와전류손은 Pee (tfkfBm)2[w/㎏]으로 표시 된다. 여기서 σe 는 재료에 의한 상수, t 는 철판의 두께[m], f는 주파수 [㎐]이다. 그러면 Kf는 무엇을 가리키는가?
     1. 파고율
     2. 왜형율
     3. 저항율
     4. 파형율

     정답 : []
     정답률 : 5%

57. 그림과 같은 정류회로에서 전류계의 지시값은? (단, 전류계는 가동코일형이고 정류기 저항은 무시한다.)

    

     1. 1.8[mA]
     2. 4.5[mA]
     3. 6.4[mA]
     4. 9.0[mA]

     정답 : []
     정답률 : 9%

58. 동기기의 제동 권선의 효용은?
     1. 전압 조정
     2. 역률 개선
     3. 출력 증가
     4. 난조 방지

     정답 : []
     정답률 : 18%

59. 정격전압 400[V], 정격출력 40[kW]의 직류 분권 발전기의 전기자 저항 0.15[Ω ], 분권계자 저항 100[Ω ]이다. 이발전기의 전압 변동률은 몇 [%]인가?
     1. 4.7
     2. 3.9
     3. 5.2
     4. 3.0

     정답 : []
     정답률 : 7%
     <문제 해설>
Ia[A] = I + If = ( P / V ) + ( V / Rf ) ▶ ( 40 * 10^3 / 400 ) + ( 400 / 100 ) = 104[A]
전압 변동률)ε[%] = ( Ia * Ra / Vn ) *100 ▶ ( 104 * 0.15 / 400 ) * 100 = 3.9[%]    
[해설작성자 : 따고싶다 or 어디든 빌런]

60. 3상 유도 전동기의 회전방향은 이 전동기에서 발생되는 회전 자계의 회전 방향과 어떤 관계가 있는가?
     1. 아무 관계도 없다.
     2. 회전 자계의 회전 방향으로 회전한다.
     3. 회전 자계의 반대 방향으로 회전한다.
     4. 부하 조건에 따라 정해진다.

     정답 : []
     정답률 : 10%

4과목 : 회로이론 및 제어공학


61. 그림과 같은 제어계가 안정하기 위한 K의 범위는?

    

     1. K<-2
     2. K>6
     3. 0<K<6
     4. K>6, K>0

     정답 : []
     정답률 : 13%

62. 회로에서 7[Ω]의 저항 양단의 전압은 몇 [V]인가?

    

     1. 7
     2. -7
     3. 4
     4. -4

     정답 : []
     정답률 : 13%

63. 4단자망의 파라미터 정수에 관한 서술 중 잘못된 것은?
     1. ABCD 파라미터 중 A 및 D 는 차원(dimension)이 없다.
     2. h 파라미터 중 h12및 h21은 차원이 없다.
     3. ABCD 파라미터 중 B는 어드미턴스, C는 임피던스의 차원을 갖는다.
     4. h 파라미터 중 h11은 임피던스, h22는 어드미턴스의 차원을 갖는다.

     정답 : []
     정답률 : 17%

64. 그림의 회로에서 합성 인덕턴스는?

    

     1.
     2.
     3.
     4.

     정답 : []
     정답률 : 9%

65. 제어량에서 추종제어에 속하지 않는 것은?
     1. 유량
     2. 위치
     3. 방위
     4. 자세

     정답 : []
     정답률 : 14%

66. 그림과 같은 논리회로에서 출력 F의 값은?

    

     1. A
     2.
     3.
     4. (A+B)C

     정답 : []
     정답률 : 19%

67. 분포전송 선로의 특성 임피던스가 50[Ω]이고 부하저항이 150[Ω]이면 전압반사 계수는?
     1. 2
     2. 1.5
     3. 1
     4. 0.5

     정답 : []
     정답률 : 10%

68. G(jω ) = j0.1ω 에서 ω = 0.01[rad/sec] 일 때, 계의 이득[dB]은 얼마인가?
     1. -100
     2. -80
     3. -60
     4. -40

     정답 : []
     정답률 : 9%

69. 보오드 선도에서 이득 여유는 어떻게 구하는가?
     1. 크기 선도에서 0-20[dB]사이에 있는 크기 선도의 길이이다.
     2. 위상 선도가 0° 축과 교차되는 점에 대응되는 [dB] 값의 크기이다.
     3. 위상 선도가 -180° 축과 교차되는 점에 대응되는 이득의 크기 [dB]값이다.
     4. 크기 선도에서 -20∼20[dB]사이에 있는 크기[dB] 값이다.

     정답 : []
     정답률 : 19%

70. 세 변의 저항 Ra=Rb=Rc=15[Ω ]인 Y결선 회로가 있다. 이것과 등가인 △결선 회로의 각변의 저항[Ω ]은?
     1. 135
     2. 45
     3. 15
     4. 5

     정답 : []
     정답률 : 11%

71. 대칭 좌표법에 관한 설명 중 잘못된 것은?
     1. 불평형 3상 회로의 접지식 회로에서는 영상분이 존재 한다.
     2. 대칭 3상 전압은 정상분만 존재 한다.
     3. 불평형 3상 회로 비접지식 회로에서는 영상분이 존재 한다.
     4. 대칭 3상 전압에서 영상분은 0 이 된다.

     정답 : []
     정답률 : 11%

72. 루우프 전달함수 G(S)H(S)가 다음과 같이 주어지는 계가있다. 이 계가 안정되기 위한 K의 범위

    

     1. -1 < k
     2. k < 16.87
     3. 1 < k < 16.87
     4. -1 < k < 16.87

     정답 : []
     정답률 : 4%

73. 궤환 제어계에서 제어 요소에 관한 설명 중 가장 알맞는 것은?
     1. 검출부와 조작부로 구성되어 있다.
     2. 오차 신호를 제어장치에서 제어 대상에 가해지는 신호로 변환시키는 요소이다.
     3. 목표 값에 비례하는 신호를 발생시키는 요소이다.
     4. 입력과 출력을 비교하는 요소이다.

     정답 : []
     정답률 : 10%

74. 삼각파의 최대값이 220 2 [V] 일 때 이 파의 실효값의 크기[V]는?
     1. 220
     2. 203.67
     3. 179.63
     4. 168.72

     정답 : []
     정답률 : 12%

75. 신호 x(t)가 다음과 같을 때의 Z-변환함수는? (단, 신호 x(t)는 이며 이상(理想)샘플러의 샘플주기는 T[초]이다.)
     1. (1-eaT)Z/(Z-1)(Z-e-aT)
     2. Z/(Z-1)
     3. Z/(Z-e-aT)
     4. TZ/(Z-1)2

     정답 : []
     정답률 : 15%

76. 블록 다이어 그램에서θ(s)/R(s)의 전달함수는?

    

     1. 1/(1+GH)
     2. 1/(1-GH)
     3. G/(1+GH)
     4. G/(1-GH)

     정답 : []
     정답률 : 12%

77. 상태방정식에서 일 때 특성 방정식의 근은?
     1. -2,-3
     2. -1,-2
     3. -1,-3
     4. 1,-3

     정답 : []
     정답률 : 14%

78. 그림의 정전용량 C[F]를 충전한 후 스위치 S를 닫어 이것을 방전하는 경우의 과도 전류는? (단, 회로에는 저항이 없다.)

    

     1. 불변의 진동전류
     2. 감쇠하는 전류
     3. 감쇠하는 진동전류
     4. 일정치까지 증가하여 그후 감쇄하는 전류

     정답 : []
     정답률 : 10%

79. 단위 계단 함수 U(t)의 라플라스 변환은?
     1. e-TS
     2.
     3.
     4.

     정답 : []
     정답률 : 11%

80. 각 상의 임피던스가 [Ω]인 평형 3상 Y부하에 정현파 상전류 10[A]가 흐를 때 이 부하의 선간전압의 크기는 약 얼마인가?
     1. 200[V]
     2. 600[V]
     3. 220[V]
     4. 346[V]

     정답 : []
     정답률 : 13%

81. 고압 가공전선과 건조물의 상부조영재와의 옆쪽 이격거리는 일반적인 경우 몇 m 이상이어야 하는가?
     1. 1.0
     2. 1.2
     3. 1.5
     4. 1.8

     정답 : []
     정답률 : 2%
     <문제 해설>
아래와 같은 오류 신고가 있었습니다.
여러분들의 많은 의견 부탁 드립니다.
추후 여러분들의 의견을 반영하여 정답을 수정하도록 하겠습니다.

[오류 신고 내용]
정답은 2번입니다..저,고압 가공전선과 건물의 상부조영재 측방,하방=1.2m
                             특고인=1.5m

82. 고압 지중전선이 지중 약전류전선 등과 접근하여 이격거리가 몇 cm 이하인 때에 양 전선사이에 견고한 내화성의 격벽을 설치하는 경우 이외에는 지중전선을 견고한 불연성 또는 난연성의 관에 넣어 그 관이 지중 약전류전선 등과 직접 접촉되지 않도록 하여야 하는가?
     1. 15
     2. 20
     3. 25
     4. 30

     정답 : []
     정답률 : 9%

83. 애자사용공사에 의한 고압 옥내배선에 사용되는 연동선의 지름은 최소 몇 ㎜ 의 것을 사용하여야 하는가?
     1. 1.6
     2. 2.0
     3. 2.6
     4. 3.2

     정답 : []
     정답률 : 9%
     <문제 해설>
관리자 입니다.
아래와 같은 오류 신고가 있었습니다.
제가 가진 원본에는 이상이 없었습니다.
여러분들의 많은 의견 부탁 드립니다.

[오류신고 내용]

책에 서는
1) 2.5    2)4        3)6        4)10
정답은    3)6
이렇게 되어있습니다 확인 부탁드립니다

풀이~
애자사용 공사로 고압 옥내 배선시 전선은 단면적 6[mm2} 의 연동선일 것 {판단기준 제 209조}
[해설작성자 : 임영일]

84. 출퇴표시등회로에 전기를 공급하기 위한 변압기는 2차측 전로의 사용전압이 몇 V 이하인 절연변압기 이어야 하는가?
     1. 40
     2. 60
     3. 80
     4. 100

     정답 : []
     정답률 : 12%

85. 발전소의 개폐기 또는 차단기에 사용하는 압축공기장치의 주공기 탱크에 설치하는 압력계의 눈금은 어떻게 된 것으로 하여야 하는가?
     1. 사용압력의 1.1배 이상, 2배 이하
     2. 사용압력의 1.25배 이상, 2배 이하
     3. 사용압력의 1.5배 이상, 3배 이하
     4. 사용압력의 2배 이상, 3배 이하

     정답 : []
     정답률 : 10%

86. 전력보안 통신용 전화설비를 하여야 하는 곳의 기준으로 옳은 것은?
     1. 2 이상의 급전소 상호간과 이들을 총합 운용하는 급전소간
     2. 3 이상의 급전소 상호간과 이들을 총합 운용하는 급전소간
     3. 원격감시제어가 되는 발전소
     4. 원격감시제어가 되는 변전소

     정답 : []
     정답률 : 10%

87. 일반적인 접지공사의 방법이 잘못된 것은?
     1. 고압용 기계기구의 외함을 제1종 접지공사
     2. 특별고압 계기용 변성기의 2차측 전로에 제2종 접지공사
     3. 고압에서 저압으로 변성하는 변압기의 저압측 중성점을 제2종 접지공사
     4. 특별고압 전로와 비접지식 저압전로를 결합하는 변압기의 혼촉 방지판을 제2종 접지공사

     정답 : []
     정답률 : 7%

88. 도로에 시설하는 가공 직류전차선의 경간은 몇 m 이하로 하여야 하는가?
     1. 40
     2. 50
     3. 60
     4. 70

     정답 : []
     정답률 : 11%

89. 고압 가공전선에 케이블을 사용하는 경우의 조가용선 및 케이블의 피복에 사용하는 금속체에는 몇 종 접지공사를 하여야 하는가?(관련 규정 개정전 문제로 여기서는 기존 정답인 3번을 누르면 정답 처리됩니다. 자세한 내용은 해설을 참고하세요.)
     1. 제1종 접지공사
     2. 제2종 접지공사
     3. 제3종 접지공사
     4. 특별 제3종 접지공사

     정답 : []
     정답률 : 13%
     <문제 해설>
(2021년 KEC 규정 변경으로 인하여 접지관련 문제는 출제되지 않습니다.)

90. 가공 전선로의 지지물에 취급자가 오르고 내리는데 사용 하는 발판못 등은 원칙적으로 지표상 몇 m 미만에 시설 하여서는 아니 되는가?
     1. 1.2
     2. 1.4
     3. 1.6
     4. 1.8

     정답 : []
     정답률 : 15%

91. 지중 전선로를 직접 매설식에 의하여 시설하는 경우에 차량 기타 중량물의 압력을 받을 우려가 있는 장소에는 매설깊이를 몇 m 이상으로 하여야 하는가?(2021년 변경된 KEC 규정 적용됨)
     1. 0.6
     2. 1.0
     3. 1.2
     4. 1.5

     정답 : []
     정답률 : 13%
     <문제 해설>
[21년 KEC 개정]
직접매설식 : 1.2[m] → 1[m] (중량에 의한 압력우려 없을 시 0.6[m])
※ 직접매설식/관로식/암거식 모두 동일

[2021년 변경된 KEC 규정]
전기설비기술기준의 판단기준
부 칙(제2020-659호, 2020. 12. 3)
제1조(시행일) 이 공고는 공고한 날로부터 시행한다. 다만, 제54조제1항제7호[공고 제2019-195호(2019. 3. 25.) 포함]의 규정은 2021년 9월 1일부터 시행한다.

제5절 지중 전선로
제136조(지중 전선로의 시설)
④ 지중 전선로를 직접 매설식에 의하여 시설하는 경우에는 매설 깊이를 차량 기타 중량물의 압력을 받을 우려가 있는 장소에는 1.0m 이상, 기타 장소에는 0.6m 이상으로 하고 또한 지중 전선을 견고한 트라프 기타 방호물에 넣어 시설하여야 한다. 다만, 다음 각 호의 어느 하나에 해당하는 경우에는 지중전선을 견고한 트라프 기타 방호물에 넣지 아니하여도 된다.

92. 154kV 전선로를 제1종 특별고압 보안공사로 시설할 때 경동연선의 최소 굵기는 몇 mm2 이어야 하는가?
     1. 55
     2. 100
     3. 150
     4. 200

     정답 : []
     정답률 : 14%

93. 전압이 22900V로서 중성선에 다중접지하는 전선로의 절연 내력 시험전압은 최대사용전압의 몇 배인가?
     1. 0.72
     2. 0.92
     3. 1.1
     4. 1.25

     정답 : []
     정답률 : 15%

94. 정격전류가 30A를 넘고 40A 이하인 과전류차단기로 보호되는 저압 옥내전로에 사용되는 콘센트의 기준으로 옳은 것은?
     1. 정격전류가 15A 이상 30A 이하인 것을 사용한다.
     2. 정격전류가 20A 이상 30A 이하인 것을 사용한다.
     3. 정격전류가 20A 이상 40A 이하인 것을 사용한다.
     4. 정격전류가 30A 이상 40A 이하인 것을 사용한다.

     정답 : []
     정답률 : 13%

95. 내부에 고장이 생긴 경우에 자동적으로 전로로부터 차단하는 장치가 반드시 필요한 것은?
     1. 뱅크용량 1000kVA인 변압기
     2. 뱅크용량 1000kVA인 전력용콘덴서
     3. 뱅크용량 10000kVA인 조상기
     4. 뱅크용량 300kVA인 분로리액터

     정답 : []
     정답률 : 10%

96. "제2차 접근상태" 라 함은 가공전선이 다른 시설물과 접근하는 경우에 그 가공전선이 다른 시설물의 위쪽 또는 옆쪽에서 수평거리로 몇 m 미만인 곳에 시설되는 상태를 말하는가?
     1. 3
     2. 4
     3. 5
     4. 6

     정답 : []
     정답률 : 15%

97. 터널 등에 시설하는 사용전압이 220V인 저압의 전구선은 그 단면적이 몇 mm2 이상인가?
     1. 0.5
     2. 0.75
     3. 1.25
     4. 1.4

     정답 : []
     정답률 : 14%

98. 한 수용 장소의 인입구에서 분기하여 지지물을 거치지 않고 다른 수용장소의 인입구에 이르는 부분을 무엇이라 하는가?
     1. 연접인입선
     2. 가공인입선
     3. 옥상 배선
     4. 옥외 배선

     정답 : []
     정답률 : 16%

99. 전선 기타의 가섭선(架涉線) 주위에 두께 6mm, 비중 0.9의 빙설이 부착된 상태에서 을종풍압하중은 수직투영면적1m2 당 몇 ㎏f 로 계산하는가? (단, 다도체를 구성하는 전선이 아니라고 한다.)
     1. 38
     2. 46
     3. 52
     4. 72

     정답 : []
     정답률 : 7%
     <문제 해설>
관리자 입니다.
아래와 같은 오류 신고가 있었습니다.
제가 가진 원본에는 이상이 없었습니다.
여러분들의 많은 의견 부탁 드립니다.

[오류 신고 내용]
첵에는

가)333    나)372     다)520     라)558

답은 나)372

*풀이*

갑종풍합하중 단도체 745        다도체 666            애자장치 1039
단 을종은 갑종의 50[%] 로 적용한다 (판단기준 제 62조)
**    745 * 0.5    = 372.5
[해설작성자 : 임영일]

[오류신고 반론]
위의 해설에서 나온 값의 단위는 [N.M]입니다.
문제에서 kgf로 물어봤으므로 372.5에 9.8을 나누어주면 38이 나옵니다.
[해설작성자 : 한라대 전기]

100. 전개된 건조한 장소에서 400V 이상의 저압 옥내배선을 할 때 특별한 경우를 제외하고는 시행할 수 없는 공사는?
     1. 애자사용공사
     2. 금속덕트 공사
     3. 버스덕트공사
     4. 합성수지몰드공사

     정답 : []
     정답률 : 4%


정 답 지

1

2

3

4

5

6

7

8

9

10

11

12

13

14

15

16

17

18

19

20

21

22

23

24

25

26

27

28

29

30

31

32

33

34

35

36

37

38

39

40

41

42

43

44

45

46

47

48

49

50

51

52

53

54

55

56

57

58

59

60

61

62

63

64

65

66

67

68

69

70

71

72

73

74

75

76

77

78

79

80

81

82

83

84

85

86

87

88

89

90

91

92

93

94

95

96

97

98

99

100

전기공사기사 필기 기출문제(해설) 및 CBT 2004년09월05일을 이용해 주셔서 감사합니다.
, 필기, 기출문제, 전자문제집, CBT, 온라인, 모의테스트, 모의고사



List of Articles
번호 제목 글쓴이 날짜 조회 수
14344 전기공사기사 필기 기출문제(해설) 및 CBT 2009년08월30일(7268) 좋은아빠되기 2025.11.25 0
14343 전기공사기사 필기 기출문제(해설) 및 CBT 2009년05월10일(7267) 좋은아빠되기 2025.11.25 2
14342 전기공사기사 필기 기출문제(해설) 및 CBT 2009년03월01일(7266) 좋은아빠되기 2025.11.25 1
14341 전기공사기사 필기 기출문제(해설) 및 CBT 2008년09월07일(7265) 좋은아빠되기 2025.11.25 0
14340 전기공사기사 필기 기출문제(해설) 및 CBT 2008년05월11일(7264) 좋은아빠되기 2025.11.25 3
14339 전기공사기사 필기 기출문제(해설) 및 CBT 2008년03월02일(7263) 좋은아빠되기 2025.11.25 0
14338 전기공사기사 필기 기출문제(해설) 및 CBT 2007년09월02일(7262) 좋은아빠되기 2025.11.25 2
14337 전기공사기사 필기 기출문제(해설) 및 CBT 2007년05월13일(7261) 좋은아빠되기 2025.11.25 2
14336 전기공사기사 필기 기출문제(해설) 및 CBT 2007년03월04일(7260) 좋은아빠되기 2025.11.25 1
14335 전기공사기사 필기 기출문제(해설) 및 CBT 2006년09월10일(7259) 좋은아빠되기 2025.11.25 0
14334 전기공사기사 필기 기출문제(해설) 및 CBT 2006년05월14일(7258) 좋은아빠되기 2025.11.25 2
14333 전기공사기사 필기 기출문제(해설) 및 CBT 2006년03월05일(7257) 좋은아빠되기 2025.11.25 0
14332 전기공사기사 필기 기출문제(해설) 및 CBT 2005년09월04일(7256) 좋은아빠되기 2025.11.25 1
14331 전기공사기사 필기 기출문제(해설) 및 CBT 2005년05월29일(7255) 좋은아빠되기 2025.11.25 3
» 전기공사기사 필기 기출문제(해설) 및 CBT 2004년09월05일(7254) 좋은아빠되기 2025.11.25 0
14329 전기공사기사 필기 기출문제(해설) 및 CBT 2004년05월23일(7253) 좋은아빠되기 2025.11.25 1
14328 전기공사기사 필기 기출문제(해설) 및 CBT 2004년03월07일(7252) 좋은아빠되기 2025.11.25 2
14327 전기공사기사 필기 기출문제(해설) 및 CBT 2003년05월25일(7251) 좋은아빠되기 2025.11.25 0
14326 전기공사기사 필기 기출문제(해설) 및 CBT 2003년03월16일(7250) 좋은아빠되기 2025.11.25 1
14325 전기공사기사 필기 기출문제(해설) 및 CBT 2002년03월10일(7249) 좋은아빠되기 2025.11.25 0
Board Pagination Prev 1 ... 435 436 437 438 439 440 441 442 443 444 ... 1157 Next
/ 1157