자격증 필기 기출문제



전기공사기사 필기 기출문제(해설) 및 CBT 2006년09월10일(7259)

최강 자격증 기출문제 전자문제집 CBT : www.comcbt.com


전자문제집 CBT란?

종이 문제집이 아닌 인터넷으로 문제를 풀고 자동으로 채점하며 모의고사, 오답 노트, 해설까지 제공하는
무료 기출문제 학습 프로그램으로 실제 상설검정에서 사용하는 OMR 형식의 CBT를 제공합니다.


최신 전기공사기사 필기 기출문제 : [다운로드]

1과목 : 전기응용 및 공사재료


1. 각 방향의 배광이 균일한 광도 I인 광원을 그림과 같이 배치하였을 경우 수평거리 a[m]가 일정할 때 점 P에서의 수평면 조도가 최대가 되는 광원의 높이(h)는 몇 m인가?

   

     1. a
     2. √2a
     3. a/√2
     4. √3a

     정답 : []
     정답률 : 58%
     <문제 해설>
이 문제의 핵심은 "수평거리 a[m]가 일정할 때"로, a를 상수 취급한 후 조도 E를 변수 h에 대해 미분을 하는 것임.
1. 수평면 조도 E = (I/r^2)*cos(theta) = h*I/ r^3 = h*I / (h^2 + a^2)^(3/2) .... (cos(theta = h/r 이므로)
2. E를 h에 대하여 미분함(분수의 미분 방법 사용)
->E' = [{I*(h^2 + a^2)^(3/2) - {3h^2 * I * (h^2 +a^2)^(1/2) } ]/ (h^2 + a^2)^3
3. 이때 E가 최대값을 가지기 위해서는 E' = 0 이 되어야댐. 따라서 위 식의 분자인
{I(h^2 + a^2)^(3/2)} - {3h^2 * I * (h^2 +a^2)^(1/2)} = 0 이 되어야함.
-> I(h^2 + a^2)^(3/2) = 3h^2 * I * (h^2 +a^2)^(1/2)
4. 이 때 양변을 공통항인 I * (h^2 +a^2)^(1/2) 으로 나누면
h^2 + a^2 = 3*h^2
=> a^2 = 2*h^2
5. 따라서 h = a/root2 가 됨.
반대로, h가 일정할 때, 수직선 조도 또한 마찬가지 방법으로 구하면 a = h/root3 이 됨.
이해가 안가시거나, 직접 유도하기 어려우면 바로 위의 최종 결론만 외우시면 됩니다.
[해설작성자 : HDP]

2. 다음 형광 방전관의 색깔 중 그 온도가 가장 높은 것은?
     1. 백색
     2. 주광색
     3. 은백색
     4. 적색

     정답 : []
     정답률 : 85%

3. 반도체에 빛이 가해지면 전기 저항이 변화되는 현상은?
     1. 열진동효과
     2. 광전효과
     3. 제백효과
     4. 홀효과

     정답 : []
     정답률 : 90%

4. 화학공장 등 산∙알칼리 또는 유해가스가 존재하는 장소에 가장 적합한 진동기는?
     1. 방적형 진동기
     2. 방수형 진동기
     3. 방부형 진동기
     4. 방진형 진동기

     정답 : []
     정답률 : 69%
     <문제 해설>
방수형 : 지정된 조건에서 1~3분 동안 주수 하여도 물이 침입할 수 없는 구조
방식형(방부형):부식성의 산, 알칼리 또는 유해가스가 존재하는 장소에서 실용상 지장 없이 사용할 수 없는 구조
방폭형 : 폭발성 가스가 존재하는 곳에 사용할 수 있는 구조
방적형:15도 이내 각도로 낙하하는 물방울 또는 이 물체가 직접 전동기 내로 침입할 수 없는 구조
내산형: 바닷바람이나 염분이 많은 지역
수중형:수중에서 지정된 압력에서 지정시간 동안 연속 사용하여도 지장 없는 구조
[해설작성자 : 공상깅상]

5. 조명에서 칸델라[cd]는 무엇의 단위인가?
     1. 휘도
     2. 조도
     3. 광도
     4. 광속발산도

     정답 : []
     정답률 : 79%

6. 전지에서 분극 작용에 의한 전압강하를 방지하기 위하여 사용되는 감극제는?
     1. H2O
     2. H2SO4
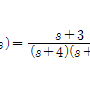
     3. MnO2
     4. CdSD4

     정답 : []
     정답률 : 70%
     <문제 해설>
3.이산화망간

7. 다음 중 전기 철도용 변전소간의 간격을 짧게 하는 이유로 가장 타당한 것은?
     1. 유지보수를 용이하게 하기 위하여
     2. 절연저항을 적게 하기 위하여
     3. 전식을 적게 하기 위하여
     4. 건설비를 적게 하기 위하여

     정답 : []
     정답률 : 81%

8. 권상 하중이 100t 이며, 1.5m/min의 속도로 물체를 들어올리는 권상기용 전동기의 용량은 약 몇 kW인가? (단, 전동기를 포함한 기중기의 총 효율은 70%이다)
     1. 50
     2. 40
     3. 35
     4. 30

     정답 : []
     정답률 : 75%
     <문제 해설>
100×1.5 / 6.12×0.7 = 35%
[해설작성자 : 다람쥐]

9. 저항용접에서 접한면의 일부가 녹아 바둑알 모양의 단면으로 오목하게 들어간 부분을 무엇이라 하는가?
     1. 슬럭(slog)
     2. 용입
     3. 너깃(nugget)
     4. 플럭스(flux)

     정답 : []
     정답률 : 65%
     <문제 해설>
동그란 바둑알 모양의 치킨 너겟을 생각하면 연상이 잘됨
[해설작성자 : HDP]

10. 200W 전구를 우유색 구형 글로브에 넣었을 경우 우유색 유리의 반사율을 40%, 투과율을 50%라고 할 때 글로브의 효율은 약 몇 % 인가?
     1. 40
     2. 55
     3. 83
     4. 104

     정답 : []
     정답률 : 82%
     <문제 해설>
효율 = (투과율 / 1 - 반사율) * 100
즉 (0.5 / 1 - 0.4) * 100 = 83.33
[해설작성자 : 알면해설좀씁시다]

11. 배선 기구라 함은 다음 중 어느 것인가?
     1. 전선을 접속하는데 필요한 와이어 커넥터
     2. 스위치(텀블러) 및 콘센트류
     3. 전선 및 케이블을 단말처리 할 때 필요한 압착 터미널류
     4. 전선 및 케이블을 전선관에 입선 할 때 필요한 공구

     정답 : []
     정답률 : 61%
     <문제 해설>
배선기구(Wiring devices) : 전기회로의 일부분으로, 전력을 연결하거나 차단하는 스위치, 콘센트, 코드 접속기, 소켓, 탭 등을 말함
[해설작성자 : HDP]

12. 접지 저감제의 구비조건 중 틀린 것은?
     1. 지속성이 없을 것
     2. 전극을 부식시키지 않을 것
     3. 전기적으로 양도체일 것
     4. 안전할 것

     정답 : []
     정답률 : 92%
     <문제 해설>
접지저감제는 지속성이 있어야 합니다
[해설작성자 : 오늘시험]

13. 다음 중 절연재료에서 직접적인 열화의 가장 큰 원인에 해당되는 것은?
     1. 자외선
     2. 온도상승
     3. 산화
     4. 유전손

     정답 : []
     정답률 : 87%
     <문제 해설>
'열'화 -> 온도 상승
[해설작성자 : 경하석]

14. 방폭배관의 부속품이 아닌 것은?
     1. 씨링 휘팅
     2. 드레인 휘팅
     3. 타워 휘팅
     4. 콘듀레이트 휘팅

     정답 : []
     정답률 : 70%

15. 전선 재료로서 구비할 조건 중 틀린 것은?
     1. 도전률이 클 것
     2. 접속이 쉬울 것
     3. 내식성이 작을 것
     4. 가요성이 풍부할 것

     정답 : []
     정답률 : 88%

16. 방전등의 일종으로 효율이 좋으며 빛의 투과율이 크고 황색의 단색광이며 안개속을 잘 투과하는 등은?
     1. 나트륨등
     2. 옥소전구
     3. 형광등
     4. 수은등

     정답 : []
     정답률 : 93%

17. 다음은 전선의 기호와 절연제를 연결한 것이다. 잘못된 것은?
     1. FL-천연고무
     2. DV-비닐
     3. EV-폴리에틸렌
     4. NRC-고무

     정답 : []
     정답률 : 66%
     <문제 해설>
FL-형광등 입니다
[해설작성자 : 전기짱미노]

18. 다음 중 알칼리축전지를 설명한 것으로 틀린 것은?
     1. 공칭전압은 1.2[V/셀]이다.
     2. 연축전지에 비하여 과방전, 과전류에 대해 강하다.
     3. 고율 방전 특성이 좋다.
     4. 전해액의 비중에 의해 충방전 상태를 추정할 수 있으며 Ah당 단가가 낮다.

     정답 : []
     정답률 : 77%
     <문제 해설>
알칼리 축전지 특성
1. 공칭전압 : 1.2[V/Cell] / 납 : 2.0[V/Cell]
2. 연축전지에 비해 충,방전 특성이 양호하다
3. 다소 용량이 감소하더라도 못쓰게 되지 않는다.
4. 전압 변동에 대한 적응성이 좋다.
[해설작성자 : 쌍기사인데 취업안됨]

19. 분전함에 대한 설명 중 틀린 것은?
     1. 반(盤)의 옆쪽 또는 이면에 설치하는 가터(gutter)는 강판제로서 전선을 구부리거나 눌리지 아니할 정도로 충분히 큰 것이어야 한다.
     2. 목제함은 최소두께 1.0cm(뚜껑 포함)이상 으로 불연성 물질을 안에 바른 것이어야 한다.
     3. 난연성 합성수지로 된 것은 두께 1.5mm 이상으로 내아크성인 것이어야 한다.
     4. 강판제의 것은 일반적인 경우 두께 1.2mm 이상이어야 한다.

     정답 : []
     정답률 : 82%
     <문제 해설>
2.목제함은 최소두께 1.2 cm(뚜껑은 제외)이상으로 불연성 물질은 안에 바른것이어야 한다.
[해설작성자 : 한번에 합격하자 ]

20. 금속관공사의 박스내에 전선을 접속할 때 가장 많이 사용하는 재료는?
     1. 와이어 커넥터
     2. 코드 커넥터
     3. S슬리브
     4. 컬 플러그

     정답 : []
     정답률 : 84%

2과목 : 전력공학


21. 직접접지방식이 초고압 송전선에 채용되는 이유 중 가장 적당한 것은?
     1. 지락고장시 병행 통신선에 유기되는 유도전압이 작기 때문에
     2. 지락시의 지락전류가 적으므로
     3. 계통의 절연을 낮게 할 수 있으므로
     4. 송전선의 안정도가 높으므로

     정답 : []
     정답률 : 14%

22. 송전계통의 접지에 대한 설명으로 옳은 것은?
     1. 소호리액터 접지방식은 선로의 정전용량과 직렬공진을 이용한 것으로 지락전류가 타 방식에 비해 좀 큰 편이다.
     2. 고저항 접지방식은 이중고장을 발생시킬 확률이 거의 없으나, 비접지식보다는 많은 편이다.
     3. 직접접지방식을 채용하는 경우 이상전압이 낮기 때문에 변압기 선정시 단절연이 가능하다.
     4. 비접지방식을 택하는 경우, 지락전류의 차단이 용이하고 장거리 송전을 할 경우 이중고장의 발생을 예방하기 좋다.

     정답 : []
     정답률 : 14%

23. 다음 계전기 특성곡선에서 D가 의미하는 특성은?

    

     1. 반한시성 정한시특성
     2. 반한시특성
     3. 정한시특성
     4. 순한시특성

     정답 : []
     정답률 : 10%

24. 직류송전방식에 비하여 교류송전방식의 가장 큰 이점은?
     1. 선로의 리액턴스에 의한 전압강하가 없으므로 장거리 송전에 유리하다.
     2. 지중송전의 경우, 충전전류와 유전체손을 고려하지 않아도 된다.
     3. 변압이 쉬워 고압송전에 유리하다.
     4. 같은 절연에서 송전전력이 크게 된다.

     정답 : []
     정답률 : 14%

25. 특고 수용가가 근거리에 밀집하여 있을 경우, 설비의 합리화를 기할 수 있고, 경제적으로 유리한 지중 송전계통의 구성 방식은?
     1. 루프(loop) 방식
     2. 수지상 방식
     3. 방사상 방식
     4. 유니트(unit) 방식

     정답 : []
     정답률 : 11%

26. 변압기를 보호하기 위한 계전기로 사용되지 않는 것은?
     1. 비율차동계전기
     2. 온도계전기
     3. 브흐훌쯔계전기
     4. 선택접지계전기

     정답 : []
     정답률 : 10%

27. 200kVA 단상변압기 2대를 V-V결선하여 사용하면 약 몇 kVA 부하까지 걸 수 있겠는가?
     1. 200
     2. 283
     3. 346
     4. 400

     정답 : []
     정답률 : 24%

28. 가공전선의 구비조건으로 옳지 않은 것은?
     1. 도전율이 클 것
     2. 기계적 강도가 클 것
     3. 비중이 클 것
     4. 신장률이 클 것

     정답 : []
     정답률 : 14%

29. 우리나라의 154kV 송전계통에서 채택하는 접지방식은?
     1. 비접지방식
     2. 직접접지방식
     3. 고저항접지방식
     4. 소호리액터접지방식

     정답 : []
     정답률 : 10%

30. 다음 중 부하 전류의 차단에 사용되지 않는 것은?
     1. NFB
     2. OCB
     3. VCB
     4. DS

     정답 : []
     정답률 : 15%

31. 수력학에 있어서 수두(水頭)의 단위는?
     1. m
     2. kg∙ m
     3. kg/m
     4. kg/mm3

     정답 : []
     정답률 : 7%

32. 옥내배선의 전선의 굵기를 결정할 때 고려되는 사항이 아닌 것은?
     1. 절연저항
     2. 전압강하
     3. 허용전류
     4. 기계적강도

     정답 : []
     정답률 : 15%

33. 다음 중 무부하시의 전류 차단을 목적으로 사용하는 것은?
     1. 진공차단기
     2. 유입차단기
     3. 단로기
     4. 자기차단기

     정답 : []
     정답률 : 17%

34. 전압 66kV, 주파수 60Hz, 길이 12km 의 3상3선식 1회선 지중 송전선로가 있다. 케이블의 삼선 1선당의 정전 용량이 0.04㎌/km 라고 할 때 이 선로의 3상 무부하 충전용량은 약 몇 kVA인가?
     1. 5,569
     2. 7,876
     3. 11,138
     4. 13,642

     정답 : []
     정답률 : 9%

35. 길이가 35km 인 단상 2선식 전선로의 유도리액턴스는 약 몇 Ω 인가? (단, 전선로의 단위길이당 인덕턴스는 1.3mH/km/선, 주파수는 60Hz이다.)
     1. 18
     2. 26
     3. 34
     4. 40

     정답 : []
     정답률 : 9%
     <문제 해설>
2*ωL ▶ 2 * 2π * f * ℓ * L ▶2 * 2π * 60 * 35 * 1.3 * 10^-3 = 34.306[Ω]
[해설작성자 : 따고싶다 or 어디든 빌런]

36. 어느 발전소에 주발전기로서 3상 93,000kVA 인 것이 4기 있다. 이들은 50Hz 에 대해서는 167rpm, 60Hz에 대해서는 200rpm 으로 회전한다. 이 발전기는 몇 극인가?
     1. 18
     2. 36
     3. 54
     4. 72

     정답 : []
     정답률 : 15%

37. 계통 연계의 이점이 아닌 것은?
     1. 고장시 단락용량이 줄어든다.
     2. 공급 신뢰도가 증대된다.
     3. 공급예비력이 절감된다.
     4. 부하율이 향상된다.

     정답 : []
     정답률 : 11%

38. 송전계통의 안정도 증진방법으로 틀린 것은?
     1. 직렬리액턴스를 작게한다.
     2. 중간조상방식을 채용한다.
     3. 계통을 연계한다.
     4. 원동기의 조속기 작동을 느리게 한다.

     정답 : []
     정답률 : 12%

39. 원자로의 제어재가 구비하여야 할 조건으로 틀린 것은?
     1. 중성자 흡수 단면적이 적을 것
     2. 높은 중성자속에 장시간 그 효과를 간직할 것
     3. 열과 방사선에 대하여 안정할 것
     4. 내식성이 크고 기계적 가공이 용이할 것

     정답 : []
     정답률 : 14%

40. 유도장해를 방지하기 위한 전력선측의 대책으로 옳지 않은 것은?
     1. 소호리액터를 채용한다.
     2. 차폐선을 설치한다.
     3. 중성점 전압을 가능한 높게 한다.
     4. 중성점 접지에 고저함을 넣어서 지락전류를 줄인다.

     정답 : []
     정답률 : 13%

3과목 : 전기기기


41. 전동기 축의 빌트 축 지름이 28cm, 매분 1140rpm에서 20kW를 전달하고 있다. 벨트에 작용하는 힘은 약 몇 kgf 인가?
     1. 122
     2. 168
     3. 212
     4. 234

     정답 : []
     정답률 : 5%
     <문제 해설>
T = 0.975*P/N ▶ 0.975 * 20*10^3/1140 = 17.105
F = 토크/반지름 ▶ 17.105/14*10^-2 = 122.180[kgf]
[해설작성자 : 따고싶다 or 어디든 빌런]

42. 출력 50MVA, 정격전압 11kV 의 3상 교류발전기에서 무부하 단자전압이 11kV일 때, 단락전류는 1,987A이다. 단위법 [P.U]으로 표시한 동기임피던스는 약 얼마인가?
     1. 0.76
     2. 0.98
     3. 1.32
     4. 1.57

     정답 : []
     정답률 : 7%

43. 직류기의 결선방식 중 분권 계자권선과 직권 계자권선이 전기자권선에 연결된 방식은?
     1. 타여자방식
     2. 분권방식
     3. 직권방식
     4. 복권방식

     정답 : []
     정답률 : 11%

44. 직류기의 권선법에 관한 설명으로 틀린 것은?
     1. 단형 파권으로 하면 단중 중권의 P/2배의 유기전압이 발생한다.
     2. 중권으로 하면 균압환이 필요없다.
     3. 단중 중권의 병렬회로수는 극수와 같다.
     4. 중권이나 파권의 권선법은 모두 진권 및 여권을 할 수 있다.

     정답 : []
     정답률 : 15%

45. 3상 유도기에서 출력의 변환식으로 옳은 것은?
     1.
     2.
     3.
     4.

     정답 : []
     정답률 : 14%

46. 60Hz인 3상 8극 및 2극의 유도전동기를 차동 종속으로 접속하여 운전할 때의 무부하 속도는 몇 rpm 인가?
     1. 720
     2. 900
     3. 1,000
     4. 1,200

     정답 : []
     정답률 : 13%

47. 유도 전동기의 슬립(slip) S의 범위는?
     1. 1 > S > 0
     2. 0 > S > -1
     3. 2 > S > 1
     4. -1 < S < 1

     정답 : []
     정답률 : 23%

48. 변압기의 등가회로 작성에 필요한 시험은?
     1. 구속시험
     2. 단락시험
     3. 유도시험
     4. 반환부하시험

     정답 : []
     정답률 : 13%

49. 동기 발전기의 병렬운전 조건으로 적합하지 않은 것은?
     1. 상회전 방향이 같을 것
     2. 기전력이 위상과 같을 것
     3. 부하 전류가 같을 것
     4. 기전력의 주파수가 같을 것

     정답 : []
     정답률 : 13%

50. 4극 60 Hz의 3상 동기 발전기가 있다. 회전자 주변속도를 200 m/s 이하로 하려면 회전자의 지름을 약 몇 m로 하여야 하는가?
     1. 2.1
     2. 2.6
     3. 3.1
     4. 3.5

     정답 : []
     정답률 : 6%
     <문제 해설>
주변속도 = π * D * N ▶ D = 주변속도 / π * N ▶ 200 / π * 1800/60 = 2.122
[해설작성자 : 따고싶다 or 어디든 빌런]

51. 사이클로컨버터(cycloconverter)란?
     1. 실리콘 양뱡향성 소자이다.
     2. 제어정류기를 사용한 주파수 변환기이다.
     3. 직류 제어소자이다.
     4. 전류 제어소자이다.

     정답 : []
     정답률 : 13%

52. 변압기의 병렬운전에서 필요조건이 아닌 것은?
     1. 극성이 같을 것
     2. 정격전압이 같을 것
     3. % 임피던스 강하가 같을 것
     4. 출력이 같을 것

     정답 : []
     정답률 : 10%

53. 직류기의 경부하 또는 과부하로 운전하면 효율은 어떻게 되는가?
     1. 효율이 떨어진다.
     2. 효율과 부하와는 무관하다.
     3. 효율이 최대로 된다.
     4. 초기에는 떨어지나 시간이 지나면 증가한다.

     정답 : []
     정답률 : 10%

54. 유도 전동기의 공급전압이 일정하고, 전원 주파수만 낮아질 때 일어나는 현상으로 옳은 것은?
     1. 여자전류가 감소한다.
     2. 철손이 감소한다.
     3. 온도상승이 커진다.
     4. 회전속도가 증가한다.

     정답 : []
     정답률 : 8%

55. AC 서보전동기(AC servomotor)의 설명 중 틀린 것은?
     1. AC 서보전동기는 그다지 큰 회전력이 요구되지 않는 시스템에 사용되는 전동기이다.
     2. 이 전동기에는 기준권선과 제어권선의 두 고정 자권선이 있으며, 90°위상차가 있는 2상 전압을 인가하여 회전자계를 만든다.
     3. 고정자의 기준권선에는 정전압을 인가하여, 제어 권선에는 제어용 전압을 인가한다.
     4. 이 전동기는 속도 회전력 특성을 선형화하고 제어 전압을 입력으로 회전자의 회전각을 출력으로 보았을 때 이 전동기의 전달함수는 미분요소와 2차 요소의 직렬 결합으로 볼 수 있다.

     정답 : []
     정답률 : 9%

56. 동기기의 전기자 저항을 T, 전기자 반작용 리액턴스 Xa 누설 리액턴스를 X 이라고 하면, 동기 임피던스를 표시하는 식은?
     1.
     2.
     3.
     4.

     정답 : []
     정답률 : 18%

57. 단상 유도전압조정기에서 1차 전원전압을 Vt이라 하고, 2차의 유도전압을 E2라고 할 때 부하 단자전압을 연속적으로 가변할 수 있는 조정 범위는?
     1. 0 ~ V1까지
     2. V1 + E1까지
     3. V1 - E1까지
     4. V1 + E2에서 V1 - E2까지

     정답 : []
     정답률 : 12%

58. 그림과 같은 정류회로에서 전류계의 지시값은 약 몇 mA인가? (단, 전류계는 가동코일형이고 정류기 저항은 무시한다)

    

     1. 1.8
     2. 4.5
     3. 6.4
     4. 9.0

     정답 : []
     정답률 : 10%

59. 변압기에 사용되는 절연유의 특성으로 틀린 것은?
     1. 점도가 낮을 것
     2. 절연내력이 작을 것
     3. 인화점이 높을 것
     4. 변질되지 않을 것

     정답 : []
     정답률 : 16%

60. 3,300[V], 60[Hz]용 변압기의 와류손이 360[W]이다. 이 변압기를 2,750[V], 50[Hz]에서 사용할 때 이 변압기의 와류손은 약 몇 [W] 가 되는가?
     1. 250
     2. 330
     3. 418
     4. 518

     정답 : []
     정답률 : 11%
     <문제 해설>
와류손 = (2750/3300)^2 * 360 = 250[W]
[해설작성자 : 따고싶다 or 어디든 빌런]

4과목 : 회로이론 및 제어공학


61. R = 100Ω, Xc = 100Ω이고 L 만을 가변할 수 있는 R, L, C 직렬회로가 있다. 이 때 f = 500Hz, E=100V를 인가 하여 L를 변화시킬 때, L 의 단자 전압 EL 의 최대값은 몇 V인가?
     1. 200
     2. 150
     3. 100
     4. 50

     정답 : []
     정답률 : 6%

62. 다음 그래프에서 기울기는 무엇을 나타내는가?

    

     1. 저항 R
     2. 인덕턴스 L
     3. 커패시턴스 C
     4. 컨덕턴스 G

     정답 : []
     정답률 : 10%

63. 6Ω과 2Ω의 저항 3개를 그림과 같이 연결하였을 때, a, b 사이의 합성저항은 몇 Ω 인가?

    

     1. 4
     2. 3
     3. 2
     4. 1

     정답 : []
     정답률 : 9%

64. 주기적인 구형파의 신호는 그 성분이 어떻게 되는가?
     1. 성분분석이 불가능하다.
     2. 무수히 많은 주파수의 합성이다.
     3. 직류분만으로 합성된다.
     4. 교류합성을 갖지 않는다.

     정답 : []
     정답률 : 15%

65. 다음 중 전류원의 내부 저항에 관하여 가장 옳은 것은?
     1. 정류 공급을 받는 회로의 구동적 임피던스와 같아야 한다.
     2. 경우에 따라 다르다.
     3. 작을수록 이상적이다.
     4. 클수록 이상적이다.

     정답 : []
     정답률 : 9%

66. 어떤 회로의 전류가 I(t) = 20 - 20e-200t[A]로 주어졌다. 정상값은 몇 A 인가?
     1. 5
     2. 12.6
     3. 15.6
     4. 20

     정답 : []
     정답률 : 11%

67. 무손실 전송선로에서 L = 96mH, C = 0.6㎌ 일 때 특성 임피던스는 몇 Ω 인가?
     1. 100
     2. 200
     3. 300
     4. 400

     정답 : []
     정답률 : 12%

68. 어떤 교류 전압의 평균치가 382V 일 때 실효치 값은 약 몇 V인가?
     1. 424
     2. 342
     3. 240
     4. 125

     정답 : []
     정답률 : 9%

69. 회로에서의 전압비 전달함수 는?

    

     1.
     2.
     3.
     4.

     정답 : []
     정답률 : 11%

70. 그림과 같은 회로의 4단자 정수 중 A 의 값은 어떻게 되는가?

    

     1. 1+R/sL
     2. R
     3. 1/sL
     4. 1

     정답 : []
     정답률 : 15%

71. 반전 연산회로의 출력을 바르게 표현한 것은? (단, OP 증폭기는 이상적인 것으로 생각한다.)

    

     1.
     2.
     3.
     4.

     정답 : []
     정답률 : 10%

72. 주파수 응답에 의한 위치제어계의 설계에서 계통의 안정도 척도와 관계가 적은 것은?
     1. 공전차
     2. 고유주파수
     3. . 위상여유
     4. 이득여유

     정답 : []
     정답률 : 8%

73. 개루프 전달함수가 인 부궤혼제어계의 특성방정식은?
     1. s2 +4s+3=0
     2. s2+5s+5=0
     3. s2 +5s+6=0
     4. s2+6s+5=0

     정답 : []
     정답률 : 9%

74. 라플라스 변환값과 Z 변환값이 같은 함수는?
     1. t2
     2. t
     3. Un(t)
     4. δ(t)

     정답 : []
     정답률 : 11%

75. 프로세스제어, 자동조정과 같이 목표값이 시간에 따라 변화하지 않는 제어방식은?
     1. 비율제어
     2. 정치제어
     3. 추종제어
     4. 프로그램제어

     정답 : []
     정답률 : 10%

76. 다음의 미분방정식으로 표시되는 시스템의 계수 행렬 A는 어떻게 표시되는가?

    

     1.
     2.
     3.
     4.

     정답 : []
     정답률 : 14%

77. 이득이 60dB의 전압 증폭도는?
     1. 10,000
     2. 1,000
     3. 100
     4. 10

     정답 : []
     정답률 : 12%

78. 상태방정식 , 출력 방정식 에서, 일 때 다음 설명 중 옳은 것은?
     1. 이 시스템은 제어 및 관측이 가능하다.
     2. 이 시스템은 제어는 가능하나 관측은 불가능하다.
     3. 이 시스템은 제어는 불가능하나 관측은 가능하다.
     4. 이 시스템은 제어 및 관측이 불가능하다.

     정답 : []
     정답률 : 10%

79. 안정된 제어계의 특성근이 2개의 공역복소근을 가질때 이 근들이 허수측 가까이에 있는 경우 허수측에서 멀리 떨어져 있는 안정된 근에 비해 과도응답 영향은 어떻게 되는가?
     1. 과도응답은 천천히 사라진다.
     2. 과도응답이 길다.
     3. 과도응답은 빨리 사라진다.
     4. 과도응답에는 영향을 미치지 않는다.

     정답 : []
     정답률 : 10%

80. Z 변환법을 사용한 샘플치 제어계가 안정되려면 1 + G H(Z) = 0 의 근의 위치는?
     1. Z 평면의 좌반면에 존재하여야 한다.
     2. Z 평면의 우반면에 존재하여야 한다.
     3. |Z| = 1 단위 원내에 존재하여야 한다.
     4. |Z| = 1 단위 원밖에 존재하여야 한다.

     정답 : []
     정답률 : 12%

81. 지중에 매설되어 있으며, 대지와의 전기저항값이 몇 Ω 이하의 값을 유지하고 있는 금속제 수도관로는 접지 공사의 접지극으로 사용할 수 있는가?
     1. 1
     2. 2
     3. 3
     4. 5

     정답 : []
     정답률 : 9%

82. 전로에 시설하는 기계기구 중에서 외함 접지공사를 생략할 수 없는 경우는?
     1. 380V의 전동기를 건조한 목재의 마루위에서 취급 하도록 시설하는 경우
     2. 철대 또는 외함의 주위에 적당한 절연대를 설치하는 경우
     3. 220V의 모발 건조기를 2중 절연하여 시설하는 경우
     4. 정격감도전류 100mA, 동작시간이 0.5초인 전류 동작형 인체감전 보호용 누전차단기를 시설하는 경우

     정답 : []
     정답률 : 14%

83. 사용전압이 35,000V 이하이고 케이블을 사용하는 특별 고압 가공인입선이 도로, 횡단보도교 등을 횡단하지 않으면 지표상 몇 m 까지 시설할 수 있는가?
     1. 3
     2. 4
     3. 5
     4. 6

     정답 : []
     정답률 : 5%

84. 지중전선로를 직접 매설식에 의하여 차량 기타 중량물의 압력을 받을 우려가 있는 장소에 시설할 경우에는 그 매설 깊이를 최소 몇 m 이상으로 하여야 하는가?
     1. 1.0
     2. 1.2
     3. 1.5
     4. 1.8

     정답 : []
     정답률 : 10%
     <문제 해설>
아래와 같은 오류 신고가 있었습니다.
여러분들의 많은 의견 부탁 드립니다.
추후 여러분들의 의견을 반영하여 정답을 수정하도록 하겠습니다.
참고로 정답 변경은 오류 신고 5회 이상일 경우 수정합니다.

[오류 신고 내용]
KEC 반영 이전 문제
[해설작성자 : 평창꼴통김병효]

85. 고압 가공전선이 가공 약전류전선 등과 접근하는 경우에 고압 가공전선과 가공 약전류전선 사이의 이격거리는 전선이 케이블인 경우 몇 cm 이상이어야 하는가?
     1. 20
     2. 30
     3. 40
     4. 50

     정답 : []
     정답률 : 3%

86. 사용전압이 35,000V 이하인 특별고압 가공전선이 건조물과 제2차 접근상태로 시설되는 경우에 특별고압 가공 전선로는 어떤 보안공사를 하여야 하는가?
     1. 제1종 특별고압 보안공사
     2. 제2종 특별고압 보안공사
     3. 제3종 특별고압 보안공사
     4. 제4종 특별고압 보안공사

     정답 : []
     정답률 : 13%

87. 중성점이 접지되고 다중접지된 중성선을 가지는 전로에 접속하는 최대사용전압이 7,000V 인 변압기는 몇 V의 절연내력 시험전압에 견디어야 하는가?
     1. 6,440
     2. 7,700
     3. 8,750
     4. 10,500

     정답 : []
     정답률 : 9%

88. 1차 22,900V, 2차 3,300V 의 변압기를 옥외에 시설할때 구내에 취급자 이외의 사람이 들어가지 아니하도록 울타리를 시설하려고 한다. 이 때 울타리의 높이는 몇m 이상으로 하여야 하는가?
     1. 2
     2. 3
     3. 4
     4. 5

     정답 : []
     정답률 : 8%

89. 정격 전류 30A 의 전동기 1대와 정격 전류 5A 의 전열기 2대에 공급하는 저압 옥내 간선을 보호할 과전류 차단기의 정격 전류의 초대값은 몇 A 인가?
     1. 40
     2. 60
     3. 80
     4. 100

     정답 : []
     정답률 : 3%

90. 사용 전압이 154kV 인 가공 송전선의 시설에서 전선과 직물과의 이격거리는 일반적인 경우에 몇 m 이상으로 하여야 하는가?
     1. 2.8
     2. 3.2
     3. 3.6
     4. 4.2

     정답 : []
     정답률 : 13%

91. 전선로의 종류에 속하지 않는 것은?
     1. 지중전선로
     2. 수상전선로
     3. 광산전선로
     4. 터널내전선로

     정답 : []
     정답률 : 13%

92. 점검 할 수 있는 은폐장소의 저압 옥내 배선에서 사용 할 수 없는 켑 타이어 케이블은?
     1. 1종 켑타이어 케이블
     2. 2종 켑타이어 케이블
     3. 3종 켑타이어 케이블
     4. 4종 켑타이어 케이블

     정답 : []
     정답률 : 7%

93. 변전소를 관리하는 기술원 주재소에 경보장치를 시설하지 아니하여도 되는 것은?
     1. 주요 변압기의 전원측 전로가 부전압으로 된 경우
     2. 특별 고압용 터널식 변압기의 냉각장치가 고장난 경우
     3. 출력 2,000KVA 특별 고압용 변압기의 온도가 현저히 상승한 경우
     4. 조상기 내부에 고장이 생긴 경우

     정답 : []
     정답률 : 7%

94. 특별고압 가공전선로를 제2종 특별고압 보안공사에 의해서 시설할 수 있는 경우는?
     1. 특별고압 가공전선이 가공 약전류전선 등과 제1차 접근상태로 시설되는 경우
     2. 특별고압 가공전선이 가장 약전류전선의 위쪽에서 교차하여 시설되는 경우
     3. 특별고압 가공전선이 도로 등과 제1차접근상태로 시설되는 경우
     4. 특별고압 가공전선이 철도 등과 제1차접근상태로 시설되는 경우

     정답 : []
     정답률 : 9%

95. 풀용 수중조명등에 전기를 공급하기 위하여 1차측 120V, 2차측 30V의 절연변압기를 사용하였다. 절연변압기의 2차측 전로의 접지에 대한 방법이 옳은 것은?
     1. 제1종 접지공사로 접지한다.
     2. 제2종 접지공사로 접지한다.
     3. 특별제3종접지공사로 접지한다.
     4. 접지하지 않는다.

     정답 : []
     정답률 : 5%

96. 시가지외에 가설되는 사용전압 220V 가공전선을 절연전선으로 사용하는 경우 그 최소굵기는 지름 몇 mm인가?
     1. 2
     2. 2.6
     3. 3.2
     4. 4

     정답 : []
     정답률 : 16%

97. 교류식 전기철도는 그 단상부하에 의한 전압의 불평형으로 인하여 전기철도 변전소의 변압기에 접속하는 전기사업용 발전기, 조상기, 변압기, 기타의 기계기구에 장해가 생기지 않도록 시설해야 하며, 전압 불평형의 허용 한도는 그 변전소의 수전점에서 몇 % 로 하는가?
     1. 3
     2. 4
     3. 5
     4. 6

     정답 : []
     정답률 : 11%

98. 네온 방전관을 사용한 사용전압 12,000V 인 방전등에 사용되는 네온 변압기 외함의 접지공사로서 알맞은 것은?
     1. 제1종 접지공사
     2. 제2종 접지공사
     3. 제3종 접지공사
     4. 특별 제3종 접지공사

     정답 : []
     정답률 : 9%

99. 옥내에 시설하는 저압 전선으로 나전선을 사용하여서는 아니되는 경우는?
     1. 금속덕트공사에 의한 전선
     2. 버스덕트공사에 의한 전선
     3. 이동기중기에 사용되는 접속전선
     4. 전개된 곳의 애자사용공사에 의한 전기로용 전선

     정답 : []
     정답률 : 10%

100. 전력보안통신설비로 무선용안테나 등의 시설에 관한 설명으로 옳은 것은?
     1. 항상 가공전선로의 지지물에 시설한다.
     2. 접지와 공용으로 사용할 수 있도록 시설한다.
     3. 전선로의 주위 상태를 감시할 목적으로 시설한다.
     4. 피뢰침설비가 불가능한 개소에 시설한다.

     정답 : []
     정답률 : 11%


정 답 지

1

2

3

4

5

6

7

8

9

10

11

12

13

14

15

16

17

18

19

20

21

22

23

24

25

26

27

28

29

30

31

32

33

34

35

36

37

38

39

40

41

42

43

44

45

46

47

48

49

50

51

52

53

54

55

56

57

58

59

60

61

62

63

64

65

66

67

68

69

70

71

72

73

74

75

76

77

78

79

80

81

82

83

84

85

86

87

88

89

90

91

92

93

94

95

96

97

98

99

100

전기공사기사 필기 기출문제(해설) 및 CBT 2006년09월10일을 이용해 주셔서 감사합니다.
, 필기, 기출문제, 전자문제집, CBT, 온라인, 모의테스트, 모의고사



List of Articles
번호 제목 글쓴이 날짜 조회 수
» 전기공사기사 필기 기출문제(해설) 및 CBT 2006년09월10일(7259) 좋은아빠되기 2025.11.25 0
14334 전기공사기사 필기 기출문제(해설) 및 CBT 2006년05월14일(7258) 좋은아빠되기 2025.11.25 2
14333 전기공사기사 필기 기출문제(해설) 및 CBT 2006년03월05일(7257) 좋은아빠되기 2025.11.25 0
14332 전기공사기사 필기 기출문제(해설) 및 CBT 2005년09월04일(7256) 좋은아빠되기 2025.11.25 1
14331 전기공사기사 필기 기출문제(해설) 및 CBT 2005년05월29일(7255) 좋은아빠되기 2025.11.25 3
14330 전기공사기사 필기 기출문제(해설) 및 CBT 2004년09월05일(7254) 좋은아빠되기 2025.11.25 0
14329 전기공사기사 필기 기출문제(해설) 및 CBT 2004년05월23일(7253) 좋은아빠되기 2025.11.25 1
14328 전기공사기사 필기 기출문제(해설) 및 CBT 2004년03월07일(7252) 좋은아빠되기 2025.11.25 2
14327 전기공사기사 필기 기출문제(해설) 및 CBT 2003년05월25일(7251) 좋은아빠되기 2025.11.25 0
14326 전기공사기사 필기 기출문제(해설) 및 CBT 2003년03월16일(7250) 좋은아빠되기 2025.11.25 1
14325 전기공사기사 필기 기출문제(해설) 및 CBT 2002년03월10일(7249) 좋은아빠되기 2025.11.25 0
14324 위험물산업기사 필기 기출문제(해설) 및 CBT 2018년09월15일(7225) 좋은아빠되기 2025.11.25 2
14323 위험물산업기사 필기 기출문제(해설) 및 CBT 2018년04월28일(7224) 좋은아빠되기 2025.11.25 0
14322 위험물산업기사 필기 기출문제(해설) 및 CBT 2018년03월04일(7223) 좋은아빠되기 2025.11.25 2
14321 위험물산업기사 필기 기출문제(해설) 및 CBT 2017년09월23일(7222) 좋은아빠되기 2025.11.25 0
14320 위험물산업기사 필기 기출문제(해설) 및 CBT 2017년05월07일(7221) 좋은아빠되기 2025.11.25 2
14319 위험물산업기사 필기 기출문제(해설) 및 CBT 2017년03월05일(7220) 좋은아빠되기 2025.11.25 0
14318 위험물산업기사 필기 기출문제(해설) 및 CBT 2016년10월01일(7219) 좋은아빠되기 2025.11.25 2
14317 위험물산업기사 필기 기출문제(해설) 및 CBT 2016년05월08일(7218) 좋은아빠되기 2025.11.25 0
14316 위험물산업기사 필기 기출문제(해설) 및 CBT 2016년03월06일(7217) 좋은아빠되기 2025.11.25 2
Board Pagination Prev 1 ... 434 435 436 437 438 439 440 441 442 443 ... 1155 Next
/ 1155