자격증 필기 기출문제



전기기능장 필기 기출문제(해설) 및 CBT 2016년04월02일(7682)

최강 자격증 기출문제 전자문제집 CBT : www.comcbt.com


전자문제집 CBT란?

종이 문제집이 아닌 인터넷으로 문제를 풀고 자동으로 채점하며 모의고사, 오답 노트, 해설까지 제공하는
무료 기출문제 학습 프로그램으로 실제 상설검정에서 사용하는 OMR 형식의 CBT를 제공합니다.


최신 전기기능장 필기 기출문제 : [다운로드]

1과목 : 임의구분


1. 고압 보안공사에서 전선을 경동선으로 사용하는 경우 지름 몇 ㎜ 이상의 것을 사용하여야 하는지 그 기준으로 옳은 것은?
     1. 8
     2. 6
     3. 5
     4. 3

     정답 : []
     정답률 : 68%

2. 제 2종 접지공사에 사용하는 접지선을 사람이 접촉할 우려가 있는 곳에 시설하는 경우, 접지극을 지중에서 철주 또는 기타의 금속체로부터 몇 ㎝ 이상 떼어서 매설하여야 하는가?
     1. 80
     2. 100
     3. 125
     4. 150

     정답 : []
     정답률 : 82%

3. 그림과 같은 회로에서 전류 I(A)는?

   

     1. -0.5
     2. -1.0
     3. -1.5
     4. -2.0

     정답 : []
     정답률 : 73%
     <문제 해설>
* 중첩의 원리 이용
V1기준(V2단락) I1 = -10/(10+10) = -0.5[A]
V2기준(V1단락) I2 = -20/(10+10) = -1[A]
I = I1+I2 = -1.5[A]

4. 일반 변전소 또는 이에 준하는 곳의 주요 변압기에 시설하여야 하는 계측장치로 옳은 것은?
     1. 전류, 전력, 주파수
     2. 전압, 주파수 또는 역률
     3. 전력, 주파수 또는 역률
     4. 전압, 전류 또는 전력

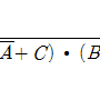
     정답 : []
     정답률 : 87%
     <문제 해설>
*변전소 계측장치
1. 주요 변압기: 전압, 전류, 전력
2. 특별 고압용 변압기 : 온도

5. 교류와 직류 양쪽 모두에 사용 가능한 전동기는?
     1. 단상 분권 정류자 전동기
     2. 단상 반발 전동기
     3. 세이딩 코일형 전동기
     4. 단상 직권 정류자 전동기

     정답 : []
     정답률 : 80%

6. 송전단 전압 66kV, 수전단 전압 61kV인 송전선로에서 수전단의 부하를 끊은 경우의 수전단 전압이 63kV이면 전압변동률은 약 몇 % 인가?
     1. 2.8
     2. 3.3
     3. 4.8
     4. 8.2

     정답 : []
     정답률 : 73%
     <문제 해설>
전압변동률 =(무부하시 수전단전압 - 전부하시 수전단전압) / 전부하시 수전단전압    * 100 [%]
                     = (63 - 61) / 61 * 100 = 3.28[%]
[해설작성자 : kimdc]

7. 동기 전동기를 무부하로 하였을 때, 계자전류를 조정하면 동기기는 L과 C소자와 같이 작동하고 계자전류를 어떤 일정 값 이하의 범위에서 가감하면 가변 리액턴스가 되고, 어떤 일정값이상에서 가감하면 가변 커패시턴스로 작동한다 이와 같은 목적으로 사용되는 것은?
     1. 변압기
     2. 균압환
     3. 제동권선
     4. 동기조상기

     정답 : []
     정답률 : 87%

8. 단권 변압기에 대한 설명이다. 틀린 것은?
     1. 3상에는 사용할 수 없다는 단점이 있다.
     2. 1차 권선과 2차 권선의 일부가 공통으로 되어 있다.
     3. 동일 출력에 대하여 사용 재료 및 손실이 적고 효율이 높다.
     4. 단권 변압기는 권선비가 1에 가까울수록 보통 변압기에 비해 유리하다.

     정답 : []
     정답률 : 85%

9. JK FF에서 현재상태의 출력 Qn을 1로 하고, J입력에 0, K입력에 0을 클럭펄스 CP에 rising edge의 신호를 가하게 되면 다음 상태의 출력 Qn+1은 무엇이 되는가?

   

     1. 1
     2. 0
     3. X
     4.

     정답 : []
     정답률 : 63%

10. 합성수지몰드공사에 사용하는 몰드 홈의 폭과 깊이는 몇 ㎝ 이하가 되어야 하는가? (단, 두께는 1.2㎜ 이상이다.)
     1. 1.5
     2. 2.5
     3. 3.5
     4. 4.5

     정답 : []
     정답률 : 67%
     <문제 해설>
*합성수지 몰드공사
1. 홈의 폭과 길이의 비:3.5[cm]이하
2. 두께:2[mm]이상

사람이 접촉할 우려가 없는경우
3. 폭:5[cm]이하
4. 두께:1[mm]이상

11. 3상 유도전동기의 2차 입력, 2차 동손 및 슬립을 각각 P2, P2c, s라 하면 이들의 관계식은?
     1. s=P2c+P2
     2. s=P2c-P2
     3. s=P2c×P2
     4.

     정답 : []
     정답률 : 83%

12. f(t)=sintcost를 라플라스변환하면?
     1.
     2.
     3.
     4.

     정답 : []
     정답률 : 58%

13. 선간거리 D(m)이고, 반지름이 r(m)인 선로의 인덕턴스 L(mH/km)은?
     1.
     2.
     3.
     4.

     정답 : []
     정답률 : 88%

14. 변압기에서 여자전류를 감소시키려면?
     1. 접지를 한다.
     2. 우수한 절연물을 사용한다.
     3. 코일의 권회수를 증가시킨다.
     4. 코일의 권회수를 감소시킨다.

     정답 : []
     정답률 : 74%

15. 역률을 개선하면 전력요금의 절감과 배전선의 손실경감, 전압강하의 감소, 설비여력의 증가 등을 기할 수 있으나, 너무 과보상하면 역효과가 나타난다. 즉, 경부하시에 콘덴서가 과대 삽입되는 경우의 결점에 해당되는 사항이 아닌 것은?
     1. 송전손실의 증가
     2. 전압변동폭의 감소
     3. 모선 전압의 과상승
     4. 고조파 왜곡의 증대

     정답 : []
     정답률 : 70%
     <문제 해설>
*경부하시 콘덴서가 과대 삽입되는 경우
1. 앞선 역률에 의한 전력손실이 생긴다.
2. 모선전압의 과상승
3. 설비용량이 감소하여 과부하가 될 수 있다.
4. 고조파 왜곡의 증대

16. 전기설비기술기준의 판단기준에 의하여 전력용 커패시터의 뱅크용량이 15000kVA 이상인 경우에는 자동적으로 전로로부터 자동 차단하는 장치를 시설하여야 한다. 장치를 시설하여야 하는 기준으로 틀린 것은?
     1. 과전류가 생긴 경우에 동작하는 장치
     2. 과전압이 생긴 경우에 동작하는 장치
     3. 내부에 고장이 생긴 경우에 동작하는 장치
     4. 절연유의 농도변화가 있는 경우에 동작하는 장치

     정답 : []
     정답률 : 83%
     <문제 해설>
절연유의 농도변화가 있는 경우에 동작하는 장치는 전력용 커패시터의 뱅크용량과 관련이 없습니다.
절연유의 농도변화는 주로 변압기와 같은 기기에서 절연 상태를 모니터링하는 데 사용되는 지표입니다
[해설작성자 : 동부산폴리텍승강기안전과]

17. 그림은 동기발전기의 특성을 나타낸 곡선이다. 단락곡선은 어느 것인가? (단,Vn은 정격전압, In 정격전류, If 계자전류, Is는 단락전류이다.)

    

     1. A
     2. B
     3. C
     4. D

     정답 : []
     정답률 : 82%

18. 변압기의 철손과 동손을 측정할 수 있는 시험으로 옳은 것은?
     1. 철손 : 무부하시험, 동손 : 단락시험
     2. 철손 : 부하시험, 동손 : 유도시험
     3. 철손 : 단락시험, 동손 : 극성시험
     4. 철손 : 무부하시험, 동손 : 절연내력시험

     정답 : []
     정답률 : 87%
     <문제 해설>
1. 무부하시험 : 무부하손 (철손)과 여자전류를 측정하기 위해서 무부하시험을 실시합니다. 보통 저압측에 정격주파수의 정격전압을 가하여 시험을 실시합니다.
2. 단락시험 : 동손과 임피던스 전압을 측정하기 위하여 단락시험을 실시합니다. 정격주파수의 전원을 사용하여 정격전류가 흐르게 되는 전압 (임피던스 전압)을 가하고, 그 때의 전력계의 지시로부터 와트를 측정합니다.
[해설작성자 : 동부산폴리텍승강기안전과]

19. 합성수지관 공사에 의한 저압 옥내배선의 시설 기준으로 틀린 것은?
     1. 전선은 옥외용 비닐 절연전선을 사용할 것
     2. 습기가 많은 장소에 시설하는 경우 방습장치를 할 것
     3. 전선은 합성수지관 안에서 접속점이 없도록 할 것
     4. 관의 지지점간의 거리는 1.5m 이하로 할 것

     정답 : []
     정답률 : 83%
     <문제 해설>
1. 전선은 절연전선을 사용해야 하며, 옥외용 비닐 절연전선은 제외됩니다
[해설작성자 : 동부산폴리텍승강기안전과]

20. 전등 및 소형기계기구의 용량합계가 25kVA, 대형 기계기구 8kVA의 학교에 있어서 간선의 전선 굵기 산정에 필요한 최대 부하는 몇 kVA 인가? (단, 학교의 수용률은 70% 이다.)
     1. 18.5
     2. 28.5
     3. 38.5
     4. 48.5

     정답 : []
     정답률 : 65%
     <문제 해설>
`10kVA 초과분에 값에만 70%수용률을 적용    25-10 = 15    *0.7 = 10.5

10+8+10.5=28.5kVA
[해설작성자 : 열공]

2과목 : 임의구분


21. 다음과 같은 회로에서 저항 R이 0Ω인 것을 사용하면 무슨 문제가 발생하는가?

    

     1. 저항 양단의 전압이 커진다.
     2. 저항 양단의 전압이 작아진다.
     3. 낮은 전압이 인가되어 문제가 없다.
     4. 스위치를 ON 했을 때 회로가 단락된다.

     정답 : []
     정답률 : 87%

22. 그림과 같은 직렬형 인버터에 대해서 L=1mH, C=8㎌일 때 출력 주파수를 1kHz로 할 경우 거의 정현파의 출력전압 파형이 얻어진다. 이 때 부하 저항 R은 몇 Ω인가?

    

     1. 13.5
     2. 18.5
     3. 23.0
     4. 27.5

     정답 : []
     정답률 : 50%
     <문제 해설>
등가Z=R=(Xc-XL)
            =루트Xc제곱-XL제곱
            =루트2파이fc분의1의제곱 - 2파이fL제곱
[해설작성자 : 은성규]

23. AND게이트 1개와 배타적 OR게이트 1개로 구성되는 회로는?
     1. 전가산기 회로
     2. 반가산기 회로
     3. 전비교기 회로
     4. 반비교기 회로

     정답 : []
     정답률 : 84%

24. 3상 전류원 인버터(CSI)에 관한 설명이다. 틀린 것은?
     1. 입력이 3상 교류이다.
     2. 일종의 병렬 인버터이다.
     3. 출력 전류의 파형이 구형파이다.
     4. 입력 임피던스의 값이 클수록 좋다.

     정답 : []
     정답률 : 55%
     <문제 해설>
인버터는 직류를 교류로 바꾸는 회로이므로 입력은 직류이어야 한다.

25. 영상 변류기(ZCT)를 사용하는 계전기는?
     1. OCR
     2. SGR
     3. UVR
     4. DFR

     정답 : []
     정답률 : 75%
     <문제 해설>
SGR : 방향성 지락계전기
[해설작성자 : 진]

26. 10진수 74210을 3초과 코드로 표시하면?
     1. 101001110101
     2. 011101000010
     3. 010000010000
     4. 111111111111

     정답 : []
     정답률 : 65%
     <문제 해설>
각숫자에 3을 더한다.
7+3=10
4+3=7
2+3=5
그리고 10,7,5를 10진수로 변환한다
[해설작성자 : 만만하니]

아래와 같은 오류 신고가 있었습니다.
여러분들의 많은 의견 부탁 드립니다.
추후 여러분들의 의견을 반영하여 정답을 수정하도록 하겠습니다.
참고로 정답 변경은 오류 신고 5회 이상일 경우 수정합니다.

[오류 신고 내용]
10,7,5를 10진수로 변환한다 ← 4 digit 2진수로 변환한다.
[해설작성자 : 철웅거사]

27. 평균 구면 광도 100cd의 전구 5개를 지름 10m인 원형의 방에 점등할 때 이방이 평균 조도는 약 몇 lx인가? (단, 조명율은 0.5, 감광보상율은 1.5이다.)
     1. 24.5
     2. 26.7
     3. 32.6
     4. 48.2

     정답 : []
     정답률 : 62%
     <문제 해설>
FuN = EAD 이용하여 문제를 풀어보면,
F= 광도 * sr, 구의 sr 은 4*pi (3.14), 그러므로, F=100* 4* pi.
u=0.5 (조명률)
N= 5개
E: 광도, lx (본 문제가 요구하는 미지수)
A: 바닥 면적, 원형 방으로 지금 10m 이므로, 5^2 * pi
D: 감광보상율 0.5

400*pi X 0.5 X 5 = E (lx) X pi*5^2 X 1.5
여기서 E = 26.6666666.... (lx)
[해설작성자 : 철웅거사]

E = 100 x 4π x 5 x 0.5 / π x 5^2 x 1.5 = 26.66 ≒ 26.7 lx
[해설작성자 : 동부산폴리텍승강기안전과]

28. 직류기에서 전기자 반작용을 방지하기 위한 보상권선의 전류방향은?
     1. 계자 전류 방향과 같다.
     2. 계자 전류 방향과 반대이다.
     3. 전기자 전류 방향과 같다.
     4. 전기자 전류 방향과 반대이다.

     정답 : []
     정답률 : 61%
     <문제 해설>
*보상권선: 전기자반작용 방지를 위한 가장 유효한 방법으로 계자극에 홈을 파고 권선을 감아 "전기자와 직렬로 연결하여 반대방향의 전류를 흘려줌"으로서 대부분의 전기자반작용 상쇄

29. 전등회로 절연전선을 동일한 셀룰라 덕트에 넣을 경우 그 크기는 전선의 피복을 포함한 단면적의 합계가 셀룰라 덕트 단면적의 몇 % 이하가 되도록 선정하여야 하는지 기준으로 옳은 것은?
     1. 20
     2. 32
     3. 40
     4. 48

     정답 : []
     정답률 : 61%

30. 병렬 운전 중의 A, B 두 동기 발전기에서 A발전기의 여자를 B보다 강하게 하면 A발전기는 어떻게 변화 되는가?
     1. π/2앞선 전류가 흐른다.
     2. π/2뒤진 전류가 흐른다.
     3. 동기화 전류가 흐른다.
     4. 부하 전류가 증가한다.

     정답 : []
     정답률 : 63%

31. 코로나 방지 대책으로 적당하지 않은 것은?
     1. 가선 금구를 개량한다.
     2. 복도체 방식을 채용한다.
     3. 선간 거리를 증가시킨다.
     4. 전선의 외경을 증가시킨다.

     정답 : []
     정답률 : 73%
     <문제 해설>
*코로나 방지대책
1. 굵은 전선 사용(복도체, ACSR, 중공연선 등)
2. 코로나 임계전압을 높게 한다.
3. 가선금구를 개량한다.

32. 30 V/m인 전계 내의 50V점에서 1C의 전하를 전계 방향으로 70㎝이동한 경우 그 점의 전위는 몇 V인가?
     1. 71
     2. 29
     3. 21
     4. 19

     정답 : []
     정답률 : 55%
     <문제 해설>
V=E*R=50-30*0.7=29

33. 60㎐, 20극, 11400W의 3상 유도전동기가 슬립 5%로 운전될 때 2차 동손이 600W이다. 이 전동기의 전부하시의 토크는 약 몇 kg·m인가?
     1. 32.5
     2. 28.5
     3. 24.5
     4. 20.5

     정답 : []
     정답률 : 42%
     <문제 해설>
0.975*(P/N)    
N={(120*60)/20}*0.95=342
0.975*(11400/342)=32.5
[해설작성자 : 열공]

34. 용량이 같은 두 개의 콘덴서를 병렬로 접속하면 직렬로 접속할 때보다 용량은 어떻게 되는가?
     1. 2배 증가한다.
     2. 4배 증가한다.
     3. 1/2로 감소한다.
     4. 1/4로 감소한다.

     정답 : []
     정답률 : 69%
     <문제 해설>
*콘덴서 용량
1. 직렬 = C/2
2. 병렬 = 2C

35. 100mH의 자기 인덕턴스에 220V, 60㎐의 교류 전압을 가하였을 때 흐르는 전류는 약 몇 A인가?
     1. 1.86
     2. 3.66
     3. 5.84
     4. 7.24

     정답 : []
     정답률 : 52%
     <문제 해설>
I= V/XL

XL=2파이FL : 2파이x 60 x 0.1 = 37.69
I= V/XL 220/37.69 = 5.83A
[해설작성자 : 공부하자]

36. 그림과 같은 회로는?

    

     1. 비교 회로
     2. 가산 회로
     3. 반일치 회로
     4. 감산 회로

     정답 : []
     정답률 : 81%

37. 1500kW, 6000V, 60㎐의 3상 부하의 역률이 75%(뒤짐)이다. 이 때 이부하의 무효분은 약 몇 kVar인가?
     1. 1092
     2. 1278
     3. 1323
     4. 1754

     정답 : []
     정답률 : 50%
     <문제 해설>
1500 kW는 역률 75%가 적용된 '유효전력'이다.
그러므로, 피상전력은 Pa = 1500 / .75 = 2000 kVA
무효전력 = Pa * root (1 - .75 ^ 2) = 1322.875 = 1323 [kVar]
[해설작성자 : 철웅거사]

1500유효전력 75% 역률
            유효전력                             유효전략            1500
역률= --------    ,    피상전력= --------    =    ------- = 2000KVA
            피상전력                                 역률                0.75
                                    ------------------------------ -             ---------------------
무효전력=             √피산전력 제곱2 - 유효전력 제곱2     =     √2000 제곱2 - 1500 제곱2 = 1322.87 KVAR
[해설작성자 : 공부하자]

38. 그림과 같은 회로에서 스위치 S를 닫을 때 t초 후의 R에 걸리는 전압은?

    

     1.
     2.
     3.
     4.

     정답 : []
     정답률 : 58%

39. 그림과 같은 회로는 어떤 논리동작을 하는가? (단, A, B는 입력이며, F는 출력이다.)

    

     1. NAND
     2. NOR
     3. AND
     4. OR

     정답 : []
     정답률 : 70%
     <문제 해설>
A, B 둘 중에 어느 하나라도 high (즉, 1)이 입력이 되면, 출력 F는 low (즉, 0)가 된다.
입력이 0, 0 일 때만, 1 (high)로 출력이 되므로,
OR 회로의 반전인 NOR 회로이다.
[해설작성자 : 철웅거사]

40. 직류 발전기의 극수가 10극이고, 전기자 도체수가 500, 단중 파권일 때 매극의 자속수가 0.01Wb이면 600rpm의 속도로 회전할 때의 기전력은 몇 V 인가?
     1. 200
     2. 250
     3. 300
     4. 350

     정답 : []
     정답률 : 69%
     <문제 해설>
E=10*500*0.01*600/60*2(파권일때 2, 중권일때 극수와 같음)=250[V]

41. 그림과 같은 논리회로의 논리함수는?

    

     1. 0
     2. 1
     3. A
     4.

     정답 : []
     정답률 : 60%
     <문제 해설>
전단계의 OR gate 중에서, A,B 값의 조합 ( 00, 01, 10, 11) 어떠한 경우에도 하나의 gate는 0이 된다.
그러므로, 후단의 AND gate의 입력 중에 단 하나라도 0가 되면 그 결과는 0가 된다.
[해설작성자 : 철웅거사]

42. 전격살충기를 시설 할 경우 전격격자와 시설물 또는 식물 사이의 이격거리는 몇 ㎝ 이상 이어야 하는가?
     1. 10
     2. 20
     3. 30
     4. 40

     정답 : []
     정답률 : 80%

43. 저압 연접인입선의 시설기준으로 옳은 것은?
     1. 옥내를 통과하여 시설할 것
     2. 폭 4m를 초과하는 도로를 횡단하지 말 것
     3. 지름은 최소 1.5mm2 이상의 경동선을 사용할 것
     4. 인입선에서 분기하는 점으로부터 100m를 초과하지 말 것

     정답 : []
     정답률 : 81%

44. 소맥분, 전분, 기타의 가연성 분진이 존재하는 곳의 저압 옥내배선 공사방법으로 적합하지 않은 것은?
     1. 합성수지관 공사
     2. 금속관 공사
     3. 가요전선관 공사
     4. 케이블 공사

     정답 : []
     정답률 : 82%

45. 3상 3선식 선로에서 수전단 전압 6.6kV, 역률 80%(지상), 600kVA의 3상 평형부하가 연결되어 있다. 선로의 임피던스 R=3Ω, X=4Ω인 경우 송전단 전압은 약 몇 V인가?
     1. 6852
     2. 6957
     3. 7037
     4. 7543

     정답 : []
     정답률 : 44%
     <문제 해설>
1.732*(600/6.6*1.732)*(3*0.8+4*0.6)=436
6600+436=7036
[해설작성자 : 재빵이]

46. 다음 중 SCR에 대한 설명으로 가장 옳은 것은?
     1. 게이트 전류로 애노드 전류를 연속적으로 제어 할 수 있다.
     2. 쌍방향성 사이리스터이다.
     3. 게이트 전류를 차단하면 애노드 전류가 차단된다.
     4. 단락상태에서 애노드 전압을 0 또는 부(-)로 하면 차단상태로 된다.

     정답 : []
     정답률 : 81%

47. 최대 사용전압이 7kV 이하인 발전기의 절연 내력을 시험하고자 한다. 최대사용전압의 몇 배의 전압으로 권선과 대지사이에 연속하여 몇 분간 가하여야 하는지 그 기준을 옳게 나타낸 것은?
     1. 1.5배, 10분
     2. 2배, 10분
     3. 1.5배, 1분
     4. 2배, 1분

     정답 : []
     정답률 : 76%

48. 전력 원선도에서 구할 수 없는 것은?
     1. 조상용량
     2. 과도안정 극한전력
     3. 송전손실
     4. 정태안정 극한전력

     정답 : []
     정답률 : 81%

49. 3상 유도 전동기의 제동방법 중 슬립의 범위를 1~2 사이로 하여 제동하는 방법은?
     1. 역상제동
     2. 직류제동
     3. 단상제동
     4. 회생제동

     정답 : []
     정답률 : 64%

50. 방향 계전기의 기능에 대한 설명으로 옳은 것은?
     1. 예정된 시간지연을 가지고 응동(應動)하는 것을 목적으로 한 계전기이다.
     2. 계전기가 설치된 위치에서 보는 전기적 거리등을 판별해서 동작한다.
     3. 보호구간으로 유입하는 전류와 보호구간에서 유출되는 전류와의 벡터차와 출입하는 전류와의 관계비로 동작하는 계전기이다.
     4. 2개 이상의 벡터량 관계위치에서 동작하며 전류가 어느 방향으로 흐르는가를 판정하는 것을 목적으로 하는 계전기이다.

     정답 : []
     정답률 : 80%

51. 나전선 상호 또는 나전선과 절연전선, 캡타이어 케이블 또는 케이블과 접속하는 경우의 설명으로 옳은 것은?
     1. 접속슬리브(스프리트슬리브 제외), 전선 접속기를 사용하여 접속하여야 한다.
     2. 접속부분의 절연은 전선 절연물의 80% 이상의 절연효력이 있는 것으로 피복하여야 한다.
     3. 접속부분의 전기저항을 증가시켜야 한다.
     4. 전선의 강도는 30%이상 감소하지 않아야 한다.

     정답 : []
     정답률 : 74%

52. 출력 10kVA, 정격 전압에서 철손이 85W,뒤진 역률 0.8, 3/4부하에서 효율이 가장 큰 단상 변압기가 있다. 역률 1 일 때 최대 효율은 약 몇 %인가?
     1. 96.2
     2. 97.8
     3. 98.8
     4. 99.1

     정답 : []
     정답률 : 56%
     <문제 해설>
철손과 동손이 같을때 가정하여 풀이
효율 = 출력/(출력+철손+동손)     *    100
3/4부하 이기때문에    출력은
출력= 10*(3/4)*0.8 = 6kW 유효출력
효율 = (6000/(6000+85+85))*100 = 97.24
85를 2번 더해주는 이유는 문제가 최대효율 이기 때문에 철손과 동손이 같다는 가정하에 계산
[해설작성자 : 하다보면]

역률 1 이라는 말이 있으니 7500/(7500+85+85) = 0.9778
[해설작성자 : comcbt.com 이용자]

53. 총 설비용량 80kW, 수용률 60%, 부하율 75%인 부하의 평균전력은 몇 kW인가?
     1. 36
     2. 64
     3. 100
     4. 178

     정답 : []
     정답률 : 50%
     <문제 해설>
평균= 설비용량*수용률*부하율
80*0.6*0.75 = 36kW
[해설작성자 : 열공]

54. 3상 전파 정류회로에서 부하는 100Ω의 순저항 부하이고, 전원 전압은 3상 220V(선간전압), 60㎐이다. 평균 출력전압(V) 및 출력전류(A)는 각각 얼마인가?
     1. 149V, 1.49A
     2. 297V, 2.97A
     3. 381V, 3.81A
     4. 419V, 4.19A

     정답 : []
     정답률 : 61%
     <문제 해설>
Vd=1.35V =1.35x220=297 [V]    I= Vd/R= 2.97[A]    
[해설작성자 : KJM]

55. 어떤 작업을 수행하는데 작업소요시간이 빠른 경우 5시간, 보통이면 8시간, 늦으면 12시간 걸린다고 예측 되었다면 3점 견적법에 의한 기대 시간치와 분산을 계산하면 약 얼마인가?
     1. te=8.0, б2=1.17
     2. te=8.2, б2=1.36
     3. te=8.3, б2=1.17
     4. te=8.3, б2=1.36

     정답 : []
     정답률 : 55%
     <문제 해설>
기대= (5+4.8+12)÷6=8.2
분산= ((12-5)÷6)제곱
[해설작성자 : Eunsk]

56. 계량값 관리도에 해당되는 것은?
     1. c관리도
     2. u관리도
     3. R관리도
     4. np관리도

     정답 : []
     정답률 : 69%

57. 작업측정의 목적 중 틀린 것은?
     1. 작업개선
     2. 표준시간 설정
     3. 과업관리
     4. 요소작업 분할

     정답 : []
     정답률 : 55%

58. 일반적으로 품질코스트 가운데 가장 큰 비율을 차지하는 것은?
     1. 평가코스트
     2. 실패코스트
     3. 예방코스트
     4. 검사코스트

     정답 : []
     정답률 : 85%

59. 계수 규준형 샘플링 검사의 OC곡선에서 좋은 로트를 합격시키는 확률을 뜻하는 것은? (단, α는 제1종과오, β는 제2종과오이다.)
     1. α
     2. β
     3. 1-α
     4. 1-β

     정답 : []
     정답률 : 76%
     <문제 해설>
α: 생산자의 위험
β: 소비자의 위험
1-α: 합격시키고 싶은 lot의 부적합률
1-β: 불합격시키고 싶은 lot의 합격될 확률

60. 정규분포에 관한 설명 중 틀린 것은?
     1. 일반적으로 평균치가 중앙값보다 크다.
     2. 평균을 중심으로 좌우대칭의 분포이다.
     3. 대체로 표준편차가 클수록 산포가 나쁘다고 본다.
     4. 평균치가 0이고 표준편차가 1인 정규분포를 표준정규분포라 한다.

     정답 : []
     정답률 : 70%


정 답 지

1

2

3

4

5

6

7

8

9

10

11

12

13

14

15

16

17

18

19

20

21

22

23

24

25

26

27

28

29

30

31

32

33

34

35

36

37

38

39

40

41

42

43

44

45

46

47

48

49

50

51

52

53

54

55

56

57

58

59

60

전기기능장 필기 기출문제(해설) 및 CBT 2016년04월02일을 이용해 주셔서 감사합니다.
, 필기, 기출문제, 전자문제집, CBT, 온라인, 모의테스트, 모의고사



List of Articles
번호 제목 글쓴이 날짜 조회 수
4063 전기기능장 필기 기출문제(해설) 및 CBT 2008년03월30일(7666) new 좋은아빠되기 2025.11.25 0
4062 전기기능장 필기 기출문제(해설) 및 CBT 2008년07월13일(7667) new 좋은아빠되기 2025.11.25 0
4061 전기기능장 필기 기출문제(해설) 및 CBT 2009년03월29일(7668) new 좋은아빠되기 2025.11.25 1
4060 전기기능장 필기 기출문제(해설) 및 CBT 2009년07월12일(7669) new 좋은아빠되기 2025.11.25 0
4059 전기기능장 필기 기출문제(해설) 및 CBT 2010년03월28일(7670) new 좋은아빠되기 2025.11.25 0
4058 전기기능장 필기 기출문제(해설) 및 CBT 2010년07월11일(7671) new 좋은아빠되기 2025.11.25 0
4057 전기기능장 필기 기출문제(해설) 및 CBT 2011년04월17일(7672) new 좋은아빠되기 2025.11.25 0
4056 전기기능장 필기 기출문제(해설) 및 CBT 2011년07월31일(7673) new 좋은아빠되기 2025.11.25 0
4055 전기기능장 필기 기출문제(해설) 및 CBT 2012년04월08일(7674) new 좋은아빠되기 2025.11.25 0
4054 전기기능장 필기 기출문제(해설) 및 CBT 2012년07월22일(7675) new 좋은아빠되기 2025.11.25 0
4053 전기기능장 필기 기출문제(해설) 및 CBT 2013년04월14일(7676) new 좋은아빠되기 2025.11.25 0
4052 전기기능장 필기 기출문제(해설) 및 CBT 2013년07월21일(7677) new 좋은아빠되기 2025.11.25 0
4051 전기기능장 필기 기출문제(해설) 및 CBT 2014년04월06일(7678) new 좋은아빠되기 2025.11.25 0
4050 전기기능장 필기 기출문제(해설) 및 CBT 2014년07월20일(7679) new 좋은아빠되기 2025.11.25 0
4049 전기기능장 필기 기출문제(해설) 및 CBT 2015년04월04일(7680) new 좋은아빠되기 2025.11.25 0
4048 전기기능장 필기 기출문제(해설) 및 CBT 2015년07월19일(7681) new 좋은아빠되기 2025.11.25 0
» 전기기능장 필기 기출문제(해설) 및 CBT 2016년04월02일(7682) new 좋은아빠되기 2025.11.25 0
4046 전기기능장 필기 기출문제(해설) 및 CBT 2016년07월10일(7683) new 좋은아빠되기 2025.11.25 0
4045 전기기능장 필기 기출문제(해설) 및 CBT 2017년03월05일(7684) new 좋은아빠되기 2025.11.25 0
4044 전기기능장 필기 기출문제(해설) 및 CBT 2017년07월08일(7685) new 좋은아빠되기 2025.11.25 0
Board Pagination Prev 1 ... 733 734 735 736 737 738 739 740 741 742 ... 941 Next
/ 941