자격증 필기 기출문제



소방설비산업기사(전기) 필기 기출문제(해설) 및 CBT 2013년03월10일(7713)

최강 자격증 기출문제 전자문제집 CBT : www.comcbt.com


전자문제집 CBT란?

종이 문제집이 아닌 인터넷으로 문제를 풀고 자동으로 채점하며 모의고사, 오답 노트, 해설까지 제공하는
무료 기출문제 학습 프로그램으로 실제 상설검정에서 사용하는 OMR 형식의 CBT를 제공합니다.


최신 소방설비산업기사(전기) 필기 기출문제 : [다운로드]

1과목 : 소방원론


1. 위험물안전관리법령상 품명이 특수인화물에 해당하는 것은?
     1. 등유
     2. 경유
     3. 디에틸에테르
     4. 휘발유

     정답 : []
     정답률 : 94%

2. 어떤 기체의 확산 속도가 이산화탄소의 2배였다면 그 기체의 분자량은 얼마로 예상할 수 있는가?
     1. 11
     2. 22
     3. 44
     4. 88

     정답 : []
     정답률 : 62%
     <문제 해설>
확산속도는 분자량의 1/4
CO2의 분자량은 44이므로 11
[해설작성자 : 정신병원수석환자]

3. 건축물의 주요구조부가 아닌 것은?
     1. 기둥
     2. 바닥
     3.
     4. 옥외계단

     정답 : []
     정답률 : 92%
     <문제 해설>
주요구조부가 아닌걸로는
옥외계단, 사이기둥, 차양, 최하층 바닥, 작은 보
이정도 있습니다
[해설작성자 : .소방 합격.]

4. 다음 중 인체에 가장 강한 독성을 가지고 있는 것은?
     1. 이산화탄소
     2. .산소
     3. 질소
     4. 포스겐

     정답 : []
     정답률 : 89%

5. 제4류 위험물을 취급하는 위험물제조소에 설치하는 게시판의 주의사항으로 옳은 것은?
     1. 물기주의
     2. 화기주의
     3. 화기엄금
     4. 충격주의

     정답 : []
     정답률 : 89%

6. 가연성 기체와 공기를 미리 혼합 시킨 후에 연소시키는 연소형태는?
     1. 확산연소
     2. 표면연소
     3. 분해연소
     4. 예혼합연소

     정답 : []
     정답률 : 89%

7. 복사에 관한 Stefan-Boltzmann 의 법칙에서 흑체의 단위표면적에서 단위 시간에 내는 에너지의 총량은 절대온도의 얼마에 비례하는가?
     1. 제곱근
     2. 제곱
     3. 3제곱
     4. 4제곱

     정답 : []
     정답률 : 84%

8. 연소시 분해연소의 전형적인 특성을 보여줄 수 있는 것은?
     1. 휘발유
     2. 목재
     3. 목탄
     4. 나프탈렌

     정답 : []
     정답률 : 76%

9. 연기의 농도가 감광계수로 10일 때의 상황을 옳게 설명한 것은?
     1. 가시거리는 0.2 ~ 0.5m이고 화재 최성기 때의 농도
     2. 가시거리는 5m 이고 어두운 것을 느낄 정도의 농도
     3. 가시거리는 20 ~ 30m 이고 연기감지기가 작동할 정도의 농도
     4. 가시거리는 10m 이고 출화실에서 연기가 분출할 때의 농도

     정답 : []
     정답률 : 80%

10. 피난계획의 일반원칙 중 fail safe 원칙에 해당하는 것은?
     1. 피난경로는 간단 명료할 것
     2. 두 방향 이상의 피난통로를 확보하여 둘 것
     3. 피난수단은 이동식 시설을 원칙으로 할 것
     4. 그림을 이용하여 표시를 할 것

     정답 : []
     정답률 : 79%

11. 제3종 분말소화약제의 열분해시 발생되는 생성물이 아닌 것은?
     1. NH3
     2. HPO3
     3. CO2
     4. P2O5

     정답 : []
     정답률 : 56%
     <문제 해설>
아래와 같은 오류 신고가 있었습니다.
여러분들의 많은 의견 부탁 드립니다.
추후 여러분들의 의견을 반영하여 정답을 수정하도록 하겠습니다.
참고로 정답 변경은 오류 신고 5회 이상일 경우 수정합니다.

[오류 신고 내용]
답이2개네요
4번은 오산화인이며 인산암모늄생성물이 아닙니다 H2O입니다
2번 CO2 정답입니다

[추가 오류 신고]

3종 분말 소화약제의 반응식은
NH4H2PO4 -> NH3 + HPO3 + H2O
입니다
답 3번4버 두개네요.
[해설작성자 : ㅅ]

[오류신고 반론]
3종 분말소화약제를 300도까지 열분해 할 경우 NH3 + HPO3 + H2O 가 생성되는데
이때 생성된 메타인산(HPO3)을 250도에서 열분해할 경우 오산화인(P2O5)과 물(H2O)이 생성됩니다.

이정도 문제는 소방관리사 시험에서 출제되는 수준이라 참고만 하셔도 되는데
답은 3번 하나라는 점 참고바랍니다.
[해설작성자 : 안알랴줌]

12. 액체 물 1g이 100℃, 1기압에서 수증기로 변할 때 열의 흡수량은 몇 cal 인가?
     1. 439
     2. 539
     3. 639
     4. 739

     정답 : []
     정답률 : 79%

13. 정전기의 축적을 방지하기 위한 대책에 해당되지 않는 것은?
     1. 접지를 한다.
     2. 물질의 마찰을 크게 한다.
     3. 공기를 이온화한다.
     4. 공기의 상대습도를 일정 수준 이상으로 유지한다.

     정답 : []
     정답률 : 88%

14. 다음 중 증기압의 단위가 아닌 것은?
     1. mmHg
     2. kPa
     3. N/cm2
     4. cal/℃

     정답 : []
     정답률 : 65%

15. 연소의 3요소는 가연물, 산소공급원, 점화원이다. 다음 중 산소공급원이 될 수 없는 것은?
     1. 염소산칼륨
     2. 관사화나트륨
     3. 질산나트륨
     4. 네온

     정답 : []
     정답률 : 85%

16. 위험물안전관리법령상 위험물에 속하지 않는 것은?
     1. 경유
     2. 질산
     3. 수산화칼슘
     4. 황린

     정답 : []
     정답률 : 68%

17. 포 소화약제에서 포가 갖추어야 할 구비조건 중 틀린 것은?
     1. 유동성이 좋아야 한다.
     2. 비중이 커야 한다.
     3. 유면봉쇄성이 좋아야 한다.
     4. 내유성이 좋아야 한다.

     정답 : []
     정답률 : 63%

18. ABC급 분말소화기 약제의 주성분에 해당하는 것은?
     1. NH4H2PO4
     2. NaHCO3
     3. KHCO3
     4. Al2(SO4)3

     정답 : []
     정답률 : 86%

19. 물분무소화설비의 주된 소화효과로만 나열된 것은?
     1. 냉각효과, 질식효과
     2. 질식효과, 연쇄반응 차단효과
     3. 냉각효과, 연쇄반응 차단효과
     4. 연쇄반응 차단효과, 희석효과

     정답 : []
     정답률 : 88%

20. 할론 1301 소화약제와 이산화탄소 소화약제의 주된 소화효과를 순서대로 가장 적합하게 나타낸 것은?
     1. 억제소화 - 질식소화
     2. 억제소화 - 부촉매소화
     3. 냉각소화 - 억제소화
     4. 질식소화 - 부촉매소화

     정답 : []
     정답률 : 73%

2과목 : 소방전기회로


21. 그림과 같은 회로에서 흐르는 전류 I는? (단, E=80∠0°[V], R=10[Ω], XL=20[Ω], XC=8[Ω]이다.)

    

     1. 5[A]
     2. 10[A]
     3. 15[A]
     4. 20[A]

     정답 : []
     정답률 : 59%
     <문제 해설>
I=루트(1/R)2+(1/Xc-1/XL)2 x V
루트(1/10)2+(1/8-1/20)2x 80 = 10[A]
[해설작성자 : 기싱꿍꼬또]

22. 두 코일이 있다. 한 코일의 전류가 매초 20[A]의 비율로 변화할 때 다른 코일에는 1[V]의 기전력이 발생하였다면 두 코일의 상호인덕턴스는?
     1. 0.05[H]
     2. 0.25[H]
     3. 0.50[H]
     4. 1.25[H]

     정답 : []
     정답률 : 56%
     <문제 해설>
e=-L i/t 에서 1= L * 20/1    L=1/20    0.05H
[해설작성자 : comcbt.com 이용자]

23. 이미터접지 트랜지스터회로에서 입력신호와 출력신호의 관계는?
     1. 90도의 위상차가 있다.
     2. 180도의 위상차가 있다.
     3. 270도의 위상차가 있다.
     4. 위상차가 거의 없다.

     정답 : []
     정답률 : 55%

24. 그림과 같은 파형의 순시값은?

    

     1.
     2.
     3.
     4.

     정답 : []
     정답률 : 47%
     <문제 해설>
sin앞에는 최대값(m)이 들어가야 한다.
따라서, "20"

ω(각주파수) = 2πft 공식에서 f는 1/T(주기)
그림 정현파의 한주기가 40[m/s]이므로, f = 1/(40x103)[Hz]
따라서, ω = 2π(1/(40x103))t
공식은 Nπt형태이므로 N = 2x(1/(40x103)) = "50"
[해설작성자 : 김제나루토]

25. 전기식 조작기기의 특성을 잘못 설명한 것은?
     1. 적응성이 대단히 넓고 특성의 변경이 쉽다.
     2. 장거리의 전송이 가능하고 늦음이 적다.
     3. 출력은 작고 안전성을 위해 방폭형이 필요하다.
     4. 속응성이 유압식에 비해 빠르다.

     정답 : []
     정답률 : 52%
     <문제 해설>
시간이 짧을수록 속응성이 크다고 한다.
[해설작성자 : 봉식이형아]

26. 다음 중 정류시 맥동률이 가장 적은 정류방식은?
     1. 단상 반파정류
     2. 단상 전파정류
     3. 3상 반파정류
     4. 3상 전파정류

     정답 : []
     정답률 : 73%

27. 정전압 다이오드(diode)라고 불리는 것은?
     1. 터널 다이오드
     2. 쇼트키 다이오드
     3. 제너 다이오드
     4. 발광 다이오드

     정답 : []
     정답률 : 83%

28. 부피가 일정한 전선을 m배의 길이로 늘리면 저항은 어떻게 되는가?
     1. 1/m로 줄어든다.
     2. 1/m2로 줄어든다.
     3. m배로 된다.
     4. m2배로 된다.

     정답 : []
     정답률 : 53%

29. 기전력 E[V], 내부저항 r[Ω]인 건전지가 n개 직렬로 연결되었을 때 내부 저항과 기전력은?
     1.
     2.
     3.
     4.

     정답 : []
     정답률 : 60%

30. 제어장치가 제어대상에 가하는 제어신호로 제어장치의 출력인 동시에 제어대상의 입력인 신호는?
     1. 제어량
     2. 조작량
     3. 목표값
     4. 동작신호

     정답 : []
     정답률 : 75%

31. 다음은 측정의 정밀도 등을 표시하는데 사용되고 있는 것이다. ( )의 알맞은 내용은?

    

     1. ① 정도, ② 확도
     2. ① 정도, ② 감도
     3. ① 편차, ② 확도
     4. ① 확도, ② 편차

     정답 : []
     정답률 : 61%

32. 변압기의 고압측에 몇 대의 탭을 만들어 놓았다. 그 이유는?
     1. 부하전류를 조정하기 위하여
     2. 변압기의 여자전류를 조정하기 위하여
     3. 수전점의 전압을 조정하기 위하여
     4. 예비용 단자로 사용하기 위하여

     정답 : []
     정답률 : 49%

33. 그림과 같은 논리기호는?

    

     1. OR 게이트
     2. AND 게이트
     3. NOT 게이트
     4. NOR 게이트

     정답 : []
     정답률 : 79%
     <문제 해설>
참고로 NOR게이트는 입력값이 모두 0일때만 1출력
[해설작성자 : .소방 합격.]

34. 조도는 광원으로부터의 거리와 어떠한 관계가 있는가?
     1. 거리가 비례한다.
     2. 거리에 반비례한다.
     3. 거리의 제곱에 비례한다.
     4. 거리의 제곱에 반비례한다.

     정답 : []
     정답률 : 63%
     <문제 해설>
     I
E=----
     L^2
(E:조도, I:광도, L:거리)
[해설작성자 : 나그네]

35. 무선주파증폭에 복동조 회로를 사용할 경우 옳은 것은?
     1. 증폭도를 크게 높일 수가 있다.
     2. 왜곡을 줄일 수 있다.
     3. 전력 효율을 높일 수 있다.
     4. 선택도를 해치지 않고 대역폭을 넓게 할 수 있다.

     정답 : []
     정답률 : 63%

36. 그림과 같은 회로에서 합성저항 Rab는? (단, 저항의 단위는 [Ω]이다.)

    

     1. 10[Ω]
     2. 12[Ω]
     3. 15[Ω]
     4. 67[Ω]

     정답 : []
     정답률 : 62%

37. 동기 발전기를 병렬 운전하고자 하는 경우 같지 않아도 되는 것은?
     1. 기전력의 주파수
     2. 발전기의 용량
     3. 기전력의 위상
     4. 기전력의 크기

     정답 : []
     정답률 : 74%

38. 그림과 같은 피드백 제어계의 폐루프 전달함수는?

    

     1.
     2.
     3.
     4.

     정답 : []
     정답률 : 58%
     <문제 해설>
C = RG - CG
C + CG = RG
(1+G)C = RG
C/R = G/(1+G)
[해설작성자 : 봉식이형아]

39. 피드백(Feed Back)제어계의 설명 중 틀린 것은?
     1. 제어장치, 제어대상, 검출부 등으로 구성되어 있다.
     2. 신호의 통로가 열려있는 제어계통으로 개루프 제어계이다.
     3. 정확성과 대역폭이 증가한다.
     4. 제어결과를 측정, 목표로 하는 동작과 비교 수정동작을 한다.

     정답 : []
     정답률 : 59%
     <문제 해설>
2.피드백제어계는    폐-루프 제어계 이다.
[해설작성자 : 깅힝]

40. 다음은 회로의 전압, 전류를 측정하기 위한 전류계, 전압계의 연결방법을 설명한 것이다. ①과 ②에 들어갈 알맞은 내용은?

    

     1. ① 직렬, ② 직렬
     2. ① 병렬, ② 병렬
     3. ① 직렬, ② 병렬
     4. ① 병렬, ② 직렬

     정답 : []
     정답률 : 78%

3과목 : 소방관계법규


41. 전문소방시설공사업의 법인인 경우 자본금기준은 얼마인가?
     1. 5천만원 이상
     2. 1억원 이상
     3. 2억원 이상
     4. 3억원 이상

     정답 : []
     정답률 : 80%

42. 소방안전관리자를 해임한 경우 해임한 날로부터 며칠 이내에 재선임하여야 하는가?
     1. 7일
     2. 15일
     3. 30일
     4. 60일

     정답 : []
     정답률 : 76%

43. 하자보수 대상 소방시설의 하자보수 보증기간이 다음 중 다른 것은?
     1. 자동식소화기
     2. 비상경보설비
     3. 무선통신보조설비
     4. 유도등 및 유도표지

     정답 : []
     정답률 : 58%

44. 소방업무에 필요한 경비의 일부를 보조하는 국고보조 대상사업의 범위가 아닌 것은?
     1. 소화활동설비
     2. 소방자동차
     3. 소방정
     4. 소방전용통신설비

     정답 : []
     정답률 : 62%

45. 소방안전관리자를 선임하여야 하는 특정소방대상물 중 1급 소방안전관리대상물의 일반적 기준에 해당하지 않는 것은?
     1. 연면적 15000m2 이상인 것
     2. 특정소방 대상물로서 층수가 11층 이상인 것
     3. 물분무 등 소화설비를 설치하는 특정소방대상물
     4. 가연성 가스를 1000톤 이상 저장ㆍ취급하는 시설

     정답 : []
     정답률 : 55%

46. 위험물안전관리법상 제1류 위험물의 성질은?
     1. 산화성 액체
     2. 가연성 고체
     3. 금수성 물질
     4. 산화성 고체

     정답 : []
     정답률 : 80%

47. 소방방재청장, 소방본부장 또는 소방서장은 소방특별조사를 하려면 관계인에게 조사대상, 조사기간 및 조사사유 등을 며칠 전에 서면으로 알려야 하는가?
     1. 3일전
     2. 7일전
     3. 10일전
     4. 14일전

     정답 : []
     정답률 : 66%
     <문제 해설>
위험물이나 물건의 보관기간
건축허가 등의 취소통보
소방공사 감리원의 배치통보일
소방공사 감리결과 통보. 보고일
소방특별조사 조사대상 기간 사유 서면 통지일
종합정밀검진 작동기능점검 결과보고서 제출일
[해설작성자 : 화명동 와꾸대장]

48. 관리의 권원이 분리되어 있는 특정소방대상물에서 공동 소방안전관리자를 선임하지 않아도 되는 것은?
     1. 연면적이 5000m2 이상인 복합건축물
     2. 지하구
     3. 판매시설 중 도매시장 및 소매시장
     4. 지하층을 제외한 층수가 11층 이상인 고층 건축물

     정답 : []
     정답률 : 61%
     <문제 해설>
1.고층건축물(지하층 제외 11층)
2.지하가
3.복합건축물 연면적 5000m2이상
4.복합건축물 5층 이상
5.도•소매시장
6.소방본부장,소방서장이 지정한 것

*보기의 2번 지하구 x 지하가 o
[해설작성자 : 기싱꿍꼬또]

지하구의 경우 소방본부장 또는 소방서장의 별도 지정이 있어야만 공동 소방안전관리자를 선임한다.
[해설작성자 : 안알랴줌]

49. 화재의 확대가 빠른 특수가연물의품명과 수량의 기준으로 옳지 않은 것은?
     1. 발포시킨 합성수지류 : 20m3 이상
     2. 가연성 액체류 : 2m3 이상
     3. 넝마 및 종이부스러기 : 400kg 이상
     4. 볏짚류 : 1000kg 이상

     정답 : []
     정답률 : 54%
     <문제 해설>
넝마 및 종이부스러기-1000kg
[해설작성자 : comcbt.com 이용자]

50. 건축허가를 함에 있어서 소방본부장 또는 소방서장의 동의를 받아야 하는 건축물 등의 범위에 속하는 것은?
     1. 승강기 등 기계장치에 의한 주차시설로서 자동차 10대를 주차할 수 있는 시설
     2. 연면적이 300m2 인 업무시설로 사용되는 건축물
     3. 차고ㆍ주차장으로 사용되는 총 중 바닥면적이 150m2 인 건축물
     4. 연면적이 200m2인 노유자시설 및 수련시설

     정답 : []
     정답률 : 61%
     <문제 해설>
1. 10대 -> 20대
2. 300m2 -> 400m2
3. 150m2 -> 200m2
[해설작성자 : .소방 합격.]

51. 소방방재청장은 명예직의 소방대원으로 위촉 할 수 있다. 이에 해당되는 사람은?
     1. 소방기술사
     2. 소방안전관리자
     3. 소발설비기사로서 경력 8년 이상인 사람
     4. 소방행정발전에 공로가 있다고 인정되는 사람

     정답 : []
     정답률 : 72%

52. 합성수지류 방염업의 방염처리시설 중 하나 이상의 시설을 갖추어야 하는데 이에 속하지 않는 것은?
     1. 제조설비
     2. 이송설비
     3. 성형설비
     4. 가공설비

     정답 : []
     정답률 : 58%

53. 소방법의 정의에서 소방대상물의 관계인으로 옳지 않은 것은?
     1. 감리자
     2. 관리자
     3. 점유자
     4. 소유자

     정답 : []
     정답률 : 69%

54. 단독경보형감지기를 설치하여야 하는 특정소방대상물의 기준으로 옳지 않은 것은?
     1. 연면적 1000m2 미만의 아파트
     2. 연면적 1000m2 미만의 기숙사
     3. 연면적 800m2 미만의 숙박시설
     4. 수련시설 내에 있는 연면적 2000m2 미만의 기숙사

     정답 : []
     정답률 : 52%
     <문제 해설>
숙박시설 600m2 미만
[해설작성자 : 기싱꿍꼬또]

55. 화재조사를 하는 관계인의 정당한 업무를 방해하거나 화재조사를 수행하면서 알게 된 비밀을 다른 사람에게 누설한 사람에 대한 벌칙은?
     1. 100만원 이하의 벌금
     2. 150만원 이하의 벌금
     3. 200만원 이하의 벌금
     4. 300만원 이하의 벌금

     정답 : []
     정답률 : 72%
     <문제 해설>
소방특별조사 결과에 따라 소방공무원 등이 관계인의 정당한 업무를 방해하거나, 조사 중 알게 됨 비밀을 누설하는 경우
소방시설법에 따라 1년 이하의 징역 또는 1천만원 이하의 벌금에 처합니다.

하지만

화재조사를 하는 관계 공무원이 관계인의 정당한 업무를 방해하거나 비밀을 누설하는 경우
소방기본법에 따라 300만원 이하의 벌금에 처해집니다.....

소방특별조사와 화재조사에 따라 벌칙이 다르게 적용됩니다.
[해설작성자 : 안알랴줌]

56. 특정소방대상물의 관계인 또는 발주자는 당해 도급계약의 수급인이 도급계약을 해지할 수 있는 경우가 아닌 것은?
     1. 소방시설업이 영업정지 처분을 받은 때
     2. 소방시설업이 등록취소 된 경우
     3. 소방시설업을 휴업한 때
     4. 정당한 사유 없이 20일 이상 소방시설공사를 계속하지 아니하는 때

     정답 : []
     정답률 : 67%
     <문제 해설>
30일 이상 공사를 안할 때
[해설작성자 : ㅇㅈㅎ]

57. 위험물을 취급하는 설비에서 정전기를 유효하게 제거하기 위한 방법으로 거리가 먼 것은?
     1. 접지에 의한 방법
     2. 자동적으로 압력의 상승을 정지시키는 방법
     3. 공기를 이온화하는 방법
     4. 공기중의 상대습도를 70% 이상으로 하는 방법

     정답 : []
     정답률 : 69%

58. 화재예방강화지구내에서의 소방관서의 행정행위로 틀린 것은?
     1. 소방본부장 또는 소방서장은 화재예방강화지구 안의 관계인에게 소방시설의 유지관리를 위한 자체점검을 연 1회 이상 실시하여야 한다.
     2. 소방본부장 또는 소방서장은 화재예방강화지구 안의 관계인에 대하여 소방상 필요한 훈련 및 교육을 연 1회 이상 실시하여야 한다.
     3. 소방본부장 또는 소방서장은 소방상 필요한 훈련 및 교육을 실시하고자 하는 때에는 화재예방강화지구 안의 관계인에게 훈련 또는 교육 10일 전가지 그 사실을 통보하여야 한다.
     4. 소방본부장 또는 소방서장은 화재예방강화지구 안의 소방대상물의 위치ㆍ구조 및 설비 등에 대한 화재안전조사를 연 1회 이상 실시하여야 한다.

     정답 : []
     정답률 : 38%
     <문제 해설>
화재경계지구 명칭은 법령 개정으로 화재예방강화지구로 변경되었습니다.
소방특별조사 또한 화재안전조사로 명칭이 변경되었습니다.

화재의 예방 및 안전관리에 관한 법률
[시행 2022. 12. 1.] [법률 제18523호, 2021. 11. 30., 제정]
제정ㆍ개정이유 안의 내용입니다.

"화재경계지구"를 화재예방의 중요성을 명확하게 나타내기 위하여 "화재예방강화지구"로 명칭을 변경하고, 시ㆍ도지사로 하여금 조례로 정하는 바에 따라 화재예방강화지구 안의 소방설비 등의 설치에 필요한 비용을 지원할 수 있도록 함
"소방특별조사"를 조사의 목적이 분명히 드러날 수 있도록 "화재안전조사"로 명칭을 변경하고, 화재안전조사의 투명성 확보를 위하여 사전에 조사대상, 조사기간 및 조사사유 등을 관계인에게 통지하도록 하며, 화재안전조사를 실시한 경우 그 결과를 인터넷 홈페이지나 전산시스템 등에 공개할 수 있도록 함


[이전 해설]
소방기본법에 따라 화재경계지구 내의 소방시설에 대해서는 소방특별조사를 연 1회 이상 실시하고

소방시설법에 따라 특정소방대상물의 소방시설 등에 대해서는 자체점검을 연 2회 이상(작동기능점검 1회 이상, 종합정밀점검 1회 이상/또는 반기 1회 이상) 실시한다.
[해설작성자 : 안알랴줌]

59. 제조소 등의 관계인은 위험물 제조소 등의 화재예방과 화재 등 재해발생시 비상조치를 우해 작성하는 예방규정은 시ㆍ도지사에게 언제가지 제출하여야 하는가?
     1. 매년도 10월 30일 까지
     2. 위험물 제조소 등의 허가신청 시 제출
     3. 위험물 제조소 등의 사용 시작 전까지 제출
     4. 제출의무는 없으며 자체적으로 예방규정 수립

     정답 : []
     정답률 : 56%

60. 소방관서 종합상황실의 실장이 기록ㆍ관리하여야 하는 내용에 속하지 않는 것은?
     1. 재난상황이 발생되지 않도록 하기 위한 예방관리업무 규정의 제정
     2. 하급소방기관에 대한 출동지령 또는 동급 이상의 소방기관 및 유관기관에 대한 지원요청
     3. 접수된 재난상황을 검토하여 가까운 소방서에 인력 및 장비의 동원을 요청하는 등의 사고수습
     4. 화재, 재난, 재해 그 밖에 구조ㆍ구급이 필요한 상황의 발생의 신고접수

     정답 : []
     정답률 : 68%

61. 비상콘센트설비에서 비상콘센트용 풀박스 등의 두께 및 재질은?
     1. 1.2mm 이상의 철판
     2. 1.6mm 이상의 철판
     3. 1.2mm 이상의 합성수지
     4. 1.6mm 이상의 합성수지

     정답 : []
     정답률 : 68%

62. 피난기구의 위치를 표시하는 표지에 측광식 표지를 부착하였다. 기준으로 적합하지 않은 것은?
     1. 위치표시는 주위 조도 0[lx]에서 60분간 발광 후 직선거리 20m 떨어진 위치에서 쉽게 식별할 수 있는 것으로 할 것
     2. 위치표지의 표시 면은 쉽게 변형ㆍ변질 또는 변색되지 아니할 것
     3. 위치표지의 표시 면의 휘도는 주위 조도 0[lx]에서 60분간 발광 후 7[mcd/m2]으로 할 것
     4. 방사선물질을 사용하는 위치표지는 쉽게 파괴되지 않는 재질로 처리할 것

     정답 : []
     정답률 : 62%
     <문제 해설>
위치표지는 주위 조도 0[㏓]에서 60분간 발광 후 직선거리 "10m" 떨어진 위치에서 보통시력으로 표시면의 문자 또는 화살표등을 쉽게 식별할 수 있는 것으로 할 것
[해설작성자 : 악마지훈]

63. P형 수신기의 감지기회로 배선에 있어서 공통선에 접속할 수 있는 경계구역의 수화 전로저항의 기준은?
     1. 경계구역 6개 이하, 전로저항 50Ω 이하
     2. 경계구역 6개 이하, 전로저항 100Ω 이하
     3. 경계구역 7개 이하, 전로저항 50Ω 이하
     4. 경계구역 7개 이하, 전로저항 100Ω 이하

     정답 : []
     정답률 : 57%

64. 자동화재탐지설비의 수신기 설치기준으로 옳지 않은 것은?
     1. 수신기가 설치된 장소에는 경계구역 일람도를 비치할 것
     2. 하나의 경계구역은 하나의 표시등 또는 하나의 문자로 표시되도록 할 것
     3. 수신기의 조작스위치는 높이에 관계없이 작동하기 편리한 장소에 설치할 것
     4. 수신기는 감지기ㆍ중계기 또는 발신기가 작동하는 경계 구역을 표시할 수 있는 것으로 할 것

     정답 : []
     정답률 : 79%

65. 다음 중 비상전원의 종류로 틀린 것은?
     1. 자가발전설비
     2. 비상전원수전설비
     3. 축전지설비
     4. 비상전동설비

     정답 : []
     정답률 : 50%

66. 자동화재탐지설비에서 감지기 사이의 회로배선을 송배전식으로 하고, 감지기회로 말단에 종단저항을 설치하는 이유는?
     1. 도통시험을 하기 위해서
     2. 동작시험을 하기 위해서
     3. 저전압시험을 하기 위해서
     4. 공통선시험을 하기 위해서

     정답 : []
     정답률 : 85%

67. 지상에 설치하는 무선기기 접속단자는 보행거리 몇 [m]이내마다 설치하는가?
     1. 50m
     2. 150m
     3. 250m
     4. 300m

     정답 : []
     정답률 : 44%

68. 비상경보설비의 음향장치는 정격전압의 몇 % 이상에서 음향을 발하여야 하는가?
     1. 60%
     2. 70%
     3. 80%
     4. 85%

     정답 : []
     정답률 : 85%

69. 연기감지기는 부착 높이에 따라 다음 표에 따른 바닥면적마다 1개 이상으로 설치하여야 한다. ( )의 적당한 내용으로 알맞은 것은?

    

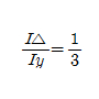
     1. ① 75m2, ② 50m2
     2. ① 50m2, ② 75m2
     3. ① 50m2, ② 50m2
     4. ① 75m2, ② 100m2

     정답 : []
     정답률 : 58%
     <문제 해설>
감지기 150m2    50m2 (1/3띵)
             75m2
            (반띵)            
[해설작성자 : 봉식이형아]

70. 단독경보형감지기의 설치기준으로 옳지 않은 것은?
     1. 각 실마다 설치한다.
     2. 최상층의 계단실 천장(외기가 상통하는 계단실의 경우 제외)에 설치한다.
     3. 바닥면적이 100m2를 초과하는 경우 100m2마다 1개 이상을 설치한다.
     4. 상용전원을 주전원으로 사용하는 단독경보형감지기의 2차 전지는 소방법에 따른 제품검사에 합격한 것을 사용한다.

     정답 : []
     정답률 : 70%
     <문제 해설>
100m^2    ->     150m^2
[해설작성자 : 봉식이형아]

71. 비상방송설비의 설치기준으로 옳은 것은?
     1. 음량조정기를 설치하는 경우 음량조정기의 배선은 2선식으로 할 것
     2. 기동장치에 의한 화재신호를 수신한 후 필요한 음량으로 유효한 방송이 자동으로 개시될 때가지 소요시간은 20초 이내로 할 것
     3. 조작부의 조작스위치는 바닥으로부터 0.8m 이상 1.2m 이하의 높이에 설치할 것
     4. 하나의 특정소방대상물에 2 이상 조작부가 설치된 경우 조작부 상호간 동시통화가 가능한 설비를 설치하고, 어느 조작부에서도 전구역에 방송을 할 수 있도록 할 것

     정답 : []
     정답률 : 68%

72. 거실통로유도등의 설치기준으로서 옳은 것은?
     1. 바닥으로부터 높이 1.5m 이상의 위치에 설치할 것
     2. 거실의 통로가 벽체 등으로 구획된 경우에는 비상구유도등을 설치할 것
     3. 거실의 출입구에 설치할 것
     4. 구부러진 모퉁이 및 수평거리 10m 마다 설치할 것

     정답 : []
     정답률 : 55%
     <문제 해설>
2.    거실의 통로가 벽체 등으로 구획된 경우에는 비상구유도등을 설치할 것 → 복도 통로유도등을 설치 할 것
3.    거실의 출입구에 설치할 것 → 거실 통로에 설치
4.    구부러진 모퉁이 및 수평거리 10m 마다 설치할 것 → 보행거리 20M마다 설치
[해설작성자 : comcbt.com 이용자]

73. 비상콘센트는 바닥으로부터 어느 높이에 설치하여야 하는가?
     1. 0.8m 이상 1.2m 이하
     2. 0.8m 이상 1.5m 이하
     3. 1.0m 이상 1.2m 이하
     4. 1.0m 이상 1.5m 이하

     정답 : []
     정답률 : 79%

74. 누전경보기의 주요 구성요소로서 옳은 것은?
     1. 변류기, 수신기, 증폭기, 음향장치
     2. 차단기, 음향장치, 수신기, 변류기
     3. 감지기. 변류기, 수신기, 차단기
     4. 발신기, 수신기, 음향장치, 변류기

     정답 : []
     정답률 : 56%
     <문제 해설>
아래와 같은 오류 신고가 있었습니다.
여러분들의 많은 의견 부탁 드립니다.
추후 여러분들의 의견을 반영하여 정답을 수정하도록 하겠습니다.
참고로 정답 변경은 오류 신고 5회 이상일 경우 수정합니다.

[오류 신고 내용]
답 2번..........
[해설작성자 : 장성호]

[추가 오류 신고]
답이 2번인데 ... 왜 1번으로 나온거지..    누전경보기 구성요소는 변류기,수신기,음향장치,차단기 가 맞는데....
[해설작성자 : 소산기]

[관리자 입니다.
다른 문제집 확인 가능한분 계시면 확인 부탁 드립니다.
신고시 출판사명까지 기제 부탁 드립니다.]

75. 보상식 스포트형 감지기의 성능에 해당되는 것은?
     1. 광전식과 차동식의 성능을 겸한 것
     2. 이온화식과 정온식의 성능을 겸한 것
     3. 광전식과 이온화식의 성능을 겸한 것
     4. 정온식과 차동식의 성능을 겸한 것

     정답 : []
     정답률 : 62%

76. 누전경보기의 공창작동 전류값으로 옳은 것은?
     1. 100mA 이하
     2. 200mA 이하
     3. 300mA 이하
     4. 400mA 이하

     정답 : []
     정답률 : 67%
     <문제 해설>
누설경보기 200mA     : 누2암 (누이야 암바사 가꼬온나)
[해설작성자 : 봉식이형아]

77. 휴대용 비상조명등 설치기준 중 옳지 않은 것은?
     1. 사용 시 자동으로 점등되는 구조일 것
     2. 숙박시설에는 객실 또는 영업장안의 구획된 실마다 잘 보이는 곳에 1개 이상 설치할 것
     3. 영화상영관에는 보행거리 50m 이내마다 3개 이상 설치 할 것
     4. 지하상가 및 지하역사에는 보행거리 50m 이내마다 3개이상 설치할 것

     정답 : []
     정답률 : 64%
     <문제 해설>
지하상가 및 지하역사에는 보행거리 25m 이내마다 3개이상 설치할 것
[해설작성자 : comcbt.com 이용자]

78. 다음 건축물에 자동화재탐지설비의 경계구역을 설정하려고 한다. 최소 몇 개 이상으로 나누어야 하는가?

    

     1. 2개
     2. 3개
     3. 4개
     4. 5개

     정답 : []
     정답률 : 52%
     <문제 해설>
하나의 경계구역은 600m2 로 하돼    2개 이상의 경계구역이 500m2 이하이면, 하나도 합칠 수 있다
따라서 1층 1300m2 = 600 600 100 = 3개 ,     2층 320 3층 170 = 490 = 1개
총4개
[해설작성자 : Yonhill]

79. 소방회로용의 것으로 수전설비, 변전설비, 그 밖의 기기 및 배선을 금속제 외함에 수납한 것을 무엇이라 하는가?
     1. 전용분전반
     2. 공용분전반
     3. 전용큐비클식
     4. 공용큐비클식

     정답 : []
     정답률 : 44%

80. 감지기의 종류별 설치기준으로 옳지 않은 것은?
     1. 스포트형감지기는 45°이상 경사되지 아니하도록 부착할 것
     2. 열전대식 차동식분포형 감지기는 하나의 검출부에 접속하는 열전대부가 30개 이하로 할 것
     3. 공기관식 차동식분포형 감지기의 검출부는 5°이상 경사되지 아니하도록 부착할 것
     4. 연기감지기는 벽 또는 보로부터 0.6m 이상 떨어진 곳에 설치할 것

     정답 : []
     정답률 : 60%
     <문제 해설>
열전대식 차동식분포형감지기의 하나의 검출부에 접속하는 열전대부는 4개 이상 20개 이하.
[해설작성자 : 헤이즐럿]


정 답 지

1

2

3

4

5

6

7

8

9

10

11

12

13

14

15

16

17

18

19

20

21

22

23

24

25

26

27

28

29

30

31

32

33

34

35

36

37

38

39

40

41

42

43

44

45

46

47

48

49

50

51

52

53

54

55

56

57

58

59

60

61

62

63

64

65

66

67

68

69

70

71

72

73

74

75

76

77

78

79

80

소방설비산업기사(전기) 필기 기출문제(해설) 및 CBT 2013년03월10일을 이용해 주셔서 감사합니다.
, 필기, 기출문제, 전자문제집, CBT, 온라인, 모의테스트, 모의고사



List of Articles
번호 제목 글쓴이 날짜 조회 수
» 소방설비산업기사(전기) 필기 기출문제(해설) 및 CBT 2013년03월10일(7713) 좋은아빠되기 2025.11.25 0
14787 소방설비산업기사(전기) 필기 기출문제(해설) 및 CBT 2012년09월15일(7712) 좋은아빠되기 2025.11.25 0
14786 소방설비산업기사(전기) 필기 기출문제(해설) 및 CBT 2012년05월20일(7711) 좋은아빠되기 2025.11.25 0
14785 소방설비산업기사(전기) 필기 기출문제(해설) 및 CBT 2011년10월02일(7710) 좋은아빠되기 2025.11.25 0
14784 소방설비산업기사(전기) 필기 기출문제(해설) 및 CBT 2011년03월20일(7709) 좋은아빠되기 2025.11.25 0
14783 소방설비산업기사(전기) 필기 기출문제(해설) 및 CBT 2010년05월09일(7708) 좋은아빠되기 2025.11.25 0
14782 소방설비산업기사(전기) 필기 기출문제(해설) 및 CBT 2010년03월07일(7707) 좋은아빠되기 2025.11.25 0
14781 소방설비산업기사(전기) 필기 기출문제(해설) 및 CBT 2009년08월30일(7706) 좋은아빠되기 2025.11.25 0
14780 소방설비산업기사(전기) 필기 기출문제(해설) 및 CBT 2009년05월10일(7705) 좋은아빠되기 2025.11.25 0
14779 소방설비산업기사(전기) 필기 기출문제(해설) 및 CBT 2009년03월01일(7704) 좋은아빠되기 2025.11.25 0
14778 소방설비산업기사(전기) 필기 기출문제(해설) 및 CBT 2008년09월07일(7703) 좋은아빠되기 2025.11.25 0
14777 소방설비산업기사(전기) 필기 기출문제(해설) 및 CBT 2008년05월11일(7702) 좋은아빠되기 2025.11.25 0
14776 소방설비산업기사(전기) 필기 기출문제(해설) 및 CBT 2008년03월02일(7701) 좋은아빠되기 2025.11.25 0
14775 소방설비산업기사(전기) 필기 기출문제(해설) 및 CBT 2007년09월02일(7700) 좋은아빠되기 2025.11.25 0
14774 소방설비산업기사(전기) 필기 기출문제(해설) 및 CBT 2007년05월13일(7699) 좋은아빠되기 2025.11.25 0
14773 소방설비산업기사(전기) 필기 기출문제(해설) 및 CBT 2007년03월04일(7698) 좋은아빠되기 2025.11.25 0
14772 소방설비산업기사(전기) 필기 기출문제(해설) 및 CBT 2006년09월10일(7697) 좋은아빠되기 2025.11.25 0
14771 소방설비산업기사(전기) 필기 기출문제(해설) 및 CBT 2006년05월14일(7696) 좋은아빠되기 2025.11.25 0
14770 소방설비산업기사(전기) 필기 기출문제(해설) 및 CBT 2006년03월05일(7695) 좋은아빠되기 2025.11.25 0
14769 소방설비산업기사(전기) 필기 기출문제(해설) 및 CBT 2005년09월04일(7694) 좋은아빠되기 2025.11.25 0
Board Pagination Prev 1 ... 224 225 226 227 228 229 230 231 232 233 ... 968 Next
/ 968