자격증 필기 기출문제



귀금속가공기능사 필기 기출문제(해설) 및 CBT 2008년10월05일(5회)(11014)

최강 자격증 기출문제 전자문제집 CBT : www.comcbt.com


전자문제집 CBT란?

종이 문제집이 아닌 인터넷으로 문제를 풀고 자동으로 채점하며 모의고사, 오답 노트, 해설까지 제공하는
무료 기출문제 학습 프로그램으로 실제 상설검정에서 사용하는 OMR 형식의 CBT를 제공합니다.


최신 귀금속가공기능사 필기 기출문제 : [다운로드]

1과목 : 공예디자인


1. 색체에 관한 일반적인 설명 중 틀린 것은?
     1. 노랑, 파랑 등은 순색이다.
     2. 순색 연두는 순색 녹색보다 채도가 낮다.
     3. 회색은 채도는 없고 명도만 있다.
     4. 순색에다 흰색을 섞으면 명청색(明淸色)

     정답 : []
     정답률 : 65%

2. 제도에 관한 설명 중 틀린 것은?
     1. 선, 문자 및 기호로서 구성되어 물품의 모양, 크기, 마감 및 구조를 정확하고 간결하게 표현한 것이다.
     2. 제도 용구에는 제도기, 삼각자, T자, 축척자, 제도판, 연필, 접착테이프 등이 있다.
     3. 디자인하여 설계한 것을 다시 모형을 만들어 표현하는 것을 말한다.
     4. 정확하게 제도된 도면으로 누구나, 어디서나, 언제나 같은 내용을 정확하게 전달할 수 있다.

     정답 : []
     정답률 : 86%

3. 도면에서 글자 크기의 기준이 되는 것은?
     1. 글자의 높이
     2. 글자의 넓이
     3. 글자의 굵기
     4. 글자의 대각선 길이

     정답 : []
     정답률 : 79%

4. 다음 중 등비수열은?
     1. 1:2:3:4:5:....
     2. 1:2:4:8:16:....
     3. 1:4:7:10:13:....
     4. 1:2:3:5:8:....

     정답 : []
     정답률 : 87%

5. 하나 혹은 이상이 동일하거나. 매우 유사한 요소들이 한 축선을 중심으로 서로 반대쪽에 위치하여 평행을 이룬다면 디자인의 원리 중 어디에 속하는가?
     1. 대칭균형
     2. 비대칭균형
     3. 조화
     4. 점증

     정답 : []
     정답률 : 88%

6. 검정색을 배경으로 했을 때, 다음 중 가장 눈에 잘 띄는 것은?
     1. 노란색의 핸드백
     2. 파란색의 바구니
     3. 빨간색의 전등갓
     4. 흑갈색의 항아리

     정답 : []
     정답률 : 94%

7. 다음 중 고구려 미술의 특징을 설명한 것은?
     1. 우아하고 섬세하며 순금제교구, 채화칠협 등이 이 시대의 공예품이다.
     2. 진취적이고 호전적인 국민성에 따라 늠름하고 씩씩한 기상이 나타났다.
     3. 당나라 문화를 받아들여 이를 잘 소화시켜 우리나라 미술사상 황금 시대를 이루었다.
     4. 유교의 영향으로 회화, 서예, 백자 등이 발달하였다.

     정답 : []
     정답률 : 84%

8. 다음 중 중간혼합에 해당되지 않는 것은?
     1. 병치혼합
     2. 회전혼합
     3. 평균혼합
     4. 감산혼합

     정답 : []
     정답률 : 77%

9. 다음 중 중성색에 해당되는 것은?
     1. 연두
     2. 파랑
     3. 빨강
     4. 노랑

     정답 : []
     정답률 : 85%

10. 직각삼각자와 이등변삼각자 한 조로 얻을 수 있는 각도가 아닌 것은?
     1. 75°
     2. 70°
     3. 60°
     4. 45°

     정답 : []
     정답률 : 71%

11. 다음 중 원근과 함께 자연물에 가깝게 그려지는 도법은?
     1. 입면도
     2. 평면도
     3. 투시도
     4. 전개도

     정답 : []
     정답률 : 80%

12. 다음의 달걀형 작도 중 원호 DF의 중심은?

    

     1. A
     2. B
     3. C
     4. D

     정답 : []
     정답률 : 84%

13. 항금분할의 비례로 옳은 것은?
     1. 1:√4
     2. 1:√3
     3. 1:1.818
     4. 1:1.618

     정답 : []
     정답률 : 89%

14. 두 색을 회전 혼합하면 무채색이 되는 것은?
     1. 빨강+노랑
     2. 빨강+주황
     3. 빨강+청록
     4. 빨강+보라

     정답 : []
     정답률 : 73%

15. 먼셀 휴(Munsell Hue) 라고 부르는 색상에서는 5가지 색을 같은 간격으로 배치 시켰는데 이 중에 포함되지 않는 색은?
     1. 빨강
     2. 노랑
     3. 연두
     4. 파랑

     정답 : []
     정답률 : 91%

16. 도면의 치수 기입 및 표시 방법으로 옳은 것은?
     1. 치수의 단위는 cm나 mm로 하되, cm나 mm는 표기하지 않는다.
     2. 외형선, 중심선은 치수선으로 사용한다.
     3. 가로 치수는 도면의 아래쪽에서, 세로 치수는 도면의 오른쪽에서 읽을 수 있도록 기입한다.
     4. 반지름을 나타내는 기호는 ø이다

     정답 : []
     정답률 : 69%

17. 다음 중 십장생 문양이 가장 많이 쓰였던 시대는?
     1. 조선시대
     2. 고려시대
     3. 통일신라시대
     4. 삼국시대

     정답 : []
     정답률 : 83%

18. 검정색을 배색하였을 때의 느낌은?
     1. 부드럽고 온화하게 느껴진다.
     2. 안정되고 침착하게 느껴진다.
     3. 가볍게 느껴진다.
     4. 무겁게 느껴진다.

     정답 : []
     정답률 : 90%

19. 다음 선 중에서 고요하고 안정감을 주는 것은?
     1. 사선
     2. 곡선
     3. 수평선
     4. 수직선

     정답 : []
     정답률 : 93%

20. 다음 색채 조화에 대한 설명 중 틀린 것은?
     1. 난색은 심리적으로 느슨함과 여유를 준다.
     2. 색상을 난색계로 하면 따뜻한 느낌이다.
     3. 명도를 낮은 색으로 하면 밝고 경쾌하다.
     4. 채도가 높은 색으로 하면 강하고, 딱딱한 느낌이다.

     정답 : []
     정답률 : 79%

2과목 : 귀금속재료


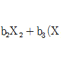
21. 다음 그림에서 얻을 수 있는 구성의 효과는? (단, a:b=1:1)

    

     1. 대비
     2. 착시
     3. 조화
     4. 통일

     정답 : []
     정답률 : 80%

22. 민예품에 대한 설명으로 옳은 것은?
     1. 상류층에서 주로 사용하는 장식품에 국한된 것
     2. 대중 생활에서 기능이 주체가 되고, 값이 저렴한 것
     3. 대량으로 생산이 불가능한 것
     4. 심미성이 주체가 되고 수량이 제한되어 희소가치가 있어야 되는 것

     정답 : []
     정답률 : 92%

23. 다음 금속 중 용융점이 가장 낮은 것은?
     1. 로듐
     2. 팔라듐
     3. 백금
     4. 순금

     정답 : []
     정답률 : 72%
     <문제 해설>
순금 1063
팔라듐 1554
백금 1773.5
로듐 1966
[해설작성자 : comcbt.com 이용자]

24. 일반적으로 귀금속 장신구의 땜 용제로 사용되는 것은?
     1. 염산
     2. 황산
     3. 붕사
     4. 왕수

     정답 : []
     정답률 : 96%

25. 광택 연마제 청봉의 산화크롬 경도는?
     1. 5
     2. 7
     3. 9
     4. 11

     정답 : []
     정답률 : 75%

26. 배릴의 변종이 아닌 것은?
     1. 에메랄드
     2. 아콰마린
     3. 고세나이트
     4. 쿤자이트

     정답 : []
     정답률 : 70%
     <문제 해설>
에메랄드,아콰마린,고셰나이트- 베릴의 변종
쿤자이트 - 스포듀민의 변종
[해설작성자 : 학생]

27. 다음 중 강옥석에 속하는 보석은?
     1. 다이아몬드
     2. 비취
     3. 루비
     4. 에메랄드

     정답 : []
     정답률 : 70%

28. 구리-주석계 합금으로 강하고 단단하며, 광택이 있고 주조하기 쉬운 금속은?
     1. 황동
     2. 청동
     3. 백동
     4. 아말감

     정답 : []
     정답률 : 62%

29. 일반적으로 양은, 양백, 니켈 실버라 하며 구리합금 중 색깔이 가장 하얀 금속은?
     1. 톰백
     2. 길딩메탈
     3. 델타메탈
     4. 저먼실버

     정답 : []
     정답률 : 89%

30. 일반 금속의 표면에 합금으로 된 금을 특수용접이나 진공증착으로 얇게 입힌 것은?
     1. 골드필드
     2. 전기도금
     3. 로듐도금
     4. 얇은 금도금

     정답 : []
     정답률 : 78%

31. 유색보석에서 연옥과 경옥은 다음 중 어떤 결정학적 공통점이 있는가?
     1. 육방정계
     2. 단사정계
     3. 등축정계
     4. 사방정계

     정답 : []
     정답률 : 50%

32. 다음 은에 대한 설명 중 틀린 것은?
     1. 비중은 10.49이다.
     2. 용융점은 960.5℃이다.
     3. 원소기호는 Au이다.
     4. 열전도 및 전기전도도가 좋다.

     정답 : []
     정답률 : 83%
     <문제 해설>
은 원소기호 Ag
[해설작성자 : comcbt.com 이용자]

33. 일반 금속 등의 표면에 얇은 층의 두께로 금을 늘려 펴서 붙인 것은?
     1. 도금
     2. 합금
     3. 금장
     4. 각인

     정답 : []
     정답률 : 71%

34. 마그네슘은 산화되기 쉬운 금속으로 용해시 용탕과 대기와의 차단이 필요하므로 배합한 용제를 사용해야 하는데 이와 관련이 없는 것은?
     1. 염화나트륨
     2. 플루오르화마그네슘
     3. 염화마그네슘
     4. 황산나트륨

     정답 : []
     정답률 : 57%

35. 다음 중 비철금속이 아닌 것은?
     1. 구리
     2. 연강
     3. 알루미늄
     4. 아연

     정답 : []
     정답률 : 72%

36. 귀금속 가공용 버프연마기의 이상적인 모터 회전수는?
     1. 1200~1400rpm
     2. 1500~1700rpm
     3. 1800~2000rpm
     4. 2100~2300rpm

     정답 : []
     정답률 : 77%

37. 금속의 일반적 성질 설명으로 틀린 것은?
     1. 일반적으로 비중이 크다.
     2. 상온에서는 고체이고, 고체상태에서는 결정을 형성한다.
     3. 금속 광택을 띠며, 열과 빛을 반사하는 힘이 작다.
     4. 외력에 대한 저항과 내구력이 크다.

     정답 : []
     정답률 : 82%

38. 금 도금에서 맥동 전류 도금을 했을 때 흑색 반점이 나타났다. 그 원인은?
     1. 금의 함유량이 너무 많다.
     2. 도금 시간이 길다.
     3. 작업물 표면이 오염되었다.
     4. 전류 밀도가 너무 낮다.

     정답 : []
     정답률 : 87%

39. 박칠보에 사용되지 않는 것은?
     1.
     2. 구리
     3.
     4.

     정답 : []
     정답률 : 84%

40. 칠보 작업에서 불순물 제거에 사용되는 약품은?
     1. 불산
     2. 콜타르
     3. 묽은 염산
     4. 염화제이철

     정답 : []
     정답률 : 51%

41. 금속 상감기법에 관한 설명 중 틀린 것은?
     1. 바탕 금속에 상감하려는 형의 외곽선 홈통 밑이 위보다 약간 넓게 쪼아서 깍아낸다.
     2. 상감할 금속은 홈의 깊이보다는 얇은 다른 금속을 사용한다.
     3. 평끌을 홈의 너비에 맞도록 갈아 만들어 빈틈 없이 가볍게 두드린다.
     4. 면 위에 나온 나머지 부분을 평면과 같게 줄 등으로 연마한다.

     정답 : []
     정답률 : 68%

42. 그림과 같은 별 모양의 조각을 하는데 가장 적합한 정의 형태는?

    

     1.
     2.
     3.
     4.

     정답 : []
     정답률 : 88%

43. 고주파 주조시 금속 산화방지에 사용되는 가스는?
     1. 아르곤가스
     2. 탄산가스
     3. 질소가스
     4. 이산화가스

     정답 : []
     정답률 : 70%

44. 세공작업장 내 전기조명으로 가장 적당한 조도는?
     1. 10 럭스 이상
     2. 100 럭스 이상
     3. 200 럭스 이상
     4. 300 럭스 이상

     정답 : []
     정답률 : 68%

45. 줄 작업의 바른 자세는?
     1. 당길 때와 밀 때 똑같이 압력을 가한다.
     2. 당길 때 압력을 가한다.
     3. 밀 때 압력을 가한다.
     4. 줄의 종류에 따라 편한대로 작업한다.

     정답 : []
     정답률 : 81%

46. 다음 중 귀금속 용해, 합금시 필요한 공구에 해당되지 않는 것은?
     1. 모루
     2. 골쇠
     3. 흑연봉
     4. 도가니

     정답 : []
     정답률 : 78%

47. 14K 금과 백금을 땜 할 때 가장 적합한 땜은?
     1. 14K 금땜
     2. 저온땜
     3. 제물땜
     4. 중땜

     정답 : []
     정답률 : 77%

48. M형 버니어 캘리퍼스를 사용하여 측정할 수 없는 것은?
     1. 내부 측정
     2. 깊이 측정
     3. 외부 측정
     4. 각도 측정

     정답 : []
     정답률 : 87%

49. 도금을 하는 목적과 무관한 것은?
     1. 금속 제품의 중량을 맞추기 위해서
     2. 금속 표면의 내식성을 좋게 하기 위해서
     3. 금속 표면의 광택성을 좋게 하기 위해서
     4. 단조로운 금속의 색을 개선하기 위해서

     정답 : []
     정답률 : 83%

50. 다음 중 부식에 대한 방식제가 아닌 것은?
     1. 래커에나멜
     2. 광명단 페인트
     3. 콜타르
     4. 염화제이철

     정답 : []
     정답률 : 63%
     <문제 해설>
원하는 부분만 부식시킬 때 사용하는 유해화학물질입니다. 즉 부식할 때 사용함.
[해설작성자 : 이희자]

51. 금속 특유의 아름다운 광택을 내는 끝마무리 연마 방법이 아닌 것은?
     1. 버프연마
     2. 배럴연마
     3. 전해연마
     4. 줄연마

     정답 : []
     정답률 : 82%

52. 땜 작업시 용제의 구비 조건에 대한 설명으로 틀린 것은?
     1. 땜의 융점보다 낮은 온도에서 용해되어 산화물을 용해하고 슬래그 상태로 되어 제거되어야 한다.
     2. 산화를 방지해야 한다.
     3. 땜보다 비중이 높아야 한다.
     4. 유동성과 침투력이 좋아야 한다.

     정답 : []
     정답률 : 81%

53. 다음 중 드로잉(drawing) 종류가 아닌 것은?
     1. 봉재 드로잉
     2. 플러그 드로잉
     3. 심봉 드로잉
     4. 롤러 드로잉

     정답 : []
     정답률 : 61%

54. 가스 용접용 설비 중 충전가스 용기의 색이 틀린 것은?
     1. 산소-녹색
     2. 아르곤-회색
     3. 프로판-황색
     4. 수소-주황색

     정답 : []
     정답률 : 61%
     <문제 해설>
산소-녹색
아르곤-회색
프로판-회색
수소-주황색
[해설작성자 : 이희자]

55. 작업현장에서 사용되는 안전표지의 색채와 내용에 관한 설명 중 틀린 것은?
     1. 주황색:재해나 상해가 발생되는 장소에 위험표지
     2. 청색:방사능 등의 표시
     3. 녹색:위험, 구급장소를 나타내는 곳
     4. 흰색:방향지시, 통로의 구획선, 물품 두는 장소

     정답 : []
     정답률 : 71%

56. 다음 중 가스 종류별 용기의 표시색으로 틀린 것은?
     1. 액화염소-갈색
     2. 수소-회색
     3. 아세틸렌-황색
     4. 액화암모니아-백색

     정답 : []
     정답률 : 68%
     <문제 해설>
수소-주황색
[해설작성자 : comcbt.com 이용자]

57. 광쇠 작업에 대한 설명으로 틀린 것은?
     1. 광쇠 작업은 날을 50~100mm 정도 보이게 잡고 한다.
     2. 일감을 움직여 가며, 광쇠를 일감에 대고 누른다.
     3. 처음에는 가볍게 문지른 다음 힘을 주어 작업한다.
     4. 광쇠 날은 홈이 있으면 적절한 사포로 문질러 홈을 제거한 후 산화크롬을 바르고 광을 낸다.

     정답 : []
     정답률 : 73%

58. 금속재료를 적당한 온도로 가열하여 그 온도 속에 적당한 시간 동안 두었다가 서서히 냉각시켜 금속을 정상적인 성질로 회복시키는 열처리 방식은?
     1. 뜨임
     2. 불림
     3. 풀림
     4. 담금질

     정답 : []
     정답률 : 76%

59. 신라시대에 태환식과 세환식의 귀걸이 표면에 일정한 크기의 입자로 가식하는 기법은?
     1. 누금세공
     2. 양각
     3. 상감
     4. 투조

     정답 : []
     정답률 : 79%

60. 구리의 합금 중에서 가공용 황동의 대표적인 것으로 연신율이 크고 상당한 인장 강도를 가진 금속은?
     1. 레드 브라스
     2. 6:4 황동
     3. 7:3 황동
     4. 로 브라스

     정답 : []
     정답률 : 77%


정 답 지

1

2

3

4

5

6

7

8

9

10

11

12

13

14

15

16

17

18

19

20

21

22

23

24

25

26

27

28

29

30

31

32

33

34

35

36

37

38

39

40

41

42

43

44

45

46

47

48

49

50

51

52

53

54

55

56

57

58

59

60

귀금속가공기능사 필기 기출문제(해설) 및 CBT 2008년10월05일(5회)을 이용해 주셔서 감사합니다.
, 필기, 기출문제, 전자문제집, CBT, 온라인, 모의테스트, 모의고사



List of Articles
번호 제목 글쓴이 날짜 조회 수
5375 9급 국가직 공무원 형사소송법개론 필기 기출문제(해설) 및 CBT 2013년07월27일(10996) 좋은아빠되기 2025.11.26 0
5374 9급 국가직 공무원 전자공학개론 필기 기출문제(해설) 및 CBT 2007년04월14일(10997) 좋은아빠되기 2025.11.26 0
5373 9급 국가직 공무원 전자공학개론 필기 기출문제(해설) 및 CBT 2008년04월12일(10998) 좋은아빠되기 2025.11.26 0
5372 9급 국가직 공무원 전자공학개론 필기 기출문제(해설) 및 CBT 2009년04월11일(10999) 좋은아빠되기 2025.11.26 0
5371 9급 국가직 공무원 전자공학개론 필기 기출문제(해설) 및 CBT 2010년04월10일(11000) 좋은아빠되기 2025.11.26 0
5370 9급 국가직 공무원 전자공학개론 필기 기출문제(해설) 및 CBT 2011년04월09일(11001) 좋은아빠되기 2025.11.26 0
5369 9급 국가직 공무원 전자공학개론 필기 기출문제(해설) 및 CBT 2012년04월07일(11002) 좋은아빠되기 2025.11.26 0
5368 9급 국가직 공무원 전자공학개론 필기 기출문제(해설) 및 CBT 2013년07월27일(11003) 좋은아빠되기 2025.11.26 0
5367 9급 국가직 공무원 전자공학개론 필기 기출문제(해설) 및 CBT 2014년04월19일(11004) 좋은아빠되기 2025.11.26 0
5366 9급 국가직 공무원 전자공학개론 필기 기출문제(해설) 및 CBT 2015년04월18일(11005) 좋은아빠되기 2025.11.26 0
5365 9급 국가직 공무원 전자공학개론 필기 기출문제(해설) 및 CBT 2016년04월09일(11006) 좋은아빠되기 2025.11.26 0
5364 9급 국가직 공무원 전자공학개론 필기 기출문제(해설) 및 CBT 2017년04월08일(11007) 좋은아빠되기 2025.11.26 0
5363 9급 국가직 공무원 전자공학개론 필기 기출문제(해설) 및 CBT 2018년04월07일(11008) 좋은아빠되기 2025.11.26 0
5362 9급 국가직 공무원 전자공학개론 필기 기출문제(해설) 및 CBT 2019년04월06일(11009) 좋은아빠되기 2025.11.26 0
5361 금형기능사 필기 기출문제(해설) 및 CBT 2014년10월11일(5회)(11010) 좋은아빠되기 2025.11.26 0
5360 금형기능사 필기 기출문제(해설) 및 CBT 2015년01월25일(1회)(11011) 좋은아빠되기 2025.11.26 0
5359 금형기능사 필기 기출문제(해설) 및 CBT 2016년01월24일(1회)(11012) 좋은아빠되기 2025.11.26 0
5358 금속도장기능사 필기 기출문제(해설) 및 CBT 2008년02월03일(1회)(11013) 좋은아빠되기 2025.11.26 0
» 귀금속가공기능사 필기 기출문제(해설) 및 CBT 2008년10월05일(5회)(11014) 좋은아빠되기 2025.11.26 0
5356 청소년상담사 2급(1교시) 필기 기출문제(해설) 및 CBT 2018년10월06일(11015) 좋은아빠되기 2025.11.26 0
Board Pagination Prev 1 ... 885 886 887 888 889 890 891 892 893 894 ... 1158 Next
/ 1158