자격증 필기 기출문제



건설기계설비산업기사 필기 기출문제(해설) 및 CBT 2004년05월23일(12172)

최강 자격증 기출문제 전자문제집 CBT : www.comcbt.com


전자문제집 CBT란?

종이 문제집이 아닌 인터넷으로 문제를 풀고 자동으로 채점하며 모의고사, 오답 노트, 해설까지 제공하는
무료 기출문제 학습 프로그램으로 실제 상설검정에서 사용하는 OMR 형식의 CBT를 제공합니다.


최신 건설기계설비산업기사 필기 기출문제 : [다운로드]

1과목 : 기계제작법


1. 브라운 샤프형 밀링머신에서 직경 피치 12, 치수 76의 스퍼 기어를 절삭할 때, 분할판의 구멍열은 얼마인가?
     1. 38
     2. 32
     3. 23
     4. 19

     정답 : []
     정답률 : 알수없음

2. 나사의 측정방법이 아닌 것은?
     1. 센터게이지에 의한 나사각 측정
     2. 피치게이지에 의한 나사피치 측정
     3. 3침법에 의한 유효지름 측정
     4. 2침법에 의한 나사외경 측정

     정답 : []
     정답률 : 50%

3. 단조프레스의 용량이 5 ton, 단조물의 유효단면적이 500㎜2 인 재료를 효율 80%로 단조할 때, 이 단조 재료의 변형저항은?
     1. 4 ㎏f/㎜2
     2. 51 ㎏f/㎜2
     3. 8 ㎏f/㎜2
     4. 10 ㎏f/㎜2

     정답 : []
     정답률 : 알수없음

4. 항온 열처리의 요소 중 틀린 것은?
     1. 온도
     2. 시간
     3. 결정
     4. 변태

     정답 : []
     정답률 : 30%

5. 측정기 컴비네이숀 세트(combination set)로 측정할 수 없는 것은?
     1. 45°
     2. 60°
     3. 직각도
     4. 평행도

     정답 : []
     정답률 : 알수없음

6. 외력을 제거하면 시간과 더불어 잔류응력이 감소되는 현상을 무엇이라고 하는가?
     1. 시효경화
     2. 가공경화
     3. 탄성여효
     4. 결정성장

     정답 : []
     정답률 : 알수없음

7. 1인치에 나사산 4개의 리드 스크루(L나사)를 가지고 있는 선반으로서 1인치에 대하여 13산(山)의 나사를 깎으려면 변환기어를 어떻게 결정할 것인가? (단, A : 주축쪽 기어, C : 리드 스크루쪽 기어)
     1. A = 30, C = 20
     2. A = 20, C = 65
     3. A = 30, C = 40
     4. A = 20, C = 90

     정답 : []
     정답률 : 알수없음

8. 열간단조에 속하는 것은?
     1. 업세팅(upsetting)
     2. 코이닝(coining)
     3. 스웨이징(swaging)
     4. 콜드 헤딩(cold heading)

     정답 : []
     정답률 : 알수없음

9. 다이캐스팅(die casting)주조법에 관한 설명이다. 옳지 않은 것은?
     1. 용융금속을 강철로 만든 금속 주형중에서 대기압이상의 압력으로 압입하는 방법이다.
     2. 금속형(die)의 주성분은 Cr - Mo – V강철이다.
     3. 제품의 표면이 매끈하고 또한 두께가 얇아 중량을 가볍게 할 수 있다.
     4. 주철관(鑄鐵管), 주강관(鑄鋼管), 실린더라이너(cylinder liner)등의 제조에 사용된다.

     정답 : []
     정답률 : 알수없음

10. 금속 아크 용접봉의 피복제 작용 중 틀린 것은?
     1. 아크를 안정 시킨다.
     2. 용착금속을 보호한다.
     3. 모재의 응력집중을 방지한다.
     4. 용착금속의 급냉을 방지한다.

     정답 : []
     정답률 : 알수없음

11. 사인 바(sine bar)로 각도를 측정할 때, 필요없는 것은?
     1. 블록게이지
     2. 마이크로미터
     3. 다이얼 게이지
     4. 정반

     정답 : []
     정답률 : 알수없음

12. 슈퍼 피니싱의 특징 중 맞는 것은?
     1. 호닝, 랩핑 등과 같은면을 10초 이내의 단시간에 얻을 수 있다.
     2. 연삭립은 연삭 행정이 길어서 구성인선이 발생한다.
     3. 가공부에 고온이 발생하고, 변질층이 크게 생긴다.
     4. 방향성이 없는 다듬질면과 높은 정밀도를 얻을 수 있다.

     정답 : []
     정답률 : 알수없음

13. 인발작업에서 실시하는 파텐팅(Patenting)열처리의 대상재료로서 옳은 것은?
     1. 연강(C 0.05-0.24%)선
     2. 황동선
     3. 경강(C 0.4-0.8%) 선
     4. 청동선

     정답 : []
     정답률 : 알수없음

14. 목재, 펠트, 피혁등 탄성이 있는 재료로 된 바퀴 표면에 부착시킨 미세한 연삭 입자를 사용하여 연삭 작용을 하게 하여 공작물 표면을 다듬는 가공은 무엇인가?
     1. 폴리싱
     2. 태핑
     3. 버니싱
     4. 로울러 다듬질

     정답 : []
     정답률 : 알수없음

15. 주물사의 구비조건 중 틀린 것은?
     1. 적당한 강도를 가질 것
     2. 내화성이 클 것
     3. 통기성이 좋을 것
     4. 열전도성이 좋을 것

     정답 : []
     정답률 : 알수없음

16. 테르밋 용접(thermit welding) 이란?
     1. 원자수소의 발열을 이용하는 방법이다.
     2. 전기용접과 가스용접법을 결합시킨 것이다.
     3. 산화철과 알루미늄의 반응열을 이용한 방법이다.
     4. 액체산소를 이용한 용접법의 일종이다.

     정답 : []
     정답률 : 알수없음

17. 브로우치 작업은 어느 경우에 유효하게 이용할 수 있는가?
     1. 대칭형의 윤곽을 가공할 때
     2. 복잡한 형상의 구멍을 가공할 때
     3. 나선홈을 가공할 때
     4. 베벨 기어를 가공할 때

     정답 : []
     정답률 : 알수없음

18. 풀림(annealing) 열처리에 관한 설명으로 적합하지 않은 것은?
     1. 단조, 주조, 기계 가공에서 생긴 내부응력 제거
     2. 열처리로 인하여 경화(硬化)된 재료의 연화(軟化)
     3. 가공 또는 공작에서 연화된 재료의 경화
     4. 일정온도에서 일정시간 가열후 비교적 느린 속도로 냉각시키는 조작

     정답 : []
     정답률 : 알수없음

19. 전기 마이크로미터(electric micrometer)에 관한 설명 중 틀린 것은?
     1. 자동선별, 자동치수, 디지틀표시 등에 이용하기가 쉽다.
     2. 응답속도가 대단히 빠르다.
     3. 고속 측정이 가능하다.
     4. 그 치수가 합격인지 불합격인지 등의 신호를 간단히 얻을 수 없다.

     정답 : []
     정답률 : 알수없음

20. Wm은 주물의 중량, Sm은 주물의 비중이고, Wp는 목형의 중량, Sp는 목형의 비중이라 할 때 옳은 관계식은?
     1.
     2.
     3.
     4.

     정답 : []
     정답률 : 알수없음

2과목 : 재료역학


21. 길이 ℓ 인 외팔보(cantilever beam)의 자유단에 우력 M0= Pa를 작용시킬 때 자유단의 처짐각과 처짐을 구하면?

    

     1.
     2.
     3.
     4.

     정답 : []
     정답률 : 알수없음

22. 외팔보의 자유단에 집중하중 P가 작용하여 자유단에 처짐량이 δ = 2 cm, 처짐각이 θ =0.02 radian일 때 보의 길이는 몇 cm 인가?
     1. 100
     2. 150
     3. 200
     4. 250

     정답 : []
     정답률 : 알수없음

23. 중실축과 중공축에서 크기가 같은 전단응력과 토크가 작용할 때, 중공축 외경 d2 는 중실축경 d의 몇 배나 되겠는가 ?(단, 중공축 내외경의 비는 d2 = 2d1이다.)
     1. 2.083배
     2. 1.77배
     3. 1.022배
     4. 1.075배

     정답 : []
     정답률 : 알수없음

24. 그림과 같은 하중을 받고 있는 단순보에서 A지점의 반력 RA 는 얼마인가?

    

     1.
     2.
     3.
     4.

     정답 : []
     정답률 : 알수없음

25. 양단이 고정된 환봉을 영하 10℃의 겨울철에 완성했다고 한다. 32℃의 여름철이 되면 이 환봉에서 발생되는 응력은 몇 MPa인가? (단, E=210GPa이며, α =1.2×10-5/℃이다.)
     1. 55(인장)
     2. 106(인장)
     3. 55(압축)
     4. 106(압축)

     정답 : []
     정답률 : 10%

26. 단순 지지보 AB가 집중하중 P를 받을 때 중앙 지점의 최대 처짐량 δ 는 얼마인가?

    

     1.
     2.
     3.
     4.

     정답 : []
     정답률 : 알수없음

27. 다음 설명 중 틀린 것은?
     1. 포와송의 비는 가로 변형율을 세로 변형율로 나눈값이다.
     2. 전단탄성계수는 전단응력을 전단변형율로 나눈값이다.
     3. 안전율은 극한강도를 허용응력으로 나눈값이다.
     4. 열응력은 변형율을 탄성계수로 나눈값이다.

     정답 : []
     정답률 : 알수없음

28. 단순보에 대한 설명 중 옳지 않은 것은?
     1. 전단력이 변하지 않을 때는 굽힘모멘트는 직선적으로 변한다.
     2. 전단력이 영이 되는 단면에서 최대 굽힘모멘트가 생긴다.
     3. 전단력이 직선적으로 증가할 때 굽힘모멘트는 곡선적으로 변한다.
     4. 전단력이 최대인 단면에서는 굽힘모멘트는 최소로 된다.

     정답 : []
     정답률 : 알수없음

29. 지름 10 cm인 전동축에 3 MN.m의 굽힘모멘트와 4 MN.m의 비틀림모멘트가 작용하고 있다. 이 축에 발생하는 최대전단응력은 몇 GPa 인가?
     1. 20.4
     2. 25.5
     3. 30.6
     4. 35.7

     정답 : []
     정답률 : 알수없음

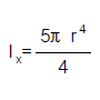
30. 지름 d=5cm인 도형의 단면 2차모멘트의 값은?
     1. 15.34 cm4
     2. 20.34 cm4
     3. 30.68 cm4
     4. 40.68 cm4

     정답 : []
     정답률 : 알수없음

31. 단면2차모멘트가 100cm4이고, 외경이 10mm인 전선을 지름 1 m인 롤에 감으려고 할 경우 필요한 굽힘모멘트는 몇 N.m 인가? (단, 전선의 탄성계수 E=100GPa이다.)

    

     1. 2×105
     2. 4×105
     3. 6×105
     4. 8×105

     정답 : []
     정답률 : 알수없음

32. 그림과 같은 T형 도형의 도심 위치 는? (단, 치수의 단위는 ㎝이다.)

    

     1. = 26.33
     2. = 27.14
     3. = 28.21
     4. = 30.01

     정답 : []
     정답률 : 알수없음

33. 동일 재료로 만든 같은 강도를 가진 원형단면의 보와 정사각형 단면보의 단면적 비는?
     1. 1 : 0.89
     2. 1 : 0.64
     3. 1 : 1.8
     4. 1 : 0.5

     정답 : []
     정답률 : 17%

34. 아래 그림과 같이 ℓ= 3 m의 외팔보의 전길이에 2 kN/m의 등분포하중과 자유단에서 2m의 곳에 4kN의 집중하중을 받을 때, 고정단에 생기는 최대굽힘 모멘트는?

    

     1. 70 N·m
     2. 15 kN·m
     3. 150 N·m
     4. 13 kN·m

     정답 : []
     정답률 : 알수없음

35. 일단고정-타단힌지인 원형단면(지름=3.2cm)장주에 압축력이 작용할때 이 단면의 좌굴응력 값은 몇 MPa 인가? (단, E=210 GPa, 기둥의 길이=8m, 오일러의 공식 적용)
     1. 33.2
     2. 21
     3. 4.14
     4. 2.13

     정답 : []
     정답률 : 알수없음

36. 다음은 어떤 돌출보에 대한 전단력선도이다. 굽힘모멘트 선도는?

    

     1.
     2.
     3.
     4.

     정답 : []
     정답률 : 알수없음

37. 길이 1m, 단면의 폭 10cm, 높이 20cm인 직사각형 단면의 외팔보의 자유단에 10kN의 하중이 작용한다. 고정단에서 0.5m 떨어진 지점에서의 최대굽힘응력은 몇 MPa인가?
     1. 5.0
     2. 7.5
     3. 10
     4. 12.5

     정답 : []
     정답률 : 알수없음

38. 긴 기둥을 오일러의 식으로 설계함에 있어서 기둥의 양단을 볼트로 체결하여 양단고정으로 하면, 기둥의 양단을 핀으로 고정하여 양단 회전으로 하는 경우에 비하여 좌굴하중을 몇배 증가시킬 수 있는가?
     1. 16배
     2. 8배
     3. 4배
     4. 2배

     정답 : []
     정답률 : 알수없음

39. 70 N.m의 비틀림모멘트를 받는 지름 70 mm의 환봉축에서 발생하는 최대전단응력은 몇 MPa인가?
     1. 0.1039
     2. 1.039
     3. 10.39
     4. 103.9

     정답 : []
     정답률 : 알수없음

40. 정사각형 단면의 봉에 25kN의 인장하중을 가하여 40MPa의 응력을 생기게 하려면 봉의 한 변의 길이는 몇 mm인가?
     1. 25
     2. 30
     3. 35
     4. 40

     정답 : []
     정답률 : 알수없음

3과목 : 기계설계 및 기계재료


41. 스프링에 대한 설명으로 틀린 것은?
     1. 에너지를 저장, 방출한다.
     2. 탄성이 작은 재료를 주로 이용한다.
     3. 진동 및 충격을 흡수 완화한다.
     4. 금속 스프링과 비금속 스프링이 있다.

     정답 : []
     정답률 : 알수없음

42. 금형재료의 품질로 올바르지 않은 것은?
     1. 고온에서 내식성이 우수하여야 한다
     2. 열처리가 용이하여야 한다
     3. 고온 강도, 경도가 우수하여야 한다
     4. 결정입자가 커야 한다

     정답 : []
     정답률 : 알수없음

43. 사각나사의 바깥지름이 26 mm 이고 피치가 6 mm, 유효지름이 22.83 mm일 때 나사의 효율은? (단, 마찰계수 μ =0.1이다)
     1. 30 %
     2. 35 %
     3. 40 %
     4. 45 %

     정답 : []
     정답률 : 알수없음

44. 탄소강 중 일반적으로 용융온도가 가장 높은 것은?
     1. 0.1% 탄소강
     2. 0.3% 탄소강
     3. 0.8% 탄소강
     4. 1.7% 탄소강

     정답 : []
     정답률 : 알수없음

45. 그림과 같은 크레인용 후크에서 W = 2Ton의 하중이 작용할 경우 가장 적당한 나사는? (단, 재질의 허용응력 σt = 5㎏f/㎜2이다.)

    

     1. M30
     2. M38
     3. M45
     4. M50

     정답 : []
     정답률 : 알수없음

46. 냉간가공한 재료를 풀림처리시 나타나는 현상으로 틀린 것은?
     1. 회복
     2. 재결정
     3. 결정립 성장
     4. 응고

     정답 : []
     정답률 : 알수없음

47. 그림과 같은 스프링 장치에서 전체 스프링 상수 K는?

    

     1. K = K1 + K2
     2.
     3.
     4. K = K1·K2

     정답 : []
     정답률 : 알수없음

48. 가공용 알루미늄합금 중 항공기나 자동차몸체용 고강도 Al-Cu-Mg-Mn계의 합금명은?
     1. 두랄루민
     2. 하이드로날륨
     3. 라우탈
     4. 실루민

     정답 : []
     정답률 : 알수없음

49. 코터가 스스로 빠져나오지 않으려면 자립상태(self sustenance)를 유지해야 하는데 양쪽 테이퍼 코터의 경우 자립상태를 유지하기 위한 조건으로 맞는 것은? (단, α 는 테이퍼각, ρ 는 마찰각이다.)
     1. α ≤ ρ
     2. 2α ≤ ρ
     3. α ≤ 2ρ
     4.

     정답 : []
     정답률 : 알수없음

50. 탄소강에 함유된 황을 제거하려면 어떤 원소를 첨가하여야 하는가?
     1. 니켈
     2. 알루미늄
     3. 망간
     4.

     정답 : []
     정답률 : 알수없음

51. 황동에서 잔류응력에 의해서 발생하는 현상은?
     1. 탈아연 부식
     2. 고온 탈아연
     3. 저온 풀림경화
     4. 자연균열

     정답 : []
     정답률 : 알수없음

52. 수차 프로펠라의 축의 지름이 200 mm로써 2,200 kgf의 트러스트를 받고 있다. 컬러베어링의 외경을 300 mm라 할 때 몇 개의 컬러가 필요한가? (단, 최대 허용압력은 0.01 kgf/mm2이다.)
     1. 3개
     2. 4개
     3. 5개
     4. 6개

     정답 : []
     정답률 : 알수없음

53. 기본 부하 용량과 동일한 베어링 하중이 작용하는 레디얼 볼베어링의 수명은 몇 회전인가?
     1. 103회전
     2. 104회전
     3. 105회전
     4. 106회전

     정답 : []
     정답률 : 알수없음

54. 신소재의 기계적 성질이 아닌 것은?
     1. 고강도성
     2. 내열성
     3. 초소성
     4. 제진성

     정답 : []
     정답률 : 알수없음

55. 1200 rpm으로 2 kw를 전달 시키려고 할때 잇수 Z=20, 모듈 m=4인 평기어의 이에 걸리는 힘은 몇 ㎏f인가?
     1. 13
     2. 22
     3. 37
     4. 41

     정답 : []
     정답률 : 알수없음

56. 그림과 같은 단면의 축이 전달할 수 있는 비틀림 모멘트의 비 TA/TB의 값은? (단, 두 재료의 재질은 같다.)

    

     1. 9/16
     2. 19/9
     3. 15/16
     4. 16/15

     정답 : []
     정답률 : 알수없음

57. 샤르피 충격시험에 대한 설명이다. 틀린 것은?
     1. 충격력에 대한 재료의 충격저항 즉 점성강도를 측정하는데 그 목적이 있다.
     2. 재료를 파괴할 때 재료의 인성(toughness) 또는 취성( brittleness)을 시험한다.
     3. Ni-Cr강의 뜨임취성, 강의 청열취성과 저온취성 등의 기계적 성질을 파악할 수 있다.
     4. 충격흡수에너지 단위면적당 충격치는 cm2/kg.m로 표시한다.

     정답 : []
     정답률 : 알수없음

58. 순철에는 몇 개의 변태점이 있는가?
     1. 1
     2. 2
     3. 3
     4. 4

     정답 : []
     정답률 : 알수없음

59. 다음은 타이밍벨트의 특징을 쓴 것이다. 이 중 옳지 않은 것은?
     1. 슬립(slip)과 크리프(creep)가 거의 없다.
     2. 속도변화가 아주 크다.
     3. 굽힘 저항이 작으므로 작은 지름을 사용할 수 있다.
     4. 저속 및 고속에서 원활한 운전이 가능하다.

     정답 : []
     정답률 : 알수없음

60. 황동의 물리적, 기계적 성질 중 옳은 것은?
     1. 전도도는 Zn 40%까지 증가하고 그 이상 50%에서 최소가 된다.
     2. 30% Zn 부근에서 연신율이 최대가 된다.
     3. 30% Zn 부근에서 인장강도가 최대가 된다.
     4. 6/4황동과 7/3황동의 비등온도는 800∼900℃이므로 주의하여야 한다.

     정답 : []
     정답률 : 알수없음

61. 유압 파워 유닛의 주요 구성 요소가 아닌 것은?
     1. 탱크
     2. 전동기
     3. 필터
     4. 매니폴드

     정답 : []
     정답률 : 알수없음

62. 유압회로에서 유압유의 점도가 너무 클 경우에 일어나는 현상이 아닌 것은?
     1. 각 부품사이에 누설 손실이 커진다.
     2. 마찰에 의한 열이 많이 발생한다.
     3. 유동의 저항이 지나치게 증가한다.
     4. 마찰손실에 의한 펌프의 동력소비가 증가한다.

     정답 : []
     정답률 : 알수없음

63. 로울러에서 다짐폭이란?
     1. 1회 통과에서 다져지는 최소두께
     2. 2회 통과에서 다져지는 최소두께
     3. 1회 통과에서 다져지는 최대폭
     4. 2회 통과에서 다져지는 최대폭

     정답 : []
     정답률 : 알수없음

64. 작동유의 점도가 장치에 대하여 너무 높은 경우 운전성능에 미치는 영향 설명으로 틀린 것은?
     1. 동력손실의 증대
     2. 내부 및 외부 누설의 증대
     3. 내부 마찰의 증대와 온도상승
     4. 장치의 관내(菅內)저항에 의한 압력증대

     정답 : []
     정답률 : 알수없음

65. 트랙터에 의해 견인되며, 앞뒤 양끝에 차축과 바퀴를 붙인것으로서 풀 트레일러(Full trailer)라고도 하는 운반용 기계는?
     1. 호이스팅 머신(hoisting machine)
     2. 트랙터 드로운 코우치(tractor drawn coach)
     3. 컨베이어 벨트(conveyor belt)
     4. 트랙터 드로운 왜건(tractor drawn wagon)

     정답 : []
     정답률 : 알수없음

66. 유압 실린더의 작동이 불확실한 이유가 아닌 것은?
     1. 작동유의 온도 상승이 지나치게 크다.
     2. 실린더 내의 기름이 충만되어 있다.
     3. 작동유에 이물이 혼입되어 있다.
     4. 패킹이 손상되어 있다.

     정답 : []
     정답률 : 알수없음

67. 불도저에서 1시간당 작업량을 K(m3/h), 사이클 시간을 Cm(min), 토량환산 계수를 f, 도저의 작업효율을 E라고 할 때, 블레이드 용량(1회의 흙 운반량) q는 어떤식으로 계산되는가?
     1.
     2.
     3.
     4.

     정답 : []
     정답률 : 알수없음

68. 베인펌프의 특징 설명으로 틀린 것은?
     1. 토출 압력의 맥동이 적다.
     2. 구동 동력에 비해 형상이 소형이다.
     3. 다른 펌프에 비해 부품수가 적은 편이다.
     4. 작동유의 점도, 청정도 등에 세심한 주의를 요한다.

     정답 : []
     정답률 : 알수없음

69. 보기 그림은 A, B 두 실린더가 순차적으로 작동이 행하여 지는 회로이다. 무슨 회로인가?

    

     1. 시퀜스 회로
     2. 언로더 회로
     3. 디컴프레션 회로
     4. 카운터 밸런스 회로

     정답 : []
     정답률 : 알수없음

70. 한쪽 방향의 유동에 대해서는 설정된 배압을 부여하지만 반대방향의 유동은 자유유동을 하는 밸브로 반드시 체크밸브가 내장된 것은?
     1. 릴리프 밸브(relief valve)
     2. 스로틀 밸브(throttle valve)
     3. 무부하 밸브(unloading valve)
     4. 카운터 밸런스 밸브(counter balance valve)

     정답 : []
     정답률 : 55%

71. 나사식 유압펌프의 특징 설명으로 틀린 것은?
     1. 운전이 조용하다.
     2. 고속 회전이 불가능하다.
     3. 점도가 낮은 기름도 사용할 수 있다.
     4. 맥동이 없는 일정량의 기름을 토출한다.

     정답 : []
     정답률 : 알수없음

72. 쇄석기계의 크기를 나타낸 것 중 잘못된 것은?
     1. 조 쇄석기 : 조 간의 최대간격× 쇄석판의 너비
     2. 로울쇄석기 : 롤의 지름× 길이
     3. 자이러토리 : 콘케이브와 맨틀사이의 간격× 맨틀지름 쇄석기
     4. 해머쇄석기 : 드럼의 지름× 길이

     정답 : []
     정답률 : 알수없음

73. 적재함을 뒤쪽으로 들어올려 적재물을 하차하는 토목공사에 가장 많이 사용되는 덤프트럭은?
     1. 사이드(side) 덤프트럭
     2. 보텀(bottom) 덤프트럭
     3. 3방향(3way) 덤프트럭
     4. 리어(rear) 덤프트럭

     정답 : []
     정답률 : 알수없음

74. 보기와 같은 그림은 어떤 밸브의 기호를 나타내는가?

    

     1. 셔틀 밸브
     2. 급속배기 밸브
     3. 릴리프 밸브
     4. 파일럿 조작 체크 밸브

     정답 : []
     정답률 : 50%

75. 작업가능 상태에서, 불도우저의 규격표시 방법은?
     1. 중량(ton)
     2. 견인력(kgf)
     3. 엔진마력(PS)
     4. 배토판의 넓이(m2)

     정답 : []
     정답률 : 알수없음

76. 로우더의 규격 표시는?
     1. 자중(ton)
     2. 최대 적재량(ton)
     3. 표준버킷의 산적용적(m3)
     4. 들어올리는 용량(m3)

     정답 : []
     정답률 : 알수없음

77. 축압기(蓄壓器;accumulator)를 유압장치에 사용하는 목적으로 다음 중 가장 중요한 것은?
     1. 펌프 맥동 흡수 및 에너지 축적용(蓄積用)
     2. 여러 밸브(valve)의 자동 조절용
     3. 유압유(油壓油)의 감속용
     4. 유압유의 증속용(增速用)

     정답 : []
     정답률 : 알수없음

78. 높은 탑이나 건물위에 설치되며, 기본 붐은 수직으로 설치되고 그 상단에 지브 붐을 연결하여 중량물을 운반하는 기계는?
     1. 케이블(cable) 크레인
     2. 휠(wheel) 크레인
     3. 크롤러(crawler) 크레인
     4. 타워(tower) 크레인

     정답 : []
     정답률 : 알수없음

79. 셔블계 굴착기의 상부회전체에 속하지 않는 것은?
     1. 동력 전달장치
     2. 조종 장치
     3. 주행 장치
     4. 회전 전동장치

     정답 : []
     정답률 : 알수없음

80. 해머자체 속에 2행정 기관을 설치하여 피스톤의 낙하와 실린더속의 연소압력으로 파일을 타격하여 작업하는 기계장치는?
     1. 차동식 해머(differential acting hammer)
     2. 단동식 파일 해머(single pile hammer)
     3. 드롭해머(drop hammer)
     4. 디젤 파일 해머(diesel pile hammer)

     정답 : []
     정답률 : 알수없음


정 답 지

1

2

3

4

5

6

7

8

9

10

11

12

13

14

15

16

17

18

19

20

21

22

23

24

25

26

27

28

29

30

31

32

33

34

35

36

37

38

39

40

41

42

43

44

45

46

47

48

49

50

51

52

53

54

55

56

57

58

59

60

61

62

63

64

65

66

67

68

69

70

71

72

73

74

75

76

77

78

79

80

건설기계설비산업기사 필기 기출문제(해설) 및 CBT 2004년05월23일을 이용해 주셔서 감사합니다.
, 필기, 기출문제, 전자문제집, CBT, 온라인, 모의테스트, 모의고사



List of Articles
번호 제목 글쓴이 날짜 조회 수
18888 화약류관리산업기사 필기 기출문제(해설) 및 CBT 2009년08월30일(12183) 좋은아빠되기 2025.11.26 0
18887 화약류관리산업기사 필기 기출문제(해설) 및 CBT 2008년03월02일(12182) 좋은아빠되기 2025.11.26 0
18886 화약류관리산업기사 필기 기출문제(해설) 및 CBT 2007년03월04일(12181) 좋은아빠되기 2025.11.26 0
18885 축산산업기사 필기 기출문제(해설) 및 CBT 2019년09월21일(12180) 좋은아빠되기 2025.11.26 0
18884 컨벤션기획사 2급(구) 필기 기출문제(해설) 및 CBT 2006년05월14일(12179) 좋은아빠되기 2025.11.26 1
18883 화약류관리산업기사 필기 기출문제(해설) 및 CBT 2011년03월20일(12178) 좋은아빠되기 2025.11.26 0
18882 화약류관리산업기사 필기 기출문제(해설) 및 CBT 2010년09월05일(12177) 좋은아빠되기 2025.11.26 3
18881 건설기계설비산업기사 필기 기출문제(해설) 및 CBT 2016년05월08일(12175) 좋은아빠되기 2025.11.26 0
18880 자연생태복원산업기사 필기 기출문제(해설) 및 CBT 2012년08월26일(12174) 좋은아빠되기 2025.11.26 0
18879 건설기계설비산업기사 필기 기출문제(해설) 및 CBT 2004년08월08일(12173) 좋은아빠되기 2025.11.26 0
» 건설기계설비산업기사 필기 기출문제(해설) 및 CBT 2004년05월23일(12172) 좋은아빠되기 2025.11.26 0
18877 건설기계설비산업기사 필기 기출문제(해설) 및 CBT 2004년03월07일(12171) 좋은아빠되기 2025.11.26 0
18876 건설기계설비산업기사 필기 기출문제(해설) 및 CBT 2003년05월25일(12170) 좋은아빠되기 2025.11.26 0
18875 건설기계설비산업기사 필기 기출문제(해설) 및 CBT 2003년03월16일(12169) 좋은아빠되기 2025.11.26 0
18874 건설기계설비산업기사 필기 기출문제(해설) 및 CBT 2002년08월11일(12168) 좋은아빠되기 2025.11.26 0
18873 건설기계설비산업기사 필기 기출문제(해설) 및 CBT 2002년05월26일(12167) 좋은아빠되기 2025.11.26 0
18872 건설기계설비산업기사 필기 기출문제(해설) 및 CBT 2002년03월10일(12166) 좋은아빠되기 2025.11.26 0
18871 소음진동기사(구) 필기 기출문제(해설) 및 CBT 2017년05월07일(12165) 좋은아빠되기 2025.11.26 0
18870 화약취급기능사 필기 기출문제(해설) 및 CBT 2012년10월20일(5회)(12164) 좋은아빠되기 2025.11.26 0
18869 화약취급기능사 필기 기출문제(해설) 및 CBT 2012년02월12일(1회)(12163) 좋은아빠되기 2025.11.26 0
Board Pagination Prev 1 ... 209 210 211 212 213 214 215 216 217 218 ... 1158 Next
/ 1158