자격증 필기 기출문제



바이오화학제품제조기사 필기 기출문제(해설) 및 CBT 2009년05월10일(12384)

최강 자격증 기출문제 전자문제집 CBT : www.comcbt.com


전자문제집 CBT란?

종이 문제집이 아닌 인터넷으로 문제를 풀고 자동으로 채점하며 모의고사, 오답 노트, 해설까지 제공하는
무료 기출문제 학습 프로그램으로 실제 상설검정에서 사용하는 OMR 형식의 CBT를 제공합니다.


최신 바이오화학제품제조기사 필기 기출문제 : [다운로드]

1과목 : 미생물공학


1. 처음 세포수가 102 cells/mL, 2시간 뒤의 세포수가 104cells/mL 이면, 이 미생물의 세대시간 (doubling time)은 약 몇 분인가?
     1. 10
     2. 18
     3. 20
     4. 25

     정답 : []
     정답률 : 75%

2. 미생물 배양액의 생균수 측정방법이 아닌 것은?
     1. 평판계수법
     2. 혼합희석배양법
     3. 멤브레인필터법
     4. 건조중량법

     정답 : []
     정답률 : 67%

3. 구연산(citric acid)의 산업적 생산에 이용되는 미생물은?
     1. Aspergillus niger
     2. Bacillus subtilis
     3. Escherichia coli
     4. Staphylococcus aureus

     정답 : []
     정답률 : 80%

4. 효모를 이용하여 포도당으로부터 에탄올을 발효 생산한다. 포도당이 전부 에탄올로 전환된다고 할 때 100g 의 포도당으로부터 얻을 수 있는 에탄올의 양은 약 몇 g 인가?
     1. 100
     2. 92
     3. 51
     4. 46

     정답 : []
     정답률 : 73%

5. 다음 [보기] 중 초산생산에 적합한 균주가 구비해야 할 요건을 모두 나열한 것은?

   

     1. A
     2. A, B
     3. A, B, C
     4. A, B, C, D

     정답 : []
     정답률 : 69%

6. 젖산발효에 관여하지 않는 균주는?
     1. 락토바실러스(Lactobacillus)속
     2. 스트렙토코커스(Streptococcus)속
     3. 슈도모나스(Pseudomonas)속
     4. 류코노스톡(Leuconostoc)속

     정답 : []
     정답률 : 89%

7. 라이신(lysine)발효를 위하여 Corynebacterium glutamicum 을 이용한 균주개량에서 가장 중요한 것은?
     1. 호모세린(Homoserine) 요구성 변이균주
     2. 항생제 내성균주
     3. 삼투압 내성균주
     4. 이소루이신(isoleucine) 요구성 변이균주

     정답 : []
     정답률 : 86%

8. Aspergillus oryzae 에 의해서 포도당으로부터 생산되며 플라스틱, 살충제 등의 원료로 사용되는 유기산은?
     1. Acetic acid
     2. Fumaric acid
     3. Malic acid
     4. Kojic acid

     정답 : []
     정답률 : 78%

9. 일반적인 미생물 배양시 단일 탄소원으로만 사용되기에 가장 적합한 배지성분은?
     1. 효모추출물(yeast extract)
     2. 당밀(molasses)
     3. 펩톤(peptone)
     4. 대두박(soy meal)

     정답 : []
     정답률 : 85%

10. 서로다른 뉴클레오티드(nucleotide)사슬 사이의 상보적 결합을 잡종화(hybridization)라 한다. 이에 대한 설명으로 틀린 것은?
     1. DNA사슬과 RNA사슬 사이에도 잡종화는 일어날 수 있다.
     2. 두 사슬간의 상보성이 높을수록 결합력은 높아진다.
     3. 특정 유전자의 존재 여부를 확인하기 위해 탐침자(probe)를 잡종화에 이용할 수 있다.
     4. 한 종의 세포 속에 특정 유전자의 존재 여부를 확인하기 위해서는 반드시 DNA를 순수 정제해야한다.

     정답 : []
     정답률 : 74%

11. 미생물 발효배지를 제조할 때 고려해야 할 사항으로 가장 거리가 먼 것은?
     1. 대사산물의생산수율
     2. 미생물세포의 성장속도
     3. 미생물의 대사제어
     4. 배지의 온도

     정답 : []
     정답률 : 86%

12. 아세톤, 부탄올을 공업적으로 발효 생산할 때 이용되는 미생물은?
     1. Acetobacter속
     2. Aspergillus속
     3. Clostridium속
     4. Saccharomyces속

     정답 : []
     정답률 : 45%

13. 영양요구성 변이 미생물을 무엇이라고 하는가?
     1. autotroph
     2. prototroph
     3. auxotroph
     4. heterotroph

     정답 : []
     정답률 : 66%

14. 젖산발효에 대한 설명으로 틀린 것은?
     1. Homo형과 hetero형이 있다.
     2. 공업적으로는 주로 homo형을 이용한다.
     3. 생성되는 젖산은 라세미(racemi)화되어 있기도 하다.
     4. 젖산균은 영양요구성이 매우 작다.

     정답 : []
     정답률 : 87%
     <문제 해설>
유산균은 우유와 같이 고영양분에서 생장한다.
흔히 쓰이는 유산균 배양용 실험 배지인 MRS의 가격만 봐도 감이 온다.
[해설작성자 : 수구두주부]

15. 연속배양(chemostat)의 장점에 대한 설명으로 옳은 것은?
     1. 미생물이 유전적으로 안정화된다.
     2. 오염의 문제가 적다.
     3. 생육속도가 빠른 미생물에 이용된다.
     4. 이차대사산물의 생산에 적합하다.

     정답 : []
     정답률 : 87%

16. Clarke와 Carbon의 식 에서 N은 목적 유전자가 클론된 형질전환주를 알기위해 필요한 전체 재조합 형질 전환주(recombinant transformant)의 수, P는 재조합주에 원하는 유전자가 들어갈 확률, f는 총 게 놈 크기에 대한 제한절편(restriction fragment)크기의 비이다. 인간 β-hemoglobin의 유전자 크기는 1.5kb 짜리 제한절편을 몇 개 clone 해야 하는가?
     1. 4.4 x 106
     2. 9.2 x 106
     3. 1.05 x 107
     4. 2.23 x 107

     정답 : []
     정답률 : 72%

17. Aspergillus terreus 를 이용하여 pH2 부근에서 발효 생산되는 유기산은?
     1. Itaconic acid
     2. Lactic acid
     3. Acetic acid
     4. Fumaric acid

     정답 : []
     정답률 : 45%

18. 재조합 단백질 생산의 숙주세포로서 대장균보다 효모가 유리한 점이 아닌 것은?
     1. 고등세포와 유사한 세포구조를 가진다.
     2. 생산된 단백질을 체외로 분비한다.
     3. 박테리오파지로부터 안전하다.
     4. 단백질 생산 속도가 빠르다.

     정답 : []
     정답률 : 70%

19. Aspergillus niger DNA 의 [A+T]/[G+C] 비는 1일 때 C/A 의 비는?
     1. 0.5
     2. 1
     3. 1.5
     4. 2

     정답 : []
     정답률 : 83%

20. 포도당으로부터 과당을 생산하고자 할 때 사용되는 효소는?
     1. glucose oxidase
     2. glucose isomerase
     3. protease
     4. rennin

     정답 : []
     정답률 : 91%

2과목 : 배양공학


21. 다음 중 재조합 단백질 생산에 적합한 숙주세포의 조건으로 가장 거리가 먼 것은?
     1. 단백질 분비 기능이 뛰어난 세포
     2. 고온에서도 배양이 가능한 세포
     3. 항생제 내성이 뛰어난 세포
     4. 세포내 독소를 가지지 않은 세포

     정답 : []
     정답률 : 71%

22. 정상적으로 배양되는 동물세포는 부착 의존성(anchorage dependency)을 갖고 있다. 다음 중 부착 의존성에 대한 설명으로 틀린 것은?
     1. 세포내 소포체 망상조직(network)이 부착성을 유발한다.
     2. 세파덱스(sephadex)나 콜라젠(collagen) 등에 잘 부착한다.
     3. 양전기를 띈 표면에 잘 부착한다.
     4. 하이브리도마(hybridoma) 세포는 부착 의존성이 거의 없다.

     정답 : []
     정답률 : 45%

23. 고정화 세포배양의 잠재적인 장점이 아닌것은?
     1. 고정화는 높은 세포농도를 유지할 수 있다.
     2. 고정화된 세포는 재사용할 수 있고 세포 회수와 재순환 공정에 드는 비용이 절약된다.
     3. 고정화는 세포내 축적되는 생산물을 높은 부피 생산성으로 생산 하는데 유리하다.
     4. 고정화는 좋은 미세환경조건을 제공하여 생물촉매의 성능을 증가시킬 수 있다.

     정답 : []
     정답률 : 63%

24. 일반적으로 미생물을 고농도로 배양하기 위한 방법이 아닌 것은?
     1. Fed-batch culture
     2. Recycle reactor culture
     3. Immobilized culture
     4. Continuous culture

     정답 : []
     정답률 : 60%

25. 다음 중 대형 발효조를 이용하여 본 배양을 행할 경우의 배양방법으로 가장 거리가 먼 것은?
     1. 고체배양
     2. 회분배양
     3. 유가배양
     4. 연속배양

     정답 : []
     정답률 : 78%

26. 세포내 대사과정의 탄소골격 전구물질과 그것으로부터 생합성되는 아미노산의 관계가 옳은 것은?
     1. Oxaloacetate - 알기닌(arginine)
     2. Pyruvate - 세린(serine)
     3. 3-Phosphoglyceraldehyde - 알라닌(alanine)
     4. Erythrose-4-phosphate - 트립토판(tryptophan)

     정답 : []
     정답률 : 61%

27. 회분식 발효시간 지체기의 시간과 대수기의 시간을 합한 것과 같다고 할 때 최대세포농도 30g DCW/L, 초기세포농도 0.5 DCW/L, 비증식 속도 0.75/h, lag time 5h 일 때 발효시간은 약 몇 시간인가?
     1. 5
     2. 10.5
     3. 47.5
     4. 165

     정답 : []
     정답률 : 73%

28. 다음 중 세포 구성 및 생장을 위해 가장 다량으로 필요로 하는 영양원은?
     1. 수소원
     2. 산소원
     3. 탄소원
     4. 질소원

     정답 : []
     정답률 : 89%

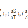
29. 호기성 조건하에서 포도당을 유일한 탄소원으로 사용하는 제빵효모(Saccharomyces cerevisiae)의 생장에서 다음과 같은 생장 반응식이 성립할 경우에 호흡율 RQ 는?

    

     1. 0.92
     2. 0.96
     3. 1.00
     4. 1.04

     정답 : []
     정답률 : 48%

30. 다음 중 정상적인 대장균의 수분을 제외한 건조세포에서 조성 (wt %)이 가장 큰 것은?
     1. DNA
     2. Protein
     3. Lipid
     4. RNA

     정답 : []
     정답률 : 93%

31. 원핵세포와 진핵세포의 차이점에 대한 설명 중 틀린 것은?
     1. 원핵세포는 DNA 분자가 한 개지만, 진핵세포 한 개 이상이다.
     2. 원핵세포 소포체가 없지만, 진핵세포는 있다.
     3. 미토콘드리아는 진핵세포에만 존재한다.
     4. 원핵세포는 단백질을 세포 밖으로 분비를 못하지만, 진핵세포는 분비한다.

     정답 : []
     정답률 : 56%

32. 이단계 생장 (diauxie growth) 에 대한 설명 중 틀린 것은?
     1. operon에 의한 유전자 발현 기작과 관련이 있다.
     2. catabolite repression 에 의한 조절 기작과 관련이 있다.
     3. 이용성이 빠른 탄소원이 저해제로 작용하는 것이 보통이다.
     4. 대장균의 경우 포도당과 유당이 공존할 경우 포도당이 먼저 이용된다.

     정답 : []
     정답률 : 54%

33. 어느 미생물이 기질탄소로 탄화수소인 hexadecane 을 이용하여 기질탄소의 2/3(w/w)를 바이오매스 탄소로 전환한다고 할 때 기질 hecadecane에 의한 미생물 수율 YX/S는 약 얼마인가?

    

     1. 0.25
     2. 0.51
     3. 0.62
     4. 0.98

     정답 : []
     정답률 : 28%

34. 유전자 조작에 일반적으로 많이 사용되는 숙주(host) 나 운반체 (vector)에 대한 특성을 옳게 나타낸 것은?
     1. 그람양성균인 Bacillus subtilis - 플라스미드의 높은 안정성
     2. 곤충세포와 배큘로바이러스 - 높은 발현율, 비병원성과 안정성
     3. 포유동물세포와 레트로바이러스 - 불멸성, 연속성과 안정성
     4. 효모인 saccharomyces cerevisiae - 높은 발현율과 높은 분비 배출 효과

     정답 : []
     정답률 : 54%

35. 다음 중 미생물 배지로 적당하지 않은 것은?
     1. 포도당 100g/L, 황산암모늄 5g/L, 제2인산칼륨 1.5g/L, 효모추출물 10g/L
     2. 백미 100g/L
     3. 트립톤 20g/L, 펩톤 10g/L, 효모추출물 10g/L, NaCl 5g/L
     4. 포도당 20g/L, 글리세린 15g/L, 구연산 5g/L

     정답 : []
     정답률 : 62%

36. 식물세포배양과 미생물배양에 대한 설명으로 틀린 것은?
     1. 식물세포는 미생물에 비하여 산소요구량이 낮다.
     2. 식물세포는 미생물과 달리 응집현상이 이차 대사물을 생산하는데 필요하다.
     3. 식물세포는 세포벽이 있으므로 미생물보다 전단응력에 대해 내성이 강하다.
     4. 식물세포는 이산화탄소, 에틸렌 등의 기체가 대사에 이용된다.

     정답 : []
     정답률 : 51%

37. 다음 중 배양액 중의 기질농도를 제어할 수 있어 현장에서 많이 사용하는 배양법은?
     1. 연속배양법
     2. 회분배양법
     3. 유가배양법
     4. 고체배양법

     정답 : []
     정답률 : 79%

38. 대부분의 식물세포의 이차 대사물질이 모이는 세포내 장소는?
     1. vacuole
     2. cell wall
     3. chloroplast
     4. mitochondria

     정답 : []
     정답률 : 70%

39. 다음 중 해당과정의 중간대사물질은?
     1. 피부르산
     2. 라이신
     3. 구연산
     4. 옥살산

     정답 : []
     정답률 : 83%

40. 생장시기와 산물 생성시기가 다른 비생장 관련 산물을 생산할 때 가장 적절한배양법은?
     1. 유가식 배양
     2. 연속시 배양
     3. 회분식 배양
     4. 2단계 배양

     정답 : []
     정답률 : 76%

3과목 : 생물반응공학


41. 발효에 관한 설명 중 틀린 것은?
     1. 용존산소의 농도에 의한 선장제한을 극복하기 위해 쓰이는 배양 방법 중의 하나로 압력을 높여서 운전하는 것이 있다.
     2. 발효배지의 산화 환원 전위는 질소를 통과시켜 높일 수 있다.
     3. 아황산염 방법에 의하여 부피전달계수 KLa를 결정할 때, 황산염의 형성 속도는 산소소모 속도에 비례한다.
     4. 발효배지의 이온세기는 특정영양소의 세포 내ㆍ외로의 전달, 세포의 대사기능에 영향을 미친다.

     정답 : []
     정답률 : 75%

42. 연속식 반응기의 실행에 있어 산업현장에서 실질적으로 필요할 수 있는 또 발생될 수 있는 사항으로 거리가 먼 것은?
     1. 균주의 변이 현상 발생
     2. 연속적인 무균상태의 유지 필요
     3. 반응기 내의 동일한 유지 필요
     4. 생성물의 축적에 의한 저해 현상 발생

     정답 : []
     정답률 : 55%

43. 반응기를 대규모화시 교반탱크 반응기에서 임펠러 회전속도와 임펠러 지름의 설계에 있어 서 가장 관련이 없는 것은?
     1. 동력공급량
     2. 임펠러 끝에서의 전단응력
     3. 레이놀드수 (Reynolds Number)
     4. Michaelis-Menten 상수

     정답 : []
     정답률 : 80%

44. 미생물의 기질로부터 균체 생성 수율이 0.5g/g인 미생물을 0.1g/L 농도로 초기 접종하여 회분식 반응기에서 배양을 하였다. 10시간 후 반응기 내 기질농도는 0.2 g/L 이었고 균체의 농도는 2g/L로 증가하였다. 초기 기질의 농도를 몇 g/L로 넣어 주어야 이와 같은 결과를 얻을 수 있는가?
     1. 1.2
     2. 1.8
     3. 4
     4. 11

     정답 : []
     정답률 : 53%

45. Michaelis-Menten 식을 따르는 어떤 효소반응에서 초기 기질 농도 s를 달리하여 반응속도 V를 측정하였다. 측정 데이터를 X -Y 평면에 도해하여 그래프의 Y-절편으로부터 최대반응속도 Vmax 를 구하고자 할 때 가장 적절한 도해 방법은?
     1. (S, V)
     2. (1/s, V)
     3. (S, 1/v)
     4. (1/s, 1/v)

     정답 : []
     정답률 : 59%

46. 다음 중 생물반응기의 계측기구가 갖추어야 할 조건이 아닌 것은?
     1. 무균성 유지
     2. 내구성
     3. 안정성
     4. 아날로그성

     정답 : []
     정답률 : 96%

47. 다음 중 흡착에 의한 효소의 고정화 담체가 아닌 것은?
     1. 활성탄(activated carbon)
     2. 실리카 겔 (silica gel)
     3. 유리 (glass)
     4. Ca-알진산염(Ca-alginate)

     정답 : []
     정답률 : 53%

48. 산소의 물에 대한 포화용해도(C*)에 영향을 주는 인자가 아닌 것은?
     1. 교반속도
     2. 배양액의 이온강도
     3. 배양온도
     4. 배양액의 점도

     정답 : []
     정답률 : 43%

49. 다음 반응기 형태 중 산소전달 면에서 가장 효율이 낮은 형태는?
     1. 교반식 (stirred vessel)
     2. 충전식 (packed bed)
     3. 기포탑 (bubble column)
     4. 공기부양식 (air lift)

     정답 : []
     정답률 : 70%

50. 효소의 pH 활성에 관한 설명 중 옳은 것은?
     1. 효소활성은 pH 와 상관없이 일정하다.
     2. 효소의 활성은 최적 pH에서 최고를 나타내며 이를 벗어나면 점점 줄어드는 경향을 나타낸다.
     3. 모든 효소가 작용하는 pH의 범위는 4~6이며 이를 벗어나면 활성이 없다.
     4. 사람의 위에서 분비되는 소화효소 펩신의 적정 pH는 7 근처 이다.

     정답 : []
     정답률 : 88%
     <문제 해설>
펩신의 적정 ph는 산성
[해설작성자 : comcbt.com 이용자]

51. 효소의 일반적인 특성에 관한 설명으로 옳은 것은?
     1. 반응의 평형상수를 감소시킨다.
     2. 반응속도에는 영향을 미치지 않는다.
     3. 자유에너지를 감소시킨다.
     4. 반응의 활성화에너지를 낮춘다.

     정답 : []
     정답률 : 83%

52. Scale-up시 자주 활용되는 인자로서 발효조를 80L에서 104L scale-up 할 경우 그 값이 변하지 않는 것은?
     1. 단위 용적당 투입 동력
     2. 총 산소 투입량
     3. 유체의 레이놀드 수
     4. 임펠러의 회전수

     정답 : []
     정답률 : 63%

53. Chemostat (완전혼합 연속 배양기)로 조업되는 생물 발효반응기가 있다. 미생물이 균형성장을 하고 있을 때 희석률(dilution rate)이 0.1h-1로 유지되고 있다면 이 발효 반응기 내의 미생물의 비성장속도는?
     1. 0.2h-1
     2. 0.1h-1
     3. 0.05h-1
     4. 0.033h-1

     정답 : []
     정답률 : 76%

54. 재순환이 있는 키모스탯(Chemostat) 연속배양에서 공급액의 유속은 200L/h 이고, 배양용기 의 부피는 2000L 이며, 재순환비는 0.5, 재순환 액의 농축비는 2이다. 정상상태에서 이 시스템의 비생장속도(μ)는?
     1. 0.025h-1
     2. 0.050h-1
     3. 0.075h-1
     4. 0.100h-1

     정답 : []
     정답률 : 58%

55. 기체의 멸균을 위해서 균일하고 작은 구멍이 있는 막을 사용해 체질(sieving)효과를 이용하는 것은?
     1. 증기 멸균기
     2. 크로마토그래피 멸균기
     3. 표면 여과기
     4. 흡착 멸균기

     정답 : []
     정답률 : 92%

56. 다음의 반응으로 이루어진 효모의 에탄올 발효에 이론적산물 수율 YP/S (g/g)은?

    

     1. 0.17
     2. 0.32
     3. 0.51
     4. 0.94

     정답 : []
     정답률 : 63%

57. 회분식 배양기에서 배양 시작시 기질 농도가 5g/L 이고 세포 농도가 1g/L 일 때 기질에 대한 세포 수율계수가 0.4일 경우, 배양 후 얻을 수 있는 최대 세포 농도는 몇 g/L인가?
     1. 2
     2. 3
     3. 5
     4. 6

     정답 : []
     정답률 : 69%

58. 효소반응을 다음의 Briggs-Haldane 식 (유사정상상태식)으로 나타낼 수 있다고 가정할 때 반응시간에 따라서 농도의 변화가 가장 적은 물질은?

    

     1. 효소활성 저해물질
     2. 반응물질
     3. 생성물질
     4. 효소와 반응물질의 복합체

     정답 : []
     정답률 : 85%

59. 연속살균법이 회분살균법보다 유리한 점이 아닌 것은?
     1. 배지의 품질이 일정하게 유지될 수 있다.
     2. 고형물을 다량 포함한 배지도 살균할 수 있다.
     3. 규모의 확대가 용이하다.
     4. 자동화가 용이하다.

     정답 : []
     정답률 : 74%

60. Michaelis-Menten 속도식의 속도상수를 구하기 위한 다음의 방법 중 큰 오차가 발생될 수 있으나 낮은 기질 농도 [S]에서 얻은 자료를 이용하고자 할 때는 비교적 작은 오차를 나타내는 것은?
     1. Lineweaver-Burk plot
     2. Eadie-hofstee plot
     3. Hanes-Woolf plot
     4. Batch kinetics

     정답 : []
     정답률 : 44%

4과목 : 생물분리공학


61. 다음 중 삼투압에 관계되는 법칙은?
     1. Van't Hoff의 법칙
     2. Fick의 법칙
     3. Stokes의 법칙
     4. Darcy의 법칙

     정답 : []
     정답률 : 80%

62. 차단되는 입자의 크기가 작은 것에서 큰 순서 대로 나열된 것은?
     1. 미세여과 < 한외여과 < 역삼투
     2. 역삼투 < 한외여과 < 미세여과
     3. 미세여과 < 역삼투 < 한외여과
     4. 한외여과 < 미세여과 < 역삼투

     정답 : []
     정답률 : 74%

63. 다음 중 가장 낮은 회전속도에서 원심분리 할 수 있는 것은?
     1. DNA
     2. RNA
     3. 바이러스
     4. S. cerevisiae

     정답 : []
     정답률 : 80%

64. 단백질의 침전에 일반적으로 가장 많이 쓰이는 염은?
     1. NaCl
     2. H3PO4
     3. (NH4)2SO4
     4. NaH2PO4

     정답 : []
     정답률 : 88%

65. 막분리 공정에서 사용되는 막분리 장치 모듈(module) 중 단위부피당 최대 막여과 면적이 가장 큰 형태는?
     1. 중공사(hollow fiber)막
     2. 나선(spiral wound)막
     3. 관형(tubular)막
     4. 판(plate and frame)막

     정답 : []
     정답률 : 46%

66. 활성화에너지20,000 cal/mol 이고 속도상수가 3 * 1012 min-1 일 때, 27℃에서 100분간의 건조에 의한 효소의 활성잔존율은 약 몇%인가? (단, 기체상수는 1.99 cal/molㆍK이다.)
     1. 43
     2. 57
     3. 93
     4. 97

     정답 : []
     정답률 : 45%

67. 생물반응기에서 분리 (회수)와 정제 복합공정의 장점이 아닌 것은?
     1. 생성물에 대한 선택성
     2. 생성물의 변성 방지
     3. 반응속도 증가
     4. 세포용해 성분 제거

     정답 : []
     정답률 : 56%

68. 일반적으로 여과기의 기능을 갖고 있는 원심 분리기는?
     1. Basket type
     2. Tubular bowl type
     3. Disk with a nozzle type
     4. Disc with intermittent discharge type

     정답 : []
     정답률 : 81%

69. 재조합 효모에 의해 분비 생산된 분자량 50,000Da의 효소를 막분리 공정을 사용하여 농축하려고 한다. 다음 중 가장 적절한 공정을 순서대로 옳게 나열한 것은?
     1. 미세여과 → 한외여과
     2. 한외여과 → 미세여과
     3. 한외여과 → 역삼투
     4. 역삼투 → 한외여과

     정답 : []
     정답률 : 62%

70. 분자량이 30000인 단백질이 녹아 있는 용액을 한외여과에 의해 농축시킨 후 농축액과 투과액 내의 단백질 농도를 측정하였더니 각각 1.0mg/mL 와 0.08 mg/mL 이었을 때 배제계수(rejection coefficient)는 얼마인가?
     1. 0.08
     2. 0.8
     3. 0.092
     4. 0.92

     정답 : []
     정답률 : 57%

71. 다음 중 대장균과 같은 박테리아의 전형적인 크기에 가장 가까운 것은?
     1. 10-20 nm
     2. 1-4 um
     3. 50-100 um
     4. 100-300 um

     정답 : []
     정답률 : 67%

72. 다음 중 단백질 침전을 가장 잘 유도하는 음이온은?
     1. citrate
     2. SO42-
     3. Cl-
     4. NO3-

     정답 : []
     정답률 : 50%

73. 미생물 nuclease의 정제 공정 순서가 옳게 나열된 것은?
     1. 상등액 → 원심분리 → 흡착 → 투석 → 용출 → 농축 → Gel 여과 → 희석 → 동결건조
     2. 상등액 → 희석 → 흡착 → 투석 → 용출 → Gel 여과 → 농축 → 원심분리 → 동결건조
     3. 상등액 → 원심분리 → 흡착 → 용출 → 투석 → Gel 여과 → 농축 → 희석 → 동결건조
     4. 상등액 → 희석 → 흡착 → 용출 → 투석 → 농축 → 원심분리 → Gel 여과 → 동결건조

     정답 : []
     정답률 : 83%

74. 다음 중 지질의 용해도가 가장 낮은 물질은?
     1. 벤젠
     2. 클로로포름
     3. 에테르
     4.

     정답 : []
     정답률 : 80%

75. 1기압하에 있는 A 물질의 수용액에서 A의 몰분율이 0.01이고 이것과 평형에 있는 증기에서의 A의 몰분율이 0.2라고 할 때 물에 대한 A 물질의 휘발도 비는 약 얼마인가?
     1. 4.0
     2. 12.4
     3. 24.8
     4. 99.0

     정답 : []
     정답률 : 68%

76. 다음 중 소수성 아미노산이 아닌 것은?
     1. 페닐알라닌(phenylalanine)
     2. 트립토판(tryptophan)
     3. 류신(leucine)
     4. 라이신(lysine)

     정답 : []
     정답률 : 91%

77. 흡착제 단위량 당 흡착된 용질의 양 Y를 다음 과 같이 나타내는 것은 무슨 식에 해당하는가? (단, B,C는 상수, X는 평형상태에서 용액내 용질농도이다.)

    

     1. Fick 식
     2. Stefan 식
     3. Langmuir 식
     4. Freundlich 식

     정답 : []
     정답률 : 75%

78. 불용성 생성물을 분리하는데 사용되는 방법이 아닌 것은?
     1. 여과
     2. 원심분리
     3. 응집
     4. 추출

     정답 : []
     정답률 : 85%

79. 결정화공정에서의 population density와 상관 관계가 잇는 인자들로 이루어진 것은?
     1. 단위 길이당 결정의 형태, 질량
     2. 단위 면적당 결정의 길이, 시간
     3. 단위 부피당 결정의 수, 길이
     4. 단위 질량당 결정의 면적, 시간

     정답 : []
     정답률 : 76%

80. 이상적인 액체추출제의 조건이 아닌 것은?
     1. 독성이 없어야 한다.
     2. 선택성이 있어야 한다.
     3. 발효액과 절 섞여야 한다.
     4. 생성물에 대한 높은 분배계수를 가져야 한다.

     정답 : []
     정답률 : 68%

81. 어떤 기체 혼합물이 CO2 75 mmHg, CO 50 mmHg, N2 595 mmHg, O2 26 mmHg으로 이루어져 있을 때 CO2의 몰분율은?
     1. 0.035
     2. 0.067
     3. 0.101
     4. 0.797

     정답 : []
     정답률 : 57%

82. 분열시 모든 세포가 20개의 플라스미드를 가지고 있는 경우, 플라스미드 불포함세포가 발생할 확률은 약 얼마인가? (단, 세포분열시 플라스미드는 무작위로 분배된다.)
     1. 9.5 * 10-7
     2. 1.9 * 10-6
     3. 5.28 * 105
     4. 1.1 * 106

     정답 : []
     정답률 : 73%

83. Glycolysis 과정 중 주요 속도 결정단계는?
     1. glucose에서 glucose 6-phosphate로 되는단계
     2. phosphoenolpyruvate에서 pyruvate로 되는 단계
     3. glucose 6-phosphate에서 fructose 6-phosphate로 되는 단계
     4. fructose 6-phosphate에서 fructose 1,6-diphosphate로 되는 단계

     정답 : []
     정답률 : 74%

84. 측쇄로 H-를 가지는 아미노산인 글라이신의 -COOH 기 및 -NH3+ 기의 pKa 값이 각각 2.34와 9.6 일 때, 등전하를 갖는 글라이신 0.1M 수용액의 pH는?
     1. 4.83
     2. 5.87
     3. 6.24
     4. 7.12

     정답 : []
     정답률 : 84%

85. 500 mL의 0.025M H2SO4를 중화하기 위해 필요한 0.05M KOH의 양은 몇 mL인가?
     1. 125
     2. 250
     3. 500
     4. 1,000

     정답 : []
     정답률 : 56%

86. 자외선 가시건 분광법에서 이용하는 램버트-비어 (Lambert-Beer) 법칙의 관계식으로 옳은 것은? (단, Io는 이사광의 강도, C는 농도, e는 흡광계수 It는 투과광의 강도, L은 빛의 투사거리이다.)
     1. Io = It ㆍ 10-eCL
     2. It = Io ㆍ 10-eCL
     3. Io = It + 10-eCL
     4. It = Io + 10-eCL

     정답 : []
     정답률 : 69%

87. 의약품 제조관리와 품질관리를 위한 기준서 중 제조관리 기준서에 반드시 포함되어야 하는 사항이 아닌 것은?
     1. 원료약품 관리에 관한 사항
     2. 자재 관리에 관한 사항
     3. 완제품 관리에 관한 사항
     4. 작업소의 청정도 관리에 관한 사항

     정답 : []
     정답률 : 78%

88. 기체크로마토그래피에 대한 설명중 틀린 것은?
     1. 기체이거나 휘발성이 크며 열안정성이 좋은 시료를 분리하는데 사용된다.
     2. 이동상과 정지상이 모두 시료성분과 상호작용을 하므로 분리조건을 선택할 여지가 크다.
     3. 헬륨, 질소 등이 운반기체로 사용된다.
     4. 기체-고체 및 기체-액체 크로마토그래피가있다.

     정답 : []
     정답률 : 75%

89. 이란적인 완충용액을 옳게 나타낸 것은?
     1. 약산과 그 짝염기로 구성된 완충용액
     2. 강산과 그 짝염기로 구성된 완충용액
     3. 강산과 강염기로 구성된 완충용액
     4. 강염기와 그 짝산으로 구성된 완충용액

     정답 : []
     정답률 : 80%

90. 다음 중 단백질의 분리 및 분자량 측정에 가장 많이 이용되는 방법은?
     1. 분광광도법
     2. 전기영동법
     3. X선회절분석법
     4. 핵자기공명분석법

     정답 : []
     정답률 : 74%

91. GMP의 유효성 확인 단계 중 OQ, IQ, PQ 과정을 순서대로 배열한 것은?
     1. IQ → OQ → PQ
     2. OQ → PQ → IQ
     3. PQ → IQ → OQ
     4. PQ → OQ → IQ

     정답 : []
     정답률 : 89%

92. 다음 중 밸리데이션 (validation) 과제 설정 후 계획수립, 실시, 결과보고 등의 과정 중 밸리데이션 계획 수립에 해당되는 단계인 것은?
     1. 설비ㆍ기기운용의 검토
     2. 각 부서별 실시 계획의 확인 및 평가
     3. 밸리데이션 과제의 목표 설정
     4. 목표 기준의 설정

     정답 : []
     정답률 : 58%

93. 다음 중 유전자로부터 유전정보를 단백질 합성기구로 전달하는 RNA는?
     1. mRNA
     2. rRNA
     3. tRNA
     4. primer RNA

     정답 : []
     정답률 : 70%

94. 다음 중 핵 (nucleus)의 기능이 아닌 것은?
     1. 유전정보의 저장
     2. mRNA의 합성
     3. 인지질의 합성
     4. 유전정보의 전달

     정답 : []
     정답률 : 71%

95. 다음 중 일반적으로 에너지생산과 관련된것은?
     1. 생합성
     2. 전자전달계
     3. 영양소 운반
     4. 유지 (maintenance)

     정답 : []
     정답률 : 72%

96. 전기영동에서 단백질 분자의 정전기적인 전하는 매체의 pH에 따라 달라지는데 이에 대한 설명 중 틀린 것은?
     1. pH = pI에서 전기 영동속도는 0이다.
     2. 단백질의 순전하에 따라 단백질의 이동속도가 결정된다.
     3. pH = pI에서 단백질의 순전하는 0이다.
     4. pH < pI 일 때, 단백질은 음전하를 띠게 된다.

     정답 : []
     정답률 : 84%

97. 외부에서 조작된 DNA 절편 또는 vector를 세포내로 전달하는 방법이 아닌 것은?
     1. 세포감염능력이 있는 recombinant virus particle 을 이용한 host cell infection
     2. liposome을 이용한 transfection
     3. competent bacterial cell을 이용한 transformation
     4. DNA ligase를 이용한 재조합 vector 결합

     정답 : []
     정답률 : 72%

98. 의약품 제조에 필요한 원료에 대한 원료 밸리데이션 (Validation) 방법으로 볼 수 없는 것은?
     1. 제품 batch를 제조하는데 필요한 원료 목록을 작성한다.
     2. 각 원료에 대한 시장가격을 조사하고 가격 변동을 예측한다.
     3. 원료 공급원이 새로운 회사로 병경된 경우 그 회사 생산시설을 방문한다.
     4. 안정된 공급을 위해 각 원료에 대한 공급자를 적어도 2개소 이상 확보한다.

     정답 : []
     정답률 : 77%

99. DNA 재조합기술로 생산된 단백질과 그 용도가 틀리게 연결된 것은?
     1. 인슐린 : 당뇨병 치료
     2. 인터루킨-2 : 빈혈 치료
     3. 인간성장호르몬 : 성장결함 치료
     4. 돼지성장호르몬 : 돼지의 성장을 촉진

     정답 : []
     정답률 : 87%

100. 세포 내에서 발견되는 염색체와는 별개인 DNA 분자로서 독립적인 복제 능력을 가지는 유전 인자들의 집합체는?
     1. 클론 (clone)
     2. 엑손 (exon)
     3. 플라스미드 (plasmid)
     4. 인트론 (intron)

     정답 : []
     정답률 : 88%


정 답 지

1

2

3

4

5

6

7

8

9

10

11

12

13

14

15

16

17

18

19

20

21

22

23

24

25

26

27

28

29

30

31

32

33

34

35

36

37

38

39

40

41

42

43

44

45

46

47

48

49

50

51

52

53

54

55

56

57

58

59

60

61

62

63

64

65

66

67

68

69

70

71

72

73

74

75

76

77

78

79

80

81

82

83

84

85

86

87

88

89

90

91

92

93

94

95

96

97

98

99

100

바이오화학제품제조기사 필기 기출문제(해설) 및 CBT 2009년05월10일을 이용해 주셔서 감사합니다.
, 필기, 기출문제, 전자문제집, CBT, 온라인, 모의테스트, 모의고사



List of Articles
번호 제목 글쓴이 날짜 조회 수
4095 9급 지방직 공무원 화학 필기 기출문제(해설) 및 CBT 2019년06월15일(12371) 좋은아빠되기 2025.11.26 1
4094 9급 지방직 공무원 화학공학일반 필기 기출문제(해설) 및 CBT 2019년06월15일(12372) 좋은아빠되기 2025.11.26 1
4093 9급 지방직 공무원 회계학 필기 기출문제(해설) 및 CBT 2019년06월15일(12375) 좋은아빠되기 2025.11.26 1
4092 수산양식산업기사 필기 기출문제(해설) 및 CBT 2005년08월07일(12376) 좋은아빠되기 2025.11.26 1
4091 수산양식산업기사 필기 기출문제(해설) 및 CBT 2014년08월17일(12377) 좋은아빠되기 2025.11.26 1
4090 바이오화학제품제조기사 필기 기출문제(해설) 및 CBT 2003년05월25일(12379) 좋은아빠되기 2025.11.26 1
4089 바이오화학제품제조기사 필기 기출문제(해설) 및 CBT 2004년05월23일(12380) 좋은아빠되기 2025.11.26 1
4088 바이오화학제품제조기사 필기 기출문제(해설) 및 CBT 2005년05월29일(12381) 좋은아빠되기 2025.11.26 1
4087 바이오화학제품제조기사 필기 기출문제(해설) 및 CBT 2007년05월13일(12382) 좋은아빠되기 2025.11.26 1
4086 바이오화학제품제조기사 필기 기출문제(해설) 및 CBT 2008년05월11일(12383) 좋은아빠되기 2025.11.26 0
» 바이오화학제품제조기사 필기 기출문제(해설) 및 CBT 2009년05월10일(12384) 좋은아빠되기 2025.11.26 0
4084 화공기사(구) 필기 기출문제(해설) 및 CBT 2013년09월28일(12385) 좋은아빠되기 2025.11.26 0
4083 방송통신기사(구) 필기 기출문제(해설) 및 CBT 2020년03월07일(12386) 좋은아빠되기 2025.11.26 0
4082 수산양식산업기사 필기 기출문제(해설) 및 CBT 2016년08월21일(12387) 좋은아빠되기 2025.11.26 0
4081 수산양식산업기사 필기 기출문제(해설) 및 CBT 2006년08월06일(12388) 좋은아빠되기 2025.11.26 0
4080 수산양식산업기사 필기 기출문제(해설) 및 CBT 2009년07월26일(12389) 좋은아빠되기 2025.11.26 0
4079 9급 지방직 공무원 환경공학개론 필기 기출문제(해설) 및 CBT 2019년06월15일(12390) 좋은아빠되기 2025.11.26 0
4078 경찰공무원(순경) 한국사 필기 기출문제(해설) 및 CBT 2020년05월30일(12391) 좋은아빠되기 2025.11.26 0
4077 경찰공무원(순경) 형사소송법 필기 기출문제(해설) 및 CBT 2020년05월30일(12394) 좋은아빠되기 2025.11.26 0
4076 경찰공무원(순경) 경찰학개론 필기 기출문제(해설) 및 CBT 2020년05월30일(12395) 좋은아빠되기 2025.11.26 0
Board Pagination Prev 1 ... 949 950 951 952 953 954 955 956 957 958 ... 1158 Next
/ 1158