자격증 필기 기출문제



건설안전기사 필기 기출문제(해설) 및 CBT 2020년06월06일(12559)

최강 자격증 기출문제 전자문제집 CBT : www.comcbt.com


전자문제집 CBT란?

종이 문제집이 아닌 인터넷으로 문제를 풀고 자동으로 채점하며 모의고사, 오답 노트, 해설까지 제공하는
무료 기출문제 학습 프로그램으로 실제 상설검정에서 사용하는 OMR 형식의 CBT를 제공합니다.


최신 건설안전기사 필기 기출문제 : [다운로드]

1과목 : 산업안전관리론


1. 다음은 산업안전보건법령상 공정안전보고서의 제출 시기에 관한 기준 내용이다. ( )안에 들어갈 내용을 올바르게 나열한 것은?

   

     1. ㉠ 1일, ㉡ 2부
     2. ㉠ 15일, ㉡ 1부
     3. ㉠ 15일, ㉡ 2부
     4. ㉠ 30일, ㉡ 2부

     정답 : []
     정답률 : 53%
     <문제 해설>
유해위험 설치 이전또는 주요구조부분의 변경공사의 착공일 30일 전까지 2부를 작성하여 공단에 제출하여야한다
[해설작성자 : 임철풍(산업암기기사)]

2. 안전보건관리조직 중 스탭(Staff)형 조직에 관한 설명으로 옳지 않은 것은?
     1. 안전정보수집이 신속하다.
     2. 안전과 생산을 별개로 취급하기 쉽다.
     3. 권한 다툼이나 조정이 용이하여 통제수속이 간단하다.
     4. 스탭 스스로 생산라인이 안전업무를 행하는 것은 아니다.

     정답 : []
     정답률 : 66%
     <문제 해설>
Staff형 조직

장점
1. 사업장 특성에 맞는 전문적인 기술연구가 가능하다.
2. 경영자에게 조언과 자문역할을 할 수 있다.
3. 안전정보 수집이 빠르다.

단점
1. 안전지시나 명령이 작업자에게까지 신속/정확히 전달되지 못한다.
2. 생산부분은 안전에 대한 책임과 권한이 없다.
3. 권한다툼이나 조정때문에 시간과 노력이 소모된다.
[해설작성자 : 까치안전]

3. 다음 중 시설물의 안전 및 유지관리에 관한 특별법상 시설물 정기안전점검의 실시 시기로 옳은 것은? (단, 시설물의 안전등급이 A등급인 경우)
     1. 반기에 1회 이상
     2. 1년에 1회 이상
     3. 2년에 1회 이상
     4. 3년에 1회 이상

     정답 : []
     정답률 : 75%
     <문제 해설>
시설물의 안전 및 유지관리에 관한 특별법 시행령 [별표3]

정기안전정검
A,B,C 등급: 반기에 1회 이상
D , E 등급: 1년에 3회 이상
[해설작성자 : 까치안전]

4. 정보서비스업의 경우, 상시근로자의 수가 최소 몇 명 이상일 때 안전보건관리규정을 작성하여야 하는가?
     1. 50명 이상
     2. 100명 이상
     3. 200명 이상
     4. 300명 이상

     정답 : []
     정답률 : 67%
     <문제 해설>
농업/어업/정보서비스업/사회복지서비스업 300명
[해설작성자 : 임철풍(산업암기기사)]

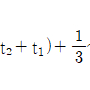
5. 100명의 근로자가 근무하는 A기업체에서 1주일에 48시간, 연간 50주를 근무하는데 1년에 50건의 재해로 총 2400일의 근로손실일수가 발생하였다. A기업체의 강도율은?
     1. 10
     2. 24
     3. 100
     4. 240

     정답 : []
     정답률 : 55%
     <문제 해설>
강도율
손실일수/총근로시간수*1000
2400/(48시간*50주*100명)*1000 = 10
[해설작성자 : 이번엔따자]

6. 아파트 신축 건설현장에 산업안전보건법령에 따른 안전·보건표지를 설치하려고 한다. 용도에 따른 표지의 종류를 올바르게 연결한 것은?
     1. 금연-지시표시
     2. 비상구-안내표시
     3. 고압전기-금지표시
     4. 안전모 착용-경고표시

     정답 : []
     정답률 : 90%
     <문제 해설>
금연-금지표시
비상구-안내표시

[추가 해설]
고압전기-경고표지
안전모착용-지시표지
[해설작성자 : 따봉도치]

7. 기계설비의 안전에 있어서 중요 부분의 피로, 마모, 손상, 부식 등에 대한 장치의 변화 유무 등을 일정 기간마다 점검하는 안전점검의 종류는?
     1. 수시점검
     2. 임시점검
     3. 정기점검
     4. 특별점검

     정답 : []
     정답률 : 86%
     <문제 해설>
수시점검- 매월 일의 시작이나 종료시 또는 작업중에 수시로 하는 점검
임시점검 - 이상 발견시 임시로 실시하는 점검으로써 정기점검과 정기점검 사이에 한다
특별점검 -    기계의 고장, 수리시 하는 점검 또는 천재지변발생이나 중대재해 발생시 하는 점검    
[해설작성자 : 임철풍(산업암기기사)]

8. 하인리히 사고예방대책 5단계의 각 단계와 기본 원리가 잘못 연결된 것은?
     1. 제1단계- 안전조직
     2. 제2단계- 사실의 발견
     3. 제3단계- 점검 및 검사
     4. 제4단계- 시정 방법의 선정

     정답 : []
     정답률 : 65%
     <문제 해설>
1단계 안전관리조직
2단계 사실의 발견
3단계 평가/분석
4단계 시정책의 선정
5단계 시정책의 적용
[해설작성자 : 임철풍(산업암기기사)]

9. 산업안전보건법령상 사업주의 의무에 해당하지 않는 것은?
     1. 산업재해 예방을 위한 기준 준수
     2. 사업장의 안전 및 보건에 관한 정보를 근로자에게 제공
     3. 산업 안전 및 보건 관련 단체 등에 대한 지원 및 지도·감독
     4. 근로자의 신체적 피로와 정신적 스트레스 등을 줄일 수 있는 쾌적한 작업환경의 조성 및 근로조건 개선

     정답 : []
     정답률 : 77%
     <문제 해설>
*사업주의 의무
1. 근로자의 신체적 피로와 정신적 스트레스 등을 줄일 수 있는 쾌적한 작업환경의 조성 및 근로조건 개선
2. 해당 사업장의 안전 및 보건에 관한 정보를 근로자에게 제공
4. 법에 따른 명령으로 정하는 산업재해 예방을 위한 기준 준수

* 3번 산업 안전 및 보건 관련 단체 등에 대한 지원 및 지도·감독 부분은 사업주가 아닌 정부의 책무에 속한다
[해설작성자 : 임철풍(산업안전징글징글했었지)]

10. 시몬즈(Simonds)의 총재해 코스트 계산방식 중 비보험 코스트 항목에 해당하지 않는 것은?
     1. 사망재해 건수
     2. 통원상해 건수
     3. 응급조치 건수
     4. 무상해 사고 건수

     정답 : []
     정답률 : 77%
     <문제 해설>
*시몬즈방식
보험코스트+비보험코스트 = 보험코스트+(A*휴업상해건수)+(B*통원상해건수)+(C*응급조치건수)+(D*무상해사고건수)
[해설작성자 : 임철풍의 산업안전]

11. 위험예지훈련의 4라운드 기법에서 문제점을 발견하고 중요 문제를 결정하는 단계는?
     1. 현상파악
     2. 본질추구
     3. 목표설정
     4. 대책수립

     정답 : []
     정답률 : 77%
     <문제 해설>
위험 예지 훈련의 4단계
     제1단계 : 현상파악 - 어떤 위험이 잠재하고 있는가?(사실의 파악)
     제2단계 : 본질추구 - 이것이 위험의 포인트이다.(원인을 찾는다)
     제3단계 : 대책수립 - 당신이라면 어떻게 할 것인가?(대책을 세운다)
     제4단계 : 목표설정 - 우리들은 이렇게 하자.(행동계획을 결정한다)
[해설작성자 : 임철풍]

12. 재해조사의 주된 목적으로 옳은 것은?
     1. 재해의 책임소재를 명확히 하기 위함이다.
     2. 동일 업종의 산업재해 통계를 조사하기 위함 이다.
     3. 동종 또는 유사재해의 재발을 방지하기 위함이다.
     4. 해당 사업장의 안전관리 계획을 수립하기 위함이다.

     정답 : []
     정답률 : 85%
     <문제 해설>
*재해조사의 목적
동종 또는 유사재해의 재발을 방지하기 위함이다
[해설작성자 : 임철풍]

13. 위험예지훈련의 기법으로 활용하는 브레인 스토밍(Brain Storming)에 관한 설명으로 옳지 않은 것은?
     1. 발언은 누구나 자유분방하게 하도록 한다.
     2. 가능한 한 무엇이든 많이 발언하도록 한다.
     3. 타인의 아이디어를 수정하여 발언할 수 없다.
     4. 발표된 의견에 대하여는 서로 비판을 하지 않도록 한다.

     정답 : []
     정답률 : 88%
     <문제 해설>
브레인 스토밍    
잠재의식을 일깨워 자유로이 아이디어를 개발하자는 것
    ① 비판금지: 타인의 의견을 비판하지 않는다        
    ② 자유분방: 무슨 생각이든 자유롭게 발언한다        
    ③ 대량발언 : 무슨 아이디어든 많이 발언한다        
    ④ 수정발언 : 아이디어를 수정하거나 덧붙혀도 좋다

* 1과목 에서 자주 나오는 문제임    
[해설작성자 : 임철풍]

14. 버드(Frank Bird)의 도미노 이론에서 재해발생 과정에 있어 가장 먼저 수반되는 것은?
     1. 관리의 부족
     2. 전술 및 전략적 에러
     3. 불안전한 행동 및 상태
     4. 사회적 환경과 유전적 요소

     정답 : []
     정답률 : 61%
     <문제 해설>
*프랑크 버드의 신 도미노 이론
통제부족(관리소홀)(제거 가능한 요인) -기본원인(기원)-직접원인(징후)-사고(접촉)-상해(손해, 손실)
[해설작성자 : 임철풍]

15. 재해사례연구의 진행순서로 옳은 것은?
     1. 재해 상황의 파악→사실의 확인→문제점 발견→근본적 문제점 결정→대책수립
     2. 사실의 확인→재해 상황의 파악→근본적 문제점 결정→문제점 발견→대책수립
     3. 문제점 발견→사실의 확인→재해 상황의 파악→근본적 문제점 결정→대책수립
     4. 재해 상황의 파악→문제점 발견→근본적 문제점 결정→대책수립→사실의 확인

     정답 : []
     정답률 : 84%
     <문제 해설>
*재해사례연구의 진행순서
재해 상황의 파악→사실의 확인→문제점 발견→근본적 문제점 결정→대책수립
[해설작성자 : 임철풍]

16. 사고예방대책의 기본원리 5단계 시정책의 적용 중 3E에 해당하지 않은 것은?
     1. 교육(Education)
     2. 관리(Enforcement)
     3. 기술(Engineering)
     4. 환경(Enviroment)

     정답 : []
     정답률 : 67%
     <문제 해설>
*시정책의 적용 3E
관리(Enforcement)     기술(Engineering)    교육(Education)
[해설작성자 : 임철풍]

17. 다음 중 산업재해발견의 기본 원인 4M에 해당하지 않는 것은?
     1. Media
     2. Material
     3. Machine
     4. Management

     정답 : []
     정답률 : 79%
     <문제 해설>
Man : 에러를 일으키는 인간요인
Machine : 기계,설비의 결함, 고장 등의 물질요인
Media : 작업의 정보, 방법, 환경 등의 요인
Management : 관리상의 요인
[해설작성자 : Pepsi]

18. 산업안전보건법령상 안전보건총괄책임자의 직무에 해당하지 않는 것은?
     1. 도급 시 산업재해 예방조치
     2. 위험성평가의 실시에 관한 사항
     3. 해당 사업장 안전교육계획의 수립에 관한 보좌 및 지도·조언
     4. 산업안전보건관리비의 관계수급인 간의 사용에 관한 협의·조정 및 그 집행의 감독

     정답 : []
     정답률 : 62%
     <문제 해설>
3번의 내용은 총괄책임자가 아닌 안전관리자의 업무내용임
[해설작성자 : 임철풍]

※ 안전보건총괄책임자 주요업무 내용
ㅇ 도급 시의 산업재해 예방조치
ㅇ 위험성평가 실시에 관한 사항
ㅇ 안전인증대상기계등과 자율안전확인 대상기계등의 사용 여부 확인
ㅇ 중대재해 발생 또는 산업재해가 발생할 급박한 위험이 있을 경우, 작업 중지에 관한
사항
ㅇ 산업안전보건관리비의 관계수급인 간의 사용에 관한 협의·조정 및 그 집행의 감독

※ 안전관리자 업무 내용
ㅇ 안전근로협의체에서 심의·의결한 업무와 안전·보건관리규정 및 취업규칙에서 정한 업무
ㅇ 위험성평가에 관한 보좌 및 지도·조언
ㅇ 안전인증대상기계등과 자율안전확인대상기계등 구입 시 적격품의 선정에 관한 보좌 및지도·조언
ㅇ 안전교육계획의 수립 및 안전교육 실시에 관한 보좌 및 지도·조언
ㅇ 사업장 순회점검, 지도 및 조치 건의
ㅇ 산업재해 발생의 원인 조사·분석 및 재발 방지를 위한 기술적 보좌 및 지도·조언
ㅇ 산업재해에 관한 통계의 유지·관리·분석을 위한 보좌 및 지도·조언
ㅇ 법 또는 법에 따른 명령으로 정한 안전에 관한 사항의 이행에 관한 보좌 및 지도·조언
ㅇ 업무 수행 내용의 기록·유지
ㅇ 그 밖에 안전에 관한 사항으로서 고용노동부장관이 정하는 사항
[해설작성자 : 과일촌]

19. 보호구 안전인증제품에 표시할 사항으로 옳지 않은 것은?
     1. 규격 또는 등급
     2. 형식 또는 모델명
     3. 제조번호 및 제조연월
     4. 성능기준 및 시험방법

     정답 : []
     정답률 : 79%
     <문제 해설>
규격 또는 등급
형식 또는 모델명
제조번호 및 제조연월
(기타) 제조자명/제조회사명
[해설작성자 : 임철풍]

20. 산업안전보건법령상 자율안전확인대상 기계등에 해당하지 않는 것은?
     1. 연삭기
     2. 곤돌라
     3. 컨베이어
     4. 산업용 로봇

     정답 : []
     정답률 : 55%
     <문제 해설>
곤돌라는 안전인증대상기계ㆍ기구의 종류

2과목 : 산업심리 및 교육


21. 집단간 갈등의 해소방안으로 틀린 것은?
     1. 공동의 문제 설정
     2. 상위 목표의 설정
     3. 집단간 접촉 기회의 증대
     4. 사회적 범주화 편향의 최대화

     정답 : []
     정답률 : 80%
     <문제 해설>
* 사회적 범주화 편향의 최소화
Miller와 Brewer는 집단간의 협동적인 접촉 중에 범주화가 진행되지 못하도록 해야 효과가 증진된다고 보았다
[해설작성자 : 임철풍]

22. 의사소통의 심리구조를 4영역으로 나누어 설명한 조하리의 창(Johari's Windows)에서 “나는 모르지만 다른 사람은 알고 있는 영역”을 무엇이라 하는가?
     1. Blind area
     2. Hidden area
     3. Open area
     4. Unknown area

     정답 : []
     정답률 : 72%
     <문제 해설>
- blind area :(자신이 모르는 부분=다른 사람이 아는 부분) 보이지않는 창
- hidden area :(자신이 아는 부분=다른 사람이 모르는 부분)숨겨진 창
- open area : (자신이 아는 부분=다른 사람이 아는 부분)열린 창
- unknown area : (자신이 모르는 부분=다른 사람이 모르는 부분) 미지의 창
[해설작성자 : 임철풍 ]

- 개방영역(open area)
- 미지영역(unknown area)
[해설작성자 : 회가좋아]

맹인영역(blind area)
비밀영역(hidden area)
[해설작성자 : 하늘한을]

23. Project method의 장점으로 볼 수 없는 것은?
     1. 창조력이 생긴다.
     2. 동기부여가 충분하다.
     3. 현실적인 학습방법이다.
     4. 시간과 에너지가 적게 소비된다.

     정답 : []
     정답률 : 80%
     <문제 해설>
- Project method 장점
동기(유발)부여를 할 수 있다
창조적, 구성적 태도를 기를 수 있다
주동성과 책임성을 훈련시킨다
협동성,지도성, 희생정신을 기를 수 있다
학교생활과 실제 생활을 결부 시킬수 있다
[해설작성자 : 임철풍]

그룹으로 프로젝트 진행하면 여러사람이 역할을 나누어서 조사하고, 취합하고, 자료만들고 발표하다보면 혼자서 일괄적으로 할때보다 시간과 에너지가 많이 소비되죠
[해설작성자 : 자격증수집중]

24. 존 듀이(Jone Dewey)의 5단계 사고과정을 순서대로 나열한 것으로 맞는 것은?

    

     1. ㉤→㉡→㉣→㉠→㉢
     2. ㉣→㉢→㉡→㉤→㉠
     3. ㉤→㉢→㉡→㉣→㉠
     4. ㉣→㉠→㉡→㉢→㉤

     정답 : []
     정답률 : 61%
     <문제 해설>
1단계 : 시사를 받는다
2단계 : 머리(지식화) 로 생각한다
3단계 : 가설을 설정한다
4단계 : 추론한다
5단계 : 행동에 의하여 가설을 검토한다
[해설작성자 : 임철풍]

존듀이 - 시집가 추행~(뜻 - 시집좀가라 보기추하다)
[해설작성자 : 요령의달인줄여서요달]

25. 주의(attention)에 대한 설명으로 틀린 것은?
     1. 주의력의 특성은 선택성, 변동성, 방향성을 표현된다.
     2. 한 자극에 주의를 집중하여도 다른 자극에 대한 주의력은 약해지지 않는다.
     3. 여러 종류의 자극을 지각할 때 소수의 특정한 것을 선택하여 집중하는 특성을 갖는다.
     4. 의식작용이 있는 일에 집중하거나 행동의 목적에 맞추어 의식수준이 집중되는 심리상태를 말한다.

     정답 : []
     정답률 : 87%
     <문제 해설>
*주의
의식작용이 있는 일에 집중하거나 행동의 목적에 맞추어 의식수준이 집중되는 심리상태

- 주의력의 특성은 선택성, 변동성, 방향성을 표현된다
-한 자극에 주의를 집중하면 다른 자극에 대한 주의력은 약해진다(방향성)
- 여러 종류의 자극을 지각할 때 소수의 특정한 것을 선택하여 집중하는 특성을 갖는다(선택성)
[해설작성자 : 임철풍]

26. 안전교육 계획수립 및 추진에 있어 진행순서를 나열한 것으로 맞는 것은?
     1. 교육의 필요점 발견→교육 대상 결정→교육 준비→교육 실시→교육의 성과를 평가
     2. 교육 대상 결정→교육의 필요점 발견→교육 준비→교육 실시→교육의 성과를 평가
     3. 교육의 필요점 발견→교육 준비→교육 대상 결정→교육 실시→교육의 성과를 평가
     4. 교육 대상 결정→교육 준비→교육의 필요점 발견→교육 실시→교육의 성과를 평가

     정답 : []
     정답률 : 73%
     <문제 해설>
교육의 필요점 발견→교육 대상 결정→교육 준비→교육 실시→교육의 성과를 평가
[해설작성자 : 임철풍]

27. 인간의 동작 특성을 외적조건과 내적조건으로 구분할 때 내적조건에 해당하는 것은?
     1. 경력
     2. 대상물의 크기
     3. 기온
     4. 대상물의 동적성질

     정답 : []
     정답률 : 79%
     <문제 해설>
내적조건 : 생리적조건(피로, 긴장), 경험(근무경력), 개인차(적성, 개성)
[해설작성자 : 필기합격]

외적조건 : 대상물의 동적 성질,크기,높이,깊이,색채,조명,소음,습도,기온등
[해설작성자 : 마지노선]

28. 산업안전보건법령상 사업내 안전보건교육 중 관리감독자의 지위에 있는 사람을 대상으로 실시하여야 할 정기교육의 교육시간으로 맞는 것은?
     1. 연간 1시간 이상
     2. 매분기 3시간 이상
     3. 연간 16시간 이상
     4. 매분기 6시간 이상

     정답 : []
     정답률 : 72%
     <문제 해설>
*관리감독자 - 연간 16시간 이상    
* 판매업무에 직접 종사하는 근로자 - 매분기3시간 이상
* 판매업무에 직접 종사하는 근로자외의 근로자 - 매분기6시간 이상

*** 2020년 8월 20일 현재 시행되고 있는 산업안전보건법 시행규칙 기준으로 작성했습니다. 보통 1년 단위로 법규가 개정되니 시험일 기준으로 법규내용을 확인하시기 바랍니다 ****
[해설작성자 : 임철풍]

29. 교육방법에 있어 강의방식의 단점으로 볼 수 없는 것은?
     1. 학습내용에 대한 집중이 어렵다.
     2. 학습자의 참여가 제한적일 수 있다.
     3. 인원대비 교육에 필요한 비용이 많이 든다
     4. 학습자 개개인의 이해도를 파악하기 어렵다.

     정답 : []
     정답률 : 84%
     <문제 해설>
단점
-학생의 참여가 제한
-학생의 주의 집중도나 흥미정도가 낮음
-학습정도를 측정하기가 곤란
-한정된 학습과제에만 가능
-개인의 학습속도에 맞추기 어렵다
-대부분 일반 통행적인 지식의 배합형식이다.
[해설작성자 : 필기합격]

장점
-전체적인 교육내용 제시, 새로운 과업 및 작업단위의 도입단계에 유효
-짧은 시간 내에 많은 내용을 다수의 대상에게 교육 가능
-교육 시간에 대한 조정이 용이
-난해한 문제에 대하여 평이한 설명이 가능
[해설작성자 : 마지노선]

30. 리더십의 행동이론 중 관리 그리드(managerial grid)에서 인간에 대한 관심보다 업무에 대한 관심이 매우 높은 유형은?
     1. (1,1)형
     2. (1,9)형
     3. (5,5)형
     4. (9,1)형

     정답 : []
     정답률 : 64%
     <문제 해설>
-1.1형:무관심형
생산‧사람에 대한 관심도가 모두 낮음, 리더의 자신의 직분유지에 필요한 노력만 함
-1.9형:인기형
생산‧사람에 대한 관신도가 매우 높음, 구성원간의 친밀감이에 중점을 둠
-9.1형:과업형
생산에 대한 관심도 매우 높음, 사람에 대한 관심도 낮음, 업무상 능력을 중시,
-5.5형:타협형
사람과 업무의 정충형, 적당한 수준성과를 지향함
-9.9형:이상형
구성원과의 공동목표‧상호 의존관계를 중요시함, 상호신뢰‧상호존경‧구성원을 통한 과업 달성
[해설작성자 : 필기합격]

(1,9)형 인기형 : 인간에 대한 관심은 매우 높고 생산에 대한 관심은 매우 낮기 때문에 구성원의 만족 관계와 친밀한 분위기를 조성하는데 역점을 기울이는 리더 스타일

31. 교육의 3요소로만 나열된 것은?
     1. 강사, 교육생, 사회인사
     2. 강사, 교육생, 교육자료
     3. 교육자료, 지식인, 정보
     4. 교육생, 교육자료, 교육장소

     정답 : []
     정답률 : 88%
     <문제 해설>
교육의 3요소
교육의 주체: 강사, 교도자
교육의 객체: 수강자, 학생
교육의 매개체: 교육내용, 교제
[해설작성자 : 합격가즈아]

32. 판단과정 착오의 요인이 아닌 것은?
     1. 자기 합리화
     2. 능력 부족
     3. 작업경험 부족
     4. 정보 부족

     정답 : []
     정답률 : 40%
     <문제 해설>
판단과정 착오 요인
1. 자기합리화
2. 능력부족
3. 정보부족
4. 과신
5. 작업조건 불량
[해설작성자 : 프라이탁]

작업경험 부족은 실행과정의 착오 요인이다.
[해설작성자 : ㅇㅇㅈ]

착오 종류
- 판단 : 능력/정보부족 + 자기합리화
- 인지 : 생리/심리적 능력부족 + 감각차단 + 정서불안
- 조작 : 작업경험/기술부족 + 잘못된정보
[해설작성자 : 시험접수 왜했지]

33. 직업적성검사 중 시각적 판단 검사에 해당하지 않는 것은?
     1. 조립검사
     2. 명칭판단검사
     3. 형태비교검사
     4. 공구판단검사

     정답 : []
     정답률 : 64%
     <문제 해설>
시각적 판단검사의 종류
언어판단검사, 형태비교검사, 평면도 판단검사, 입체도 판단검사, 공구 판단검사, 명칭판단검사
[해설작성자 : oneday]

정확도 및 기민성검사(정밀성검사) : 교환검사, 회전검사, 조립검사, 분해검사
[해설작성자 : 나도 안전인]

34. 조직에 의한 스트레스 요인으로 역할 수행자에 대한 요구가 개인의 능력을 초과하거나 주어진 시간과 능력이 허용하는 것 이상을 달성하도록 요구받고 있다고 느끼는 상황을 무엇이라 하는가?
     1. 역할 갈등
     2. 역할 과부하
     3. 업무수행 평가
     4. 역할 모호성

     정답 : []
     정답률 : 87%
     <문제 해설>
조직에 의한 스트레스 요인
역할 갈등: 조직에서 2가지 이상의 요구가 동시에 발생했을때의 갈등 상황
역할 과부하: 역할 수행자에 기대하는 요구가 개인의 능력을 초과하거나 주어진 시간과 능력이 허용하는 것
                         달성할도록 요구받아서 성급함과 부주의가 발생
역할 모호성: 개인의 역할이나 업무의 담당에 대해 명확하게 지정되지 않았을 때 발생하는 상황
[해설작성자 : 마지노선]

35. 매슬로우(Abraham Maslow)의 욕구위계설에서 제시된 5단계의 인간의 욕구 중 허츠버그(Herzberg)가 주장한 2요인(인자)이론의 동기요인에 해당하지 않는 것은?
     1. 성취 욕구
     2. 안전의 욕구
     3. 자아실현의 욕구
     4. 존경의 욕구

     정답 : []
     정답률 : 57%
     <문제 해설>
허츠버그의 동기 위생 이론
1 ) 위생요인 ( 유지욕구 ) : 인간의 동물적 욕구를 반영
2) 동기요인 ( 만족욕구 ) : 자아실현을 하려는 인간의 경향 반영

메슬로우 욕구 위계설
1) 생리적 욕구
2) 안전 욕구
3) 사회적 욕구
4) 존경욕구
5) 자아실현의 욕구

>> 안전의 욕구는 허츠버그의 유지욕구와 비슷하다
[해설작성자 : 프라이탁]

매슬로우의 욕구위계 이론             허츠버그 2요인 이론
1) 생리적 욕구
2) 안전 욕구                                     1) 위생요인
3) 사회적 욕구

4) 자기존경의 욕구                         2) 동기요인
5) 자아실현의 욕구
[해설작성자 : comcbt.com 이용자]

36. 인간의 행동특성에 있어 태도에 관한 설명으로 맞는 것은?
     1. 인간의 행동은 태도에 따라 달라진다.
     2. 태도가 결정되면 단시간 동안만 유지된다.
     3. 집단의 심적 태도교정보다 개인의 심적 태도교정이 용이하다
     4. 행동결정을 판단하고, 지시하는 외적 행동체계라고 할 수 있다.

     정답 : []
     정답률 : 71%
     <문제 해설>
2. 한번 태도가 결정되면 오랫동안 유지된다
3. 개인의 심적 태도교정보다 집단의 심적 태도교정이 용이하다
4. 내적 행동체계이다
[해설작성자 : 마지노선]

37. 손다이크(Thorndike)의 시행착오설에 의한 학습법칙과 관계가 가장 먼 것은?
     1. 효과의 법칙
     2. 연습의 법칙
     3. 동일성의 법칙
     4. 준비성의 법칙

     정답 : []
     정답률 : 57%
     <문제 해설>
시행착오설
1) 연습 , 반복의 법칙
2) 준비성의 법칙
3) 효과의 법칙
[해설작성자 : 프라이탁]

38. 산업안전보건법령상 근로 정기안전 보건교육의 교육내용이 아닌 것은?
     1. 산업안전 및 사고 예방에 관한 사항
     2. 건강증진 및 질병 예방에 관한 사항
     3. 산업보건 및 직업병 예방에 관한 사항
     4. 작업공정의 유해·위험과 재해 예방대책에 관한 사항

     정답 : []
     정답률 : 59%
     <문제 해설>
4.관리감독자 정기안전보건교육내용 이다
[해설작성자 : 핵주먹]

대책 세우는 것은 감독자의 업무
[해설작성자 : U]

39. 에너지소비량(RMR)의 산출방법으로 맞는 것은?
     1.
     2.
     3.
     4.

     정답 : []
     정답률 : 66%
     <문제 해설>
RMR = 노동대사량 / 기초대사량
                = (작업시의 소비에너지 - 안정시의 소비에너지) / 기초대사량
[해설작성자 : 파빠]

40. 레윈의 3단계 조직변화모델에 해당되지 않는 것은?
     1. 해빙단계
     2. 체험단계
     3. 변화단계
     4. 재동결단계

     정답 : []
     정답률 : 55%
     <문제 해설>
레윈의 3단계 조직변화모델
1) 1단계 : 해빙 - 변화의 방향성 제시
2) 2단계 : 이동 - 제도, 기술, 구조등이 변화
3) 3단계 : 재결빙 - 제도, 기술, 구조의 변화가 정착
[해설작성자 : 프라이탁]

3과목 : 인간공학 및 시스템안전공학


41. 인체에서 뼈의 주요 기능이 아닌 것은?
     1. 인체의 지주
     2. 장기의 보호
     3. 골수의 조혈
     4. 근육의 대사

     정답 : []
     정답률 : 83%
     <문제 해설>
뼈의 역할
1. 신체 중요부분 보호
2. 신체의 지지 및 형상 유지
3. 신체 활동 수행

뼈의 기능
1. 골수에서 혈구세포를 만드는 조혈 기능
2. 칼슘, 인 등의 무기질 저장 및 공급 기능
[해설작성자 : 건안기합격하자]

42. FT도에서 사용하는 기호 중 다음 그림과 같이 OR게이트이지만, 2개 또는 그 이상의 입력이 동시에 존재할 때 출력이 생기지 않은 경우 사용하는 것은?(문제 오류로 가답안 발표시 2번으로 발표되었지만 최종정답 발표시 전항 정답 처리 되었습니다. 여기서는 가답안인 2번을 누르면 정답 처리 됩니다.)

    

     1. 부정 OR 게이트
     2. 배타적 OR 게이트
     3. 억제 게이트
     4. 조합 OR 게이트

     정답 : []
     정답률 : 77%
     <문제 해설>
Ai, Aj, Ak 순으로 → 우선적 AND 게이트
2개의 출력 → 조합 AND 게이트
위험지속시간 → 위험 지속 AND 게이트
동시발생없음 → 배타적 OR 게이트
[해설작성자 : 건안기합격하자]

43. 손이나 특정 신체부위에 발생하는 누적손상 장애(CTD)의 발생인자와 가장 거리가 먼 것은?
     1. 무리한 힘
     2. 다습한 환경
     3. 장시간의 진동
     4. 반복도가 높은 작업

     정답 : []
     정답률 : 85%
     <문제 해설>
누적손상장애(누적외상병) 원인
1. 부적절한 자세
2. 무리한 힘의 사용
3. 과도한 반복작업
4. 연속작업(비휴식)
5. 낮은 온도 등
[해설작성자 : 건안기합격하자]

44. FTA에 의한 재해사례 연구순서 중 2단계에 해당하는 것은?
     1. FT 도의 작성
     2. 톱 사상의 선정
     3. 개선계획의 작성
     4. 사상의 재해원인을 규명

     정답 : []
     정답률 : 58%
     <문제 해설>
1단계-톱 사상의 선정
2단계-사상의 재해원인을 규명
3단계-FT도 작성
4단계-개선계획 작성
5단계-개선안 실시계획
[해설작성자 : 따봉도치 ]

45. 산업안전보건법령상 사업주가 유해위험방지계획서를 제출할 때에는 사업장 별로 관련서류를 첨부하여 해당 작업 시작 며칠 전까지 해당 기관에 제출하여야 하는가?
     1. 7일
     2. 15일
     3. 30일
     4. 60일

     정답 : []
     정답률 : 55%
     <문제 해설>
유해위험방지계획서 : 15일
[해설작성자 : comcbt.com 이용자]

건설업의경우 착공전까지
[해설작성자 : ㅇㅇ]

46. 반사율이 85%, 글자의 밝기가 400cd/m2인 VDT화면에 350lux의 조명이 있다면 대비는 약 얼마인가?
     1. -6.0
     2. -5.0
     3. -4.2
     4. -2.8

     정답 : []
     정답률 : 59%
     <문제 해설>
대비 = (휘도/전체휘도)/휘도
휘도 = 반사율 * 조도/면적(면적은 r=1m인 원 기준)
전체휘도 = 밝기 + 휘도
-------------------------
문제에서 조도 = 350lx 밝기 = 400cd/m2
[해설작성자 : comcbt.com 이용자]

휘도 [cd/m2]
조도 [lux]
반사율(%) = [휘도×파이]/조도 ×100

대비 = [배경휘도-대상휘도]/배경휘도
배경휘도 = 조명에의한휘도 = [반사율×조도]/[파이×100]
= (85×350)/(3.14×100) = 94.697
대상휘도 = 조명에의한휘도 + 대상본래의휘도
= 94.697+400 =494.697

대비 = (94.697-494.697)/94.697 = -4.224
[해설작성자 : ㅁ으어]

(1) 휘도= 반사율×조도/면적
        (휘도 = 0.85*350/3.14 = 94.7)

전체휘도= 밝기+휘도

(2) ​대비 = (휘도-전체휘도)/휘도
                    = (휘도-(밝기+휘도))/휘도
                    = 밝기/휘도
                    = 400/94.7
                    = 4.22
[해설작성자 : comcbt.com 이용자]

47. 휴먼 에러(Human Error)의 요인을 심리적 요인과 물리적 요인으로 구분할 때, 심리적 요인에 해당하는 것은?
     1. 일이 너무 복잡한 경우
     2. 일의 생산성이 너무 강조될 경우
     3. 동일 형상의 것이 나란히 있을 경우
     4. 서두르거나 절박한 상황에 놓여있을 경우

     정답 : []
     정답률 : 84%
     <문제 해설>
내적 요인(심리적 요인)
1. 지식 부족
2. 의욕이나 사기 결여
3. 서두르거나 절박한 상황
4. 체험적 습관
5. 선입관
6. 주의 소홀
7. 과다자극, 과소자극
8. 피로
[해설작성자 : 건안기합격하자]

48. 각 부품의 신뢰도가 다음과 같을 때 시스템의 전체 신뢰도는 약 얼마인가?

    

     1. 0.8123
     2. 0.9453
     3. 0.9553
     4. 0.9953

     정답 : []
     정답률 : 67%
     <문제 해설>
신뢰도 =0.95*(1-(1-0.95)*(1-0.90))= 0.94525
[해설작성자 : 합격가즈아]

49. 시스템 안전 MIL-STD-882B 분류기준의 위험성 평가 매트릭스에서 발생빈도에 속하지 않는 것은?
     1. 거의 발생하지 않는(remote)
     2. 전혀 발생하지 않는(impossible)
     3. 보통 발생하는(reasonably probable)
     4. 극히 발생하지 않을 것 같은(extremely improbable)

     정답 : []
     정답률 : 62%
     <문제 해설>
1단계 : 파국적[catastrophic]
2단계 : 중대재해[critical]
3단계 : 경미재해[marginal]
4단계 : 무시재해[negligible]
[해설작성자 : 짤짤이1234]

전혀 발생하지 않는(impossible)이 아니라 improbable. 말장난이라고 할 수 았다.
[해설작성자 : ㅇㅇㅈ]

MIL-STD-882B 분류기준의 위험성 평가 매트릭스 분류
1. 자주 발생
2. 보통 발생
3. 가끔 발생
4. 거의 발생하지 않음
5. 극히 발생하지 않음

MIL-STD-882B 의 시스템 안전 필요사항에 대한 우선권 순서
최소리스크를 위한 설계
안전장치 설치
경보장치 설치
절차 및 교육훈련 개발
[해설작성자 : 건안기합격하자]

위험성평가 매트릭스의 발생빈도 5단계
1) 자주 발생하는                 frequent
2) 보통 발생하는                 reasonably probable
3) 가끔 발생하는                 occasional
4) 거의 발생하지 않는     remote
5) 발생하지 않을 것 같은 extreamely improbable

Chapanis가 정의한 위험의 확률수준
1) 자주:     10^2/day
2) 보통:     10^3/day
3) 가끔(occasional) :     10^4day
4) 거의 발생하지 않는(remote) :                     10^5/day
5) 극히 발생할 것 같지 않은(extremely unlikely) : 10^6/day
6) 전혀 발생하지 않는(impossible) :     10^8/day
[해설작성자 : 나도 안전인]

50. 적절한 온도의 작업환경에서 추운 환경으로 온도가 변할 때 우리의 신체가 수행하는 조절작용이 아닌 것은?
     1. 발한(發汗)이 시작된다.
     2. 피부의 온도가 내려간다.
     3. 직장(直腸)온도가 약간 올라간다.
     4. 혈액의 많은 양이 몸의 중심부를 위주로 순환한다.

     정답 : []
     정답률 : 70%
     <문제 해설>
적온에서 추운 환경으로 바뀔때(저온스트레스)
1. 피부온도가 내려간다.
2. 피부를 경유하는 혈액순환량이 감소하고 많은 양의 혈액이 몸의 중심부를 순환한다.
3. 직장온도가 약간 올라간다.
4. 소름이 돋고 몸이 떨린다.
[해설작성자 : 합격가즈아]

발한(發汗) : 땀(汗)이 난다((發) - 추워지는데 땀이 나나요? 소름이 돋고 몸이 떨리겠죠
[해설작성자 : 나도 안전인]

51. 의자 설계시 고려해야 할 일반적인 원리와 가장 거리가 먼 것은?
     1. 자세고정을 줄인다.
     2. 조정이 용이해야 한다.
     3. 디스크기 받는 압력을 줄인다.
     4. 요추 부위의 후만곡선을 유지한다.

     정답 : []
     정답률 : 78%
     <문제 해설>
요추 부위의 전만곡선을 유지
[해설작성자 : ㅇㅇ]

의자설계시 인간공학적 원칙 4가지
1. 등받이의 굴곡은 요추의 굴곡(전만곡)과 일치해야 한다.
2. 좌면의 높이는 사람의 신장에 따라 조절 가능해야 한다.
3. 정적인 부하와 고정된 작업자세를 피해야 한다.
4. 의자의 높이는 오금의 높이보다 같거나 낮아야한다.
[해설작성자 : 건안기합격하자]

3. 디스크가 받는 압력을 줄인다.

52. 인체 계측 자료의 응용 원칙이 아닌 것은?
     1. 기존 동일 제품을 기준으로 한 설계
     2. 최대치수와 최소치수를 기준으로 한 설계
     3. 조절범위를 기준으로 한 설계
     4. 평균치를 기준으로 한 설계

     정답 : []
     정답률 : 78%
     <문제 해설>
인체계측자료의 3원칙
    1. 극단치설계
    2. 조절식설계
    3. 평균치설계
[해설작성자 : comcbt.com 이용자]

53. 컷셋(cut set)과 패스셋(pass set)에 관한 설명으로 옳은 것은?
     1. 동일한 시스템에서 패스셋의 개수와 컷셋의 개수는 같다.
     2. 패스셋은 동시에 발생했을 때 정상사상을 유발하는 사상들의 집합이다.
     3. 일반적으로 시스템에서 최소 컷셋의 개수가 늘어나면 위험 수준이 높아진다.
     4. 최소 컷셋은 어떤 고장이나 실수를 일으키지 않으면 재해는 일어나지 않는다고 하는 것이다.

     정답 : []
     정답률 : 57%
     <문제 해설>
컷셋 : 고장 집합체
패스셋 : 정상 작동 가능 집합체
[해설작성자 : ㅎㅎ]

컷셋    : 모든 기본사상이 일어났을 때 정상사상을 일으키는 기본사상 집합
패스셋 : 시스템의 고장을 일으키지않는 기본사상 집합
[해설작성자 : ㄴㅇㅅ]

컷 하지 못해서 갯수가 늘어나면 위험수준이 높아짐
[해설작성자 : MGLEE]

54. 모든 시스템에서 안전분석에서 제일 첫 번째 단계의 분석으로 실행되고 있는 시스템을 포함한 모든 것의 상태를 인식하고 시스템의 개발단계에서 시스템 고유의 위험상태를 식별하여 예상되고 있는 재해의 위험수준을 결정하는 것을 목적으로 하는 위험분석 기법은?
     1. 결함 위험 분석(FHA: Fault Hazard Analysis)
     2. 시스템 위험 분석(SHA: System Hazard Analysis)
     3. 예비 위험 분석(PHA: Preliminary Hazard Analysis)
     4. 운용 위험 분석(OHA: Operating Hazard Analysis)

     정답 : []
     정답률 : 74%
     <문제 해설>
예비위험분석(PHA) 목적
1. 시스템 개발 단계에서 시스템 고유의 위험 영역을 식별하고 예상되는 재해의 위험 수준을 !구상단계! 에서 적용하고 평가하는 데 있다.
2. 정성적 평가기법
[해설작성자 : 건안기합격하자]

55. 다음 FT도에서 시스템에 고장이 발생할 확률이 약 얼마인가? (단, X1과 X2의 발생확률은 각각 0.05, 0.03이다.)

    

     1. 0.0015
     2. 0.0785
     3. 0.9215
     4. 0.9985

     정답 : []
     정답률 : 55%
     <문제 해설>
1-(1-0.05)*(1-0.03)=0.0785
[해설작성자 : 합격가쟈]

x1+x2-(x1*x2)
0.05+0.03-(0.05*0.03) = 0.0785
[해설작성자 : 쪼렙]

a+b-(a*b)=0.05+0.03-(0.05*0.03)=0.0785
[해설작성자 : 수오]

56. 조종장치를 촉각적으로 식별하기 위하여 사용되는 촉각적 코드화의 방법으로 옳지 않은 것은?
     1. 색감을 활용한 코드화
     2. 크기를 이용한 코드화
     3. 조종장치의 형상 코드화
     4. 표면 촉감을 이용한 코드화

     정답 : []
     정답률 : 80%
     <문제 해설>
촉각적 표시장치
1. 기계적진동이나 전기적 임펄스이다.
2. 암호화를 위하여 고려할 특성
형상
크기
표면촉감
[해설작성자 : 건안기합격하자]

57. 인간-기계 시스템을 설계할 때에는 특정기능을 기계에 할당하거나 인간에게 할당하게 된다. 이러한 기능할당과 관련된 사항으로 옳지 않은 것은? (단, 인공지능과 관련된 사항은 제외한다.)
     1. 인간은 원칙을 적용하여 다양한 문제를 해결하는 능력이 기계에 비해 우월하다.
     2. 일반적으로 기계는 장시간 일관성이 있는 작업을 수행하는 능력이 인간에 비해 우월하다.
     3. 인간은 소음, 이상온도 등의 환경에서 작업을 수행하는 능력이 기계에 비해 우월하다.
     4. 일반적으로 인간은 주위가 이상하거나 예기치 못한 사건을 감지하여 대처하는 능력이 기계에 비해 우월하다.

     정답 : []
     정답률 : 79%
     <문제 해설>
인간은 시끄럽고, 덥고, 추우면 작업하기 힘들어요.
[해설작성자 : dlsmaw]

58. 화학설비에 대한 안전성 평가 중 정량적 평가항목에 해당되지 않는 것은?
     1. 공정
     2. 취급물질
     3. 압력
     4. 화학설비용량

     정답 : []
     정답률 : 69%
     <문제 해설>
정량적 평가 : 취급물질, 용량, 온도, 압력 및 조작

1. 공정은 정성적 평가항목

59. 시각 장치와 비교하여 청각 장치 사용이 유리한 경우는?
     1. 메시지가 길 때
     2. 메시지가 복잡할 때
     3. 정보 전달 장소가 너무 소란할 때
     4. 메시지에 대한 즉각적인 반응이 필요할 때

     정답 : []
     정답률 : 82%
     <문제 해설>
메시지가 길 때 : 시각 장치 유리
메시지가 복잡할 때 : 시각 장치 유리
정보 전달 장소가 너무 소란할 때 : 시각 장치 유리
메시지에 대한 즉각적인 반응이 필요할 때 : 청각 장치 유리
[해설작성자 : 금쪽이]

60. 인간공학 연구조사에 사용되는 기준의 구비조건과 가장 거리가 먼 것은?
     1. 다양성
     2. 적절성
     3. 무오염성
     4. 기준 척도의 신뢰성

     정답 : []
     정답률 : 57%
     <문제 해설>
적절성, 무오염성, 신뢰성, 민감도
[해설작성자 : 따봉도치]

4과목 : 건설시공학


61. 흙을 이김에 의해서 약해지는 강도를 나타내는 흙의 성질은?
     1. 간극비
     2. 함수비
     3. 예민비
     4. 항복비

     정답 : []
     정답률 : 73%
     <문제 해설>
예민비 : 흙의 이김에 의해 약해지는 정도
예민비 = 흐트러지지 않은 천연(자연)시료의 강도/흐트러진(이긴)시료의 강도
[해설작성자 : 짱구짱]

62. 콘크리트 타설 중 응결이 어느 정도 진행된 콘크리트에 새로운 콘크리트를 이어치면 시공불량이음부가 발생하여 경화 후 누수의 원인 및 철근의 녹 발생 등 내구성에 손상을 일으키는 것은?
     1. Expansion joint
     2. Construction joint
     3. Cold joint
     4. Sliding joint

     정답 : []
     정답률 : 77%
     <문제 해설>
1. Expansion joint : 온도변화에 따른 수축팽창 혹은, 부동침하, 진동으로 균열이 예상되는 위치에설치하는 줄눈
2. Construction joint : 콘크리트를 한번에 타설하지 못할때 생기는 줄눈
3. Cold joint : 이어치기 할때 생기는 줄눈
[해설작성자 : 회가좋아]

4. sliding joint는 미끄럼줄눈으로 슬래브나 보가 단순지지 방식이고, 직각방향에서의 하중이 예상될 때 미끄러질 수 있게 한 줄눈입니다.
[해설작성자 : 안전화이팅]

63. 표준관입시험의 N치에서 추정이 곤란한 사항은?
     1. 사질토의 상대밀도와 내부 마찰각
     2. 선단지지층이 사질토지반일 때 말뚝 지지력
     3. 점성토의 전단강도
     4. 점성토 지반의 투수 계수와 예민비

     정답 : []
     정답률 : 56%
     <문제 해설>
표준관입시험 점성토에서도 시행 가능. 점성토에서도 전단강도 파악이 가능
[해설작성자 : 저녁뭐먹지]

64. 공동도급(Joint Venture Contract)의 장점이 아닌 것은?
     1. 융자력의 증대
     2. 위험의 분산
     3. 이윤의 증대
     4. 시공의 확실성

     정답 : []
     정답률 : 82%
     <문제 해설>
공동도급 장점
1. 융자력 증대 2. 기술의 확충
3. 위험의 분산 4. 공사시공의 확실성
5. 신용도의 증대 6. 공사도급 경쟁완화
단점
한 회사의 도급공사보다 경비 증대
[해설작성자 : 합격가즈아]

65. 철골 내화피복공법의 종류에 따른 사용재료의 연결이 옳지 않은 것은?
     1. 타설공법-경량콘크리트
     2. 뿜칠공법-압면 흡임판
     3. 조적공법-경량콘크리트 블록
     4. 성형판붙임공법-ALC판

     정답 : []
     정답률 : 70%
     <문제 해설>
뿜칠공법 = 압면과 시멘트를 혼합
[해설작성자 : 회가좋아]

암면흡음판 → 맴브레인공법

[뿜칠공법]
1. 철골표면에 접착제를 도포한 후 내화재를 도포하는 공법
2. 종류: 뿜칠암면, 습식뿜칠암면, 뿜칠Mortar, 뿜칠 Plaster
[해설작성자 : 건안기합격하자]

66. 기초공사시 활용되는 현장타설 콘크리트 말뚝공법에 해당되지 않는 것은?
     1. 어스드릴(earth drill) 공법
     2. 베노토 말뚝(benoto pile) 공법
     3. 리버스서큘레이션(reverse circulation pile) 공법
     4. 프리보링(preboring) 공법

     정답 : []
     정답률 : 63%
     <문제 해설>
프리보링공법 : 굴삭공내에 파일을 매설하여 지지력을 발현 시키는 공법
[해설작성자 : 합격가즈아]

+추가    : 기성 콘크리트 파일을 매설함
[해설작성자 : ㅇㅇ]

67. 벽돌벽 두께 1.0B, 벽높이 2.5m, 길이 8m인 벽면에 소요되는 점토벽돌의 매수는 얼마인가? (단, 규격은 190×90×57mm, 할증은 3%로 하며, 소수점 이하 결과는 올림하여 정수매로 표기)
     1. 2980매
     2. 3070매
     3. 3278매
     4. 3542매

     정답 : []
     정답률 : 59%
     <문제 해설>
0.5B : 75매
1.0B : 149매
(2.5*8)*149*1.03= 3069.4매
[해설작성자 : 합격가즈아]

**표준 벽돌의 규격은
길이 : 190mm    너비 : 90mm    두께 : 57mm
가장 대표적인 2가지 0.5B와 1.0B의 쌓는 방식.
0.5B = 길이 방향으로 한 줄로 쌓는 방식
1.0B = 너비 방향으로 두줄로 쌓는 방식
- 가로 X 세로 = 헤베(m2)
    - 0.5B 쌓기
    >헤베(m2) 당 75장의 벽돌이 사용된다고 보시면 됩니다.
ex)가로 1M 세로 2M의 공간에 0.5B 쌓기 라면 2m2 이므로 75 X 2 = 150 장이 필요합니다.
    - 1.0B 쌓기
>헤베(m2) 당 149장의 벽돌이 사용된다고 보시면 됩니다.
ex)가로 1M 세로 2M의 공간에 1.0B 쌓기 라면 2m2 이므로 149 X 2 = 298 장이 필요합니다.
할증이 값에 여유 분량을 더 해주는데 통상적으로 5% 정도 더 해서 주문을 넣습니다.
[해설작성자 : comcbt.com 이용자]

68. 금속제 천장틀 공사 시 반자틀의 적정한 간격으로 옳은 것은? (단, 공사시방서가 없는 경우)
     1. 450 mm 정도
     2. 600 mm 정도
     3. 900 mm 정도
     4. 1200 mm 정도

     정답 : []
     정답률 : 58%
     <문제 해설>
목제 반자틀 : 300~450mm
금속제 반자틀 : 900
[해설작성자 : ㄹㄹ]

69. 철근이음에 관한 설명으로 옳지 않은 것은?
     1. 철근의 이음부는 구조내력상 취약점이 되는 곳이다.
     2. 이음위치는 되도록 응력이 큰 곳을 피하도록 한다.
     3. 이음이 한 곳에 집중되지 않도록 엇갈리게 교대로 분산시켜야 한다.
     4. 응력 전달이 원활하도록 한 곳에서 철근수의 반 이상을 이어야 한다.

     정답 : []
     정답률 : 77%
     <문제 해설>
한곳에 철근의 반이상을 이어서는 안된다
[해설작성자 : 파몽]

70. 철골용접이음 후 용접부의 내부결함 검출을 위하여 실시하는 검사로써 빠르고 경제적이어서 현장에서 주로 사용하는 초음파를 이용한 비파괴 검사법은?
     1. MT(Magnetic particle Testing)
     2. UT(Ultrasonic Testing)
     3. RT(Radiogtaphy Testing)
     4. PT(Liquid Penetrant Testing)

     정답 : []
     정답률 : 70%
     <문제 해설>
방사선투과법 (Radiography : RT)
초음파탐상법 (Ultrasonics : UT)
​자분탐상법 (Magnetic Particles : MT)

육안검사 (Visual Testing : VT)

누설검사 (Leak Testing : LT)
액체침투탐상법 (Liquid Penetrants : PT)
​와전류탐상법 (Eddy Current : ECT, ET)
​음향탐상법 (Acoutic Emission : AE)
​중성자투과검사 (NRT)
적외선검사 (IRT)
[해설작성자 : comcbt.com 이용자]

71. 건설의 전 과정에 걸쳐 프로젝트를 보다 효율적이고 경제적으로 수행하기 위하여 각 부문의 전문가들로 구성된 통합관리기술을 발주자에게 서비스하는 것을 무엇이라고 하는가?
     1. Cost Management
     2. Cost Manpower
     3. Construction Manpower
     4. Construction Management

     정답 : []
     정답률 : 78%
     <문제 해설>
건설사업관리(construction management)는 건설 공사에서 발주자의 권한을 위임받아 건설 사업의 기획ㆍ
설계부터 발주ㆍ시공ㆍ유지 관리까지 통합 관리
[해설작성자 : comcbt.com 이용자]

72. 네트워크공정표에서 후속작업의 가장 빠른 개시시간(EST)에 영향을 주지 않는 범위내에서 한 작업이 가질 수 있는 여유시간을 의미하는 것은?
     1. 전체여유(TF)
     2. 자유여유(FF)
     3. 간섭여유(IF)
     4. 종속여유(DF)

     정답 : []
     정답률 : 71%
     <문제 해설>
1. TF(Total Float): 최초의 개시일에 작업을 시작하여 가장 늦은 종료일에 완료할 때 생기는 여유일.
2. FF(Free Float): 최초의 개시일에 작업을 시작하고 후속작업을 최초개시일에 시작하여도 생기는 여유일
                                     (후속작업에 영향을 미치지 않는 자유여유시간)
3. DF(Dependant Float): 후속작업의 TF에 영향을 주는 여유일(DF=TF―FF)
[해설작성자 : 합격가즈아]

73. 강구조물 제작 시 절단 및 개선(그루브)가공에 관한 일반사항으로 옳지 않은 것은?
     1. 주요 부재의 강판 절단은 주된 응력의 방향과 압연방향을 직각으로 교차시켜 절단함을 원칙으로 하며, 절단작업 착수 전 재단도를 작성해야 하다.
     2. 강재의 절단은 강재의 형상, 치수를 고려하여 기계절단, 가스절단, 플라즈마 절단 등을 적용한다.
     3. 절단할 강재의 표면에 녹, 기름, 도료가 부착되어 있는 경우에는 제거 후 절단해야 한다.
     4. 용접선의 교차부분 또는 한 부재를 다른 부재에 접합시킬 때 불필요한 접촉을 피하기 위하여 모퉁이따기를 할 경우에는 10mm 이상 둥글게 해야 한다.

     정답 : []
     정답률 : 58%
     <문제 해설>
1.절단
     1)주요 부재의 강판철 단은 주된 응력의 방향과 압연 방향을 일치시켜 절단함을 원칙으로 한다.
[해설작성자 : 아무개]

74. 공사계약방식 중 직영공사방식에 관한 설명으로 옳은 것은?
     1. 사회간접자본(SOC:Social Overhead Capital)의 민간투자유치에 많이 이용되고 있다.
     2. 영리목적의 도급공사에 비해 저렴하고 재료선정이 자유로운 장점이 있으나, 고용기술자 등에 의한 시공관리능력이 부족하면 공사비 증대, 시공성의 결함 및 공기가 연장되기 쉬운 단점이 있다.
     3. 도급자가 자금을 조달하면 설계, 엔지니어링, 시공의 전부를 도급받아 시설물을 완성하고 그 시설을 일정기간 운영하는 것으로, 운영수입으로부터 투자자금을 회수한 후 발주자에게 그 시설을 인도하는 방식이다.
     4. 수입을 수반한 공공 혹은 공익 프로젝트(유료도로, 도시철도, 발전도 등)에 많이 이용되고 있다.

     정답 : []
     정답률 : 68%
     <문제 해설>
시공주가 직접 재료구입, 고용, 기계 등을 마련하는 공사방식 = 저렴하다
[해설작성자 : 공겹가자]

75. 보강블록 공사 시 벽 가로근의 시공에 관한 설명으로 옳지 않은 것은?
     1. 가로근은 배근 상세도에 따라 가공하되 그 단부는 90°의 갈구리로 구부려 배근한다.
     2. 모서리에 가로근의 단부는 수평방향으로 구부려서 세로근의 바깥쪽으로 두르고, 정착길이는 공사시방서에 정한 바가 없는 한 40d 이상으로 한다.
     3. 창 및 출입구 등의 모서리 부분에 가로근의 단부를 수평방향으로 정착할 여유가 없을 때에는 갈구리로 하여 단부 세로근에 걸고 결속선으로 결속한다.
     4. 개구부 상하부의 가로근을 양측 벽부에 묻을 때의 정착길이는 40d 이상으로 한다.

     정답 : []
     정답률 : 58%
     <문제 해설>
가로근은 배근 상세도에 따라 가공하되 그 단부는 180°의 갈구리로 구부려 배근한다

76. 철근배근 시 콘크리트의 피복두께를 유지해야 되는 가장 큰 이유는?
     1. 콘크리트의 인장강도 증진을 위하여
     2. 콘크리트의 내구성, 내화성 확보를 위하여
     3. 구조물의 미관을 좋게 하기 위하여
     4. 콘크리트 타설을 쉽게 하기 위하여

     정답 : []
     정답률 : 77%
     <문제 해설>
철근 피복두께의 유지 목적
1. 내화성능 유지
2. 내구성능 유지
3. 소요의 구조내력확보. 즉, 콘크리트의 유동성, 부착력, 강도확보 등
[해설작성자 : 기수리]

77. 흙막이 지지공법 중 수평버팀대 공법의 특징에 관한 설명으로 옳지 않은 것은?
     1. 가설구조물이 적어 중장비작업이나 토량제거작업의 능률이 좋다.
     2. 토질에 대해 영향을 적게 받는다.
     3. 인근 대지로 공사범위로 넘어가지 않는다.
     4. 고저차가 크거나 상이한 구조인 경우 균형을 잡기 어렵다.

     정답 : []
     정답률 : 55%
     <문제 해설>
수평버팀대 공법은 가설구조물이 많아 중장비가 들어가기가 곤란하여작업능률이 좋지않다.
[해설작성자 : 쌍기사가즈아]

78. 터널 폼에 관한 설명으로 옳지 않은 것은?
     1. 거푸집의 전용횟수는 약 10회 정도로 매우 적다.
     2. 노무 절감, 공기단축이 가능하다.
     3. 벽체 및 슬래브거푸집을 일체로 제작한 거푸집이다.
     4. 이 폼의 종류에는 트윈 쉘(twin shell)과 모노 쉘(mono shell)이 있다.

     정답 : []
     정답률 : 75%
     <문제 해설>
100회

79. 철근콘크리트 공사에서 거푸집의 간격을 일정하게 유지시키는데 사용되는 것은?
     1. 클 램프
     2. 쉐어 커넥터
     3. 세퍼레이터
     4. 인서트

     정답 : []
     정답률 : 71%
     <문제 해설>
격리재 separator 거푸집 상호간의 간격을 유지
간격재 spacer 철근과 거푸집의 간격을 유지
[해설작성자 : 파몽]

seperate : 따로, 분리
[해설작성자 : 산안기따고 건안기도 도전]

80. 지정에 관한 설명으로 옳지 않은 것은?
     1. 잡석지정-기초 콘크리트 타설 시 흙의 혼입을 방지하기 위해 사용한다.
     2. 모래지정-지반이 단단하며 건물이 중량일 때 사용한다.
     3. 자갈지정-굳은 지반에 사용되는 지정이다.
     4. 밑창 콘크리트지정-잡석이나 자갈 위 기초부분의 먹매김을 위해 사용한다.

     정답 : []
     정답률 : 71%
     <문제 해설>
모래지정 : 지반이 약한 점토층에 사용
[해설작성자 : ㅇㅇ]

5과목 : 건설재료학


81. 도료의 저장 중 또는 용기 내 방치 시 도료의 표면에 피막이 형성되는 현상의 발생 원인과 가장 관계가 먼 것은?
     1. 피막방지제의 부족이나 건조제가 과잉일 경우
     2. 용기내의 공간이 커서 산소의 양이 많을 경우
     3. 부적당한 신너로 희석하였을 경우
     4. 사용잔량을 뚜껑을 열어둔 채 방치하였을 경우

     정답 : []
     정답률 : 63%
     <문제 해설>
부적당한 신너로 희석하였을 경우 → 점도가 상승
[해설작성자 : ㅇㅇ]

피막: 도료의 저장 중 용기 내에 방치시 도료의 표면에 피막이 형성
발생원인
1. 피막방지제의 부족 또는 건조제의 과잉
2. 용기 내의 공간이 커서 산소의 양이 많을 때
3. 사용잔량을 뚜껑을 열어둔 채 방치하였을 경우
방지대책
1. 피막방지제와 건조제의 균형을 맞출 것
2. 양에 알맞은 용기사용, 질소 치환
3. 밀봉 또는 새 용기에 보관, 짧은 시간이면 용제를 부어놓을 것
발생시 조치사항
피막 제거, 피막이 적을 경우 제거하여 사용, 많으면 폐기
[해설작성자 : 건안기합격하자]

82. 다음 중 무기질 단열재에 해당하는 것은?
     1. 발포폴리스티렌 보온재
     2. 셀롤로스 보온재
     3. 규산칼슘판
     4. 경질폴리우레탄폼

     정답 : []
     정답률 : 50%
     <문제 해설>
무기질 단열재
유리면, 암면, 펄라이트판, 세라믹파이버, 규산칼슘판, 경량기포콘크리트
[해설작성자 : comcbt.com 이용자]

1. 무기질 단열재 : 유리원료나 광물을 녹여 섬유형태로 만든 광물섬유 단열재
    - 장점 : 열에 강함
    - 단점 : 섬유성질의 단열재이기 때문에 흡습성이 크다
2. 유기질 단열재 : 석유를 기반으로 제작된 단열재
    - 장점 : 가격이 저렴, 습기를 거의 흡수하지 않음
    - 단점 : 불이 쉽게 옮겨 붙는다
[해설작성자 : Pepsi]

83. 통풍이 잘 되지 않는 지하실의 미장재료로서 가장 적합하지 않은 것은?
     1. 시멘트 모르타르
     2. 석고 플라스터
     3. 킨즈 시멘트
     4. 돌로마이트 플라스터

     정답 : []
     정답률 : 59%
     <문제 해설>
돌로마이트 플라스트는 기경성 임
[해설작성자 : comcbt.com 이용자]

돌로마이터 플라스터 특징
1. 기경성으로 지하실 등의 마감에는 좋지 않다.
2. 점성이 높고 작업성이 좋다.
3. 소석회보다 점성이 커서 풀이 필요없으며 변색, 냄새, 곰팡이가 없다.
4. 석회보다 보수성, 시공성이 우수하다.
5. 해초풀을 사용하지 않는다.
6. 여물을 혼합하여도 건조수축이 커서 수축 균열이 발생하기 쉽다.
[해설작성자 : 건안기합격하자]

84. 지붕공사에 사용되는 아스팔트 싱글제품 중 단위 중량이 10.3kg/m2이상 12.5kg/m2미만인 것은?
     1. 경량 아스팔트 싱글
     2. 일반 아스팔트 싱글
     3. 중량 아스팔트 싱글
     4. 초중량 아스팔트 싱글

     정답 : []
     정답률 : 51%
     <문제 해설>
일반 아스팔트 싱글: 단위 중량이 10.3kg/m2이상 12.5kg/m2미만
중량 아스팔트 싱글: 단위 중량이 12.5kg/m2이상 14.2kg/m2미만
초중량 아스팔트 싱글: 단위 중량이 14.2kg/m2이상
[해설작성자 : GIANT]

85. 점토벽돌 1종의 압축강도는 최소 얼마 이상인가?
     1. 17.85 MPa
     2. 19.53 MPa
     3. 20.59 MPa
     4. 24.50 MPa

     정답 : []
     정답률 : 76%
     <문제 해설>
1종 24.50 이상
2종 20.59 이상
3종 10.78 이상
[해설작성자 : GIANT]

23년 기준
점토벽돌 압축강도
1종-24.5이상 (N/mm2), 흡수율 10이하-내장재 및 외장재
2종 14.7이상 (N/mm2), 흡수율 15이하-내장재로만 사용

86. 골재의 함수상태에 따른 질량이 다음과 같을 경우 표면수율은?

    

     1. 2%
     2. 3%
     3. 10%
     4. 15%

     정답 : []
     정답률 : 65%
     <문제 해설>
표면수율 = 습윤중량-표면건조포화상태의 중량/표면건조 포화상태의 중량 *100(%)
((550-500)/500)*100 = 10%
[해설작성자 : 합격가즈아]

87. 콘크리트의 건조수축에 관한 설명으로 옳지 않은 것은?
     1. 시멘트의 제조성분에 따라 수축량이 다르다.
     2. 골재의 성질에 따라 수축량이 다르다.
     3. 시멘트량의 다소에 따라 수축량이 다르다.
     4. 된비빔일수록 수축량이 많다.

     정답 : []
     정답률 : 79%
     <문제 해설>
된비빔일수록 수축이 작다
[해설작성자 : comcbt.com 이용자]

콘크리트의 건조수축
1. 시멘트의 종류, 분말도, 골재에 영향을 받는다.
2. 단위수량과 단위시멘트량이 많을수록 수축량이 크다.
3. 골재에 함유된 미립분, 점토, 실트는 건조수축을 증대시킨다.
4. W/C비가 같은 경우 사용 단위시멘트량이 클수록 크다.
5. 건조개시 재령은 건조수축에 큰 영향이 없다.
6. 골재가 단단하고 탄성계수가 클수록 적게 된다.
7. 된비빔일수록 수축량이 적다.
[해설작성자 : 건안기합격하자]

88. 목재의 나뭇결 중 아래의 설명에 해당하는 것은?

    

     1. 무뉘결
     2. 곧은결
     3. 널결
     4. 엇결

     정답 : []
     정답률 : 63%
     <문제 해설>
곧은결: 나이테와 직각이 되게 자른 나무의 면에 나타난 결
출처: 네이버 지식백과
[해설작성자 : 건안기 cbt딸 7일의 전사]

89. 조이너(joiner)의 설치목적으로 옳은 것은?
     1. 벽, 기둥 등의 모서리에 미장 바름의 보호
     2. 인조석깔기에서의 신축균열방지나 의장효과
     3. 천장에 보드를 붙인 후 그 이음새를 감추기 위한 목적
     4. 환기구멍이나 라디에이터의 덮개역할

     정답 : []
     정답률 : 67%
     <문제 해설>
금속철물
[1. 조이너]
1. 벽, 천장, 바닥에 판재를. 붙일 때 이음부분을 감추거나 이질재와의 접합부 등에 사용
2. 재료는 아연도금철판재, 황동재(황동->구리와 아연)등으로 만든다.
[2. 코너비드]
벽, 기둥 등의 모서리에 대어 미장바름을 보호하는 철물
[해설작성자 : 건안기합격하자]

90. 각 석재별 주용도를 표기한 것으로 옳지 않은 것은?
     1. 화강암:외장재
     2. 석회암:구조재
     3. 대리석:내장재
     4. 점판암:지붕재

     정답 : []
     정답률 : 64%
     <문제 해설>
석회암은 시멘트의 원료, 제철, 비료, 석재
[해설작성자 : 합격가즈아]

91. 암석의 구조를 나타내는 용어에 관한 설명으로 옳지 않은 것은?
     1. 절리란 암석 특유의 천연적으로 갈라진 금을 말하며, 규칙적인 것과 불규칙적인 것이 있다.
     2. 층리란 퇴적암 및 변성암에 나타나는 퇴적할 당시의 지표면과 방향이 거의 평행한 절리를 말한다,
     3. 석리란 암석이 가장 쪼개지기 쉬운 면을 말하며, 절리보다 불분명하지만 방향이 대체로 일치되어 있다.
     4. 편리란 변성암에 생기는 절리로서 방향이 불규칙하고 얇은 판자모양으로 갈라지는 성질을 말한다.

     정답 : []
     정답률 : 65%
     <문제 해설>
석리 : 석재 표면의 구성조직을 말한 것으로 석재의 외관 및 성질과 관계가 깊다
석목 : 암석이 가장 쪼개지기 쉬운 면을 말하는데 절리보다 불분명하지만 절리와 비슷하며 방향이 대체로 일치되어 있다.
[해설작성자 : 아무개]

암석의 여러 가지 조직이다. 현미경적 수준으로 층리, 절리 같은 큰 조직과 구분한 것이지만 혼용되기도 한다. 암석의 성인을 아는데 중요하며, 암석 분류의 기준으로 사용된다.
조직이라고 한다. 따라서 대부분 현미경적인 수준의 성질이며 암석의 층리(層理)나 절리(節理)와 같은 큰 수준의 성질은 구조라고 하여 구별한다. 그러나 이 두 가지 구별은 혼용되고 있고 확실한 것은 아니다. 석리는 암석의 성인(成因)을 생각하는 데 중요하며, 암석의 분류의 기준으로도 사용된다.
[네이버 지식백과] 석리 [texture, 石理] (두산백과 두피디아, 두산백과)
[해설작성자 : 한길]

92. 강은 탄소 함유량의 증가에 따라 인장강도가 증가하지만 어느 이상이 되면 다시 감소한다 이때 인장강도가 가장 큰 시점의 탄소 함유량은?
     1. 약 0.9%
     2. 약 1.8%
     3. 약 2.7%
     4. 약 3.6%

     정답 : []
     정답률 : 46%
     <문제 해설>
강의 인장강도
1. 탄소함유량 0.9[%]까지는 인장강도, 경도는 증가한다.
2. 0.85[%]에서 최대가 된다.
[해설작성자 : 건안기합격하자]

강의 인장강도는 "영구"하다 => 영구:0.9% 로 외우면 쉽다.
[해설작성자 : 민짜루]

93. 아스팔트의 물리적 성질에 관한 설명으로 옳은 것은?
     1. 감온성은 블로운 아스팔트가 스트레이트 아스팔트보다 크다.
     2. 연화점은 블로운 아스팔트가 스트레이트 아스팔트보다 낮다.
     3. 신장성은 스트레이트 아스팔트가 블로운 아스팔트보다 크다.
     4. 점착성은 블로운 아스팔트가 스트레이트 아스팔트보다 크다.

     정답 : []
     정답률 : 48%
     <문제 해설>
연화점: 고형 물질이 열에 의하여 변형되어 연화를 일으키기 시작하는 온도
감온성: 외부 온도변화에 따라 아스팔트의 경도 및 점도등이 변화하는 성질
블로운아스팔트: 아스팔트 설질이가볍고 탄력성 풍부한함. 연화점이 높고 감수성이 적으며 옥상 방수에 쓰인다
[해설작성자 : comcbt.com 이용자]

감온성(感溫性):온도가 높으면 액체 상태가 되고, 저온에서는 매우 딱딱해지는 것
스트레이트 아스팔트는 접착성 신장성 흡투수가 우수함
[해설작성자 : comcbt.com 이용자]

스트레이트 아스팔트
1. 신장성이 우수하고 접착력과 방수성이 좋다.
2. 연화점이 낮으며 온도에 의한 감온성이 좋다.
3. 용도는 지하실방수에 주로 쓰이고, 아스팔트루핑, 아스팔트펠트의 삼투용으로 사용

블로운 아스팔트
1. 스트레이트 아스팔트에 비해 신축성, 침입도, 방수성은 적다.
2. 연화점이 높고 온도에 의한 신도가 적다.
3. 내구력, 탄성이 크다.
4. 감온비가 적다.
5. 용도는 아스팔트콤파운드, 아스팔트프라이머 제조
[해설작성자 : 건안기합격하자]

94. 킨즈시멘트 제조 시 무수석고의 경화를 촉진시키기 위해 사용하는 혼화재료는?
     1. 규산백토
     2. 플라이애쉬
     3. 화산회
     4. 백반

     정답 : []
     정답률 : 54%
     <문제 해설>
키즈시멘트: 무수석고를 주원료로 하는 수경성 미장재료
[해설작성자 : 덕이]

킨즈시멘트(경석고 플라스터)
경석고에 백반 등의 촉진재를 배합한 것으로 약간 붉은 빛을 띤 백색을 나타내는 플라스터이다.
[해설작성자 : 건안기합격하자]

95. 초기강도가 아주 크고 초기 수화발열이 커서 긴급공사나 동절기 공사에 가장 적합한 시멘트는?
     1. 알루미나시멘트
     2. 보통포틀랜드시멘트
     3. 고로시멘트
     4. 실리카시멘트

     정답 : []
     정답률 : 46%
     <문제 해설>
알루미나 시멘트
1. 성분 중에는 Al2O3가 많으므로 조기강도가 높고 염분이나 화학적 저항이 크다.
2. 수화열량이 높아서 대형 단면부재에는 부적당하나 긴급공사나 동기공사에 좋다.
[해설작성자 : 건안기합격하자]

96. 일반적으로 단열재에 습기나 물기가 침투하면 어떤 현상이 발생하는가?
     1. 열전도율이 높아져 단열성능이 좋아진다.
     2. 열전도율이 높아져 단열성능이 나빠진다.
     3. 열전도율이 낮아져 단열성능이 좋아진다.
     4. 열전도율이 낮아져 단열성능이 나빠진다.

     정답 : []
     정답률 : 74%
     <문제 해설>
단열재의 선정조건
1. 열전도율, 흡수율이 작을 것
2. 비중, 투기성이 작을 것
3. 내화성이 크고 내부식성이 좋을 것
4. 시공성이 좋고 기계적인 강도가 있을 것
5. 재질의 변질이 없고 균일한 품질일 것
6. 가격이 저렴하고 연소 시 유독가스 발생이 없을 것
[해설작성자 : 건안기합격하자]

97. 도장재료 중 래커(lacquer)에 관한 설명으로 옳지 않은 것은?
     1. 내구성은 크나 도막이 느리게 건조된다.
     2. 클리어래커는 투명래커로 도막은 얇으나 견고하고 광택이 우수하다.
     3. 클리어래커는 내후성이 좋지 않아 내부용으로 주로 쓰인다.
     4. 래커에나멀은 불투명 도료로서 클리어래커에 안료를 첨가한 것을 말한다.

     정답 : []
     정답률 : 48%
     <문제 해설>
도료의 종류
- 페인트
     유성페인트 : 보일드유 + 안료
     수성페인트 : 물 + 안료
- 바니쉬
     유성바니쉬/휘발성바니쉬
- 래커
     클리어래커 : 담색으로 우아한 광택, 목재면 투명도장, 안료가 안들어감
     래커에나멜 : 클리어래커 + 안료, 불투명 도료, 밀착력 떨어져 바탕칠 필요
- 에나멜 페인트
     유성에나멜
     합성수지에나멜
     알루미늄페인트
[해설작성자 : comcbt.com 이용자]

래커(lacquer)의 특징
1. 건조가 빠르고 도막이 견고하다.
2. 광택이 좋고 연마가 용이하다.
3. 내수성, 내유성, 내후성 등이 좋다.
[해설작성자 : 건안기합격하자]

98. 도료의 건조제 중 상온에서 기름에 용해되지 않는 것은?
     1. 붕산망간
     2. 이산화망간
     3. 초산염
     4. 코발트의 수지산

     정답 : []
     정답률 : 52%
     <문제 해설>
가열하여 기름에 용해되는 건조체
연, 망간, 코발트의 수지산, 지방산의 염류
[해설작성자 : 파몽]

99. 시멘트의 분말도에 관한 설명으로 옳지 않은 것은?
     1. 분말도가 클수록 수화반응이 촉진된다.
     2. 분말도가 클수록 초기강도는 작으나 장기강도는 크다.
     3. 분말도가 클수록 시멘트 분말이 미세하다.
     4. 분말도가 너무 크면 풍화되기 쉽다.

     정답 : []
     정답률 : 64%
     <문제 해설>
[ 시멘트의 분말도 ]
1. 시멘트의 분말도가 클수록 비표면적이 커서 물에 접촉하는 면적이 크므로 수화작용이 빨라 콘크리트의 초기강도가 높고 그 후의 강도의 증진도 크며 골재와의 접착력도 크므로 내구적인 콘크리트를 만드는 데 적당하다.
2. 분말도가 너무 크면 풍화되기 쉽다.
3. 화학성분이 같을 때 조기강도를 증진하려고 하면 분말도에 의존할 수 밖에 없다.
4. 분말도가 너무 큰 시멘트는 블리딩이 적고, 워커빌리티가 좋으나, 수축이 커질 염려가 있으며 발열량이 많아 콘크리트에 균열이 발생하기 쉬우며, 수밀성, 내구성의 면에서도 좋지 못함.
[해설작성자 : 김온지]

100. 목재의 방부 처리법 중 압력용기 속에 목재를 넣어 처리하는 방법으로 가장 신속하고 효과적인 방법은?
     1. 가압주입법
     2. 생리적 주입법
     3. 표면탄화법
     4. 침지법

     정답 : []
     정답률 : 78%
     <문제 해설>
가압주입법
1. 압력용기속에 목재를 넣어 압력을 가하여 방부제를 주입하는 것
2. 효과가 가장 좋다.
[해설작성자 : 건안기합격하자]

101. 지면보다 낮은 땅을 파는데 적합하고 수중굴착도 가능한 굴착기계는?
     1. 백호우
     2. 파워쇼벨
     3. 가이데릭
     4. 파일드라이버

     정답 : []
     정답률 : 74%
     <문제 해설>
백호(back hoe) [드레그쇼벨(drag shovel)
1. 토목공사나 수중굴착에 많이 사용된다.
2. 지하층이나 기초의 굴착에 사용된다.
[해설작성자 : 건안기합격하자]

102. 굴착공사에서 비탈면 또는 비탈면 하단을 성토하여 붕괴를 방지하는 공법은?
     1. 배수공
     2. 배토공
     3. 공작물에 의한 방지공
     4. 압성토공

     정답 : []
     정답률 : 60%
     <문제 해설>
압성토 공법(sur charge)
1. 토사의 측방에 압성토를 하거나 법면 구배를 작게 하여 활동에 저항하는 모멘트 증가
2. 점성토 연약지반 개량공법
[해설작성자 : 건안기합격하자]

103. 작업장에 계단 및 계단참을 설치하는 경우 매 제곱미터 당 최소 몇 킬로그램 이상의 하중에 견딜 수 있는 강도를 가진 구조로 설치하여야 하는가?
     1. 300kg
     2. 400kg
     3. 500kg
     4. 600kg

     정답 : []
     정답률 : 60%
     <문제 해설>
사업주는 작업장에 계단 및 계단참을 설치하는 경우 매제곱미터 당 500kg 이상의 하중에 견딜 수 있는 강도를 가진 구조로 설치하여야 하며 안전율은 4이상으로 하여야 한다
[해설작성자 : Safety First]

104. 작업으로 인하여 물체가 떨어지거나 날아올 위험이 있는 경우 필요한 조치와 가장 거리가 먼 것은?
     1. 투하설비 설치
     2. 낙하물 방지망 설치
     3. 수직보호망 설치
     4. 출입금지구역 설정

     정답 : []
     정답률 : 71%
     <문제 해설>
낙하, 비래에 의한 위험방지 안전대책
1. 낙하물 방지망 설치
2. 수직보호망 설치
3. 방호 선반의 설치
4. 출입금지 구역의 설정
5. 보호구 착용
[해설작성자 : 건안기합격하자]

105. 크레인의 운전실 또는 운전대를 통하는 통로의 끝과 건설물 등의 벽체의 간격은 최대 얼마 이하로 하여야 하는가?
     1. 0.2m
     2. 0.3m
     3. 0.4m
     4. 0.5m

     정답 : []
     정답률 : 64%
     <문제 해설>
산업안전보건기준에 관한 규칙[시행 2024. 1. 1.]
제145조(건설물 등의 벽체와 통로의 간격 등) 사업주는 다음 각 호의 간격을 0.3미터 이하로 하여야 한다. 다만, 근로자가 추락할 위험이 없는 경우에는 그 간격을 0.3미터 이하로 유지하지 아니할 수 있다.
1. 크레인의 운전실 또는 운전대를 통하는 통로의 끝과 건설물 등의 벽체의 간격
2. 크레인 거더(girder)의 통로 끝과 크레인 거더의 간격
3. 크레인 거더의 통로로 통하는 통로의 끝과 건설물 등의 벽체의 간격
[해설작성자 : paintier]

106. 철골공사 시 안전작업방법 및 준수사항으로 옳지 않은 것은?
     1. 강풍, 폭우 등과 같은 악천우시에는 작업을 중지하여야 하며 특히 강풍시에는 높은 곳에 있는 부재나 공구류가 낙하비래하지 않도록 조치하여야 한다.
     2. 철골부재 반입 시 시공순서가 빠른 부재는 상단부에 위치하도록 한다.
     3. 구명줄 설치 시 마닐라 로프 직경 10mm를 기준하여 설치하고 작업방법을 충분히 검토하여야 한다.
     4. 철골보의 두곳을 매어 인양시킬 때 와이어로프의 내각은 60°이하이어야 한다.

     정답 : []
     정답률 : 49%
     <문제 해설>
16mm

철골공사표준안전작업지침 제16조(재해방비설비) 제3호 참조
3. 구명줄을 설치할 경우에는 1가닥의 구명줄을 여러명이 동시에 사용하지 않도록 하여야 하며 구명줄을 마닐라 로우프 직경 16밀리미터를 기준하여 설치하고 작업방법을 충분히 검토하여야 한다.
[해설작성자 : paintier]

107. 강관비계의 수직방향 벽이음 조립간격(m)으로 옳은 것은? (단, 틀비계이며 높이가 5m 이상일 경우)
     1. 2m
     2. 4m
     3. 6m
     4. 9m

     정답 : []
     정답률 : 62%
     <문제 해설>
                                     수직    수평
강관비계 단관비계        5m    5m
                    틀 비계        6m    8m
통나무비계                 5.5m 7.5m        
[해설작성자 : ㅇㅇ]

[추가]
산업안전보건기준에 관한 규칙[2024. 1. 1.]
[별표5] 강관비계의 조립간격(제59조제4호 관련) 참조
[해설작성자 : paintier]

108. 공정율이 65%인 건설현장의 경우 공사 진척에 따른 산업안전보건관리비의 최소 사용기준으로 옳은 것은? (단, 공정율은 기성공정율을 기준으로 함)
     1. 40% 이상
     2. 50% 이상
     3. 60% 이상
     4. 70% 이상

     정답 : []
     정답률 : 64%
     <문제 해설>
공정률 50~70% → 50%이상
70~90% → 70%
90%~ → 90%    
[해설작성자 : ㅇㅇ]

109. 달비계에 사용이 불가한 와이어로프의 기준으로 옳지 않은 것은?
     1. 이음매가 있는 것
     2. 와이어로프의 한 꼬임에서 끊어진 소선의 수가 7% 이상인 것
     3. 지름의 감소가 공칭지름의 7%를 초과하는 것
     4. 심하게 변형되거나 부식된 것

     정답 : []
     정답률 : 68%
     <문제 해설>
와이어로프 사용금지기준
1. 이음매가 있는 것
2. 와이어로프의 한 꼬임에서 끊어진 소선(필러선을 제외)의 수가 10% 이상인 것
3. 지름의 감소가 공칭지름의 7%를 초과하는 것
4. 심하게 변형되거나 부식된 것
5. 꼬인 것
6. 열과 전기충격기에 의해 손상된 것
[해설작성자 : 건안기합격하자]

110. 구축물에 안전차단 등 안전성 평가를 실시하여 근로자에게 미칠 위험성을 미리 제거하여야 하는 경우가 아닌 것은?
     1. 구축물 또는 이와 유사한 시설물의 인근에서 굴착·항타작업 등으로 침하·균열 등이 발생하여 붕괴의 위험이 예상될 경우
     2. 구조물, 건축물, 그 밖의 시설물이 그 자체의 무게·적설·풍압 또는 그 밖에 부가되는 하중 등으로 붕괴 등의 위험이 있을 경우
     3. 화재 등으로 구축물 또는 이와 유사한 시설물의 내력(耐力)이 심하게 저하되었을 경우
     4. 구축물의 구조체가 안전측으로 과도하게 설계가 되었을 경우

     정답 : []
     정답률 : 81%
     <문제 해설>
[구축물 안전성 평가내용]
1. 구축물 또는 이와 유사한 시설물의 인근에 굴착·항타작업 등으로 침하·균열 등이 발생하여 붕괴의 위험이 예상될 경우
2. 구축물 또는 이와 유사한 시설물에 지진, 동해, 부동침하등으로 균열, 비틀림 등이 발생하였을 경우
3. 구조물, 건축물, 그 밖의 시설물이 그 자체의 무게·적설·풍압 또는 그 밖에 부가되는 하중 등으로 붕괴 등의 위험이 있을 경우
4. 화재 등으로 구축물 또는 이와 유사한 시설물의 내력이 심하게 저하되었을 경우
5. 오랜 기간 사용하지 아니하던 구축물 또는 이와 유사한 시설물을 재사용하게 되어 안정성을 검토하여야하는 경우
6. 그 밖의 잠재위험이 예상될 경우
[해설작성자 : 건안기합격하자]

111. 흙막이 지보공을 설치하였을 때 정기적으로 점검하여 이상 발견 시 즉시 보수하여야 할 사항이 아닌 것은?
     1. 굴착 깊이의 정도
     2. 버팀대의 긴압의 정도
     3. 부재의 접속부·부착부 및 교차부의 상태
     4. 부재의 손상·변형·부식·변위 및 탈락의 유무와 상태

     정답 : []
     정답률 : 71%
     <문제 해설>
흙막이지보공 정기점검사항
1. 부재의 손상·변형·변위 및 탈락의 유무와 상태
2. 버팀대의 긴압의 정도
3. 부재의 접속부·부착부 및 교차부의 상태
4. 침하의 정도
[해설작성자 : 건안기합격하자]

112. 달비계의 최대 적재하중을 정하는 경우 그 안전계수 기준으로 옳지 않은 것은?
     1. 달기와이어로프 및 달기강선의 안전계수:10 이상
     2. 달기체인 및 달기 훅의 안전계수: 5 이상
     3. 달기강대와 달비계의 하부 및 상부지점의 안전계수: 강재의 경우 3 이상
     4. 달기강대와 달비계의 하부 및 상부지점의 안전계수: 목재의 경우 5 이상

     정답 : []
     정답률 : 55%
     <문제 해설>
달비계의 안전계수
1. 달기와이어로프 및 달기강선의 안전계수 : 10 이상
2. 달기체인 및 달기훅의 안전계수 : 5 이상
3. 달기강대와 달비계의 하부 및 상부지점의 안전계수 :    
     강재의 경우 → 2.5 이상
     목재의 경우 → 5 이상
[해설작성자 : 건안기합격하자]

아래와 같은 오류 신고가 있었습니다.
여러분들의 많은 의견 부탁 드립니다.
추후 여러분들의 의견을 반영하여 정답을 수정하도록 하겠습니다.
참고로 정답 변경은 오류 신고 5회 이상일 경우 수정합니다.

[오류 신고 내용]
산업안전보건기준에 관한 규칙이 개정됨에 따라 ‘달비계의 최대적재하중을 정하는 경우 안전계수’는 삭제되었습니다.

[관리자 입니다.
문제지 사진원본 확인해 봤는데
정답은 3번이네요.
관련 규정이 개정 되었을 경우 개정된 법령집 내용 및 링크 삽입부탁 드립니다.
그외 다른 문제집 확인 가능한분 계시면 확인 부탁 드립니다.
신고시 출판사명까지 기제 부탁 드립니다.]

113. 다음은 안전대와 관련된 설명이다. 아래 내용에 해당되는 용어로 옳은 것은?

    

     1. 안전블록
     2. 수직구명줄
     3. 죔줄
     4. 보조죔줄

     정답 : []
     정답률 : 61%
     <문제 해설>
[안전대 부속품]
-안전블록
안전그네와 연결하여 추락발생시 추락을 억제할 수 있는 자동잠김장치가 갖추어져 있고 죔줄이 자동적으로 수축되는 장치

-보조죔줄
안전대를 U자걸이를 위해 훅 또는 카라비너를 지탱벨트의 D링에 걸거나 떼어낼 때 잘못하여 추락하는 것을 방지하기 위한 링과 걸이설비연결에 사용하는 훅 또는 카라비너를 갖춘 줄모양의 부품

-수직구명줄
로프 또는 레일 등과 같은 유연하거나 단단한 고정줄로서 추락발생시 추락을 저지시키는 추락방지대를 지탱시켜주는 줄모양의 부품

-충격흡수장치
추락 시 신체에 가해지는 충격하중을 완화시키는 기능을 갖는 죔줄에 연결되는 부품
[해설작성자 : 건안기합격하자]

114. 사업주가 유해위험방지 계획서 제출 후 건설공사 중 6개월 이내마다 안전보건공단의 확인을 받아야 할 내용이 아닌 것은?
     1. 유해위험방지 계획서의 내용과 실제공사 내용이 부합하는지 여부
     2. 유해위험방지 계획서 변경 내용의 적정성
     3. 자율안전관리 업체 유해·위험방지 계획서 제출·심사 면제
     4. 추가적인 유해·위험요인의 존재 여부

     정답 : []
     정답률 : 70%
     <문제 해설>
<유해위험방지계획서 공단 확인 내용>
1. 유해위험방지 계획서의 내용과 실제공사 내용이 부합하는지 여부
2. 유해위험방지 계획서 변경 내용의 적정성
3. 추가적인 유해,위험요인 존재 여부
[해설작성자 : LIMITLESSYOLO]

115. 다음 중 방망사의 폐기 시 인장강도에 해당하는 것은? (단, 그물코의 크기는 10cm이며 매듭없는 방망의 경우임)
     1. 50kg
     2. 100kg
     3. 150kg
     4. 200kg

     정답 : []
     정답률 : 47%
     <문제 해설>
그물코의 크기            매듭없는방망            매급 방망
     10                             150                         135
     5                                                                 60
[해설작성자 : 합격가즈아]

인장강도    폐기시
매듭O 10cm : 200            135
             5cm : 110             60
매듭X 10cm : 240            150
[해설작성자 : ㅇㅇ]


방망 폐기시 인장강도
         매듭없는 방망         매듭 방망
10cm             150                        135
5 cm                                             60
[해설작성자 : d]

116. 산업안전보건법령에 따른 지반의 종류별 굴착면의 기울기 기준으로 옳지 않은 것은?(2023년 11월 14일 변경된 규정 적용됨)
     1. 모래 1 : 1.8
     2. 연암 및 풍화암 1 : 1.5
     3. 경암 1 : 0.5
     4. 그 밖의 흙 1 : 1.2

     정답 : []
     정답률 : 67%
     <문제 해설>
2023년 11월 14일 개정된 규정(산업안전보건기준에 관항 규칙 [별표11])
굴착면의 기울기 기준 (제 339조제1항 관련)
----------암반-----------
모래 :    1 : 1.8(추가)
연암 및 풍화암 : 1 : 1.0
경암 : 1 : 0.5
그 밖의 흙 : 1 : 1.2(추가)
----------보통흙----------
습지 : 1:1.0 ~ 1:1.5
건지 : 1:0.5 ~ 1:1.0

117. 가설통로의 설치에 관한 기준으로 옳지 않은 것은?
     1. 경사는 30° 이하로 한다.
     2. 건설공사에 사용하는 높이 8m 이상인 비계다리에는 7m 이내마다 계단참을 설치한다.
     3. 작업상 부득히한 경우에는 필요한 부분에 한하여 안전난간을 임시로 해체할 수 있다.
     4. 수직갱에 가설된 통로의 길이가 10m 이상인 경우에는 5m 이내마다 계단참을 설치한다.

     정답 : []
     정답률 : 48%
     <문제 해설>
수직갱 15m일때 10m마다 계단참
[해설작성자 : 한번]

118. 콘크리트 타설 시 거푸집 측압에 관한 설명으로 옳지 않은 것은?
     1. 기온이 높을수록 측압은 크다.
     2. 타설속도가 클수록 측압은 크다.
     3. 슬럼프가 클수록 측압은 크다.
     4. 다짐이 과할수록 측압은 크다.

     정답 : []
     정답률 : 73%
     <문제 해설>
기온이 높을수록 측압은 작다
[해설작성자 : comcbt.com 이용자]

+추가
낮을수록(작을수록) 측압이 큰 경우 : 기온, 습도, 철근량
[해설작성자 : ㅇㅇ]

기온이 높으면 수화가 빨리일어나 측압이 점점 줄어들겠죠?
반대로 기온이 낮아 추우면 수화가 잘 일어나지않아 계속 묽은 상태로 측압이 계속걸립니다.
[해설작성자 : ㅇㅇ]

119. 해체공사 시 작업용 기계기구의 취급 안전기준에 관한 설명으로 옳지 않은 것은?
     1. 철제햄머와 와이어로프의 결속은 경험이 많은 사람으로서 선임된 자에 한하여 실시하도록 하여야 한다.
     2. 팽창제 천공간격은 콘크리트 강도에 의하여 결정되나 70∼120cm 정도를 유지하도록 한다.
     3. 쐐기타입으로 해체 시 천공구멍은 타입기 삽입부분의 직경과 거의 같아야 한다.
     4. 화염방사기로 해체작업 시 용기 내 압력은 온도에 의해 상승하기 때문에 항상 40℃이하로 보존해야 한다.

     정답 : []
     정답률 : 47%
     <문제 해설>
천공간격은 콘크리트 강도에 의하여 결정되나 30 내지 70㎝ 정도를 유지하도록 한다.
[해설작성자 : 아무개]

120. 굴착과 싣기를 동시에 할 수 있는 토공기계가 아닌 것은?
     1. Power shovel
     2. Tractor shovel
     3. Back hoe
     4. Motor grader

     정답 : []
     정답률 : 77%
     <문제 해설>
motor grader: 땅바닥을 깎아 고르거나 눈을 치우는 데 쓰는 자주식(自走式) 토목 건설 기계.
[해설작성자 : 합격가즈아]


정 답 지

1

2

3

4

5

6

7

8

9

10

11

12

13

14

15

16

17

18

19

20

21

22

23

24

25

26

27

28

29

30

31

32

33

34

35

36

37

38

39

40

41

42

43

44

45

46

47

48

49

50

51

52

53

54

55

56

57

58

59

60

61

62

63

64

65

66

67

68

69

70

71

72

73

74

75

76

77

78

79

80

81

82

83

84

85

86

87

88

89

90

91

92

93

94

95

96

97

98

99

100

101

102

103

104

105

106

107

108

109

110

111

112

113

114

115

116

117

118

119

120

건설안전기사 필기 기출문제(해설) 및 CBT 2020년06월06일을 이용해 주셔서 감사합니다.
, 필기, 기출문제, 전자문제집, CBT, 온라인, 모의테스트, 모의고사



List of Articles
번호 제목 글쓴이 날짜 조회 수
1706 9급 지방직 공무원 영어 필기 기출문제(해설) 및 CBT 2017년04월08일(12546) new 좋은아빠되기 2025.11.26 0
1705 9급 지방직 공무원 한국사 필기 기출문제(해설) 및 CBT 2017년04월08일(12547) new 좋은아빠되기 2025.11.26 0
1704 9급 지방직 공무원 행정학개론 필기 기출문제(해설) 및 CBT 2017년04월08일(12549) new 좋은아빠되기 2025.11.26 0
1703 식물보호기사 필기 기출문제(해설) 및 CBT 2020년06월06일(12550) new 좋은아빠되기 2025.11.26 0
1702 자연생태복원기사(구) 필기 기출문제(해설) 및 CBT 2020년06월06일(12551) new 좋은아빠되기 2025.11.26 0
1701 자기비파괴검사기사 필기 기출문제(해설) 및 CBT 2020년06월06일(12552) new 좋은아빠되기 2025.11.26 0
1700 수산양식산업기사 필기 기출문제(해설) 및 CBT 2010년07월25일(12553) new 좋은아빠되기 2025.11.26 0
1699 산업위생관리기사 필기 기출문제(해설) 및 CBT 2020년06월06일(12554) new 좋은아빠되기 2025.11.26 0
1698 철도신호기사 필기 기출문제(해설) 및 CBT 2016년10월01일(12555) new 좋은아빠되기 2025.11.26 0
1697 유기농업기사 필기 기출문제(해설) 및 CBT 2020년06월06일(12556) new 좋은아빠되기 2025.11.26 0
1696 산업안전기사 필기 기출문제(해설) 및 CBT 2020년06월06일(12557) new 좋은아빠되기 2025.11.26 0
1695 화재감식평가기사 필기 기출문제(해설) 및 CBT 2020년06월06일(12558) new 좋은아빠되기 2025.11.26 0
» 건설안전기사 필기 기출문제(해설) 및 CBT 2020년06월06일(12559) new 좋은아빠되기 2025.11.26 1
1693 에너지관리기사 필기 기출문제(해설) 및 CBT 2020년06월06일(12560) new 좋은아빠되기 2025.11.26 0
1692 인터넷보안전문가 2급 필기 기출문제(해설) 및 CBT 2020년05월24일(12561) new 좋은아빠되기 2025.11.26 0
1691 PC정비사 1급 필기 기출문제(해설) 및 CBT 2020년05월24일(12562) new 좋은아빠되기 2025.11.26 0
1690 네트워크관리사 1급 필기 기출문제(해설) 및 CBT 2020년05월24일(12563) new 좋은아빠되기 2025.11.26 0
1689 정보처리기사 필기 기출문제(해설) 및 CBT 2020년06월06일(12564) new 좋은아빠되기 2025.11.26 0
1688 9급 지방직 공무원 간호관리 필기 기출문제(해설) 및 CBT 2017년06월17일(12565) new 좋은아빠되기 2025.11.26 0
1687 9급 지방직 공무원 건축계획 필기 기출문제(해설) 및 CBT 2017년06월17일(12566) new 좋은아빠되기 2025.11.26 0
Board Pagination Prev 1 ... 957 958 959 960 961 962 963 964 965 966 ... 1047 Next
/ 1047