자격증 필기 기출문제



건축기사 필기 기출문제(해설) 및 CBT 2021년03월07일(14093)

최강 자격증 기출문제 전자문제집 CBT : www.comcbt.com


전자문제집 CBT란?

종이 문제집이 아닌 인터넷으로 문제를 풀고 자동으로 채점하며 모의고사, 오답 노트, 해설까지 제공하는
무료 기출문제 학습 프로그램으로 실제 상설검정에서 사용하는 OMR 형식의 CBT를 제공합니다.


최신 건축기사 필기 기출문제 : [다운로드]

1과목 : 건축계획


1. 쇼핑센터의 몰(mall)의 계획에 관한 설명으로 옳지 않은 것은?
     1. 전문점들과 중심상점의 주출입구는 몰에 면하도록 한다.
     2. 몰에는 자연광을 끌어들여 외부공간과 같은 성격을 갖게 하는 것이 좋다.
     3. 다층으로 계획할 경우, 시야의 개방감을 적극적으로 고려하는 것이 좋다.
     4. 중심상점들 사이의 몰의 길이는 100m를 초과하지 않아야 하며, 길이 40~50m마다 변화를 주는 것이 바람직하다.

     정답 : []
     정답률 : 82%
     <문제 해설>
몰(Mall)의 폭은 일반적으로 6~12m가 일반적이고 몰의 길이는 240m를 초과하면 안되며 20~30m 마다 변화를 주어 단조로운 느낌이 들지 않게 한다.
[해설작성자 : 익명]

아래와 같은 오류 신고가 있었습니다.
여러분들의 많은 의견 부탁 드립니다.
추후 여러분들의 의견을 반영하여 정답을 수정하도록 하겠습니다.
참고로 정답 변경은 오류 신고 5회 이상일 경우 수정합니다.

[오류 신고 내용]
몰은 자연광 안 끌어들이지 않나요?
[해설작성자 : comcbt.com 이용자]

[오류신고 반론]
백화점 아니고 몰이라서
몰에는 자연광 끌여들여 들여서 개방감 갖게 합니다
[해설작성자 : comcbt.com 이용자]

[추가 오류 신고]
4 중심상점들 사이의 몰의 길이는 150m

[오류신고 반론]
중심상점들 사이의 몰의 길이는 240m를 초과하지 않아야 하며, 길이 20~30m마다 변화를 주는 것이 바람직하다.
[해설작성자 : 건축6일컷]

2. 연속적인 주제를 선(線)적으로 관계성 깊게 표현하기 위하여 전경(全景)으로 펼치도록 연출하는 것으로 맥락이 중요시될 때 사용되는 특수전시기법은?
     1. 아일랜드 전시
     2. 파노라마 전시
     3. 하모니카 전시
     4. 디오라마 전시

     정답 : []
     정답률 : 86%
     <문제 해설>
디오라마는 하나의 사실 또는 주제의 시간 상황을 고정시켜 연출한다는 말이 있어야 합니다.
[해설작성자 : RIDI현]

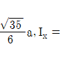
4. 디오라마 전시 : 유럽에서 테이블 위에서 인형으로 역사적인 사건이나 인물을 재현하던 것에서 유래. 모형을 이용해 축소시켜 표현
[해설작성자 : comcbt.com 이용자]

3. 다음 설명에 알맞은 극장 건축의 평면형식은?

   

     1. 애리너(arena)형
     2. 가변형(adaptable)
     3. 프로시니엄(proscenium)형
     4. 오픈 스테이지(open stage)형

     정답 : []
     정답률 : 87%
     <문제 해설>
에리너(아레나)형 - 가까운거리에서 관람, 가장 많은 관객, 무대배경 불필요, (원형모양)
가        변        형     - 최소한의 비용으로 극장표현에 대한 최대한의 선택가능성 부여(일반 영화관 모양)
프 로 시 니 엄     - 연기자가 한쪽방향으로만 관객을 대함(강연, 독주, 음악회 등)
오 픈 스 테 이 지- 무대를 중심으로 객석이 동일공간(부채꼴)
[해설작성자 : 여몽]

4. 아파트 형식에 관한 설명으로 옳지 않은 것은?
     1. 계단실형은 거주의 프라이버시가 높다.
     2. 편복도형은 복도에서 각 세대로 진입하는 형식이다.
     3. 메조넷형은 평면구성의 제약이 적어 소규모 주택에 주로 이용된다.
     4. 플랫형은 각 세대의 주거단위가 동일한 층에 배치 구성된 형식이다.

     정답 : []
     정답률 : 90%
     <문제 해설>
메조넷형_ 소규모 주택에서는 비경제적이므로 적용이 불가능하고 설계가 복잡하다는 단점이 있다.
[해설작성자 : 윤정]

메조넷형은 평면구성의 제약이 많아 대규모 주택에 주로 이용된다.
플랫형은 평면구성의 제약이 적어 소규모 주택에 주로 이용된다.
[해설작성자 : 건축6일컷]

5. 학교운영방식에 관한 설명으로 옳지 않은 것은?
     1. 종합교실형은 각 학급마다 가정적인 분위기를 만들 수 있다.
     2. 교과교실형은 초등학교 저학년에 대해 가장 권장되는 방식이다.
     3. 플래툰형은 미국의 초등학교에서 과밀을 해소하기 위해 실시한 것이다.
     4. 달톤형은 학급, 학년 구분을 없애고 학생들은 각자의 능력에 따라 교과를 선택하고 일정한 교과를 끝내면 졸업하는 방식이다.

     정답 : []
     정답률 : 89%
     <문제 해설>
저학년은 종합교실형
[해설작성자 : 윤성]

고학년은 교과교실형
[해설작성자 : 건축6일컷]

6. 다음 중 단독주택의 현관 위치 결정에 가장 주된 영향을 끼치는 것은?
     1. 방위
     2. 주택의 층수
     3. 거실의 위치
     4. 도로와의 관계

     정답 : []
     정답률 : 89%
     <문제 해설>
현관의 위치는 도로의 위치, 대지 경사도 및 형태에 따라 결정된다. 방위는 무관함.
[해설작성자 : 익명]

7. 도서관의 열람실 및 서고계획에 관한 설명으로 옳지 않은 것은?
     1. 서고 안에 캐럴(carrel)을 둘 수도 있다.
     2. 서고면적 1m2당 150~250권의 수장능력으로 계획한다.
     3. 열람실은 성인 1인당 3.0~3.5m2의 면적으로 계획한다.
     4. 서고실은 모듈러 플래닝(modular planning)이 가능하다.

     정답 : []
     정답률 : 85%
     <문제 해설>
일반 열람실: 1.5~2.0
아동 열람실: 1.2~1.5
캐럴: 2.7~3.7
신문,잡지 열람실:1.1~1.4
[해설작성자 : 나도좋아]

캐럴의뜻:도서관내 개인열람실
[해설작성자 : 아비지]

일반 열람실은 성인 1인당 1.5~2.0제곱미터 정도가 필요합니다.
추가로, 일반인과 학생들의 이용률을 7:3 정도로, 일반인과 학생용 열람실을 분리합니다.
[해설작성자 : RIDI현]

8. 다음 중 건축계획에서 말하는 미의 특성 중 변화 또는 다양성을 얻는 방식과 가장 거리가 먼 것은?
     1. 억양(Accent)
     2. 대비(Contrast)
     3. 균제(Proportion)
     4. 대칭(Symmetry)

     정답 : []
     정답률 : 81%
     <문제 해설>
[미의 3요소] 1.통일성 2.변화성 3.균형성
1.통일성 - 대칭, 반복, 균일
2.변화성 - 균제, 억양, 대비
3.균형성 - 동적균형, 정적균형

대칭은 통일성에 관련된 성질이다
[해설작성자 : 리트리버]

9. 공장건축의 레이아웃(Lay out)에 관한 설명으로 옳지 않은 것은?
     1. 제품중심의 레이아웃은 대량생산에 유리하며 생산성이 높다.
     2. 레이아웃이란 생산품의 특성에 따른 공장의 건축면적 결정 방식을 말한다.
     3. 공정중심의 레이아웃은 다종 소량생산으로 표준화가 행해지기 어려운 경우에 적합하다.
     4. 고정식 레이아웃은 조선소와 같이 조립부품이 고정된 장소에 있고 사람과 기계를 이동시키며 작업을 행하는 방식이다.

     정답 : []
     정답률 : 69%
     <문제 해설>
공장 건축의 레이아웃 : 기계나 설비의 배치 방법을 결정하는 것
[해설작성자 : 또연]

10. 주택단지 도로의 유형 중 쿨데삭(cul-de-sac)형에 관한 설명으로 옳은 것은?
     1. 단지 내 통과교통의 배제가 불가능하다.
     2. 교차로가 +자형이므로 자동차의 교통처리에 유리하다.
     3. 우회도로가 없기 때문에 방재상 불리하다는 단점이 있다.
     4. 주행속도 감소를 위해 도로의 교차방식을 주로 T자 교차로 한 형태이다.

     정답 : []
     정답률 : 76%
     <문제 해설>
쿨데삭
통과 교통을 배제하고, 보차분리에 유리하지만 우회도로가 없어서 방재상 불리하다
[해설작성자 : 리트리버]

11. 사무소 건축의 실단위 계획에 관한 설명으로 옳지 않은 것은?
     1. 개실 시스템은 독립성과 쾌적감의 이점이 있다.
     2. 개방식 배치는 전면적을 유용하게 이용할 수 있다.
     3. 개방식 배치는 개실 시스템보다 공사비가 저렴하다.
     4. 개실 시스템은 연속된 긴 복도로 인해 방 깊이에 변화를 주기가 용이하다.

     정답 : []
     정답률 : 86%
     <문제 해설>
개실시스템
복도의 의해 각층의 여러부분으로 들어가는 방법으로 유럽에서 널리쓰인다
1. 독립성과 쾌적성이 좋다.
2. 자연채광 조건이 좋다.
3. 공사비가 비교적 높다.
4. 방 길이에는 변화를 줄수 있지만 방깊이에는 변화를 줄 수 없다.
[해설작성자 : 오땡]

12. 미술관 전시실의 순회형식 중 연속 순회형식에 관한 설명으로 옳은 것은?
     1. 각 전시실에 바로 들어갈 수 있다는 장점이 있다.
     2. 연속된 전시실의 한 쪽 복도에 의해서 각 실을 배치한 형식이다.
     3. 중심부에 하나의 큰 홀을 두고 그 주위에 각 전시실을 배치한 형식이다.
     4. 전시실을 순서별로 통해야 하고, 한 실을 폐쇄하면 전체 동선이 막히게 된다.

     정답 : []
     정답률 : 89%
     <문제 해설>
연속 순회형식: 연속된 전시실들이 한 복도를 겸해 이어진 형식
[해설작성자 : ㅋㅋㄹㅃㅃ]

13. 사무소 건축의 코어 유형에 관한 설명으로 옳지 않은 것은?
     1. 편심코어형은 기준층 바닥면적이 작은 경우에 적합하다.
     2. 독립코어형은 코어를 업무공간에서 별도로 분리시킨 형식이다.
     3. 중심코어형은 코어가 중앙에 위치한 유형으로 유효율이 높은 계획이 가능하다.
     4. 양단코어형은 수직동선이 양 측면에 위치한 관계로 피난에 불리하다는 단점이 있다.

     정답 : []
     정답률 : 87%
     <문제 해설>
양단 코어형 : 한 개의 대공간을 필요로하는 전용 사무실에 적합하다. 2방향 피난에 이상적이며, 방재상 유리하다.
[해설작성자 : 방구석인]

잉단고어형은 수직동선이 잉 측면에 위치함으로써 피난에 유리하다는 장점이 있으며, 중앙부에 대공간 계획이 가능하다.
[해설작성자 : 건축6일컷]

14. 비잔틴 건축에 관한 설명으로 옳지 않은 것은?
     1. 사라센 문화의 영향을 받았다.
     2. 도저렛(dosseret)이 사용되었다.
     3. 펜덴티브 돔(Pendentive dome)이 사용되었다.
     4. 평면은 주로 장축형 평면(라틴 십자가)이 사용되었다.

     정답 : []
     정답률 : 61%
     <문제 해설>
비잔틴 건축은 그릭 크로스의 집중형, 유심형
장축형 평면(라틴 크로스)은 로마네스크 건축
[해설작성자 : comcbt.com 이용자]

비잔틴 건축의 평명은 주로 단축형 평면(그리스형 십자가)이 사용되었다.
[해설작성자 : 건축6일컷]

15. 다음과 같은 특징을 갖는 에스컬레이터 배치 유형은?

    

     1. 교차식 배치
     2. 직렬식 배치
     3. 병렬 단속식 배치
     4. 병렬 연속식 배치

     정답 : []
     정답률 : 71%
     <문제 해설>
교차식 : 승객 시야가 가장 안좋은 대신 점유면적이 가장 작다.
직렬식 : 승객 시야가 가장 좋으나 점유면적이 크다
병렬 단속식 : 승객시야가 양호하며 점유 면적이 크다
병렬 연속식 : 승객시야가 보통이나 점유면적이 작다.
[해설작성자 : 외국]

16. 클로즈드 시스템(closed system)의 종합병원에서 외래진료부 계획에 관한 설명으로 옳지 않은 것은?
     1. 환자의 이용이 편리하도록 2층 이하에 두도록 한다.
     2. 부속 진료시설을 인접하게 하여 이용이 편리하게 한다.
     3. 중앙주사실, 약국은 정면 출입구에서 멀리 떨어진 곳에 둔다.
     4. 외과 계통 각 과는 1실에서 여러 환자를 볼 수 있도록 대실로 한다.

     정답 : []
     정답률 : 89%
     <문제 해설>
중잉주사실, 악국은 징면 입구에서 가까운 곳에 둔다.
[해설작성자 : 건축6일컷]

17. 다음 중 다포식(多包式) 건축으로 가장 오래된 것은?
     1. 창경궁 명정전
     2. 전등사 대웅전
     3. 불국사 극락전
     4. 심원사 보광전

     정답 : []
     정답률 : 60%
     <문제 해설>
창경궁 명정전, 전등사 대웅전은 조선중기
불국사 극락전은 신라시대
심원사 보광전 고려중기
[해설작성자 : 서운]

가장 오래된 다포식 건축물은 심원사 보광전입니다.
추가로, 가장 오래된 목조 건축물이면서 주심포식 건축물인 것은 봉정사 극락전입니다.
[해설작성자 : RIDI현]

18. 다음 중 시티 호텔에 속하지 않는 것은?
     1. 비치 호텔
     2. 터미널 호텔
     3. 커머셜 호텔
     4. 아파트먼트 호텔

     정답 : []
     정답률 : 84%
     <문제 해설>
비치호텔은 리조트 호텔
[해설작성자 : ㄷ]

19. 고대 그리스의 기둥 양식에 속하지 않는 것은?
     1. 도리아식
     2. 코린트식
     3. 컴포지트식
     4. 이오니아식

     정답 : []
     정답률 : 70%
     <문제 해설>
그리스 건축의 3가지 오더: 도릭, 이오니아, 코린트
※컴포지트는 로마 건축의 오더이다.
[해설작성자 : 이번엔 붙는다]

그리스 3가지 + 컴포지트 , 터스칸    = 로마 5가지
[해설작성자 : 호서대학교 건축공학]

20. 주택의 동선계획에 관한 설명으로 옳지 않은 것은?
     1. 동선은 가능한 굵고 짧게 계획하는 것이 바람직하다.
     2. 동선의 3요소 중 속도는 동선의 공간적 두께를 의미한다.
     3. 개인, 사회, 가사노동권의 3개 동선은 상호간 분리하는 것이 좋다.
     4. 화장실, 현관 등과 같이 사용빈도가 높은 공간은 동선을 짧게 처리하는 것이 중요하다.

     정답 : []
     정답률 : 87%
     <문제 해설>
속도는 두께가 아니라 길이를 나타냄
[해설작성자 : ㅈ]

빈도가 동선의 공간적 두께를 의미
[해설작성자 : 건축6일컷]

속도(길이) 빈도(이용도) 하중(공간적두께)
[해설작성자 : 주돌돌이]

하중(공간적 두께)가 아니라 아래 내용이 맞습니다.
속도 : 얼마나 빠를 수 있냐의 정도 (길이)
빈도 : 얼마나 많이 통행하느냐의 정도 (공간적 두께)
하중 : 동선을 따라 이동하는 대상의 무게감 (짐을 운반하거나 할 시)
[해설작성자 : 화이팅]

2과목 : 건축시공


21. 수직굴삭, 수중굴삭 등에 사용되는 깊은 흙파기용 기계이며, 연약지반에 사용하기에 적당한 기계는?
     1. 드래그 쇼벨
     2. 크램쉘
     3. 모터 그레이더
     4. 파워 쇼벨

     정답 : []
     정답률 : 74%
     <문제 해설>
크램쉘: 슬러리월 굴착, 케이싱 내 굴착, 좁은 곳 수직 터파기 등에 사용. 연악지반. 통상 18m 깊이까지 가능
드래그쇼벨(백호)
파워쇼벨: 지반보다 높은 곳을 굴착하는 유일한 기계
[해설작성자 : ㅈ]

모터 그레이더 : 땅을 고르는 중장비
[해설작성자 : ??]

22. 철근의 가공 및 조립에 관한 설명으로 옳지 않은 것은?
     1. 철근의 가공은 철근상세도에 표시된 형상과 치수가 일치하고 재질을 해치지 않은 방법으로 이루어져야 한다.
     2. 철근상세도에 철근의 구부리는 내면 반지름이 표시되어 있지 않은 때에는 KDS에 규정된 구부림의 최소 내면 반지름 이상으로 철근을 구부려야 한다.
     3. 경미한 녹이 발생한 철근이라 하더라도 일반적으로 콘크리트와의 부착성능을 매우 저하시키므로 사용이 불가하다.
     4. 철근은 상온에서 가공하는 것을 원칙으로 한다.

     정답 : []
     정답률 : 88%
     <문제 해설>
3. 표준시방서: 철근에 경미한 녹이 발생한 경우에는 오히려 부착력이 증가하므로 사용해도 좋다. (1년 이내의 경미한 녹, 콘크리트는 강알칼리성을 띄므로 콘크리트 속에 매설되는 철근의 경우 더이상 녹이 증가하지 않음)
[해설작성자 : ㅈ]

23. 건축주 자신이 특정의 단일 상태를 선정하여 발주하는 방식으로서, 특수공사나 기밀보장이 필요한 경우, 또 긴급을 요하는 공사에서 주로 채택되는 것은?
     1. 공개경쟁입찰
     2. 제한경쟁입찰
     3. 지명경쟁입찰
     4. 특명입찰

     정답 : []
     정답률 : 86%
     <문제 해설>
1.공개경쟁입찰 : 유자격자 모두 참가할 수 있는 자유경쟁, 공사비 절감가능하나 입찰사무 복잡, 부적격업체 낙찰시 부실공사 유발
2.제한경쟁입찰 : 업체자격에 대한 제한을 가함, 양질의 공사 기대,담합의 우려가 감소하나 균등기회 부여 무시, 경쟁원리 위배
3.지명경쟁입찰 : 공재경쟁입찰과 특명입찰의 중간방식, 3~7개 정도의 시공회사를 선정하여 입찰시키는 방식.
[해설작성자 : 리트리버]

24. 문 윗틀과 문짝에 설치하여 문이 자동적으로 닫혀지게 하며, 개폐압력을 조절할 수 있는 장치는?
     1. 도어 체크(Door check)
     2. 도어 홀더(Door holder)
     3. 피봇 힌지(Pivot hinge)
     4. 도어 체인(Door chain)

     정답 : []
     정답률 : 84%
     <문제 해설>
4. 도어 체인: 문을 열었을 때 전부 열리지 않도록 하는 잠금장치
[해설작성자 : ㅈ]

1. 도어체크 “야!! 너 문 닫는 거 체크(check)했어??”
     → 문 자동으로 닫히게 함

2. 도어홀더 “잠깐!!! 나 뭐 두고 왔어 문 좀 잡고(holder)있어 봐”
     → 문 고정하기 위해 문짝 바닥에 붙이는 쇠 철물

3. 피봇힌지 “중심 잡아주며 문 돌아가게 하는 거라고 생각하면 댐”
     → 피봇(pivot) = 중심,회전     /     힌지(hinge) = 경첩

4. 도어체인 “체인 달그락달그락 도둑이다 사슬(chain)로 못 들어오게 막자”
     → 문을 함부로 열지 못하도록 문의 안쪽에 다는 쇠사슬
[해설작성자 : 이제그만좀틀리자]

25. 건축 석공사에 관한 설명으로 옳지 않은 것은?
     1. 건식쌓기 공법의 경우 시공이 불량하면 백화현상 등의 원인이 된다.
     2. 석재 물갈기 마감 공정의 종류는 거친갈기, 물갈기, 본갈기, 정갈기가 있다.
     3. 시공 전에 설계도에 따라 돌나누기 상세도, 원척도를 만들고 석재의 치수, 형상, 마감방법 및 철물 등에 의한 고정방법을 정한다.
     4. 마감면에 오염의 우려가 있는 경우에는 폴리에틸렌 시트 등으로 보양한다.

     정답 : []
     정답률 : 74%
     <문제 해설>
백화현상은 모르타르에 의해 생기는 현상이므로 모르타르를 사용하지 않는 건식쌓기 공법과는 관련이 없다.
[해설작성자 : ㅈ]

시공이 불량하면 백화현상 등의 원인이 되는것은 습식쌓기 공법
[해설작성자 : comcbt.com 이용자]

26. 벤치마크(Bench Mark)에 관한 설명으로 옳지 않은 것은?
     1. 적어도 2개소 이상 설치하도록 한다.
     2. 이동 또는 소멸 우려가 없는 곳에 설치한다.
     3. 건축물 기초의 너비 또는 길이 등을 표시하기 위한 것이다.
     4. 공사 완료시까지 존치시켜야 한다.

     정답 : []
     정답률 : 82%
     <문제 해설>
벤치마크: 높이
수평규준틀: 기초의 너비 또는 길이
[해설작성자 : ㅈ]

27. 방부력이 약하고 도포용으로만 쓰이며, 상온에서 침투가 잘 되지 않고 흑색이므로 사용 장소가 제한되는 유성방부제는?
     1. 캐로신
     2. PCP
     3. 염화아연 4% 용액
     4. 콜타르

     정답 : []
     정답률 : 79%
     <문제 해설>
콜타르 : 방부력이 약하고 도포용으로만 쓰이며, 상온에서 침투가 잘 되지 않고 흑색이므로 사용 장소가 제한되는 유성방부제
[해설작성자 : 한방에 붙길 기원]

28. 시멘트 600포대를 저장할 수 있는 시멘트 창고의 최소 필요면적으로 옳은 것은? (단, 시멘트 600포대 전량을 저장할 수 있는 면적으로 산정)
     1. 18.46m2
     2. 21.64m2
     3. 23.25m2
     4. 25.84m2

     정답 : []
     정답률 : 64%
     <문제 해설>
600포이상1800포미만=0.4×600/13
[해설작성자 : 행인]

A:저장면적 - 18.46
N:시멘트 포대수 - 600
n:쌓기단수 - 최고 쌓기 단수 13(최소면적을 요구함에 따라 최고 높이)
0.4는 공식    
[해설작성자 : 13이 궁금 했던 사람 ]

0.4*(N/n)
n : 쌓기단수
N : 포대수(600이상 1800미만 : 600, 1800초과 : N/3)
[해설작성자 : 건축6일컷]

29. 시멘트, 모래 ,잔자갈, 안료 등을 섞어 이긴 것을 바탕마름이 마르기 전에 뿌려 붙이거나 또는 바르는 것으로 일종의 인조석바름으로 볼 수 있는 것은?
     1. 회반죽
     2. 경석고 플라스터
     3. 혼합석고 플라스터
     4. 라프 코트

     정답 : []
     정답률 : 56%
     <문제 해설>
특수 바름
리신(lithin coat): 굳지 않은 때에 솔, 얼레빗 같은 것으로 긁어 거친 면으로 마감
라프코트(rough coat): 표면을 거칠게(rough) 마감한 것 (시멘트, 모래, 잔자갈 등을 섞어 이긴 것을 바탕바름이 마르기 전에 뿌려)
모조석(cast stone): 인조석 잔다듬. 백시멘트와 종석, 안료를 혼합하여 천역석과 유사한 외관을 가진 인조석
[해설작성자 : 안쉐프도시어부먹을꺼야]

30. 용접작업 시 용착금속 단면에 생기는 작은 은색의 점을 무엇이라 하는가?
     1. 피시 아이(fish eye)
     2. 블로 홀(blow hole)
     3. 슬래그 함입(slag inclusion)
     4. 크레이터(crater)

     정답 : []
     정답률 : 90%
     <문제 해설>
2. 블로우홀: 용융금속 응고 시 방출가스가 남아 길쭉하게 된 구멍이 남아 혼입되어 있는 현상
3. 슬래그 함입(슬래그 감싸들기): 용접봉의 피복제 심선과 모재가 변하여 슬래그가 용착금속 내에 혼합된 것
4. 크레이터: 용접 시 비드 끝에 항아리 모양처럼 오목하게 파이는 현상
[해설작성자 : 경영학과재학생]

피시아이: 마치 은빛 비늘을 가진 물고기의 눈과 같다하여, 용적작업 시 용착금속 단면에 생기는 작은 은색 점을 피시아이라고 부름
[해설작성자 : 건축기사 꼭꼭 붙는다]

31. 달성가치(Earned Value)를 기준으로 원가관리를 시행할 때, 실제투입원가와 계획된 일정에 근거한 진행성과 차이를 의미하는 용어는?
     1. CV(Cost Variance)
     2. SV(Schedule Variance)
     3. CPI(Cost Performance Index)
     4. SPI(Schedule Performance Index)

     정답 : []
     정답률 : 65%
     <문제 해설>
CV(Cost Variance) : 공사비편차, 달성공사비 - 실투입비
SV(Schedule Variance) : 공정편차, 달성공사비 - 실투입비
SPI(Schecule Performance Index) : 공정지수, 달성공사비 ÷ 계획공사비
CPI(Cost Performance Index) : 원가지수, 달성공사비 ÷ 실투입비
[해설작성자 : 옥수수따는노예]

SV 공정편차 = 달성공사비 - 계획공사비

32. 시멘트 200포를 사용하여 배합비가 1:3:6의 콘크리트를 비벼 냈을 때의 전체 콘크리트량은? (단, 물-시멘트 비는 60%이고 시멘트 1포대는 40kg이다.)
     1. 25.25m3
     2. 36.36m3
     3. 39.39m3
     4. 44.44m3

     정답 : []
     정답률 : 68%
     <문제 해설>
배합비 1:3:6일 경우, (총 시멘트 포)/5.5 이고, 배합비 1:2:4일 경우, (총 시멘트 포)/8 이다. 이건 필수 암기 사항! 그러므로 200/5.5=36.36
[해설작성자 : 와칸다뽀에버]

33. 타일공사에서 시공 후 타일접착력 시험에 관한 설명으로 옳지 않은 것은?
     1. 타일의 접착력 시험은 600m2당 한 장씩 시험한다.
     2. 시험할 타일은 먼저 줄눈 부분을 콘크리트면까지 절단하여 주위의 타일과 분리시킨다.
     3. 시험은 타일 시공 후 4주 이상일 때 행한다.
     4. 시험결과의 판정은 타일 인장 부착강도가 10MPa 이상이어야 한다.

     정답 : []
     정답률 : 73%
     <문제 해설>
타일인장강도 0.39mpa 이상
[해설작성자 : 나도모름]

아래와 같은 오류 신고가 있었습니다.
여러분들의 많은 의견 부탁 드립니다.
추후 여러분들의 의견을 반영하여 정답을 수정하도록 하겠습니다.
참고로 정답 변경은 오류 신고 5회 이상일 경우 수정합니다.

[오류 신고 내용]
1번 오류가 있는 것 같습니다. 건축공사 표준시방서 KCS 41 48 01:2021 타일공사에 따르면 일반건축물의 타일의 접착력 시험은 타일면적 200m^2 당 한 장씩 시험한다.라고 명시되어 있습니다.
[해설작성자 : 옹만두]

[오류신고 반론]
2021년 8월 표준시방서의 개정으로 600m^2 에서 200m^2로 변경되었음. 출제일자 기준으로는 1번은 옳은 내용이나, 200m^2로 암기할 것.

34. 창면적이 클 때에는 스틸바(steel bar)만으로는 부족하고, 또한 여닫을 때의 진동으로 유리가 파손될 우려가 있으므로 이것을 보강하고 외관을 꾸미기 위하여 강판을 중공형으로 접어 가로 또는 세로로 대는 것을 무엇이라 하는가?
     1. mullion
     2. ventilator
     3. gallery
     4. pivot

     정답 : []
     정답률 : 82%
     <문제 해설>
멀리온: 창 면적이 클 때 기존 창의 frame을 보강하는 중간 선대
[해설작성자 : 합격!]

35. 벽돌조 건물에서 벽량이란 해당 층의 바닥면적에 대한 무엇의 비를 말하는가?
     1. 벽면적의 총합계
     2. 내력벽길이의 총합계
     3. 높이
     4. 벽두께

     정답 : []
     정답률 : 67%
     <문제 해설>
벽량(cm/m^2) = 내력벽길이의 합계(cm) / 바닥면적(m^2)
--> 벽량이 클수록 횡력에 저항하는 값이 큼.
[해설작성자 : 건축마법사]

36. PMIS(프로젝트 관리 정보시스템)의 특징에 관한 설명으로 옳지 않은 것은?
     1. 합리적인 의사결정을 위한 프로젝트용 정보관리시스템이다.
     2. 협업관리체계를 지원하며 정보의 공유와 축적을 지원한다.
     3. 공정 진척도는 구체적으로 측정할 수 없으므로 별도 관리한다.
     4. 조직 및 월간업무 현황 등을 등록하고 관리한다.

     정답 : []
     정답률 : 87%
     <문제 해설>
1. PMIS란 사업의 전 과정에서 건설관련주체가 발생되는 각종 정보를 체계적 종합적으로 관리하여 최고품질의 사업 목적물을 건설하도록 지원하는 전산 시스템이다
2. 전산통합 시스템 공유
[해설작성자 : comcbt.com 이용자]

공정진척도 관리 할 수 있다.
[해설작성자 : 건축6일컷]

37. 콘크리트 거푸집 용 박리제 사용 시 주의사항으로 옳지 않은 것은?
     1. 거푸집종류에 상응하는 박리제를 선택·사용한다.
     2. 박리제 도포 전에 거푸집면의 청소를 철저히 한다.
     3. 거푸집 뿐만 아니라 철근에도 도포하도록 한다.
     4. 콘크리트 색조에 영향이 없는지를 시험한다.

     정답 : []
     정답률 : 90%
     <문제 해설>
철근에 박리제를 바를경우 철근과 콘크리트의 접착력이 저하된다.
[해설작성자 : 익명]

박리제 - 쉽게 떨어뜨리기 위해서
[해설작성자 : 공겹살]

38. 다음 중 도장공사를 위한 목부 바탕만들기 공정으로 옳지 않은 것은?
     1. 오염, 부착물의 제거
     2. 송진의 처리
     3. 옹이땜
     4. 바니쉬칠

     정답 : []
     정답률 : 81%
     <문제 해설>
바나쉬칠 하려면 목재 표면을 정리해야겠죠..(오염,부착물제거/송진제거/옹이땜빵) 표면정리 후 도장하고 도장 광택? 용으로 바니쉬칠하는 순서 일듯합니다
[해설작성자 : 항암주사실]

바니시설 : 바탕만들기 공정 이후의 작업
[해설작성자 : 건축6일컷]

39. 건축용 목재의 일반적인 성질에 관한 설명으로 옳지 않은 것은?
     1. 섬유포화점 이하에서는 목재의 함수율이 증가함에 따라 강도는 감소한다.
     2. 기건상태의 목재의 함수율은 15% 정도이다.
     3. 목재의 심재는 변재보다 건조에 의한 수축이 적다.
     4. 섬유포화점 이상에서는 목재의 함수율이 증가함에 따라 강도는 증가한다.

     정답 : []
     정답률 : 70%
     <문제 해설>
(1) 섬유포화점 이상일 때는 강도는 거의 일정
(2) 그러나 섬유포화점을 지나면서 함수율이 낮아짐에 따라 목재의 강도는 증가한다.
[해설작성자 : JL]

목재의 함수량
전건재(0%) < 기건재(15%) < 섬유포화점(30%)
(기건재와 섬유포화점 헷갈림 주의!!)
[해설작성자 : 건축마법사]

40. 건축공사에서 V.E(Value Engineering)의 사고방식으로 옳지 않은 것은?
     1. 기능분석
     2. 제품위주의 사고
     3. 비용절감
     4. 조직적 노력

     정답 : []
     정답률 : 67%
     <문제 해설>
2.사용자중심의 사고, 기능중심의 사고방식

제품위주의 사고 X
[해설작성자 : 남양동돼지]

3과목 : 건축구조


41. 다음 그림과 같이 D16철근이 90°표준갈고리로 정착되었다면 이 갈고리의 소요정착길이(lhb)는 약 얼마인가?

    

     1. 233mm
     2. 243mm
     3. 253mm
     4. 263mm

     정답 : []
     정답률 : 48%
     <문제 해설>
소요정착길이는: 보정계수 *    ldb
대입
β= 철근도막계수 =1
λ=경량콘크리트 계수 = 1
d=15.9
fy=400
fck=21

ldb= 표준갈고리 최소정착길이=0.24β*d*fy / (λ√fck)
=0,24*1*15.9*400/1√21 = 330.09(mm)

D35 이하 철근
0.7 충분한 피복(피복두께 70mm이상, 90도 갈고리인 경우 갈고리에서 콘크리트 긴 방향 끝까지 피복두께 50mm이상)
0.8 띠철근, 스터럽에 대한 계수

그러므로,
정착길이*보정계수= 330.09*0.7 =231.06(mm)
[해설작성자 : comcbt.com 이용자]

0.24×1×15.9×400/1√21 = 333.09(mm)
[해설작성자 : 왕초보기사]

42. 연약한 지반에서 기초의 부동침하를 감소시키기 위한 상부구조에 대한 대책으로 옳지 않은 것은?
     1. 건물을 경량화 할 것
     2. 강성을 크게 할 것
     3. 이웃 건물과의 거리를 멀게 할 것
     4. 폭이 일정한 경우 건물의 길이를 길게 할 것

     정답 : []
     정답률 : 75%
     <문제 해설>
[부동침하 방지대책]

-상부구조에 대한 대책
1.건물의 경량화
2.건물의 평면길이를 짧게 할 것
3.강성을 높일 것
4.인접 건물과의 거리를 멀게 할 것
5.건물의 중량 분배를 고려할 것

-하부 구조에 대한 대책
1.경질지반에 지지시킬 것
2.마찰말뚝을 사용할 것
3.지하실을 설치할 것
4.온통기초로 시공할 것
5.독립기초인 경우 상호간을 연결
6.지반개량공법으로 지반의 지지력을 증대
[해설작성자 : kio]

폭이 일정한 경우 건물의 길이를 짧게 할 것
[해설작성자 : 건축6일컷]

43. 그림과 같은 라멘 구조물의 판별은?

    

     1. 불안정 구조물
     2. 안정이며, 정정구조물
     3. 안정이며, 1차 부정정구조물
     4. 안정이며, 2차 부정정구조물

     정답 : []
     정답률 : 77%
     <문제 해설>
m=(n+s+r)-2k
여기서,
m : 부정정 차수
n: 반력수
s: 부재수
r: 강절점수
k: 절점수 (지점과 자유단을 포한한다.)
if m > 0, stable 부정정
if m=0, stable and equal
m < 0, unstable
R(강절점)
o─    
│ 이렇게 생기면 0

그러므로
n+s+r-2k = (3x2)+8+0-(2*7) = 0
m=0, 안정 정정구조물이다.
[해설작성자 : 안쉐프도시어부먹을꺼야]

44. 그림과 같이 양단이 회전단인 부재의 좌굴축에 대한 세장비는?

    

     1. 76.21
     2. 84.28
     3. 94.64
     4. 103.77

     정답 : []
     정답률 : 56%
     <문제 해설>
세장비 = KL/r
K = 양단힌지 -> 1
단면2차반경(r) = 루트(I/A)
2차모멘트(I) = 여기서는, bh^3/12
-> 좌굴축 선정시 좌굴축은 장변에 대하여 평행. 즉, Y축이 좌굴축 -> b=50, h=30
단면적(A)
즉, 세장비 = 1*6(m) / 루트{(50*30^3/12)/(50*30)} = 76.2102
[해설작성자 : 쉬워]

세장비 = KL/r 중에 KL
1*6이 아니라 1*6.6
즉, 세장비 = 1*6.6*100(단위 cm로 변환)/루트{50*30^3/12)/(50*30)}=76.2102
[해설작성자 : 합격하자 ㅈㅂ]

45. 강구조 용접에서 용접 개시점과 종료점에 용착금속에 결함이 없도록 임시로 부착하는 것은?
     1. 엔드탭(End tap)
     2. 오버랩(Overlap)
     3. 뒷댐재(Backing Strip)
     4. 언더컷(Under cut)

     정답 : []
     정답률 : 84%
     <문제 해설>
엔드탭 : 용접결함 발생을 방지하기 위해 용접의 시단부와 종단부에 임시로 붙이는 보조 강판
[해설작성자 : 다람쥐대장]

46. 다음 각 구조시스템에 관한 정의로 옳지 않은 것은?
     1. 모멘트골조방식 : 수직하중과 횡력을 보와 기둥으로 구성된 라멘골조가 저항하는 구조방식
     2. 연성모멘트골조방식 : 횡력에 대한 저항능력을 증가시키기 위하여 부재와 접합부의 연성을 증가시킨 모멘트골조방식
     3. 이중골조방식 : 횡력의 25% 이상을 부담하는 전단벽이 연성모멘트골조와 조합되어 있는 구조방식
     4. 건물골조방식 : 수직하중은 입체골조가 저항하고 지진하중은 전단벽이나 가새골조가 저항하는 구조방식

     정답 : []
     정답률 : 76%
     <문제 해설>
이중골조방식 : 횡력의 25%이상을 부담하는 모멘트 연성골조가 전단벽이나 가새골조와 조합되어 있는 골조방식
[해설작성자 : 나야나]

47. 그림과 같은 콘크리트 슬래브에서 합성보 A의 슬래브 유효폭 be를 구하면? (단, 그림의 단위는 mm임)

    

     1. 1500mm
     2. 1800mm
     3. 2000mm
     4. 2250mm

     정답 : []
     정답률 : 66%
     <문제 해설>
합성보 슬래브 유효폭은 둘 중 작은 값:
가. 양쪽의 슬래브의 중심 간 거리
나. 보의 경간의 1/4
가→ 3000
나→ 7200/4 =1800mm
그러므로 1800mm이다.

추가로,
T형보의 유효폭 산정에는, (양쪽으로 각각 내민) 플랜지의 두께 *8배, 양측 슬래브의 중심간 거리, 그리고 보의 경간의 1/4가 있다.
반 T형보의 유효 산정에는 (한쪽으로 내민) 플랜지 두께의 6배, 보의 경간의 1/12, 인접 보와의 내측거리의 1/2 이다.
*셋 중 작은 값
[해설작성자 : 안쉐프도시어부먹을꺼야]

합성보의 유효폭은 아래 2개 중 작은값으로 결정
슬래브 양측 중심 산 거리 : 3000mm
보경 간의 1/4 : 7200/4 : 1800mm
따라서 작은 값인 1800mm 가 정답.
[해설작성자 : 건축6일컷]

48. 그림과 같은 등변분포하중이 작용하는 단순보의 최대휨모멘트 Mmax는?

    

     1. 25√3kN·m
     2. 25√2kN·m
     3. 90√3kN·m
     4. 90√2kN·m

     정답 : []
     정답률 : 48%
     <문제 해설>
1. 삼각분포를 집중하중으로 변환 ->
     가) 30kN/m * 6 m* 1/2 = 90kN (중앙)
     나)    A와 B지점에서 90kN을 각각 반씩 받으므로 P(A)= +45kN    P(B)= +45kN

2. 전단력이 x지점에서 0이 되는 것을 찾음->
     가)    A에서 x로부터 떨어진 지점에 전단력이 0이 되는 곳
S_x =    + 45 - x(5x)/2 =0
*여기서 5x는 삼각분포 힘의 삼각형에 비례하여 나온 것-> 6m:30kN/m = x: P(x) => P(x) = 5x
그러므로, x=√18 = 3 √2

3. x 지점에서 휨모멘트를 구함-> 최대휨모멘트: 45x-[x*(5x)/2 * (x/3)]
*여기서 x/3은 [x*(5x)/2)]의 집중하중을 x에서 부터 x/3만큼 떨어진 거리에서 받는 것

그러므로, 45x-[x*(5x)/2 * (x/3)] = 45*(3√2)-[(3√2)*5(3√2)/2*{(3√2)/3}] = 90√2
[해설작성자 : 안쉐프도시어부먹을꺼야]

49. 보의 재질과 단면의 크기가 같을 때 (A)보의 최대처짐은 (B)보의 몇 배인가?

    

     1. 2배
     2. 4배
     3. 8배
     4. 16배

     정답 : []
     정답률 : 53%
     <문제 해설>
θ= Va= 처짐각 = 1/24 *(wL^3)/EI
δ=Mc= 처짐= 5/384*(wL^4)/EI
δ(A):δ(B)= (wL^4): (2w<L/2>^4) = 8:1
[해설작성자 : 안쉐프도시어부먹을꺼야]

50. 그림과 같은 원통단면의 핵반경은?

    

     1. (D+d)/6
     2. D/8
     3. (D+d)/8
     4. (D2+d2)/8D

     정답 : []
     정답률 : 70%
     <문제 해설>
단면계수 Z = I / y
핵반경 e = Z / A
[해설작성자 : 인국공간다.]

51. 다음 그림에서 파단선 A-B-F-C-D의 인장재 순단면적은? (단, 볼트구멍지름 d : 22mm, 인장재 두께는 6mm)

    

     1. 1164mm2
     2. 1364mm2
     3. 1564mm2
     4. 1764mm2

     정답 : []
     정답률 : 59%
     <문제 해설>
{(40+40+80+40)-(3*22)+(80^2/4*40+80^2/4*80)}*6
= 1164
[해설작성자 : 택시기사]

엇모배치 순단면적
An = Ag - n * d * t + ∑(S2/(4*g)) * t
     = ((40+40+80+40)*6) - 3 * 22 * 6 + ( (802/ (4 * 40)) + (802/(4 * 80)) ) * 6
     = 1164mm2
n = 구멍 수 , d : 볼트구멍지름 ,    t = 두께
[해설작성자 : 리트리버]

52. 그림과 같은 독립기초에 N=480kN, M=96kN·m가 작용할 때 기초저면에 발생하는 최대 지반반력은?

    

     1. 15kN/m2
     2. 150kN/m2
     3. 20kN/m2
     4. 200kN/m2

     정답 : []
     정답률 : 68%
     <문제 해설>
기초의 최대 지반 반력 = 최대,최소 압축 응력 계산하기

σmax = - P/A -+ M/Z 최대일때(-)최소일때(+)
            = - 480/(2*2.4) - 96/ (2*2.4^2/6) = -150

답은 2번
[해설작성자 : comcbt.com 이용자]

53. 그림과 같은 트러스에서 a부재의 부재력은 얼마인가?

    

     1. 20kN(인장)
     2. 30kN(압축)
     3. 40kN(인장)
     4. 60kN(압축)

     정답 : []
     정답률 : 71%
     <문제 해설>
트러스 반력 = 전체 수직하중 / 2 = (20+40+20) / 2 = 40kN
ΣMc = 0
ΣMc = 40*3(시계방향) + 4*a(시계방향) = 0
a = -(40*3)/4 = -30kN
부호 -면 압축
[해설작성자 : 건축6일컷]

54. 그림과 같은 단면에 전단력 40kN이 작용할 때 A점에서 전단응력은?

    

     1. 0.28MPa
     2. 0.56MPa
     3. 0.84MPa
     4. 1.12MPa

     정답 : []
     정답률 : 53%
     <문제 해설>
특정 지점의 전단응력
(V*Q)/(I*b)=값
v(전단력)=40*10^3 / Q=도심+특정도심까지의 이동거리 : 200+100=300MM
I(2차모멘트)=200*400^3/12, b(도형의 폭) = 200mm
의거해 풀면 0.56Mpa가 정답입니다
[해설작성자 : comcbt.com 이용자]

Q= 단면1차모멘트입니다. Q= 구하고자 하는 면적(A점 위의 면적) * 축으로부터 그 면적의 도심까지 거리
따라서 Q=(200*100) * (150)= 3,000,000 mm^3 값이 나와야 단위와 소수점 자리가 답과 동일합니다.
답: 0.5625 MPa 입니다.
[해설작성자 : ssadas128]

55. 그림과 같이 O점에 모멘트가 작용할 때 OB부재와 OC부재에 분배되는 모멘트가 같게 하려면 OC부재의 길이를 얼마로 해야 하는가?

    

     1. 2/3m
     2. 3/2m
     3. 9/4m
     4. 3m

     정답 : []
     정답률 : 60%
     <문제 해설>
K=I/L , Koc에는 수정강도계수 3/4를 곱함
Koa = I/2, Kob = 2I/3, Koc = 2I/x * 3/4 = 6I/4X
12x 를 각각 곱해서 분모를 없애준다.
Koa = 6x , Kob = 8x, Koc = 18

OB의 분배율: 8x/6x+8x+18, OC의 분배율: 18/6x+8x+18
둘이 값이 같으니까 정리하면 x=9/4
[해설작성자 : abcd]

분배되는 모멘트가 같게 하려면 Kob(OB부재) = Koc(OC부재)
Kob = 1 * (2I / 3m)
Koc = 3/4 * (2I / x)
1 * (2I / 3m) = 3/4 * (2I / x)
x = 9/4m
[해설작성자 : 건축6일컷]

3/4 * x/2 = 2/3
[해설작성자 : 요약]

56. 다음 그림과 같은 필릿용접부의 유효 면적은?

    

     1. 614.4mm2
     2. 691.2mm2
     3. 716.8mm2
     4. 806.4mm2

     정답 : []
     정답률 : 60%
     <문제 해설>
S=8
L=80
N=2면
0.7S x (L - (2 x S)) x N)
5.6 x ((80 - 16) x 2)
5.6 x 128 = 716.8
[해설작성자 : ??]

Aw = a * le
     = 0.7 * s * (l - 2S)
     = 0,7 * 8 * (80 - 2*8)
     = 358,4mm^2

두변이므로 358.4 * 2 = 716.84mm^2
[해설작성자 : 건축6일컷]

57. 강도설계법에서 철근콘크리트 부재 중 콘크리트의 공칭전단강도(Vc)가 40kN, 전단철근에 의한 공칭전단강도(Vs)가 20kN일 때, 이 부재의 설계전단강도(øVn)는? (단, 강도감소계수는 0.75 적용)
     1. 60kN
     2. 48kN
     3. 52kN
     4. 45kN

     정답 : []
     정답률 : 53%
     <문제 해설>
Vn=Vc+Vs=40kN+20kN=60kN
øVn=0.75*60kN=45kN
[해설작성자 : nikita0810]

58. 지진계에 기록된 진폭을 진원의 깊이와 진앙까지의 거리 등을 고려하여 지수로 나타낸 것으로 장소에 관계없는 절대적 개념의 지진크기를 말하는 것은?
     1. 규모
     2. 진도
     3. 진원시
     4. 지진동

     정답 : []
     정답률 : 78%
     <문제 해설>
규모: 지진계에 기록된 진폭을 진원의 싶이와 진앙까지의 거리 등을 고려하여 지수로 나타낸 것으로 장소에 관계없는 절대적 개념의 지진크기를 말하는 것이다.
[해설작성자 : 나 최고]

59. 철근 콘크리트 단순보에서 순간탄성처짐이 0.9mm이었다면 1년 뒤 이 부재의 총처짐량을 구하면? (단, 시간경과계수 ξ=1.4, 압축철근비 ρ′=0.01071)
     1. 1.52mm
     2. 1.72mm
     3. 1.92mm
     4. 2.12mm

     정답 : []
     정답률 : 58%
     <문제 해설>
장기처짐 계수 계산 시간경과계수ξ / ( 1+ 50 * 압축철근비 ρ′)
                    → 0.912
장기처짐= 탄성처짐 * 장기처짐계수 = 0.9mm (탄성처짐) * 0.912 = 0.821mm

총 처짐량 = 탄성처짐+장기처짐 = 0.9mm + 0.821mm =1.721mm    → 답은 2번
[해설작성자 : 남양동돼지]

탄성처짐*(1+ξ/(1+50*ρ′))
[해설작성자 : comcbt.com 이용자]

60. 철근콘크리트 압축부재의 철근량 제한 조건에 따라 사각형이나 원형 띠철근으로 둘러싸인 경우 압축부재의 축방향 주철근의 최소 개수는 얼마인가?
     1. 2개
     2. 3개
     3. 4개
     4. 6개

     정답 : []
     정답률 : 65%
     <문제 해설>
사각형이나 원형 띠철근으로 둘러싸인 압축부재 주철근 개수 : 4개 이상

나선철근은 6개 이상
[해설작성자 : 남양동돼지]

4과목 : 건축설비


61. 다음과 같은 조건에서 2000명을 수용하는 극장의 실온을 20℃로 유지하기 위한 필요 환기량은?

    

     1. 11110m3/h
     2. 21222m3/h
     3. 30444m3/h
     4. 35644m3/h

     정답 : []
     정답률 : 58%
     <문제 해설>
2000명 * 현열 60J * 3600 (초→시간 변환) = 432,000,000 J/h
432,000,000 / [1.01(공기의비열) * 1000(KJ→J 단위변환) * 1.2(공기의밀도) * (20-10)] = 35643.56
답은 4번 35644m3/h
[해설작성자 : 남양동돼지]

Q = H / 0.337* 온도차 -> 60*2000 / 0.337*10
[해설작성자 : 기사따자]

62. 광원으로부터 일정거리 떨어진 수조면의 조도에 관한 설명으로 옳지 않은 것은?
     1. 광원의 광도에 비례한다.
     2. cosθ(입사각)에 비례한다.
     3. 거리의 제곱에 반비례한다.
     4. 측정점의 반사율에 반비례한다.

     정답 : []
     정답률 : 57%
     <문제 해설>
측정점의 반사율은 직접적인 관련이 없다
[해설작성자 : 보생]

E = (I/d^2)*cosθ

E : 조도
I : 광도
d : 거리
θ : 입사각
[해설작성자 : 건축6일컷]

63. 화재안전기준에 따라 소화기구를 설치하여야 하는 특정소방대상물의 연면적 기준은?
     1. 10m2 이상
     2. 25m2 이상
     3. 33m2 이상
     4. 50m2 이상

     정답 : []
     정답률 : 62%
     <문제 해설>
소화기구를 설치해야하는 대상 : 연면적 33m2 이상 , 지정문화재, 가스시설, 터널
[해설작성자 : 남양동돼지]

소화기구 설치 면적 : 연면적 33m2 이상, 지정문화재, 가스시설, 터널, 아파트, 오피스텔(30층 이상)
[해설작성자 : 옥수수따는노예]

64. 다음과 같은 공식을 통해 산출되는 값으로 전기 설비가 어느 정도 유효하게 사용되는가를 나타내는 것은?

    

     1. 부하율
     2. 보상률
     3. 부등률
     4. 수용률

     정답 : []
     정답률 : 80%
     <문제 해설>
수용률 = 최대수용전력(kw) / 부하설비용량(kw) X 100(%)
부등률 = 각 부하의 최대수용전력의 합계(kw) / 합계부하의 최대수용전력(kw) X 100(%)
부하율 = 평균수용전력(kw) / 최대 수용전력(kw) X 100(%)
[해설작성자 : 건축마법사]

변압기 등 적정한 공급 설비 용량을 파악~~ 수용 설비가 동시에 사용되는 정도 = 수용률
얼마나 유용(유효)하게 사용되는지 = 부하율 (부하율이 큼 = 그만큼 유효하게 사용됨)
부하의 최대 수용 전력 발생 시간 차이 = 부등률 (부등률이 큼 = 설비 이용률이 큼)
[해설작성자 : RIDI현]

65. 음의 세기가 10-9W/m2 일 때 음의 세기 레벨은? (단, 기준음의 세기 Io=10-12W/m2 이다.)
     1. 3dB
     2. 30dB
     3. 0.3dB
     4. 0.03dB

     정답 : []
     정답률 : 69%
     <문제 해설>
음의 세기 레벨
= 10log(상대음/기준음)
= 10log(10^-9/10^-12)
= 10log(10^3)
= 10*3*1
= 30
[해설작성자 : 후이]

음의 세기 레벨 = IL = 10log(음의세기 / 기준음의세기) = 10log(10^-9/10^-12) = 30
[해설작성자 : 기사따자]

66. 급탕설비 중 개별식 급탕방식에 관한 설명으로 옳지 않은 것은?
     1. 배관길이가 길어 배관 중의 열손실이 크다.
     2. 건물 완공 후에도 급탕 개소의 증설이 비교적 쉽다.
     3. 급탕개소마다 가열기의 설치 스페이스가 필요하다.
     4. 용도에 따라 필요한 개소에서 필요한 온도의 탕을 비교적 간단하게 얻을 수 있다.

     정답 : []
     정답률 : 68%
     <문제 해설>
1, 배관길이 짧다
*중앙식 : 길다
[해설작성자 : comcbt.com 이용자]

중앙식은 열손실이 크다.
개별식은 열손실이 적다.
[해설작성자 : 건축기사 꼭 땁니다. 반드시합니다. ]

67. 플러시 밸브식 대변기에 관한 설명으로 옳은 것은?
     1. 대변기의 연속사용이 가능하다.
     2. 급수관경과 급수압력에 제한이 없다.
     3. 우리나라에서는 일반 주택을 중심으로 널리 채용되고 있다.
     4. 탱크에 저장된 물의 낙차에 의한 수압으로 대변기를 세척하는 방식이다.

     정답 : []
     정답률 : 68%
     <문제 해설>
2. 급수 관경은 25A 이상, 급수 압력은 최소 0.07MPa 이상으로 제한이 있다.
3. 학교, 사무실, 호텔 등에 채용되고 있다.
4. 급수관에서 세정밸브를 거쳐 변기 급수구에 직결되고, 세정밸브의 핸들을 작동함으로써 일정량의 물이 분사되어 세정하는 방식이다.
[해설작성자 : 졸려요]

2. 급수 관경 25mm 이상, 급수 압력은 최소 0.07MPa 이상
4. 하이탱크식
[해설작성자 : 건축6일컷]

68. 공기조화방식 중 2중덕트방식에 관한 설명으로 옳지 않은 것은?
     1. 전공기방식에 속한다.
     2. 냉·온풍의 혼합으로 인한 혼합손실이 있어 에너지 소비량이 많다.
     3. 단일덕트방식에 비해 덕트 샤프트 및 덕트 스페이스를 크게 차지한다.
     4. 부하특성이 다른 여러 개의 실이나 존이 있는 건물에는 적용할 수 없다.

     정답 : []
     정답률 : 72%
     <문제 해설>
개별 제어 용이.
부하특성이 다른 여러 개의 실이나 존이 있는 건물에는 적용할 수 있다.
[해설작성자 : 건축6일컷]

69. 다음과 같은 특징을 갖는 간선 배선 방식은?

    

     1. 평행식
     2. 나뭇가지식
     3. 네트워크식
     4. 나뭇가지 평행 병용식

     정답 : []
     정답률 : 83%
     <문제 해설>
평행식에 대한 설명임
+배전반에서 각 분전반 마다 단독으로 배선. 전압강하 적고, 설비비 고가, 대규모에 적용

2.나뭇가지식
한 개의 간선이 배전반에서 각 분전반을 거쳐 배선. 전압강하 크고, 중소규모에 적용
4.병용식
평행식과 나무가지식을 적절히 조합한 것으로 가장 합리적
[해설작성자 : 리트리버]

70. 압축식 냉동기의 냉동사이클로 옳은 것은?
     1. 압축 → 응축 → 팽창 → 증발
     2. 압축 → 팽창 → 응축 → 증발
     3. 응축 → 증발 → 팽창 → 압축
     4. 팽창 → 증발 → 응축 → 압축

     정답 : []
     정답률 : 87%
     <문제 해설>
압축식 : 전기에 따른 기계에너지 이용, 압축응축팽창증발
흡수식 : 냉매의 증발에 의한 열에너지 이용, 흡수발생(재생)응축증발
[해설작성자 : 옥수수따는노예]

71. 온수난방과 비교한 증기난방의 설명으로 옳은 것은?
     1. 예열시간이 길다.
     2. 한랭지에서 동결의 우려가 있다.
     3. 부하변동에 따른 방열량 제어가 용이하다.
     4. 열매온도가 높으므로 방열기의 방열면적이 작아진다.

     정답 : []
     정답률 : 67%
     <문제 해설>
1. 예열시간이 온수난방보다 짧고 증기의 순환이 빠름
2. 동결 <- 온수난방
3. 난방부하의 변동에 따라 방열량 조절 곤란함
[해설작성자 : 조아유]

72. 바닥면적이 50[m2]인 사무실이 있다. 32[W] 형광등 20개를 균등하게 배치할 때 사무실의 평균 조도는? (단, 형광등 1개의 광속은 3300[lm], 조명율은 0.5, 보수율은 0.76 이다.)
     1. 약 350[lx]
     2. 약 400[lx]
     3. 약 450[lx]
     4. 약 500[lx]

     정답 : []
     정답률 : 46%
     <문제 해설>
평균조도(E) = {광속(F) x 수량(N) x 조명율(U) x 보수율(M)} ÷ 바닥면적(A)
                        = (3300 x 20 x 0.5 x 0.76)÷50
                        = 501.6    
[해설작성자 : 14]

73. 배수트랩에서 봉수깊이에 관한 설명으로 옳지 않은 것은?
     1. 봉수깊이는 50~100mm로 하는 것이 보통이다.
     2. 봉수깊이가 너무 낮으면 봉수를 손실하기 쉽다.
     3. 봉수깊이를 너무 깊게 하면 통수능력이 감소된다.
     4. 봉수깊이를 너무 깊게 하면 유수의 저항이 감소된다.

     정답 : []
     정답률 : 65%
     <문제 해설>
4, 유수의 저항이 증가된다
[해설작성자 : comcbt.com 이용자]

74. 카(car)가 최상층이나 최하층에서 정상 운행 위치를 벗어나 그 이상으로 운행하는 것을 방지하는 엘리베이터 안전장치는?
     1. 완충기
     2. 가이드 레일
     3. 리미트 스위치
     4. 카운터 웨이트

     정답 : []
     정답률 : 83%

75. 전기설비에서 경질 비닐관 공사에 관한 설명으로 옳은 것은?
     1. 절연성과 내식성이 강하다.
     2. 자성체이며 금속관보다 시공이 어렵다.
     3. 온도 변화에 따라 기계적 강도가 변하지 않는다.
     4. 부식성 가스가 발생하는 곳에는 사용할 수 없다.

     정답 : []
     정답률 : 70%
     <문제 해설>
[경질비닐관]
장점 : 강제 전선관에 비해 내화학약품성, 내부식성, 절연성, 경량, 시공용이, 단가절감 등.
단점 : 금속관에 비해 강도가 약함, 열팽창계수가 큼, 허용전류가 작음, 비자성체이므로 자기차폐를 요하는 배관에는 부적당함.
[해설작성자 : 건축사 산이]

76. 변전실에 관한 설명으로 옳지 않은 것은?
     1. 부하의 중심에 설치한다.
     2. 외부로부터 전력의 수전이 용이해야 한다.
     3. 발전기실과 가능한 한 거리를 두고 설치한다.
     4. 간선의 배선과 점검·유지보수가 용이한 장소에 설치한다.

     정답 : []
     정답률 : 85%
     <문제 해설>
발전기실과 가능한 가까운 거리에 설치한다.
[해설작성자 : 건축6일컷]

77. 환기에 관한 설명으로 옳지 않은 것은?
     1. 화장실은 송풍기(급기팬)와 배풍기(배기팬)를 설치하는 것이 일반적이다.
     2. 기밀성이 높은 주택의 경우 잦은 기계환기를 통해 실내공기의 오염을 낮추는 것이 바람직하다.
     3. 병원의 수술실은 오염공기가 실내로 들어오는 것을 방지하기 위해 실내압력을 주변공간보다 높게 설정한다.
     4. 공기의 오염농도가 높은 도로에 면해 있는 건물의 경우, 공기조화설비 계통의 외기도입구를 가급적 높은 위치에 설치한다.

     정답 : []
     정답률 : 76%
     <문제 해설>
화장실은 자연급기 강제배기
[해설작성자 : comcbt.com 이용자]

78. 액화천연가스(LNG)에 관한 설명으로 옳지 않은 것은?
     1. 메탄이 주성분이다.
     2. 무공해, 무독성이다.
     3. 비중이 공기보다 크다.
     4. 일반적으로 배관을 통해 공급한다.

     정답 : []
     정답률 : 77%
     <문제 해설>
액화천연가스(LNG)는 공기보다 비중이 가벼움. (0.55)
[해설작성자 : 남양동돼지]

비중이 공기보다 큰것은 LPG다.
[해설작성자 : 리망고]

79. 다음 중 지역난방에 적용하기에 가장 적합한 보일러는?
     1. 수관보일러
     2. 관류보일러
     3. 입형보일러
     4. 주철제보일러

     정답 : []
     정답률 : 64%
     <문제 해설>
용도
수관보일러 - 다량의 고압증기를 필요로하는 대규모건물, 지역난방, 병원, 호텔 등
관류보일러 - 중, 소규모 건물
입형보일러 - 주택, 점포, 소규모 건물
주철제보일러 - 저압증기용, 소규모 건축물
[해설작성자 : 한포도]

80. 다음 중 급탕설비에서 온수 순환 펌프로 주로 이용되는 것은?
     1. 사류 펌프
     2. 원심식 펌프
     3. 왕복식 펌프
     4. 회전식 펌프

     정답 : []
     정답률 : 63%
     <문제 해설>
원심식=원의 중심 → 따뜻한물
[해설작성자 : 민형이]

81. 건축물의 관람실 또는 집회실로부터 바깥쪽으로의 출구로 쓰이는 문을 안여닫이로 해서는 안 되는 건축물은?
     1. 위락시설
     2. 수련시설
     3. 문화 및 집회시설 중 전시장
     4. 문화 및 집회시설 중 동·식물원

     정답 : []
     정답률 : 53%
     <문제 해설>
건축물의 피난ㆍ방화구조 등의 기준에 관한 규칙 제 11조 2항
영 제39조제1항에 따라 건축물의 바깥쪽으로 나가는 출구를 설치하는 건축물중 문화 및 집회시설(전시장 및 동ㆍ식물원을 제외한다), 종교시설, 장례식장 또는 위락시설의 용도에 쓰이는 건축물의 바깥쪽으로의 출구로 쓰이는 문은 안여닫이로 하여서는 아니된다.

요약 : 문화 및 집회시설(전시장 및 동ㆍ식물원 제외), 종교시설, 장례식장, 위락시설 안여닫이 금지
[해설작성자 : CHS]

82. 다음은 대지의 조경에 관한 기준 내용이다. ( )안에 알맞은 것은?

    

     1. 100m2
     2. 200m2
     3. 300m2
     4. 500m2

     정답 : []
     정답률 : 73%
     <문제 해설>
대지 안의 조경대상
면적이 200m2 이상인 대지에 건축을 하는 건축주는 용도지역 및 건축물의 규모에 따라 해당 지방자치단체의 조례로 정하는 기준애 따라 대지에 조경이나 그 밖에 필요한 조치를 하여야 한다
[해설작성자 : 프코]

83. 노외주차장에 설치하는 부대시설의 총 면적은 주차장 총 시설면적의 최대 얼마를 초과 하여서는 아니 되는가?
     1. 5%
     2. 10%
     3. 20%
     4. 30%

     정답 : []
     정답률 : 51%
     <문제 해설>
주차장법시행규칙 제 6조 4항
노외주차장에 설치할 수 있는 부대시설은 다음 각 호와 같다. 다만, 전기자동차충전시설을 제외한 부대시설의 총면적은 주차장 총시설면적(주차장으로 사용되는 면적과 주차장 외의 용도로 사용되는 면적을 합한 면적을 말한다. 이하 같다)의 20퍼센트를 초과해서는 안 된다.

요약 : 20%
[해설작성자 : CHS]

84. 노외주차장에 설치하여야 하는 차로의 최소 너비가 가장 작은 주차형식은? (단, 출입구가 2개 이상이며, 이륜자동차전용 외의 노외주차장의 경우)
     1. 평행주차
     2. 교차주차
     3. 직각주차
     4. 45도 대향주차

     정답 : []
     정답률 : 70%
     <문제 해설>
    주차형식     / 출입구 2개 이상 / 출입구 1개
    평행주차     /             3.3m            /     5.0m
    직각주차     /             6.0m            /     6.0m
60도대향주차 /             4.5m            /     5.5m
45도대향주차 /             3.5m            /     5.0m
교차주차         /             3.5m            /     5.0m
[해설작성자 : 한포도]

85. 국토교통부령으로 정하는 바에 따라 방화구조로 하거나 불연재료로 하여야 하는 목조 건축물의 최소 연면적 기준은?
     1. 500m2 이상
     2. 1000m2 이상
     3. 1500m2 이상
     4. 2000m2 이상

     정답 : []
     정답률 : 59%
     <문제 해설>
연면적 1,000m2 이상인 목조 건축물은 외벽 및 처 마 밑의 연소 우려가 있는 부분은 방화구조로 하거 나 지붕은 불연재료로 하여야 한다.
[해설작성자 : 프코]

86. 거실의 반자설치와 관련된 기준 내용 중, ( )안에 들어갈 수 있는 건축물의 용도는?

    

     1. 장례식장
     2. 교육 및 연구시설
     3. 문화 및 집회시설 중 동물원
     4. 문화 및 집회시설 중 전시장

     정답 : []
     정답률 : 52%
     <문제 해설>
건축물의 피난·방화구조 등의 기준에 관한 규칙

제16조 (거실의 반자높이) ①영 제50조의 규정에 의하여 설치하는 거실의 반자(반자가 없는 경우에는 보 또는 바로 윗층의 바닥판의 밑면 기타 이와 유사한 것을 말한다. 이하같다)는 그 높이를 2.1미터 이상으로 하여야 한다.

②문화 및 집회시설(전시장 및 동ㆍ식물원을 제외한다), 의료시설중 장례식장 또는 위락시설중 주점영업의 용도에 쓰이는 건축물의 관람석 또는 집회실로서 그 바닥면적이 200제곱미터 이상인 것의 반자의 높이는 제1항의 규정에 불구하고 4미터(노대의 아랫부분의 높이는 2.7미터)이상이어야 한다. 다만, 기계환기장치를 설치하는 경우에는 그러하지 아니하다.
[해설작성자 : CHS]

87. 건축물의 건축 시 허가 대상 건축물이라 하더라도 미리 특별자치시장·특별자치도지사 또는 시장·군수·구청장에게 국토교통부령으로 정하는 바에 따라 신고를 하면 건축허가를 받은 것으로 보는 소규모 건축물의 연면적 기준은?
     1. 연면적의 합계가 100m2 이하인 건축물
     2. 연면적의 합계가 150m2 이하인 건축물
     3. 연면적의 합계가 200m2 이하인 건축물
     4. 연면적의 합계가 300m2 이하인 건축물

     정답 : []
     정답률 : 54%
     <문제 해설>
기타 소규모 건축물로
- 연면적 100m^2 이하 건축물
- 높이 3m이하 범위에서 증축
- 주위환경.미관에 지장없다고 건축조례로 정하는 건축물
- 공업.지구단위계획구역.산업단지에서 건축하는 2층이하 연면적 500m2 이하 공장
- 농업.수산업 경영을위해 읍.면지역에 건축하는 창고로 연면적 200m2이하, 측사.온실 400m2이하
[해설작성자 : 스키]

88. 광역도시계획의 수립권자 기준에 대한 내용으로 틀린 것은?
     1. 광역계획권이 같은 도의 관할 구역에 속하여 있는 경우, 관할 시장 또는 군수가 공동으로 수립한다.
     2. 국가계획과 관련된 광역도시계획의 수립이 필요한 경우 국토교통부장관이 수립한다.
     3. 광역계획권을 지정한 날부터 2년이 지날때까지 관할 시장 또는 군수로부터 광역도시계획의 승인 신청이 없는 경우 국토교통부장관이 수립한다.
     4. 광역계획권이 둘 이상의 시·도의 관할 구역에 걸쳐 있는 경우, 관할 시·도지사가 공동으로 수립한다.

     정답 : []
     정답률 : 61%
     <문제 해설>
광역계획권을 지정한 날부터 3년이 지날때까지 관할 시.도지사 로부터 광역도시계획의 승인 신청이 없는 경우 국토교통부장관이 수립한다.
[해설작성자 :    ]

89. 지구단위계획 중 관계 행정기관의 장과의 협의, 국토교통부장관과의 협의 및 중앙도시계획위원회·지방도시계획위원회 또는 공동위원회의 심의를 거치지 않고 변경할 수 있는 사항에 관한 기준 내용으로 옳은 것은?
     1. 건축선의 2m 이내의 변경인 경우
     2. 획지면적의 30% 이내의 변경인 경우
     3. 가구면적의 20% 이내의 변경인 경우
     4. 건축물 높이의 30% 이내의 변경인 경우

     정답 : []
     정답률 : 56%
     <문제 해설>
1. 건축선의 1m 이내
3. 가구면적 10% 이내
4. 건축물 높이의 20% 이내
[해설작성자 : 달콩이아빠]

90. 공동주택과 오피스텔 난방설비를 개별난방방식으로 하는 경우에 관한 기준 내용으로 틀린 것은?
     1. 보일러의 연도는 내화구조로서 공동연도로 설치할 것
     2. 보일러실의 윗부분에는 그 면적이 0.5m2 이상인 환기창을 설치할 것
     3. 오피스텔의 경우에는 난방구획을 방화구획으로 구획할 것
     4. 보일러는 거실 외의 곳에 설치하되, 보일러를 설치하는 곳과 거실 사이의 경계벽은 출입구를 제외하고는 방화구조의 벽으로 구획할 것

     정답 : []
     정답률 : 59%
     <문제 해설>
내화구조가 맞습니다
[해설작성자 : 인국공간다]

91. 대형건축물의 건축허가 사전승인신청 시 제출 도서의 종류 중 설계설명서에 표시하여야 할 사항이 아닌 것은?
     1. 공사금액
     2. 개략공정계획
     3. 교통처리계획
     4. 각부 구조계획

     정답 : []
     정답률 : 69%
     <문제 해설>
구조계획은 구조계획서
[해설작성자 : 합격하자]

92. 주거에 쓰이는 바닥면적의 합계가 200제곱미터인 주거용 건축물에 설치하는 음용수용 급수관의 최소 지름 기준은?
     1. 25mm
     2. 32mm
     3. 40mm
     4. 50mm

     정답 : []
     정답률 : 63%
     <문제 해설>
건축물의 설비기준 등에 관한 규칙 [별표 3] <개정 1999.5.11>

주거용 건축물 급수관의 지름(제18조관련)

가구 또는 세대수 급수관 지름의 최소기준 (밀리미터)
=
1 가구 - 15mm
2-3 가구 - 20mm
4-5 가구 - 25mm
6-8 가구 - 32mm
9-16가구 - 40mm
17 가구 이상 - 50mm

비고
1. 가구 또는 세대의 구분이 불분명한 건축물에 있어서는 주거에 쓰이는 바닥 면적의 합계에 따라 다음과 같이 가구수를 산정한다.
가. 바닥면적 85제곱미터 이하 : 1가구
나. 바닥면적 85제곱미터 초과 150제곱미터 이하 : 3가구
다. 바닥면적 150제곱미터 초과 300제곱미터이하 : 5가구
라. 바닥면적 300제곱미터 초과 500제곱미터이하 : 16가구
마. 바닥면적 500제곱미터 초과: 17가구
2. 가압설비 등을 설치하여 급수되는 각 기구에서의 압력이 1센티미터당 0.7킬 로그램 이상인 경우에는 위 표의 기준을 적용하지 아니 할 수 있다.
[해설작성자 : 중고신입]

93. 건축법령상 건축물의 대지에 공개 공지 또는 공개 공간을 확보하여야 하는 대상 건축물에 해당하지 않는 것은? (단, 해당 용도로 쓰는 바닥면적의 합계가 5000m2인 건축물의 경우로, 건축조례로 정하는 다중이 이용하는 시설의 경우는 고려하지 않는다.)
     1. 종교시설
     2. 업무시설
     3. 숙박시설
     4. 교육연구시설

     정답 : []
     정답률 : 50%
     <문제 해설>
공개공지를 확보해야하는 대상 건축물 (연면적 5000m2 이상)
숙박시설
종교시설
운수시설
문화 및 집회시설
판매시설 (농수산물유통시설X)
업무시설

숙종은문화판매업무를 좋아해
[해설작성자 : 남양동돼지]

94. 국토의 계획 및 이용에 관한 법령상 건폐율의 최대 한도가 가장 높은 용도지역은?
     1. 준주거지역
     2. 생산관리지역
     3. 중심상업지역
     4. 전용공업지역

     정답 : []
     정답률 : 78%
     <문제 해설>
중심상업지역 90% 이하
[해설작성자 : comcbt.com 이용자]

95. 중고층주택을 중심으로 편리한 주거환경을 조성하기 위하여 지정하는 용도지역은?
     1. 제1종 일반주거지역
     2. 제2종 일반주거지역
     3. 제3종 일반주거지역
     4. 제4종 일반주거지역

     정답 : []
     정답률 : 59%
     <문제 해설>
2종은 중층, 3종은 고층(높이제한x) , 4종은 정의된게 없음
[해설작성자 : 여느]

96. 대지의 분할 제한과 관련한 아래 내용에서, 밑줄 친 부분에 해당하는 규모가 기준이 틀린 것은?

    

     1. 주거지역 : 60m2 이상
     2. 상업지역 : 100m2 이상
     3. 공업지역 : 150m2 이상
     4. 녹지지역 : 200m2 이상

     정답 : []
     정답률 : 60%
     <문제 해설>
건축법 제57조 대지분할제한
주거지역 60m2
상업지역 150m2
공업지역 150m2
녹지지역 200m2
기타지역 60m2
[해설작성자 : 남양동돼지]

97. 일조 등의 확보를 위한 건축물의 높이 제한 기준 중 ㉠과 ㉡에 해당하는 내용이 옳은 것은?

    

     1. ㉠ 1m
     2. ㉠ 1.5m
     3. ㉡ 3분의 1
     4. ㉡ 3분의 2

     정답 : []
     정답률 : 76%
     <문제 해설>
1. 대지경계선으로부터 1.5M 이상
2. 높이 1/2이상
[해설작성자 : 롱롱이]

제86조(일조 등의 확보를 위한 건축물의 높이 제한)
① 전용주거지역이나 일반주거지역에서 건축물을 건축하는
경우에는 법 제61조제1항에 따라 건축물의 각 부분을 정북(正北) 방향으로의
인접 대지경계선으로부터 다음 각 호의 범위에서 건축조례로 정하는 거리
이상을 띄어 건축하여야 한다. <개정 2015. 7. 6., 2023. 9. 12.>

1. 높이 10미터 이하인 부분: 인접 대지경계선으로부터 1.5미터 이상
2. 높이 10미터를 초과하는 부분: 인접 대지경계선으로부터 해당 건축물 각 부분 높이의 2분의 1 이상
[해설작성자 : comcbt.com 이용자]

98. 건축물 관련 건축기준의 허용오차 범위 기준이 2% 이내가 아닌 것은?
     1. 출구너비
     2. 반자높이
     3. 평면길이
     4. 벽체두께

     정답 : []
     정답률 : 72%
     <문제 해설>
0.5% 이내 : 건폐율
1% 이내 : 용적률
2% 이내 : 높이, 출구너비, 반자높이, 평면길이
3% 이내 : 후퇴거리, 인동거리, 벽면두께, 바닥판두께

벽체두께는 3%이내
[해설작성자 : 피쓰]

99. 다음 중 승용승강기를 가장 많이 설치해야 하는 건축물의 용도는? (단, 6층 이상의 거실면적의 합계가 10000m2이며, 8인승 승강기를 설치하는 경우)
     1. 의료시설
     2. 위락시설
     3. 숙박시설
     4. 공동주택

     정답 : []
     정답률 : 72%
     <문제 해설>
의료시설 : 6대
위락시설, 숙박시설 : 5대
공동주택 : 4대
[해설작성자 : 건축6일컷]

(문판의) 문화(공연장, 집회장), 판매, 의료시설 인경우 (기준 2대부터) : 2+(A-3000/2000)대
문화(전시장), 업무, 숙박, 위락 : 1+(A-3000/2000)대
공동주택, 교육연구시설, 노유자 : 1 +(A-3000/3000)대
[해설작성자 : 롱롱이]

100. 비상용승강기 승강장의 바닥면적은 비상용승강기 1대에 대하여 최소 얼마 이상으로 하여야 하는가? (단, 옥내 승강장인 경우)
     1. 3m2
     2. 4m2
     3. 5m2
     4. 6m2

     정답 : []
     정답률 : 72%
     <문제 해설>
승강장의 바닥면적은 비상용승강기 1대에 대하여 6제곱미터 이상으로 할 것. 다만, 옥외에 승강장을 설치하는 경우에는 그러하지 아니하다. 건축물의 설비기준 등에 관한 규칙 제10조
[해설작성자 : 달콩이아빠]


정 답 지

1

2

3

4

5

6

7

8

9

10

11

12

13

14

15

16

17

18

19

20

21

22

23

24

25

26

27

28

29

30

31

32

33

34

35

36

37

38

39

40

41

42

43

44

45

46

47

48

49

50

51

52

53

54

55

56

57

58

59

60

61

62

63

64

65

66

67

68

69

70

71

72

73

74

75

76

77

78

79

80

81

82

83

84

85

86

87

88

89

90

91

92

93

94

95

96

97

98

99

100

건축기사 필기 기출문제(해설) 및 CBT 2021년03월07일을 이용해 주셔서 감사합니다.
, 필기, 기출문제, 전자문제집, CBT, 온라인, 모의테스트, 모의고사



List of Articles
번호 제목 글쓴이 날짜 조회 수
2475 9급 지방직 공무원 서울시 건축계획 필기 기출문제(해설) 및 CBT 2018년06월23일(14087) 좋은아빠되기 2025.11.26 0
2474 9급 지방직 공무원 서울시 행정학개론 필기 기출문제(해설) 및 CBT 2015년06월13일(14088) 좋은아빠되기 2025.11.26 0
2473 9급 지방직 공무원 서울시 행정학개론 필기 기출문제(해설) 및 CBT 2016년06월25일(14089) 좋은아빠되기 2025.11.26 0
2472 산림기사 필기 기출문제(해설) 및 CBT 2021년03월07일(14090) 좋은아빠되기 2025.11.26 0
2471 측량및지형공간정보기사 필기 기출문제(해설) 및 CBT 2021년03월07일(14091) 좋은아빠되기 2025.11.26 1
2470 토목기사 필기 기출문제(해설) 및 CBT 2021년03월07일(14092) 좋은아빠되기 2025.11.26 0
» 건축기사 필기 기출문제(해설) 및 CBT 2021년03월07일(14093) 좋은아빠되기 2025.11.26 0
2468 소방공무원(공개,경력) 국어(구) 필기 기출문제(해설) 및 CBT 2020년06월20일(14094) 좋은아빠되기 2025.11.26 0
2467 소방공무원(공개) 한국사(구) 필기 기출문제(해설) 및 CBT 2020년06월20일(14095) 좋은아빠되기 2025.11.26 0
2466 소방공무원(공개,경력) 영어(구) 필기 기출문제(해설) 및 CBT 2020년06월20일(14096) 좋은아빠되기 2025.11.26 0
2465 소방공무원(공개,경력) 소방학개론(구) 필기 기출문제(해설) 및 CBT 2020년06월20일(14097) 좋은아빠되기 2025.11.26 0
2464 소방공무원(공개) 행정법총론(구) 필기 기출문제(해설) 및 CBT 2020년06월20일(14098) 좋은아빠되기 2025.11.26 0
2463 소방공무원(공개) 소방관계법규(구) 필기 기출문제(해설) 및 CBT 2020년06월20일(14099) 좋은아빠되기 2025.11.26 0
2462 소방공무원(공개) 사회(구) 필기 기출문제(해설) 및 CBT 2020년06월20일(14100) 좋은아빠되기 2025.11.26 0
2461 소방공무원(공개) 과학(구) 필기 기출문제(해설) 및 CBT 2020년06월20일(14101) 좋은아빠되기 2025.11.26 0
2460 소방공무원(공개) 수학(구) 필기 기출문제(해설) 및 CBT 2020년06월20일(14102) 좋은아빠되기 2025.11.26 0
2459 소방공무원(경력) 생활영어(구) 필기 기출문제(해설) 및 CBT 2020년06월20일(14103) 좋은아빠되기 2025.11.26 0
2458 소방공무원(경력) 소방관계법규(구) 필기 기출문제(해설) 및 CBT 2020년06월20일(14104) 좋은아빠되기 2025.11.26 0
2457 반도체설계산업기사 필기 기출문제(해설) 및 CBT 2016년05월08일(14105) 좋은아빠되기 2025.11.26 0
2456 반도체설계산업기사 필기 기출문제(해설) 및 CBT 2017년05월07일(14106) 좋은아빠되기 2025.11.26 0
Board Pagination Prev 1 ... 1030 1031 1032 1033 1034 1035 1036 1037 1038 1039 ... 1158 Next
/ 1158