자격증 필기 기출문제



9급 국가직 공무원 전기기기 필기 기출문제(해설) 및 CBT 2021년04월17일

최강 자격증 기출문제 전자문제집 CBT : www.comcbt.com


전자문제집 CBT란?
종이 문제집이 아닌 인터넷으로 문제를 풀고 자동으로 채점하며 모의고사, 오답 노트, 해설까지 제공하는
무료 기출문제 학습 프로그램으로 실제 상설검정에서 사용하는 OMR 형식의 CBT를 제공합니다.

최신 9급 국가직 공무원 전기기기 필기 기출문제 : [다운로드]


1. 직권 직류전동기에 대한 설명으로 옳지 않은 것은?
     1. 자속이 포화되기 전까지 토크는 전기자 전류의 제곱에 비례한다.
     2. 크레인용 전동기와 같이 매우 큰 토크가 필요한 곳에 적합하다.
     3. 무부하 상태로 연결하여 동작하는 것을 피해야 한다.
     4. 토크가 커질수록 높은 속도를 얻을 수 있다.

     정답 : []
     정답률 : 81%
     <문제 해설>
T ∝ I^2 ∝ 1/N^2
위와 같이 토크는 전류 제곱과 비례하고 회전 속도의 제곱의 반비례함.
[해설작성자 : 군무원희망자]

2. V-V 결선에 대한 설명으로 옳지 않은 것은?
     1. 소용량 3상 부하에 사용할 수 있다.
     2. △-△ 결선에서 1대의 변압기가 고장 나면 V-V 결선으로 운전할 수 있다.
     3. △-△ 결선의 출력에 비하여 부하용량은 86.6[%], 이용률은 57.7[%]로 줄어든다.
     4. 부하의 상태에 따라 2차 단자전압이 불평형이 될 수 있다.

     정답 : []
     정답률 : 74%

3. 다음 그림의 DC-DC 컨버터 명칭과 정상상태에서의 입출력전압의 관계는? (단, TD는 SW의 duty ratio이다)

   

     1. 벅 컨버터,
     2. 벅 컨버터,
     3. 부스트 컨버터,
     4. 부스트 컨버터,

     정답 : []
     정답률 : 63%

4. 8극, 60[Hz], 12[kW]인 3상 유도전동기가 전부하 시 720[rpm]으로 회전할 때, 옳은 것은? (단, 기계손은 무시한다)
     1. 회전자 전류의 주파수는 12[Hz]이다.
     2. 회전자 효율은 90[%]이다.
     3. 공극전력(회전자 입력전력)은 13.3[kW]이다.
     4. 회전자 동손은 1.3[kW]이다.

     정답 : []
     정답률 : 69%

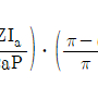
5. 다음의 동기기 등가회로와 벡터도에 대한 설명으로 옳지 않은 것은? (단, Xs는 동기리액턴스이다)

   

     1. 전동기로 동작하고 있다.
     2. 전류 Ia의 위상이 단자전압 Vt의 위상보다 뒤진다.
     3. 무효전력이 발생한다.
     4. 전류 Ia가 줄어들면 유기기전력 Ea와 단자전압 Vt의 크기 차이는 감소한다.

     정답 : []
     정답률 : 53%
     <문제 해설>
유기기전력E에서 단자전압V로 전류가 흐름 : 발전기
[해설작성자 : 80점만]

6. 다음은 전력변환시스템의 전력단을 역할에 따라 블록으로 구분한 그림이다. 각 블록에 대한 설명으로 옳은 것은?

   

     1. A블록은 3상 교류입력전압을 정류하는 3상 다이오드 반파정류기이다.
     2. B블록은 A블록의 출력전압을 평활화하기 위한 목적으로 사용된다.
     3. C블록은 교류신호를 직류신호로 변환하는 인버터를 나타낸다.
     4. 선형변조 시 C블록의 PWM 스위칭주파수가 출력전압의 주파수보다 높을수록 출력전압의 고조파 제거가 어렵다.

     정답 : []
     정답률 : 64%
     <문제 해설>
1. 3상 전파 정류기, 3상반파는 다이오드 3개
3. 인버터는 직류신호를 교류신호로 변환
[해설작성자 : 80점만]

7. 유도전동기에 대한 설명으로 옳지 않은 것은?
     1. 회전자에 흐르는 전류는 지상전류이다.
     2. 정격속도로 운전할 때보다 기동 시의 2차측 누설리액턴스가 크다.
     3. 슬립 s에서 유도전동기의 이론적인 최고효율은 1-s 이다.
     4. 변압기에 비하여 일반적으로 누설리액턴스가 작다.

     정답 : []
     정답률 : 59%
     <문제 해설>
2. 기동시 s=1 (2차측: sE, r2, sx2) -> 2차측리액턴스 최대
     운전시 0<s<1 -> 2차측 리액턴스는 기동시보다 작음
[해설작성자 : 공시돌이]

8. 직류전동기의 기동 방법에 대한 설명으로 옳은 것은?
     1. 전기자 저항은 크게 하고 계자 저항은 최소로 한다.
     2. 전기자 저항은 크게 하고 계자 저항은 최대로 한다.
     3. 전기자 저항은 작게 하고 계자 저항은 최소로 한다.
     4. 전기자 저항은 작게 하고 계자 저항은 최대로 한다.

     정답 : []
     정답률 : 65%

9. 15,000/200[V], 10[kVA]인 변압기의 등가회로는 다음과 같다. 변압기의 출력전압이 정격전압이라 가정하고 0.8 지상역률 정격부하에서 운전되고 있을 때, 전압변동률[%]은? (단, 1차측 권선저항과 누설리액턴스는 무시한다)

   

     1. 5
     2. -5
     3. 6
     4. -6

     정답 : []
     정답률 : 59%

10. 타여자 직류발전기 A와 B가 병렬운전으로 130[A]의 부하전류를 공급하고 있다. 전기자 저항이 RA=0.2[Ω]와 RB=0.3[Ω]일 때, 각 발전기의 분담전류 IA[A]와 IB[A]는? (단, A와 B의 유기기전력은 같다.)

    

     1.
     2.
     3.
     4.

     정답 : []
     정답률 : 76%

11. 그림과 같은 3상 유도전동기의 토크 속도 특성 곡선에서 정상 운전 범위로 옳은 것은?

    

     1. Ts-Tm구간
     2. Tm-Tn구간
     3. Tn-Tr구간
     4. Tr-Te구간

     정답 : []
     정답률 : 62%

12. 변압기유에 대한 설명으로 옳지 않은 것은?
     1. 절연 내력이 커야 한다.
     2. 인화점이 낮아야 한다.
     3. 절연재료 및 금속과 접하여도 화학작용을 일으키지 않아야 한다.
     4. 유동성이 풍부하고 비열이 커서 냉각효과가 커야 한다.

     정답 : []
     정답률 : 84%

13. 유도기의 기동 및 운전에 대한 설명으로 옳지 않은 것은?
     1. 농형 유도전동기의 속도 제어 방법에는 주파수 제어, 극수 변환, 2차 저항법, 전압 제어 등이 있다.
     2. 유도전동기를 신속히 정지시키기 위해서 역상 제동법을 사용할 수 있다.
     3. 농형 유도전동기의 기동 특성과 운전 특성을 조정하기 위해 이중농형, 심구형 회전자가 사용된다.
     4. 순수한 단상 유도전동기는 기동토크가 없어 기동 보조장치가 필요하다.

     정답 : []
     정답률 : 71%

14. 변압기의 1차측 전압은 220[V]이다. 다음의 변압기 등가회로에서 무부하전류가 0.5[A]이고 철손이 66[W]일 때, 자화전류[A]는? (단, 1차측 권선저항과 누설리액턴스는 무시한다)

    

     1. 0.3
     2. 0.4
     3. 0.5
     4. 0.6

     정답 : []
     정답률 : 59%

15. 동기발전기의 권선법에 대한 설명으로 옳은 것은?
     1. 분포권은 집중권에 비하여 합성 유기기전력이 크다.
     2. 단절권은 전절권에 비하여 합성 유기기전력이 크다.
     3. 단절권은 전절권에 비하여 고조파성분이 감소한다.
     4. 분포권은 집중권에 비하여 코일에서 발생하는 열이 일부분에 집중된다.

     정답 : []
     정답률 : 71%

16. 브러시리스 직류전동기의 특징으로 옳지 않은 것은?
     1. 수명이 길고 잡음이 적다.
     2. 전기자가 회전하는 구조를 가진다.
     3. 구동전류는 구형파 또는 준구형파 형태이다.
     4. 회전자 위치 검출 용도로 홀 센서가 사용된다.

     정답 : []
     정답률 : 55%

17. 마그네틱 토크와 릴럭턴스 토크 모두 사용 가능한 전동기는?
     1. 스위치드 릴럭턴스 전동기
     2. 릴럭턴스 동기전동기
     3. 표면부착형 영구자석 동기전동기
     4. 매입형 영구자석 동기전동기

     정답 : []
     정답률 : 50%
     <문제 해설>
마그네틱
표면부착형 영구자석 동기전동기
유도전동기
직류전동기

마그네틱 + 릴럭턴스
삽입형 영구자석 동기 전동기
매입형 영구자석 동기전동기
영구자석형 릴럭턴스 동기전동기

릴럴턱스
스위치드 릴럭턴스 전동기
릴럭턴스 동기전동기
[해설작성자 : 공시돌이]

18. 무부하 상태에서 분권 직류발전기의 계자 저항이 80[Ω], 계자 전류가 1.5[A], 전기자 저항이 2[Ω]일 때, 단자전압 Vt[V]와 유기기전력 E[V]는?

    

     1.
     2.
     3.
     4.

     정답 : []
     정답률 : 73%

19. 그림과 같은 단상 다이오드 정류회로에 대한 설명으로 옳지 않은 것은? (단, 정류회로는 정상상태이며 시정수 L/R 은 충분히 크다)

    

     1. 유도성 부하에 축적된 에너지 소모를 위한 경로가 있다.
     2. DF는 부하전류 Io를 평활화하는 역할을 한다.
     3. DF를 제거 시, 출력전압 Vo의 평균값이 증가한다.
     4. 교류전압 한 주기 동안의 인덕터 전압의 평균값은 0이다.

     정답 : []
     정답률 : 54%

20. 동기전동기가 동기속도로 운전되기 위한 기동법으로 옳지 않은 것은? (단, 계자 권선에는 전원이 인가되어 있다)
     1. 주파수 제어에 의한 기동법
     2. 원동기에 의한 기동법
     3. 제동권선에 의한 기동법
     4. 전압 증가에 의한 기동법

     정답 : []
     정답률 : 49%


정 답 지

9급 국가직 공무원 전기기기 필기 기출문제(해설) 및 CBT 2021년04월17일

최강 자격증 기출문제 전자문제집 CBT : www.comcbt.com


전자문제집 CBT란?
종이 문제집이 아닌 인터넷으로 문제를 풀고 자동으로 채점하며 모의고사, 오답 노트, 해설까지 제공하는
무료 기출문제 학습 프로그램으로 실제 상설검정에서 사용하는 OMR 형식의 CBT를 제공합니다.

최신 9급 국가직 공무원 전기기기 필기 기출문제 : [다운로드]


1. 직권 직류전동기에 대한 설명으로 옳지 않은 것은?
     1. 자속이 포화되기 전까지 토크는 전기자 전류의 제곱에 비례한다.
     2. 크레인용 전동기와 같이 매우 큰 토크가 필요한 곳에 적합하다.
     3. 무부하 상태로 연결하여 동작하는 것을 피해야 한다.
     4. 토크가 커질수록 높은 속도를 얻을 수 있다.

     정답 : []
     정답률 : 81%
     <문제 해설>
T ∝ I^2 ∝ 1/N^2
위와 같이 토크는 전류 제곱과 비례하고 회전 속도의 제곱의 반비례함.
[해설작성자 : 군무원희망자]

2. V-V 결선에 대한 설명으로 옳지 않은 것은?
     1. 소용량 3상 부하에 사용할 수 있다.
     2. △-△ 결선에서 1대의 변압기가 고장 나면 V-V 결선으로 운전할 수 있다.
     3. △-△ 결선의 출력에 비하여 부하용량은 86.6[%], 이용률은 57.7[%]로 줄어든다.
     4. 부하의 상태에 따라 2차 단자전압이 불평형이 될 수 있다.

     정답 : []
     정답률 : 74%

3. 다음 그림의 DC-DC 컨버터 명칭과 정상상태에서의 입출력전압의 관계는? (단, TD는 SW의 duty ratio이다)

   

     1. 벅 컨버터,
     2. 벅 컨버터,
     3. 부스트 컨버터,
     4. 부스트 컨버터,

     정답 : []
     정답률 : 63%

4. 8극, 60[Hz], 12[kW]인 3상 유도전동기가 전부하 시 720[rpm]으로 회전할 때, 옳은 것은? (단, 기계손은 무시한다)
     1. 회전자 전류의 주파수는 12[Hz]이다.
     2. 회전자 효율은 90[%]이다.
     3. 공극전력(회전자 입력전력)은 13.3[kW]이다.
     4. 회전자 동손은 1.3[kW]이다.

     정답 : []
     정답률 : 69%

5. 다음의 동기기 등가회로와 벡터도에 대한 설명으로 옳지 않은 것은? (단, Xs는 동기리액턴스이다)

   

     1. 전동기로 동작하고 있다.
     2. 전류 Ia의 위상이 단자전압 Vt의 위상보다 뒤진다.
     3. 무효전력이 발생한다.
     4. 전류 Ia가 줄어들면 유기기전력 Ea와 단자전압 Vt의 크기 차이는 감소한다.

     정답 : []
     정답률 : 53%
     <문제 해설>
유기기전력E에서 단자전압V로 전류가 흐름 : 발전기
[해설작성자 : 80점만]

6. 다음은 전력변환시스템의 전력단을 역할에 따라 블록으로 구분한 그림이다. 각 블록에 대한 설명으로 옳은 것은?

   

     1. A블록은 3상 교류입력전압을 정류하는 3상 다이오드 반파정류기이다.
     2. B블록은 A블록의 출력전압을 평활화하기 위한 목적으로 사용된다.
     3. C블록은 교류신호를 직류신호로 변환하는 인버터를 나타낸다.
     4. 선형변조 시 C블록의 PWM 스위칭주파수가 출력전압의 주파수보다 높을수록 출력전압의 고조파 제거가 어렵다.

     정답 : []
     정답률 : 64%
     <문제 해설>
1. 3상 전파 정류기, 3상반파는 다이오드 3개
3. 인버터는 직류신호를 교류신호로 변환
[해설작성자 : 80점만]

7. 유도전동기에 대한 설명으로 옳지 않은 것은?
     1. 회전자에 흐르는 전류는 지상전류이다.
     2. 정격속도로 운전할 때보다 기동 시의 2차측 누설리액턴스가 크다.
     3. 슬립 s에서 유도전동기의 이론적인 최고효율은 1-s 이다.
     4. 변압기에 비하여 일반적으로 누설리액턴스가 작다.

     정답 : []
     정답률 : 59%
     <문제 해설>
2. 기동시 s=1 (2차측: sE, r2, sx2) -> 2차측리액턴스 최대
     운전시 0<s<1 -> 2차측 리액턴스는 기동시보다 작음
[해설작성자 : 공시돌이]

8. 직류전동기의 기동 방법에 대한 설명으로 옳은 것은?
     1. 전기자 저항은 크게 하고 계자 저항은 최소로 한다.
     2. 전기자 저항은 크게 하고 계자 저항은 최대로 한다.
     3. 전기자 저항은 작게 하고 계자 저항은 최소로 한다.
     4. 전기자 저항은 작게 하고 계자 저항은 최대로 한다.

     정답 : []
     정답률 : 65%

9. 15,000/200[V], 10[kVA]인 변압기의 등가회로는 다음과 같다. 변압기의 출력전압이 정격전압이라 가정하고 0.8 지상역률 정격부하에서 운전되고 있을 때, 전압변동률[%]은? (단, 1차측 권선저항과 누설리액턴스는 무시한다)

   

     1. 5
     2. -5
     3. 6
     4. -6

     정답 : []
     정답률 : 59%

10. 타여자 직류발전기 A와 B가 병렬운전으로 130[A]의 부하전류를 공급하고 있다. 전기자 저항이 RA=0.2[Ω]와 RB=0.3[Ω]일 때, 각 발전기의 분담전류 IA[A]와 IB[A]는? (단, A와 B의 유기기전력은 같다.)

    

     1.
     2.
     3.
     4.

     정답 : []
     정답률 : 76%

11. 그림과 같은 3상 유도전동기의 토크 속도 특성 곡선에서 정상 운전 범위로 옳은 것은?

    

     1. Ts-Tm구간
     2. Tm-Tn구간
     3. Tn-Tr구간
     4. Tr-Te구간

     정답 : []
     정답률 : 62%

12. 변압기유에 대한 설명으로 옳지 않은 것은?
     1. 절연 내력이 커야 한다.
     2. 인화점이 낮아야 한다.
     3. 절연재료 및 금속과 접하여도 화학작용을 일으키지 않아야 한다.
     4. 유동성이 풍부하고 비열이 커서 냉각효과가 커야 한다.

     정답 : []
     정답률 : 84%

13. 유도기의 기동 및 운전에 대한 설명으로 옳지 않은 것은?
     1. 농형 유도전동기의 속도 제어 방법에는 주파수 제어, 극수 변환, 2차 저항법, 전압 제어 등이 있다.
     2. 유도전동기를 신속히 정지시키기 위해서 역상 제동법을 사용할 수 있다.
     3. 농형 유도전동기의 기동 특성과 운전 특성을 조정하기 위해 이중농형, 심구형 회전자가 사용된다.
     4. 순수한 단상 유도전동기는 기동토크가 없어 기동 보조장치가 필요하다.

     정답 : []
     정답률 : 71%

14. 변압기의 1차측 전압은 220[V]이다. 다음의 변압기 등가회로에서 무부하전류가 0.5[A]이고 철손이 66[W]일 때, 자화전류[A]는? (단, 1차측 권선저항과 누설리액턴스는 무시한다)

    

     1. 0.3
     2. 0.4
     3. 0.5
     4. 0.6

     정답 : []
     정답률 : 59%

15. 동기발전기의 권선법에 대한 설명으로 옳은 것은?
     1. 분포권은 집중권에 비하여 합성 유기기전력이 크다.
     2. 단절권은 전절권에 비하여 합성 유기기전력이 크다.
     3. 단절권은 전절권에 비하여 고조파성분이 감소한다.
     4. 분포권은 집중권에 비하여 코일에서 발생하는 열이 일부분에 집중된다.

     정답 : []
     정답률 : 71%

16. 브러시리스 직류전동기의 특징으로 옳지 않은 것은?
     1. 수명이 길고 잡음이 적다.
     2. 전기자가 회전하는 구조를 가진다.
     3. 구동전류는 구형파 또는 준구형파 형태이다.
     4. 회전자 위치 검출 용도로 홀 센서가 사용된다.

     정답 : []
     정답률 : 55%

17. 마그네틱 토크와 릴럭턴스 토크 모두 사용 가능한 전동기는?
     1. 스위치드 릴럭턴스 전동기
     2. 릴럭턴스 동기전동기
     3. 표면부착형 영구자석 동기전동기
     4. 매입형 영구자석 동기전동기

     정답 : []
     정답률 : 50%
     <문제 해설>
마그네틱
표면부착형 영구자석 동기전동기
유도전동기
직류전동기

마그네틱 + 릴럭턴스
삽입형 영구자석 동기 전동기
매입형 영구자석 동기전동기
영구자석형 릴럭턴스 동기전동기

릴럴턱스
스위치드 릴럭턴스 전동기
릴럭턴스 동기전동기
[해설작성자 : 공시돌이]

18. 무부하 상태에서 분권 직류발전기의 계자 저항이 80[Ω], 계자 전류가 1.5[A], 전기자 저항이 2[Ω]일 때, 단자전압 Vt[V]와 유기기전력 E[V]는?

    

     1.
     2.
     3.
     4.

     정답 : []
     정답률 : 73%

19. 그림과 같은 단상 다이오드 정류회로에 대한 설명으로 옳지 않은 것은? (단, 정류회로는 정상상태이며 시정수 L/R 은 충분히 크다)

    

     1. 유도성 부하에 축적된 에너지 소모를 위한 경로가 있다.
     2. DF는 부하전류 Io를 평활화하는 역할을 한다.
     3. DF를 제거 시, 출력전압 Vo의 평균값이 증가한다.
     4. 교류전압 한 주기 동안의 인덕터 전압의 평균값은 0이다.

     정답 : []
     정답률 : 54%

20. 동기전동기가 동기속도로 운전되기 위한 기동법으로 옳지 않은 것은? (단, 계자 권선에는 전원이 인가되어 있다)
     1. 주파수 제어에 의한 기동법
     2. 원동기에 의한 기동법
     3. 제동권선에 의한 기동법
     4. 전압 증가에 의한 기동법

     정답 : []
     정답률 : 49%


정 답 지

1

2

3

4

5

6

7

8

9

10

11

12

13

14

15

16

17

18

19

20

9급 국가직 공무원 전기기기 필기 기출문제(해설) 및 CBT 2021년04월17일을 이용해 주셔서 감사합니다.
, 필기, 기출문제, 전자문제집, CBT, 온라인, 모의테스트, 모의고사



List of Articles
번호 제목 글쓴이 날짜 조회 수
23439 9급 지방직 공무원 전기기기 필기 기출문제(해설) 및 CBT 2009년05월23일 좋은아빠되기 2025.11.27 1
» 9급 국가직 공무원 전기기기 필기 기출문제(해설) 및 CBT 2021년04월17일 좋은아빠되기 2025.11.27 1
23437 9급 지방직 공무원 임업경영 필기 기출문제(해설) 및 CBT 2017년06월17일 좋은아빠되기 2025.11.27 1
23436 PSAT 언어논리 필기 기출문제(해설) 및 CBT 2015년02월07일 좋은아빠되기 2025.11.27 1
23435 전자기능장 필기 기출문제(해설) 및 CBT 모의고사(2025년 11월 27일)(1967150) 좋은아빠되기 2025.11.27 1
23434 자동차차체수리기능사 필기 기출문제(해설) 및 CBT 2002년04월07일(2회) 좋은아빠되기 2025.11.27 1
23433 9급 지방직 공무원 회계학 필기 기출문제(해설) 및 CBT 모의고사(2025년 11월 27일)(4932677) 좋은아빠되기 2025.11.27 1
23432 9급 지방직 공무원 서울시 컴퓨터일반 필기 기출문제(해설) 및 CBT 2019년06월15일 좋은아빠되기 2025.11.27 1
23431 9급 국가직 공무원 재배학개론 필기 기출문제(해설) 및 CBT 2011년04월09일 좋은아빠되기 2025.11.27 1
23430 초음파비파괴검사산업기사 필기 기출문제(해설) 및 CBT 2014년03월02일 좋은아빠되기 2025.11.27 1
23429 9급 지방직 공무원 서울시 건축구조 필기 기출문제(해설) 및 CBT 2018년06월23일 좋은아빠되기 2025.11.27 1
23428 바리스타 2급 필기 기출문제(해설) 및 CBT 2010년05월22일 좋은아빠되기 2025.11.27 1
23427 비서 3급 필기 기출문제(해설) 및 CBT 2019년11월10일 좋은아빠되기 2025.11.27 2
23426 실내건축기능사 필기 기출문제(해설) 및 CBT 2004년04월04일(2회) 좋은아빠되기 2025.11.27 1
23425 9급 지방직 공무원 서울시 생물 필기 기출문제(해설) 및 CBT 2016년06월25일 좋은아빠되기 2025.11.27 1
23424 전자계산기기능사 필기 기출문제(해설) 및 CBT 2009년01월18일(1회) 좋은아빠되기 2025.11.27 2
23423 TAT 2급 필기 기출문제(해설) 및 CBT 2018년04월21일 좋은아빠되기 2025.11.27 1
23422 경비지도사 1차(법학개론,민간경비론) 필기 기출문제(해설) 및 CBT 2014년11월15일 좋은아빠되기 2025.11.27 2
23421 경비지도사 2차(경호학) 필기 기출문제(해설) 및 CBT 2018년11월17일 좋은아빠되기 2025.11.27 1
23420 9급 지방직 공무원 전기기기 필기 기출문제(해설) 및 CBT 2009년05월23일 좋은아빠되기 2025.11.27 1
Board Pagination Prev 1 ... 6 7 8 9 10 11 12 13 14 15 ... 1182 Next
/ 1182