자격증 필기 기출문제



9급 지방직 공무원 정보보호론 필기 기출문제(해설) 및 CBT 2021년06월05일

최강 자격증 기출문제 전자문제집 CBT : www.comcbt.com


전자문제집 CBT란?
종이 문제집이 아닌 인터넷으로 문제를 풀고 자동으로 채점하며 모의고사, 오답 노트, 해설까지 제공하는
무료 기출문제 학습 프로그램으로 실제 상설검정에서 사용하는 OMR 형식의 CBT를 제공합니다.

최신 9급 지방직 공무원 정보보호론 필기 기출문제 : [다운로드]


1. 보안의 3대 요소 중 적절한 권한을 가진 사용자가 인가한 방법으로만 정보를 변경할 수 있도록 하는 것은?
     1. 무결성(integrity)
     2. 기밀성(confidentiality)
     3. 가용성(availability)
     4. 접근성(accessability)

     정답 : []
     정답률 : 65%
     <문제 해설>
보안 3대 요소 = 무결성, 기밀성, 가용성
무결성 = 변경 (허락된 사람에 의해서만 데이터 변경 가능)
기밀성 = 접근 허용 (인가된 사용자만 접근 허용)
가용성 = 접근가능 (필요한 시간에 정보 접근 가능)
[해설작성자 : 만지]

2. 스트림 암호에 대한 설명으로 옳지 않은 것은?
     1. 데이터의 흐름을 순차적으로 처리해 가는 암호 알고리즘이다.
     2. 이진화된 평문 스트림과 이진 키스트림 수열의 XOR 연산으로 암호문을 생성하는 방식이다.
     3. 스트림 암호 알고리즘으로 RC5가 널리 사용된다.
     4. 구현이 용이하고 속도가 빠르다는 장점이 있다.

     정답 : []
     정답률 : 74%
     <문제 해설>
대칭키는 블록 암호화 알고리즘과 스트림 암호화 알고리즘으로 나뉜다
블록은 Feistal구조와 SPN구조로 나누며 예시로    RC5가 있고
스트림 예시엔 RC4가 있다
[해설작성자 : 만지]

3. DES(Data Encryption Standard)에 대한 설명으로 옳지 않은 것은?
     1. 1977년에 미국 표준 블록 암호 알고리즘으로 채택되었다.
     2. 64비트 평문 블록을 64비트 암호문으로 암호화한다.
     3. 페이스텔 구조(Feistel structure)로 구성된다.
     4. 내부적으로 라운드(round)라는 암호화 단계를 10번 반복해서 수행한다.

     정답 : []
     정답률 : 70%
     <문제 해설>
DES는 라운드 16회 합니당
(DES는 대칭키 - 블록암호화알고리즘 - Feistal구조)
DES = 64bit (56 + 8(검사용비트)) -> 16ROUND
4가지 모드가 있음(ECB, CBC, CFB, OFB)
+AES (128bit = 10라운드, 192bit = 12라운드, 256bit = 14라운드)
[해설작성자 : 만지]

4. 다음 (가)~(다)에 해당하는 악성코드를 옳게 짝 지은 것은?

   

     1.
     2.
     3.
     4.

     정답 : []
     정답률 : 82%

5. ISO 27001의 정보보호영역(통제분야)에 해당하지 않은 것은?
     1. 소프트웨어 품질 보증(Software Quality Assurance)
     2. 접근통제(Access Control)
     3. 암호화(Cryptography)
     4. 정보보안 사고관리(Information Security Incident Management)

     정답 : []
     정답률 : 70%

6. 암호화 알고리즘과 복호화 알고리즘에서 각각 다른 키를 사용하는 것은?
     1. SEED
     2. ECC
     3. AES
     4. IDEA

     정답 : []
     정답률 : 77%
     <문제 해설>
각각 다른 키 = 비대칭키 = 공개키
비밀키,대칭키 = DES, AES, SEED, skipjack, RC5, IDEA
비대칭키,공개키 = ECC(타원곡선), RSA(인수분해), ElGamal(이산대수)
[해설작성자 : 만지]

7. DoS(Denial of Service)의 공격유형이 아닌 것은?
     1. Race Condition
     2. TearDrop
     3. SYN Flooding
     4. Land Attack

     정답 : []
     정답률 : 81%
     <문제 해설>
Race Condition = 경합조건. 두개 이상의 프로세스나 스레드가 특정 자원에 동시접근 시도 시 발생하며 Dos와 관계없음
TearDrop = ip패킷 재조합 과정에서 잘못된 오프셋으로 문제 발생
SYN Flooding = 3way handshake원리를 이용한 공격으로 ack를 연속적으로 빠르게 보내는 공격이다.
Land Attack = 패킷의 출발지 주소와 목적지 주소 동일하게 하여 시스템 과부하
[해설작성자 : 만지]

8. 다음에서 설명하는 방화벽 구축 형태는?

   

     1. Bastion Host
     2. Dual Homed Gateway
     3. Screened Subnet Gateway
     4. Screened Host Gateway

     정답 : []
     정답률 : 62%
     <문제 해설>
2. dual homed G = 베스천호스트 1개 (NIC 2)
3. screened subnet G = 베스천호스트 1개, 스크린라우터 2개
4. screened host G = 베스천호스트 1개, 스크린라우터 1개
[해설작성자 : 만지]

9. 다음에서 설명하는 보안 기술은?

   

     1. HMAC(Hash based Message Authentication Code)
     2. Block Chain
     3. RSA(Rivest-Shamir-Adleman)
     4. ARIA(Academy, Research Institute, Agency)

     정답 : []
     정답률 : 79%
     <문제 해설>
HMAC: 일방향 해시 함수 이용, 메시지 인증코드를 구성
[해설작성자 : ㅁㄴㅇ]

10. 스미싱 공격에 대한 설명으로 옳지 않은 것은?
     1. 공격자는 주로 앱을 사용하여 공격한다.
     2. 스미싱은 개인 정보를 빼내는 사기 수법이다.
     3. 공격자는 사용자가 제대로 된 url을 입력하여도 원래 사이트와 유사한 위장 사이트로 접속시킨다.
     4. 공격자는 문자 메시지 링크를 이용한다.

     정답 : []
     정답률 : 77%
     <문제 해설>
파밍 : 사용자가 제대로된 URL을 입력해도 원래 사이트와 유사한 위장 사이트로 접속하는것
[해설작성자 : 탈론]

11. 디지털 포렌식을 통해 획득한 증거가 법적인 효력을 갖기 위해 만족해야 할 원칙이 아닌 것은?
     1. 정당성의 원칙
     2. 재현의 원칙
     3. 무결성의 원칙
     4. 기밀성의 원칙

     정답 : []
     정답률 : 76%
     <문제 해설>
디지털포렌식 기본원칙
정당성, 재현성, 신속성, 연계보관성, 무결성의 원칙
[해설작성자 : 만지]

12. 「개인정보 보호법」상의 개인정보에 대한 설명으로 옳지 않은 것은?
     1. 개인정보 보호위원회의 위원 임기는 3년이다.
     2. 개인정보는 가명처리를 할 수 없다.
     3. 개인정보 보호위원회의 위원은 대통령이 임명 또는 위촉한다.
     4. 개인정보처리자는 개인정보파일의 운용을 위하여 다른 사람을 통하여 개인정보를 처리할 수 있다.

     정답 : []
     정답률 : 69%
     <문제 해설>
2. 개인정보처리자는 동의없이 가명정보처리 가능하다고 합니다
[해설작성자 : 만지]

13. DoS 및 DDoS 공격 대응책으로 옳지 않은 것은?
     1. 방화벽 및 침입 탐지 시스템 설치와 운영
     2. 시스템 패치
     3. 암호화
     4. 안정적인 네트워크 설계

     정답 : []
     정답률 : 71%
     <문제 해설>
암호화는 기밀성 유지방법
[해설작성자 : 2022]

3. 암호화는 기밀성 공격 대응책이다.
Dos는 가용성 공격이다
[해설작성자 : 만지]

14. 국제 공통 평가기준(Common Criteria)에 대한 설명으로 옳지 않은 것은?
     1. CC는 국제적으로 평가 결과를 상호 인정한다.
     2. CC는 보안기능수준에 따라 평가 등급이 구분된다.
     3. 보안목표명세서는 평가 대상에 해당하는 정보보호 시스템의 보안 요구 사항, 보안 기능 명세 등을 서술한 문서이다.
     4. 보호프로파일은 보안 문제를 해결하기 위해 작성한 제품군별 구현에 독립적인 보안요구사항 등을 서술한 문서이다.

     정답 : []
     정답률 : 45%
     <문제 해설>
2. CC는 보안요구에 따라 평가등급이 구분된다.
[해설작성자 : 만지]

15. 생체인증(Biometrics)에 대한 설명으로 옳지 않은 것은?
     1. 생체 인증은 불변의 신체적 특성을 활용한다.
     2. 생체 인증은 지문, 홍채, 망막, 정맥 등의 특징을 활용한다.
     3. 얼굴은 행동적 특성을 이용한 인증 수단이다.
     4. 부정허용률(false acceptance rate)은 인증되지 않아야 할 사람을 인증한 값이다.

     정답 : []
     정답률 : 85%
     <문제 해설>
얼굴은 행동적 특성이 아닌 정적 특성을 이용한 인증수단이다.
행동적 특성으론 음성, 서명, 걸음걸이가 있다.
[해설작성자 : 만지]

16. 「정보통신망 이용촉진 및 정보보호 등에 관한 법률」 제45조의3(정보보호 최고책임자의 지정 등)에 따른 정보보호 최고책임자의 업무가 아닌 것은?
     1. 정보보호 사전 보안성 검토
     2. 정보보호 취약점 분석⋅평가 및 개선
     3. 중요 정보의 암호화 및 보안서버 적합성 검토
     4. 정보통신시설을 안정적으로 운영하기 위하여 대통령령으로 정하는 바에 따른 보호조치

     정답 : []
     정답률 : 47%
     <문제 해설>
4. 46조에 해당함

17. 정보보호 및 개인정보보호 관리체계 인증에 대한 설명으로 옳은 것은?
     1. 인증기관 지정의 유효기간은 2년이다.
     2. 사후심사는 인증 후 매년 사후관리를 위해 실시된다.
     3. 인증심사 기준은 12개 분야 92개 통제 사항이다.
     4. 인증심사원은 2개 등급으로 구분된다.

     정답 : []
     정답률 : 64%
     <문제 해설>
1. 인증기관 유효기관은 3년
3. 인증심사 기준은 21개의 분야 102개의 통제사항
4. 인증심사원은 3개의 등급으로 구분 (심사워보, 심사원, 선임심사원)
[해설작성자 : 만지]

18. PGP(Pretty Good Privacy)에 대한 설명으로 옳지 않은 것은?
     1. RSA를 이용하여 메시지 다이제스트를 서명한다.
     2. 세션 키는 여러 번 사용된다.
     3. 수신자는 자신의 개인키를 이용하여 세션 키를 복호화한다.
     4. 세션 키를 이용하여 메시지를 암ㆍ복호화한다.

     정답 : []
     정답률 : 66%
     <문제 해설>
세션키는 재사용 불가능합니다
[해설작성자 : 만지]

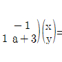
19. 다음에서 설명하는 블록암호 운영 모드는?

    

     1. CBC(Cipher Block Chaining Mode)
     2. CTR(Counter Mode)
     3. CFB(Cipher-Feed Back Mode)
     4. ECB(Electronic Code Book Mode)

     정답 : []
     정답률 : 69%

20. BCP(Business Continuity Planning)에 대한 설명으로 옳지 않은 것은?
     1. BCP는 사업의 연속성을 유지하기 위한 업무지속성 계획과 절차이다.
     2. BCP는 비상시에 프로세스의 운영 재개에 필요한 조치를 정의한다.
     3. BIA는 조직의 필요성에 의거하여 시스템의 중요성을 식별한다.
     4. DRP(Disaster Recovery Plan)는 최대허용중단시간(Maximum Tolerable Downtime)을 산정한다.

     정답 : []
     정답률 : 57%
     <문제 해설>
최대허용중단시간(Maximum Tolerable Downtime)는 BCP에서 산정.
[해설작성자 : ASO]


정 답 지

9급 지방직 공무원 정보보호론 필기 기출문제(해설) 및 CBT 2021년06월05일

최강 자격증 기출문제 전자문제집 CBT : www.comcbt.com


전자문제집 CBT란?
종이 문제집이 아닌 인터넷으로 문제를 풀고 자동으로 채점하며 모의고사, 오답 노트, 해설까지 제공하는
무료 기출문제 학습 프로그램으로 실제 상설검정에서 사용하는 OMR 형식의 CBT를 제공합니다.

최신 9급 지방직 공무원 정보보호론 필기 기출문제 : [다운로드]


1. 보안의 3대 요소 중 적절한 권한을 가진 사용자가 인가한 방법으로만 정보를 변경할 수 있도록 하는 것은?
     1. 무결성(integrity)
     2. 기밀성(confidentiality)
     3. 가용성(availability)
     4. 접근성(accessability)

     정답 : []
     정답률 : 65%
     <문제 해설>
보안 3대 요소 = 무결성, 기밀성, 가용성
무결성 = 변경 (허락된 사람에 의해서만 데이터 변경 가능)
기밀성 = 접근 허용 (인가된 사용자만 접근 허용)
가용성 = 접근가능 (필요한 시간에 정보 접근 가능)
[해설작성자 : 만지]

2. 스트림 암호에 대한 설명으로 옳지 않은 것은?
     1. 데이터의 흐름을 순차적으로 처리해 가는 암호 알고리즘이다.
     2. 이진화된 평문 스트림과 이진 키스트림 수열의 XOR 연산으로 암호문을 생성하는 방식이다.
     3. 스트림 암호 알고리즘으로 RC5가 널리 사용된다.
     4. 구현이 용이하고 속도가 빠르다는 장점이 있다.

     정답 : []
     정답률 : 74%
     <문제 해설>
대칭키는 블록 암호화 알고리즘과 스트림 암호화 알고리즘으로 나뉜다
블록은 Feistal구조와 SPN구조로 나누며 예시로    RC5가 있고
스트림 예시엔 RC4가 있다
[해설작성자 : 만지]

3. DES(Data Encryption Standard)에 대한 설명으로 옳지 않은 것은?
     1. 1977년에 미국 표준 블록 암호 알고리즘으로 채택되었다.
     2. 64비트 평문 블록을 64비트 암호문으로 암호화한다.
     3. 페이스텔 구조(Feistel structure)로 구성된다.
     4. 내부적으로 라운드(round)라는 암호화 단계를 10번 반복해서 수행한다.

     정답 : []
     정답률 : 70%
     <문제 해설>
DES는 라운드 16회 합니당
(DES는 대칭키 - 블록암호화알고리즘 - Feistal구조)
DES = 64bit (56 + 8(검사용비트)) -> 16ROUND
4가지 모드가 있음(ECB, CBC, CFB, OFB)
+AES (128bit = 10라운드, 192bit = 12라운드, 256bit = 14라운드)
[해설작성자 : 만지]

4. 다음 (가)~(다)에 해당하는 악성코드를 옳게 짝 지은 것은?

   

     1.
     2.
     3.
     4.

     정답 : []
     정답률 : 82%

5. ISO 27001의 정보보호영역(통제분야)에 해당하지 않은 것은?
     1. 소프트웨어 품질 보증(Software Quality Assurance)
     2. 접근통제(Access Control)
     3. 암호화(Cryptography)
     4. 정보보안 사고관리(Information Security Incident Management)

     정답 : []
     정답률 : 70%

6. 암호화 알고리즘과 복호화 알고리즘에서 각각 다른 키를 사용하는 것은?
     1. SEED
     2. ECC
     3. AES
     4. IDEA

     정답 : []
     정답률 : 77%
     <문제 해설>
각각 다른 키 = 비대칭키 = 공개키
비밀키,대칭키 = DES, AES, SEED, skipjack, RC5, IDEA
비대칭키,공개키 = ECC(타원곡선), RSA(인수분해), ElGamal(이산대수)
[해설작성자 : 만지]

7. DoS(Denial of Service)의 공격유형이 아닌 것은?
     1. Race Condition
     2. TearDrop
     3. SYN Flooding
     4. Land Attack

     정답 : []
     정답률 : 81%
     <문제 해설>
Race Condition = 경합조건. 두개 이상의 프로세스나 스레드가 특정 자원에 동시접근 시도 시 발생하며 Dos와 관계없음
TearDrop = ip패킷 재조합 과정에서 잘못된 오프셋으로 문제 발생
SYN Flooding = 3way handshake원리를 이용한 공격으로 ack를 연속적으로 빠르게 보내는 공격이다.
Land Attack = 패킷의 출발지 주소와 목적지 주소 동일하게 하여 시스템 과부하
[해설작성자 : 만지]

8. 다음에서 설명하는 방화벽 구축 형태는?

   

     1. Bastion Host
     2. Dual Homed Gateway
     3. Screened Subnet Gateway
     4. Screened Host Gateway

     정답 : []
     정답률 : 62%
     <문제 해설>
2. dual homed G = 베스천호스트 1개 (NIC 2)
3. screened subnet G = 베스천호스트 1개, 스크린라우터 2개
4. screened host G = 베스천호스트 1개, 스크린라우터 1개
[해설작성자 : 만지]

9. 다음에서 설명하는 보안 기술은?

   

     1. HMAC(Hash based Message Authentication Code)
     2. Block Chain
     3. RSA(Rivest-Shamir-Adleman)
     4. ARIA(Academy, Research Institute, Agency)

     정답 : []
     정답률 : 79%
     <문제 해설>
HMAC: 일방향 해시 함수 이용, 메시지 인증코드를 구성
[해설작성자 : ㅁㄴㅇ]

10. 스미싱 공격에 대한 설명으로 옳지 않은 것은?
     1. 공격자는 주로 앱을 사용하여 공격한다.
     2. 스미싱은 개인 정보를 빼내는 사기 수법이다.
     3. 공격자는 사용자가 제대로 된 url을 입력하여도 원래 사이트와 유사한 위장 사이트로 접속시킨다.
     4. 공격자는 문자 메시지 링크를 이용한다.

     정답 : []
     정답률 : 77%
     <문제 해설>
파밍 : 사용자가 제대로된 URL을 입력해도 원래 사이트와 유사한 위장 사이트로 접속하는것
[해설작성자 : 탈론]

11. 디지털 포렌식을 통해 획득한 증거가 법적인 효력을 갖기 위해 만족해야 할 원칙이 아닌 것은?
     1. 정당성의 원칙
     2. 재현의 원칙
     3. 무결성의 원칙
     4. 기밀성의 원칙

     정답 : []
     정답률 : 76%
     <문제 해설>
디지털포렌식 기본원칙
정당성, 재현성, 신속성, 연계보관성, 무결성의 원칙
[해설작성자 : 만지]

12. 「개인정보 보호법」상의 개인정보에 대한 설명으로 옳지 않은 것은?
     1. 개인정보 보호위원회의 위원 임기는 3년이다.
     2. 개인정보는 가명처리를 할 수 없다.
     3. 개인정보 보호위원회의 위원은 대통령이 임명 또는 위촉한다.
     4. 개인정보처리자는 개인정보파일의 운용을 위하여 다른 사람을 통하여 개인정보를 처리할 수 있다.

     정답 : []
     정답률 : 69%
     <문제 해설>
2. 개인정보처리자는 동의없이 가명정보처리 가능하다고 합니다
[해설작성자 : 만지]

13. DoS 및 DDoS 공격 대응책으로 옳지 않은 것은?
     1. 방화벽 및 침입 탐지 시스템 설치와 운영
     2. 시스템 패치
     3. 암호화
     4. 안정적인 네트워크 설계

     정답 : []
     정답률 : 71%
     <문제 해설>
암호화는 기밀성 유지방법
[해설작성자 : 2022]

3. 암호화는 기밀성 공격 대응책이다.
Dos는 가용성 공격이다
[해설작성자 : 만지]

14. 국제 공통 평가기준(Common Criteria)에 대한 설명으로 옳지 않은 것은?
     1. CC는 국제적으로 평가 결과를 상호 인정한다.
     2. CC는 보안기능수준에 따라 평가 등급이 구분된다.
     3. 보안목표명세서는 평가 대상에 해당하는 정보보호 시스템의 보안 요구 사항, 보안 기능 명세 등을 서술한 문서이다.
     4. 보호프로파일은 보안 문제를 해결하기 위해 작성한 제품군별 구현에 독립적인 보안요구사항 등을 서술한 문서이다.

     정답 : []
     정답률 : 45%
     <문제 해설>
2. CC는 보안요구에 따라 평가등급이 구분된다.
[해설작성자 : 만지]

15. 생체인증(Biometrics)에 대한 설명으로 옳지 않은 것은?
     1. 생체 인증은 불변의 신체적 특성을 활용한다.
     2. 생체 인증은 지문, 홍채, 망막, 정맥 등의 특징을 활용한다.
     3. 얼굴은 행동적 특성을 이용한 인증 수단이다.
     4. 부정허용률(false acceptance rate)은 인증되지 않아야 할 사람을 인증한 값이다.

     정답 : []
     정답률 : 85%
     <문제 해설>
얼굴은 행동적 특성이 아닌 정적 특성을 이용한 인증수단이다.
행동적 특성으론 음성, 서명, 걸음걸이가 있다.
[해설작성자 : 만지]

16. 「정보통신망 이용촉진 및 정보보호 등에 관한 법률」 제45조의3(정보보호 최고책임자의 지정 등)에 따른 정보보호 최고책임자의 업무가 아닌 것은?
     1. 정보보호 사전 보안성 검토
     2. 정보보호 취약점 분석⋅평가 및 개선
     3. 중요 정보의 암호화 및 보안서버 적합성 검토
     4. 정보통신시설을 안정적으로 운영하기 위하여 대통령령으로 정하는 바에 따른 보호조치

     정답 : []
     정답률 : 47%
     <문제 해설>
4. 46조에 해당함

17. 정보보호 및 개인정보보호 관리체계 인증에 대한 설명으로 옳은 것은?
     1. 인증기관 지정의 유효기간은 2년이다.
     2. 사후심사는 인증 후 매년 사후관리를 위해 실시된다.
     3. 인증심사 기준은 12개 분야 92개 통제 사항이다.
     4. 인증심사원은 2개 등급으로 구분된다.

     정답 : []
     정답률 : 64%
     <문제 해설>
1. 인증기관 유효기관은 3년
3. 인증심사 기준은 21개의 분야 102개의 통제사항
4. 인증심사원은 3개의 등급으로 구분 (심사워보, 심사원, 선임심사원)
[해설작성자 : 만지]

18. PGP(Pretty Good Privacy)에 대한 설명으로 옳지 않은 것은?
     1. RSA를 이용하여 메시지 다이제스트를 서명한다.
     2. 세션 키는 여러 번 사용된다.
     3. 수신자는 자신의 개인키를 이용하여 세션 키를 복호화한다.
     4. 세션 키를 이용하여 메시지를 암ㆍ복호화한다.

     정답 : []
     정답률 : 66%
     <문제 해설>
세션키는 재사용 불가능합니다
[해설작성자 : 만지]

19. 다음에서 설명하는 블록암호 운영 모드는?

    

     1. CBC(Cipher Block Chaining Mode)
     2. CTR(Counter Mode)
     3. CFB(Cipher-Feed Back Mode)
     4. ECB(Electronic Code Book Mode)

     정답 : []
     정답률 : 69%

20. BCP(Business Continuity Planning)에 대한 설명으로 옳지 않은 것은?
     1. BCP는 사업의 연속성을 유지하기 위한 업무지속성 계획과 절차이다.
     2. BCP는 비상시에 프로세스의 운영 재개에 필요한 조치를 정의한다.
     3. BIA는 조직의 필요성에 의거하여 시스템의 중요성을 식별한다.
     4. DRP(Disaster Recovery Plan)는 최대허용중단시간(Maximum Tolerable Downtime)을 산정한다.

     정답 : []
     정답률 : 57%
     <문제 해설>
최대허용중단시간(Maximum Tolerable Downtime)는 BCP에서 산정.
[해설작성자 : ASO]


정 답 지

1

2

3

4

5

6

7

8

9

10

11

12

13

14

15

16

17

18

19

20

9급 지방직 공무원 정보보호론 필기 기출문제(해설) 및 CBT 2021년06월05일을 이용해 주셔서 감사합니다.
, 필기, 기출문제, 전자문제집, CBT, 온라인, 모의테스트, 모의고사



List of Articles
번호 제목 글쓴이 날짜 조회 수
25421 9급 지방직 공무원 행정법총론 필기 기출문제(해설) 및 CBT 모의고사(2025년 12월 03일)(6677251) new 좋은아빠되기 2025.12.03 1
25420 패션머천다이징산업기사 필기 기출문제(해설) 및 CBT 모의고사(2025년 12월 03일)(5596253) new 좋은아빠되기 2025.12.03 1
25419 9급 지방직 공무원 간호관리 필기 기출문제(해설) 및 CBT 2020년06월13일 new 좋은아빠되기 2025.12.03 0
25418 9급 지방직 공무원 재난관리론 필기 기출문제(해설) 및 CBT 2015년06월27일 new 좋은아빠되기 2025.12.03 1
25417 특수용접기능사 필기 기출문제(해설) 및 CBT 모의고사(2025년 12월 03일)(9583712) new 좋은아빠되기 2025.12.03 1
25416 전자캐드기능사 필기 기출문제(해설) 및 CBT 2009년07월12일(4회) new 좋은아빠되기 2025.12.03 1
25415 종자산업기사 필기 기출문제(해설) 및 CBT 2008년03월02일 new 좋은아빠되기 2025.12.03 1
25414 9급 지방직 공무원 서울시 수학(지적) 필기 기출문제(해설) 및 CBT 2016년06월25일 new 좋은아빠되기 2025.12.03 1
» 9급 지방직 공무원 정보보호론 필기 기출문제(해설) 및 CBT 2021년06월05일 new 좋은아빠되기 2025.12.03 1
25412 경비지도사 2차(기계경비기획및설계) 필기 기출문제(해설) 및 CBT 모의고사(2025년 12월 03일)(9338254) new 좋은아빠되기 2025.12.03 1
25411 기계정비기능사 필기 기출문제(해설) 및 CBT 2007년07월15일(4회) new 좋은아빠되기 2025.12.03 1
25410 리눅스마스터 2급 필기 기출문제(해설) 및 CBT 2017년09월09일 new 좋은아빠되기 2025.12.03 2
25409 정밀측정산업기사 필기 기출문제(해설) 및 CBT 2017년03월05일 new 좋은아빠되기 2025.12.03 1
25408 초음파비파괴검사기사(구) 필기 기출문제(해설) 및 CBT 2005년08월07일 new 좋은아빠되기 2025.12.03 1
25407 워드프로세서 (구 1급) 필기 기출문제(해설) 및 CBT 모의고사(2025년 12월 03일)(968424) new 좋은아빠되기 2025.12.03 1
25406 품질경영기사 필기 기출문제(해설) 및 CBT 모의고사(2025년 12월 03일)(6655070) new 좋은아빠되기 2025.12.03 1
25405 9급 지방직 공무원 건축계획 필기 기출문제(해설) 및 CBT 2017년12월16일 new 좋은아빠되기 2025.12.03 1
25404 수질환경기사 필기 기출문제(해설) 및 CBT 2017년03월05일 new 좋은아빠되기 2025.12.03 1
25403 사회복지사 1급(1교시) 필기 기출문제(해설) 및 CBT 2025년01월11일 new 좋은아빠되기 2025.12.03 1
25402 9급 국가직 공무원 조경학 필기 기출문제(해설) 및 CBT 2020년07월11일 new 좋은아빠되기 2025.12.03 1
Board Pagination Prev 1 2 3 4 5 6 7 8 9 10 ... 1274 Next
/ 1274