자격증 필기 기출문제



공조냉동기계기사(구) 필기 기출문제(해설) 및 CBT 2009년03월01일

최강 자격증 기출문제 전자문제집 CBT : www.comcbt.com


전자문제집 CBT란?
종이 문제집이 아닌 인터넷으로 문제를 풀고 자동으로 채점하며 모의고사, 오답 노트, 해설까지 제공하는
무료 기출문제 학습 프로그램으로 실제 상설검정에서 사용하는 OMR 형식의 CBT를 제공합니다.

최신 공조냉동기계기사(구) 필기 기출문제 : [다운로드]


1과목 : 기계열역학


1. 절대온도가 T1, T2인 두 물체 사이에 열량 Q가 전달될 때 이 두 물체가 이루는 계의 엔트로피 변화는? (단, T1 > T2 이다.)
     1.
     2.
     3.
     4.

     정답 : []
     정답률 : 41%

2. 견고한 밀폐용기 속에 300kPa, 0℃ 인 이상기체가 들어있다. 이 이상기체를 100℃까지 가열하였을 때 증가한 압력은 약 몇 kPa 인가?
     1. 110
     2. 260
     3. 380
     4. 710

     정답 : []
     정답률 : 58%
     <문제 해설>
373/273 = x/300    x=409.89
[해설작성자 : 천강북두]

3. 다음 그림은 순수물질의 압력-온도 선도이다. 옳게 설명한 것은?

   

     1. K는 임계점이고, TA는 융해곡선이다.
     2. T는 임계점이고, OT는 증발곡선이다.
     3. K는 임계점이고, TK는 승화곡선이다.
     4. T는 임계점이고, OT는 승화곡선이다.

     정답 : []
     정답률 : 48%

4. 공기 1kg이 50kPa, 3m3인 상태로부터 900kPa, 0.5m3인 상태로 변화할 때 내부에너지 증가가 160kJ이었다. 이 경우 엔탈피 증가는 몇 kJ 인가?
     1. 30
     2. 185
     3. 235
     4. 460

     정답 : []
     정답률 : 57%
     <문제 해설>
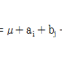
엔탈피H = U + PV
이므로
dH = dU +(P2V2-P1V1)이라고 할 수 있다.

dH = 160 + (900*0.5 - 50*3) = 460KJ
[해설작성자 : 건전한자]

5. 순수한 물질로 되어 있는 밀폐계가 단열과정 중에 수행한 일의 절대값에 관련된 설명으로 옳은 것은? (단, 운동에너지와 위치에너지의 변화는 무시한다.)
     1. 엔탈피의 변화량과 같다.
     2. 내부 에너지의 변화량과 같다.
     3. 일의 수행은 있을 수 없다.
     4. 정압과정에서 이루어진 일의 양과 같다.

     정답 : []
     정답률 : 67%

6. 밀폐 시스템이 압력 P1 = 200kPa, 체적 V1 = 0.1m3인 상태에서 P2 = 100kPa, V2 = 0.3m3인 상태까지 가역 팽창되었다. 이 과정이 P-V 선도에서 직선으로 표시된다면 이 과정 동안 시스템이 한 일은 약 몇 kJ 인가?
     1. 10
     2. 20
     3. 30
     4. 45

     정답 : []
     정답률 : 62%
     <문제 해설>
이해가 쉽게 P-V선도를 그려서 면적을 구하면된다.
(100*[0.3-0.1]) + 0.5([200-100]*[0.3-0.1]) = 30
[해설작성자 : comcbt.com 이용자]

7. 엔탈피 125kJ/kg인 물을 보일러에서 가열하여 엔탈피 2940kJ/kg인 증기를 시간당 10톤을 만든다. 이 증기를 증기터빈에 송압한 후 증기터빈의 출구에서 엔탈피가 2570kJ/kg이 되었다. 이 경우 보일러에서의 가열량은? (단, 보일러에서는 정압가열이며 터빈에서는 단열팽창이다.)
     1. 3.715×105 kJ/h
     2. 3.225×106 kJ/h
     3. 2.815×107 kJ/h
     4. 2.413×109 kJ/h

     정답 : []
     정답률 : 57%

8. 완전단열된 축전지를 전압 5V, 전류 2A로 1시간 동안 충전한다. 축전지를 검사 체적으로 하고 입력 동력과 행한 일은 각각 얼마인가?
     1. 10W, 36J
     2. 10W, 36kJ
     3. 10kW, 36J
     4. 10kW, 36kJ

     정답 : []
     정답률 : 64%
     <문제 해설>
입력 동력 P = VI이므로, 10W = 10J/S
행한일은 10J/S * 3600초(=1시간) = 36000J = 36KJ
[해설작성자 : 건전한자]

9. 일과 열의 출입이 없는 계에서 비가역과정(irreversible process)이 존재하면 엔트로피는?
     1. 항상 일정하다.
     2. 항상 감소한다.
     3. 항상 증가한다.
     4. 때로는 증가하고 때로는 감소한다.

     정답 : []
     정답률 : 70%

10. 온도가 127℃, 압력이 0.5MPa, 비체적이 0.4m3/kg인 이상기체가 같은 압력하에서 비체적이 0.3m3/kg으로 되었다면 온도는 약 몇 ℃ 인가?
     1. 16
     2. 27
     3. 96
     4. 300

     정답 : []
     정답률 : 60%

11. 100kPa, 20℃의 물을 매시간 3000kg씩 500kPa로 공급하기 위하여 소요되는 펌프의 동력은 약 몇 kW인가? (단, 펌프의 효율은 70%로 물의 비체적은 0.001m3/kg으로 본다.)
     1. 0.33
     2. 0.48
     3. 1.32
     4. 2.48

     정답 : []
     정답률 : 40%

12. 열역학 제2법칙에 대한 설명으로 옳은 것은?
     1. 과정(process)의 방향성을 제시한다.
     2. 에너지의 양을 결정한다.
     3. 에너지의 종류를 판단할 수 있다.
     4. 공학적 장치의 크기를 알 수 있다.

     정답 : []
     정답률 : 67%

13. 두께 10mm, 열전도율 15W/mㆍ℃ 인 금속 판의 두면의 온도가 각각 70℃와 50℃일 때 전열면 1m2당 1분 동안에 전달되는 열량은 몇 kJ인가?
     1. 1800
     2. 1400
     3. 92000
     4. 162000

     정답 : []
     정답률 : 72%

14. 공기 1kg이 압력 101.3kPa, 체적 0.85m3인 상태에서 온도가 300℃인 상태로 변화하였다. 이 과정에서 상승한 온도는? (단, 공기의 기체상수는 0.287kJ/kgㆍk 이다.)
     1. 273K
     2. 300K
     3. 546K
     4. 573K

     정답 : []
     정답률 : 54%

15. 초기의 상태가 300K, 0.5m3인 공기를 등온과정으로 150kPa에서 600kPa까지 천천히 압축하였다. 이 과정에서 공기를 압축하는데 필요한 일 에너지는 약 몇kJ인가?
     1. 104
     2. 208
     3. 304
     4. 612

     정답 : []
     정답률 : 57%

16. 다음 평형상태의 상에 관하여 설명한 것 중 틀린것은? (단, 물의 삼중점은 0.01℃, 0.611kPa이며, 임계점은 374℃, 22MPa이고, 1MPa에서 포화온도는 180℃이다.)
     1. 0.1℃, 0.001kPa에서 수증기이다.
     2. -30℃, 0.611kPa에서 고체이다.
     3. 180℃, 2MPa에서 액체이다.
     4. 374℃, 25MPa에서 기체이다.

     정답 : []
     정답률 : 36%

17. 포화액체와 포화증기의 구분이 없어지는 상태가 물의 경우 고온고압에서 나타난다. 이 상태를 표시하는 점을 무엇이라고 하는가?
     1. 삼중점
     2. 포화점
     3. 임계점
     4. 비점

     정답 : []
     정답률 : 72%

18. 실린더 내에 공기가 3kg 있다. 공기가 200kPa, 10℃인 상태에서 600kPa이 될 때까지 'PV1.3 = 일정'인 과정으로 압축된다. 이 과정에서 공기가 한 일은 약몇 kJ인가? (단, 공기의 기체상수는 0.287kJ/kgㆍK 이다.)
     1. -285
     2. -235
     3. 13
     4. 125

     정답 : []
     정답률 : 63%

19. 다음 중 물질의 양에 따라 변화하는 종량적 상태량은?
     1. 밀도
     2. 체적
     3. 온도
     4. 압력

     정답 : []
     정답률 : 74%

20. 다음 열역학시스템에 대한 설명 중 틀린 것은?
     1. 주위(surrounding)는 시스템을 포함하지 않는 모두 물질이다.
     2. 개방계에서 열은 경계를 지날 수 있다.
     3. 밀폐계에서 물질 및 일은 경계를 지날 수 없다.
     4. 단열계에서 열은 경계를 지날 수 없다.

     정답 : []
     정답률 : 59%

2과목 : 냉동공학


21. 냉각수 입구 온도가 32℃, 출구온도기 37℃, 냉각수량이 100l/min 인 수냉식 응축기가 있다. 압축기에 사용되는 동력이 8kW라면 이 냉동 장치의 냉동능력은 약 몇 냉동톤인가?
     1. 7RT
     2. 8RT
     3. 9RT
     4. 10RT

     정답 : []
     정답률 : 61%

22. 다음 사항은 증발기의 구조와 작용에 관한 설명이다. 이 중 옳은 것은?
     1. 동일 운전상태에서는 만액식 증발기가 건식 증발기 보다 열통과율이 나쁘다.
     2. 만액식 증발기에서 부하가 커지면 냉매 순환량이 작아진다.
     3. 건식 증발기는 주로 온도식 팽창밸브와 모세관을 팽창밸브로 사용한다.
     4. 증발기의 냉각능력은 전열면적이 작을수록 증가한다.

     정답 : []
     정답률 : 67%

23. 다음 그림은 T-S선도에 나타낸 냉동사이클이다. 압축일의 열당량을 나타낸 것은?

    

     1. 면적 A-B-C-D-E-I-A
     2. 면적 A-B-C-D-E-I-H-J-A
     3. 면적 A-B-C-D-E-G-H-I-A
     4. 면적 A-B-C-D-E-F-G-H-I-A

     정답 : []
     정답률 : 32%

24. 냉장고 단열벽의 열통과율을 0.24kcal/m2h℃, 고내 온도를 -5℃, 외기온도를 33℃, 단열벽의 면적을 500m2라 하면 이 벽에서 침입하는 열량은 몇 kcal/h인가?
     1. 4560 kcal/h
     2. 4350 kcal/h
     3. 4450 kcal/h
     4. 4260 kcal/h

     정답 : []
     정답률 : 69%

25. 다음 냉동기기에 관한 설명 중 옳은 것은?
     1. 온도 자동 팽창밸브는 증발기의 온도를 일정하게 유지 제어한다.
     2. 흡입압력 조정밸브는 압축기의 흡입압력이 설정치 이상이 되지 않도록 제어한다.
     3. 전자밸브를 설치할 경우 흐름방향을 생각할 필요는 없다.
     4. 고압축 플로트(float)밸브는 냉매액의 속도로써 제어한다.

     정답 : []
     정답률 : 61%

26. 2단 압축 1단팽창 냉동장치에서 각 점의 엔탈피는 다음의 P-h선도와 같다고 할 때 중간냉각기 냉매순환량(kg/h)은 얼마인가? (단, 냉동능력은 20 RT 이다.)

    

     1. 68.04
     2. 85.89
     3. 222.62
     4. 290.8

     정답 : []
     정답률 : 52%

27. 냉동장치에서 액압축이 일어나기 쉬운 조건이 아닌 것은?
     1. 팽창밸브의 개도가 과소할 때
     2. 냉동부하의 급격한 변동이 있을 때
     3. 운전 정지시에 액관의 밸브를 닫지 않았을 때
     4. 흡입관의 도중에 트랩 등 윤활유나 액냉매가 고이기 쉬운 부분이 있을 때

     정답 : []
     정답률 : 52%

28. 후레온(freon)계 냉매 중 R-22와 R-115의 혼합냉매는?
     1. R-717
     2. R-744
     3. R-500
     4. R-502

     정답 : []
     정답률 : 50%

29. 냉각수량 300ℓ/min, 전일면적 20m2, 냉각수 입구온도 24.5℃, 출구온도 29.5℃, 응축기의 열통과율 750kcal/m2h℃ 일 때 응축온도는?
     1. 24℃
     2. 28℃
     3. 30℃
     4. 33℃

     정답 : []
     정답률 : 53%
     <문제 해설>
300*60*5= 90000
750*20= 15000
90000/15000= 6
(24.5+29.5)/2= 27
27+6= '33'
750*20*(33-27)= 90000
[해설작성자 : dalma2018]

30. 모리엘 선도 내 등건조도선의 건조도 0.2는 무엇인가?
     1. 습증기 중의 건포화 증기 20%(중량비율)
     2. 습증기 중의 액체인 상태 20%(중량비율)
     3. 건증기 중의 건포화 증기 20%(중량비율)
     4. 건증기 중의 액체인 상태 20%(중량비율)

     정답 : []
     정답률 : 76%

31. 압축기의 피스톤 링이 현저하게 마모되면 압축기의 작용은 어떻게 되는지 다음 보기에서 옳은 것만 고른 것은?

    

     1. 1), 3)
     2. 1), 2)
     3. 2), 4)
     4. 3), 4)

     정답 : []
     정답률 : 74%

32. 암모니아 냉매를 사용하고 있는 과일 보관용 냉장 창고에서 암모니아가 누설되었을 때 보관 물품의 손상을 방지하기 위한 해결 방법으로 옳지 않은 것은?
     1. SO2로 중화시킨다.
     2. CO2로 중화시킨다.
     3. 환기시킨다.
     4. 물로 씻는다.

     정답 : []
     정답률 : 83%

33. 다음 중 모세관의 압력강하가 가장 큰 경우는?
     1. 직경이 가늘고 길수록
     2. 직경이 가늘고 짧을수록
     3. 직경이 굵고 짧을수록
     4. 직경이 굵고 길수록

     정답 : []
     정답률 : 85%

34. 암모니아 장치에 유분리기를 설치하려 한다. 유분리기를 어느 위치에 설치하면 작용이 양호한가?
     1. 증발기와 압축기 사이에서 증발기 가까운 쪽
     2. 증발기와 압축기 사이에서 압축기 가까운 쪽
     3. 압축기와 응축기 사이에서 응축기 가까운 쪽
     4. 압축기와 응축기 사이에서 압축기 가까운 쪽

     정답 : []
     정답률 : 57%
     <문제 해설>
암모니아 장치에서는 응축기 가까이
프레온 장치에서는 압축기 가까이
[해설작성자 : dalma2018]

35. 흡수식 냉동기의 재생기에 사용하는 열원으로 적당하지 않은 것은?
     1. 증가
     2. 버너
     3. 온수
     4. 냉수

     정답 : []
     정답률 : 59%

36. 축열시스템에 대한 설명으로 잘못된 것은?
     1. 열흐름에 관해서는 축열장치를 경유하는 전량축열과 일부열이 축열장치를 경유하는 부분축열이 있다.
     2. 열의 공급방법은 축열장치 단독으로 공급하는 방식과 축열장치의 열원장치에서 동시에 공급하는 방식이 있다.
     3. 축열 시간은 일반적으로 야간에 축열, 주간에 방열 하는 1일 사이클을 많이 사용한다.
     4. 수축열시스템이란 냉열을 얼음에 저장하는 방법으로 작은 체적에 효율적으로 냉열을 저장하는 방법이다.

     정답 : []
     정답률 : 75%

37. 독성이 거의 없고 금속에 대한 부식성이 적어 식품냉동에 사용되는 유기질 브라인(brine)은 다음 중 어느 것인가?
     1. 프로펠린 글리콜
     2. 식염수
     3. 염화칼슘
     4. 염화마그네슘

     정답 : []
     정답률 : 77%

38. 모리엘(P-h)선도상에서 응축온도를 일정하게 하고, 증발온도를 저하시킬 때 발생하는 현상으로 잘못된 것은?
     1. 소요 동력이 증대한다.
     2. 압축비가 감소한다.
     3. 냉동능력이 감소한다.
     4. 플래쉬 가스 발생량이 증가한다.

     정답 : []
     정답률 : 71%

39. 초저온동결에 액체질소를 사용할 때의 장점이라 할 수 없는 것은?
     1. 동결시간이 단축되어 연속작업이 가능하다.
     2. 급속동결이 가능하므로 품질이 우수하다.
     3. 동결건조가 일어나지 않는다.
     4. 발생되는 질소가스를 다시 사용할 수 있다.

     정답 : []
     정답률 : 69%

40. 흡수식 냉동장치를 이용함에 따른 특징이 아닌 것은?
     1. 초기 운전 시 정격 성능을 발휘할 때까지의 도달속도가 느리다.
     2. 대기압 이하에서 작동하므로 취급에 위험성이 완화 된다.
     3. 용액의 부식성이 크므로 기밀성 관리와 부식 억제제의 보충에 엄격한 주의가 필요하다.
     4. 야간에 열을 저장하였다가 주간의 부하에 대응할 수 있다.

     정답 : []
     정답률 : 72%

3과목 : 공기조화


41. 어떤 실태에 대한 냉방부하 계산 결과 현열부하 = qs, 잠열부하 = qi, 전부하 = qt 이었다. 실내온도 = tr, 토출공기온도 = td 라 하면 풍량 (Q = m3/h)은 어떻게 구하는가? (단, 공기의 비중량 = γ, 비열 Cp, 비체적 = v 이다.)
     1.
     2.
     3.
     4.

     정답 : []
     정답률 : 69%

42. 1000명을 수용하는 극장에서 1인당 CO2 토출량이 15ℓ/hr이면 실태 CO2량을 0.1%로 유지하는데 필요한 환기량은 몇 m3/hr인가? (단, 외기의 CO2량은 0.04%로 한다.)
     1. 2500
     2. 25000
     3. 3000
     4. 30000

     정답 : []
     정답률 : 79%

43. 외기의 건구온도 32℃와 환기의 건구온도 24℃인 공기를 1 : 3의 비율로 혼합하였다. 이 혼합공기의 온도는 몇 ℃인가?
     1. 26℃
     2. 28℃
     3. 29℃
     4. 30℃

     정답 : []
     정답률 : 77%

44. 다음 공조방식 중 전공기(全空氣) 방식이 아닌 것은?
     1. 각층 유니트 방식
     2. 2중 덕트 방식
     3. 단일 덕트 방식
     4. F.C 유니트 방식

     정답 : []
     정답률 : 83%

45. 두께 15cm, 열전도율 λ= 1.4kcal/mh℃인 철근콘크리트의 외벽체에 대한 열관류율 K cal/m2h℃의 값은 얼마인가? (단, 내측 표면 열전달률 αi = 8 kcal/m2h℃, 외측 표면 열전달율 αo = 20 kcal/m2h℃ 이다.)
     1. 0.1
     2. 3.5
     3. 5.9
     4. 7.6

     정답 : []
     정답률 : 70%

46. 다음 공기조화기에 관한 설명 중 옳은 것은?
     1. 유니트 히터는 가열코일과 팬, 케이싱으로 구성된다.
     2. 유인 유니트는 팬만을 내장하고 있다.
     3. 공기 세정기를 사용하는 경우에는 엘리미네이터를 사용하지 않아도 된다.
     4. 팬코일 유니트는 팬과 코일 및 냉동기로 구성된다.

     정답 : []
     정답률 : 67%
     <문제 해설>
유니트히터 = 팬 + 코일
유인유니트 = 배관 + 덕트
공기세정기는 세정후 공기중의 비산수를 제거해야 하므로 엘리미네이터는 필수
팬코일유니트 = 팬 + 코일
[해설작성자 : 만년공학도]

47. 보일러의 출력 표시로서 정격출력을 나타내는 것은?
     1. 난방부하+급탕부하+예열부하-배관 열손실부하
     2. 난방부하+급탕부하+배관 열손실부하
     3. 난방부하+배관 열손실부하+예열부하
     4. 난방부하+급탕부하+배관 열손실부하+예열부하

     정답 : []
     정답률 : 71%

48. 덕트 시공도 작성시의 유의사항으로 옳지 않은 것은?
     1. 덕트의 경로는 될 수 있는 한 최장거리로 한다.
     2. 소음과 진동을 고려한다.
     3. 댐퍼의 조작 및 점검이 가능한 위치에 있도록 한다.
     4. 설치시 작업공간을 확보한다.

     정답 : []
     정답률 : 84%

49. 인위적으로 실내 또는 일정한 공간의 공기를 사용 목적에 적합하도록 공기조화하는데 있어서 고려하지 않아도 되는 것은?
     1. 온도
     2. 습도
     3. 색도
     4. 기류

     정답 : []
     정답률 : 84%

50. 다음 제습방법 중에서 -50℃ 정도의 극저온 공기를 얻을 수 있는 방법은?
     1. 압축식
     2. 흡수식
     3. 흡착식
     4. 냉각식

     정답 : []
     정답률 : 33%

51. 다음은 습공기의 성질에 관한 설명이다. 옳지 않은 것은?
     1. 절대습도는 습공기에 함유되어 있는 수증기와 건공기의 질량비이다.
     2. 상대습도는 습공기중의 포화증기 밀도에 대한 동일온도에서의 습공기중의 증기의 밀도의 비이다.
     3. 포화 공기중의 수증기분압은 그 온도의 포화 수증기 압력과 같다.
     4. 비교습도는 수증기분압과 그 온도에서 있어서의 포화 공기의 수증기 분압과의 비를 말한다.

     정답 : []
     정답률 : 55%

52. 유인 유니트 방식에 관한 설명 중 틀린 것은?
     1. 유인비는 보통 3 ~ 4 정도로 한다.
     2. 호텔 연회장의 내부 존에 적합한 공조방식이다.
     3. 덕트 스페이스를 작게 할 수 있다.
     4. 외기냉방의 효과가 적다.

     정답 : []
     정답률 : 52%

53. 외분 연소실의 특징이 아닌 것은?
     1. 연소실의 크기를 자유롭게 할 수 있다.
     2. 연소실면의 온도가 높아 저질연료도 연소가 가능하다.
     3. 복사열 흡수가 크다.
     4. 설치 면적이 많이 차지한다.

     정답 : []
     정답률 : 59%

54. 다음 중에서 공기조화기에 내장된 냉각코일의 통과 풍속으로 가장 적당한 것은?
     1. 0.5 ~ 1m/s
     2. 2 ~ 3m/s
     3. 4 ~ 5m/s
     4. 7 ~ 9m/s

     정답 : []
     정답률 : 69%

55. 에어필터의 설치에 관한 설명으로 틀린 것은?
     1. 필터는 스페이스가 크므로 공조기 내부에 설치한다.
     2. 필터는 전풍량을 취급하도록 한다.
     3. 로울형의 필터로 사용할 때는 필터 전면에 해체와 반출이 용이 하도록 공간을 두어야 한다.
     4. 병원용 필터를 설치할 때는 프리필터를 고성능필터 뒤에 설치한다.

     정답 : []
     정답률 : 78%

56. 다음은 냉난방 부하에 대한 설명이다. 이 중 옳지 않은 것은?
     1. 열부하 계산은 실내 부하의 상태, 송풍 공기량과 온도, 냉수 및 온수 또는 증기, 냉각수 소요량, 설비기기의 용량, 덕트나 배관의 크기를 구하기 위한 기초가 된다.
     2. TAC 온도란 외기 설정 온도가 실제 외기 온도 밖으로 벗어날 위험률을 의미하며, 부하 계산시 열원 기기의 용량을 늘리고, 에너지 절약 차원에서 사용한다.
     3. 최대 난방 부하란 실내에서 발생되는 부하가 1일 중에서 가장 큰 값으로 되는 시각의 부하로서 주로 새벽에 발생된다.
     4. 공조설비 계획 단계에서 개략 견적을 낼 때 건축 구조도 모르는 경우에는 바닥 면적으로만 열원기기의 용량을 추정할 경우에 열부하의 개산값(단위 면적당 열부하 계수)을 사용하면 유용하다.

     정답 : []
     정답률 : 40%

57. 다음에서 온수난방 설비용 기기가 아닌 것은?
     1. 릴리프 밸브
     2. 순환펌프
     3. 관말트랩
     4. 팽창탱크

     정답 : []
     정답률 : 68%
     <문제 해설>
관말트랩은 증기난방 설비용 기기입니다.
[해설작성자 : 류원수]

58. 유효온도(effective temperature)에 대한 설명 중 옳은 것은?
     1. 온도, 습도를 하나로 조합한 상태의 측정온도이다.
     2. 각기 다른 실내온도에서 습도 및 기류에 따라 실내 환경을 평가하는 척도로 사용된다.
     3. 실내 환경요소가 인체에 미치는 영향을 같은 감각으로 얻을 수 있는 기류가 정지된 포화상태의 공기온도로 표시한다.
     4. 유효온도 선도는 복사영향을 무시하며 건구온도 대신에 글로브 온도계의 온도를 사용한다.

     정답 : []
     정답률 : 61%

59. 개별난방 방식인 온풍로 난방을 분류하는 방식에 해당되지 않는 것은?
     1. 가열원
     2. 통풍방식
     3. 설치법
     4. 환기법

     정답 : []
     정답률 : 39%

60. 흡수식 냉동장치에 관한 설명 중 맞지 않는 것은?
     1. 재생기의 가열원으로 증기, 고온수 등이 있다.
     2. 흡수식냉동기의 가동부분은 작은 펌프뿐이므로 진동∙소음이 없고 전력소비도 감소된다.
     3. 무단계용량제어가 불가능하다.
     4. 압축식 냉동기만큼 저온은 불가능하다.

     정답 : []
     정답률 : 64%

4과목 : 전기제어공학


61. 입력신호 x(t)와 출력신호 y(t)의 관계가 로 표현되는 것을 어떤 요소라 하는가?
     1. 비례요소
     2. 미분요소
     3. 적분요소
     4. 지연요소

     정답 : []
     정답률 : 77%

62. 어떤 회로의 유효전력이 80W, 무효전력이 60Var이면 역률은 몇 [%] 인가?
     1. 20%
     2. 60%
     3. 80%
     4. 100%

     정답 : []
     정답률 : 62%

63. 열기전력형 센서에 대한 설명이 아닌 것은?
     1. 전압 변화용 센서이다.
     2. 철, 콘스탄틴의 금속을 이용한다.
     3. 지벡효과(Seebeck effect)를 이용한다.
     4. 진동 주파수는 이다.

     정답 : []
     정답률 : 57%

64. 그림과 같은 계전기 접점회로의 논리식은?

    

     1.
     2.
     3.
     4.

     정답 : []
     정답률 : 64%

65. 그림은 릴레이 접점에 의하여 자기유지회로를 구성한 것이다. 이를 논리게이트 회로로 그릴 때 옳은 것은?

    

     1.
     2.
     3.
     4.

     정답 : []
     정답률 : 49%

66. 추치제어에 속하는 제어계는?
     1. 전동기의 레너드제어
     2. SCR 전원장치
     3. 발전소의 주파수제어
     4. 미사일 유도제어

     정답 : []
     정답률 : 68%

67. 그림은 노즐 플래퍼의 동작상태를 나타낸 것이다. 노즐 플래퍼의 특성 곡선으로 알맞은 것은? (단, 노즐 플래퍼의 간격은 δ, 노즐의 배압은 P 이다.)

    

     1.
     2.
     3.
     4.

     정답 : []
     정답률 : 70%

68. 압력이 011(2)일 때, 출력은 3V인 컴퓨터 제어의 D/A 변환기에서 입력을 101(2)로 하였을 때 출력은 몇[V] 인가? (단, 3 bit 디지털 입력이 011(2)은 off, on, on을 뜻하고 입력과 출력은 비례한다.)
     1. 3V
     2. 4V
     3. 5V
     4. 6V

     정답 : []
     정답률 : 68%

69. 직류기에서 전압정류의 역할을 하는 것은?
     1. 탄소브러시
     2. 보상권선
     3. 리액턴스 코일
     4. 보극

     정답 : []
     정답률 : 61%

70. 다음 중 옴의 법칙에 대한 설명으로 옳지 않은 것은?
     1. 저항에 전류가 흐를 때, 전압, 전류, 저항의 관계를 설명해 준다.
     2. 옴의 법칙은 저항으로 전류의 크기를 조절 할 수 있음을 보여준다.
     3. 옴의 법칙은 저항에 의한 전압강하를 설명해 준다.
     4. 옴의 법칙을 이용하여 임피던스에 의한 전압강하는 설명할 수 없다.

     정답 : []
     정답률 : 73%

71. 단상반파정류로 직류전압 100V를 얻으려고 한다. 최대 역전압(Peak Inverse Voltage : PIV)이 약 몇 [V] 이상인 다이오드를 사용하여야 하는가?
     1. 100V
     2. 141.1V
     3. 222V
     4. 314V

     정답 : []
     정답률 : 33%

72. 다음 중 엘리베이터에 적용하는 유도전동기에 인가되는 전압과 주파수를 동시에 변환시키는 제어방식은?
     1. 교류1단 속도제어방식
     2. 교류2단 속도제어방식
     3. VVVF 제어방식
     4. 교류 궤환제어방식

     정답 : []
     정답률 : 68%

73. 그림에서 단자전압 Vab는 몇 [V] 인가?

    

     1. 3V
     2. 7V
     3. 10V
     4. 13V

     정답 : []
     정답률 : 56%

74. 콘덴서의 정전용량을 변화시켜서 발진기의 주파수를 1kHz로 하고자 한다. 이 때 발진기는 자동제어 용어 중 어느 것에 해당되는가?
     1. 목표값
     2. 조작량
     3. 제어량
     4. 제어대상

     정답 : []
     정답률 : 61%

75. 대부분의 시간 지연은 시스템의 무엇 때문에 발생하는가?
     1. 전파 지연
     2. 정밀도
     3. 전달함수
     4. 오버슈트

     정답 : []
     정답률 : 50%

76. 유압식 변압기의 절연유 구비조건이 아닌 것은?
     1. 절연내력이 클 것
     2. 응고점이 높을 것
     3. 점도가 낮고 냉각효과가 클 것
     4. 인화점이 높을 것

     정답 : []
     정답률 : 64%

77. 단상유도전동기에서 기동토크의 순서가 옳은 것은?
     1. 반발기동형 < 반발유도형 < 콘덴서전동기 < 분상기동형 < 세이딩코일형
     2. 세이딩코일형 < 분상기동형 < 콘덴서전동기 < 반발유도형 < 반발기동형
     3. 반발유도형 < 반발기동형 < 콘덴서전동기 < 세이딩코일형 < 분상기동형
     4. 분상기동형 < 세이딩코일형 < 콘덴서전동기 < 반발기동형 < 반발유도형

     정답 : []
     정답률 : 55%

78. 다음 설명은 어느 자성체를 표현한 것인가?

    

     1. 강 자성체
     2. 상 자성체
     3. 반 자성체
     4. 초강 자성체

     정답 : []
     정답률 : 72%

79. 온도를 임피던스로 변환시키는 요소는?
     1. 측온 저항
     2. 광전지
     3. 광전 다이오드
     4. 전자석

     정답 : []
     정답률 : 69%

80. 방 안의 온도를 배출열량의 제어가 가능한 히터로 제어하고자 한다. 이러한 제어계를 간단하게 블록선도로 그리면 다음 같이 되는데 이 때, A지점에 들어갈 가장 적당한 것은?
     1. 외부온도
     2. 외부에 빼앗긴 열량
     3. 조작량
     4. 온도오차

     정답 : []
     정답률 : 33%

81. 다음은 증기난방 배관에서 증발탱크(flash tank)에 대한 설명이다. 틀리게 설명한 것은?
     1. 저압증기의 압력을 감소시켜 원만한 증기 공급을 한다.
     2. 고압증기 난방배관에서 재증발 증기가 많을 때 사용한다.
     3. 저압증기 환수관의 압력이 높아져 증기트랩의 능력이 저하되므로 이를 방지한다.
     4. 고압증기의 응축수를 저압하에서 재증발시켜 증기를 재사용하게 한다.

     정답 : []
     정답률 : 21%

82. 배수 트랩의 구비조건으로 합당하지 않은 것은?
     1. 내식성이 클 것
     2. 봉수가 유실되지 않는 구조일 것
     3. 구조가 간단할 것
     4. 오물이 트랩에 부착될 수 있는 구조일 것

     정답 : []
     정답률 : 74%

83. 증기배관에 관한 설명으로 틀린 것은?
     1. 수평주관의 지름을 줄일 때에는 편심 리듀서를 사용한다.
     2. 수평주관의 지름을 줄일 때에는 응축수가 이음부에 체류하지 않도록 내림구배는 관 밑을 직선으로 일치시킨다.
     3. 증기주관 위쪽에서의 입하관 분기는 상향으로 올린 후에 올림구배로 입하시킨다.
     4. 증기관이나 환수관이 장애물과 교차할 때는 드레인이나 공기가 유통하기 쉽도록 한다.

     정답 : []
     정답률 : 52%

84. 기수혼합식(氣水混合式)급탕 설비에서 일반적으로 사용하고 있는 스팀 시일렌서(steam silencer)의 역할은?
     1. 증기관내에 발생된 공기를 배출한다.
     2. 급탕설비의 효율을 증가시킨다.
     3. 배관내의 이물질을 제거한다.
     4. 소음을 방지한다.

     정답 : []
     정답률 : 76%

85. 긴 직선배관일 경우 강관 신축 이음은 몇 m마다 설치하는 것이 좋은가?
     1. 5m
     2. 10m
     3. 30m
     4. 50m

     정답 : []
     정답률 : 45%

86. 공기 가열기, 열 교환기등 다량의 응축수를 처리하는데 적합하며, 작동원리에 따라 다량트랩, 부자형 트랩으로 구분하는 트랩은?
     1. 벨로즈 트랩
     2. 바이메탈 트랩
     3. 플로트 트랩
     4. 벨 트랩

     정답 : []
     정답률 : 59%

87. 급탕 배관 시공상 주의사항으로 옳지 않은 것은?
     1. 상향식 공급 방식에서 급탕 수평 주관은 선상향 구배로 한다.
     2. 하향식 공급 방식에서는 급탕관은 선상향 구배로 한다.
     3. 상향식 공급 방식에서 복귀관은 선하향 구배로 한다.
     4. 하향식 공급 방식에서는 복귀관은 선하향 구배로 한다.

     정답 : []
     정답률 : 50%

88. 압력 배관용 탄소강관의 두께를 나타내는 스케줄번호(Sch No)에 관한 설명으로 잘못된 것은? (단, P는 사용압력 MPa, S는 허용응력 N/mm2 이다.)
     1. 관의 두께를 나타내는 계산식 이다.
     2. 스케줄번호는 10, 20, 30, 40, 60, 80 등이 있다.
     3. 스케줄번호가 커질수록 관의 두께가 두꺼워진다.
     4. 허용응력은 안전율을 인장강도로 나눈 값이다.

     정답 : []
     정답률 : 65%

89. 동관 접합의 종류가 아닌 것은?
     1. 납땜 접합
     2. 용접 접합
     3. 나사 접합
     4. 플래어 접합

     정답 : []
     정답률 : 64%

90. 도시가스 배관을 시가지의 도로 노면 밑에 매설하는 경우에는 노면으로부터 배관의 외면까지 몇 m 이상을 유지해야 하는가?
     1. 1
     2. 1.2
     3. 1.5
     4. 2

     정답 : []
     정답률 : 56%

91. 전기가 정전되어도 계속하여 급수를 할 수 있으며 급수 오염 가능성이 적은 방식은?
     1. 압력탱크 방식
     2. 수도직결 방식
     3. 부스터 방식
     4. 고가탱크 방식

     정답 : []
     정답률 : 67%

92. 배수배관에서는 관이 막혔을 때 이것을 점검, 수리하기 위해 청소구를 필요로 한다. 청소구 설치 장소로 옳지 않은 것은?
     1. 배수 수평 주관과 배수 수평 분기관의 분기점에 설치
     2. 배수관이 45° 이상의 각도로 방향을 전환하는 곳에 설치
     3. 길이가 긴 수평 배수관인 경우 관경이 100A 이하일 때 5m 마다 설치
     4. 배수 수직관의 제일 밑부분에 설치

     정답 : []
     정답률 : 67%

93. 프레온 냉동장치 냉매 배관 설계시 옳지 않은 것은?
     1. 지나친 압력강하를 방지한다.
     2. 트랩(trap)반경은 되도록 크게 한다.
     3. 정지시 압축기로의 액냉매의 유입을 방지한다.
     4. 압축기를 떠난 윤활유가 다시 압축기로 일정비율로 되돌아오게 한다.

     정답 : []
     정답률 : 60%

94. 다음은 급수배관 방식에 대한 설명이다. 틀린 것은?
     1. 상향급수 배관 방식에서 상향수직관은 상층으로 올라갈수록 관경을 작게 한다.
     2. 하향급수 배관방식은 옥상탱크식의 경우에 흔히 사용되는 배관법으로 급수압이 일정하다.
     3. 상⋅하향 혼용배관 방식은 1, 2층 상향식, 3층이상은 하향식으로 한다.
     4. 상향급수 배관방식은 수평주관이 지하층 천정에 노출 배관되므로 점검, 보수가 용이하다.

     정답 : []
     정답률 : 53%

95. 압축기로부터 응축기에 이르는 배관 설치에 있어서 주의할 사항으로 잘못된 것은?
     1. 배관이 합류될 때는 T자형 보다 Y자형으로 하는 것이 좋다.
     2. 압축기로부터 올라온 토출관이 응축기에 연결되는 수평부분은 응축기쪽으로 하향 구배를 한다.
     3. 2대의 압축기가 아래쪽에 있고 1대의 응축기가 위쪽에 있는 경우 토출가스 헤더는 압축기 위에 배관하여 토출가스관에 연결한다.
     4. 압축기와 응축기가 각각 2대 이상인 경우 압축기의 크랭크 케이스 균압관을 수평으로 배관한다.

     정답 : []
     정답률 : 24%
     <문제 해설>
1)배관합류는 마찰손실 등을 줄이기 위해 Y자형이 더 좋다.
3)압축기보다 토출헤더가 위에 있으면 역류위험이 있다. 따라서 압축기보다 낮은 곳에 토출헤더가 있어야한다.

96. 냉동 배관시 플렉시블 조인트의 설치에 관한 설명으로 틀린 것은?
     1. 가급적 압축기 가까이에 설치한다.
     2. 압축기의 진동방향에 대하여 직각으로 설치한다.
     3. 압축기가 가동할 때 무리한 힘이 가해지지 않도록 설치한다.
     4. 기계⋅구조물 등과 견고하게 접촉되도록 설치한다.

     정답 : []
     정답률 : 61%

97. 배관의 하중을 위에서 걸어 당겨 지지하는 행거(Hanger)중 상하 방향의 변위가 없는 개소에 사용하는 것은?
     1. 콘스탄트 행거(constant hanger)
     2. 리지드 행거(rigid hanger)
     3. 버리어블 행거(variable hanger)
     4. 스프링 행거(spring hanger)

     정답 : []
     정답률 : 59%

98. 다음 중 유체의 종류가 냉동기 유(油)을 표시하는 문자는?
     1. G
     2. A
     3. O
     4. V

     정답 : []
     정답률 : 64%

99. 도기가스 배관 설치에 관한 내용으로 틀린 것은?
     1. 가스배관을 지상에 설치할 경우에는 황색으로 표시한다.
     2. 중압 가스배관을 매설할 경우에는 적색으로 표시한다.
     3. 배관을 지하에 매설하는 경우에는 배관이 매설되어 있음을 표시한다.
     4. 배관을 지하에 매설하는 경우에는 사용 가스명을 표시하지 않아도 된다.

     정답 : []
     정답률 : 56%

100. 공조배관 설계시 유속을 빠르게 했을 경우 발생되지 않는 것은?
     1. 관경이 적어진다.
     2. 운전비가 감소한다.
     3. 소음이 발생된다.
     4. 마찰손실이 증대한다.

     정답 : []
     정답률 : 63%


정 답 지

공조냉동기계기사(구) 필기 기출문제(해설) 및 CBT 2009년03월01일

최강 자격증 기출문제 전자문제집 CBT : www.comcbt.com


전자문제집 CBT란?
종이 문제집이 아닌 인터넷으로 문제를 풀고 자동으로 채점하며 모의고사, 오답 노트, 해설까지 제공하는
무료 기출문제 학습 프로그램으로 실제 상설검정에서 사용하는 OMR 형식의 CBT를 제공합니다.

최신 공조냉동기계기사(구) 필기 기출문제 : [다운로드]


1과목 : 기계열역학


1. 절대온도가 T1, T2인 두 물체 사이에 열량 Q가 전달될 때 이 두 물체가 이루는 계의 엔트로피 변화는? (단, T1 > T2 이다.)
     1.
     2.
     3.
     4.

     정답 : []
     정답률 : 41%

2. 견고한 밀폐용기 속에 300kPa, 0℃ 인 이상기체가 들어있다. 이 이상기체를 100℃까지 가열하였을 때 증가한 압력은 약 몇 kPa 인가?
     1. 110
     2. 260
     3. 380
     4. 710

     정답 : []
     정답률 : 58%
     <문제 해설>
373/273 = x/300    x=409.89
[해설작성자 : 천강북두]

3. 다음 그림은 순수물질의 압력-온도 선도이다. 옳게 설명한 것은?

   

     1. K는 임계점이고, TA는 융해곡선이다.
     2. T는 임계점이고, OT는 증발곡선이다.
     3. K는 임계점이고, TK는 승화곡선이다.
     4. T는 임계점이고, OT는 승화곡선이다.

     정답 : []
     정답률 : 48%

4. 공기 1kg이 50kPa, 3m3인 상태로부터 900kPa, 0.5m3인 상태로 변화할 때 내부에너지 증가가 160kJ이었다. 이 경우 엔탈피 증가는 몇 kJ 인가?
     1. 30
     2. 185
     3. 235
     4. 460

     정답 : []
     정답률 : 57%
     <문제 해설>
엔탈피H = U + PV
이므로
dH = dU +(P2V2-P1V1)이라고 할 수 있다.

dH = 160 + (900*0.5 - 50*3) = 460KJ
[해설작성자 : 건전한자]

5. 순수한 물질로 되어 있는 밀폐계가 단열과정 중에 수행한 일의 절대값에 관련된 설명으로 옳은 것은? (단, 운동에너지와 위치에너지의 변화는 무시한다.)
     1. 엔탈피의 변화량과 같다.
     2. 내부 에너지의 변화량과 같다.
     3. 일의 수행은 있을 수 없다.
     4. 정압과정에서 이루어진 일의 양과 같다.

     정답 : []
     정답률 : 67%

6. 밀폐 시스템이 압력 P1 = 200kPa, 체적 V1 = 0.1m3인 상태에서 P2 = 100kPa, V2 = 0.3m3인 상태까지 가역 팽창되었다. 이 과정이 P-V 선도에서 직선으로 표시된다면 이 과정 동안 시스템이 한 일은 약 몇 kJ 인가?
     1. 10
     2. 20
     3. 30
     4. 45

     정답 : []
     정답률 : 62%
     <문제 해설>
이해가 쉽게 P-V선도를 그려서 면적을 구하면된다.
(100*[0.3-0.1]) + 0.5([200-100]*[0.3-0.1]) = 30
[해설작성자 : comcbt.com 이용자]

7. 엔탈피 125kJ/kg인 물을 보일러에서 가열하여 엔탈피 2940kJ/kg인 증기를 시간당 10톤을 만든다. 이 증기를 증기터빈에 송압한 후 증기터빈의 출구에서 엔탈피가 2570kJ/kg이 되었다. 이 경우 보일러에서의 가열량은? (단, 보일러에서는 정압가열이며 터빈에서는 단열팽창이다.)
     1. 3.715×105 kJ/h
     2. 3.225×106 kJ/h
     3. 2.815×107 kJ/h
     4. 2.413×109 kJ/h

     정답 : []
     정답률 : 57%

8. 완전단열된 축전지를 전압 5V, 전류 2A로 1시간 동안 충전한다. 축전지를 검사 체적으로 하고 입력 동력과 행한 일은 각각 얼마인가?
     1. 10W, 36J
     2. 10W, 36kJ
     3. 10kW, 36J
     4. 10kW, 36kJ

     정답 : []
     정답률 : 64%
     <문제 해설>
입력 동력 P = VI이므로, 10W = 10J/S
행한일은 10J/S * 3600초(=1시간) = 36000J = 36KJ
[해설작성자 : 건전한자]

9. 일과 열의 출입이 없는 계에서 비가역과정(irreversible process)이 존재하면 엔트로피는?
     1. 항상 일정하다.
     2. 항상 감소한다.
     3. 항상 증가한다.
     4. 때로는 증가하고 때로는 감소한다.

     정답 : []
     정답률 : 70%

10. 온도가 127℃, 압력이 0.5MPa, 비체적이 0.4m3/kg인 이상기체가 같은 압력하에서 비체적이 0.3m3/kg으로 되었다면 온도는 약 몇 ℃ 인가?
     1. 16
     2. 27
     3. 96
     4. 300

     정답 : []
     정답률 : 60%

11. 100kPa, 20℃의 물을 매시간 3000kg씩 500kPa로 공급하기 위하여 소요되는 펌프의 동력은 약 몇 kW인가? (단, 펌프의 효율은 70%로 물의 비체적은 0.001m3/kg으로 본다.)
     1. 0.33
     2. 0.48
     3. 1.32
     4. 2.48

     정답 : []
     정답률 : 40%

12. 열역학 제2법칙에 대한 설명으로 옳은 것은?
     1. 과정(process)의 방향성을 제시한다.
     2. 에너지의 양을 결정한다.
     3. 에너지의 종류를 판단할 수 있다.
     4. 공학적 장치의 크기를 알 수 있다.

     정답 : []
     정답률 : 67%

13. 두께 10mm, 열전도율 15W/mㆍ℃ 인 금속 판의 두면의 온도가 각각 70℃와 50℃일 때 전열면 1m2당 1분 동안에 전달되는 열량은 몇 kJ인가?
     1. 1800
     2. 1400
     3. 92000
     4. 162000

     정답 : []
     정답률 : 72%

14. 공기 1kg이 압력 101.3kPa, 체적 0.85m3인 상태에서 온도가 300℃인 상태로 변화하였다. 이 과정에서 상승한 온도는? (단, 공기의 기체상수는 0.287kJ/kgㆍk 이다.)
     1. 273K
     2. 300K
     3. 546K
     4. 573K

     정답 : []
     정답률 : 54%

15. 초기의 상태가 300K, 0.5m3인 공기를 등온과정으로 150kPa에서 600kPa까지 천천히 압축하였다. 이 과정에서 공기를 압축하는데 필요한 일 에너지는 약 몇kJ인가?
     1. 104
     2. 208
     3. 304
     4. 612

     정답 : []
     정답률 : 57%

16. 다음 평형상태의 상에 관하여 설명한 것 중 틀린것은? (단, 물의 삼중점은 0.01℃, 0.611kPa이며, 임계점은 374℃, 22MPa이고, 1MPa에서 포화온도는 180℃이다.)
     1. 0.1℃, 0.001kPa에서 수증기이다.
     2. -30℃, 0.611kPa에서 고체이다.
     3. 180℃, 2MPa에서 액체이다.
     4. 374℃, 25MPa에서 기체이다.

     정답 : []
     정답률 : 36%

17. 포화액체와 포화증기의 구분이 없어지는 상태가 물의 경우 고온고압에서 나타난다. 이 상태를 표시하는 점을 무엇이라고 하는가?
     1. 삼중점
     2. 포화점
     3. 임계점
     4. 비점

     정답 : []
     정답률 : 72%

18. 실린더 내에 공기가 3kg 있다. 공기가 200kPa, 10℃인 상태에서 600kPa이 될 때까지 'PV1.3 = 일정'인 과정으로 압축된다. 이 과정에서 공기가 한 일은 약몇 kJ인가? (단, 공기의 기체상수는 0.287kJ/kgㆍK 이다.)
     1. -285
     2. -235
     3. 13
     4. 125

     정답 : []
     정답률 : 63%

19. 다음 중 물질의 양에 따라 변화하는 종량적 상태량은?
     1. 밀도
     2. 체적
     3. 온도
     4. 압력

     정답 : []
     정답률 : 74%

20. 다음 열역학시스템에 대한 설명 중 틀린 것은?
     1. 주위(surrounding)는 시스템을 포함하지 않는 모두 물질이다.
     2. 개방계에서 열은 경계를 지날 수 있다.
     3. 밀폐계에서 물질 및 일은 경계를 지날 수 없다.
     4. 단열계에서 열은 경계를 지날 수 없다.

     정답 : []
     정답률 : 59%

2과목 : 냉동공학


21. 냉각수 입구 온도가 32℃, 출구온도기 37℃, 냉각수량이 100l/min 인 수냉식 응축기가 있다. 압축기에 사용되는 동력이 8kW라면 이 냉동 장치의 냉동능력은 약 몇 냉동톤인가?
     1. 7RT
     2. 8RT
     3. 9RT
     4. 10RT

     정답 : []
     정답률 : 61%

22. 다음 사항은 증발기의 구조와 작용에 관한 설명이다. 이 중 옳은 것은?
     1. 동일 운전상태에서는 만액식 증발기가 건식 증발기 보다 열통과율이 나쁘다.
     2. 만액식 증발기에서 부하가 커지면 냉매 순환량이 작아진다.
     3. 건식 증발기는 주로 온도식 팽창밸브와 모세관을 팽창밸브로 사용한다.
     4. 증발기의 냉각능력은 전열면적이 작을수록 증가한다.

     정답 : []
     정답률 : 67%

23. 다음 그림은 T-S선도에 나타낸 냉동사이클이다. 압축일의 열당량을 나타낸 것은?

    

     1. 면적 A-B-C-D-E-I-A
     2. 면적 A-B-C-D-E-I-H-J-A
     3. 면적 A-B-C-D-E-G-H-I-A
     4. 면적 A-B-C-D-E-F-G-H-I-A

     정답 : []
     정답률 : 32%

24. 냉장고 단열벽의 열통과율을 0.24kcal/m2h℃, 고내 온도를 -5℃, 외기온도를 33℃, 단열벽의 면적을 500m2라 하면 이 벽에서 침입하는 열량은 몇 kcal/h인가?
     1. 4560 kcal/h
     2. 4350 kcal/h
     3. 4450 kcal/h
     4. 4260 kcal/h

     정답 : []
     정답률 : 69%

25. 다음 냉동기기에 관한 설명 중 옳은 것은?
     1. 온도 자동 팽창밸브는 증발기의 온도를 일정하게 유지 제어한다.
     2. 흡입압력 조정밸브는 압축기의 흡입압력이 설정치 이상이 되지 않도록 제어한다.
     3. 전자밸브를 설치할 경우 흐름방향을 생각할 필요는 없다.
     4. 고압축 플로트(float)밸브는 냉매액의 속도로써 제어한다.

     정답 : []
     정답률 : 61%

26. 2단 압축 1단팽창 냉동장치에서 각 점의 엔탈피는 다음의 P-h선도와 같다고 할 때 중간냉각기 냉매순환량(kg/h)은 얼마인가? (단, 냉동능력은 20 RT 이다.)

    

     1. 68.04
     2. 85.89
     3. 222.62
     4. 290.8

     정답 : []
     정답률 : 52%

27. 냉동장치에서 액압축이 일어나기 쉬운 조건이 아닌 것은?
     1. 팽창밸브의 개도가 과소할 때
     2. 냉동부하의 급격한 변동이 있을 때
     3. 운전 정지시에 액관의 밸브를 닫지 않았을 때
     4. 흡입관의 도중에 트랩 등 윤활유나 액냉매가 고이기 쉬운 부분이 있을 때

     정답 : []
     정답률 : 52%

28. 후레온(freon)계 냉매 중 R-22와 R-115의 혼합냉매는?
     1. R-717
     2. R-744
     3. R-500
     4. R-502

     정답 : []
     정답률 : 50%

29. 냉각수량 300ℓ/min, 전일면적 20m2, 냉각수 입구온도 24.5℃, 출구온도 29.5℃, 응축기의 열통과율 750kcal/m2h℃ 일 때 응축온도는?
     1. 24℃
     2. 28℃
     3. 30℃
     4. 33℃

     정답 : []
     정답률 : 53%
     <문제 해설>
300*60*5= 90000
750*20= 15000
90000/15000= 6
(24.5+29.5)/2= 27
27+6= '33'
750*20*(33-27)= 90000
[해설작성자 : dalma2018]

30. 모리엘 선도 내 등건조도선의 건조도 0.2는 무엇인가?
     1. 습증기 중의 건포화 증기 20%(중량비율)
     2. 습증기 중의 액체인 상태 20%(중량비율)
     3. 건증기 중의 건포화 증기 20%(중량비율)
     4. 건증기 중의 액체인 상태 20%(중량비율)

     정답 : []
     정답률 : 76%

31. 압축기의 피스톤 링이 현저하게 마모되면 압축기의 작용은 어떻게 되는지 다음 보기에서 옳은 것만 고른 것은?

    

     1. 1), 3)
     2. 1), 2)
     3. 2), 4)
     4. 3), 4)

     정답 : []
     정답률 : 74%

32. 암모니아 냉매를 사용하고 있는 과일 보관용 냉장 창고에서 암모니아가 누설되었을 때 보관 물품의 손상을 방지하기 위한 해결 방법으로 옳지 않은 것은?
     1. SO2로 중화시킨다.
     2. CO2로 중화시킨다.
     3. 환기시킨다.
     4. 물로 씻는다.

     정답 : []
     정답률 : 83%

33. 다음 중 모세관의 압력강하가 가장 큰 경우는?
     1. 직경이 가늘고 길수록
     2. 직경이 가늘고 짧을수록
     3. 직경이 굵고 짧을수록
     4. 직경이 굵고 길수록

     정답 : []
     정답률 : 85%

34. 암모니아 장치에 유분리기를 설치하려 한다. 유분리기를 어느 위치에 설치하면 작용이 양호한가?
     1. 증발기와 압축기 사이에서 증발기 가까운 쪽
     2. 증발기와 압축기 사이에서 압축기 가까운 쪽
     3. 압축기와 응축기 사이에서 응축기 가까운 쪽
     4. 압축기와 응축기 사이에서 압축기 가까운 쪽

     정답 : []
     정답률 : 57%
     <문제 해설>
암모니아 장치에서는 응축기 가까이
프레온 장치에서는 압축기 가까이
[해설작성자 : dalma2018]

35. 흡수식 냉동기의 재생기에 사용하는 열원으로 적당하지 않은 것은?
     1. 증가
     2. 버너
     3. 온수
     4. 냉수

     정답 : []
     정답률 : 59%

36. 축열시스템에 대한 설명으로 잘못된 것은?
     1. 열흐름에 관해서는 축열장치를 경유하는 전량축열과 일부열이 축열장치를 경유하는 부분축열이 있다.
     2. 열의 공급방법은 축열장치 단독으로 공급하는 방식과 축열장치의 열원장치에서 동시에 공급하는 방식이 있다.
     3. 축열 시간은 일반적으로 야간에 축열, 주간에 방열 하는 1일 사이클을 많이 사용한다.
     4. 수축열시스템이란 냉열을 얼음에 저장하는 방법으로 작은 체적에 효율적으로 냉열을 저장하는 방법이다.

     정답 : []
     정답률 : 75%

37. 독성이 거의 없고 금속에 대한 부식성이 적어 식품냉동에 사용되는 유기질 브라인(brine)은 다음 중 어느 것인가?
     1. 프로펠린 글리콜
     2. 식염수
     3. 염화칼슘
     4. 염화마그네슘

     정답 : []
     정답률 : 77%

38. 모리엘(P-h)선도상에서 응축온도를 일정하게 하고, 증발온도를 저하시킬 때 발생하는 현상으로 잘못된 것은?
     1. 소요 동력이 증대한다.
     2. 압축비가 감소한다.
     3. 냉동능력이 감소한다.
     4. 플래쉬 가스 발생량이 증가한다.

     정답 : []
     정답률 : 71%

39. 초저온동결에 액체질소를 사용할 때의 장점이라 할 수 없는 것은?
     1. 동결시간이 단축되어 연속작업이 가능하다.
     2. 급속동결이 가능하므로 품질이 우수하다.
     3. 동결건조가 일어나지 않는다.
     4. 발생되는 질소가스를 다시 사용할 수 있다.

     정답 : []
     정답률 : 69%

40. 흡수식 냉동장치를 이용함에 따른 특징이 아닌 것은?
     1. 초기 운전 시 정격 성능을 발휘할 때까지의 도달속도가 느리다.
     2. 대기압 이하에서 작동하므로 취급에 위험성이 완화 된다.
     3. 용액의 부식성이 크므로 기밀성 관리와 부식 억제제의 보충에 엄격한 주의가 필요하다.
     4. 야간에 열을 저장하였다가 주간의 부하에 대응할 수 있다.

     정답 : []
     정답률 : 72%

3과목 : 공기조화


41. 어떤 실태에 대한 냉방부하 계산 결과 현열부하 = qs, 잠열부하 = qi, 전부하 = qt 이었다. 실내온도 = tr, 토출공기온도 = td 라 하면 풍량 (Q = m3/h)은 어떻게 구하는가? (단, 공기의 비중량 = γ, 비열 Cp, 비체적 = v 이다.)
     1.
     2.
     3.
     4.

     정답 : []
     정답률 : 69%

42. 1000명을 수용하는 극장에서 1인당 CO2 토출량이 15ℓ/hr이면 실태 CO2량을 0.1%로 유지하는데 필요한 환기량은 몇 m3/hr인가? (단, 외기의 CO2량은 0.04%로 한다.)
     1. 2500
     2. 25000
     3. 3000
     4. 30000

     정답 : []
     정답률 : 79%

43. 외기의 건구온도 32℃와 환기의 건구온도 24℃인 공기를 1 : 3의 비율로 혼합하였다. 이 혼합공기의 온도는 몇 ℃인가?
     1. 26℃
     2. 28℃
     3. 29℃
     4. 30℃

     정답 : []
     정답률 : 77%

44. 다음 공조방식 중 전공기(全空氣) 방식이 아닌 것은?
     1. 각층 유니트 방식
     2. 2중 덕트 방식
     3. 단일 덕트 방식
     4. F.C 유니트 방식

     정답 : []
     정답률 : 83%

45. 두께 15cm, 열전도율 λ= 1.4kcal/mh℃인 철근콘크리트의 외벽체에 대한 열관류율 K cal/m2h℃의 값은 얼마인가? (단, 내측 표면 열전달률 αi = 8 kcal/m2h℃, 외측 표면 열전달율 αo = 20 kcal/m2h℃ 이다.)
     1. 0.1
     2. 3.5
     3. 5.9
     4. 7.6

     정답 : []
     정답률 : 70%

46. 다음 공기조화기에 관한 설명 중 옳은 것은?
     1. 유니트 히터는 가열코일과 팬, 케이싱으로 구성된다.
     2. 유인 유니트는 팬만을 내장하고 있다.
     3. 공기 세정기를 사용하는 경우에는 엘리미네이터를 사용하지 않아도 된다.
     4. 팬코일 유니트는 팬과 코일 및 냉동기로 구성된다.

     정답 : []
     정답률 : 67%
     <문제 해설>
유니트히터 = 팬 + 코일
유인유니트 = 배관 + 덕트
공기세정기는 세정후 공기중의 비산수를 제거해야 하므로 엘리미네이터는 필수
팬코일유니트 = 팬 + 코일
[해설작성자 : 만년공학도]

47. 보일러의 출력 표시로서 정격출력을 나타내는 것은?
     1. 난방부하+급탕부하+예열부하-배관 열손실부하
     2. 난방부하+급탕부하+배관 열손실부하
     3. 난방부하+배관 열손실부하+예열부하
     4. 난방부하+급탕부하+배관 열손실부하+예열부하

     정답 : []
     정답률 : 71%

48. 덕트 시공도 작성시의 유의사항으로 옳지 않은 것은?
     1. 덕트의 경로는 될 수 있는 한 최장거리로 한다.
     2. 소음과 진동을 고려한다.
     3. 댐퍼의 조작 및 점검이 가능한 위치에 있도록 한다.
     4. 설치시 작업공간을 확보한다.

     정답 : []
     정답률 : 84%

49. 인위적으로 실내 또는 일정한 공간의 공기를 사용 목적에 적합하도록 공기조화하는데 있어서 고려하지 않아도 되는 것은?
     1. 온도
     2. 습도
     3. 색도
     4. 기류

     정답 : []
     정답률 : 84%

50. 다음 제습방법 중에서 -50℃ 정도의 극저온 공기를 얻을 수 있는 방법은?
     1. 압축식
     2. 흡수식
     3. 흡착식
     4. 냉각식

     정답 : []
     정답률 : 33%

51. 다음은 습공기의 성질에 관한 설명이다. 옳지 않은 것은?
     1. 절대습도는 습공기에 함유되어 있는 수증기와 건공기의 질량비이다.
     2. 상대습도는 습공기중의 포화증기 밀도에 대한 동일온도에서의 습공기중의 증기의 밀도의 비이다.
     3. 포화 공기중의 수증기분압은 그 온도의 포화 수증기 압력과 같다.
     4. 비교습도는 수증기분압과 그 온도에서 있어서의 포화 공기의 수증기 분압과의 비를 말한다.

     정답 : []
     정답률 : 55%

52. 유인 유니트 방식에 관한 설명 중 틀린 것은?
     1. 유인비는 보통 3 ~ 4 정도로 한다.
     2. 호텔 연회장의 내부 존에 적합한 공조방식이다.
     3. 덕트 스페이스를 작게 할 수 있다.
     4. 외기냉방의 효과가 적다.

     정답 : []
     정답률 : 52%

53. 외분 연소실의 특징이 아닌 것은?
     1. 연소실의 크기를 자유롭게 할 수 있다.
     2. 연소실면의 온도가 높아 저질연료도 연소가 가능하다.
     3. 복사열 흡수가 크다.
     4. 설치 면적이 많이 차지한다.

     정답 : []
     정답률 : 59%

54. 다음 중에서 공기조화기에 내장된 냉각코일의 통과 풍속으로 가장 적당한 것은?
     1. 0.5 ~ 1m/s
     2. 2 ~ 3m/s
     3. 4 ~ 5m/s
     4. 7 ~ 9m/s

     정답 : []
     정답률 : 69%

55. 에어필터의 설치에 관한 설명으로 틀린 것은?
     1. 필터는 스페이스가 크므로 공조기 내부에 설치한다.
     2. 필터는 전풍량을 취급하도록 한다.
     3. 로울형의 필터로 사용할 때는 필터 전면에 해체와 반출이 용이 하도록 공간을 두어야 한다.
     4. 병원용 필터를 설치할 때는 프리필터를 고성능필터 뒤에 설치한다.

     정답 : []
     정답률 : 78%

56. 다음은 냉난방 부하에 대한 설명이다. 이 중 옳지 않은 것은?
     1. 열부하 계산은 실내 부하의 상태, 송풍 공기량과 온도, 냉수 및 온수 또는 증기, 냉각수 소요량, 설비기기의 용량, 덕트나 배관의 크기를 구하기 위한 기초가 된다.
     2. TAC 온도란 외기 설정 온도가 실제 외기 온도 밖으로 벗어날 위험률을 의미하며, 부하 계산시 열원 기기의 용량을 늘리고, 에너지 절약 차원에서 사용한다.
     3. 최대 난방 부하란 실내에서 발생되는 부하가 1일 중에서 가장 큰 값으로 되는 시각의 부하로서 주로 새벽에 발생된다.
     4. 공조설비 계획 단계에서 개략 견적을 낼 때 건축 구조도 모르는 경우에는 바닥 면적으로만 열원기기의 용량을 추정할 경우에 열부하의 개산값(단위 면적당 열부하 계수)을 사용하면 유용하다.

     정답 : []
     정답률 : 40%

57. 다음에서 온수난방 설비용 기기가 아닌 것은?
     1. 릴리프 밸브
     2. 순환펌프
     3. 관말트랩
     4. 팽창탱크

     정답 : []
     정답률 : 68%
     <문제 해설>
관말트랩은 증기난방 설비용 기기입니다.
[해설작성자 : 류원수]

58. 유효온도(effective temperature)에 대한 설명 중 옳은 것은?
     1. 온도, 습도를 하나로 조합한 상태의 측정온도이다.
     2. 각기 다른 실내온도에서 습도 및 기류에 따라 실내 환경을 평가하는 척도로 사용된다.
     3. 실내 환경요소가 인체에 미치는 영향을 같은 감각으로 얻을 수 있는 기류가 정지된 포화상태의 공기온도로 표시한다.
     4. 유효온도 선도는 복사영향을 무시하며 건구온도 대신에 글로브 온도계의 온도를 사용한다.

     정답 : []
     정답률 : 61%

59. 개별난방 방식인 온풍로 난방을 분류하는 방식에 해당되지 않는 것은?
     1. 가열원
     2. 통풍방식
     3. 설치법
     4. 환기법

     정답 : []
     정답률 : 39%

60. 흡수식 냉동장치에 관한 설명 중 맞지 않는 것은?
     1. 재생기의 가열원으로 증기, 고온수 등이 있다.
     2. 흡수식냉동기의 가동부분은 작은 펌프뿐이므로 진동∙소음이 없고 전력소비도 감소된다.
     3. 무단계용량제어가 불가능하다.
     4. 압축식 냉동기만큼 저온은 불가능하다.

     정답 : []
     정답률 : 64%

4과목 : 전기제어공학


61. 입력신호 x(t)와 출력신호 y(t)의 관계가 로 표현되는 것을 어떤 요소라 하는가?
     1. 비례요소
     2. 미분요소
     3. 적분요소
     4. 지연요소

     정답 : []
     정답률 : 77%

62. 어떤 회로의 유효전력이 80W, 무효전력이 60Var이면 역률은 몇 [%] 인가?
     1. 20%
     2. 60%
     3. 80%
     4. 100%

     정답 : []
     정답률 : 62%

63. 열기전력형 센서에 대한 설명이 아닌 것은?
     1. 전압 변화용 센서이다.
     2. 철, 콘스탄틴의 금속을 이용한다.
     3. 지벡효과(Seebeck effect)를 이용한다.
     4. 진동 주파수는 이다.

     정답 : []
     정답률 : 57%

64. 그림과 같은 계전기 접점회로의 논리식은?

    

     1.
     2.
     3.
     4.

     정답 : []
     정답률 : 64%

65. 그림은 릴레이 접점에 의하여 자기유지회로를 구성한 것이다. 이를 논리게이트 회로로 그릴 때 옳은 것은?

    

     1.
     2.
     3.
     4.

     정답 : []
     정답률 : 49%

66. 추치제어에 속하는 제어계는?
     1. 전동기의 레너드제어
     2. SCR 전원장치
     3. 발전소의 주파수제어
     4. 미사일 유도제어

     정답 : []
     정답률 : 68%

67. 그림은 노즐 플래퍼의 동작상태를 나타낸 것이다. 노즐 플래퍼의 특성 곡선으로 알맞은 것은? (단, 노즐 플래퍼의 간격은 δ, 노즐의 배압은 P 이다.)

    

     1.
     2.
     3.
     4.

     정답 : []
     정답률 : 70%

68. 압력이 011(2)일 때, 출력은 3V인 컴퓨터 제어의 D/A 변환기에서 입력을 101(2)로 하였을 때 출력은 몇[V] 인가? (단, 3 bit 디지털 입력이 011(2)은 off, on, on을 뜻하고 입력과 출력은 비례한다.)
     1. 3V
     2. 4V
     3. 5V
     4. 6V

     정답 : []
     정답률 : 68%

69. 직류기에서 전압정류의 역할을 하는 것은?
     1. 탄소브러시
     2. 보상권선
     3. 리액턴스 코일
     4. 보극

     정답 : []
     정답률 : 61%

70. 다음 중 옴의 법칙에 대한 설명으로 옳지 않은 것은?
     1. 저항에 전류가 흐를 때, 전압, 전류, 저항의 관계를 설명해 준다.
     2. 옴의 법칙은 저항으로 전류의 크기를 조절 할 수 있음을 보여준다.
     3. 옴의 법칙은 저항에 의한 전압강하를 설명해 준다.
     4. 옴의 법칙을 이용하여 임피던스에 의한 전압강하는 설명할 수 없다.

     정답 : []
     정답률 : 73%

71. 단상반파정류로 직류전압 100V를 얻으려고 한다. 최대 역전압(Peak Inverse Voltage : PIV)이 약 몇 [V] 이상인 다이오드를 사용하여야 하는가?
     1. 100V
     2. 141.1V
     3. 222V
     4. 314V

     정답 : []
     정답률 : 33%

72. 다음 중 엘리베이터에 적용하는 유도전동기에 인가되는 전압과 주파수를 동시에 변환시키는 제어방식은?
     1. 교류1단 속도제어방식
     2. 교류2단 속도제어방식
     3. VVVF 제어방식
     4. 교류 궤환제어방식

     정답 : []
     정답률 : 68%

73. 그림에서 단자전압 Vab는 몇 [V] 인가?

    

     1. 3V
     2. 7V
     3. 10V
     4. 13V

     정답 : []
     정답률 : 56%

74. 콘덴서의 정전용량을 변화시켜서 발진기의 주파수를 1kHz로 하고자 한다. 이 때 발진기는 자동제어 용어 중 어느 것에 해당되는가?
     1. 목표값
     2. 조작량
     3. 제어량
     4. 제어대상

     정답 : []
     정답률 : 61%

75. 대부분의 시간 지연은 시스템의 무엇 때문에 발생하는가?
     1. 전파 지연
     2. 정밀도
     3. 전달함수
     4. 오버슈트

     정답 : []
     정답률 : 50%

76. 유압식 변압기의 절연유 구비조건이 아닌 것은?
     1. 절연내력이 클 것
     2. 응고점이 높을 것
     3. 점도가 낮고 냉각효과가 클 것
     4. 인화점이 높을 것

     정답 : []
     정답률 : 64%

77. 단상유도전동기에서 기동토크의 순서가 옳은 것은?
     1. 반발기동형 < 반발유도형 < 콘덴서전동기 < 분상기동형 < 세이딩코일형
     2. 세이딩코일형 < 분상기동형 < 콘덴서전동기 < 반발유도형 < 반발기동형
     3. 반발유도형 < 반발기동형 < 콘덴서전동기 < 세이딩코일형 < 분상기동형
     4. 분상기동형 < 세이딩코일형 < 콘덴서전동기 < 반발기동형 < 반발유도형

     정답 : []
     정답률 : 55%

78. 다음 설명은 어느 자성체를 표현한 것인가?

    

     1. 강 자성체
     2. 상 자성체
     3. 반 자성체
     4. 초강 자성체

     정답 : []
     정답률 : 72%

79. 온도를 임피던스로 변환시키는 요소는?
     1. 측온 저항
     2. 광전지
     3. 광전 다이오드
     4. 전자석

     정답 : []
     정답률 : 69%

80. 방 안의 온도를 배출열량의 제어가 가능한 히터로 제어하고자 한다. 이러한 제어계를 간단하게 블록선도로 그리면 다음 같이 되는데 이 때, A지점에 들어갈 가장 적당한 것은?
     1. 외부온도
     2. 외부에 빼앗긴 열량
     3. 조작량
     4. 온도오차

     정답 : []
     정답률 : 33%

81. 다음은 증기난방 배관에서 증발탱크(flash tank)에 대한 설명이다. 틀리게 설명한 것은?
     1. 저압증기의 압력을 감소시켜 원만한 증기 공급을 한다.
     2. 고압증기 난방배관에서 재증발 증기가 많을 때 사용한다.
     3. 저압증기 환수관의 압력이 높아져 증기트랩의 능력이 저하되므로 이를 방지한다.
     4. 고압증기의 응축수를 저압하에서 재증발시켜 증기를 재사용하게 한다.

     정답 : []
     정답률 : 21%

82. 배수 트랩의 구비조건으로 합당하지 않은 것은?
     1. 내식성이 클 것
     2. 봉수가 유실되지 않는 구조일 것
     3. 구조가 간단할 것
     4. 오물이 트랩에 부착될 수 있는 구조일 것

     정답 : []
     정답률 : 74%

83. 증기배관에 관한 설명으로 틀린 것은?
     1. 수평주관의 지름을 줄일 때에는 편심 리듀서를 사용한다.
     2. 수평주관의 지름을 줄일 때에는 응축수가 이음부에 체류하지 않도록 내림구배는 관 밑을 직선으로 일치시킨다.
     3. 증기주관 위쪽에서의 입하관 분기는 상향으로 올린 후에 올림구배로 입하시킨다.
     4. 증기관이나 환수관이 장애물과 교차할 때는 드레인이나 공기가 유통하기 쉽도록 한다.

     정답 : []
     정답률 : 52%

84. 기수혼합식(氣水混合式)급탕 설비에서 일반적으로 사용하고 있는 스팀 시일렌서(steam silencer)의 역할은?
     1. 증기관내에 발생된 공기를 배출한다.
     2. 급탕설비의 효율을 증가시킨다.
     3. 배관내의 이물질을 제거한다.
     4. 소음을 방지한다.

     정답 : []
     정답률 : 76%

85. 긴 직선배관일 경우 강관 신축 이음은 몇 m마다 설치하는 것이 좋은가?
     1. 5m
     2. 10m
     3. 30m
     4. 50m

     정답 : []
     정답률 : 45%

86. 공기 가열기, 열 교환기등 다량의 응축수를 처리하는데 적합하며, 작동원리에 따라 다량트랩, 부자형 트랩으로 구분하는 트랩은?
     1. 벨로즈 트랩
     2. 바이메탈 트랩
     3. 플로트 트랩
     4. 벨 트랩

     정답 : []
     정답률 : 59%

87. 급탕 배관 시공상 주의사항으로 옳지 않은 것은?
     1. 상향식 공급 방식에서 급탕 수평 주관은 선상향 구배로 한다.
     2. 하향식 공급 방식에서는 급탕관은 선상향 구배로 한다.
     3. 상향식 공급 방식에서 복귀관은 선하향 구배로 한다.
     4. 하향식 공급 방식에서는 복귀관은 선하향 구배로 한다.

     정답 : []
     정답률 : 50%

88. 압력 배관용 탄소강관의 두께를 나타내는 스케줄번호(Sch No)에 관한 설명으로 잘못된 것은? (단, P는 사용압력 MPa, S는 허용응력 N/mm2 이다.)
     1. 관의 두께를 나타내는 계산식 이다.
     2. 스케줄번호는 10, 20, 30, 40, 60, 80 등이 있다.
     3. 스케줄번호가 커질수록 관의 두께가 두꺼워진다.
     4. 허용응력은 안전율을 인장강도로 나눈 값이다.

     정답 : []
     정답률 : 65%

89. 동관 접합의 종류가 아닌 것은?
     1. 납땜 접합
     2. 용접 접합
     3. 나사 접합
     4. 플래어 접합

     정답 : []
     정답률 : 64%

90. 도시가스 배관을 시가지의 도로 노면 밑에 매설하는 경우에는 노면으로부터 배관의 외면까지 몇 m 이상을 유지해야 하는가?
     1. 1
     2. 1.2
     3. 1.5
     4. 2

     정답 : []
     정답률 : 56%

91. 전기가 정전되어도 계속하여 급수를 할 수 있으며 급수 오염 가능성이 적은 방식은?
     1. 압력탱크 방식
     2. 수도직결 방식
     3. 부스터 방식
     4. 고가탱크 방식

     정답 : []
     정답률 : 67%

92. 배수배관에서는 관이 막혔을 때 이것을 점검, 수리하기 위해 청소구를 필요로 한다. 청소구 설치 장소로 옳지 않은 것은?
     1. 배수 수평 주관과 배수 수평 분기관의 분기점에 설치
     2. 배수관이 45° 이상의 각도로 방향을 전환하는 곳에 설치
     3. 길이가 긴 수평 배수관인 경우 관경이 100A 이하일 때 5m 마다 설치
     4. 배수 수직관의 제일 밑부분에 설치

     정답 : []
     정답률 : 67%

93. 프레온 냉동장치 냉매 배관 설계시 옳지 않은 것은?
     1. 지나친 압력강하를 방지한다.
     2. 트랩(trap)반경은 되도록 크게 한다.
     3. 정지시 압축기로의 액냉매의 유입을 방지한다.
     4. 압축기를 떠난 윤활유가 다시 압축기로 일정비율로 되돌아오게 한다.

     정답 : []
     정답률 : 60%

94. 다음은 급수배관 방식에 대한 설명이다. 틀린 것은?
     1. 상향급수 배관 방식에서 상향수직관은 상층으로 올라갈수록 관경을 작게 한다.
     2. 하향급수 배관방식은 옥상탱크식의 경우에 흔히 사용되는 배관법으로 급수압이 일정하다.
     3. 상⋅하향 혼용배관 방식은 1, 2층 상향식, 3층이상은 하향식으로 한다.
     4. 상향급수 배관방식은 수평주관이 지하층 천정에 노출 배관되므로 점검, 보수가 용이하다.

     정답 : []
     정답률 : 53%

95. 압축기로부터 응축기에 이르는 배관 설치에 있어서 주의할 사항으로 잘못된 것은?
     1. 배관이 합류될 때는 T자형 보다 Y자형으로 하는 것이 좋다.
     2. 압축기로부터 올라온 토출관이 응축기에 연결되는 수평부분은 응축기쪽으로 하향 구배를 한다.
     3. 2대의 압축기가 아래쪽에 있고 1대의 응축기가 위쪽에 있는 경우 토출가스 헤더는 압축기 위에 배관하여 토출가스관에 연결한다.
     4. 압축기와 응축기가 각각 2대 이상인 경우 압축기의 크랭크 케이스 균압관을 수평으로 배관한다.

     정답 : []
     정답률 : 24%
     <문제 해설>
1)배관합류는 마찰손실 등을 줄이기 위해 Y자형이 더 좋다.
3)압축기보다 토출헤더가 위에 있으면 역류위험이 있다. 따라서 압축기보다 낮은 곳에 토출헤더가 있어야한다.

96. 냉동 배관시 플렉시블 조인트의 설치에 관한 설명으로 틀린 것은?
     1. 가급적 압축기 가까이에 설치한다.
     2. 압축기의 진동방향에 대하여 직각으로 설치한다.
     3. 압축기가 가동할 때 무리한 힘이 가해지지 않도록 설치한다.
     4. 기계⋅구조물 등과 견고하게 접촉되도록 설치한다.

     정답 : []
     정답률 : 61%

97. 배관의 하중을 위에서 걸어 당겨 지지하는 행거(Hanger)중 상하 방향의 변위가 없는 개소에 사용하는 것은?
     1. 콘스탄트 행거(constant hanger)
     2. 리지드 행거(rigid hanger)
     3. 버리어블 행거(variable hanger)
     4. 스프링 행거(spring hanger)

     정답 : []
     정답률 : 59%

98. 다음 중 유체의 종류가 냉동기 유(油)을 표시하는 문자는?
     1. G
     2. A
     3. O
     4. V

     정답 : []
     정답률 : 64%

99. 도기가스 배관 설치에 관한 내용으로 틀린 것은?
     1. 가스배관을 지상에 설치할 경우에는 황색으로 표시한다.
     2. 중압 가스배관을 매설할 경우에는 적색으로 표시한다.
     3. 배관을 지하에 매설하는 경우에는 배관이 매설되어 있음을 표시한다.
     4. 배관을 지하에 매설하는 경우에는 사용 가스명을 표시하지 않아도 된다.

     정답 : []
     정답률 : 56%

100. 공조배관 설계시 유속을 빠르게 했을 경우 발생되지 않는 것은?
     1. 관경이 적어진다.
     2. 운전비가 감소한다.
     3. 소음이 발생된다.
     4. 마찰손실이 증대한다.

     정답 : []
     정답률 : 63%


정 답 지

1

2

3

4

5

6

7

8

9

10

11

12

13

14

15

16

17

18

19

20

21

22

23

24

25

26

27

28

29

30

31

32

33

34

35

36

37

38

39

40

41

42

43

44

45

46

47

48

49

50

51

52

53

54

55

56

57

58

59

60

61

62

63

64

65

66

67

68

69

70

71

72

73

74

75

76

77

78

79

80

81

82

83

84

85

86

87

88

89

90

91

92

93

94

95

96

97

98

99

100

공조냉동기계기사(구) 필기 기출문제(해설) 및 CBT 2009년03월01일을 이용해 주셔서 감사합니다.
, 필기, 기출문제, 전자문제집, CBT, 온라인, 모의테스트, 모의고사



List of Articles
번호 제목 글쓴이 날짜 조회 수
25819 잠수산업기사 필기 기출문제(해설) 및 CBT 모의고사(2025년 12월 03일)(1234634) new 좋은아빠되기 2025.12.03 0
25818 9급 지방직 공무원 서울시 자동차구조원리(유공자) 필기 기출문제(해설) 및 CBT 2023년06월10일 new 좋은아빠되기 2025.12.03 0
25817 전자캐드기능사 필기 기출문제(해설) 및 CBT 2004년07월18일(4회) new 좋은아빠되기 2025.12.03 0
25816 9급 국가직 공무원 형법총론 필기 기출문제(해설) 및 CBT 2013년07월27일 new 좋은아빠되기 2025.12.03 0
25815 유기농업기사 필기 기출문제(해설) 및 CBT 2017년03월05일 new 좋은아빠되기 2025.12.03 0
25814 식품가공기능사 필기 기출문제(해설) 및 CBT 2002년04월07일(2회) new 좋은아빠되기 2025.12.03 1
25813 9급 국가직 공무원 회계원리 필기 기출문제(해설) 및 CBT 2023년04월08일 new 좋은아빠되기 2025.12.03 1
25812 원예기능사 필기 기출문제(해설) 및 CBT 2003년07월20일(4회) new 좋은아빠되기 2025.12.03 1
25811 사회조사분석사 1급 필기 기출문제(해설) 및 CBT 모의고사(2025년 12월 03일)(3670911) new 좋은아빠되기 2025.12.03 1
» 공조냉동기계기사(구) 필기 기출문제(해설) 및 CBT 2009년03월01일 new 좋은아빠되기 2025.12.03 1
25809 건설안전기사 필기 기출문제(해설) 및 CBT 모의고사(2025년 12월 03일)(7916689) new 좋은아빠되기 2025.12.03 1
25808 9급 지방직 공무원 재난관리론 필기 기출문제(해설) 및 CBT 2022년06월18일 new 좋은아빠되기 2025.12.03 1
25807 경찰공무원(순경) 사회 필기 기출문제(해설) 및 CBT 2017년09월02일 new 좋은아빠되기 2025.12.03 1
25806 수능(화학I) 필기 기출문제(해설) 및 CBT 2006년11월16일 new 좋은아빠되기 2025.12.03 1
25805 수능(경제) 필기 기출문제(해설) 및 CBT 2014년10월07일 new 좋은아빠되기 2025.12.03 1
25804 9급 지방직 공무원 서울시 기계일반 필기 기출문제(해설) 및 CBT 2018년03월24일 new 좋은아빠되기 2025.12.03 2
25803 전산회계운용사 2급 필기 기출문제(해설) 및 CBT 모의고사(2025년 12월 03일)(831156) new 좋은아빠되기 2025.12.03 1
25802 멀티미디어콘텐츠제작전문가 필기 기출문제(해설) 및 CBT 2021년03월07일 new 좋은아빠되기 2025.12.03 1
25801 컴퓨터활용능력 2급 필기 기출문제(해설) 및 CBT 2009년07월26일 new 좋은아빠되기 2025.12.03 1
25800 9급 지방직 공무원 서울시 물리 필기 기출문제(해설) 및 CBT 2016년06월25일 new 좋은아빠되기 2025.12.03 1
Board Pagination Prev 1 2 3 4 5 6 7 8 9 10 ... 1291 Next
/ 1291