자격증 필기 기출문제



9급 지방직 공무원 서울시 전자공학개론 필기 기출문제(해설) 및 CBT 2017년06월24일

최강 자격증 기출문제 전자문제집 CBT : www.comcbt.com


전자문제집 CBT란?
종이 문제집이 아닌 인터넷으로 문제를 풀고 자동으로 채점하며 모의고사, 오답 노트, 해설까지 제공하는
무료 기출문제 학습 프로그램으로 실제 상설검정에서 사용하는 OMR 형식의 CBT를 제공합니다.

최신 9급 지방직 공무원 서울시 전자공학개론 필기 기출문제 : [다운로드]


1. 다음 회로에 대한 설명으로 옳지 않은 것은?

   

     1. 달링턴 쌍(Darington Pair) 회로이다.
     2. 입력저항을 크게 하기 위한 목적으로 사용되며 입력저항은 β1β2RE이다.
     3. 전체 전류이득은 β1β2이다.
     4. 트랜지스터 Q2의 이미터 전류 Ie21β2Ie1이다.

     정답 : []
     정답률 : 50%

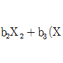
2. 다음 연산증폭기에서 Z1(s)는 저항 R1과 커패시터 C1의 병렬회로, Z2(s)는 저항 R2와 커패시터 C2의 병렬회로이다. R1=1[kΩ], R2=2[kΩ], C1=0.5[mF], C2=0.1[mF] 일 때 Vo(s)/Vi(s)는?

   

     1.
     2.
     3.
     4.

     정답 : []
     정답률 : 45%

3. 다음 회로에서 부하 ZL에 최대 평균전력이 전달되기 위한 ZL값과 이때의 소비전력은?

   

     1. 2[Ω], 32[W]
     2. j2[Ω], 32[W]
     3. 2-j2[Ω], 16[W]
     4. 2+j2[Ω], 16[W]

     정답 : []
     정답률 : 69%

4. 다음 회로에서 Rab는 얼마인가?

   

     1. 1[Ω]
     2. 2[Ω]
     3. 3[Ω]
     4. 4[Ω]

     정답 : []
     정답률 : 79%

5. 다음의 값들 중에서 다른 하나는 무엇인가?
     1. 20510
     2. 110010112
     3. 3138
     4. CB16

     정답 : []
     정답률 : 81%

6. 회로 내 어떤 저항 R의 양단 전압이 v(t)=VMcos(wt)[V] 일 때, 이 저항 R에서의 전류 i(t)[A]와 순시전력 P[W]에 대하여 옳지 않은 것은?
     1. 전류 i(t)의 각주파수는 w[rad/s]이다.
     2. 전류 i(t)의 최댓값은 VM/R[A]이다.
     3. 순시전력 P의 각주파수는 2w[rad/s]이다.
     4. 순시전력 P의 최댓값은 [W]이다.

     정답 : []
     정답률 : 81%

7. 다음 회로에서 V1(r1의 양단 전압)이 V2(r2의 양단 전압)의 2배일 때, 저항 r1과 저항 r2의 값은?

   

     1. r1=1/3[Ω], r2=2/3[Ω]
     2. r1=2/3[Ω], r2=1/3[Ω]
     3. r1=10/6[Ω], r2=5/6[Ω]
     4. r1=5/6[Ω], r2=10/6[Ω]

     정답 : []
     정답률 : 69%

8. 다음 회로에서 3[Ω] 저항이 소비하는 전력은?

   

     1. 25[W]
     2. 50[W]
     3. 75[W]
     4. 100[W]

     정답 : []
     정답률 : 72%

9. 다음 회로의 등가 어드미턴스 Y는 각주파수 w가 1,000[rad/s] 일 때 1+j2이다. C값은 얼마인가?

   

     1. 0.2[mF]
     2. 1.5[mF]
     3. 2[mF]
     4. 2.5[mF]

     정답 : []
     정답률 : 57%

10. MOSFET가 JFET에 비해 가지고 있는 특징으로 옳지 않은 것은?
     1. 입력 저항이 크다.
     2. 캐리어의 이동도가 높다.
     3. 소스 - 드레인 사이가 전기적으로 기판에서 독립되어 있다.
     4. 한 장의 기판 위에서 얻을 수 있는 소자 수가 많아 집적회로에 유리하다.

     정답 : []
     정답률 : 48%

11. 다음은 BJT 증폭기에 대한 등가회로의 한 예이다. 소자 값들이 RS=500[Ω], Ri=1[kΩ], Ro=40[kΩ], RL=10[kΩ], Ai=100으로 주어질 때 전류의 비 io/ii는?

    

     1. 20
     2. 50
     3. 80
     4. 100

     정답 : []
     정답률 : 38%

12. 다음 회로에 대한 설명으로 옳지 않은 것은?

    

     1. B급 푸시풀 전력 증폭기이다.
     2. vout에서는 vin입력과 위상이 반전된 출력이 나온다.
     3. 입력신호의 양의 반주기 동안 Q1트랜지스터가 도통된다.
     4. 교차왜곡이 없는 경우, Q1이 도통되면 Q2는 차단된다.

     정답 : []
     정답률 : 56%

13. 다음 회로에서 t≥0에서 시간에 관한 vL(t)의 식은? (단, 스위치는 충분히 오랫동안 닫혀 있었고 t=0에서 열린다.)

    

     1. vL(t)=80e-4×10-6t [V]
     2. vL(t)=80e-4×106t [V]
     3. vL(t)=50e-2.5×10-5t [V]
     4. vL(t)=50e-2.5×105t [V]

     정답 : []
     정답률 : 37%

14. R=6[Ω], XL=8[Ω]인 직렬 RL회로에서 100[V], 60[Hz]의 교류전압을 인가할 때 회로에 공급되는 유효전력은?
     1. 300[W]
     2. 400[W]
     3. 600[W]
     4. 800[W]

     정답 : []
     정답률 : 54%

15. 다음은 n형 반도체와 p형 반도체에 대한 설명이다. 옳은 것을 모두 고르면?

    

     1. ⓐ, ⓕ
     2. ⓑ, ⓔ
     3. ⓒ, ⓗ
     4. ⓓ, ⓖ

     정답 : []
     정답률 : 83%

16. 다음 회로가 직류정상상태에 있다고 할 때 커패시터의 전압 v는?

    

     1. 12[V]
     2. 16[V]
     3. 24[V]
     4. 32[V]

     정답 : []
     정답률 : 32%

17. 코일을 감은 횟수가 100회이고, 0.2초 동안에 자속이 8[Wb]에서 4[Wb]로 감소했다면, 이 코일에 유도되는 유도기전력은?
     1. 2×102[V]
     2. 2×103[V]
     3. 4×102[V]
     4. 4×103[V]

     정답 : []
     정답률 : 75%

18. 다음 회로의 동작을 설명한 것으로 옳지 않은 것은?

    

     1. A점에서 VGS=0[V]일 때 VDS=0이면 ID=0이 된다.
     2. B-C영역에서 VDS와 ID가 옴(Ohm)의 법칙을 따르므로 저항성 영역이라 한다.
     3. VGS=0[V]일 때, ID가 일정하게 되는 B점을 핀치오프 전압(pinch-off voltage)이라 한다.
     4. C점 이후의 영역은 드레인과 게이트 사이의 역바이어스가 커져 항복현상(break down)이 일어난다.

     정답 : []
     정답률 : 67%

19. 다음 논리 회로를 만족하는 출력 F의 논리식은?

    

     1.
     2.
     3.
     4.

     정답 : []
     정답률 : 67%

20. Ain단자에 아래의 입력 Vin이 주어졌을 때 Aout에서의 출력파형은?

    

     1.
     2.
     3.
     4.

     정답 : []
     정답률 : 62%


정 답 지

9급 지방직 공무원 서울시 전자공학개론 필기 기출문제(해설) 및 CBT 2017년06월24일

최강 자격증 기출문제 전자문제집 CBT : www.comcbt.com


전자문제집 CBT란?
종이 문제집이 아닌 인터넷으로 문제를 풀고 자동으로 채점하며 모의고사, 오답 노트, 해설까지 제공하는
무료 기출문제 학습 프로그램으로 실제 상설검정에서 사용하는 OMR 형식의 CBT를 제공합니다.

최신 9급 지방직 공무원 서울시 전자공학개론 필기 기출문제 : [다운로드]


1. 다음 회로에 대한 설명으로 옳지 않은 것은?

   

     1. 달링턴 쌍(Darington Pair) 회로이다.
     2. 입력저항을 크게 하기 위한 목적으로 사용되며 입력저항은 β1β2RE이다.
     3. 전체 전류이득은 β1β2이다.
     4. 트랜지스터 Q2의 이미터 전류 Ie21β2Ie1이다.

     정답 : []
     정답률 : 50%

2. 다음 연산증폭기에서 Z1(s)는 저항 R1과 커패시터 C1의 병렬회로, Z2(s)는 저항 R2와 커패시터 C2의 병렬회로이다. R1=1[kΩ], R2=2[kΩ], C1=0.5[mF], C2=0.1[mF] 일 때 Vo(s)/Vi(s)는?

   

     1.
     2.
     3.
     4.

     정답 : []
     정답률 : 45%

3. 다음 회로에서 부하 ZL에 최대 평균전력이 전달되기 위한 ZL값과 이때의 소비전력은?

   

     1. 2[Ω], 32[W]
     2. j2[Ω], 32[W]
     3. 2-j2[Ω], 16[W]
     4. 2+j2[Ω], 16[W]

     정답 : []
     정답률 : 69%

4. 다음 회로에서 Rab는 얼마인가?

   

     1. 1[Ω]
     2. 2[Ω]
     3. 3[Ω]
     4. 4[Ω]

     정답 : []
     정답률 : 79%

5. 다음의 값들 중에서 다른 하나는 무엇인가?
     1. 20510
     2. 110010112
     3. 3138
     4. CB16

     정답 : []
     정답률 : 81%

6. 회로 내 어떤 저항 R의 양단 전압이 v(t)=VMcos(wt)[V] 일 때, 이 저항 R에서의 전류 i(t)[A]와 순시전력 P[W]에 대하여 옳지 않은 것은?
     1. 전류 i(t)의 각주파수는 w[rad/s]이다.
     2. 전류 i(t)의 최댓값은 VM/R[A]이다.
     3. 순시전력 P의 각주파수는 2w[rad/s]이다.
     4. 순시전력 P의 최댓값은 [W]이다.

     정답 : []
     정답률 : 81%

7. 다음 회로에서 V1(r1의 양단 전압)이 V2(r2의 양단 전압)의 2배일 때, 저항 r1과 저항 r2의 값은?

   

     1. r1=1/3[Ω], r2=2/3[Ω]
     2. r1=2/3[Ω], r2=1/3[Ω]
     3. r1=10/6[Ω], r2=5/6[Ω]
     4. r1=5/6[Ω], r2=10/6[Ω]

     정답 : []
     정답률 : 69%

8. 다음 회로에서 3[Ω] 저항이 소비하는 전력은?

   

     1. 25[W]
     2. 50[W]
     3. 75[W]
     4. 100[W]

     정답 : []
     정답률 : 72%

9. 다음 회로의 등가 어드미턴스 Y는 각주파수 w가 1,000[rad/s] 일 때 1+j2이다. C값은 얼마인가?

   

     1. 0.2[mF]
     2. 1.5[mF]
     3. 2[mF]
     4. 2.5[mF]

     정답 : []
     정답률 : 57%

10. MOSFET가 JFET에 비해 가지고 있는 특징으로 옳지 않은 것은?
     1. 입력 저항이 크다.
     2. 캐리어의 이동도가 높다.
     3. 소스 - 드레인 사이가 전기적으로 기판에서 독립되어 있다.
     4. 한 장의 기판 위에서 얻을 수 있는 소자 수가 많아 집적회로에 유리하다.

     정답 : []
     정답률 : 48%

11. 다음은 BJT 증폭기에 대한 등가회로의 한 예이다. 소자 값들이 RS=500[Ω], Ri=1[kΩ], Ro=40[kΩ], RL=10[kΩ], Ai=100으로 주어질 때 전류의 비 io/ii는?

    

     1. 20
     2. 50
     3. 80
     4. 100

     정답 : []
     정답률 : 38%

12. 다음 회로에 대한 설명으로 옳지 않은 것은?

    

     1. B급 푸시풀 전력 증폭기이다.
     2. vout에서는 vin입력과 위상이 반전된 출력이 나온다.
     3. 입력신호의 양의 반주기 동안 Q1트랜지스터가 도통된다.
     4. 교차왜곡이 없는 경우, Q1이 도통되면 Q2는 차단된다.

     정답 : []
     정답률 : 56%

13. 다음 회로에서 t≥0에서 시간에 관한 vL(t)의 식은? (단, 스위치는 충분히 오랫동안 닫혀 있었고 t=0에서 열린다.)

    

     1. vL(t)=80e-4×10-6t [V]
     2. vL(t)=80e-4×106t [V]
     3. vL(t)=50e-2.5×10-5t [V]
     4. vL(t)=50e-2.5×105t [V]

     정답 : []
     정답률 : 37%

14. R=6[Ω], XL=8[Ω]인 직렬 RL회로에서 100[V], 60[Hz]의 교류전압을 인가할 때 회로에 공급되는 유효전력은?
     1. 300[W]
     2. 400[W]
     3. 600[W]
     4. 800[W]

     정답 : []
     정답률 : 54%

15. 다음은 n형 반도체와 p형 반도체에 대한 설명이다. 옳은 것을 모두 고르면?

    

     1. ⓐ, ⓕ
     2. ⓑ, ⓔ
     3. ⓒ, ⓗ
     4. ⓓ, ⓖ

     정답 : []
     정답률 : 83%

16. 다음 회로가 직류정상상태에 있다고 할 때 커패시터의 전압 v는?

    

     1. 12[V]
     2. 16[V]
     3. 24[V]
     4. 32[V]

     정답 : []
     정답률 : 32%

17. 코일을 감은 횟수가 100회이고, 0.2초 동안에 자속이 8[Wb]에서 4[Wb]로 감소했다면, 이 코일에 유도되는 유도기전력은?
     1. 2×102[V]
     2. 2×103[V]
     3. 4×102[V]
     4. 4×103[V]

     정답 : []
     정답률 : 75%

18. 다음 회로의 동작을 설명한 것으로 옳지 않은 것은?

    

     1. A점에서 VGS=0[V]일 때 VDS=0이면 ID=0이 된다.
     2. B-C영역에서 VDS와 ID가 옴(Ohm)의 법칙을 따르므로 저항성 영역이라 한다.
     3. VGS=0[V]일 때, ID가 일정하게 되는 B점을 핀치오프 전압(pinch-off voltage)이라 한다.
     4. C점 이후의 영역은 드레인과 게이트 사이의 역바이어스가 커져 항복현상(break down)이 일어난다.

     정답 : []
     정답률 : 67%

19. 다음 논리 회로를 만족하는 출력 F의 논리식은?

    

     1.
     2.
     3.
     4.

     정답 : []
     정답률 : 67%

20. Ain단자에 아래의 입력 Vin이 주어졌을 때 Aout에서의 출력파형은?

    

     1.
     2.
     3.
     4.

     정답 : []
     정답률 : 62%


정 답 지

1

2

3

4

5

6

7

8

9

10

11

12

13

14

15

16

17

18

19

20

9급 지방직 공무원 서울시 전자공학개론 필기 기출문제(해설) 및 CBT 2017년06월24일을 이용해 주셔서 감사합니다.
, 필기, 기출문제, 전자문제집, CBT, 온라인, 모의테스트, 모의고사



List of Articles
번호 제목 글쓴이 날짜 조회 수
26556 컴활 1급 필기 기출문제(해설) 및 CBT 2005년05월15일 new 좋은아빠되기 2025.12.05 1
26555 인간공학기사 필기 기출문제(해설) 및 CBT 2011년08월21일 new 좋은아빠되기 2025.12.05 1
26554 공조냉동기계기사(구) 필기 기출문제(해설) 및 CBT 2021년05월15일 new 좋은아빠되기 2025.12.05 1
26553 전자산업기사 필기 기출문제(해설) 및 CBT 2016년05월08일 new 좋은아빠되기 2025.12.05 1
26552 정밀측정산업기사 필기 기출문제(해설) 및 CBT 2005년03월20일 new 좋은아빠되기 2025.12.05 1
26551 컴활 1급 필기 기출문제(해설) 및 CBT 모의고사(2025년 12월 05일)(9748907) new 좋은아빠되기 2025.12.05 2
26550 실내건축기사(구) 필기 기출문제(해설) 및 CBT 2004년03월07일 new 좋은아빠되기 2025.12.05 1
26549 9급 국가직 공무원 과학 필기 기출문제(해설) 및 CBT 2021년04월17일 new 좋은아빠되기 2025.12.05 1
26548 9급 지방직 공무원 서울시 건축계획 필기 기출문제(해설) 및 CBT 2019년06월15일 new 좋은아빠되기 2025.12.05 1
26547 소방공무원(경력) 소방관계법규(구) 필기 기출문제(해설) 및 CBT 2021년04월03일 new 좋은아빠되기 2025.12.05 1
26546 정보처리산업기사 필기 기출문제(해설) 및 CBT 모의고사(2025년 12월 05일)(3193634) new 좋은아빠되기 2025.12.05 2
26545 패션머천다이징산업기사 필기 기출문제(해설) 및 CBT 2007년03월04일 new 좋은아빠되기 2025.12.05 2
26544 전산응용토목제도기능사 필기 기출문제(해설) 및 CBT 2010년10월03일(5회) new 좋은아빠되기 2025.12.05 1
26543 유통관리사 3급 필기 기출문제(해설) 및 CBT 모의고사(2025년 12월 05일)(6584603) new 좋은아빠되기 2025.12.05 1
» 9급 지방직 공무원 서울시 전자공학개론 필기 기출문제(해설) 및 CBT 2017년06월24일 new 좋은아빠되기 2025.12.05 2
26541 청소년상담사 2급(1교시) 필기 기출문제(해설) 및 CBT 2018년10월06일 new 좋은아빠되기 2025.12.05 1
26540 9급 국가직 공무원 건축계획 필기 기출문제(해설) 및 CBT 2021년04월17일 new 좋은아빠되기 2025.12.05 1
26539 전파통신기능사(구) 필기 기출문제(해설) 및 CBT 모의고사(2025년 12월 05일)(1045723) new 좋은아빠되기 2025.12.05 2
26538 무선설비산업기사 필기 기출문제(해설) 및 CBT 2009년05월10일 new 좋은아빠되기 2025.12.05 2
26537 9급 지방직 공무원 서울시 화학공학일반 필기 기출문제(해설) 및 CBT 2018년06월23일 new 좋은아빠되기 2025.12.05 0
Board Pagination Prev 1 2 3 4 5 6 7 8 9 10 ... 1332 Next
/ 1332