자격증 필기 기출문제



공조냉동기계기사(구) 필기 기출문제(해설) 및 CBT 2021년05월15일

최강 자격증 기출문제 전자문제집 CBT : www.comcbt.com


전자문제집 CBT란?
종이 문제집이 아닌 인터넷으로 문제를 풀고 자동으로 채점하며 모의고사, 오답 노트, 해설까지 제공하는
무료 기출문제 학습 프로그램으로 실제 상설검정에서 사용하는 OMR 형식의 CBT를 제공합니다.

최신 공조냉동기계기사(구) 필기 기출문제 : [다운로드]


1과목 : 기계열역학


1. 4kg의 공기를 온도 15℃에서 일정 체적으로 가열하여 엔트로피가 3.35kJ/K 증가하였다. 이 때 온도는 약 몇 K인가? (단, 공기의 정적비열은 0.717kJ/(kgㆍK)이다.
     1. 927
     2. 337
     3. 533
     4. 483

     정답 : []
     정답률 : 56%
     <문제 해설>
dS=G*Cp*ln T2/T1
3.35=4*0.717*ln T2/(15+273)
T2=e^(3.35/(4*0.717) * (15+273) = 926.136
[해설작성자 : 부산촌넘]

2. 카르노사이클로 작동되는 열기관이 200kJ의 열을 200℃에서 공급받아 20℃에서 방출한다면 이 기관의 일은 약 얼마인가?
     1. 38kJ
     2. 54kJ
     3. 63kJ
     4. 76kJ

     정답 : []
     정답률 : 66%
     <문제 해설>
ㅇ 카르노사이클 열효율 = W/Q = 1-(T2/T1)
ㅇ 기관의 일 W = 200 * (1-(20+273)/(200+273)= 76KJ
[해설작성자 : 내 길을 갈뿐]

3. 기체상수가 0.462kJ/(kgㆍK)인 수증기를 이상기체로 간주할 때 정압비열 (kJ/(kgㆍK)은 약 얼마인가? (단, 이 수증기의 비열비는 1.33이다.)
     1. 1.86
     2. 1.54
     3. 0.64
     4. 0.44

     정답 : []
     정답률 : 59%
     <문제 해설>
(1) Cp / Cv = k = 1.33 : 비열비
(2) Cp - Cv = R = 0462 KJ / (kg·K) : 기체상수

(2)에서 양변을 Cv로 나누면,
     - Cp / Cv - 1 = R / Cv    → k - 1 = R / Cv
     - 정적비열과 비열비를 바꾸면, Cv = R / (k - 1)

(1) 에서 Cp / Cv = k → Cp = k·Cv = k·R / (k - 1)
     → Cp = 1.33 * 0.462 / (1.33 - 1)= 1.862
[해설작성자 : 삶의길을따라]

4. 다음 4가지 경우에서 ( )안의 물질이 보유한 엔트로피가 증가한 경우는?

   

     1.
     2.
     3.
     4.

     정답 : []
     정답률 : 77%
     <문제 해설>
어떤 물질이 열을 받으면 Entropy가 증가.
[해설작성자 : 나대로]

5. 이상적인 오토사이클의 열효율이 56.5%이라면 압축비는 약 얼마인가? (단, 작동 유체의 비열비는 1.4로 일정하다.)
     1. 7.5
     2. 8.0
     3. 9.0
     4. 9.5

     정답 : []
     정답률 : 70%
     <문제 해설>
η = 1- { 1 / R ^ (k - 1)}

η : 열효율
R : 압축비
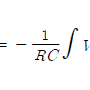
k : 비열비

R = { 1 / ( 1 - η ) } ^ {1 /(k - 1)}

※ 열효율 산출식으로 계산기의 SOLVE 기능 적용하여도 같은 값이 나옵니다.
[해설작성자 : 삶의길을따라]

6. 시스템 내의 임의의 이상기체 1kg이 채워져 있다. 이 기체의 정압비열은 1.0kJ/(kgㆍK)이고, 초기 온도가 50℃인 상태에서 323kJ의 열량을 가하여 팽창시킬 때 변경 후 체적은 변경 전 체적의 약 몇 배가 되는가? (단, 정압과정으로 팽창한다.)
     1. 1.5배
     2. 2배
     3. 2.5배
     4. 3배

     정답 : []
     정답률 : 72%
     <문제 해설>
열량 Q = m x Cp x (T2 - T1) = 323 = 1 x 1.0 x (T2 - 323)
T2 = 323 + 323 = 646[K]
P1·V1/T1 = P2·V2/T2 에서, 정압과정이기에, V1/T1 = V2/T2
V2 = V1/T1 x T2 = V1/363 x 646 = 2·V1
[해설작성자 : 나대로]

7. 그림과 같은 Rankine 사이클의 열효율은 약 얼마인가? (단, h는 엔탈피, s는 엔트로피를 나타내며, h1=191.8kJ/kg, h2=193.8kJ/kg, h3=2799.5kJ/kg, h4=2007.5kJ/kg이다.)

   

     1. 30.3%
     2. 36.7%
     3. 42.9%
     4. 48.1%

     정답 : []
     정답률 : 66%
     <문제 해설>
η_Rankine = 1 - (h_4-h_1)/(h_3-h_2)
= 1 - (2007.5 - 191.8)/(2799.5 - 193.8)
= 0.3032 = 30.32%
[해설작성자 : 나대로]

8. 복사열을 방사하는 방사율과 면적이 같은 2개의 방열판이 있다. 각각의 온도가 A방열판은 120℃, B방열판은 80℃일 때 두 방열판의 복사 열전달량(QA/QB)비는?
     1. 1.08
     2. 1.22
     3. 1.54
     4. 2.42

     정답 : []
     정답률 : 64%
     <문제 해설>
복사열 전달량 Q = 절대온도의 4제곱에 비례하므로,
Q_A / Q_B = {(120+273)/(80+273)}^4 = 1.5363
[해설작성자 : 나대로]

9. 질량이 5kg인 강제 용기 속에 물이 20L들어있다. 용기와 물이 24℃인 상태에서 이속에 질량이 5kg이고 온도가 180℃인 어떤 물체를 넣었더니 일정 시간 후 온도가 35℃가 되면서 열평형에 도달하였다. 이 때 이 물체의 비열은 약 몇 kJ/(kgㆍK)인가?(단, 물의 비열은 4.2kJ/(kgㆍK), 강의 비열은 0.46kJ/(kgㆍK)이다.)
     1. 0.88
     2. 1.12
     3. 1.31
     4. 1.86

     정답 : []
     정답률 : 49%
     <문제 해설>
{m1*c1*(tm-t1)}+{m2*c2*(tm-t1)}=m3*c3*(t3-tm)
c3=넘긴값
[해설작성자 : 해설 반만씀]

10. 어느 왕복동 내연기관에서 실린더 안지름이 6.8cm, 행정이 8cm일 때 평균유효압력은 1200kPa이다. 이 기관의 1행정당 유효 일은 약 몇 kJ인가?
     1. 0.09
     2. 0.15
     3. 0.35
     4. 0.48

     정답 : []
     정답률 : 52%
     <문제 해설>
평균 유효 압력 Pae = 일/행정체적
1200[kPa] = 1200[kN/m^2] = W / (π/4 x 0.068^2[m^2] x 0.08[m])
W = 1200[kN/m^2] x (π/4 x 0.068^2[m^2] x 0.08[m]) = 0.34864[kN·m] = 0.35[kJ]
[해설작성자 : 나대로]

11. 실린더에 밀폐된 8kg의 공기가 그림과 같이 압력 P1=800kPa, 체적 V1=0.27m3에서 P2=350kPa, V2=0.80m3으로 직선 변화하였다. 이 과정에서 공기가 한 일은 약 몇 kJ인가?

    

     1. 305
     2. 334
     3. 362
     4. 390

     정답 : []
     정답률 : 66%
     <문제 해설>
1과 2에서 각각 V축으로 수직으로 선을 그었을 때, 그려지는 사각형의 면적이 공기가 한 일이 되기에,
가로(V2 - V1 = 0.80 - 0.27 = 0.53[m^3]) x 세로(P1 = 800[kPa] = 800[kN/m^2]) = 424[kN·m] = 424[kJ]
여기서 삼각형에 해당하는 면적을 빼줘야 하므로,
424 - {1/2 x 밑변(V2 - V1 = 0.80 - 0.27 = 0.53[m^3]) x 높이(P1 - P2 = 800 - 350[kPa] = 450[kN/m^2])}
= 424 - 0.5 x 238.5 = 424 - 119.25 = 304.75[kJ]
[해설작성자 : 나대로]

12. 상태 1에서 경로 A를 따라 상태 2로 변화하고 경로 B를 따라 다시 상태 1로 돌아오는 가역 사이클이 있다. 아래의 사이클에 대한 설명으로 틀린 것은?

    

     1. 사이클 과정 동안 시스템의 내부에너지 변화량은 0 이다.
     2. 사이클 과정 동안 시스템은 외부로부터 순(net) 일을 받았다.
     3. 사이클 과정 동안 시스템의 내부에서 외부로 순(net) 열이 전달되었다.
     4. 이 그림으로 사이클 과정 동안 총 엔트로피 변화량을 알 수 없다.

     정답 : []
     정답률 : 67%

13. 보일러, 터빈, 응축기, 펌프로 구성되어 있는 증기원동소가 있다. 보일러에서 2500kW의 열이 발생하고 터빈에서 550kW의 일을 발생시킨다. 또한, 펌프를 구동하는데 20kW의 동력이 추가로 소모된다면 응축기에서의 방열량은 약 몇 kW인가?
     1. 980
     2. 1930
     3. 1970
     4. 3070

     정답 : []
     정답률 : 52%
     <문제 해설>
응축기 방열량은 사이클에서 방출한 열량이다.
보일러와 펌프에서 흡수한 열량은 2520kW이고, 터빈에서 방출한 열량은 550kW 이다.
흡수한 열량과 방출한 열량의 평형식을 세우면 2520 = (응축기 방열량) + 550 이다.
즉 응축기 방열량은 1970kW 이다.
[해설작성자 : Doll고래]

1. U = Q - W 에 대입    
2. 0 = Q1 - (WT + WP) + Q2 = 2500 - (550 + (-20)) + Q2
3. Q2 = 1970 KW
[해설작성자 : 꿀호떡]

14. 유리창을 통해 실내에서 실외로 열전달이 일어난다. 이때 열전달이 일어난다. 이때 열전달량은 약 몇 W인가? (단, 대류열전달계수는 50W/m2ㆍK), 유리창 표면온도는 25℃, 외기온도는 10℃, 유리창면적은 2m2이다.)
     1. 150
     2. 500
     3. 1500
     4. 5000

     정답 : []
     정답률 : 74%
     <문제 해설>
Q=KA(t2-t1)
[해설작성자 : 열역학만 공부함]

15. 냉동기 냉매의 일반적인 구비조건으로서 적합하지 않은 것은?
     1. 임계 온도가 높고, 응고 온도가 낮을 것
     2. 증발열이 작고, 증기의 비체적이 클 것
     3. 증기 및 액체의 점성(점성계수)이 작을 것
     4. 부식성이 없고, 안정성이 있을 것

     정답 : []
     정답률 : 77%
     <문제 해설>
냉매는 증발열이 커야 적은 양으로 많은 열을 빼앗을 수 있고,
증기의 비체적은 크면 Piston의 토출량이 많아야 하기에, 작아야 함.
[해설작성자 : 나대로]

16. 완전히 단열된 실린더 안의 공기가 피스톤을 밀어 외부로 일을 하였다. 이 때 외부로 행한일의 양과 동일한 값(절대값 기준)을 가지는 것은?
     1. 공기의 엔탈피 변화량
     2. 공기의 온도 변화량
     3. 공기의 엔트로피 변화량
     4. 공기의 내부에너지 변화량

     정답 : []
     정답률 : 65%

17. 오토 사이클로 작동되는 기관에서 실린더의 극간 체적(clearance volume)이 행정체적(stroke volume)의 15%라고 하면 이론 열효율은 약 얼마인가? (단, 비열비 k=1.4이다.)
     1. 39.3%
     2. 45.2%
     3. 50.6%
     4. 55.7%

     정답 : []
     정답률 : 51%
     <문제 해설>
ㅇ 압축비 = (행정체적+극간체적)/극간체적
ㅇ 극간 체적(clearance volume)이 행정체적(stroke volume)의 15%이므로
ㅇ 압축비 = (행정체적+행정체적*0.15)/행정체적*0.15 = 7.67
ㅇ 오토사이클 열효율 = 1-(1/압축비)^k-1 = 1-(1/7.67)^1.4-1 = 0.557 = 55.7%
[해설작성자 : 내 길을 갈뿐]

18. 열역학 제 2법칙과 관계된 설명으로 가장 옳은 것은?
     1. 과정(상태변화)의 방향성을 제시한다.
     2. 열역학적 에너지의 양을 결정한다.
     3. 열역학적 에너지의 종류를 판단한다.
     4. 과정에서 발생한 총 일의 양을 결정한다.

     정답 : []
     정답률 : 73%
     <문제 해설>
열역학 제2법칙 - 열과 일의 변환에 대한 방향성을 제시. 일은 열로 쉬이 변환되지만 열은 일로 쉬이 변환되지 않기에 열기관이 필요함.

열역학 제1법칙 - Energy 보존 법칙이 성립함을 표현한 법칙. 열과 일의 수량적 관계를 나타냄.
[해설작성자 : 나대로]

19. 압력 100kPa, 온도 20℃인 일정량의 이상기체가 있다. 압력을 일정하게 유지하면서 부피가 처음 부피의 2배가 되었을 때 기체의 온도는 약 몇 ℃가 되는가?
     1. 148
     2. 256
     3. 313
     4. 586

     정답 : []
     정답률 : 61%
     <문제 해설>
ㅇ 보일-샤를 법칙 (P1*V1) / T1 = (P2*V2) / T2
ㅇ 지문에서 P1 = P2, V2 = 2*T1 이므로    
ㅇ (100*V1) / (273+20) = (100*2V1) / T2
ㅇ T2 = (200*V1*293) / 100*V1 = 587K =313 ℃
[해설작성자 : 내 길을 갈뿐]

20. 어떤 열기관이 550K의 고열원으로부터 20kJ의 열량을 공급받아 250K의 저열원에 14kJ의 열량을 방축할 때 이 사이클의 Clausius 적분값과 가역, 비가역 여부의 설명으로 옳은 것은?
     1. Clausius 적분값은 –0.0196kJ/K 이고 가역 사이클이다.
     2. Clausius 적분값은 –0.0196kJ/K 이고 비가역 사이클이다.
     3. Clausius 적분값은 0.0196kJ/K 이고 가역 사이클이다.
     4. Clausius 적분값은 0.0196kJ/K 이고 비가역 사이클이다.

     정답 : []
     정답률 : 70%
     <문제 해설>
20/550 - 14/250 = -0.0196 (<0 이므로 비가역)
[해설작성자 : 녹두장군]

2과목 : 냉동공학


21. 냉각탑에 대한 설명으로 틀린 것은?
     1. 밀폐식은 개방식 냉각탑에 비해 냉각수가 외기에 의해 오염될 염려가 적다.
     2. 냉각탑의 성능은 입구공기의 습구온도에 영향을 받는다.
     3. 쿨링 레인지는 냉각탑의 냉각수 입ㆍ출구 온도의 차이다.
     4. 어프로치는 냉각탑의 냉각수 입구온도에서 냉각탑 입구공기의 습구온도의 차이다.

     정답 : []
     정답률 : 74%
     <문제 해설>
쿨링어프로치는 냉각탑의 냉각수 출구온도에서 냉각탑 입구 공기의 습구온도를 제한값
[해설작성자 : 훈]

22. 다음 압축과 관련한 설명으로 옳은 것은?

    

     1. ㉠, ㉣
     2. ㉠, ㉢
     3. ㉡, ㉣
     4. ㉡, ㉢

     정답 : []
     정답률 : 72%
     <문제 해설>
압축기의 Clearance를 크게 하면 체적 효율은 작아짐.
압축비가 크면 냉매 단위 중량당 압축 일량이 커짐.
[해설작성자 : 나대로]

23. 몰리에르 선도 상에서 표준 냉동사이클의 냉매 상태 변화에 대한 설명으로 옳은 것은?
     1. 등엔트로피 변화는 압축과정에서 일어난다.
     2. 등엔트로피 변화는 증발과정에서 일어난다.
     3. 등엔트로피 변화는 팽창과정에서 일어난다.
     4. 등엔트로피 변화는 응축과정에서 일어난다.

     정답 : []
     정답률 : 58%
     <문제 해설>
압축과정 : 등엔트로피
증발과정 : 등압변화
팽창과정 : 교축변화
응축과정 : 등압변화
[해설작성자 : 탑코리안]

24. 흡수식 냉동기에서 냉매의 과냉 원인으로 가장 거리가 먼 것은?
     1. 냉수 및 냉매량 부족
     2. 냉각수 부족
     3. 증발기 전열면적 오염
     4. 냉매에 용액이 혼입

     정답 : []
     정답률 : 67%

25. 흡수식 냉동기에 사용하는 “냉매-흡수제”가 아닌 것은?
     1. 물 – 리튬 브로마이드
     2. 물 - 염화리튬
     3. 물 - 에틸렌글리콜
     4. 암모니아 – 물

     정답 : []
     정답률 : 69%
     <문제 해설>
1, 2. 건물용(2는 잘 안씀)
4. 산업용(1,2 보다 더 저온)

에틸렌글리콜은 부동액
[해설작성자 : 첫기사]

26. 냉동장치의 냉매량이 부족할 때 일어나는 현상으로 옳은 것은?
     1. 흡입압력이 낮아진다.
     2. 토출압력이 높아진다.
     3. 냉동능력이 증가한다.
     4. 흡입압력이 높아진다.

     정답 : []
     정답률 : 62%
     <문제 해설>
냉매가 부족하다 = '증발기에서 증발할 냉매'가 없다.
-> 증발기 내부 압력이 낮아진다.
-> 냉매가 기화하는 양이 줄어서 흡입 압력이 낮아진다.
-> 냉동 효과가 줄어들어 냉동능력도 감소한다.
[해설작성자 : 건전한자]

27. 펠티에(Feltier) 효과를 이용하는 냉동방법에 대한 설명으로 틀린 것은?
     1. 펠티에 효과를 냉동에 이용한 것이 전자냉동 또는 열전기식 냉동법이다.
     2. 펠티에 효과를 냉동법으로 실용화에 어려운 점이 많았으나 반도체 기술이 발달하면서 실용화되었다.
     3. 펠티에 효과가 적용된 냉동방법은 휴대용 냉장고, 가정용 특수냉장고, 물 냉각기, 핵 잠수함 내의 냉난방장치 등에 사용된다.
     4. 증기 압축식 냉동장치와 마찬가지로 압축기, 응축기, 증발기 등을 이용한 것이다.

     정답 : []
     정답률 : 78%

28. 압축기의 기통수가 6기통이며, 피스톤 직경이 140mm, 행정이 110mm, 회전수가 800rpm인 NH3 표준 냉동사이클의 냉동능력(kW)은? (단, 압축기의 체적효율은 0.75, 냉동효과는 1126.3kJ/kg, 비체적은 0.5m3/kg이다.)
     1. 122.7
     2. 148.3
     3. 193.4
     4. 228.9

     정답 : []
     정답률 : 42%
     <문제 해설>
냉동능력
= (피스톤 압출량*냉동효과*체적효율) / (3600*비체적)         [ 1kw = 3600kJ ]
= (487.67*1126.3*0.75)/(3600*0.5) = 228.85 (반올림해서 4번 답인 228.9)
피스톤 압출량 = 단면적*기통수*행정*분당회전수*60 = [(π* (0.14)^2)/4]*6*0.11*800*60 = 487.67
[해설작성자 : 차]

29. 증기압축식 냉동장치에 관한 설명으로 옳은 것은?
     1. 증발식 응축기에서는 대기의 습구온도가 저하하면 고압압력은 통상의 운전압력보다 높게 된다.
     2. 압축기의 흡입압력이 낮게 되면 토출압력도 낮게 되어 냉동능력이 증대한다.
     3. 언로더 부착 압축기를 사용하면 급격하게 부하가 증가하여도 액백현상을 막을 수 있다.
     4. 액배관에 플래시 가스가 발생하면 냉매 순환량이 감소되어 증발기의 냉동능력이 저하된다.

     정답 : []
     정답률 : 75%
     <문제 해설>
1. 증발식 응축기는 암모니아용이다. 물의증발잠열을 이용하며 외기 습구온도의 영향을 많이 받는다.
2. 토출압력이 낮으면 냉동능력이 감소한다.
3. 압축기는 부하가 증가하면 액백현상을 방지하기 어렵다.
[해설작성자 : 재붐차]

30. 증기 압축식 냉동사이클에서 증발온도를 일정하게 유지시키고, 응축온도를 상승시킬 때 나타나는 현상이 아닌 것은?
     1. 소요동력 증가
     2. 성적계수 감소
     3. 토출가스 온도 상승
     4. 플래시 가스 발생량 감소

     정답 : []
     정답률 : 77%

31. 2단압축 1단팽창 냉동장치에서 게이지 압력계로 증발압력 0.19MPa, 응축압력 1.17MPa일 때, 중간냉각기의 절대압력(MPa)은?
     1. 2.166
     2. 1.166
     3. 0.608
     4. 0.409

     정답 : []
     정답률 : 49%
     <문제 해설>
중간압 = (응축압 × 증발압)½ 이때 압력은 절대압력
절대압 = 게이지압 + 대기압
1atm 101325Pa 1013.25hPa 101.325kPa 0.101325MPa 760mmHg 10332mmH2O 10.332mH2O 14.7psi .........
Pc = 1.17 + 0.101325 MPa
Pe = 0.19 + 0.101325 MPa
중간압 = (Pc × Pe)½
            = 0.6086 MPa
[해설작성자 : comcbt.com 이용자]

중간압 = (응축압 × 증발압)^0.5 이때 압력은 절대압력
절대압 = 게이지압 + 대기압
Pc = 1.17 + 0.101325 MPa
Pe = 0.19 + 0.101325 MPa
중간압 = (Pc × Pe)^0.5
                        = 0.6086 MPa
[해설작성자 : 기계기사 박건호]

32. 냉동장치의 운전 중 장치 내에 공기가 침입하였을 때 나타나는 현상으로 옳은 것은?
     1. 토출가스 압력이 낮게 된다.
     2. 모터의 암페어가 적게 된다.
     3. 냉각 능력에는 변화가 없다.
     4. 토출가스 온도가 높게 된다.

     정답 : []
     정답률 : 68%

33. 2단 압축 냉동기에서 냉매의 응축온도가 38℃일 때 수냉식 응축기의 냉각수 입ㆍ출구의 온도가 각각 30℃, 35℃이다. 이 때 냉매와 냉각수와의 대수평균온도차(℃)는?
     1. 2
     2. 5
     3. 8
     4. 10

     정답 : []
     정답률 : 73%
     <문제 해설>
LMTD = (Δt1 - Δt2) / ln(Δt1/Δt2)
= {(38-30) - (38-35)} / ln{(38-30) / (38-35)}
= (8-3)/ln(8/3) = 5/0.98083 = 5.1[℃]
[해설작성자 : 나대로]

34. 냉동장치에서 흡입가스의 압력을 저하시키는 원인으로 가장 거리가 먼 것은?
     1. 냉매 유량의 부족
     2. 흡입배관의 마찰손실
     3. 냉각부하의 증가
     4. 모세관의 막힘

     정답 : []
     정답률 : 56%

35. 다음 중 열통과율이 가장 작은 응축기 형식은? (단, 동일 조건 기준으로 한다.)
     1. 7통로식 응축기
     2. 입형 셸 튜브식 응축기
     3. 공냉식 응축기
     4. 2중관식 응축기

     정답 : []
     정답률 : 73%

36. 고온 35℃, 저온 –10℃에서 작동되는 역카르노 사이클이 적용된 이론 냉동사이클의 성적계수는?
     1. 2.8
     2. 3.2
     3. 4.2
     4. 5.8

     정답 : []
     정답률 : 69%
     <문제 해설>
Coefficient of Performance = T_L / (T_H - T_L)
= (-10+273) / {(35+273) - (-10+273)}
= 5.8444
[해설작성자 : 나대로]

37. 제빙에 필요한 시간을 구하는 공식이 아래와 같다. 이 공식에서 a와 b가 의미하는 것은?

    

     1. a: 브라인온도, b: 결빙두께
     2. a: 결빙두께, b: 브라인유량
     3. a: 결빙두께, b: 브라인온도
     4. a: 브라인유량, b: 결빙두께

     정답 : []
     정답률 : 70%
     <문제 해설>
결빙시간은 브라인온도에 반비례하고, 빙관 정상부의 단변 두께의 제곱에 비례함.
[해설작성자 : 나대로]

38. 브라인 냉각용 증발기가 설치된 소형 냉동기가 있다. 브라인 순환량이 20kg/min이고, 브라인의 입ㆍ출구 온도차는 15K이다. 압축기의 실제 소요동력이 5.6kW일 때, 이 냉동기의 실제 성적계수는? (단, 브라인의 비열은 3.3kJ/kgㆍK이다.)
     1. 1.82
     2. 2.18
     3. 2.94
     4. 3.31

     정답 : []
     정답률 : 59%
     <문제 해설>
Q = G C dT = 냉매순환량 비열 온도차
COP = Q / L = 냉동능력 / 동력
COP = G C dT / L
=20kg/m × 3.3kJ/kgK × 15K × 60m/h ÷ 5.6kW ÷ 4.184kJ/kCal ÷ 860kCal/kWh
=2.9479
[해설작성자 : comcbt.com 이용자]

1. 냉동능력 Q = G*C*dT
2. 성적계수 COP = 냉동능력/동력 = {[20kg/60s] x [3.3kW*s/kg*K] × 15K} ÷ 5.6kW = 2.9464
[해설작성자 : 꿀호떡]

39. 그림에서 사이클 A(1-2-3-4-1)로 운전될 때 증발기의 냉동능력은 5RT, 압축기의 체적효율은 0.78이었다. 그러나 운전 중 부하가 감소하여 압축기 흡입밸브 개도를 줄여서 운전하였더니 사이클 B(1‘-2’-3-4-1-1‘)로 되었다. 사이클 B로 운전될 때의 체적효율이 0.7이라면 이 때의 냉동능력(RT)은 얼마인가? (단, 1RT는 3.8kW이다.)

    

     1. 1.37
     2. 2.63
     3. 2.94
     4. 3.14

     정답 : []
     정답률 : 38%
     <문제 해설>
Q=V×dh×nv / (v×3320)
V토출량m3/h dh엔탈피차 v비체적m3/kg nv체적효율 3320>3320kCal/h=1RT
V=Q×v×3320 /dh×nv
=5 × 3320kCal/h × 0.07m3/kg ÷ (628 - 456 = 172)kJ/kg ÷ 0.78 × 4.184kJ/kCal × 860kCal/kWh
= 36.2389m3/h

XRT = 36.24m3/h × 172kJ/kg × 0.7 ÷ 0.1m3/kg ÷ 3320kCal/h × 1RT ÷ 4.184kJ/kCal
=3.1411
[해설작성자 : comcbt.com 이용자]

SI단위계로 해설추가
냉동능력 P = dh*p*Q*nv = dh*Q*nv/v
dh 엔탈피차, p 밀도(=1/비체적), Q 유량, nv 체적효율, v 비체적
5*3.8 kW = 172 kJ/kg * Q * 0.78/0.07 m3/kg
Q=9.91*10^-3 m3/s
X RT = 172 * Q * 0.07/0.1
X=3.14
[해설작성자 : 응애나기계애기]

40. 직경 10cm, 길이 5m의 관에 두께 5cm의 보온재(열전도율 λ=0.1163W/mㆍK)로 보온을 하였다. 방열층의 내측과 외측의 온도가 각각 –50℃, 30℃이라면 침입하는 전열량(W)은?
     1. 133.4
     2. 248.8
     3. 362.6
     4. 421.7

     정답 : []
     정답률 : 28%
     <문제 해설>
Q[전열량]
ㄴ λ[전도율] x (2 x π[파이] x I[길이]) x (T1 - T2[온도]) / ln(r2 / r1[두께])
ㄴ 0.1163 x (2 x 3.14 x 5) x {30 - (-50)} / ln(0.1 / 0.05)
ㄴ = 421.5W (근삿값으로 답은 4번)
[해설작성자 : 도우인시스 이기찬]

3과목 : 공기조화


41. 보일러의 수위를 제어하는 주된 목적으로 가장 적절한 것은?
     1. 보일러의 급수장치가 동결되지 않도록 하기 위하여
     2. 보일러의 연료공급이 잘 이루어지도록 하기 위하여
     3. 보일러가 과열로 인해 손상되지 않도록 하기 위하여
     4. 보일러에서의 출력을 부하에 따라 조절하기 위하여

     정답 : []
     정답률 : 72%
     <문제 해설>
보일러 수위가 낮아지면 과열로 인해 손상된다.
보일러 수위가 높아지면 예열시간이 길어져 연료소모량 증가, 보일러 열효율이 저하된다.
[해설작성자 : 쩡]

42. 열매에 따른 방열기의 표준방열량(W/m2)기준으로 가장 적절한 것은?
     1. 온수:405.2, 증기:822.3
     2. 온수:523.3, 증기:822.3
     3. 온수:405.2, 증기:755.8
     4. 온수:523.3, 증기:755.8

     정답 : []
     정답률 : 65%
     <문제 해설>
온수방열기 표준방열량 = 450 kcal/kg. 1000w = 860kcal 을 이용하여 450*(1000/860)= 523.3 W/m2
증기방열기 표준방열량 = 650 kcal/kg. 1000w = 860kcal 을 이용하여 650*(1000/860)= 755.8 W/m2
[해설작성자 : 모두합격기원]

43. 에어와셔 내에 온수를 분무할 때 공기는 습공기선도에서 어떠한 변화과정이 일어나는가?
     1. 가습ㆍ냉각
     2. 과냉각
     3. 건조ㆍ냉각
     4. 감습ㆍ과열

     정답 : []
     정답률 : 75%

44. 보일러의 발생증기를 한 곳으로만 취출하면 그 부근에 압력이 저하하여 수면동요 현상과 동시에 비수가 발생된다. 이를 방지하기 위한 장치는?
     1. 급수내관
     2. 비수방지관
     3. 기수분리기
     4. 인젝터

     정답 : []
     정답률 : 77%

45. 복사난방 방식의 특징에 대한 설명으로 틀린 것은?
     1. 실내에 방열기를 설치하지 않으므로 바닥이나 벽면을 유용하게 이용할 수 있다.
     2. 복사열에 의한 난방으로써 쾌감도가 크다.
     3. 외기온도가 갑자기 변하여도 열용량이 크므로 방열량의 조정이 용이하다.
     4. 실내의 온도 분포가 균일하며, 열이 방의 윗 쪽으로 빠지지 않으르모 경제적이다.

     정답 : []
     정답률 : 68%
     <문제 해설>
외기온도의 급변화에 따른 온도조절이 곤란하다.
[해설작성자 : 뿡]

46. 다음 중 난방부하를 경감시키는 요인으로만 짝지어진 것은?
     1. 지붕을 통한 전도 열량, 태양열의 일사부하
     2. 조명부하, 틈새바람에 의한 부하
     3. 실내기구부하, 재실인원의 발생열량
     4. 기기(덕트 등) 부하, 외기부하

     정답 : []
     정답률 : 54%
     <문제 해설>
1. 겨울철 지붕으로 인한 열손실이 발생하므로 난방부하 증가
2. 틈새바람은 겨울철 난방부하
4. 겨울철 외기는 난방부하 증가 요소
[해설작성자 : 동죽이네 A-set]

47. 온수난방의 특징에 대한 설명으로 틀린 것은?
     1. 증기난방에 비하여 연료소비량이 적다.
     2. 예열시간은 길지만 잘 식지 않으므로 증기난방에 비하여 배관의 동결 피해가 적다.
     3. 보일러 취급이 증기보일러에 비해 안전하고 간단하므로 소규모 주택에 적합하다.
     4. 열용량이 크기 때문에 짧은 시간에 예열할 수 있다.

     정답 : []
     정답률 : 75%
     <문제 해설>
온수난방은 예열시간이 길다.
[해설작성자 : asd]

48. 콜드 드래프트 현상의 발생 원인으로 가장 거리가 먼 것은?
     1. 인체 주위의 공기온도가 너무 낮을 때
     2. 기류의 속도가 낮고 습도가 높을 때
     3. 주위 벽면의 온도가 낮을 때
     4. 겨울에 창문의 극간풍이 많을 때

     정답 : []
     정답률 : 72%
     <문제 해설>
2. 기류의 속도가 [높]고 습도가 [낮]을 때 콜드 드래프트 현상이 발생합니다.
[해설작성자 : 도우인시스 이기찬]

49. 다음과 같이 단열된 덕트 내에 공기가 통하고 이것에 열량 Q(kJ/h)와 수분L(kg/h)을 가하여 열평형이 이루어 졌을 때, 공기에 가해진 열량(Q)은 어떻게 나타내는가? (단, 공기의 유량은 G(kg/h), 가열코일 입ㆍ출구의 엔탈피, 절대습도를 각각 h1, h2(kJ/kg), x1, x2(kg/kg)이며, 수분의 엔탈피는 hL(kJ/kg)이다.)

    

     1. G(h2-h1)+LhL
     2. G(x2-x1)+LhL
     3. G(h2-h1)-LhL
     4. G(x2-x1)-LhL

     정답 : []
     정답률 : 59%

50. 대기압(760mmHg)에서 온도 28℃, 상대습도 50%인 습공기 내의 건공기 분압(mmHg)은 얼마인가? (단, 수증기 포화압력은 31.84mmHg이다.)
     1. 16
     2. 32
     3. 372
     4. 744

     정답 : []
     정답률 : 42%
     <문제 해설>
1. 상대습도 = (현재 수증기 a)/(가질 수 있는 최대 수증기) = 1/2,    a = 31.84/2 = 15.92 mmHg
2. 건공기 = 대기압 - 수증기분압 = 760 - 15.92 = 744.08
[해설작성자 : 꿀호떡]

51. 단일덕트 재열방식의 특징에 관한 설명으로 옳은 것은?
     1. 부하 패턴이 다른 다수의 실 또는 존의 공조에 적합하다.
     2. 식당과 같이 잠열부하가 많은 곳의 공조에는 부적합하다.
     3. 전수방식으로서 부하변동이 큰 실이나 존에서 에너지 절약형으로 사용된다.
     4. 시스템의 유지ㆍ보수 면에서는 일반 단일덕트에 비해 우수하다.

     정답 : []
     정답률 : 47%
     <문제 해설>
단일덕트 재열방식: 중앙에서보낸 공기를 각 방의 부하와 설정온도에 맞춰 재(가)열하여 보내는 방식.

1번에서 말한 부하 패턴이 다른 다수의 실에는 제각각에 맞춰서 공기를 보낼 수 있는 재열방식이 적합함
대신 에너지 소모가 심하고 유지보수가 어려움.
[해설작성자 : 첫기사]

52. 온풍난방에서 중력식 순환방식과 비교한 강제 순환방식의 특징에 관한 설명으로 틀린 것은?
     1. 기기 설치장소가 비교적 자유롭다.
     2. 급기 덕트가 작아서 은폐가 용이하다.
     3. 공급되는 공기는 필터 등에 의하여 깨끗하게 처리될 수 있다.
     4. 공기순환이 어렵고 쾌적성 확보가 곤란하다.

     정답 : []
     정답률 : 74%

53. 건구온도 30℃, 절대습도 0.01kg/kg인 외부공기 30%와 건구온도 20℃, 절대습도 0.02kg/kg인 실내공기 70%를 혼합하였을 때 최종 건구온도(T)와 절대습도(x)는 얼마인가?
     1. T=23℃, x=0.017kg/kg
     2. T=27℃, x=0.017kg/kg
     3. T=23℃, x=0.013kg/kg
     4. T=27℃, x=0.013kg/kg

     정답 : []
     정답률 : 55%
     <문제 해설>
T=(0.3×30)+(0.7×20) x=(0.3×0.01)+(0.7×0.02)
[해설작성자 : 녹두장군]

54. 가변풍량 방식에 대한 설명으로 틀린 것은?
     1. 부분부하 대응으로 송풍기 동력이 커진다.
     2. 시운전 시 토출구의 풍량조정이 간단하다.
     3. 부하변동에 대해 제어응답이 빠르므로 거주성이 향상된다.
     4. 동시 부하율을 고려하여 설비용량을 적게 할 수 있다.

     정답 : []
     정답률 : 61%
     <문제 해설>
가변풍량방식은 부하가 줄면 풍량·팬속도를 낮춰 송풍기 동력이 크게 감소한다
[해설작성자 : 타임어택]

55. 다음 그림과 같이 송풍기의 흡입 측에만 덕트가 연결되어 있을 경우 동압(mmAq)은 얼마인가?

    

     1. 5
     2. 10
     3. 15
     4. 25

     정답 : []
     정답률 : 63%
     <문제 해설>
동압 = 전압 - 정압
         = -10 - (-15) = 5
[해설작성자 : Feat. --]

56. 건구온도 10℃, 절대습도 0.003kg/kg인 공기 50m3을 20℃까지 가열하는데 필요한 열량(kJ)은? (단, 공기의 정압비열은 1.01kJ/kgㆍK, 공기의 밀도는 1.2kg/m3이다.)
     1. 425
     2. 606
     3. 713
     4. 884

     정답 : []
     정답률 : 60%
     <문제 해설>
Q=mCpΔT=(밀도x부피)x정압비열x온도변화=1.2 x 50 x (20-10) x 1.01 = 606
[해설작성자 : KDH_H]

57. 내부에 송풍기와 냉ㆍ온수 코일이 내장되어 있으며, 각 실내에 설치되어 기계실로부터 냉ㆍ온수를 공급받아 실내공기의 상태를 직접 조절하는 공조기는?
     1. 패키지형 공조기
     2. 인덕션 유닛
     3. 팬코일 유닛
     4. 에어핸드링 유닛

     정답 : []
     정답률 : 72%

58. 취출구 관련 용어에 대한 설명으로 틀린 것은?
     1. 장방형 취출구의 긴 변과 짧은 변의 비를 아스펙트비라 한다.
     2. 취출구에서 취출된 공기를 1차 공기라 하고, 취출공기에 의해 유인되는 실내공기를 2차 공기라 한다.
     3. 취출구에서 취출된 공기가 진행해서 취출기류의 중심선상의 풍속이 1.5m/s로 되는 위치까지의 수평거리를 도달거리라 한다.
     4. 수평으로 취출된 공기가 어떤 거리를 진행했을 때 기류의 중심선과 취출구의 중심과의 거리를 강하도라 한다.

     정답 : []
     정답률 : 52%
     <문제 해설>
도달거리 : 취출구에서 취출공기가 0.25m/s의 풍속이 되는 위치까지의 거리
[해설작성자 : wisdu]

59. 극간풍의 방지방법으로 가장 적절하지 않은 것은?
     1. 회전문 설치
     2. 자동문 설치
     3. 에어 커튼 설치
     4. 충분한 간격의 이중문 설치

     정답 : []
     정답률 : 73%
     <문제 해설>
극간풍은 작은틈으로 외부에서 들어오는 공기로 생각하면되는데,
자동문은 외부공기를 막아준다고 볼 수 없겠습니다.
[해설작성자 : 유누1]

60. 취출온도를 일정하게 하여 부하에 따라 송풍량을 변화시켜 실온을 제어하는 방식은?
     1. 가변풍량방식
     2. 재열코일방식
     3. 정풍량방식
     4. 유인유닛방식

     정답 : []
     정답률 : 71%

4과목 : 전기제어공학


61. 100V용 전구 30W와 60W 두 개를 직렬로 연결하고 직류 100V 전원에 접속하였을 때 두 전구의 상태로 옳은 것은?
     1. 30W 전구가 더 밝다.
     2. 60W 전구가 더 밝다.
     3. 두 전구의 밝기가 모두 같다.
     4. 두 전구가 모두 켜지지 않는다.

     정답 : []
     정답률 : 72%
     <문제 해설>
1. H = V * I = V^2 / R    → R = V^2 / H = (정격전압이 같을때, V^2 일정) 저항은 전력에 반비례
2. V = I * R = (직렬 일때, 전류(I) 일정) 전압은 저항에 비례
(1.과 2.을 합치면) 전압은 전력에 반비례 = 30W가 더 밟다.
[해설작성자 : 짜보]

'2. H = V * I = I^2 * R' (직렬일 때, 전류 일정)
따라서 저항이 더 큰 30W 전구가 더 크게 밝아진다.
으로 설명하는게 맞는 것 같습니다.
[해설작성자 : 배고픈세상]

아래와 같은 오류 신고가 있었습니다.
여러분들의 많은 의견 부탁 드립니다.
추후 여러분들의 의견을 반영하여 정답을 수정하도록 하겠습니다.
참고로 정답 변경은 오류 신고 5회 이상일 경우 수정합니다.

[오류 신고 내용]
아니 저항이 큰데 전구가 밝아지는 것도 이상하고
1과 2의 결과가 전압은 전력에 반비례라고 하셨는데, 애시당초 1번 식에 H = V * I 라고 적어 놓으시고 반비례라고 하심 어케요... 저항이 더 크면 전구가 어두워지지요...

전류는 직렬이니까 일정하고, 전력을 I^2 * R이라고 표현 가능하고, 이에 따라 30W 전구가 '저항이 작기' 때문에 밝아진다 라고 해석하는게 옳아 보입니다만.
[해설작성자 : 튜니아로]

[추가 오류 신고]
전력을 더 소모하니까 밝아지는게 맞지 않나요? 따라서 P= I^2 * R 이니까 전류는 같고 저항이 큰 쪽이 밝아지는게 맞는거 같은데 무조건 저항이 더 크면 전구가 어두워진다고 보는게 아닌거 같습니다
[해설작성자 : 3.5기사]

[오류신고 반론]
직류 직렬 30w 전압 66v 60w 전압 33v 30w가 전압이 높아 밝다
[해설작성자 : totopo999]

[오류신고 반론]
맨 첫번째해설에 이미 설명이 다 되어있듯이 100볼트의 환경에서 전구가 30,60와트 출력을 가진것으로 각자 측정 되었다고 봐야 합니다. 그래서 100V 전압이 주어졌을때 각자 전구의 저항을구해볼 수 있는데 (P=V^2/R), 30와트 짜리는 333.33옴, 60와트 짜리는 166.67옴으로 나올수 있습니다. 이 두개의 전구가 직렬로 연결 되었을때 저항이 큰곳에 전압이 더 크게 걸리게됩니다.P=I*V이기에 전압이 더 크게걸린 30W 짜리 전구가 더 밝을수 있다고 판단됩니다. 30와트와 60와트 전구가 따로 100볼트 전압에서 측정된 값임을 기억하고, 직렬로 연결시 이를 똑같은 30와트 60와트 출력이라고 착각하게 한 문제라고 생각합니다.
[해설작성자 : 짜보2]

62. 워드 레오나드 속도 제어방식이 속하는 제어 방법은?
     1. 저항제어
     2. 계자제어
     3. 전압제어
     4. 직병렬제어

     정답 : []
     정답률 : 57%

63. 전동기의 회전방향을 알기 위한 법칙은?
     1. 렌츠의 법칙
     2. 암페어의 법칙
     3. 플레밍의 왼손법칙
     4. 플레밍의 오른손법칙

     정답 : []
     정답률 : 76%
     <문제 해설>
오른손 발전기, 왼손 전동기
오발왼전
[해설작성자 : 전기기사 있는 사람]

64. 지상 역률 80%, 1000kW의 3상 부하가 있다. 이것에 콘덴서를 설치하여 역률을 95%로 개선하려고 한다. 필요한 콘덴서의 용량(kvar)은 약 얼마인가?
     1. 421.3
     2. 633.3
     3. 844.3
     4. 1266.3

     정답 : []
     정답률 : 28%
     <문제 해설>
콘덴서용량 = P * ( (sin1/cos1) - (sin2/cos2) )
1000 * ( ( 0.6 / 0.8 ) - ( 루트(1-0.95^) / 0.95 ) = 421.3
0.95^ 의 ^는 제곱임
sin구하는 공식 루트(1-cos^) 임.
[해설작성자 : comcbt.com 이용자]

콘덴서용량은 P tanθ1 - P tanθ2 의 개념입니다.
다시 정리하면 Px(tanθ1 - tanθ2)
[해설작성자 : 유누1]

65. 3상 유도전동기의 주파수가 60Hz, 극수가 6극, 전부하 시 회전수가 1160rpm이라면 슬립은 약 얼마인가?
     1. 0.03
     2. 0.24
     3. 0.45
     4. 0.57

     정답 : []
     정답률 : 53%
     <문제 해설>
N=120f/P=120*60/6=1200
→1200=(1-s)*1160
    s=0.034
[해설작성자 : Samoo인턴따리]

N은 회전수 이므로 1160=(1-s)*1200 으로 계산
[해설작성자 : Evergreen]

66. 저항에 전류가 흐르면 줄열이 발생하는데 저항에 흐르는 전류 I와 전력 P의 관계는?
     1. I ∝ P
     2. I ∝ P0.5
     3. I ∝ P1.5
     4. I ∝ P2

     정답 : []
     정답률 : 70%
     <문제 해설>
P = I^2 * R → I = ( P / R )^0.5
[해설작성자 : 짜보]

67. 입력신호 중 어느 하나가 “1”일 때 출력이 “0”이 되는 회로는?
     1. AND 회로
     2. OR 회로
     3. NOT 회로
     4. NOR 회로

     정답 : []
     정답률 : 59%
     <문제 해설>
1. AND = 입력신호 중 어느 하나가 “0”일 때 출력이 “0”이 되는 회로
             = 입력신호 모두 "1"일 때 출력이 "1"이 되는 회로

2. OR = 입력신호 중 어느 하나가 "1"일 때 출력이 "1"이 되는 회로
            = 입력신호 모두 "0"일 때 출력이 "0"이 되는 회로

3. NOT = 입력신호가 “0”일 때 출력이 “1”이 되는 회로
             = 입력신호가 “1”일 때 출력이 “0”이 되는 회로

4. NOR = 입력신호 중 어느 하나가 “1”일 때 출력이 “0”이 되는 회로
             = 입력신호 모두 "0"일 때 출력이 "1"이 되는 회로
[해설작성자 : 짜보]

68. 입력신호 x(t)와 출력신호 y(t)의 관계가 로 표현되는 것은 어떤 요소인가?
     1. 비례요소
     2. 미분요소
     3. 적분요소
     4. 지연요소

     정답 : []
     정답률 : 67%

69. 다음 조건을 만족시키지 못하는 회로는?

    

     1. RL병렬
     2. RC병렬
     3. RLC병렬
     4. RLC직렬

     정답 : []
     정답률 : 48%
     <문제 해설>
진상을 묻는 문제인데 C가있어야 진상임. 고로 RL 병렬은 지상
[해설작성자 : 아무개]

70. 다음 논리기호의 논리식은?

    

     1. X=A+B
     2.
     3. X=AB
     4.

     정답 : []
     정답률 : 46%

71. 콘덴서의 전위차와 축적되는 에너지와의 관게식을 그림으로 나타내면 어떤 그림이 되는가?
     1. 직선
     2. 타원
     3. 쌍곡선
     4. 포물선

     정답 : []
     정답률 : 66%

72. 열전대에 대한 설명이 아닌 것은?
     1. 열전대를 구성하는 소선은 열기전력이 커야한다.
     2. 철, 콘스탄탄 등의 금속을 이용한다.
     3. 제벡효과를 이용한다.
     4. 열팽창 계수에 따른 변형 또는 내부 응력을 이용한다.

     정답 : []
     정답률 : 44%
     <문제 해설>
온도를 전압으로 변환시켜 온도를 측정하는 검출기이며, 제백효과를 이용하므로 소선은 열기전력이 커야한다.
철- J형 열전대
동 - T형 열전대
[해설작성자 : ㄱㅁㅅ]

73. 전류계와 전압계는 내부저항이 존재한다. 이 내부저항은 전압 또는 전류를 측정하고자 하는 부하의 저항에 비하여 어떤 특성을 가져야 하는가?
     1. 내부저항이 전류계는 가능한 커야 하며, 전압계는 가능한 작아야 한다.
     2. 내부저항이 전류계는 가능한 커야 하며, 전압계도 가능한 커야 한다.
     3. 내부저항이 전류계는 가능한 작아야 하며, 전압계는 가능한 커야 한다.
     4. 내부저항이 전류계는 가능한 작아야 하며, 전압계도 가능한 작아야 한다.

     정답 : []
     정답률 : 61%

74. 피드백제어에서 제어요소에 대한 설명 중 옳은 것은?
     1. 조작부와 검출부로 구성되어 있다.
     2. 동작신호를 조작량으로 변화시키는 요소이다.
     3. 제어를 받는 출력량으로 제어대상에 속하는 요소이다.
     4. 제어량을 주궤환 신호로 변화시키는 요소이다.

     정답 : []
     정답률 : 54%

75. 제어량에 따른 분류 중 프로세스 제어에 속하지 않는 것은?
     1. 압력
     2. 유량
     3. 온도
     4. 속도

     정답 : []
     정답률 : 64%
     <문제 해설>
온도, 유량, 압력, 액위, 밀도, 농도
[해설작성자 : wisdu]

76. 다음 블록선도를 등가 합성 전달함수로 나타낸 것은?

    

     1.
     2.
     3.
     4.

     정답 : []
     정답률 : 69%
     <문제 해설>
분자에는 정방향(R->C 방향)인 G를 쓰고
분모에는 역방향으로 거거쳐가는 것을 1에서 빼주는 식(-부호)으로 모두 쓰면됩니다.
[해설작성자 : 유누1]

77. 다음 논리회로의 출력은?

    

     1.
     2.
     3.
     4.

     정답 : []
     정답률 : 67%

78. R1=100Ω, R2=1000Ω, R3=800Ω일 때 전류계의 지시가 0이 되었다. 이때 저항 R4는 몇 Ω인가?

    

     1. 80
     2. 160
     3. 240
     4. 320

     정답 : []
     정답률 : 64%
     <문제 해설>
R1×R3=R2×R4
[해설작성자 : 녹두장군]

79. x2=ax1+cx3+bx4의 신호흐름 선도는?
     1.
     2.
     3.
     4.

     정답 : []
     정답률 : 71%

80. R, L, C가 서로 직렬로 연결되어 있는 회로에서 양단의 전압과 전류의 위상이 동상이 되는 조건은?
     1. ω=LC
     2. ω=L2C
     3.
     4.

     정답 : []
     정답률 : 73%

81. 배수 배관의 시공시 유의사항으로 틀린 것은?
     1. 배수를 가능한 천천히 옥외 하수관으로 유출할 수 있을 것
     2. 옥외 하수관에서 하수 가스나 쥐 또는 각종 벌레 등이 건물 안으로 침입하는 것을 방지할 수 있는 방법으로 시공할 것
     3. 배수관 및 통기관은 내구성이 풍부하여야 하며 가스나 물이 새지 않도록 기구 상호 간의 접합을 완벽하게 할 것
     4. 한랭지에서는 배수관이 동결되지 않도록 피복을 할 것

     정답 : []
     정답률 : 75%
     <문제 해설>
배수를 가능한 빨리 옥외 하수곤으로 유출할 수 있을 것
[해설작성자 : 0]

82. 배관설비 공사에서 파이프 래크의 폭에 관한 설명으로 틀린 것은?
     1. 파이프 래크의 실제 폭은 신규라인을 대비하여 계산된 폭보다 20%정도 크게 한다.
     2. 파이프 래크상의 배관밀도가 작아지는 부분에 대해서는 파이프 래크의 폭을 좁게 한다.
     3. 고온배관에서는 열팽창에 의하여 과대한 구속을 받지 않도록 충분한 간격을 둔다.
     4. 인접하는 파이프의 외측과 외측과의 최소 간격을 25mm로 하여 래크의 폭을 결정한다.

     정답 : []
     정답률 : 60%
     <문제 해설>
파이프래크 폭을 결정할 때 외측과 외측과의 최소간격 75mm,    인접하는 플랜지 외측과 외측과의 최소간격 25mm로 한다.
[해설작성자 : 풍경소리]

83. 공기조화 설비 중 복사난방의 패널형식이 아닌 것은?
     1. 바닥패널
     2. 천장패널
     3. 벽패널
     4. 유닛패널

     정답 : []
     정답률 : 71%

84. 동관작업용 사이징 툴(sizing tool)공구에 관한 설명으로 옳은 것은?
     1. 동관의 확관용 공구
     2. 동관의 끝부분을 원형으로 정형하는 공구
     3. 동관의 끝을 나팔형으로 만드는 공구
     4. 동관 절단 후 생긴 거스러미를 제거하는 공구

     정답 : []
     정답률 : 68%
     <문제 해설>
1. 동관의 확관용 공구 - 익스펜더
2. 동관의 끝부분을 원형으로 정형하는 공구 - 사이징 툴
3. 동관의 끝을 나팔형으로 만드는 공구 - 플레어링 툴 세트
4. 동관 절단 후 생긴 거스러미를 제거하는 공구 - 리머
[해설작성자 : 도움이 되길 바라며]

85. 다음 중 신축 이음쇠의 종류로 가장 거리가 먼 것은?
     1. 벨로즈형
     2. 플랜지형
     3. 루프형
     4. 슬리브형

     정답 : []
     정답률 : 72%
     <문제 해설>
신축 이음쇠의 종류 : 벨로즈형, 스위블 조인트, 루프형, 슬리브형
[해설작성자 : 도움이 되길 바라며]

86. 공조설비에서 증기코일의 동결 방지 대책으로 틀린 것은?
     1. 외기와 실내 환기가 혼합되지 않도록 차단한다.
     2. 외기 댐퍼와 송풍기를 인터록 시킨다.
     3. 야간의 운전정지 중에도 순환 펌프를 운전한다.
     4. 증기코일 내에 응축수가 고이지 않도록 한다.

     정답 : []
     정답률 : 51%
     <문제 해설>
혼합되도록 한다. 외기 환기
[해설작성자 : 김경태]

87. 동일 구경의 관을 직선 연결할 때 사용하는 관 이음재료가 아닌 것은?
     1. 소켓
     2. 플러그
     3. 유니온
     4. 플랜지

     정답 : []
     정답률 : 71%
     <문제 해설>
플러그는 배관의 끝 부분을 막을 때 사용하는 재료입니다.
[해설작성자 : 내일 시험ㅠㅠㅠㅠ]

88. 강관의 용접 접합법으로 가장 적합하지 않은 것은?
     1. 맞대기용접
     2. 슬리브용접
     3. 플랜지용접
     4. 플라스틴용접

     정답 : []
     정답률 : 73%

89. 하향 공급식 급탕 배관법의 구배방법으로 옳은 것은?
     1. 급탕관은 끝올림, 복귀관은 끝내림 구배를 준다.
     2. 급탕관은 끝내림, 복귀관은 끝올림 구배를 준다.
     3. 급탕관, 복귀관 모두 끝올림 구배를 준다.
     4. 급탕관, 복귀관 모두 끝내림 구배를 준다.

     정답 : []
     정답률 : 61%

90. 보온재의 열전도율이 작아지는 조건으로 틀린 것은?
     1. 재료의 두께가 두꺼울수록
     2. 재료 내 기공이 작고 기공률이 클수록
     3. 재료의 밀도가 클수록
     4. 재료의 온도가 낮을수록

     정답 : []
     정답률 : 64%
     <문제 해설>
밀도가 크면 열전도율 높아진다 ^^
[해설작성자 : 김경태]

91. 캐비테이션(cavitation)현상의 발생 조건이 아닌 것은?
     1. 흡입양정이 지나치게 클 경우
     2. 흡입관의 저항이 증대될 경우
     3. 흡입 유체의 온도가 높은 경우
     4. 흡입관의 압력이 양압인 경우

     정답 : []
     정답률 : 67%
     <문제 해설>
4번 흡입관의 압력이 음압이어야 합니다
[해설작성자 : 유누1]

92. 간접 가열식 급탕법에 관한 설명으로 틀린 것은?
     1. 대규모 급탕설비에 부적당하다.
     2. 순환증기는 높이에 관계 없이 저압으로 사용 가능하다.
     3. 저탕탱크와 가열용 코일이 설치되어 있다.
     4. 난방용 증기보일러가 있는 곳에 설치하면 설비비를 절약하고 관리가 편하다.

     정답 : []
     정답률 : 58%

93. 온수배관에서 배관의 길이팽창을 흡수하기 위해 설치하는 것은?
     1. 팽창관
     2. 완충기
     3. 신축이음쇠
     4. 흡수기

     정답 : []
     정답률 : 71%

94. 고온수 난방방식에서 넓은 지역에 공급하기 위해 사용되는 2차측 접속방식에 해당되지 않는 것은?
     1. 직결방식
     2. 브리드인방식
     3. 열교환방식
     4. 오리피스접합방식

     정답 : []
     정답률 : 57%

95. 다음 중 열을 잘 반사하고 확산하여 방열기 표면 등의 도장용으로 사용하기에 가장 적합한 도료는?
     1. 광명단
     2. 산화철
     3. 합성수지
     4. 알루미늄

     정답 : []
     정답률 : 70%

96. 수배관 사용 시 부식을 방지하기 위한 방법으로 틀린 것은?
     1. 밀폐 사이클의 경우 물을 가들 채우고 공기를 제거한다.
     2. 개방 사이클로 하여 순환수가 공기와 충분히 접하도록 한다.
     3. 캐비테이션을 일으키지 않도록 배관한다.
     4. 배관에 방식도장을 한다.

     정답 : []
     정답률 : 71%
     <문제 해설>
순환수가 공기와 접하면 산화부식을 초래할 수 있다

97. 다음 중 암모니아 냉동장치에 사용되는 배관재료로 가장 적합하지 않은 것은?
     1. 이음매 없는 동관
     2. 배관용 탄소강관
     3. 저온배관용 강관
     4. 배관용 스테인리스강관

     정답 : []
     정답률 : 74%
     <문제 해설>
암모니아는 동관을 부식시킵니다.
[해설작성자 : asd]

98. 증기난방 배관시공에서 환수관에 수직 상향부가 필요할 때 리프트 피팅(lift fitting)을 써서 응축수가 위쪽으로 배출되게 하는 방식은?
     1. 단관 중력 환수식
     2. 복관 중력 환수식
     3. 진공 환수식
     4. 압력 환수식

     정답 : []
     정답률 : 69%

99. 다음 보온재 중 안전사용(최고)온도가 가장 높은 것은? (단, 동일조건 기준으로 한다.)
     1. 글라스 울 보온판
     2. 우모펠트
     3. 규산칼슘 보온판
     4. 석면 보온판

     정답 : []
     정답률 : 53%
     <문제 해설>
최고 사용 온도
규산칼슘 > 석면 > 글라스 울 > 우모펠트
[해설작성자 : asd]

100. 급수관의 유속을 제한(1.5~2m/s이하)하는 이유로 가장 거리가 먼 것은?
     1. 유속이 빠르면 흐름방향이 변하는 개소의 원심력에 의한 부압(-)이 생겨 캐비테이션이 발생하기 때문에
     2. 관 지름을 작게 할 수 있어 재료비 및 시공비가 절약되기 때문에
     3. 유속이 빠른 경우 배관의 마찰손실 및 관 내면의 침식이 커지기 때문에
     4. 워터해머 발생 시 충격압에 의해 소음, 진동이 발생하기 떄문에

     정답 : []
     정답률 : 71%


정 답 지

공조냉동기계기사(구) 필기 기출문제(해설) 및 CBT 2021년05월15일

최강 자격증 기출문제 전자문제집 CBT : www.comcbt.com


전자문제집 CBT란?
종이 문제집이 아닌 인터넷으로 문제를 풀고 자동으로 채점하며 모의고사, 오답 노트, 해설까지 제공하는
무료 기출문제 학습 프로그램으로 실제 상설검정에서 사용하는 OMR 형식의 CBT를 제공합니다.

최신 공조냉동기계기사(구) 필기 기출문제 : [다운로드]


1과목 : 기계열역학


1. 4kg의 공기를 온도 15℃에서 일정 체적으로 가열하여 엔트로피가 3.35kJ/K 증가하였다. 이 때 온도는 약 몇 K인가? (단, 공기의 정적비열은 0.717kJ/(kgㆍK)이다.
     1. 927
     2. 337
     3. 533
     4. 483

     정답 : []
     정답률 : 56%
     <문제 해설>
dS=G*Cp*ln T2/T1
3.35=4*0.717*ln T2/(15+273)
T2=e^(3.35/(4*0.717) * (15+273) = 926.136
[해설작성자 : 부산촌넘]

2. 카르노사이클로 작동되는 열기관이 200kJ의 열을 200℃에서 공급받아 20℃에서 방출한다면 이 기관의 일은 약 얼마인가?
     1. 38kJ
     2. 54kJ
     3. 63kJ
     4. 76kJ

     정답 : []
     정답률 : 66%
     <문제 해설>
ㅇ 카르노사이클 열효율 = W/Q = 1-(T2/T1)
ㅇ 기관의 일 W = 200 * (1-(20+273)/(200+273)= 76KJ
[해설작성자 : 내 길을 갈뿐]

3. 기체상수가 0.462kJ/(kgㆍK)인 수증기를 이상기체로 간주할 때 정압비열 (kJ/(kgㆍK)은 약 얼마인가? (단, 이 수증기의 비열비는 1.33이다.)
     1. 1.86
     2. 1.54
     3. 0.64
     4. 0.44

     정답 : []
     정답률 : 59%
     <문제 해설>
(1) Cp / Cv = k = 1.33 : 비열비
(2) Cp - Cv = R = 0462 KJ / (kg·K) : 기체상수

(2)에서 양변을 Cv로 나누면,
     - Cp / Cv - 1 = R / Cv    → k - 1 = R / Cv
     - 정적비열과 비열비를 바꾸면, Cv = R / (k - 1)

(1) 에서 Cp / Cv = k → Cp = k·Cv = k·R / (k - 1)
     → Cp = 1.33 * 0.462 / (1.33 - 1)= 1.862
[해설작성자 : 삶의길을따라]

4. 다음 4가지 경우에서 ( )안의 물질이 보유한 엔트로피가 증가한 경우는?

   

     1.
     2.
     3.
     4.

     정답 : []
     정답률 : 77%
     <문제 해설>
어떤 물질이 열을 받으면 Entropy가 증가.
[해설작성자 : 나대로]

5. 이상적인 오토사이클의 열효율이 56.5%이라면 압축비는 약 얼마인가? (단, 작동 유체의 비열비는 1.4로 일정하다.)
     1. 7.5
     2. 8.0
     3. 9.0
     4. 9.5

     정답 : []
     정답률 : 70%
     <문제 해설>
η = 1- { 1 / R ^ (k - 1)}

η : 열효율
R : 압축비
k : 비열비

R = { 1 / ( 1 - η ) } ^ {1 /(k - 1)}

※ 열효율 산출식으로 계산기의 SOLVE 기능 적용하여도 같은 값이 나옵니다.
[해설작성자 : 삶의길을따라]

6. 시스템 내의 임의의 이상기체 1kg이 채워져 있다. 이 기체의 정압비열은 1.0kJ/(kgㆍK)이고, 초기 온도가 50℃인 상태에서 323kJ의 열량을 가하여 팽창시킬 때 변경 후 체적은 변경 전 체적의 약 몇 배가 되는가? (단, 정압과정으로 팽창한다.)
     1. 1.5배
     2. 2배
     3. 2.5배
     4. 3배

     정답 : []
     정답률 : 72%
     <문제 해설>
열량 Q = m x Cp x (T2 - T1) = 323 = 1 x 1.0 x (T2 - 323)
T2 = 323 + 323 = 646[K]
P1·V1/T1 = P2·V2/T2 에서, 정압과정이기에, V1/T1 = V2/T2
V2 = V1/T1 x T2 = V1/363 x 646 = 2·V1
[해설작성자 : 나대로]

7. 그림과 같은 Rankine 사이클의 열효율은 약 얼마인가? (단, h는 엔탈피, s는 엔트로피를 나타내며, h1=191.8kJ/kg, h2=193.8kJ/kg, h3=2799.5kJ/kg, h4=2007.5kJ/kg이다.)

   

     1. 30.3%
     2. 36.7%
     3. 42.9%
     4. 48.1%

     정답 : []
     정답률 : 66%
     <문제 해설>
η_Rankine = 1 - (h_4-h_1)/(h_3-h_2)
= 1 - (2007.5 - 191.8)/(2799.5 - 193.8)
= 0.3032 = 30.32%
[해설작성자 : 나대로]

8. 복사열을 방사하는 방사율과 면적이 같은 2개의 방열판이 있다. 각각의 온도가 A방열판은 120℃, B방열판은 80℃일 때 두 방열판의 복사 열전달량(QA/QB)비는?
     1. 1.08
     2. 1.22
     3. 1.54
     4. 2.42

     정답 : []
     정답률 : 64%
     <문제 해설>
복사열 전달량 Q = 절대온도의 4제곱에 비례하므로,
Q_A / Q_B = {(120+273)/(80+273)}^4 = 1.5363
[해설작성자 : 나대로]

9. 질량이 5kg인 강제 용기 속에 물이 20L들어있다. 용기와 물이 24℃인 상태에서 이속에 질량이 5kg이고 온도가 180℃인 어떤 물체를 넣었더니 일정 시간 후 온도가 35℃가 되면서 열평형에 도달하였다. 이 때 이 물체의 비열은 약 몇 kJ/(kgㆍK)인가?(단, 물의 비열은 4.2kJ/(kgㆍK), 강의 비열은 0.46kJ/(kgㆍK)이다.)
     1. 0.88
     2. 1.12
     3. 1.31
     4. 1.86

     정답 : []
     정답률 : 49%
     <문제 해설>
{m1*c1*(tm-t1)}+{m2*c2*(tm-t1)}=m3*c3*(t3-tm)
c3=넘긴값
[해설작성자 : 해설 반만씀]

10. 어느 왕복동 내연기관에서 실린더 안지름이 6.8cm, 행정이 8cm일 때 평균유효압력은 1200kPa이다. 이 기관의 1행정당 유효 일은 약 몇 kJ인가?
     1. 0.09
     2. 0.15
     3. 0.35
     4. 0.48

     정답 : []
     정답률 : 52%
     <문제 해설>
평균 유효 압력 Pae = 일/행정체적
1200[kPa] = 1200[kN/m^2] = W / (π/4 x 0.068^2[m^2] x 0.08[m])
W = 1200[kN/m^2] x (π/4 x 0.068^2[m^2] x 0.08[m]) = 0.34864[kN·m] = 0.35[kJ]
[해설작성자 : 나대로]

11. 실린더에 밀폐된 8kg의 공기가 그림과 같이 압력 P1=800kPa, 체적 V1=0.27m3에서 P2=350kPa, V2=0.80m3으로 직선 변화하였다. 이 과정에서 공기가 한 일은 약 몇 kJ인가?

    

     1. 305
     2. 334
     3. 362
     4. 390

     정답 : []
     정답률 : 66%
     <문제 해설>
1과 2에서 각각 V축으로 수직으로 선을 그었을 때, 그려지는 사각형의 면적이 공기가 한 일이 되기에,
가로(V2 - V1 = 0.80 - 0.27 = 0.53[m^3]) x 세로(P1 = 800[kPa] = 800[kN/m^2]) = 424[kN·m] = 424[kJ]
여기서 삼각형에 해당하는 면적을 빼줘야 하므로,
424 - {1/2 x 밑변(V2 - V1 = 0.80 - 0.27 = 0.53[m^3]) x 높이(P1 - P2 = 800 - 350[kPa] = 450[kN/m^2])}
= 424 - 0.5 x 238.5 = 424 - 119.25 = 304.75[kJ]
[해설작성자 : 나대로]

12. 상태 1에서 경로 A를 따라 상태 2로 변화하고 경로 B를 따라 다시 상태 1로 돌아오는 가역 사이클이 있다. 아래의 사이클에 대한 설명으로 틀린 것은?

    

     1. 사이클 과정 동안 시스템의 내부에너지 변화량은 0 이다.
     2. 사이클 과정 동안 시스템은 외부로부터 순(net) 일을 받았다.
     3. 사이클 과정 동안 시스템의 내부에서 외부로 순(net) 열이 전달되었다.
     4. 이 그림으로 사이클 과정 동안 총 엔트로피 변화량을 알 수 없다.

     정답 : []
     정답률 : 67%

13. 보일러, 터빈, 응축기, 펌프로 구성되어 있는 증기원동소가 있다. 보일러에서 2500kW의 열이 발생하고 터빈에서 550kW의 일을 발생시킨다. 또한, 펌프를 구동하는데 20kW의 동력이 추가로 소모된다면 응축기에서의 방열량은 약 몇 kW인가?
     1. 980
     2. 1930
     3. 1970
     4. 3070

     정답 : []
     정답률 : 52%
     <문제 해설>
응축기 방열량은 사이클에서 방출한 열량이다.
보일러와 펌프에서 흡수한 열량은 2520kW이고, 터빈에서 방출한 열량은 550kW 이다.
흡수한 열량과 방출한 열량의 평형식을 세우면 2520 = (응축기 방열량) + 550 이다.
즉 응축기 방열량은 1970kW 이다.
[해설작성자 : Doll고래]

1. U = Q - W 에 대입    
2. 0 = Q1 - (WT + WP) + Q2 = 2500 - (550 + (-20)) + Q2
3. Q2 = 1970 KW
[해설작성자 : 꿀호떡]

14. 유리창을 통해 실내에서 실외로 열전달이 일어난다. 이때 열전달이 일어난다. 이때 열전달량은 약 몇 W인가? (단, 대류열전달계수는 50W/m2ㆍK), 유리창 표면온도는 25℃, 외기온도는 10℃, 유리창면적은 2m2이다.)
     1. 150
     2. 500
     3. 1500
     4. 5000

     정답 : []
     정답률 : 74%
     <문제 해설>
Q=KA(t2-t1)
[해설작성자 : 열역학만 공부함]

15. 냉동기 냉매의 일반적인 구비조건으로서 적합하지 않은 것은?
     1. 임계 온도가 높고, 응고 온도가 낮을 것
     2. 증발열이 작고, 증기의 비체적이 클 것
     3. 증기 및 액체의 점성(점성계수)이 작을 것
     4. 부식성이 없고, 안정성이 있을 것

     정답 : []
     정답률 : 77%
     <문제 해설>
냉매는 증발열이 커야 적은 양으로 많은 열을 빼앗을 수 있고,
증기의 비체적은 크면 Piston의 토출량이 많아야 하기에, 작아야 함.
[해설작성자 : 나대로]

16. 완전히 단열된 실린더 안의 공기가 피스톤을 밀어 외부로 일을 하였다. 이 때 외부로 행한일의 양과 동일한 값(절대값 기준)을 가지는 것은?
     1. 공기의 엔탈피 변화량
     2. 공기의 온도 변화량
     3. 공기의 엔트로피 변화량
     4. 공기의 내부에너지 변화량

     정답 : []
     정답률 : 65%

17. 오토 사이클로 작동되는 기관에서 실린더의 극간 체적(clearance volume)이 행정체적(stroke volume)의 15%라고 하면 이론 열효율은 약 얼마인가? (단, 비열비 k=1.4이다.)
     1. 39.3%
     2. 45.2%
     3. 50.6%
     4. 55.7%

     정답 : []
     정답률 : 51%
     <문제 해설>
ㅇ 압축비 = (행정체적+극간체적)/극간체적
ㅇ 극간 체적(clearance volume)이 행정체적(stroke volume)의 15%이므로
ㅇ 압축비 = (행정체적+행정체적*0.15)/행정체적*0.15 = 7.67
ㅇ 오토사이클 열효율 = 1-(1/압축비)^k-1 = 1-(1/7.67)^1.4-1 = 0.557 = 55.7%
[해설작성자 : 내 길을 갈뿐]

18. 열역학 제 2법칙과 관계된 설명으로 가장 옳은 것은?
     1. 과정(상태변화)의 방향성을 제시한다.
     2. 열역학적 에너지의 양을 결정한다.
     3. 열역학적 에너지의 종류를 판단한다.
     4. 과정에서 발생한 총 일의 양을 결정한다.

     정답 : []
     정답률 : 73%
     <문제 해설>
열역학 제2법칙 - 열과 일의 변환에 대한 방향성을 제시. 일은 열로 쉬이 변환되지만 열은 일로 쉬이 변환되지 않기에 열기관이 필요함.

열역학 제1법칙 - Energy 보존 법칙이 성립함을 표현한 법칙. 열과 일의 수량적 관계를 나타냄.
[해설작성자 : 나대로]

19. 압력 100kPa, 온도 20℃인 일정량의 이상기체가 있다. 압력을 일정하게 유지하면서 부피가 처음 부피의 2배가 되었을 때 기체의 온도는 약 몇 ℃가 되는가?
     1. 148
     2. 256
     3. 313
     4. 586

     정답 : []
     정답률 : 61%
     <문제 해설>
ㅇ 보일-샤를 법칙 (P1*V1) / T1 = (P2*V2) / T2
ㅇ 지문에서 P1 = P2, V2 = 2*T1 이므로    
ㅇ (100*V1) / (273+20) = (100*2V1) / T2
ㅇ T2 = (200*V1*293) / 100*V1 = 587K =313 ℃
[해설작성자 : 내 길을 갈뿐]

20. 어떤 열기관이 550K의 고열원으로부터 20kJ의 열량을 공급받아 250K의 저열원에 14kJ의 열량을 방축할 때 이 사이클의 Clausius 적분값과 가역, 비가역 여부의 설명으로 옳은 것은?
     1. Clausius 적분값은 –0.0196kJ/K 이고 가역 사이클이다.
     2. Clausius 적분값은 –0.0196kJ/K 이고 비가역 사이클이다.
     3. Clausius 적분값은 0.0196kJ/K 이고 가역 사이클이다.
     4. Clausius 적분값은 0.0196kJ/K 이고 비가역 사이클이다.

     정답 : []
     정답률 : 70%
     <문제 해설>
20/550 - 14/250 = -0.0196 (<0 이므로 비가역)
[해설작성자 : 녹두장군]

2과목 : 냉동공학


21. 냉각탑에 대한 설명으로 틀린 것은?
     1. 밀폐식은 개방식 냉각탑에 비해 냉각수가 외기에 의해 오염될 염려가 적다.
     2. 냉각탑의 성능은 입구공기의 습구온도에 영향을 받는다.
     3. 쿨링 레인지는 냉각탑의 냉각수 입ㆍ출구 온도의 차이다.
     4. 어프로치는 냉각탑의 냉각수 입구온도에서 냉각탑 입구공기의 습구온도의 차이다.

     정답 : []
     정답률 : 74%
     <문제 해설>
쿨링어프로치는 냉각탑의 냉각수 출구온도에서 냉각탑 입구 공기의 습구온도를 제한값
[해설작성자 : 훈]

22. 다음 압축과 관련한 설명으로 옳은 것은?

    

     1. ㉠, ㉣
     2. ㉠, ㉢
     3. ㉡, ㉣
     4. ㉡, ㉢

     정답 : []
     정답률 : 72%
     <문제 해설>
압축기의 Clearance를 크게 하면 체적 효율은 작아짐.
압축비가 크면 냉매 단위 중량당 압축 일량이 커짐.
[해설작성자 : 나대로]

23. 몰리에르 선도 상에서 표준 냉동사이클의 냉매 상태 변화에 대한 설명으로 옳은 것은?
     1. 등엔트로피 변화는 압축과정에서 일어난다.
     2. 등엔트로피 변화는 증발과정에서 일어난다.
     3. 등엔트로피 변화는 팽창과정에서 일어난다.
     4. 등엔트로피 변화는 응축과정에서 일어난다.

     정답 : []
     정답률 : 58%
     <문제 해설>
압축과정 : 등엔트로피
증발과정 : 등압변화
팽창과정 : 교축변화
응축과정 : 등압변화
[해설작성자 : 탑코리안]

24. 흡수식 냉동기에서 냉매의 과냉 원인으로 가장 거리가 먼 것은?
     1. 냉수 및 냉매량 부족
     2. 냉각수 부족
     3. 증발기 전열면적 오염
     4. 냉매에 용액이 혼입

     정답 : []
     정답률 : 67%

25. 흡수식 냉동기에 사용하는 “냉매-흡수제”가 아닌 것은?
     1. 물 – 리튬 브로마이드
     2. 물 - 염화리튬
     3. 물 - 에틸렌글리콜
     4. 암모니아 – 물

     정답 : []
     정답률 : 69%
     <문제 해설>
1, 2. 건물용(2는 잘 안씀)
4. 산업용(1,2 보다 더 저온)

에틸렌글리콜은 부동액
[해설작성자 : 첫기사]

26. 냉동장치의 냉매량이 부족할 때 일어나는 현상으로 옳은 것은?
     1. 흡입압력이 낮아진다.
     2. 토출압력이 높아진다.
     3. 냉동능력이 증가한다.
     4. 흡입압력이 높아진다.

     정답 : []
     정답률 : 62%
     <문제 해설>
냉매가 부족하다 = '증발기에서 증발할 냉매'가 없다.
-> 증발기 내부 압력이 낮아진다.
-> 냉매가 기화하는 양이 줄어서 흡입 압력이 낮아진다.
-> 냉동 효과가 줄어들어 냉동능력도 감소한다.
[해설작성자 : 건전한자]

27. 펠티에(Feltier) 효과를 이용하는 냉동방법에 대한 설명으로 틀린 것은?
     1. 펠티에 효과를 냉동에 이용한 것이 전자냉동 또는 열전기식 냉동법이다.
     2. 펠티에 효과를 냉동법으로 실용화에 어려운 점이 많았으나 반도체 기술이 발달하면서 실용화되었다.
     3. 펠티에 효과가 적용된 냉동방법은 휴대용 냉장고, 가정용 특수냉장고, 물 냉각기, 핵 잠수함 내의 냉난방장치 등에 사용된다.
     4. 증기 압축식 냉동장치와 마찬가지로 압축기, 응축기, 증발기 등을 이용한 것이다.

     정답 : []
     정답률 : 78%

28. 압축기의 기통수가 6기통이며, 피스톤 직경이 140mm, 행정이 110mm, 회전수가 800rpm인 NH3 표준 냉동사이클의 냉동능력(kW)은? (단, 압축기의 체적효율은 0.75, 냉동효과는 1126.3kJ/kg, 비체적은 0.5m3/kg이다.)
     1. 122.7
     2. 148.3
     3. 193.4
     4. 228.9

     정답 : []
     정답률 : 42%
     <문제 해설>
냉동능력
= (피스톤 압출량*냉동효과*체적효율) / (3600*비체적)         [ 1kw = 3600kJ ]
= (487.67*1126.3*0.75)/(3600*0.5) = 228.85 (반올림해서 4번 답인 228.9)
피스톤 압출량 = 단면적*기통수*행정*분당회전수*60 = [(π* (0.14)^2)/4]*6*0.11*800*60 = 487.67
[해설작성자 : 차]

29. 증기압축식 냉동장치에 관한 설명으로 옳은 것은?
     1. 증발식 응축기에서는 대기의 습구온도가 저하하면 고압압력은 통상의 운전압력보다 높게 된다.
     2. 압축기의 흡입압력이 낮게 되면 토출압력도 낮게 되어 냉동능력이 증대한다.
     3. 언로더 부착 압축기를 사용하면 급격하게 부하가 증가하여도 액백현상을 막을 수 있다.
     4. 액배관에 플래시 가스가 발생하면 냉매 순환량이 감소되어 증발기의 냉동능력이 저하된다.

     정답 : []
     정답률 : 75%
     <문제 해설>
1. 증발식 응축기는 암모니아용이다. 물의증발잠열을 이용하며 외기 습구온도의 영향을 많이 받는다.
2. 토출압력이 낮으면 냉동능력이 감소한다.
3. 압축기는 부하가 증가하면 액백현상을 방지하기 어렵다.
[해설작성자 : 재붐차]

30. 증기 압축식 냉동사이클에서 증발온도를 일정하게 유지시키고, 응축온도를 상승시킬 때 나타나는 현상이 아닌 것은?
     1. 소요동력 증가
     2. 성적계수 감소
     3. 토출가스 온도 상승
     4. 플래시 가스 발생량 감소

     정답 : []
     정답률 : 77%

31. 2단압축 1단팽창 냉동장치에서 게이지 압력계로 증발압력 0.19MPa, 응축압력 1.17MPa일 때, 중간냉각기의 절대압력(MPa)은?
     1. 2.166
     2. 1.166
     3. 0.608
     4. 0.409

     정답 : []
     정답률 : 49%
     <문제 해설>
중간압 = (응축압 × 증발압)½ 이때 압력은 절대압력
절대압 = 게이지압 + 대기압
1atm 101325Pa 1013.25hPa 101.325kPa 0.101325MPa 760mmHg 10332mmH2O 10.332mH2O 14.7psi .........
Pc = 1.17 + 0.101325 MPa
Pe = 0.19 + 0.101325 MPa
중간압 = (Pc × Pe)½
            = 0.6086 MPa
[해설작성자 : comcbt.com 이용자]

중간압 = (응축압 × 증발압)^0.5 이때 압력은 절대압력
절대압 = 게이지압 + 대기압
Pc = 1.17 + 0.101325 MPa
Pe = 0.19 + 0.101325 MPa
중간압 = (Pc × Pe)^0.5
                        = 0.6086 MPa
[해설작성자 : 기계기사 박건호]

32. 냉동장치의 운전 중 장치 내에 공기가 침입하였을 때 나타나는 현상으로 옳은 것은?
     1. 토출가스 압력이 낮게 된다.
     2. 모터의 암페어가 적게 된다.
     3. 냉각 능력에는 변화가 없다.
     4. 토출가스 온도가 높게 된다.

     정답 : []
     정답률 : 68%

33. 2단 압축 냉동기에서 냉매의 응축온도가 38℃일 때 수냉식 응축기의 냉각수 입ㆍ출구의 온도가 각각 30℃, 35℃이다. 이 때 냉매와 냉각수와의 대수평균온도차(℃)는?
     1. 2
     2. 5
     3. 8
     4. 10

     정답 : []
     정답률 : 73%
     <문제 해설>
LMTD = (Δt1 - Δt2) / ln(Δt1/Δt2)
= {(38-30) - (38-35)} / ln{(38-30) / (38-35)}
= (8-3)/ln(8/3) = 5/0.98083 = 5.1[℃]
[해설작성자 : 나대로]

34. 냉동장치에서 흡입가스의 압력을 저하시키는 원인으로 가장 거리가 먼 것은?
     1. 냉매 유량의 부족
     2. 흡입배관의 마찰손실
     3. 냉각부하의 증가
     4. 모세관의 막힘

     정답 : []
     정답률 : 56%

35. 다음 중 열통과율이 가장 작은 응축기 형식은? (단, 동일 조건 기준으로 한다.)
     1. 7통로식 응축기
     2. 입형 셸 튜브식 응축기
     3. 공냉식 응축기
     4. 2중관식 응축기

     정답 : []
     정답률 : 73%

36. 고온 35℃, 저온 –10℃에서 작동되는 역카르노 사이클이 적용된 이론 냉동사이클의 성적계수는?
     1. 2.8
     2. 3.2
     3. 4.2
     4. 5.8

     정답 : []
     정답률 : 69%
     <문제 해설>
Coefficient of Performance = T_L / (T_H - T_L)
= (-10+273) / {(35+273) - (-10+273)}
= 5.8444
[해설작성자 : 나대로]

37. 제빙에 필요한 시간을 구하는 공식이 아래와 같다. 이 공식에서 a와 b가 의미하는 것은?

    

     1. a: 브라인온도, b: 결빙두께
     2. a: 결빙두께, b: 브라인유량
     3. a: 결빙두께, b: 브라인온도
     4. a: 브라인유량, b: 결빙두께

     정답 : []
     정답률 : 70%
     <문제 해설>
결빙시간은 브라인온도에 반비례하고, 빙관 정상부의 단변 두께의 제곱에 비례함.
[해설작성자 : 나대로]

38. 브라인 냉각용 증발기가 설치된 소형 냉동기가 있다. 브라인 순환량이 20kg/min이고, 브라인의 입ㆍ출구 온도차는 15K이다. 압축기의 실제 소요동력이 5.6kW일 때, 이 냉동기의 실제 성적계수는? (단, 브라인의 비열은 3.3kJ/kgㆍK이다.)
     1. 1.82
     2. 2.18
     3. 2.94
     4. 3.31

     정답 : []
     정답률 : 59%
     <문제 해설>
Q = G C dT = 냉매순환량 비열 온도차
COP = Q / L = 냉동능력 / 동력
COP = G C dT / L
=20kg/m × 3.3kJ/kgK × 15K × 60m/h ÷ 5.6kW ÷ 4.184kJ/kCal ÷ 860kCal/kWh
=2.9479
[해설작성자 : comcbt.com 이용자]

1. 냉동능력 Q = G*C*dT
2. 성적계수 COP = 냉동능력/동력 = {[20kg/60s] x [3.3kW*s/kg*K] × 15K} ÷ 5.6kW = 2.9464
[해설작성자 : 꿀호떡]

39. 그림에서 사이클 A(1-2-3-4-1)로 운전될 때 증발기의 냉동능력은 5RT, 압축기의 체적효율은 0.78이었다. 그러나 운전 중 부하가 감소하여 압축기 흡입밸브 개도를 줄여서 운전하였더니 사이클 B(1‘-2’-3-4-1-1‘)로 되었다. 사이클 B로 운전될 때의 체적효율이 0.7이라면 이 때의 냉동능력(RT)은 얼마인가? (단, 1RT는 3.8kW이다.)

    

     1. 1.37
     2. 2.63
     3. 2.94
     4. 3.14

     정답 : []
     정답률 : 38%
     <문제 해설>
Q=V×dh×nv / (v×3320)
V토출량m3/h dh엔탈피차 v비체적m3/kg nv체적효율 3320>3320kCal/h=1RT
V=Q×v×3320 /dh×nv
=5 × 3320kCal/h × 0.07m3/kg ÷ (628 - 456 = 172)kJ/kg ÷ 0.78 × 4.184kJ/kCal × 860kCal/kWh
= 36.2389m3/h

XRT = 36.24m3/h × 172kJ/kg × 0.7 ÷ 0.1m3/kg ÷ 3320kCal/h × 1RT ÷ 4.184kJ/kCal
=3.1411
[해설작성자 : comcbt.com 이용자]

SI단위계로 해설추가
냉동능력 P = dh*p*Q*nv = dh*Q*nv/v
dh 엔탈피차, p 밀도(=1/비체적), Q 유량, nv 체적효율, v 비체적
5*3.8 kW = 172 kJ/kg * Q * 0.78/0.07 m3/kg
Q=9.91*10^-3 m3/s
X RT = 172 * Q * 0.07/0.1
X=3.14
[해설작성자 : 응애나기계애기]

40. 직경 10cm, 길이 5m의 관에 두께 5cm의 보온재(열전도율 λ=0.1163W/mㆍK)로 보온을 하였다. 방열층의 내측과 외측의 온도가 각각 –50℃, 30℃이라면 침입하는 전열량(W)은?
     1. 133.4
     2. 248.8
     3. 362.6
     4. 421.7

     정답 : []
     정답률 : 28%
     <문제 해설>
Q[전열량]
ㄴ λ[전도율] x (2 x π[파이] x I[길이]) x (T1 - T2[온도]) / ln(r2 / r1[두께])
ㄴ 0.1163 x (2 x 3.14 x 5) x {30 - (-50)} / ln(0.1 / 0.05)
ㄴ = 421.5W (근삿값으로 답은 4번)
[해설작성자 : 도우인시스 이기찬]

3과목 : 공기조화


41. 보일러의 수위를 제어하는 주된 목적으로 가장 적절한 것은?
     1. 보일러의 급수장치가 동결되지 않도록 하기 위하여
     2. 보일러의 연료공급이 잘 이루어지도록 하기 위하여
     3. 보일러가 과열로 인해 손상되지 않도록 하기 위하여
     4. 보일러에서의 출력을 부하에 따라 조절하기 위하여

     정답 : []
     정답률 : 72%
     <문제 해설>
보일러 수위가 낮아지면 과열로 인해 손상된다.
보일러 수위가 높아지면 예열시간이 길어져 연료소모량 증가, 보일러 열효율이 저하된다.
[해설작성자 : 쩡]

42. 열매에 따른 방열기의 표준방열량(W/m2)기준으로 가장 적절한 것은?
     1. 온수:405.2, 증기:822.3
     2. 온수:523.3, 증기:822.3
     3. 온수:405.2, 증기:755.8
     4. 온수:523.3, 증기:755.8

     정답 : []
     정답률 : 65%
     <문제 해설>
온수방열기 표준방열량 = 450 kcal/kg. 1000w = 860kcal 을 이용하여 450*(1000/860)= 523.3 W/m2
증기방열기 표준방열량 = 650 kcal/kg. 1000w = 860kcal 을 이용하여 650*(1000/860)= 755.8 W/m2
[해설작성자 : 모두합격기원]

43. 에어와셔 내에 온수를 분무할 때 공기는 습공기선도에서 어떠한 변화과정이 일어나는가?
     1. 가습ㆍ냉각
     2. 과냉각
     3. 건조ㆍ냉각
     4. 감습ㆍ과열

     정답 : []
     정답률 : 75%

44. 보일러의 발생증기를 한 곳으로만 취출하면 그 부근에 압력이 저하하여 수면동요 현상과 동시에 비수가 발생된다. 이를 방지하기 위한 장치는?
     1. 급수내관
     2. 비수방지관
     3. 기수분리기
     4. 인젝터

     정답 : []
     정답률 : 77%

45. 복사난방 방식의 특징에 대한 설명으로 틀린 것은?
     1. 실내에 방열기를 설치하지 않으므로 바닥이나 벽면을 유용하게 이용할 수 있다.
     2. 복사열에 의한 난방으로써 쾌감도가 크다.
     3. 외기온도가 갑자기 변하여도 열용량이 크므로 방열량의 조정이 용이하다.
     4. 실내의 온도 분포가 균일하며, 열이 방의 윗 쪽으로 빠지지 않으르모 경제적이다.

     정답 : []
     정답률 : 68%
     <문제 해설>
외기온도의 급변화에 따른 온도조절이 곤란하다.
[해설작성자 : 뿡]

46. 다음 중 난방부하를 경감시키는 요인으로만 짝지어진 것은?
     1. 지붕을 통한 전도 열량, 태양열의 일사부하
     2. 조명부하, 틈새바람에 의한 부하
     3. 실내기구부하, 재실인원의 발생열량
     4. 기기(덕트 등) 부하, 외기부하

     정답 : []
     정답률 : 54%
     <문제 해설>
1. 겨울철 지붕으로 인한 열손실이 발생하므로 난방부하 증가
2. 틈새바람은 겨울철 난방부하
4. 겨울철 외기는 난방부하 증가 요소
[해설작성자 : 동죽이네 A-set]

47. 온수난방의 특징에 대한 설명으로 틀린 것은?
     1. 증기난방에 비하여 연료소비량이 적다.
     2. 예열시간은 길지만 잘 식지 않으므로 증기난방에 비하여 배관의 동결 피해가 적다.
     3. 보일러 취급이 증기보일러에 비해 안전하고 간단하므로 소규모 주택에 적합하다.
     4. 열용량이 크기 때문에 짧은 시간에 예열할 수 있다.

     정답 : []
     정답률 : 75%
     <문제 해설>
온수난방은 예열시간이 길다.
[해설작성자 : asd]

48. 콜드 드래프트 현상의 발생 원인으로 가장 거리가 먼 것은?
     1. 인체 주위의 공기온도가 너무 낮을 때
     2. 기류의 속도가 낮고 습도가 높을 때
     3. 주위 벽면의 온도가 낮을 때
     4. 겨울에 창문의 극간풍이 많을 때

     정답 : []
     정답률 : 72%
     <문제 해설>
2. 기류의 속도가 [높]고 습도가 [낮]을 때 콜드 드래프트 현상이 발생합니다.
[해설작성자 : 도우인시스 이기찬]

49. 다음과 같이 단열된 덕트 내에 공기가 통하고 이것에 열량 Q(kJ/h)와 수분L(kg/h)을 가하여 열평형이 이루어 졌을 때, 공기에 가해진 열량(Q)은 어떻게 나타내는가? (단, 공기의 유량은 G(kg/h), 가열코일 입ㆍ출구의 엔탈피, 절대습도를 각각 h1, h2(kJ/kg), x1, x2(kg/kg)이며, 수분의 엔탈피는 hL(kJ/kg)이다.)

    

     1. G(h2-h1)+LhL
     2. G(x2-x1)+LhL
     3. G(h2-h1)-LhL
     4. G(x2-x1)-LhL

     정답 : []
     정답률 : 59%

50. 대기압(760mmHg)에서 온도 28℃, 상대습도 50%인 습공기 내의 건공기 분압(mmHg)은 얼마인가? (단, 수증기 포화압력은 31.84mmHg이다.)
     1. 16
     2. 32
     3. 372
     4. 744

     정답 : []
     정답률 : 42%
     <문제 해설>
1. 상대습도 = (현재 수증기 a)/(가질 수 있는 최대 수증기) = 1/2,    a = 31.84/2 = 15.92 mmHg
2. 건공기 = 대기압 - 수증기분압 = 760 - 15.92 = 744.08
[해설작성자 : 꿀호떡]

51. 단일덕트 재열방식의 특징에 관한 설명으로 옳은 것은?
     1. 부하 패턴이 다른 다수의 실 또는 존의 공조에 적합하다.
     2. 식당과 같이 잠열부하가 많은 곳의 공조에는 부적합하다.
     3. 전수방식으로서 부하변동이 큰 실이나 존에서 에너지 절약형으로 사용된다.
     4. 시스템의 유지ㆍ보수 면에서는 일반 단일덕트에 비해 우수하다.

     정답 : []
     정답률 : 47%
     <문제 해설>
단일덕트 재열방식: 중앙에서보낸 공기를 각 방의 부하와 설정온도에 맞춰 재(가)열하여 보내는 방식.

1번에서 말한 부하 패턴이 다른 다수의 실에는 제각각에 맞춰서 공기를 보낼 수 있는 재열방식이 적합함
대신 에너지 소모가 심하고 유지보수가 어려움.
[해설작성자 : 첫기사]

52. 온풍난방에서 중력식 순환방식과 비교한 강제 순환방식의 특징에 관한 설명으로 틀린 것은?
     1. 기기 설치장소가 비교적 자유롭다.
     2. 급기 덕트가 작아서 은폐가 용이하다.
     3. 공급되는 공기는 필터 등에 의하여 깨끗하게 처리될 수 있다.
     4. 공기순환이 어렵고 쾌적성 확보가 곤란하다.

     정답 : []
     정답률 : 74%

53. 건구온도 30℃, 절대습도 0.01kg/kg인 외부공기 30%와 건구온도 20℃, 절대습도 0.02kg/kg인 실내공기 70%를 혼합하였을 때 최종 건구온도(T)와 절대습도(x)는 얼마인가?
     1. T=23℃, x=0.017kg/kg
     2. T=27℃, x=0.017kg/kg
     3. T=23℃, x=0.013kg/kg
     4. T=27℃, x=0.013kg/kg

     정답 : []
     정답률 : 55%
     <문제 해설>
T=(0.3×30)+(0.7×20) x=(0.3×0.01)+(0.7×0.02)
[해설작성자 : 녹두장군]

54. 가변풍량 방식에 대한 설명으로 틀린 것은?
     1. 부분부하 대응으로 송풍기 동력이 커진다.
     2. 시운전 시 토출구의 풍량조정이 간단하다.
     3. 부하변동에 대해 제어응답이 빠르므로 거주성이 향상된다.
     4. 동시 부하율을 고려하여 설비용량을 적게 할 수 있다.

     정답 : []
     정답률 : 61%
     <문제 해설>
가변풍량방식은 부하가 줄면 풍량·팬속도를 낮춰 송풍기 동력이 크게 감소한다
[해설작성자 : 타임어택]

55. 다음 그림과 같이 송풍기의 흡입 측에만 덕트가 연결되어 있을 경우 동압(mmAq)은 얼마인가?

    

     1. 5
     2. 10
     3. 15
     4. 25

     정답 : []
     정답률 : 63%
     <문제 해설>
동압 = 전압 - 정압
         = -10 - (-15) = 5
[해설작성자 : Feat. --]

56. 건구온도 10℃, 절대습도 0.003kg/kg인 공기 50m3을 20℃까지 가열하는데 필요한 열량(kJ)은? (단, 공기의 정압비열은 1.01kJ/kgㆍK, 공기의 밀도는 1.2kg/m3이다.)
     1. 425
     2. 606
     3. 713
     4. 884

     정답 : []
     정답률 : 60%
     <문제 해설>
Q=mCpΔT=(밀도x부피)x정압비열x온도변화=1.2 x 50 x (20-10) x 1.01 = 606
[해설작성자 : KDH_H]

57. 내부에 송풍기와 냉ㆍ온수 코일이 내장되어 있으며, 각 실내에 설치되어 기계실로부터 냉ㆍ온수를 공급받아 실내공기의 상태를 직접 조절하는 공조기는?
     1. 패키지형 공조기
     2. 인덕션 유닛
     3. 팬코일 유닛
     4. 에어핸드링 유닛

     정답 : []
     정답률 : 72%

58. 취출구 관련 용어에 대한 설명으로 틀린 것은?
     1. 장방형 취출구의 긴 변과 짧은 변의 비를 아스펙트비라 한다.
     2. 취출구에서 취출된 공기를 1차 공기라 하고, 취출공기에 의해 유인되는 실내공기를 2차 공기라 한다.
     3. 취출구에서 취출된 공기가 진행해서 취출기류의 중심선상의 풍속이 1.5m/s로 되는 위치까지의 수평거리를 도달거리라 한다.
     4. 수평으로 취출된 공기가 어떤 거리를 진행했을 때 기류의 중심선과 취출구의 중심과의 거리를 강하도라 한다.

     정답 : []
     정답률 : 52%
     <문제 해설>
도달거리 : 취출구에서 취출공기가 0.25m/s의 풍속이 되는 위치까지의 거리
[해설작성자 : wisdu]

59. 극간풍의 방지방법으로 가장 적절하지 않은 것은?
     1. 회전문 설치
     2. 자동문 설치
     3. 에어 커튼 설치
     4. 충분한 간격의 이중문 설치

     정답 : []
     정답률 : 73%
     <문제 해설>
극간풍은 작은틈으로 외부에서 들어오는 공기로 생각하면되는데,
자동문은 외부공기를 막아준다고 볼 수 없겠습니다.
[해설작성자 : 유누1]

60. 취출온도를 일정하게 하여 부하에 따라 송풍량을 변화시켜 실온을 제어하는 방식은?
     1. 가변풍량방식
     2. 재열코일방식
     3. 정풍량방식
     4. 유인유닛방식

     정답 : []
     정답률 : 71%

4과목 : 전기제어공학


61. 100V용 전구 30W와 60W 두 개를 직렬로 연결하고 직류 100V 전원에 접속하였을 때 두 전구의 상태로 옳은 것은?
     1. 30W 전구가 더 밝다.
     2. 60W 전구가 더 밝다.
     3. 두 전구의 밝기가 모두 같다.
     4. 두 전구가 모두 켜지지 않는다.

     정답 : []
     정답률 : 72%
     <문제 해설>
1. H = V * I = V^2 / R    → R = V^2 / H = (정격전압이 같을때, V^2 일정) 저항은 전력에 반비례
2. V = I * R = (직렬 일때, 전류(I) 일정) 전압은 저항에 비례
(1.과 2.을 합치면) 전압은 전력에 반비례 = 30W가 더 밟다.
[해설작성자 : 짜보]

'2. H = V * I = I^2 * R' (직렬일 때, 전류 일정)
따라서 저항이 더 큰 30W 전구가 더 크게 밝아진다.
으로 설명하는게 맞는 것 같습니다.
[해설작성자 : 배고픈세상]

아래와 같은 오류 신고가 있었습니다.
여러분들의 많은 의견 부탁 드립니다.
추후 여러분들의 의견을 반영하여 정답을 수정하도록 하겠습니다.
참고로 정답 변경은 오류 신고 5회 이상일 경우 수정합니다.

[오류 신고 내용]
아니 저항이 큰데 전구가 밝아지는 것도 이상하고
1과 2의 결과가 전압은 전력에 반비례라고 하셨는데, 애시당초 1번 식에 H = V * I 라고 적어 놓으시고 반비례라고 하심 어케요... 저항이 더 크면 전구가 어두워지지요...

전류는 직렬이니까 일정하고, 전력을 I^2 * R이라고 표현 가능하고, 이에 따라 30W 전구가 '저항이 작기' 때문에 밝아진다 라고 해석하는게 옳아 보입니다만.
[해설작성자 : 튜니아로]

[추가 오류 신고]
전력을 더 소모하니까 밝아지는게 맞지 않나요? 따라서 P= I^2 * R 이니까 전류는 같고 저항이 큰 쪽이 밝아지는게 맞는거 같은데 무조건 저항이 더 크면 전구가 어두워진다고 보는게 아닌거 같습니다
[해설작성자 : 3.5기사]

[오류신고 반론]
직류 직렬 30w 전압 66v 60w 전압 33v 30w가 전압이 높아 밝다
[해설작성자 : totopo999]

[오류신고 반론]
맨 첫번째해설에 이미 설명이 다 되어있듯이 100볼트의 환경에서 전구가 30,60와트 출력을 가진것으로 각자 측정 되었다고 봐야 합니다. 그래서 100V 전압이 주어졌을때 각자 전구의 저항을구해볼 수 있는데 (P=V^2/R), 30와트 짜리는 333.33옴, 60와트 짜리는 166.67옴으로 나올수 있습니다. 이 두개의 전구가 직렬로 연결 되었을때 저항이 큰곳에 전압이 더 크게 걸리게됩니다.P=I*V이기에 전압이 더 크게걸린 30W 짜리 전구가 더 밝을수 있다고 판단됩니다. 30와트와 60와트 전구가 따로 100볼트 전압에서 측정된 값임을 기억하고, 직렬로 연결시 이를 똑같은 30와트 60와트 출력이라고 착각하게 한 문제라고 생각합니다.
[해설작성자 : 짜보2]

62. 워드 레오나드 속도 제어방식이 속하는 제어 방법은?
     1. 저항제어
     2. 계자제어
     3. 전압제어
     4. 직병렬제어

     정답 : []
     정답률 : 57%

63. 전동기의 회전방향을 알기 위한 법칙은?
     1. 렌츠의 법칙
     2. 암페어의 법칙
     3. 플레밍의 왼손법칙
     4. 플레밍의 오른손법칙

     정답 : []
     정답률 : 76%
     <문제 해설>
오른손 발전기, 왼손 전동기
오발왼전
[해설작성자 : 전기기사 있는 사람]

64. 지상 역률 80%, 1000kW의 3상 부하가 있다. 이것에 콘덴서를 설치하여 역률을 95%로 개선하려고 한다. 필요한 콘덴서의 용량(kvar)은 약 얼마인가?
     1. 421.3
     2. 633.3
     3. 844.3
     4. 1266.3

     정답 : []
     정답률 : 28%
     <문제 해설>
콘덴서용량 = P * ( (sin1/cos1) - (sin2/cos2) )
1000 * ( ( 0.6 / 0.8 ) - ( 루트(1-0.95^) / 0.95 ) = 421.3
0.95^ 의 ^는 제곱임
sin구하는 공식 루트(1-cos^) 임.
[해설작성자 : comcbt.com 이용자]

콘덴서용량은 P tanθ1 - P tanθ2 의 개념입니다.
다시 정리하면 Px(tanθ1 - tanθ2)
[해설작성자 : 유누1]

65. 3상 유도전동기의 주파수가 60Hz, 극수가 6극, 전부하 시 회전수가 1160rpm이라면 슬립은 약 얼마인가?
     1. 0.03
     2. 0.24
     3. 0.45
     4. 0.57

     정답 : []
     정답률 : 53%
     <문제 해설>
N=120f/P=120*60/6=1200
→1200=(1-s)*1160
    s=0.034
[해설작성자 : Samoo인턴따리]

N은 회전수 이므로 1160=(1-s)*1200 으로 계산
[해설작성자 : Evergreen]

66. 저항에 전류가 흐르면 줄열이 발생하는데 저항에 흐르는 전류 I와 전력 P의 관계는?
     1. I ∝ P
     2. I ∝ P0.5
     3. I ∝ P1.5
     4. I ∝ P2

     정답 : []
     정답률 : 70%
     <문제 해설>
P = I^2 * R → I = ( P / R )^0.5
[해설작성자 : 짜보]

67. 입력신호 중 어느 하나가 “1”일 때 출력이 “0”이 되는 회로는?
     1. AND 회로
     2. OR 회로
     3. NOT 회로
     4. NOR 회로

     정답 : []
     정답률 : 59%
     <문제 해설>
1. AND = 입력신호 중 어느 하나가 “0”일 때 출력이 “0”이 되는 회로
             = 입력신호 모두 "1"일 때 출력이 "1"이 되는 회로

2. OR = 입력신호 중 어느 하나가 "1"일 때 출력이 "1"이 되는 회로
            = 입력신호 모두 "0"일 때 출력이 "0"이 되는 회로

3. NOT = 입력신호가 “0”일 때 출력이 “1”이 되는 회로
             = 입력신호가 “1”일 때 출력이 “0”이 되는 회로

4. NOR = 입력신호 중 어느 하나가 “1”일 때 출력이 “0”이 되는 회로
             = 입력신호 모두 "0"일 때 출력이 "1"이 되는 회로
[해설작성자 : 짜보]

68. 입력신호 x(t)와 출력신호 y(t)의 관계가 로 표현되는 것은 어떤 요소인가?
     1. 비례요소
     2. 미분요소
     3. 적분요소
     4. 지연요소

     정답 : []
     정답률 : 67%

69. 다음 조건을 만족시키지 못하는 회로는?

    

     1. RL병렬
     2. RC병렬
     3. RLC병렬
     4. RLC직렬

     정답 : []
     정답률 : 48%
     <문제 해설>
진상을 묻는 문제인데 C가있어야 진상임. 고로 RL 병렬은 지상
[해설작성자 : 아무개]

70. 다음 논리기호의 논리식은?

    

     1. X=A+B
     2.
     3. X=AB
     4.

     정답 : []
     정답률 : 46%

71. 콘덴서의 전위차와 축적되는 에너지와의 관게식을 그림으로 나타내면 어떤 그림이 되는가?
     1. 직선
     2. 타원
     3. 쌍곡선
     4. 포물선

     정답 : []
     정답률 : 66%

72. 열전대에 대한 설명이 아닌 것은?
     1. 열전대를 구성하는 소선은 열기전력이 커야한다.
     2. 철, 콘스탄탄 등의 금속을 이용한다.
     3. 제벡효과를 이용한다.
     4. 열팽창 계수에 따른 변형 또는 내부 응력을 이용한다.

     정답 : []
     정답률 : 44%
     <문제 해설>
온도를 전압으로 변환시켜 온도를 측정하는 검출기이며, 제백효과를 이용하므로 소선은 열기전력이 커야한다.
철- J형 열전대
동 - T형 열전대
[해설작성자 : ㄱㅁㅅ]

73. 전류계와 전압계는 내부저항이 존재한다. 이 내부저항은 전압 또는 전류를 측정하고자 하는 부하의 저항에 비하여 어떤 특성을 가져야 하는가?
     1. 내부저항이 전류계는 가능한 커야 하며, 전압계는 가능한 작아야 한다.
     2. 내부저항이 전류계는 가능한 커야 하며, 전압계도 가능한 커야 한다.
     3. 내부저항이 전류계는 가능한 작아야 하며, 전압계는 가능한 커야 한다.
     4. 내부저항이 전류계는 가능한 작아야 하며, 전압계도 가능한 작아야 한다.

     정답 : []
     정답률 : 61%

74. 피드백제어에서 제어요소에 대한 설명 중 옳은 것은?
     1. 조작부와 검출부로 구성되어 있다.
     2. 동작신호를 조작량으로 변화시키는 요소이다.
     3. 제어를 받는 출력량으로 제어대상에 속하는 요소이다.
     4. 제어량을 주궤환 신호로 변화시키는 요소이다.

     정답 : []
     정답률 : 54%

75. 제어량에 따른 분류 중 프로세스 제어에 속하지 않는 것은?
     1. 압력
     2. 유량
     3. 온도
     4. 속도

     정답 : []
     정답률 : 64%
     <문제 해설>
온도, 유량, 압력, 액위, 밀도, 농도
[해설작성자 : wisdu]

76. 다음 블록선도를 등가 합성 전달함수로 나타낸 것은?

    

     1.
     2.
     3.
     4.

     정답 : []
     정답률 : 69%
     <문제 해설>
분자에는 정방향(R->C 방향)인 G를 쓰고
분모에는 역방향으로 거거쳐가는 것을 1에서 빼주는 식(-부호)으로 모두 쓰면됩니다.
[해설작성자 : 유누1]

77. 다음 논리회로의 출력은?

    

     1.
     2.
     3.
     4.

     정답 : []
     정답률 : 67%

78. R1=100Ω, R2=1000Ω, R3=800Ω일 때 전류계의 지시가 0이 되었다. 이때 저항 R4는 몇 Ω인가?

    

     1. 80
     2. 160
     3. 240
     4. 320

     정답 : []
     정답률 : 64%
     <문제 해설>
R1×R3=R2×R4
[해설작성자 : 녹두장군]

79. x2=ax1+cx3+bx4의 신호흐름 선도는?
     1.
     2.
     3.
     4.

     정답 : []
     정답률 : 71%

80. R, L, C가 서로 직렬로 연결되어 있는 회로에서 양단의 전압과 전류의 위상이 동상이 되는 조건은?
     1. ω=LC
     2. ω=L2C
     3.
     4.

     정답 : []
     정답률 : 73%

81. 배수 배관의 시공시 유의사항으로 틀린 것은?
     1. 배수를 가능한 천천히 옥외 하수관으로 유출할 수 있을 것
     2. 옥외 하수관에서 하수 가스나 쥐 또는 각종 벌레 등이 건물 안으로 침입하는 것을 방지할 수 있는 방법으로 시공할 것
     3. 배수관 및 통기관은 내구성이 풍부하여야 하며 가스나 물이 새지 않도록 기구 상호 간의 접합을 완벽하게 할 것
     4. 한랭지에서는 배수관이 동결되지 않도록 피복을 할 것

     정답 : []
     정답률 : 75%
     <문제 해설>
배수를 가능한 빨리 옥외 하수곤으로 유출할 수 있을 것
[해설작성자 : 0]

82. 배관설비 공사에서 파이프 래크의 폭에 관한 설명으로 틀린 것은?
     1. 파이프 래크의 실제 폭은 신규라인을 대비하여 계산된 폭보다 20%정도 크게 한다.
     2. 파이프 래크상의 배관밀도가 작아지는 부분에 대해서는 파이프 래크의 폭을 좁게 한다.
     3. 고온배관에서는 열팽창에 의하여 과대한 구속을 받지 않도록 충분한 간격을 둔다.
     4. 인접하는 파이프의 외측과 외측과의 최소 간격을 25mm로 하여 래크의 폭을 결정한다.

     정답 : []
     정답률 : 60%
     <문제 해설>
파이프래크 폭을 결정할 때 외측과 외측과의 최소간격 75mm,    인접하는 플랜지 외측과 외측과의 최소간격 25mm로 한다.
[해설작성자 : 풍경소리]

83. 공기조화 설비 중 복사난방의 패널형식이 아닌 것은?
     1. 바닥패널
     2. 천장패널
     3. 벽패널
     4. 유닛패널

     정답 : []
     정답률 : 71%

84. 동관작업용 사이징 툴(sizing tool)공구에 관한 설명으로 옳은 것은?
     1. 동관의 확관용 공구
     2. 동관의 끝부분을 원형으로 정형하는 공구
     3. 동관의 끝을 나팔형으로 만드는 공구
     4. 동관 절단 후 생긴 거스러미를 제거하는 공구

     정답 : []
     정답률 : 68%
     <문제 해설>
1. 동관의 확관용 공구 - 익스펜더
2. 동관의 끝부분을 원형으로 정형하는 공구 - 사이징 툴
3. 동관의 끝을 나팔형으로 만드는 공구 - 플레어링 툴 세트
4. 동관 절단 후 생긴 거스러미를 제거하는 공구 - 리머
[해설작성자 : 도움이 되길 바라며]

85. 다음 중 신축 이음쇠의 종류로 가장 거리가 먼 것은?
     1. 벨로즈형
     2. 플랜지형
     3. 루프형
     4. 슬리브형

     정답 : []
     정답률 : 72%
     <문제 해설>
신축 이음쇠의 종류 : 벨로즈형, 스위블 조인트, 루프형, 슬리브형
[해설작성자 : 도움이 되길 바라며]

86. 공조설비에서 증기코일의 동결 방지 대책으로 틀린 것은?
     1. 외기와 실내 환기가 혼합되지 않도록 차단한다.
     2. 외기 댐퍼와 송풍기를 인터록 시킨다.
     3. 야간의 운전정지 중에도 순환 펌프를 운전한다.
     4. 증기코일 내에 응축수가 고이지 않도록 한다.

     정답 : []
     정답률 : 51%
     <문제 해설>
혼합되도록 한다. 외기 환기
[해설작성자 : 김경태]

87. 동일 구경의 관을 직선 연결할 때 사용하는 관 이음재료가 아닌 것은?
     1. 소켓
     2. 플러그
     3. 유니온
     4. 플랜지

     정답 : []
     정답률 : 71%
     <문제 해설>
플러그는 배관의 끝 부분을 막을 때 사용하는 재료입니다.
[해설작성자 : 내일 시험ㅠㅠㅠㅠ]

88. 강관의 용접 접합법으로 가장 적합하지 않은 것은?
     1. 맞대기용접
     2. 슬리브용접
     3. 플랜지용접
     4. 플라스틴용접

     정답 : []
     정답률 : 73%

89. 하향 공급식 급탕 배관법의 구배방법으로 옳은 것은?
     1. 급탕관은 끝올림, 복귀관은 끝내림 구배를 준다.
     2. 급탕관은 끝내림, 복귀관은 끝올림 구배를 준다.
     3. 급탕관, 복귀관 모두 끝올림 구배를 준다.
     4. 급탕관, 복귀관 모두 끝내림 구배를 준다.

     정답 : []
     정답률 : 61%

90. 보온재의 열전도율이 작아지는 조건으로 틀린 것은?
     1. 재료의 두께가 두꺼울수록
     2. 재료 내 기공이 작고 기공률이 클수록
     3. 재료의 밀도가 클수록
     4. 재료의 온도가 낮을수록

     정답 : []
     정답률 : 64%
     <문제 해설>
밀도가 크면 열전도율 높아진다 ^^
[해설작성자 : 김경태]

91. 캐비테이션(cavitation)현상의 발생 조건이 아닌 것은?
     1. 흡입양정이 지나치게 클 경우
     2. 흡입관의 저항이 증대될 경우
     3. 흡입 유체의 온도가 높은 경우
     4. 흡입관의 압력이 양압인 경우

     정답 : []
     정답률 : 67%
     <문제 해설>
4번 흡입관의 압력이 음압이어야 합니다
[해설작성자 : 유누1]

92. 간접 가열식 급탕법에 관한 설명으로 틀린 것은?
     1. 대규모 급탕설비에 부적당하다.
     2. 순환증기는 높이에 관계 없이 저압으로 사용 가능하다.
     3. 저탕탱크와 가열용 코일이 설치되어 있다.
     4. 난방용 증기보일러가 있는 곳에 설치하면 설비비를 절약하고 관리가 편하다.

     정답 : []
     정답률 : 58%

93. 온수배관에서 배관의 길이팽창을 흡수하기 위해 설치하는 것은?
     1. 팽창관
     2. 완충기
     3. 신축이음쇠
     4. 흡수기

     정답 : []
     정답률 : 71%

94. 고온수 난방방식에서 넓은 지역에 공급하기 위해 사용되는 2차측 접속방식에 해당되지 않는 것은?
     1. 직결방식
     2. 브리드인방식
     3. 열교환방식
     4. 오리피스접합방식

     정답 : []
     정답률 : 57%

95. 다음 중 열을 잘 반사하고 확산하여 방열기 표면 등의 도장용으로 사용하기에 가장 적합한 도료는?
     1. 광명단
     2. 산화철
     3. 합성수지
     4. 알루미늄

     정답 : []
     정답률 : 70%

96. 수배관 사용 시 부식을 방지하기 위한 방법으로 틀린 것은?
     1. 밀폐 사이클의 경우 물을 가들 채우고 공기를 제거한다.
     2. 개방 사이클로 하여 순환수가 공기와 충분히 접하도록 한다.
     3. 캐비테이션을 일으키지 않도록 배관한다.
     4. 배관에 방식도장을 한다.

     정답 : []
     정답률 : 71%
     <문제 해설>
순환수가 공기와 접하면 산화부식을 초래할 수 있다

97. 다음 중 암모니아 냉동장치에 사용되는 배관재료로 가장 적합하지 않은 것은?
     1. 이음매 없는 동관
     2. 배관용 탄소강관
     3. 저온배관용 강관
     4. 배관용 스테인리스강관

     정답 : []
     정답률 : 74%
     <문제 해설>
암모니아는 동관을 부식시킵니다.
[해설작성자 : asd]

98. 증기난방 배관시공에서 환수관에 수직 상향부가 필요할 때 리프트 피팅(lift fitting)을 써서 응축수가 위쪽으로 배출되게 하는 방식은?
     1. 단관 중력 환수식
     2. 복관 중력 환수식
     3. 진공 환수식
     4. 압력 환수식

     정답 : []
     정답률 : 69%

99. 다음 보온재 중 안전사용(최고)온도가 가장 높은 것은? (단, 동일조건 기준으로 한다.)
     1. 글라스 울 보온판
     2. 우모펠트
     3. 규산칼슘 보온판
     4. 석면 보온판

     정답 : []
     정답률 : 53%
     <문제 해설>
최고 사용 온도
규산칼슘 > 석면 > 글라스 울 > 우모펠트
[해설작성자 : asd]

100. 급수관의 유속을 제한(1.5~2m/s이하)하는 이유로 가장 거리가 먼 것은?
     1. 유속이 빠르면 흐름방향이 변하는 개소의 원심력에 의한 부압(-)이 생겨 캐비테이션이 발생하기 때문에
     2. 관 지름을 작게 할 수 있어 재료비 및 시공비가 절약되기 때문에
     3. 유속이 빠른 경우 배관의 마찰손실 및 관 내면의 침식이 커지기 때문에
     4. 워터해머 발생 시 충격압에 의해 소음, 진동이 발생하기 떄문에

     정답 : []
     정답률 : 71%


정 답 지

1

2

3

4

5

6

7

8

9

10

11

12

13

14

15

16

17

18

19

20

21

22

23

24

25

26

27

28

29

30

31

32

33

34

35

36

37

38

39

40

41

42

43

44

45

46

47

48

49

50

51

52

53

54

55

56

57

58

59

60

61

62

63

64

65

66

67

68

69

70

71

72

73

74

75

76

77

78

79

80

81

82

83

84

85

86

87

88

89

90

91

92

93

94

95

96

97

98

99

100

공조냉동기계기사(구) 필기 기출문제(해설) 및 CBT 2021년05월15일을 이용해 주셔서 감사합니다.
, 필기, 기출문제, 전자문제집, CBT, 온라인, 모의테스트, 모의고사



List of Articles
번호 제목 글쓴이 날짜 조회 수
26565 유통관리사 3급 필기 기출문제(해설) 및 CBT 2017년11월12일 new 좋은아빠되기 2025.12.05 1
26564 용접기능사 필기 기출문제(해설) 및 CBT 2013년07월21일(4회) new 좋은아빠되기 2025.12.05 1
26563 위험물기능사 필기 기출문제(해설) 및 CBT 2004년02월01일(1회) new 좋은아빠되기 2025.12.05 1
26562 전산회계 1급 필기 기출문제(해설) 및 CBT 0051회 new 좋은아빠되기 2025.12.05 1
26561 화학분석기능사 필기 기출문제(해설) 및 CBT 2009년07월12일(4회) new 좋은아빠되기 2025.12.05 1
26560 9급 지방직 공무원 서울시 공업화학 필기 기출문제(해설) 및 CBT 모의고사(2025년 12월 05일)(7694386) new 좋은아빠되기 2025.12.05 1
26559 침투비파괴검사기사(구) 필기 기출문제(해설) 및 CBT 2008년09월07일 new 좋은아빠되기 2025.12.05 1
26558 식물보호산업기사 필기 기출문제(해설) 및 CBT 2004년09월05일 new 좋은아빠되기 2025.12.05 1
26557 9급 국가직 공무원 행정법총론 필기 기출문제(해설) 및 CBT 2008년04월12일 new 좋은아빠되기 2025.12.05 1
26556 컴활 1급 필기 기출문제(해설) 및 CBT 2005년05월15일 new 좋은아빠되기 2025.12.05 1
26555 인간공학기사 필기 기출문제(해설) 및 CBT 2011년08월21일 new 좋은아빠되기 2025.12.05 1
» 공조냉동기계기사(구) 필기 기출문제(해설) 및 CBT 2021년05월15일 new 좋은아빠되기 2025.12.05 1
26553 전자산업기사 필기 기출문제(해설) 및 CBT 2016년05월08일 new 좋은아빠되기 2025.12.05 1
26552 정밀측정산업기사 필기 기출문제(해설) 및 CBT 2005년03월20일 new 좋은아빠되기 2025.12.05 1
26551 컴활 1급 필기 기출문제(해설) 및 CBT 모의고사(2025년 12월 05일)(9748907) new 좋은아빠되기 2025.12.05 2
26550 실내건축기사(구) 필기 기출문제(해설) 및 CBT 2004년03월07일 new 좋은아빠되기 2025.12.05 1
26549 9급 국가직 공무원 과학 필기 기출문제(해설) 및 CBT 2021년04월17일 new 좋은아빠되기 2025.12.05 1
26548 9급 지방직 공무원 서울시 건축계획 필기 기출문제(해설) 및 CBT 2019년06월15일 new 좋은아빠되기 2025.12.05 1
26547 소방공무원(경력) 소방관계법규(구) 필기 기출문제(해설) 및 CBT 2021년04월03일 new 좋은아빠되기 2025.12.05 1
26546 정보처리산업기사 필기 기출문제(해설) 및 CBT 모의고사(2025년 12월 05일)(3193634) new 좋은아빠되기 2025.12.05 2
Board Pagination Prev 1 2 3 4 5 6 7 8 9 10 ... 1333 Next
/ 1333