자격증 필기 기출문제



9급 국가직 공무원 컴퓨터일반 필기 기출문제(해설) 및 CBT 모의고사(2025년 11월 13일)(9819508)

최강 자격증 기출문제 전자문제집 CBT : www.comcbt.com


전자문제집 CBT란?
종이 문제집이 아닌 인터넷으로 문제를 풀고 자동으로 채점하며 모의고사, 오답 노트, 해설까지 제공하는
무료 기출문제 학습 프로그램으로 실제 상설검정에서 사용하는 OMR 형식의 CBT를 제공합니다.

최신 9급 국가직 공무원 컴퓨터일반 필기 기출문제 : [다운로드]


1. 병렬 처리를 수행하는 기법으로 옳지 않은 것은?(2023년 04월)
     1. 블루-레이 디스크
     2. VLIW
     3. 파이프라인
     4. 슈퍼스칼라

     정답 : []
     정답률 : 79%

2. 소프트웨어에 대한 설명으로 옳지 않은 것은?(2021년 04월)
     1. 하드웨어에 대응하는 개념으로 우리가 원하는 대로 컴퓨터를 작동하게 만드는 논리적인 바탕을 제공한다.
     2. 운영체제 등 컴퓨터 시스템을 가동시키는 데 사용되는 소프트웨어를 시스템 소프트웨어라 한다.
     3. 문서 작성이나 게임 등 특정 분야의 업무를 처리하는 데 사용되는 소프트웨어를 응용 소프트웨어라 한다.
     4. 고급 언어로 작성된 프로그램을 한꺼번에 번역한 후 실행하는 것이 인터프리터 방식이다.

     정답 : []
     정답률 : 87%
     <문제 해설>
인터프리터 방식: 고급언어로 작성된 프로그램을 한 줄씩 기계어로 번역한 후 실행하는 방식
컴파일러 방식: 고급언어로 작성된 프로그램을 한 번에 기계어로 번역한 후 링킹 작억을 거쳐 컴퓨터에서 실행 가능한 프로그램을 만드는 방식
[해설작성자 : comcbt.com 이용자]

3. 열거된 메모리들을 처리 속도가 빠른 순서대로 바르게 나열한 것은?(2014년 04월)

   

     1. ㄱ-ㄴ-ㄷ-ㄹ
     2. ㄴ-ㄷ-ㄹ-ㄱ
     3. ㄷ-ㄴ-ㄱ-ㄹ
     4. ㄹ-ㄱ-ㄴ-ㄹ

     정답 : []
     정답률 : 84%

4. 플린(Flynn)의 분류법에 따른 병렬 프로세서 구조 중 MIMD(Multiple Instruction stream, Multiple Data stream) 방식에 속하지 않는 것은?(2023년 04월)
     1. 클러스터
     2. 대칭형 다중 프로세서
     3. 불균일 기억장치 액세스
     4. 배열 프로세서

     정답 : []
     정답률 : 61%
     <문제 해설>
SISD - 단일 프로세서
SIMD -    배열 프로세서, 벡터프로세서
MIMD -    공유기억장치, 분산기억장치.....
[해설작성자 : ㅁㄴㅇ]

SSID X    -> SISD
[해설작성자 : comcbt.com 이용자]

sisd:1 명령어 스트림, 1 데이터 스트림 -> 단일 프로세
simd: 1 명령어 스트림, 다 데이터 스트림 -> 배열, GPU, 백터 프로세서
misd: 다 명령어 스트림, 1 데이터 스츠림 -> 파이프라인, 오류 검출 프로세서
mimd: 다 명령어 스트림, 다 명령어 스트림 -> 병렬, 분산, 복잡한 시뮬레이션, 공유 기억, 분산 기억
[해설작성자 : 승리자]

5. OSI 7계층에서 계층별로 사용하는 프로토콜의 데이터 단위는 다음 표와 같다. ㉠~㉢에 들어갈 내용을 바르게 연결한 것은?(2021년 04월)

   

     1.
     2.
     3.
     4.

     정답 : []
     정답률 : 72%
     <문제 해설>
OSI7계층의 데이터 단위
응용, 표현, 세션: 메시지
전송: 데이터그램
네트워크: 패킷
데이터링크: 프레임
물리: 비트
[해설작성자 : 행복특별시의정부]

6. 300개의 노드로 이진 트리를 생성하고자 할 때, 생성 가능한 이진 트리의 최대 높이와 최소 높이로 모두 옳은 것은? (단, 1개의 노드로 생성된 이진 트리의 높이는 1이다)(2021년 04월)

   

     1.
     2.
     3.
     4.

     정답 : []
     정답률 : 62%
     <문제 해설>
한쪽으로만 노드가 쏠리면 루트노드부터 단말노드까지 총 300 높이
완전 이진트리가 최소 높이를 가지므로, 높이가 K일때 완전이진트리가 가질 수 있는 노트든 2^K-1개, K가 9일때 300개의 노드가 만들어질 수 있으므로 높이 9
[해설작성자 : 한기대황치열]

7. 아래와 같은 순서대로 회의실 사용 요청이 있을 때, 다음 중 가장 많은 회의실 사용 시간을 확보할 수 있는 스케줄링 방법은? (단, 회의실은 하나이고, 사용 요청은 (시작 시각, 종료 시각)으로 구성된다. 회의실에 특정 회의가 할당되면 이 회의 시간과 겹치는 회의 요청에 대해서는 회의실 배정을 할 수 없다)(2021년 04월)

   

     1. 시작 시각이 빠른 요청부터 회의실 사용이 가능하면 확정한다.
     2. 종료 시각이 빠른 요청부터 회의실 사용이 가능하면 확정한다.
     3. 사용 요청 순서대로 회의실 사용이 가능하면 확정한다.
     4. 회의 시간이 긴 요청부터 회의실 사용이 가능하면 확정한다.

     정답 : []
     정답률 : 49%
     <문제 해설>
1. (09:00, 12:00) - (13:00, 14:30) - (14:40, 15:00) - (15:40, 16:20)
2. (09:00, 12:00) - (13:00, 14:30) - (14:40, 15:00) - (15:40, 16:20)
3. (11:50, 12:30) - (13:00, 14:30) - (14:40, 15:00) - (15:40, 16:20)
4. (09:00, 12:00) - (16:10, 18:00) - (13:00, 14:30) - (14:50, 16:00) -> 제일 많은 사용 시간 확보
                180분                        110분                        90분                            70분
[해설작성자 : 열라면]

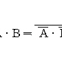
8. 다음은 어느 기관의 데이터베이스 테이블을 나타낸 것이다.

다음 관계대수식을 적용한 결과의 카디널리티(cardinality)로 옳은 것은?
(2010년 04월)

   

     1. 3
     2. 4
     3. 5
     4. 6

     정답 : []
     정답률 : 48%
     <문제 해설>
괄호 안의 첫번째 프로젝트 결과         두번째 프로젝트 결과
정책명    이름    부서                                 이름 부서명 정책명
인력양성    최     C30                                     최    총무과 인력양성
주택자금    이     A10                                     이    기획과 주택자금
친절교육    김     B20                                     김    인사과 친절교육
성과금        김     B20                                     김    인사과 성과금
신규고용    이     A10                                     이    기획과 신규고용

카디널리티는 튜플(행)의 개수이므로 5개
[해설작성자 : comcbt.com 이용자]

9. 다음 중 가장 큰 수는? (단, 오른쪽 괄호 밖의 아래 첨자는 진법을 의미한다)(2008년 04월)
     1. (10000000000)2
     2. (302)16
     3. (2001)8
     4. (33333)4

     정답 : []
     정답률 : 61%
     <문제 해설>
전부 다 2진수로 바꾸어 비교
1. 0100 0000 0000
2. 0011 0000 0010
3. 0100 0000 0001
4. 0011 1111 1111
따라서 3번이 가장 큰 수가 된다.
[해설작성자 : 행복특별시의정부]

10. 8진수 123.321을 16진수로 변환한 것은?(2020년 07월)
     1. 53.35
     2. 53.321
     3. 53.681
     4. 53.688

     정답 : []
     정답률 : 57%
     <문제 해설>
먼저 123.321을 2진수로 바꿔봅시다.
[2진수]
001 010 011.011 010 001
이제 소수점을 기준으로 4개씩 묶어 표현합니다.
[4개씩 묶기]
0 0101 0011.0110 1000 1
4개씩 묶이지 않는 경우에는 0을 추가하여 4개 묶음으로 만듭시다
0000 0101 0011.0110 1000 1000
이제 16진수로 변환하면...
= 53.688
정답은 4
[해설작성자 : 행복특별시의정부]

11. 소프트웨어 모듈 평가 기준으로 판단할 때, 다음 4명 중 가장 좋게 설계한 사람과 가장 좋지 않게 설계한 사람을 순서대로 바르게 나열한 것은?(2018년 04월)

    

     1. 철수, 영희
     2. 철수, 민희
     3. 동수, 영희
     4. 동수, 민희

     정답 : []
     정답률 : 76%
     <문제 해설>
결합도는 낮을수록 응집도는 높을수록 좋음.
결합도 : (낮음-좋음) 자료 - 스탬프 - 제어 - 외부 - 공통 - 내용 (높음-안좋음)
응집도 : (높음-좋음) 기능적 - 순차적 - 교환적 - 절차적 - 시간적 - 논리적 - 우연적 (낮음-안좋음)
[해설작성자 : comcbt.com 이용자]

12. 교착상태에 대한 설명으로 옳지 않은 것은?(2009년 04월)
     1. 교착상태를 예방하기 위한 방법에는 점유와 대기 조건의 방지, 비선점(non-preemptive) 조건의 방지, 순환대기 조건의 방지 방법이 있다.
     2. 교착상태를 회피하기 위한 방법으로 은행가 알고리즘(banker algorithm)이 있다.
     3. 둘 이상의 프로세스들이 서로 다른 프로세스가 점유하고 있는 자원을 기다리느라 어느 프로세스도 진행하지 못하는 상태를 말한다.
     4. 상호배제 조건, 점유와 대기 조건, 비선점(non-preemptive)조건, 순환 대기의 조건 중 어느 하나만 만족하면 발생한다.

     정답 : []
     정답률 : 76%

13. 해쉬(Hash)에 대한 설명으로 옳지 않은 것은?(2021년 04월)
     1. 연결리스트는 체이닝(Chaining) 구현에 적합하다.
     2. 충돌이 전혀 없다면 해쉬 탐색의 시간 복잡도는 O(1)이다.
     3. 최악의 경우에도 이진 탐색보다 빠른 성능을 보인다.
     4. 해쉬 함수는 임의의 길이의 데이터를 입력받을 수 있다.

     정답 : []
     정답률 : 65%
     <문제 해설>
이진 탐색 시간 복잡도 : O(logN)
최악의 경우 해시 탐색 시간 복잡도 : O(N)
[해설작성자 : ㅇㅇ]

14. 다음 프로그램의 실행 결과로 옳은 것은?(2020년 07월)

    

     1. 200
     2. 300
     3. 400
     4. 500

     정답 : []
     정답률 : 80%

15. 다음 설명에 해당하는 모듈의 결합도는?(2024년 03월)

    

     1. 공통 결합도(common coupling)
     2. 내용 결합도(content coupling)
     3. 외부 결합도(external coupling)
     4. 자료 결합도(data coupling)

     정답 : []
     정답률 : 54%
     <문제 해설>
내공외제스자
내용 결합도: 기능을 다른 모듈에 있는것을 사용 하는 경우(제일 않좋음) 이 아이는 기능이고
공통 결합도: 전역변수 기억
외부 결합도: 외부에 있는 다른 모듈의 데이터,프로토콜를 참조    이 아이는 데이터임
제어 결합도: 제어 요소를 전달하는 경우
스탬프 결합도: 배열,객체, 자료 구조 등이 전달 되는 경우
자료 결합도: 인터페이스의 파라미터를 통해서만 상호 작용이 일어나는 경우(결합도가 제일 낮고 제일 좋은 형태)스
[해설작성자 : 승리자]

16. 공개키 암호화 방식에 대한 설명으로 옳지 않은 것은?(2010년 04월)
     1. 공개키 암호화 방식은 암호화, 복호화에 서로 다른 키를 사용한다.
     2. 공개키 암호화 방식은 비밀키(또는 대칭키) 암호화 방식에 비해 암호화 속도가 빠르다.
     3. 공개키 암호화 방식은 알고리즘과 공개키를 알아도 개인키를 알아내는 것이 매우 어렵다.
     4. 대표적인 공개키 암호화 방식의 알고리즘으로 RSA 방식이 있다.

     정답 : []
     정답률 : 89%

17. 다중접속(multiple access) 방식에 대한 설명으로 옳지 않은 것은?(2013년 07월)
     1. 코드분할 다중접속(CDMA)은 디지털 방식의 데이터 송수신 기술이다.
     2. 시분할 다중접속(TDMA)은 대역확산 기법을 사용한다.
     3. 주파수분할 다중접속(FDMA)은 할당된 유효 주파수 대역폭을 작은 주파수 영역인 채널로 분할한다.
     4. 시분할 다중접속(TDMA)은 할당된 주파수를 시간상에서 여러 개의 조각인 슬롯으로 나누어 하나의 조각을 한 명의 사용자가 사용하는 방식이다.

     정답 : []
     정답률 : 70%
     <문제 해설>
2. 시분할은 디지털 다중화 기술 사용
대역확산 기법은 코드 분할 다중접속
[해설작성자 : AB6IX 박우진]

18. 컴퓨터와 네트워크 보안에 대한 설명으로 옳지 않은 것은?(2011년 04월)
     1. 인증(authentication)이란 호스트나 서비스가 사용자의 식별자를 검증하는 것을 의미한다.
     2. 기밀성(confidentiality)이란 인증된 집단만 데이터를 읽는 것이 가능한 것을 의미한다.
     3. 무결성(integrity)이란 모든 집단이 데이터를 수정할 수 있도록 허가한다는 것을 의미한다.
     4. 가용성(availability)이란 인증된 집단이 컴퓨터 시스템의 자산들을 사용할 수 있다는 것을 의미한다.

     정답 : []
     정답률 : 94%

19. HTML5의 특징에 대한 설명으로 옳지 않은 것은?(2017년 04월)
     1. 플러그인의 도움 없이 음악과 동영상 재생이 가능하다.
     2. 쌍방향 통신을 제공하여 실시간 채팅이나 온라인 게임을 만들 수 있다.
     3. 디바이스에 접근할 수 없어서 개인정보 보호 및 보안을 철저히 유지할 수 있다.
     4. 스마트폰의 일반 응용프로그램도 HTML5를 사용해 개발할 수 있다.

     정답 : []
     정답률 : 77%
     <문제 해설>
3. 디바이스에 접근하여    카메라, 위치 정보등을 사용할 수 있다.
[해설작성자 : 행복특별시의정부]

20. 객체 지향 개념에 관한 설명 중 옳지 않은 것은?(2007년 04월)
     1. 객체들 간의 상호 작용은 메시지를 통해 이루어진다.
     2. 클래스는 인스턴스(instance)들이 갖는 변수들과 인스턴스들이 사용할 메소드(method)를 갖는다.
     3. 다중 상속(multiple inheritance)은 두 개 이상의 클래스가 한 클래스로부터 상속받는 것을 말한다.
     4. 객체가 갖는 데이터를 처리하는 연산(operation)을 메소드 (method)라 한다.

     정답 : []
     정답률 : 73%


정 답 지

9급 국가직 공무원 컴퓨터일반 필기 기출문제(해설) 및 CBT 모의고사(2025년 11월 13일)(9819508)

최강 자격증 기출문제 전자문제집 CBT : www.comcbt.com


전자문제집 CBT란?
종이 문제집이 아닌 인터넷으로 문제를 풀고 자동으로 채점하며 모의고사, 오답 노트, 해설까지 제공하는
무료 기출문제 학습 프로그램으로 실제 상설검정에서 사용하는 OMR 형식의 CBT를 제공합니다.

최신 9급 국가직 공무원 컴퓨터일반 필기 기출문제 : [다운로드]


1. 병렬 처리를 수행하는 기법으로 옳지 않은 것은?(2023년 04월)
     1. 블루-레이 디스크
     2. VLIW
     3. 파이프라인
     4. 슈퍼스칼라

     정답 : []
     정답률 : 79%

2. 소프트웨어에 대한 설명으로 옳지 않은 것은?(2021년 04월)
     1. 하드웨어에 대응하는 개념으로 우리가 원하는 대로 컴퓨터를 작동하게 만드는 논리적인 바탕을 제공한다.
     2. 운영체제 등 컴퓨터 시스템을 가동시키는 데 사용되는 소프트웨어를 시스템 소프트웨어라 한다.
     3. 문서 작성이나 게임 등 특정 분야의 업무를 처리하는 데 사용되는 소프트웨어를 응용 소프트웨어라 한다.
     4. 고급 언어로 작성된 프로그램을 한꺼번에 번역한 후 실행하는 것이 인터프리터 방식이다.

     정답 : []
     정답률 : 87%
     <문제 해설>
인터프리터 방식: 고급언어로 작성된 프로그램을 한 줄씩 기계어로 번역한 후 실행하는 방식
컴파일러 방식: 고급언어로 작성된 프로그램을 한 번에 기계어로 번역한 후 링킹 작억을 거쳐 컴퓨터에서 실행 가능한 프로그램을 만드는 방식
[해설작성자 : comcbt.com 이용자]

3. 열거된 메모리들을 처리 속도가 빠른 순서대로 바르게 나열한 것은?(2014년 04월)

   

     1. ㄱ-ㄴ-ㄷ-ㄹ
     2. ㄴ-ㄷ-ㄹ-ㄱ
     3. ㄷ-ㄴ-ㄱ-ㄹ
     4. ㄹ-ㄱ-ㄴ-ㄹ

     정답 : []
     정답률 : 84%

4. 플린(Flynn)의 분류법에 따른 병렬 프로세서 구조 중 MIMD(Multiple Instruction stream, Multiple Data stream) 방식에 속하지 않는 것은?(2023년 04월)
     1. 클러스터
     2. 대칭형 다중 프로세서
     3. 불균일 기억장치 액세스
     4. 배열 프로세서

     정답 : []
     정답률 : 61%
     <문제 해설>
SISD - 단일 프로세서
SIMD -    배열 프로세서, 벡터프로세서
MIMD -    공유기억장치, 분산기억장치.....
[해설작성자 : ㅁㄴㅇ]

SSID X    -> SISD
[해설작성자 : comcbt.com 이용자]

sisd:1 명령어 스트림, 1 데이터 스트림 -> 단일 프로세
simd: 1 명령어 스트림, 다 데이터 스트림 -> 배열, GPU, 백터 프로세서
misd: 다 명령어 스트림, 1 데이터 스츠림 -> 파이프라인, 오류 검출 프로세서
mimd: 다 명령어 스트림, 다 명령어 스트림 -> 병렬, 분산, 복잡한 시뮬레이션, 공유 기억, 분산 기억
[해설작성자 : 승리자]

5. OSI 7계층에서 계층별로 사용하는 프로토콜의 데이터 단위는 다음 표와 같다. ㉠~㉢에 들어갈 내용을 바르게 연결한 것은?(2021년 04월)

   

     1.
     2.
     3.
     4.

     정답 : []
     정답률 : 72%
     <문제 해설>
OSI7계층의 데이터 단위
응용, 표현, 세션: 메시지
전송: 데이터그램
네트워크: 패킷
데이터링크: 프레임
물리: 비트
[해설작성자 : 행복특별시의정부]

6. 300개의 노드로 이진 트리를 생성하고자 할 때, 생성 가능한 이진 트리의 최대 높이와 최소 높이로 모두 옳은 것은? (단, 1개의 노드로 생성된 이진 트리의 높이는 1이다)(2021년 04월)

   

     1.
     2.
     3.
     4.

     정답 : []
     정답률 : 62%
     <문제 해설>
한쪽으로만 노드가 쏠리면 루트노드부터 단말노드까지 총 300 높이
완전 이진트리가 최소 높이를 가지므로, 높이가 K일때 완전이진트리가 가질 수 있는 노트든 2^K-1개, K가 9일때 300개의 노드가 만들어질 수 있으므로 높이 9
[해설작성자 : 한기대황치열]

7. 아래와 같은 순서대로 회의실 사용 요청이 있을 때, 다음 중 가장 많은 회의실 사용 시간을 확보할 수 있는 스케줄링 방법은? (단, 회의실은 하나이고, 사용 요청은 (시작 시각, 종료 시각)으로 구성된다. 회의실에 특정 회의가 할당되면 이 회의 시간과 겹치는 회의 요청에 대해서는 회의실 배정을 할 수 없다)(2021년 04월)

   

     1. 시작 시각이 빠른 요청부터 회의실 사용이 가능하면 확정한다.
     2. 종료 시각이 빠른 요청부터 회의실 사용이 가능하면 확정한다.
     3. 사용 요청 순서대로 회의실 사용이 가능하면 확정한다.
     4. 회의 시간이 긴 요청부터 회의실 사용이 가능하면 확정한다.

     정답 : []
     정답률 : 49%
     <문제 해설>
1. (09:00, 12:00) - (13:00, 14:30) - (14:40, 15:00) - (15:40, 16:20)
2. (09:00, 12:00) - (13:00, 14:30) - (14:40, 15:00) - (15:40, 16:20)
3. (11:50, 12:30) - (13:00, 14:30) - (14:40, 15:00) - (15:40, 16:20)
4. (09:00, 12:00) - (16:10, 18:00) - (13:00, 14:30) - (14:50, 16:00) -> 제일 많은 사용 시간 확보
                180분                        110분                        90분                            70분
[해설작성자 : 열라면]

8. 다음은 어느 기관의 데이터베이스 테이블을 나타낸 것이다.

다음 관계대수식을 적용한 결과의 카디널리티(cardinality)로 옳은 것은?
(2010년 04월)

   

     1. 3
     2. 4
     3. 5
     4. 6

     정답 : []
     정답률 : 48%
     <문제 해설>
괄호 안의 첫번째 프로젝트 결과         두번째 프로젝트 결과
정책명    이름    부서                                 이름 부서명 정책명
인력양성    최     C30                                     최    총무과 인력양성
주택자금    이     A10                                     이    기획과 주택자금
친절교육    김     B20                                     김    인사과 친절교육
성과금        김     B20                                     김    인사과 성과금
신규고용    이     A10                                     이    기획과 신규고용

카디널리티는 튜플(행)의 개수이므로 5개
[해설작성자 : comcbt.com 이용자]

9. 다음 중 가장 큰 수는? (단, 오른쪽 괄호 밖의 아래 첨자는 진법을 의미한다)(2008년 04월)
     1. (10000000000)2
     2. (302)16
     3. (2001)8
     4. (33333)4

     정답 : []
     정답률 : 61%
     <문제 해설>
전부 다 2진수로 바꾸어 비교
1. 0100 0000 0000
2. 0011 0000 0010
3. 0100 0000 0001
4. 0011 1111 1111
따라서 3번이 가장 큰 수가 된다.
[해설작성자 : 행복특별시의정부]

10. 8진수 123.321을 16진수로 변환한 것은?(2020년 07월)
     1. 53.35
     2. 53.321
     3. 53.681
     4. 53.688

     정답 : []
     정답률 : 57%
     <문제 해설>
먼저 123.321을 2진수로 바꿔봅시다.
[2진수]
001 010 011.011 010 001
이제 소수점을 기준으로 4개씩 묶어 표현합니다.
[4개씩 묶기]
0 0101 0011.0110 1000 1
4개씩 묶이지 않는 경우에는 0을 추가하여 4개 묶음으로 만듭시다
0000 0101 0011.0110 1000 1000
이제 16진수로 변환하면...
= 53.688
정답은 4
[해설작성자 : 행복특별시의정부]

11. 소프트웨어 모듈 평가 기준으로 판단할 때, 다음 4명 중 가장 좋게 설계한 사람과 가장 좋지 않게 설계한 사람을 순서대로 바르게 나열한 것은?(2018년 04월)

    

     1. 철수, 영희
     2. 철수, 민희
     3. 동수, 영희
     4. 동수, 민희

     정답 : []
     정답률 : 76%
     <문제 해설>
결합도는 낮을수록 응집도는 높을수록 좋음.
결합도 : (낮음-좋음) 자료 - 스탬프 - 제어 - 외부 - 공통 - 내용 (높음-안좋음)
응집도 : (높음-좋음) 기능적 - 순차적 - 교환적 - 절차적 - 시간적 - 논리적 - 우연적 (낮음-안좋음)
[해설작성자 : comcbt.com 이용자]

12. 교착상태에 대한 설명으로 옳지 않은 것은?(2009년 04월)
     1. 교착상태를 예방하기 위한 방법에는 점유와 대기 조건의 방지, 비선점(non-preemptive) 조건의 방지, 순환대기 조건의 방지 방법이 있다.
     2. 교착상태를 회피하기 위한 방법으로 은행가 알고리즘(banker algorithm)이 있다.
     3. 둘 이상의 프로세스들이 서로 다른 프로세스가 점유하고 있는 자원을 기다리느라 어느 프로세스도 진행하지 못하는 상태를 말한다.
     4. 상호배제 조건, 점유와 대기 조건, 비선점(non-preemptive)조건, 순환 대기의 조건 중 어느 하나만 만족하면 발생한다.

     정답 : []
     정답률 : 76%

13. 해쉬(Hash)에 대한 설명으로 옳지 않은 것은?(2021년 04월)
     1. 연결리스트는 체이닝(Chaining) 구현에 적합하다.
     2. 충돌이 전혀 없다면 해쉬 탐색의 시간 복잡도는 O(1)이다.
     3. 최악의 경우에도 이진 탐색보다 빠른 성능을 보인다.
     4. 해쉬 함수는 임의의 길이의 데이터를 입력받을 수 있다.

     정답 : []
     정답률 : 65%
     <문제 해설>
이진 탐색 시간 복잡도 : O(logN)
최악의 경우 해시 탐색 시간 복잡도 : O(N)
[해설작성자 : ㅇㅇ]

14. 다음 프로그램의 실행 결과로 옳은 것은?(2020년 07월)

    

     1. 200
     2. 300
     3. 400
     4. 500

     정답 : []
     정답률 : 80%

15. 다음 설명에 해당하는 모듈의 결합도는?(2024년 03월)

    

     1. 공통 결합도(common coupling)
     2. 내용 결합도(content coupling)
     3. 외부 결합도(external coupling)
     4. 자료 결합도(data coupling)

     정답 : []
     정답률 : 54%
     <문제 해설>
내공외제스자
내용 결합도: 기능을 다른 모듈에 있는것을 사용 하는 경우(제일 않좋음) 이 아이는 기능이고
공통 결합도: 전역변수 기억
외부 결합도: 외부에 있는 다른 모듈의 데이터,프로토콜를 참조    이 아이는 데이터임
제어 결합도: 제어 요소를 전달하는 경우
스탬프 결합도: 배열,객체, 자료 구조 등이 전달 되는 경우
자료 결합도: 인터페이스의 파라미터를 통해서만 상호 작용이 일어나는 경우(결합도가 제일 낮고 제일 좋은 형태)스
[해설작성자 : 승리자]

16. 공개키 암호화 방식에 대한 설명으로 옳지 않은 것은?(2010년 04월)
     1. 공개키 암호화 방식은 암호화, 복호화에 서로 다른 키를 사용한다.
     2. 공개키 암호화 방식은 비밀키(또는 대칭키) 암호화 방식에 비해 암호화 속도가 빠르다.
     3. 공개키 암호화 방식은 알고리즘과 공개키를 알아도 개인키를 알아내는 것이 매우 어렵다.
     4. 대표적인 공개키 암호화 방식의 알고리즘으로 RSA 방식이 있다.

     정답 : []
     정답률 : 89%

17. 다중접속(multiple access) 방식에 대한 설명으로 옳지 않은 것은?(2013년 07월)
     1. 코드분할 다중접속(CDMA)은 디지털 방식의 데이터 송수신 기술이다.
     2. 시분할 다중접속(TDMA)은 대역확산 기법을 사용한다.
     3. 주파수분할 다중접속(FDMA)은 할당된 유효 주파수 대역폭을 작은 주파수 영역인 채널로 분할한다.
     4. 시분할 다중접속(TDMA)은 할당된 주파수를 시간상에서 여러 개의 조각인 슬롯으로 나누어 하나의 조각을 한 명의 사용자가 사용하는 방식이다.

     정답 : []
     정답률 : 70%
     <문제 해설>
2. 시분할은 디지털 다중화 기술 사용
대역확산 기법은 코드 분할 다중접속
[해설작성자 : AB6IX 박우진]

18. 컴퓨터와 네트워크 보안에 대한 설명으로 옳지 않은 것은?(2011년 04월)
     1. 인증(authentication)이란 호스트나 서비스가 사용자의 식별자를 검증하는 것을 의미한다.
     2. 기밀성(confidentiality)이란 인증된 집단만 데이터를 읽는 것이 가능한 것을 의미한다.
     3. 무결성(integrity)이란 모든 집단이 데이터를 수정할 수 있도록 허가한다는 것을 의미한다.
     4. 가용성(availability)이란 인증된 집단이 컴퓨터 시스템의 자산들을 사용할 수 있다는 것을 의미한다.

     정답 : []
     정답률 : 94%

19. HTML5의 특징에 대한 설명으로 옳지 않은 것은?(2017년 04월)
     1. 플러그인의 도움 없이 음악과 동영상 재생이 가능하다.
     2. 쌍방향 통신을 제공하여 실시간 채팅이나 온라인 게임을 만들 수 있다.
     3. 디바이스에 접근할 수 없어서 개인정보 보호 및 보안을 철저히 유지할 수 있다.
     4. 스마트폰의 일반 응용프로그램도 HTML5를 사용해 개발할 수 있다.

     정답 : []
     정답률 : 77%
     <문제 해설>
3. 디바이스에 접근하여    카메라, 위치 정보등을 사용할 수 있다.
[해설작성자 : 행복특별시의정부]

20. 객체 지향 개념에 관한 설명 중 옳지 않은 것은?(2007년 04월)
     1. 객체들 간의 상호 작용은 메시지를 통해 이루어진다.
     2. 클래스는 인스턴스(instance)들이 갖는 변수들과 인스턴스들이 사용할 메소드(method)를 갖는다.
     3. 다중 상속(multiple inheritance)은 두 개 이상의 클래스가 한 클래스로부터 상속받는 것을 말한다.
     4. 객체가 갖는 데이터를 처리하는 연산(operation)을 메소드 (method)라 한다.

     정답 : []
     정답률 : 73%


정 답 지

1

2

3

4

5

6

7

8

9

10

11

12

13

14

15

16

17

18

19

20

9급 국가직 공무원 컴퓨터일반 필기 기출문제(해설) 및 CBT 모의고사(2025년 11월 13일)(9819508)을 이용해 주셔서 감사합니다.
, 필기, 기출문제, 전자문제집, CBT, 온라인, 모의테스트, 모의고사



List of Articles
번호 제목 글쓴이 날짜 조회 수
2749 종자기사 필기 기출문제(해설) 및 CBT 모의고사(2025년 11월 13일)(3624255) 좋은아빠되기 2025.11.13 5
2748 설비보전기사(구) 필기 기출문제(해설) 및 CBT 모의고사(2025년 11월 13일)(6544899) 좋은아빠되기 2025.11.13 6
2747 보석감정사(기능사) 필기 기출문제(해설) 및 CBT 2013년07월21일(4회) 좋은아빠되기 2025.11.13 4
2746 FAT 1급(구) 필기 기출문제(해설) 및 CBT 2013년04월27일 좋은아빠되기 2025.11.13 6
2745 국내여행안내사 1차 필기 기출문제(해설) 및 CBT 2018년11월03일 좋은아빠되기 2025.11.13 7
2744 보석감정사(기능사) 필기 기출문제(해설) 및 CBT 2002년01월27일(1회) 좋은아빠되기 2025.11.13 6
» 9급 국가직 공무원 컴퓨터일반 필기 기출문제(해설) 및 CBT 모의고사(2025년 11월 13일)(9819508) 좋은아빠되기 2025.11.13 4
2742 정보기기운용기능사 필기 기출문제(해설) 및 CBT 2001년10월14일(5회) 좋은아빠되기 2025.11.13 5
2741 워드프로세서 (구 1급) 필기 기출문제(해설) 및 CBT 모의고사(2025년 11월 13일)(6888921) 좋은아빠되기 2025.11.13 6
2740 미용사(일반) 필기 기출문제(해설) 및 CBT 2009년03월29일 좋은아빠되기 2025.11.13 6
2739 수능(화학I) 필기 기출문제(해설) 및 CBT 모의고사(2025년 11월 13일)(3121659) 좋은아빠되기 2025.11.13 5
2738 소방공무원(공개) 소방관계법규(구) 필기 기출문제(해설) 및 CBT 2018년10월13일 좋은아빠되기 2025.11.13 6
2737 승강기산업기사 필기 기출문제(해설) 및 CBT 2009년08월30일 좋은아빠되기 2025.11.13 5
2736 유통관리사 1급 필기 기출문제(해설) 및 CBT 모의고사(2025년 11월 13일)(6536357) 좋은아빠되기 2025.11.13 13
2735 비서 1급 필기 기출문제(해설) 및 CBT 2020년11월08일 좋은아빠되기 2025.11.13 7
2734 워드프로세서 2급(폐지) 필기 기출문제(해설) 및 CBT 2005년05월22일 좋은아빠되기 2025.11.13 6
2733 측량기능사 필기 기출문제(해설) 및 CBT 2007년01월28일(1회) 좋은아빠되기 2025.11.13 6
2732 정보처리기사 필기 기출문제(해설) 및 CBT 모의고사(2025년 11월 13일)(4753627) 좋은아빠되기 2025.11.13 5
2731 변리사 1차(1교시) 필기 기출문제(해설) 및 CBT 2016년02월27일 좋은아빠되기 2025.11.13 7
2730 9급 지방직 공무원 서울시 자료조직개론 필기 기출문제(해설) 및 CBT 2015년06월13일 좋은아빠되기 2025.11.13 6
Board Pagination Prev 1 ... 100 101 102 103 104 105 106 107 108 109 ... 242 Next
/ 242