자격증 필기 기출문제



화재감식평가산업기사 필기 기출문제(해설) 및 CBT 모의고사(2025년 11월 23일)(9348351)

최강 자격증 기출문제 전자문제집 CBT : www.comcbt.com


전자문제집 CBT란?
종이 문제집이 아닌 인터넷으로 문제를 풀고 자동으로 채점하며 모의고사, 오답 노트, 해설까지 제공하는
무료 기출문제 학습 프로그램으로 실제 상설검정에서 사용하는 OMR 형식의 CBT를 제공합니다.

최신 화재감식평가산업기사 필기 기출문제 : [다운로드]


1과목 : 화재 조사론


1. 화재현장에서 열에 의한 전구의 변형에 대한 설명으로 옳은 것은?(2017년 09월)
     1. 화염이 전달되는 방향의 구면에서 변형이 먼저 발생한다.
     2. 벌브가 개방된 이후에 다른 방향에서 화염이 전달되었을 때에도 함몰이나 돌출되는 변형이 발생한다.
     3. 전선에 매달린 전구는 화재당시의 방향을 신뢰할 수 있으므로 방향지표로 사용할 수 있다.
     4. 백열전등에서 보이는 화재패턴으로 수은등과 같은 대형전구에서는 변형이 발생하지 않는다.

     정답 : []
     정답률 : 63%

2. 다음 중 액체의 물리적 성질과 가장 관련이 적은 것은?(2020년 06월)
     1. 증발
     2. 비점
     3. 비중
     4. 승화

     정답 : []
     정답률 : 72%
     <문제 해설>
승화 : 고체→기체, 기체→고체로 변하는 것
액체의 물리적 성질과는 관련이 없다.
[해설작성자 : 무거동]

3. 화재의 소실 정도를 나타내는 용어와 설명이 옳게 짝지어진 것은?(2019년 04월)
     1. 전소:건물의 입체면적 60% 이상 소실되었거나, 잔존부분을 보수하여 재사용이 가능한 것
     2. 반소:건물의 입체면적 50% 이상 70% 미만이 소실된 것
     3. 부분소:전소, 반소화재에 해당하지 아니하는 것
     4. 즉소:건물의 입체면적 30% 이상 소실된 것

     정답 : []
     정답률 : 88%

4. 화재현장 보존의 중요성에 대한 설명으로 틀린 것은?(2017년 09월)
     1. 조사대상인 화재현장은 현장조사가 개시될 때까지 화재진압 또는 진화 후의 현장과 거의 같은 상황으로 보존되어야 한다.
     2. 현장조사를 하기 전에 현장의 보존 상태를 반드시 확인 하고 변화가 없을 때 본격적인 현장조사를 실시한다.
     3. 화재현장은 감식 및 발굴 작업에 따라 훼손되어 전의 상태로 복구가 어렵다.
     4. 소방활동 중 증거물의 위치이동 여부의 확인 없이 신속히 조사한다.

     정답 : []
     정답률 : 82%

5. 다음 금속 중 용융점이 가장 낮은 것은?(2017년 09월)
     1. 알루미늄
     2.
     3. 구리
     4. 스테인리스

     정답 : []
     정답률 : 69%
     <문제 해설>
알루미늄 660.4
납 327.5
구리 1084.5
[해설작성자 : 아이스토끼]

6. 화재조사 범위와 관련된 내용 중 화재원인 조사 내용으로 틀린 것은?(2020년 06월)
     1. 발화원인 조사:발화지점, 발화열원, 발화요인, 최초착화물 및 발화관련기기 등
     2. 소실피해 조사:열에 의한 탄화, 용융, 파손 등의 조사
     3. 피난상황 조사:피난경로, 피난상의 장애요인 등
     4. 소방ㆍ방화시설 등 조사:소방ㆍ방화시설의 활용 또는 작동 등의 상황

     정답 : []
     정답률 : 66%
     <문제 해설>
화재원인조사와 화재피해조사는 다르다.
[해설작성자 : 광주소방대표]

7. 화재조사 시 최초발견자를 통해 얻을 수 있는 정보로 옳지 않은 것은?(2020년 06월)
     1. 화재패턴의 종류
     2. 불의 위치
     3. 연기의 색과 냄새
     4. 발견시각

     정답 : []
     정답률 : 85%
     <문제 해설>
화재패턴의 종류는 화재조사가 파악해야할 내용 / 비전문가인 최초발견자는 화재가 어떤 종류의 패턴인지 알수없음
[해설작성자 : 호호홍]

8. 탄화칼슘의 자연발화 방지대책으로 틀린 것은?(2020년 06월)
     1. 열 축적이 어려운 장소에 저장
     2. 온도가 낮은 곳에 저장
     3. 습도가 높은 곳에 저장
     4. 불활성가스를 주입하여 산소를 차단

     정답 : []
     정답률 : 74%
     <문제 해설>
탄화칼슘은 물과 작용하면 발열한다.
[해설작성자 : 아무개]

9. 다음의 그림은 목재의 연소가 종료된 상황이다. 화재가 진행된 방향으로 옳은 것은?(2020년 06월)

   

     1. A→C
     2. B→D
     3. C→A
     4. D→B

     정답 : []
     정답률 : 64%
     <문제 해설>
V자 화재패턴으로 벽면에 자주나타나는 패턴으로 연소방향은 아래에서 위
[해설작성자 : 호호홍]

10. 다음 중 가연성 액체의 일반적인 연소형태와 거리가 먼 것은?(2019년 04월)
     1. 포어 패턴(Pour pattern)
     2. 스플레쉬 패턴(Splash pattern)
     3. 트레일러 패턴(Trailer pattern)
     4. 도넛 패턴(Doughnut pattern)

     정답 : []
     정답률 : 66%
     <문제 해설>
트레일러패턴은 고의로 불을 지르기 위하여 수평바닥 등에 나타내는 연소패턴입니다.
인화성 액체를 뿌려 한 장소에서 다른 장소로의 연소확대 수단으로 쓰이며 방화현장에서 흔히 볼 수 있습니다.
[해설작성자 : R주]

11. 화재현장에서 구리배선의 1차흔에 대한 설명으로 옳은 것은?(2020년 06월)
     1. 화재를 발생시킨 합선의 흔적을 말한다.
     2. 외부 화염의 온도가 구리의 융점을 초과하였을 때 발생한다.
     3. 외부 화염에 의해 배선피복의 절연이 파괴되어 발생한 합선흔적을 말한다.
     4. 1차흔과 2차흔은 명백히 구분할 수 있다.

     정답 : []
     정답률 : 51%

12. 다음의 타임라인(Time Line)을 구성하기 위한 이벤트기록들 중, 하드타임(Hard Time)과 가장 거리가 먼 것은?(2019년 04월)
     1. 무인경비설비가 화재를 감지한 시각
     2. 소방서에 화재가 신고된 시각
     3. 화재가 시작된 시각
     4. 화재의 진압이 종료된 시각

     정답 : []
     정답률 : 58%
     <문제 해설>
하드타임이란 실제로 기록이 가능한 시각을 말합니다.    
1.2.4번은 정확한 시간을 알 수 있으나,
3번 화재가 시작된 시각은 추정에 의한 시간이므로 거리가 멀다고 할 수 있습니다.
[해설작성자 : act now]

13. 폭열(Spalling)의 발생원인이 아닌 것은?(2017년 09월)
     1. 흡수율이 큰 골재의 사용
     2. 내화성이 약한 골재의 사용
     3. 콘크리트 내부 함수율이 낮을 때
     4. 콘크리트의 치밀한 조직으로 화재 시 수증기 배출이 안 될 때

     정답 : []
     정답률 : 60%

14. 구획실 화재현상에 대한 설명 중 옳지 않은 것은?(2019년 04월)
     1. 롤오버(rollover)는 화염이 천장층에 확산되어 있는 상태를 말한다.
     2. 롤오버는 플래쉬오버 후에 발생한다.
     3. 플래임오버(flameover)가 항상 플래쉬오버를 일으키는 것은 아니다.
     4. 구획실 내부로 유입되는 공기가 충분하지 않으면 연료지배형에서 환기지배형화재로 전이된다.

     정답 : []
     정답률 : 82%

15. 연기 및 연소가스에 대한 설명으로 틀린 것은?(2020년 06월)
     1. 황화수소는 황성분을 함유하고 있는 물질이 불완전연소 될 때 발생하는 가스로 계한 썩는 냄새가 나는 독성이 강한 물질이다.
     2. 빛의 투과량으로부터 계산하는 감광계수는 연기의 절대농도를 나타내는 방법의 하나로 시야상태를 고려한 농도 표현법이다.
     3. 염화수소는 폴리염화비닐, 염화아크릴 등의 연소 시 발생되는 자극성이 강한 맹독성 기체이다.
     4. 감광계수 1.0은 거의 앞이 보이지 않을 정도의 연기농도를 말하며, 이 때 가시거리는 1~2m이다.

     정답 : []
     정답률 : 43%
     <문제 해설>
감광계수는 연기의 상대농도를 나타냄
[해설작성자 : 힘내라]

16. 다음 중 저항이 7Ω인 전선에 5A의 전류가 1분 동안 흐른 경우, 전선에서 발생하는 발열량(줄열)으로 옳은 것은?(2019년 04월)
     1. H=I×R×t=5×7×60=2100J
     2. H=I2×R×t=52×7×60=10500J
     3. H=I2×R2×t=52×72×60=73500J
     4. H=I×R2×t2=5×72×602=882000J

     정답 : []
     정답률 : 70%

17. 철 구조물의 만곡에 대한 설명으로 옳은 것은?(2017년 09월)
     1. 하중이 없는 상태에서 화염을 받은 부분의 열팽창률이 높아져 열을 받은 방향으로 휘어진다.
     2. 철공릐 만곡은 발화부에서만 볼 수 있는 특징으로, 조사 범위를 축소시켜 준다.
     3. 만곡 및 도괴는 설치각도, 가연물 적치 상태 등에 따라 변형될 수 있다.
     4. 철골의 만곡은 지붕 등 하중에 의한 영향은 거의 없고 열에 노출된 강도에 따라 형성된다.

     정답 : []
     정답률 : 67%

18. 실화죄에 관한 설명 중 틀린 것은?(2020년 06월)
     1. 다가구 주택의 담벼락에서 쓰레기를 태우다 집 전체로 확산된 경우 실화의 죄가 적용 됨
     2. 친구 집에서 담배를 재떨이에 두고 끈 것을 확인하지 않아 화재로 이어진 경우 실화의 죄가 적용 됨
     3. 타인소유 일반건조물에서 과실로 화재가 발생한 경우 실화의 죄가 적용 됨
     4. 자기소유 일반건조물에서 과실로 화재가 발생한 경우 실화의 죄가 적용되지 않음

     정답 : []
     정답률 : 76%

19. 분진폭발에 영향을 주는 인자가 아닌 것은?(2020년 06월)
     1. 입자의 화학조성
     2. 입자크기
     3. 온도 및 압력
     4. 입자의 생체유해성

     정답 : []
     정답률 : 81%

20. 메탄 75vol.%, 에탄 15vol.%, 프로판 10vol.%가 섞여있는 혼합가스의 공기 중 연소하한계는? (단, 메탄, 에탄, 프로판의 연소하한계는 각각 5.0vol.%, 3.0vo%, 2.0vol.%이다.)(2019년 04월)
     1. 2 vol.%
     2. 4 vol.%
     3. 6 vol.%
     4. 8 vol.%

     정답 : []
     정답률 : 76%
     <문제 해설>
르샤틀리에 법칙(두 종류 이상 가연성 가스의 혼합물이 있을 때 연소한계를 구하는 법칙)
[해설작성자 : 쿠아니]

2과목 : 화재 감식론


21. 고압가스 안전관리법령상 가연성가스 및 독성가스 용기의 도색과 종류의 연결로 틀린 것은?(2020년 06월)
     1. 주황색-수소
     2. 녹색-액화암모니아
     3. 황색-아세틸렌
     4. 밝은 회색-액화석유가스

     정답 : []
     정답률 : 58%
     <문제 해설>
액화암모니아-백색
[해설작성자 : 당직근무자]

22. 반단선에 의한 화재에 대한 설명으로 틀린 것은?(2020년 06월)
     1. 소선의 10% 이상 단선된 것을 반단선이라 한다.
     2. 단선된 소선의 접촉에 의해 열이 발생하고 피복이 탄화한다.
     3. 반단선에 의한 전선 용융흔은 전원측에서만 생성된다.
     4. 반단선은 눌리거나 꺾이는 등 강한 외력이 걸리기 쉬운 부분에서 발생하기 쉽다.

     정답 : []
     정답률 : 72%
     <문제 해설>
반단선의 융융흔은 양측에서 발견
[해설작성자 : 초코송이]

23. 다음 중 산화와 환원에 관한 설명으로 옳은 것은?(2020년 06월)
     1. 전자를 얻는 현상을 산화라 한다.
     2. 산화수가 감소되는 현상을 환원이라 한다.
     3. 산화제는 다른 물질을 환원시키고 자신은 산화되는 물질이다.
     4. 수소를 잃는 현상을 환원이라 한다.

     정답 : []
     정답률 : 48%
     <문제 해설>
산화 : 산화수의 증가, 산소와 결합, 수소와 분리, 전자를 잃음
환원 : 산화수의 감소, 산소와 분리, 수소와 결합, 전자를 얻음
[해설작성자 : 아무개]

24. 정전기의 방전 원리 중 액체가 파이프 등의 수송관을 흐를 때, 정전기가 발생하는 현상은?(2019년 04월)
     1. 마찰대전
     2. 박리대전
     3. 유동대전
     4. 분출대전

     정답 : []
     정답률 : 80%

25. 과전류에 의한 전선의 변화에 관한 설명으로 틀린 것은?(2019년 04월)
     1. 통전전류가 클수록 짧은 시간에 용단된다.
     2. 용융된 부분과 용웅되지 않은 부분의 경계가 명확하다.
     3. 회로 전체 배선에 과열된 흔적이 관찰된다.
     4. 용융되지 않은 전선의 표면은 산화작용에 의해 변색 산화되어 구부리면 표면의 일부가 박리되어 떨어진다.

     정답 : []
     정답률 : 57%

26. 석유류의 화재로 추정되는 화재현장으로부터 수집된 시료를 기기분석(GC, IR)을 통하여 판별하는 절차로 옳은 것은?(2017년 09월)

    

     1. ㉠→㉡→㉢→㉣→㉤→㉥
     2. ㉠→㉡→㉢→㉣→㉥→㉤
     3. ㉠→㉢→㉡→㉣→㉤→㉥
     4. ㉠→㉢→㉡→㉣→㉥→㉤

     정답 : []
     정답률 : 44%

27. 터빈엔진(turbine engine) 항공기에 적용된 화재감지 방법에 속하지 않는 것은?(2020년 06월)
     1. 조종사에 의한 관찰
     2. 화염감지기(flame detector)
     3. 연기감지기(smoke detector)
     4. 승객(passenger)에 의한 관찰

     정답 : []
     정답률 : 40%

28. 전기용접 및 가스 절단 불티에 의한 화재 감식 요령으로 불티 입자를 채취하기 위해서 유의하여야 할 사항 중 틀린 것은?(2020년 06월)
     1. 금속입자는 형상이 파괴되기 쉽고 녹의 발생도 빠르게 진행되므로 조기에 채취할 필요가 있다.
     2. 채취할 때 잔류물의 여과나 자석을 이용하여 행하며 채취 위치의 측정이나 사진촬영을 한 후에 불똥의 입자를 선별한다.
     3. 불똥입자는 직경 0.1~0.2mm 정도의 것이 많으며, 그 온도는 약 660~980℃로 모든 가연물을 착화시킬 수 있는 축열 조건을 갖는다.
     4. 불똥입자는 작은 구슬모양으로 굴러가기 쉽고, 비좁은 틈새로도 들어가므로 전혀 생각하지 못한 곳에서 채취되는 경우가 있다.

     정답 : []
     정답률 : 55%

29. 다음 중 우발적 원인에 의한 방화에 속하지 않는 것은?(2019년 04월)
     1. 부부싸움 중 시너를 뿌리고 방화
     2. 우울증에 시달리던 자가 자살방화
     3. 약물 중독에 의한 환각 등에 의한 방화
     4. 보험금 편취 목적으로 방화

     정답 : []
     정답률 : 85%

30. 의도적으로 한 장소에서 다른 장소로 연소를 확산시키기 위한 장치나 도구로서 인화성 액체와 고체 가연물이 사용된 연소흔적은 무엇이라 하는가?(2017년 09월)
     1. 트레일러 패턴
     2. 고스트 마크
     3. 스프래쉬 패턴
     4. 포어 패턴

     정답 : []
     정답률 : 69%

31. 선박외관의 구성요소가 아닌 것은?(2017년 09월)
     1. 선체 건조
     2. 갑판
     3. 저장소 및 화물창
     4. 외관부속품

     정답 : []
     정답률 : 62%

32. 차량화재의 특수성을 설명한 것으로 옳은 것은?(2017년 09월)
     1. 화재하중이 높은 환기지배형 화재
     2. 화재하중이 높은 연료지배형 화재
     3. 화재하중이 낮은 환기지배형 화재
     4. 화재하중이 낮은 연료지배형 화재

     정답 : []
     정답률 : 73%

33. 다음 중 폭발범위가 6vol.%~13.2vol.%인 가스의 위험도로 옳은 것은?(2020년 06월)
     1. 0.45
     2. 0.55
     3. 1.2
     4. 2.2

     정답 : []
     정답률 : 64%
     <문제 해설>
위험도 = (연소범위 상한계-하한계)/하한계
[해설작성자 : 내옆에꿀이]

34. 지연점화에 의한 방화 특징에 대한 설명으로 틀린 것은?(2020년 06월)
     1. 방화행위자가 도주 시간을 얻기 위한 수단으로 사용되기도 한다.
     2. 방화행위자가 실화를 위장할 수단으로 촛불을 이용하기도 한다.
     3. 방화행위자가 라이터불이나 성냥불 등을 이용하여 방화 대상물에 착화시킨다.
     4. 건물주 자신이 방화할 때는 출입문이나 방문의 잠금장치가 잠긴 경우가 많다.

     정답 : []
     정답률 : 52%

35. 부탄가스의 내용적 3.6L 용기에 몇 kg을 충전할 수 있는가? (단, 충전상수는 2.05 이다.)(2017년 09월)
     1. 0.57
     2. 1.76
     3. 5.65
     4. 7.38

     정답 : []
     정답률 : 64%

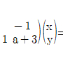
36. 그림에서 a-b간의 전압은 얼마인가?(2020년 06월)

    

     1. 40V
     2. 60V
     3. 80V
     4. 120V

     정답 : []
     정답률 : 47%
     <문제 해설>
밀만의 정리를 이용하시면 됩니다.
(I1+I2) *            1
                    --------------    = 20*4 = 80
                    (1/R1+1/R2)
[해설작성자 : 문돌이지만 풀었습니다]

37. 성냥용기의 측약에 사용되는 발화제 물질은?(2017년 09월)
     1. 초산비닐에멀젼
     2. 황화안티몬
     3. 적린
     4. 염소산칼륨

     정답 : []
     정답률 : 56%

38. 차량화재 시, 금속은 수열온도에 따라 변색된다. 다음 중 낮은 온도에서부터 높은 온도로 옳게 나열된 것은?(2020년 06월)
     1. 황색→청색→분홍색→백색
     2. 청색→황색→분홍색→백색
     3. 분홍색→황색→청색→백색
     4. 황색→분홍색→청색→백색

     정답 : []
     정답률 : 38%

39. 가정용 가스레인지에 사용하는 액화석유가스 용기의 내용적이 125L인 경우, 최대 충전량은 몇 kg인가? (단, 가스정수는 프로판 2.35이다.)(2019년 04월)
     1. 53.19
     2. 60.97
     3. 256.25
     4. 293.75

     정답 : []
     정답률 : 45%

40. 다음 중 성냥의 두약 부위에 사용되는 산화제로 옳은 것은?(2020년 06월)
     1. 염소산칼륨
     2. 유리분
     3. 아교
     4. 송진

     정답 : []
     정답률 : 55%

3과목 : 증거물 관리 및 법과학


41. 화재현장 기록용 디지털 카메라에 대한 설명으로 옳지 않은 것은?(2019년 04월)
     1. 촬영 후에 즉시 현장에서 확인이 가능하다.
     2. 다른 매체와 폭넓게 호환이 가능하다.
     3. 저장이 편리하고 장기간 보존할 수 있다.
     4. 촬영 대상의 온도를 확인할 수 있다.

     정답 : []
     정답률 : 85%

42. 화재증거물수집관리규칙상 증거물수집 절차에 대한 사항으로 틀린 것은?(2020년 06월)
     1. 현장 수거(채취)물은 그 목록을 작성하여야 한다.
     2. 인화성 액체 성분의 증거물은 밀봉하여야 한다.
     3. 증거물은 휘발성이 높은 것에서 낮은 것의 순으로 수집한다.
     4. 중격금지 등의 표시를 포장 내측에 표기한다.

     정답 : []
     정답률 : 72%

43. 화상 중 열탕화상에 대한 설명으로 옳은 것은?(2017년 09월)
     1. 열탕화상은 대부분 뜨거운 액체와 화염에 의한 조직손상을 말한다.
     2. 과열된 기름에 의한 것 외에는 건열화상처럼 타거나 탄화되며 체모가 그슬러져 있다.
     3. 감염은 동반될 수 없고 화상이 광범위하여도 쇼크는 오지 않는다.
     4. 피부화상이 온몸에 일정하게 퍼져 있는 경우를 제외하고는 건열화상과 비슷하다.

     정답 : []
     정답률 : 45%

44. 화재증거물수집관리규칙에서 규정하고 있는 증거물 시료용기가 아닌 것은?(2020년 06월)
     1. 유리별
     2. 양철 캔
     3. 주석도금 캔
     4. 폴리에틸렌 플라스틱병

     정답 : []
     정답률 : 68%

45. 화재증거물수집관리규칙에서 규정하고 있는 증거물 시료용기가 아닌 것은?(2017년 09월)
     1. 유리병
     2. 양철 캔
     3. 주석도금 캔
     4. 폴리에틸렌 플라스틱병

     정답 : []
     정답률 : 77%

46. 사진촬영 시 증거물의 크기를 명확하게 할 필요가 있을 때 사용되는 표식으로 맞는 것은?(2020년 06월)
     1. 눈금자
     2. 번호표
     3. 통제선
     4. 스트로보

     정답 : []
     정답률 : 72%

47. 시반에 관한 설명으로 옳은 것은?(2017년 09월)
     1. 시반은 사망 시간을 나타내는 지표로 사용된다.
     2. 시반은 시신의 사망 전 이동 여부를 나타낸다.
     3. 시반은 3~4 시간 후에 더 이상 진행되지 않는다.
     4. 시반은 우리 몸의 가장 높은 신체부위에 발생한다.

     정답 : []
     정답률 : 76%

48. 다음 중 화재현장을 효과적으로 촬영하기 위한 렌즈에 대한 설명으로 옳지 않은 것은?(2019년 04월)
     1. 줌렌즈는 물고기 눈처럼 둥글게 튀어 나와서 피쉬 아이(fish eye)라고 불린다.
     2. 좁은 공간에서 넓은 화각을 원할 때는 광각렌즈를 사용한다.
     3. 망원렌즈는 멀리 있는 피사체 촬영 시 편리하다.
     4. 표준렌즈는 50도 안팎의 화각으로 원근감, 화상의 크기 등이 육안에 가장 가깝다.

     정답 : []
     정답률 : 66%

49. 화재로 인한 사망자의 생활반응 특징 중 틀린 것은?(2020년 06월)
     1. 사망자 피부의 수포는 생활반응으로 볼 수 있다.
     2. 기도 내 그을름 관찰은 화재 시 생존해 있었음을 알 수 있다.
     3. 혈중 카복시헤모글로빈(COHb) 농도가 40% 이상일 경우 급격히 사망에 이른다.
     4. 보통의 중년의 남성이 사망에 이르는 혈중 이산화탄소의 농도는 50~70%이다.

     정답 : []
     정답률 : 40%
     <문제 해설>
카복시헤모글로빈 (%)
0-10
· 건강한 사람에게 특별한 증상 없음
· 만성폐쇄성폐질환 환자에서 운동 능력 감소
· 동맥경화 환자에서 협심증과 파행 임계값(threshold) 낮아짐
10-20
· 강도 운동에서 두통, 호흡곤란
20-30
· 편두통(맥박성 두통), 중강도 운동에서 호흡곤란, 집중 어려움, 근력 저하
30-40
· 극심한 두통, 어지러움, 오심, 구토, 생각하기 어려움, 시각 장애
40-50
혼돈, 운동 중 실신
50-60
순환허탈(collapse), 경련
60-70
치명적인 혼수
> 70
혼수, 사망
[출처] 메트헤모글로빈, 카복시헤모글로빈 (생물학적 노출지표, methemoglobin, carboxyhemoglobin)|작성자 sungshil
[해설작성자 : 아지에여]

50. 강화유리가 폭발로 깨졌을 때 나타나는 형태로 옳은 것은?(2017년 09월)
     1. 곡선모양
     2. 입방체모양
     3. 원형모양
     4. 격자모양

     정답 : []
     정답률 : 66%

51. 화재현장에서의 물적 증거물에 관한 설명으로 틀린 것은?(2017년 09월)
     1. 화재현장의 환경에 따라 물증은 변하지 않는다.
     2. 화재원인의 추론에 따라 화재책임이 관련된다.
     3. 특정사실이나 결과에 대하여 입증 또는 반증을 가능하게 한다.
     4. 발화지점, 발화기기, 최초 착화물, 화재이동 경로를 통하여 화재원인을 추론한다.

     정답 : []
     정답률 : 78%

52. 화상의 위험도 결정요소가 아닌 것은?(2017년 09월)
     1. 깊이와 범위
     2. 피부의 깊이
     3. 합병된 외상
     4. 화열의 강도

     정답 : []
     정답률 : 49%

53. 화재증거물수집관리규칙상 입수한 증거물을 이송할 때에 기록해야 할 내용이 아닌 것은?(2020년 06월)
     1. 수집자
     2. 수집일시
     3. 화재조사번호
     4. 증거물 시료용기 종류

     정답 : []
     정답률 : 63%

54. 화재사와 관련된 신체의 소실에 관한 설명으로 옳은 것은?(2017년 09월)
     1. 화염에 휩싸인 방에서 사체는 가연물에 일부가 될 수 없다.
     2. 동물성 지방은 30J/kg 정도의 연소열을 갖고 있다.
     3. 뼈는 골수와 조직을 공급하지 못하므로 가연물의 양을 감소시킨다.
     4. 두개골은 열을 받게 되면 골절되거나 분해된다.

     정답 : []
     정답률 : 60%

55. 다음 중 각 금속의 용융점이 높은 것부터 낮은 것의 순서로 적절하게 연결된 것은?(2019년 04월)
     1. 크롬→텅스텐→아연→마그네슘→주석
     2. 텅스텐→크롬→주석→마그네슘→아연
     3. 텅스텐→크롬→마그네슘→아연→주석
     4. 크롬→텅스텐→주석→아연→마그네슘

     정답 : []
     정답률 : 57%

56. 물리적 증거물로부터 도출할 수 있는 결론으로 맞는 것은?(2020년 06월)
     1. 물질의 질량손실을 통하여 화재의 시간과 강도를 추절할 수 있다.
     2. 콘크리트 폭역이 있다는 것은 바로 아래가 발화지점임을 증명한다.
     3. 동일한 대기에 노출되어 있었다면 오래된 건조목이 최근의 건조목보다 더 잘 탄다.
     4. 탄화물에 반짝이는 기포(alligator char)가 존재한다는 것은 액체 촉진제가 사용되었음을 증명한다.

     정답 : []
     정답률 : 39%

57. 다음의 화재증거물수집관리규칙상 화재현장 사진 및 비디오 촬영 시 유의사항 중 적합하지 않은 것은?(2019년 04월)
     1. 화재조사요원은 규모가 작은 화재는 사진촬영 등을 생략할 수 있다.
     2. 최초 도착하였을 때의 원상태를 그대로 촬영하여야 한다.
     3. 소재와 상태가 명백히 나타나도록 하고 필요에 따라 구분이 용이하게 번호표 등을 넣어 촬영한다.
     4. 연소 확대 경로 및 증거물 기록에 대한 번호표와 화살표를 표시한 후에 촬영하여야 한다.

     정답 : []
     정답률 : 89%

58. 다음 중 화재진압 시 화재현장 보존을 위한 진압대원의 주의사항으로 옳지 않은 것은?(2019년 04월)
     1. 최초 발화지역으로 판단되는 경우, 수압을 강하게 하여 직사직수로 신속하게 진압한다.
     2. 세척작업, 벽의 파괴 등을 위한 소방호스사용은 최초 발화 추정지역에서 충분히 떨어진 곳에서 하도록 한다.
     3. 화재패턴이 남아 있을 가능성이 있어 조사가 필요한 바닥면의 경우, 소방호스 및 물의 사용을 자제하여야 한다.
     4. 고인물이 있는 바닥이 샐 때에는 새는 구멍을 찾아서 증거물 및 화재패턴이 소실되지 않도록 한다.

     정답 : []
     정답률 : 83%

59. 화상사의 사망기전으로 가장 거리가 먼 것은?(2020년 06월)
     1. 합병증
     2. 기계적 폐색
     3. 속발성 쇼크
     4. 원발성 쇼크

     정답 : []
     정답률 : 49%

60. 화재조사시 질문 및 녹음에 대한 설명 중 틀린 것은?(2020년 06월)
     1. 질문은 질문기록서에 기록하고 녹음할 수 있어야 한다.
     2. 모든 녹음은 관련법령에 적합하게 수집하여야 한다.
     3. 질문기록에 진술자의 서명날인 없이 법적증거로 채택된다.
     4. 질문을 기록하는 다른 방법으로 비디오촬영을 선택할 수 있다.

     정답 : []
     정답률 : 77%

61. 특수건물 소유자의 손해배상책임과 보험가입 의무 설명으로 틀린 것은? (단, 화재로 인한 재해보상과 보험가입에 관한 법률을 적용한다.)(2020년 06월)
     1. 특수간물 소유자는 그 건물의 화재로 인하여 다른 사람이 사망하였을 때에는 과실이 없는 경우에는 그 손해를 배상할 책임이 없다.
     2. 특수건물 소유자는 그 건물의 화재로 인한 손해배상책임을 이행하기 위하여 그 건물에 대하여 손해보험회사가 운영하는 신체손해배상특약부화재보험에 가입하여야 한다.
     3. 특수건물 소유자는 그 건물의 종업원에 대하여 산업재해보상보험에 가입하고 있을 때에는 그 종업원에 대한 화재로 인한 손해배상책임을 담보하는 보험에 가입하지 아니할 수 있다.
     4. 특수건물 소유자는 특약부화재보험에 부가하여 풍재(風災) 등으로 인한 손해를 담보하는 보험에 가입할 수 있다.

     정답 : []
     정답률 : 59%
     <문제 해설>
화재로 인한 재해보상과 보험가입에 관한 법률
제4조(특수건물 소유자의 손해배상책임) ① 특수건물의 소유자는 그 특수건물의 화재로 인하여 다른 사람이 사망하거나 부상을 입었을 때 또는 다른 사람의 재물에 손해가 발생한 때에는 과실이 없는 경우에도 제8조제1항제2호에 따른 보험금액의 범위에서 그 손해를 배상할 책임이 있다. 이 경우 「실화책임에 관한 법률」에도 불구하고 특수건물의 소유자에게 경과실(輕過失)이 있는 경우에도 또한 같다.
[해설작성자 : 아무개]

62. 다음 중 질문기록서 작성과 관련된 기재사항으로 옳지 않은 것은?(2019년 04월)
     1. 질문기록서를 작성하는 조사관의 소속, 계급, 성명을 기재한다.
     2. 답변자의 인적사항 및 화재발생 대상과의 관계를 기재한다.
     3. 임야화재의 경우도 질문기록서를 반드시 작성하여야 한다.
     4. 질문, 일시 및 장소를 기재한다.

     정답 : []
     정답률 : 84%

63. 소방활동구역의 설정 및 현장보존에 대한 기준 중 틀린 것은?(2017년 09월)
     1. 소방활동구역의 설정은 필요한 최대의 범위로 한다.
     2. 소방활동구역의 관리는 수사기관과 상호 협조하여야 한다.
     3. 소방활동구역의 표시는 로프 등으로 범위를 한정하고 경고판을 부착하며 출입을 통제하는 등 현장보존에 최대한 노력하여야 한다.
     4. 소방본부장 또는 소방서장은 소화활동 시 현장물건 등의 이동 또는 파괴를 최소화하여 원활한 화재조사활동이 이루어 질 수 있도록 현장보존에 노력하여야 한다.

     정답 : []
     정답률 : 82%

64. 화재조사를 하는 관계 공무원이 화재조사를 수행하면서 알게 된 비밀을 다른 사람에게 누설한 자에 대한 벌칙 기준으로 옳은 것은?(2017년 09월)
     1. 1000만원 이하의 벌금
     2. 500만원 이하의 벌금
     3. 300만원 이하의 벌금
     4. 200만원 이하의 벌금

     정답 : []
     정답률 : 74%

65. 다음 중 화재조사 및 보고규정에서 정하고 있는 용어정의에 대한 내용으로 옳지 않은 것은?(2019년 04월)
     1. “감식”이란 화재원인의 판정을 위하여 전문적인 지식, 기술 및 경험을 활용하여 주로 시각에 의한 종합적인 판단으로 사실관계를 명확하게 규명하는 것을 말한다.
     2. “발화지점”이란 발화의 최초원인이 된 불꽃 또는 열을 말한다.
     3. “발화요인”이란 발화열원에 의하여 발화로 이어진 연소현상에 영향을 준 인적ㆍ물적ㆍ자연적인 요인을 말한다.
     4. “내용연수”란 고정자산을 경제적으로 사용할 수 있는 연수를 말한다.

     정답 : []
     정답률 : 70%

66. 화재조사 및 보고규정에 따른 최종잔가율의 정의로 옳은 것은?(2019년 04월)
     1. 고정자산을 경제적으로 사용할 수 있는 연수
     2. 피해물의 종류, 손상 상태 및 정도에 따라 피해액을 적정화시키는 일정한 비율
     3. 화재 당시에 피해물의 재구입비에 대한 현재가의 비율
     4. 피해물의 경제적 내용연수가 다한 경우 잔존하는 가치의 재구입비에 대한 비율

     정답 : []
     정답률 : 76%

67. 다음 중 소방기본법령상 저수조의 설치기준으로 옳지 않은 것은?(2019년 04월)
     1. 지면으로부터의 낙차가 5미터 이상일 것
     2. 흡수부분의 수심이 0.5미터 이상일 것
     3. 흡수에 지장이 없도록 토사 및 쓰레기 등을 제거할 수 있는 설비를 갖출 것
     4. 흡수관의 투입구가 사각형의 경우에는 한 변의 길이가 60센티미터 이상, 원형의 경우에는 지름이 60센티미터 이상일 것

     정답 : []
     정답률 : 69%
     <문제 해설>
1. 지면과의 거리 낙차 4.5m 이하
[해설작성자 : act now]

68. 다음의 소방기본법에 관한 내용 중 옳은 것은?(2019년 04월)
     1. 국가는 화재, 재난ㆍ재해, 그 밖의 위급한 상황으로부터 국민의 생명ㆍ신체 및 재산을 보호하기 위하여 소방업무에 관한 종합계획을 3년마다 수립ㆍ시행하여야 한다.
     2. 소방본부장이나 소방서장은 소방활동을 할 때에 긴급한 경우에는 이웃한 소방본부장 또는 소방서장에게 소방업무의 응원(應援)을 요청할 수 있으며, 소방업무의 응원 요청을 받은 소방본부장 또는 소방서장은 정당한 사유가 없어도 그 요청을 거절할 수 있다.
     3. 소방대는 화재, 재난ㆍ재해, 그 밖의 위급한 상황이 발생한 현장에 신속하기 출동하기 위하여 긴급할 때라도 일반적인 통행에 쓰이지 아니하는 도로ㆍ빈터 또는 물 위로 통행하여서는 안된다.
     4. 소방본부장, 소방서장 또는 소방대장은 화재, 재난ㆍ재해, 그 밖의 위급한 상황이 발생한 현장에서 소방활동을 위하여 필요할 때에는 그 관할역에 사는 사람 또는 그 현장에 있는 사람으로 하여금 사람을 구출하는 일 또는 불을 끄거나 불이 번지지 아니하도록 하는 일을 하게 할 수 있다.

     정답 : []
     정답률 : 76%

69. 다음 중 화재조사 및 보고규정상 화재조사서류의 보존기간으로 옳은 것은?(2019년 04월)
     1. 3년
     2. 5년
     3. 반영구
     4. 영구

     정답 : []
     정답률 : 82%

70. 화재현황 조사서 작성 시 화재원인의 기재항목이 아닌 것은?(2017년 09월)
     1. 연소확대사유
     2. 발화열원
     3. 발화요인
     4. 최초착화물

     정답 : []
     정답률 : 71%

71. 다음의 화재조사와 관련된 설명 중 옳은 것은?(2019년 04월)
     1. 화재조사 전담부서는 소방청, 시ㆍ도의 소방본부, 소방서에 설치한다.
     2. 소방본부장은 대형화재가 발생하면 조사본부를 설치ㆍ운영할 수 있다. 이 경우 소방서 조사요원은 소방본부 조사업무를 지원하여야 한다.
     3. 동일범이 아닌 각기 다른 사람에 의한 방화, 불장난은 동일 대상물에서 발화하는 경우 1개의 화재로 본다.
     4. 발화열원에 의해 불이 붙고 이 물질을 통해 제어하기 힘든 화세로 발전한 가연물을 발화물이라 한다.

     정답 : []
     정답률 : 60%
     <문제 해설>
2.청장
3.별건
4.최초착화물
[해설작성자 : 방랑자]

72. 질문기록서 작성을 생략할 수 있는 화재에 해당하지 않는 것은? (단, 사후조사는 제외하며, 화재조사 및 보고 규정을 적용한다.)(2020년 06월)
     1. 전못대화재
     2. 자동차화재
     3. 가로등화재
     4. 임야화재

     정답 : []
     정답률 : 58%

73. 긴급상황을 보고하여야 할 중요화재가 아닌 것은?(2017년 09월)
     1. 시장화재
     2. 지하구화재
     3. 이재민 100명이상 발생화재
     4. 외국공관 및 그 사택의 화재

     정답 : []
     정답률 : 64%
     <문제 해설>
4.특수화재
[해설작성자 : 악마]

74. 치장벽돌조 슬래브지붕 2층 건물의 1층 점포벽면 모서리에 설치된 선풍기에서 발생한 화재로 발화층은 바닥 24m2, 천장 10m2, 2면의 벽 6m2가 그을리거나 소실되는 피해가 발생했고, 2층은 1면의 벽 3m2, 천장 2m2가 그을리거나 오염되었다. 소실면적(m2)은 얼마인가?(오류 신고가 접수된 문제입니다. 반드시 정답과 해설을 확인하시기 바랍니다.)(2019년 04월)
     1. 9
     2. 10
     3. 24
     4. 25

     정답 : []
     정답률 : 42%
     <문제 해설>
소실면적은 바닥면적만 해당하는걸로 알고있습니다
[해설작성자 : comcbt.com 이용자]

아래와 같은 오류 신고가 있었습니다.
여러분들의 많은 의견 부탁 드립니다.
추후 여러분들의 의견을 반영하여 정답을 수정하도록 하겠습니다.
참고로 정답 변경은 오류 신고 5회 이상일 경우 수정합니다.

[오류 신고 내용]
소실면적은 바닥면적만 해당하는 것으로 알고 있습니다.
문제의 지문에서 바닥면적은 24인데 왜 정답이 25인지요?
3번이 정답 아닌가요?
[해설작성자 : 광주소방대표]

[오류신고 반론]
2면 이하인 경우는 소실 면적의 합을 5로 나눕니다.
1층은 2면 이상이라 바닥면적인 24. 2층은 벽과 천장 2면의 합인 5를 5로 나누어 1.
24 + 1 = 25
[해설작성자 : 119구조대]

[추가 오류 신고]
바닥면적만입니다..... 법개정 된지 꽤 됐어요...
[해설작성자 : 특수구조단]

[추가 오류 신고]
소실면적 산정은 바닥면적만 하는 것으로 개정되어 바닥면적만 산정.
[해설작성자 : 정보의 정확성]

75. 조사활동 중 본부장 또는 서장이 소방청장에게 긴급상황을 보고하여야 할 화재 중 특수화재에 해당하는 것은? (단, 화재조사 및 보고규정을 적용한다.)(2020년 06월)
     1. 시장화재
     2. 지하구의 화재
     3. 외국공관 및 그 사택의 화재
     4. 재산피해가 50억원 이상 추정되는 화재

     정답 : []
     정답률 : 60%
     <문제 해설>
1,2 : 중요화재
4.번 : 대형화재
3번 : 특수화재
[해설작성자 : 아무개]

76. 다음의 화재현장조사서 작성요령 중 옳지 않은 것은?(2019년 04월)
     1. 대규모 건물화재 등에서 현장조사를 분담하여 실시한 경우에는 분담자 각자가 분담한 장소의 현장조사서를 작성한다.
     2. 작성자는 현장조사를 직접 행한 자로 한정하고 다른 사람이 대신하여 작성하는 것은 인정되지 않는다.
     3. 발화원인으로 된 화원에 대하여 긍정해야할 사실만 객관적으로 기록하고 화원으로서 부정해야할 사실은 기재하지 않는다.
     4. 화재조사서는 발화건물의 판정 등과 관련하여 평이한 표현으로 계통적 순서에 입각하여 간결하게 기재하여야 한다.

     정답 : []
     정답률 : 74%

77. 집기비품의 피해액 산정에 관한 설명 중 옳은 것은?(2019년 04월)
     1. 간이평가방식은 "m2“당 표준단가×소실면적×[1(0.8×경과년수/내용년수)]×손해율”이다.
     2. 실질적ㆍ구체적 방식은 집기비품의 개별성이 인정되어야 하는 때에 적용한다.
     3. 집기비품의 수침오염 정도가 심한 경우 손해율은 50%이다.
     4. 실질적ㆍ구체적 방식은 “재구입비×[1-(0.9×내용년수/경과년수)]×손해율”이다.

     정답 : []
     정답률 : 37%

78. 화재조사 및 보고규정상 방화ㆍ방화의심 조사서 작성 시 기재항목으로 적합하지 않은 것은?(2019년 04월)
     1. 방화도구
     2. 방화의심 사유
     3. 도착 시 초기상황
     4. 방화자의 인상착의 및 직업

     정답 : []
     정답률 : 70%

79. 질문기록서의 작성 등에 대한 설명으로 틀린 것은?(2017년 09월)
     1. 질문기록서가 증거로서 가치를 가지기 위해서는 진술이 임의로 행해진 것이어야 한다.
     2. 미성년자에 대한 질문은 객관성유지를 위하여 친권자 등의 입회를 배제하여야 한다.
     3. 녹취를 종료하는 경우, 녹취내용에 오류가 없는지 확인시키 후 서명을 받는다.
     4. 질문의 권한은 소방법상 소방서장에게 있다.

     정답 : []
     정답률 : 64%

80. 화재조사 및 보고규정상의 화재 사후조사에 대한 내용 중 옳은 것은?(2019년 04월)
     1. 소방대가 출동하지 아니한 화재장소의 화재증명원 발급요청이 있는 경우에도 즉시 발급할 수 있다.
     2. 사후조사는 발화장소 및 발화지점 등 현장이 보존되어 있는 경우에만 조사를 할 수 있다.
     3. 사후조사의 경우에도 화재현장 출동보고서를 반드시 작성하여야 한다.
     4. 화재증명원의 발급 시 재산피해 및 인명피해에 대하여 기재하지 않는다.

     정답 : []
     정답률 : 66%


정 답 지

화재감식평가산업기사 필기 기출문제(해설) 및 CBT 모의고사(2025년 11월 23일)(9348351)

최강 자격증 기출문제 전자문제집 CBT : www.comcbt.com


전자문제집 CBT란?
종이 문제집이 아닌 인터넷으로 문제를 풀고 자동으로 채점하며 모의고사, 오답 노트, 해설까지 제공하는
무료 기출문제 학습 프로그램으로 실제 상설검정에서 사용하는 OMR 형식의 CBT를 제공합니다.

최신 화재감식평가산업기사 필기 기출문제 : [다운로드]


1과목 : 화재 조사론


1. 화재현장에서 열에 의한 전구의 변형에 대한 설명으로 옳은 것은?(2017년 09월)
     1. 화염이 전달되는 방향의 구면에서 변형이 먼저 발생한다.
     2. 벌브가 개방된 이후에 다른 방향에서 화염이 전달되었을 때에도 함몰이나 돌출되는 변형이 발생한다.
     3. 전선에 매달린 전구는 화재당시의 방향을 신뢰할 수 있으므로 방향지표로 사용할 수 있다.
     4. 백열전등에서 보이는 화재패턴으로 수은등과 같은 대형전구에서는 변형이 발생하지 않는다.

     정답 : []
     정답률 : 63%

2. 다음 중 액체의 물리적 성질과 가장 관련이 적은 것은?(2020년 06월)
     1. 증발
     2. 비점
     3. 비중
     4. 승화

     정답 : []
     정답률 : 72%
     <문제 해설>
승화 : 고체→기체, 기체→고체로 변하는 것
액체의 물리적 성질과는 관련이 없다.
[해설작성자 : 무거동]

3. 화재의 소실 정도를 나타내는 용어와 설명이 옳게 짝지어진 것은?(2019년 04월)
     1. 전소:건물의 입체면적 60% 이상 소실되었거나, 잔존부분을 보수하여 재사용이 가능한 것
     2. 반소:건물의 입체면적 50% 이상 70% 미만이 소실된 것
     3. 부분소:전소, 반소화재에 해당하지 아니하는 것
     4. 즉소:건물의 입체면적 30% 이상 소실된 것

     정답 : []
     정답률 : 88%

4. 화재현장 보존의 중요성에 대한 설명으로 틀린 것은?(2017년 09월)
     1. 조사대상인 화재현장은 현장조사가 개시될 때까지 화재진압 또는 진화 후의 현장과 거의 같은 상황으로 보존되어야 한다.
     2. 현장조사를 하기 전에 현장의 보존 상태를 반드시 확인 하고 변화가 없을 때 본격적인 현장조사를 실시한다.
     3. 화재현장은 감식 및 발굴 작업에 따라 훼손되어 전의 상태로 복구가 어렵다.
     4. 소방활동 중 증거물의 위치이동 여부의 확인 없이 신속히 조사한다.

     정답 : []
     정답률 : 82%

5. 다음 금속 중 용융점이 가장 낮은 것은?(2017년 09월)
     1. 알루미늄
     2.
     3. 구리
     4. 스테인리스

     정답 : []
     정답률 : 69%
     <문제 해설>
알루미늄 660.4
납 327.5
구리 1084.5
[해설작성자 : 아이스토끼]

6. 화재조사 범위와 관련된 내용 중 화재원인 조사 내용으로 틀린 것은?(2020년 06월)
     1. 발화원인 조사:발화지점, 발화열원, 발화요인, 최초착화물 및 발화관련기기 등
     2. 소실피해 조사:열에 의한 탄화, 용융, 파손 등의 조사
     3. 피난상황 조사:피난경로, 피난상의 장애요인 등
     4. 소방ㆍ방화시설 등 조사:소방ㆍ방화시설의 활용 또는 작동 등의 상황

     정답 : []
     정답률 : 66%
     <문제 해설>
화재원인조사와 화재피해조사는 다르다.
[해설작성자 : 광주소방대표]

7. 화재조사 시 최초발견자를 통해 얻을 수 있는 정보로 옳지 않은 것은?(2020년 06월)
     1. 화재패턴의 종류
     2. 불의 위치
     3. 연기의 색과 냄새
     4. 발견시각

     정답 : []
     정답률 : 85%
     <문제 해설>
화재패턴의 종류는 화재조사가 파악해야할 내용 / 비전문가인 최초발견자는 화재가 어떤 종류의 패턴인지 알수없음
[해설작성자 : 호호홍]

8. 탄화칼슘의 자연발화 방지대책으로 틀린 것은?(2020년 06월)
     1. 열 축적이 어려운 장소에 저장
     2. 온도가 낮은 곳에 저장
     3. 습도가 높은 곳에 저장
     4. 불활성가스를 주입하여 산소를 차단

     정답 : []
     정답률 : 74%
     <문제 해설>
탄화칼슘은 물과 작용하면 발열한다.
[해설작성자 : 아무개]

9. 다음의 그림은 목재의 연소가 종료된 상황이다. 화재가 진행된 방향으로 옳은 것은?(2020년 06월)

   

     1. A→C
     2. B→D
     3. C→A
     4. D→B

     정답 : []
     정답률 : 64%
     <문제 해설>
V자 화재패턴으로 벽면에 자주나타나는 패턴으로 연소방향은 아래에서 위
[해설작성자 : 호호홍]

10. 다음 중 가연성 액체의 일반적인 연소형태와 거리가 먼 것은?(2019년 04월)
     1. 포어 패턴(Pour pattern)
     2. 스플레쉬 패턴(Splash pattern)
     3. 트레일러 패턴(Trailer pattern)
     4. 도넛 패턴(Doughnut pattern)

     정답 : []
     정답률 : 66%
     <문제 해설>
트레일러패턴은 고의로 불을 지르기 위하여 수평바닥 등에 나타내는 연소패턴입니다.
인화성 액체를 뿌려 한 장소에서 다른 장소로의 연소확대 수단으로 쓰이며 방화현장에서 흔히 볼 수 있습니다.
[해설작성자 : R주]

11. 화재현장에서 구리배선의 1차흔에 대한 설명으로 옳은 것은?(2020년 06월)
     1. 화재를 발생시킨 합선의 흔적을 말한다.
     2. 외부 화염의 온도가 구리의 융점을 초과하였을 때 발생한다.
     3. 외부 화염에 의해 배선피복의 절연이 파괴되어 발생한 합선흔적을 말한다.
     4. 1차흔과 2차흔은 명백히 구분할 수 있다.

     정답 : []
     정답률 : 51%

12. 다음의 타임라인(Time Line)을 구성하기 위한 이벤트기록들 중, 하드타임(Hard Time)과 가장 거리가 먼 것은?(2019년 04월)
     1. 무인경비설비가 화재를 감지한 시각
     2. 소방서에 화재가 신고된 시각
     3. 화재가 시작된 시각
     4. 화재의 진압이 종료된 시각

     정답 : []
     정답률 : 58%
     <문제 해설>
하드타임이란 실제로 기록이 가능한 시각을 말합니다.    
1.2.4번은 정확한 시간을 알 수 있으나,
3번 화재가 시작된 시각은 추정에 의한 시간이므로 거리가 멀다고 할 수 있습니다.
[해설작성자 : act now]

13. 폭열(Spalling)의 발생원인이 아닌 것은?(2017년 09월)
     1. 흡수율이 큰 골재의 사용
     2. 내화성이 약한 골재의 사용
     3. 콘크리트 내부 함수율이 낮을 때
     4. 콘크리트의 치밀한 조직으로 화재 시 수증기 배출이 안 될 때

     정답 : []
     정답률 : 60%

14. 구획실 화재현상에 대한 설명 중 옳지 않은 것은?(2019년 04월)
     1. 롤오버(rollover)는 화염이 천장층에 확산되어 있는 상태를 말한다.
     2. 롤오버는 플래쉬오버 후에 발생한다.
     3. 플래임오버(flameover)가 항상 플래쉬오버를 일으키는 것은 아니다.
     4. 구획실 내부로 유입되는 공기가 충분하지 않으면 연료지배형에서 환기지배형화재로 전이된다.

     정답 : []
     정답률 : 82%

15. 연기 및 연소가스에 대한 설명으로 틀린 것은?(2020년 06월)
     1. 황화수소는 황성분을 함유하고 있는 물질이 불완전연소 될 때 발생하는 가스로 계한 썩는 냄새가 나는 독성이 강한 물질이다.
     2. 빛의 투과량으로부터 계산하는 감광계수는 연기의 절대농도를 나타내는 방법의 하나로 시야상태를 고려한 농도 표현법이다.
     3. 염화수소는 폴리염화비닐, 염화아크릴 등의 연소 시 발생되는 자극성이 강한 맹독성 기체이다.
     4. 감광계수 1.0은 거의 앞이 보이지 않을 정도의 연기농도를 말하며, 이 때 가시거리는 1~2m이다.

     정답 : []
     정답률 : 43%
     <문제 해설>
감광계수는 연기의 상대농도를 나타냄
[해설작성자 : 힘내라]

16. 다음 중 저항이 7Ω인 전선에 5A의 전류가 1분 동안 흐른 경우, 전선에서 발생하는 발열량(줄열)으로 옳은 것은?(2019년 04월)
     1. H=I×R×t=5×7×60=2100J
     2. H=I2×R×t=52×7×60=10500J
     3. H=I2×R2×t=52×72×60=73500J
     4. H=I×R2×t2=5×72×602=882000J

     정답 : []
     정답률 : 70%

17. 철 구조물의 만곡에 대한 설명으로 옳은 것은?(2017년 09월)
     1. 하중이 없는 상태에서 화염을 받은 부분의 열팽창률이 높아져 열을 받은 방향으로 휘어진다.
     2. 철공릐 만곡은 발화부에서만 볼 수 있는 특징으로, 조사 범위를 축소시켜 준다.
     3. 만곡 및 도괴는 설치각도, 가연물 적치 상태 등에 따라 변형될 수 있다.
     4. 철골의 만곡은 지붕 등 하중에 의한 영향은 거의 없고 열에 노출된 강도에 따라 형성된다.

     정답 : []
     정답률 : 67%

18. 실화죄에 관한 설명 중 틀린 것은?(2020년 06월)
     1. 다가구 주택의 담벼락에서 쓰레기를 태우다 집 전체로 확산된 경우 실화의 죄가 적용 됨
     2. 친구 집에서 담배를 재떨이에 두고 끈 것을 확인하지 않아 화재로 이어진 경우 실화의 죄가 적용 됨
     3. 타인소유 일반건조물에서 과실로 화재가 발생한 경우 실화의 죄가 적용 됨
     4. 자기소유 일반건조물에서 과실로 화재가 발생한 경우 실화의 죄가 적용되지 않음

     정답 : []
     정답률 : 76%

19. 분진폭발에 영향을 주는 인자가 아닌 것은?(2020년 06월)
     1. 입자의 화학조성
     2. 입자크기
     3. 온도 및 압력
     4. 입자의 생체유해성

     정답 : []
     정답률 : 81%

20. 메탄 75vol.%, 에탄 15vol.%, 프로판 10vol.%가 섞여있는 혼합가스의 공기 중 연소하한계는? (단, 메탄, 에탄, 프로판의 연소하한계는 각각 5.0vol.%, 3.0vo%, 2.0vol.%이다.)(2019년 04월)
     1. 2 vol.%
     2. 4 vol.%
     3. 6 vol.%
     4. 8 vol.%

     정답 : []
     정답률 : 76%
     <문제 해설>
르샤틀리에 법칙(두 종류 이상 가연성 가스의 혼합물이 있을 때 연소한계를 구하는 법칙)
[해설작성자 : 쿠아니]

2과목 : 화재 감식론


21. 고압가스 안전관리법령상 가연성가스 및 독성가스 용기의 도색과 종류의 연결로 틀린 것은?(2020년 06월)
     1. 주황색-수소
     2. 녹색-액화암모니아
     3. 황색-아세틸렌
     4. 밝은 회색-액화석유가스

     정답 : []
     정답률 : 58%
     <문제 해설>
액화암모니아-백색
[해설작성자 : 당직근무자]

22. 반단선에 의한 화재에 대한 설명으로 틀린 것은?(2020년 06월)
     1. 소선의 10% 이상 단선된 것을 반단선이라 한다.
     2. 단선된 소선의 접촉에 의해 열이 발생하고 피복이 탄화한다.
     3. 반단선에 의한 전선 용융흔은 전원측에서만 생성된다.
     4. 반단선은 눌리거나 꺾이는 등 강한 외력이 걸리기 쉬운 부분에서 발생하기 쉽다.

     정답 : []
     정답률 : 72%
     <문제 해설>
반단선의 융융흔은 양측에서 발견
[해설작성자 : 초코송이]

23. 다음 중 산화와 환원에 관한 설명으로 옳은 것은?(2020년 06월)
     1. 전자를 얻는 현상을 산화라 한다.
     2. 산화수가 감소되는 현상을 환원이라 한다.
     3. 산화제는 다른 물질을 환원시키고 자신은 산화되는 물질이다.
     4. 수소를 잃는 현상을 환원이라 한다.

     정답 : []
     정답률 : 48%
     <문제 해설>
산화 : 산화수의 증가, 산소와 결합, 수소와 분리, 전자를 잃음
환원 : 산화수의 감소, 산소와 분리, 수소와 결합, 전자를 얻음
[해설작성자 : 아무개]

24. 정전기의 방전 원리 중 액체가 파이프 등의 수송관을 흐를 때, 정전기가 발생하는 현상은?(2019년 04월)
     1. 마찰대전
     2. 박리대전
     3. 유동대전
     4. 분출대전

     정답 : []
     정답률 : 80%

25. 과전류에 의한 전선의 변화에 관한 설명으로 틀린 것은?(2019년 04월)
     1. 통전전류가 클수록 짧은 시간에 용단된다.
     2. 용융된 부분과 용웅되지 않은 부분의 경계가 명확하다.
     3. 회로 전체 배선에 과열된 흔적이 관찰된다.
     4. 용융되지 않은 전선의 표면은 산화작용에 의해 변색 산화되어 구부리면 표면의 일부가 박리되어 떨어진다.

     정답 : []
     정답률 : 57%

26. 석유류의 화재로 추정되는 화재현장으로부터 수집된 시료를 기기분석(GC, IR)을 통하여 판별하는 절차로 옳은 것은?(2017년 09월)

    

     1. ㉠→㉡→㉢→㉣→㉤→㉥
     2. ㉠→㉡→㉢→㉣→㉥→㉤
     3. ㉠→㉢→㉡→㉣→㉤→㉥
     4. ㉠→㉢→㉡→㉣→㉥→㉤

     정답 : []
     정답률 : 44%

27. 터빈엔진(turbine engine) 항공기에 적용된 화재감지 방법에 속하지 않는 것은?(2020년 06월)
     1. 조종사에 의한 관찰
     2. 화염감지기(flame detector)
     3. 연기감지기(smoke detector)
     4. 승객(passenger)에 의한 관찰

     정답 : []
     정답률 : 40%

28. 전기용접 및 가스 절단 불티에 의한 화재 감식 요령으로 불티 입자를 채취하기 위해서 유의하여야 할 사항 중 틀린 것은?(2020년 06월)
     1. 금속입자는 형상이 파괴되기 쉽고 녹의 발생도 빠르게 진행되므로 조기에 채취할 필요가 있다.
     2. 채취할 때 잔류물의 여과나 자석을 이용하여 행하며 채취 위치의 측정이나 사진촬영을 한 후에 불똥의 입자를 선별한다.
     3. 불똥입자는 직경 0.1~0.2mm 정도의 것이 많으며, 그 온도는 약 660~980℃로 모든 가연물을 착화시킬 수 있는 축열 조건을 갖는다.
     4. 불똥입자는 작은 구슬모양으로 굴러가기 쉽고, 비좁은 틈새로도 들어가므로 전혀 생각하지 못한 곳에서 채취되는 경우가 있다.

     정답 : []
     정답률 : 55%

29. 다음 중 우발적 원인에 의한 방화에 속하지 않는 것은?(2019년 04월)
     1. 부부싸움 중 시너를 뿌리고 방화
     2. 우울증에 시달리던 자가 자살방화
     3. 약물 중독에 의한 환각 등에 의한 방화
     4. 보험금 편취 목적으로 방화

     정답 : []
     정답률 : 85%

30. 의도적으로 한 장소에서 다른 장소로 연소를 확산시키기 위한 장치나 도구로서 인화성 액체와 고체 가연물이 사용된 연소흔적은 무엇이라 하는가?(2017년 09월)
     1. 트레일러 패턴
     2. 고스트 마크
     3. 스프래쉬 패턴
     4. 포어 패턴

     정답 : []
     정답률 : 69%

31. 선박외관의 구성요소가 아닌 것은?(2017년 09월)
     1. 선체 건조
     2. 갑판
     3. 저장소 및 화물창
     4. 외관부속품

     정답 : []
     정답률 : 62%

32. 차량화재의 특수성을 설명한 것으로 옳은 것은?(2017년 09월)
     1. 화재하중이 높은 환기지배형 화재
     2. 화재하중이 높은 연료지배형 화재
     3. 화재하중이 낮은 환기지배형 화재
     4. 화재하중이 낮은 연료지배형 화재

     정답 : []
     정답률 : 73%

33. 다음 중 폭발범위가 6vol.%~13.2vol.%인 가스의 위험도로 옳은 것은?(2020년 06월)
     1. 0.45
     2. 0.55
     3. 1.2
     4. 2.2

     정답 : []
     정답률 : 64%
     <문제 해설>
위험도 = (연소범위 상한계-하한계)/하한계
[해설작성자 : 내옆에꿀이]

34. 지연점화에 의한 방화 특징에 대한 설명으로 틀린 것은?(2020년 06월)
     1. 방화행위자가 도주 시간을 얻기 위한 수단으로 사용되기도 한다.
     2. 방화행위자가 실화를 위장할 수단으로 촛불을 이용하기도 한다.
     3. 방화행위자가 라이터불이나 성냥불 등을 이용하여 방화 대상물에 착화시킨다.
     4. 건물주 자신이 방화할 때는 출입문이나 방문의 잠금장치가 잠긴 경우가 많다.

     정답 : []
     정답률 : 52%

35. 부탄가스의 내용적 3.6L 용기에 몇 kg을 충전할 수 있는가? (단, 충전상수는 2.05 이다.)(2017년 09월)
     1. 0.57
     2. 1.76
     3. 5.65
     4. 7.38

     정답 : []
     정답률 : 64%

36. 그림에서 a-b간의 전압은 얼마인가?(2020년 06월)

    

     1. 40V
     2. 60V
     3. 80V
     4. 120V

     정답 : []
     정답률 : 47%
     <문제 해설>
밀만의 정리를 이용하시면 됩니다.
(I1+I2) *            1
                    --------------    = 20*4 = 80
                    (1/R1+1/R2)
[해설작성자 : 문돌이지만 풀었습니다]

37. 성냥용기의 측약에 사용되는 발화제 물질은?(2017년 09월)
     1. 초산비닐에멀젼
     2. 황화안티몬
     3. 적린
     4. 염소산칼륨

     정답 : []
     정답률 : 56%

38. 차량화재 시, 금속은 수열온도에 따라 변색된다. 다음 중 낮은 온도에서부터 높은 온도로 옳게 나열된 것은?(2020년 06월)
     1. 황색→청색→분홍색→백색
     2. 청색→황색→분홍색→백색
     3. 분홍색→황색→청색→백색
     4. 황색→분홍색→청색→백색

     정답 : []
     정답률 : 38%

39. 가정용 가스레인지에 사용하는 액화석유가스 용기의 내용적이 125L인 경우, 최대 충전량은 몇 kg인가? (단, 가스정수는 프로판 2.35이다.)(2019년 04월)
     1. 53.19
     2. 60.97
     3. 256.25
     4. 293.75

     정답 : []
     정답률 : 45%

40. 다음 중 성냥의 두약 부위에 사용되는 산화제로 옳은 것은?(2020년 06월)
     1. 염소산칼륨
     2. 유리분
     3. 아교
     4. 송진

     정답 : []
     정답률 : 55%

3과목 : 증거물 관리 및 법과학


41. 화재현장 기록용 디지털 카메라에 대한 설명으로 옳지 않은 것은?(2019년 04월)
     1. 촬영 후에 즉시 현장에서 확인이 가능하다.
     2. 다른 매체와 폭넓게 호환이 가능하다.
     3. 저장이 편리하고 장기간 보존할 수 있다.
     4. 촬영 대상의 온도를 확인할 수 있다.

     정답 : []
     정답률 : 85%

42. 화재증거물수집관리규칙상 증거물수집 절차에 대한 사항으로 틀린 것은?(2020년 06월)
     1. 현장 수거(채취)물은 그 목록을 작성하여야 한다.
     2. 인화성 액체 성분의 증거물은 밀봉하여야 한다.
     3. 증거물은 휘발성이 높은 것에서 낮은 것의 순으로 수집한다.
     4. 중격금지 등의 표시를 포장 내측에 표기한다.

     정답 : []
     정답률 : 72%

43. 화상 중 열탕화상에 대한 설명으로 옳은 것은?(2017년 09월)
     1. 열탕화상은 대부분 뜨거운 액체와 화염에 의한 조직손상을 말한다.
     2. 과열된 기름에 의한 것 외에는 건열화상처럼 타거나 탄화되며 체모가 그슬러져 있다.
     3. 감염은 동반될 수 없고 화상이 광범위하여도 쇼크는 오지 않는다.
     4. 피부화상이 온몸에 일정하게 퍼져 있는 경우를 제외하고는 건열화상과 비슷하다.

     정답 : []
     정답률 : 45%

44. 화재증거물수집관리규칙에서 규정하고 있는 증거물 시료용기가 아닌 것은?(2020년 06월)
     1. 유리별
     2. 양철 캔
     3. 주석도금 캔
     4. 폴리에틸렌 플라스틱병

     정답 : []
     정답률 : 68%

45. 화재증거물수집관리규칙에서 규정하고 있는 증거물 시료용기가 아닌 것은?(2017년 09월)
     1. 유리병
     2. 양철 캔
     3. 주석도금 캔
     4. 폴리에틸렌 플라스틱병

     정답 : []
     정답률 : 77%

46. 사진촬영 시 증거물의 크기를 명확하게 할 필요가 있을 때 사용되는 표식으로 맞는 것은?(2020년 06월)
     1. 눈금자
     2. 번호표
     3. 통제선
     4. 스트로보

     정답 : []
     정답률 : 72%

47. 시반에 관한 설명으로 옳은 것은?(2017년 09월)
     1. 시반은 사망 시간을 나타내는 지표로 사용된다.
     2. 시반은 시신의 사망 전 이동 여부를 나타낸다.
     3. 시반은 3~4 시간 후에 더 이상 진행되지 않는다.
     4. 시반은 우리 몸의 가장 높은 신체부위에 발생한다.

     정답 : []
     정답률 : 76%

48. 다음 중 화재현장을 효과적으로 촬영하기 위한 렌즈에 대한 설명으로 옳지 않은 것은?(2019년 04월)
     1. 줌렌즈는 물고기 눈처럼 둥글게 튀어 나와서 피쉬 아이(fish eye)라고 불린다.
     2. 좁은 공간에서 넓은 화각을 원할 때는 광각렌즈를 사용한다.
     3. 망원렌즈는 멀리 있는 피사체 촬영 시 편리하다.
     4. 표준렌즈는 50도 안팎의 화각으로 원근감, 화상의 크기 등이 육안에 가장 가깝다.

     정답 : []
     정답률 : 66%

49. 화재로 인한 사망자의 생활반응 특징 중 틀린 것은?(2020년 06월)
     1. 사망자 피부의 수포는 생활반응으로 볼 수 있다.
     2. 기도 내 그을름 관찰은 화재 시 생존해 있었음을 알 수 있다.
     3. 혈중 카복시헤모글로빈(COHb) 농도가 40% 이상일 경우 급격히 사망에 이른다.
     4. 보통의 중년의 남성이 사망에 이르는 혈중 이산화탄소의 농도는 50~70%이다.

     정답 : []
     정답률 : 40%
     <문제 해설>
카복시헤모글로빈 (%)
0-10
· 건강한 사람에게 특별한 증상 없음
· 만성폐쇄성폐질환 환자에서 운동 능력 감소
· 동맥경화 환자에서 협심증과 파행 임계값(threshold) 낮아짐
10-20
· 강도 운동에서 두통, 호흡곤란
20-30
· 편두통(맥박성 두통), 중강도 운동에서 호흡곤란, 집중 어려움, 근력 저하
30-40
· 극심한 두통, 어지러움, 오심, 구토, 생각하기 어려움, 시각 장애
40-50
혼돈, 운동 중 실신
50-60
순환허탈(collapse), 경련
60-70
치명적인 혼수
> 70
혼수, 사망
[출처] 메트헤모글로빈, 카복시헤모글로빈 (생물학적 노출지표, methemoglobin, carboxyhemoglobin)|작성자 sungshil
[해설작성자 : 아지에여]

50. 강화유리가 폭발로 깨졌을 때 나타나는 형태로 옳은 것은?(2017년 09월)
     1. 곡선모양
     2. 입방체모양
     3. 원형모양
     4. 격자모양

     정답 : []
     정답률 : 66%

51. 화재현장에서의 물적 증거물에 관한 설명으로 틀린 것은?(2017년 09월)
     1. 화재현장의 환경에 따라 물증은 변하지 않는다.
     2. 화재원인의 추론에 따라 화재책임이 관련된다.
     3. 특정사실이나 결과에 대하여 입증 또는 반증을 가능하게 한다.
     4. 발화지점, 발화기기, 최초 착화물, 화재이동 경로를 통하여 화재원인을 추론한다.

     정답 : []
     정답률 : 78%

52. 화상의 위험도 결정요소가 아닌 것은?(2017년 09월)
     1. 깊이와 범위
     2. 피부의 깊이
     3. 합병된 외상
     4. 화열의 강도

     정답 : []
     정답률 : 49%

53. 화재증거물수집관리규칙상 입수한 증거물을 이송할 때에 기록해야 할 내용이 아닌 것은?(2020년 06월)
     1. 수집자
     2. 수집일시
     3. 화재조사번호
     4. 증거물 시료용기 종류

     정답 : []
     정답률 : 63%

54. 화재사와 관련된 신체의 소실에 관한 설명으로 옳은 것은?(2017년 09월)
     1. 화염에 휩싸인 방에서 사체는 가연물에 일부가 될 수 없다.
     2. 동물성 지방은 30J/kg 정도의 연소열을 갖고 있다.
     3. 뼈는 골수와 조직을 공급하지 못하므로 가연물의 양을 감소시킨다.
     4. 두개골은 열을 받게 되면 골절되거나 분해된다.

     정답 : []
     정답률 : 60%

55. 다음 중 각 금속의 용융점이 높은 것부터 낮은 것의 순서로 적절하게 연결된 것은?(2019년 04월)
     1. 크롬→텅스텐→아연→마그네슘→주석
     2. 텅스텐→크롬→주석→마그네슘→아연
     3. 텅스텐→크롬→마그네슘→아연→주석
     4. 크롬→텅스텐→주석→아연→마그네슘

     정답 : []
     정답률 : 57%

56. 물리적 증거물로부터 도출할 수 있는 결론으로 맞는 것은?(2020년 06월)
     1. 물질의 질량손실을 통하여 화재의 시간과 강도를 추절할 수 있다.
     2. 콘크리트 폭역이 있다는 것은 바로 아래가 발화지점임을 증명한다.
     3. 동일한 대기에 노출되어 있었다면 오래된 건조목이 최근의 건조목보다 더 잘 탄다.
     4. 탄화물에 반짝이는 기포(alligator char)가 존재한다는 것은 액체 촉진제가 사용되었음을 증명한다.

     정답 : []
     정답률 : 39%

57. 다음의 화재증거물수집관리규칙상 화재현장 사진 및 비디오 촬영 시 유의사항 중 적합하지 않은 것은?(2019년 04월)
     1. 화재조사요원은 규모가 작은 화재는 사진촬영 등을 생략할 수 있다.
     2. 최초 도착하였을 때의 원상태를 그대로 촬영하여야 한다.
     3. 소재와 상태가 명백히 나타나도록 하고 필요에 따라 구분이 용이하게 번호표 등을 넣어 촬영한다.
     4. 연소 확대 경로 및 증거물 기록에 대한 번호표와 화살표를 표시한 후에 촬영하여야 한다.

     정답 : []
     정답률 : 89%

58. 다음 중 화재진압 시 화재현장 보존을 위한 진압대원의 주의사항으로 옳지 않은 것은?(2019년 04월)
     1. 최초 발화지역으로 판단되는 경우, 수압을 강하게 하여 직사직수로 신속하게 진압한다.
     2. 세척작업, 벽의 파괴 등을 위한 소방호스사용은 최초 발화 추정지역에서 충분히 떨어진 곳에서 하도록 한다.
     3. 화재패턴이 남아 있을 가능성이 있어 조사가 필요한 바닥면의 경우, 소방호스 및 물의 사용을 자제하여야 한다.
     4. 고인물이 있는 바닥이 샐 때에는 새는 구멍을 찾아서 증거물 및 화재패턴이 소실되지 않도록 한다.

     정답 : []
     정답률 : 83%

59. 화상사의 사망기전으로 가장 거리가 먼 것은?(2020년 06월)
     1. 합병증
     2. 기계적 폐색
     3. 속발성 쇼크
     4. 원발성 쇼크

     정답 : []
     정답률 : 49%

60. 화재조사시 질문 및 녹음에 대한 설명 중 틀린 것은?(2020년 06월)
     1. 질문은 질문기록서에 기록하고 녹음할 수 있어야 한다.
     2. 모든 녹음은 관련법령에 적합하게 수집하여야 한다.
     3. 질문기록에 진술자의 서명날인 없이 법적증거로 채택된다.
     4. 질문을 기록하는 다른 방법으로 비디오촬영을 선택할 수 있다.

     정답 : []
     정답률 : 77%

61. 특수건물 소유자의 손해배상책임과 보험가입 의무 설명으로 틀린 것은? (단, 화재로 인한 재해보상과 보험가입에 관한 법률을 적용한다.)(2020년 06월)
     1. 특수간물 소유자는 그 건물의 화재로 인하여 다른 사람이 사망하였을 때에는 과실이 없는 경우에는 그 손해를 배상할 책임이 없다.
     2. 특수건물 소유자는 그 건물의 화재로 인한 손해배상책임을 이행하기 위하여 그 건물에 대하여 손해보험회사가 운영하는 신체손해배상특약부화재보험에 가입하여야 한다.
     3. 특수건물 소유자는 그 건물의 종업원에 대하여 산업재해보상보험에 가입하고 있을 때에는 그 종업원에 대한 화재로 인한 손해배상책임을 담보하는 보험에 가입하지 아니할 수 있다.
     4. 특수건물 소유자는 특약부화재보험에 부가하여 풍재(風災) 등으로 인한 손해를 담보하는 보험에 가입할 수 있다.

     정답 : []
     정답률 : 59%
     <문제 해설>
화재로 인한 재해보상과 보험가입에 관한 법률
제4조(특수건물 소유자의 손해배상책임) ① 특수건물의 소유자는 그 특수건물의 화재로 인하여 다른 사람이 사망하거나 부상을 입었을 때 또는 다른 사람의 재물에 손해가 발생한 때에는 과실이 없는 경우에도 제8조제1항제2호에 따른 보험금액의 범위에서 그 손해를 배상할 책임이 있다. 이 경우 「실화책임에 관한 법률」에도 불구하고 특수건물의 소유자에게 경과실(輕過失)이 있는 경우에도 또한 같다.
[해설작성자 : 아무개]

62. 다음 중 질문기록서 작성과 관련된 기재사항으로 옳지 않은 것은?(2019년 04월)
     1. 질문기록서를 작성하는 조사관의 소속, 계급, 성명을 기재한다.
     2. 답변자의 인적사항 및 화재발생 대상과의 관계를 기재한다.
     3. 임야화재의 경우도 질문기록서를 반드시 작성하여야 한다.
     4. 질문, 일시 및 장소를 기재한다.

     정답 : []
     정답률 : 84%

63. 소방활동구역의 설정 및 현장보존에 대한 기준 중 틀린 것은?(2017년 09월)
     1. 소방활동구역의 설정은 필요한 최대의 범위로 한다.
     2. 소방활동구역의 관리는 수사기관과 상호 협조하여야 한다.
     3. 소방활동구역의 표시는 로프 등으로 범위를 한정하고 경고판을 부착하며 출입을 통제하는 등 현장보존에 최대한 노력하여야 한다.
     4. 소방본부장 또는 소방서장은 소화활동 시 현장물건 등의 이동 또는 파괴를 최소화하여 원활한 화재조사활동이 이루어 질 수 있도록 현장보존에 노력하여야 한다.

     정답 : []
     정답률 : 82%

64. 화재조사를 하는 관계 공무원이 화재조사를 수행하면서 알게 된 비밀을 다른 사람에게 누설한 자에 대한 벌칙 기준으로 옳은 것은?(2017년 09월)
     1. 1000만원 이하의 벌금
     2. 500만원 이하의 벌금
     3. 300만원 이하의 벌금
     4. 200만원 이하의 벌금

     정답 : []
     정답률 : 74%

65. 다음 중 화재조사 및 보고규정에서 정하고 있는 용어정의에 대한 내용으로 옳지 않은 것은?(2019년 04월)
     1. “감식”이란 화재원인의 판정을 위하여 전문적인 지식, 기술 및 경험을 활용하여 주로 시각에 의한 종합적인 판단으로 사실관계를 명확하게 규명하는 것을 말한다.
     2. “발화지점”이란 발화의 최초원인이 된 불꽃 또는 열을 말한다.
     3. “발화요인”이란 발화열원에 의하여 발화로 이어진 연소현상에 영향을 준 인적ㆍ물적ㆍ자연적인 요인을 말한다.
     4. “내용연수”란 고정자산을 경제적으로 사용할 수 있는 연수를 말한다.

     정답 : []
     정답률 : 70%

66. 화재조사 및 보고규정에 따른 최종잔가율의 정의로 옳은 것은?(2019년 04월)
     1. 고정자산을 경제적으로 사용할 수 있는 연수
     2. 피해물의 종류, 손상 상태 및 정도에 따라 피해액을 적정화시키는 일정한 비율
     3. 화재 당시에 피해물의 재구입비에 대한 현재가의 비율
     4. 피해물의 경제적 내용연수가 다한 경우 잔존하는 가치의 재구입비에 대한 비율

     정답 : []
     정답률 : 76%

67. 다음 중 소방기본법령상 저수조의 설치기준으로 옳지 않은 것은?(2019년 04월)
     1. 지면으로부터의 낙차가 5미터 이상일 것
     2. 흡수부분의 수심이 0.5미터 이상일 것
     3. 흡수에 지장이 없도록 토사 및 쓰레기 등을 제거할 수 있는 설비를 갖출 것
     4. 흡수관의 투입구가 사각형의 경우에는 한 변의 길이가 60센티미터 이상, 원형의 경우에는 지름이 60센티미터 이상일 것

     정답 : []
     정답률 : 69%
     <문제 해설>
1. 지면과의 거리 낙차 4.5m 이하
[해설작성자 : act now]

68. 다음의 소방기본법에 관한 내용 중 옳은 것은?(2019년 04월)
     1. 국가는 화재, 재난ㆍ재해, 그 밖의 위급한 상황으로부터 국민의 생명ㆍ신체 및 재산을 보호하기 위하여 소방업무에 관한 종합계획을 3년마다 수립ㆍ시행하여야 한다.
     2. 소방본부장이나 소방서장은 소방활동을 할 때에 긴급한 경우에는 이웃한 소방본부장 또는 소방서장에게 소방업무의 응원(應援)을 요청할 수 있으며, 소방업무의 응원 요청을 받은 소방본부장 또는 소방서장은 정당한 사유가 없어도 그 요청을 거절할 수 있다.
     3. 소방대는 화재, 재난ㆍ재해, 그 밖의 위급한 상황이 발생한 현장에 신속하기 출동하기 위하여 긴급할 때라도 일반적인 통행에 쓰이지 아니하는 도로ㆍ빈터 또는 물 위로 통행하여서는 안된다.
     4. 소방본부장, 소방서장 또는 소방대장은 화재, 재난ㆍ재해, 그 밖의 위급한 상황이 발생한 현장에서 소방활동을 위하여 필요할 때에는 그 관할역에 사는 사람 또는 그 현장에 있는 사람으로 하여금 사람을 구출하는 일 또는 불을 끄거나 불이 번지지 아니하도록 하는 일을 하게 할 수 있다.

     정답 : []
     정답률 : 76%

69. 다음 중 화재조사 및 보고규정상 화재조사서류의 보존기간으로 옳은 것은?(2019년 04월)
     1. 3년
     2. 5년
     3. 반영구
     4. 영구

     정답 : []
     정답률 : 82%

70. 화재현황 조사서 작성 시 화재원인의 기재항목이 아닌 것은?(2017년 09월)
     1. 연소확대사유
     2. 발화열원
     3. 발화요인
     4. 최초착화물

     정답 : []
     정답률 : 71%

71. 다음의 화재조사와 관련된 설명 중 옳은 것은?(2019년 04월)
     1. 화재조사 전담부서는 소방청, 시ㆍ도의 소방본부, 소방서에 설치한다.
     2. 소방본부장은 대형화재가 발생하면 조사본부를 설치ㆍ운영할 수 있다. 이 경우 소방서 조사요원은 소방본부 조사업무를 지원하여야 한다.
     3. 동일범이 아닌 각기 다른 사람에 의한 방화, 불장난은 동일 대상물에서 발화하는 경우 1개의 화재로 본다.
     4. 발화열원에 의해 불이 붙고 이 물질을 통해 제어하기 힘든 화세로 발전한 가연물을 발화물이라 한다.

     정답 : []
     정답률 : 60%
     <문제 해설>
2.청장
3.별건
4.최초착화물
[해설작성자 : 방랑자]

72. 질문기록서 작성을 생략할 수 있는 화재에 해당하지 않는 것은? (단, 사후조사는 제외하며, 화재조사 및 보고 규정을 적용한다.)(2020년 06월)
     1. 전못대화재
     2. 자동차화재
     3. 가로등화재
     4. 임야화재

     정답 : []
     정답률 : 58%

73. 긴급상황을 보고하여야 할 중요화재가 아닌 것은?(2017년 09월)
     1. 시장화재
     2. 지하구화재
     3. 이재민 100명이상 발생화재
     4. 외국공관 및 그 사택의 화재

     정답 : []
     정답률 : 64%
     <문제 해설>
4.특수화재
[해설작성자 : 악마]

74. 치장벽돌조 슬래브지붕 2층 건물의 1층 점포벽면 모서리에 설치된 선풍기에서 발생한 화재로 발화층은 바닥 24m2, 천장 10m2, 2면의 벽 6m2가 그을리거나 소실되는 피해가 발생했고, 2층은 1면의 벽 3m2, 천장 2m2가 그을리거나 오염되었다. 소실면적(m2)은 얼마인가?(오류 신고가 접수된 문제입니다. 반드시 정답과 해설을 확인하시기 바랍니다.)(2019년 04월)
     1. 9
     2. 10
     3. 24
     4. 25

     정답 : []
     정답률 : 42%
     <문제 해설>
소실면적은 바닥면적만 해당하는걸로 알고있습니다
[해설작성자 : comcbt.com 이용자]

아래와 같은 오류 신고가 있었습니다.
여러분들의 많은 의견 부탁 드립니다.
추후 여러분들의 의견을 반영하여 정답을 수정하도록 하겠습니다.
참고로 정답 변경은 오류 신고 5회 이상일 경우 수정합니다.

[오류 신고 내용]
소실면적은 바닥면적만 해당하는 것으로 알고 있습니다.
문제의 지문에서 바닥면적은 24인데 왜 정답이 25인지요?
3번이 정답 아닌가요?
[해설작성자 : 광주소방대표]

[오류신고 반론]
2면 이하인 경우는 소실 면적의 합을 5로 나눕니다.
1층은 2면 이상이라 바닥면적인 24. 2층은 벽과 천장 2면의 합인 5를 5로 나누어 1.
24 + 1 = 25
[해설작성자 : 119구조대]

[추가 오류 신고]
바닥면적만입니다..... 법개정 된지 꽤 됐어요...
[해설작성자 : 특수구조단]

[추가 오류 신고]
소실면적 산정은 바닥면적만 하는 것으로 개정되어 바닥면적만 산정.
[해설작성자 : 정보의 정확성]

75. 조사활동 중 본부장 또는 서장이 소방청장에게 긴급상황을 보고하여야 할 화재 중 특수화재에 해당하는 것은? (단, 화재조사 및 보고규정을 적용한다.)(2020년 06월)
     1. 시장화재
     2. 지하구의 화재
     3. 외국공관 및 그 사택의 화재
     4. 재산피해가 50억원 이상 추정되는 화재

     정답 : []
     정답률 : 60%
     <문제 해설>
1,2 : 중요화재
4.번 : 대형화재
3번 : 특수화재
[해설작성자 : 아무개]

76. 다음의 화재현장조사서 작성요령 중 옳지 않은 것은?(2019년 04월)
     1. 대규모 건물화재 등에서 현장조사를 분담하여 실시한 경우에는 분담자 각자가 분담한 장소의 현장조사서를 작성한다.
     2. 작성자는 현장조사를 직접 행한 자로 한정하고 다른 사람이 대신하여 작성하는 것은 인정되지 않는다.
     3. 발화원인으로 된 화원에 대하여 긍정해야할 사실만 객관적으로 기록하고 화원으로서 부정해야할 사실은 기재하지 않는다.
     4. 화재조사서는 발화건물의 판정 등과 관련하여 평이한 표현으로 계통적 순서에 입각하여 간결하게 기재하여야 한다.

     정답 : []
     정답률 : 74%

77. 집기비품의 피해액 산정에 관한 설명 중 옳은 것은?(2019년 04월)
     1. 간이평가방식은 "m2“당 표준단가×소실면적×[1(0.8×경과년수/내용년수)]×손해율”이다.
     2. 실질적ㆍ구체적 방식은 집기비품의 개별성이 인정되어야 하는 때에 적용한다.
     3. 집기비품의 수침오염 정도가 심한 경우 손해율은 50%이다.
     4. 실질적ㆍ구체적 방식은 “재구입비×[1-(0.9×내용년수/경과년수)]×손해율”이다.

     정답 : []
     정답률 : 37%

78. 화재조사 및 보고규정상 방화ㆍ방화의심 조사서 작성 시 기재항목으로 적합하지 않은 것은?(2019년 04월)
     1. 방화도구
     2. 방화의심 사유
     3. 도착 시 초기상황
     4. 방화자의 인상착의 및 직업

     정답 : []
     정답률 : 70%

79. 질문기록서의 작성 등에 대한 설명으로 틀린 것은?(2017년 09월)
     1. 질문기록서가 증거로서 가치를 가지기 위해서는 진술이 임의로 행해진 것이어야 한다.
     2. 미성년자에 대한 질문은 객관성유지를 위하여 친권자 등의 입회를 배제하여야 한다.
     3. 녹취를 종료하는 경우, 녹취내용에 오류가 없는지 확인시키 후 서명을 받는다.
     4. 질문의 권한은 소방법상 소방서장에게 있다.

     정답 : []
     정답률 : 64%

80. 화재조사 및 보고규정상의 화재 사후조사에 대한 내용 중 옳은 것은?(2019년 04월)
     1. 소방대가 출동하지 아니한 화재장소의 화재증명원 발급요청이 있는 경우에도 즉시 발급할 수 있다.
     2. 사후조사는 발화장소 및 발화지점 등 현장이 보존되어 있는 경우에만 조사를 할 수 있다.
     3. 사후조사의 경우에도 화재현장 출동보고서를 반드시 작성하여야 한다.
     4. 화재증명원의 발급 시 재산피해 및 인명피해에 대하여 기재하지 않는다.

     정답 : []
     정답률 : 66%


정 답 지

1

2

3

4

5

6

7

8

9

10

11

12

13

14

15

16

17

18

19

20

21

22

23

24

25

26

27

28

29

30

31

32

33

34

35

36

37

38

39

40

41

42

43

44

45

46

47

48

49

50

51

52

53

54

55

56

57

58

59

60

61

62

63

64

65

66

67

68

69

70

71

72

73

74

75

76

77

78

79

80

화재감식평가산업기사 필기 기출문제(해설) 및 CBT 모의고사(2025년 11월 23일)(9348351)을 이용해 주셔서 감사합니다.
, 필기, 기출문제, 전자문제집, CBT, 온라인, 모의테스트, 모의고사



List of Articles
번호 제목 글쓴이 날짜 조회 수
6856 9급 지방직 공무원 서울시 수학(지적) 필기 기출문제(해설) 및 CBT 2016년06월25일 좋은아빠되기 2025.11.23 1
» 화재감식평가산업기사 필기 기출문제(해설) 및 CBT 모의고사(2025년 11월 23일)(9348351) 좋은아빠되기 2025.11.23 1
6854 9급 국가직 공무원 회계원리 필기 기출문제(해설) 및 CBT 모의고사(2025년 11월 23일)(5238464) 좋은아빠되기 2025.11.23 1
6853 통신설비기능장 필기 기출문제(해설) 및 CBT 2020년09월26일 좋은아빠되기 2025.11.23 1
6852 누설비파괴검사기사(구) 필기 기출문제(해설) 및 CBT 2008년05월11일 좋은아빠되기 2025.11.23 1
6851 9급 지방직 공무원 서울시 환경공학개론 필기 기출문제(해설) 및 CBT 2019년06월15일 좋은아빠되기 2025.11.23 1
6850 설비보전산업기사 필기 기출문제(해설) 및 CBT 2015년05월31일 좋은아빠되기 2025.11.23 1
6849 유통관리사 1급 필기 기출문제(해설) 및 CBT 2015년07월05일 좋은아빠되기 2025.11.23 1
6848 한복기능사 필기 기출문제(해설) 및 CBT 모의고사(2025년 11월 23일)(5210255) 좋은아빠되기 2025.11.23 1
6847 폐기물처리기사 필기 기출문제(해설) 및 CBT 2005년03월06일 좋은아빠되기 2025.11.23 1
6846 산업위생관리기사 필기 기출문제(해설) 및 CBT 2005년03월06일 좋은아빠되기 2025.11.23 1
6845 소방설비기사(기계분야) 필기 기출문제(해설) 및 CBT 2007년03월04일 좋은아빠되기 2025.11.23 1
6844 직업상담사 2급 필기 기출문제(해설) 및 CBT 2011년03월20일 좋은아빠되기 2025.11.23 1
6843 인터넷정보관리사 2급 필기 기출문제(해설) 및 CBT 2019년06월15일 좋은아빠되기 2025.11.23 1
6842 침투비파괴검사산업기사 필기 기출문제(해설) 및 CBT 2014년03월02일 좋은아빠되기 2025.11.23 1
6841 9급 지방직 공무원 지역사회간호학 필기 기출문제(해설) 및 CBT 2010년05월22일 좋은아빠되기 2025.11.23 1
6840 수능(지구과학I) 필기 기출문제(해설) 및 CBT 2013년06월05일 좋은아빠되기 2025.11.23 1
6839 운전면허 학과시험(필기) 1종 2종(2020년판) 필기 기출문제(해설) 및 CBT 0010회 좋은아빠되기 2025.11.23 1
6838 9급 지방직 공무원 서울시 국어 필기 기출문제(해설) 및 CBT 2019년06월15일 좋은아빠되기 2025.11.23 1
6837 생산자동화기능사 필기 기출문제(해설) 및 CBT 모의고사(2025년 11월 23일)(1161702) 좋은아빠되기 2025.11.23 1
Board Pagination Prev 1 2 3 4 5 6 7 8 9 10 11 ... 349 Next
/ 349