자격증 필기 기출문제



대기환경기사 필기 기출문제(해설) 및 CBT 2016년10월01일(310)

최강 자격증 기출문제 전자문제집 CBT : www.comcbt.com


전자문제집 CBT란?

종이 문제집이 아닌 인터넷으로 문제를 풀고 자동으로 채점하며 모의고사, 오답 노트, 해설까지 제공하는
무료 기출문제 학습 프로그램으로 실제 상설검정에서 사용하는 OMR 형식의 CBT를 제공합니다.


최신 대기환경기사 필기 기출문제 : [다운로드]

1과목 : 대기오염 개론


1. 따뜻한 공기가 찬 지표면이나 수면 위를 불어갈 때 따뜻한 공기의 하층이 찬 지표면 수면에 의해 냉각되어 발생하는 역전의 형태는?
     1. 접지역전
     2. 침강역전
     3. 전선역전
     4. 해풍역전

     정답 : []
     정답률 : 71%
     <문제 해설>
기온역전: 고도가 올라갈수록 기온(온위)가 상승하는 현상.

기온 역전에는 지표역전(=접지역전)과 공중역전이 있다.
지표역전: 복사역전, 이류역전
공중역전: 침강역전, 전선역전, 난류역전, 해풍역전

문제(따뜻한 공기가 찬 지표면이나 수면 위를 불어갈 때 따뜻한 공기의 하층이 찬 지표면 수면에 의해 냉각되어 발생하는 역전)는 이류역전에 대한 설명이므로, 접지역전(=지표역전)이 답!

cf) 해풍역전: 아침에 해풍(찬 공기)와 육지(따뜻한 공기) 사이에 전선면이 생기는 것
[해설작성자 : comcbt.com 이용자]

2. 유효고 50m인 굴뚝에서 NO가 200g/sec의 속도로 배출되고 있다. 굴뚝 유효고에서의 풍속은 10m/sec일 때, 500m 풍하방향 중심선상 지표면에서의 NO 농도는? (단, σy=30m, σz=15m)
     1. 약 3㎍/m3
     2. 약 5㎍/m3
     3. 약 27㎍/m3
     4. 약 55㎍/m3

     정답 : []
     정답률 : 47%
     <문제 해설>
가우시안 방정식 이용
C= Q / (π * U * σz * σy) * exp (-1/2 * (He/σz)2)
= 200*10의6승 / (π * 30 * 15) * exp ( -1/2 * (50/15)2) = 54.6915 ㎍/m3
[해설작성자 : 옥련]

가우시안 방정식 이용
C= Q / (π * U * σz * σy) * exp (-1/2 * (He/σz)2)
= 200*10의6승 / (π *10 * 30 * 15) * exp ( -1/2 * (50/15)2) = 54.7 ㎍/m3
[해설작성자 : 요쁘]

가우시안 방정식 이용
C= Q / (π * U * σz * σy) * exp (-1/2 * (He/σz)2)
= 200*10의6승 / (π *10 * 30 * 15) * exp^( -1/2 * (50/15)2) = 54.7 ㎍/m3

가끔 *랑 ^ 모르시는 분 계신데 e^( -1/2~~)입니다
[해설작성자 : 공부하는짱구]

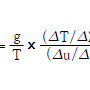
3. 대기의 안정도와 관련된 리차드슨수(Ri)를 나타낸 식으로 옳은 것은?(단, g: 그 지역의 중력가속도, θ: 잠재온도, u: 풍속, z: 고도)
     1.
     2.
     3.
     4.

     정답 : []
     정답률 : 64%

4. 광화학반응의 주요 생성물 중 PAN(Peroxyacetyl nitrate)의 화학식을 옳게 나타낸 것은?
     1. CH3CO2N4O2
     2. CH3C(O)O2NO2
     3. C5H11C(O)O2N4O2
     4. C5H11CO2NO2

     정답 : []
     정답률 : 87%

5. 산성비에 대한 다음 설명 중 ( )안에 가장 적당한 말은?

   

     1. ㉠ 7, ㉡ CO2
     2. ㉠ 7, ㉡ NO2
     3. ㉠ 5.6, ㉡ CO2
     4. ㉠ 5, ㉡ NO2

     정답 : []
     정답률 : 89%

6. 다음 가스 중 혈액 내의 헤모글로빈(Hb)과 가장 결합력이 강한 물질은?
     1. CO
     2. O2
     3. NO
     4. CS2

     정답 : []
     정답률 : 78%
     <문제 해설>
헤모글로빈 결합력 순서

NO-Hb (니트로소 헤모글로빈) > CO-Hb (카르복시 헤모글로빈) > O2-Hb (옥시 헤모글로빈)
[해설작성자 : ClayMan]

7. 최대혼합고(MMD)에 관한 설명으로 옳지 않은 것은?
     1. 통상적으로 밤에 가장 낮으며, 낮시간 동안 증가한다.
     2. 야간 극심한 역전 하에서는 0 이 될 수도 있다.
     3. 낮시간 동안에는 통상 20~30m의 값을 나타낸다.
     4. 실제 MMD는 지표 위 수 km 까지 실제공기의 온도종단도를 작성함으로써 결정된다.

     정답 : []
     정답률 : 79%
     <문제 해설>
MMD값은 통상적으로 밤에 가장 낮으며 낮시간동안 증가한다.
낮시간 동안에는 통상 2000~3000m 값을 나타내기도 한다.
[해설작성자 : 검색]

8. 로스앤젤레스 스모그 사건에 대한 설명 중 틀린 것은?
     1. 대기는 침강성 역전 상태였다.
     2. 주 오염성분은 NOx, O3, PAN, 탄화수소 이다.
     3. 광화학적 및 열적 산화반응을 통해서 스모그가 형성되었다.
     4. 주 오염 발생원은 가정 난방용 석탄과 화력발전소의 매연이다.

     정답 : []
     정답률 : 86%
     <문제 해설>
주 오염 발생원은 자동차에서 배출되는 질소산화물, 탄소등에 의하여 생성된 광화학산화물임
[해설작성자 : 례인]

4. 가정 난방용 석탄과 화력발전소의 매연이다.→런던 스모그
[해설작성자 : comcbt.com 이용자]

9. 1~2㎛ 이하의 미세입자는 세정(Rain out)효과가 작은데 그 이유로 가장 적합한 것은?
     1. 응축효과가 크기 때문에
     2. 휘산효과가 크기 때문에
     3. 부정형의 입자가 많기 때문에
     4. 브라운 운동을 하기 때문에

     정답 : []
     정답률 : 89%

10. 벤젠에 관한 설명으로 옳지 않은 것은?
     1. 체내에 흡수된 벤젠은 지방이 풍부한 피하조직과 골수에서 고농도로 축적되어 오래 잔존할 수 있다.
     2. 체내에서 마뇨산(Hippuric acid)으로 대사하여 소변으로 배설된다.
     3. 비점은 약 80℃ 정도이고, 체내 흡수는 대부분 호흡기를 통하여 이루어진다.
     4. 벤젠 폭로에 의해 발생되는 백혈병은 주로 급성 골수아성 백혈병(Acute myeloblastic leukemia)이다.

     정답 : []
     정답률 : 83%
     <문제 해설>
2.은 톨루엔에 대한 설명
[해설작성자 : lwj]

체네에서 마뇨산으로 대사하여 소변으로 배설되는건 톨루엔
[해설작성자 : 김해사는이찬우]

11. 다환 방향족 탄화수소(Polycyclic Aromatic Hydrocarbons, PAH)에 관한 설명으로 가장 거리가 먼 것은?
     1. 대부분 PAH는 물에 잘 용해되며, 산성비의 주요원인물질로 작용한다.
     2. 대부분 공기역학적 직경이 2.5㎛ 미만인 입자상 물질이다.
     3. 석탄, 기름, 가스, 쓰레기, 각종 유기물질의 불완전 연소가 일어나는 동안에 형성된 화학물질 그룹이다.
     4. 고리 형태를 갖고 있는 방향족 탄화수소로서 미량으로도 암 및 돌연변이를 일으킬 수 있다.

     정답 : []
     정답률 : 74%
     <문제 해설>
PAH는 물에대한 용해도가 낮고, 발암물질이다.

12. A도시의 먼지 농도를 측정하기 위하여 공기를 여과지를 통하여 0.4m/s의 속도로 3시간 동안 여과시킨 결과 깨끗한 여과지에 비해 사용된 여가지의 빛 전달율이 80%이었다. 이 때 1000m당의 Coh는 약 얼마인가?
     1. 1.25
     2. 1.50
     3. 2.25
     4. 4.32

     정답 : []
     정답률 : 63%
     <문제 해설>
(O•D/0.01)/이동거리 × 1000m
O•D = log(1/t)
t = 전달율
(log(1/0.8)/0.01) × 1000 / (0.4×3600×3)
= 2.243
[해설작성자 : 시노]

13. 등압면이 직선이 아닌 곡선일 때에 부는 바람인 경도풍은 3가지 힘이 평형을 이루고 있을 때 나타난다. 이 3가지 힘으로 가장 적합한 것은?
     1. 마찰력, 전향력, 원심력
     2. 기압경도력, 전향력, 원심력
     3. 기압경도력, 마찰력, 원심력
     4. 기압경도력, 전향력, 마찰력

     정답 : []
     정답률 : 80%
     <문제 해설>
경도풍은 마찰력과 상관관계 X
[해설작성자 : 이번에 끝내자]

14. 굴뚝높이 50m, 배출 연기온도 200℃, 배출 연기속도 30m/s, 굴뚝직경이 2m인 화력발전소가 있다. 지금 주변 대기온도가 20℃이고, 굴뚝 배출구에서 대기 풍속이 10m/s이며, 대기압은 1000mb인 조건에서 다음 Holland식을 이용한 연기의 유효굴뚝높이는?

    

     1. 약 71m
     2. 약 85m
     3. 약 93m
     4. 약 21m

     정답 : []
     정답률 : 57%
     <문제 해설>
유효굴뚝높이=실제굴뚝높이+연기의 유효 상승고
He=H+△H
H=50m
△H=[30*2/10]*[1.5+2.68*10^-3*(1000)*{(200-20)/(200+273)}*2]=21.238m
He=50+21.238=약71m

주어진 식에 milibar, Kelvin, MKS 단위 맞춰서 대입해주시면 됩니다.
[해설작성자 : comcbt.com 이용자]

15. 상자모델을 전개하기 위하여 설정된 가정으로 가장 거리가 먼 것은?
     1. 오염물은 지면의 한 지점에서 일정하게 배출된다.
     2. 고려된 공간에서 오염물의 농도는 균일하다.
     3. 오염물의 분해는 일차반응에 의한다.
     4. 고려되는 공간의 수직단면에 직각방향으로 부는 바람의 속도가 일정하여 환기량이 일정하다.

     정답 : []
     정답률 : 65%
     <문제 해설>
오염물은 지면 전역에 균등하게 분포되어 있다.
[해설작성자 : 태화]

16. 대기오염물질별로 지표식물을 짝지은 것으로 가장 거리가 먼 것은?
     1. HF - 알팔파
     2. SO2 - 담배
     3. O3 - 시금치
     4. NH3 - 해바라기

     정답 : []
     정답률 : 63%
     <문제 해설>
HF 지표식물
소나무, 옥수수, 살구, 자두, 글러디올러스, 메밀, 배나무, 고구마 등
[해설작성자 : 이링]

약한 식물(지표식물):글라디올러스, 자두, 살구, 메밀, 옥수수, 진달래, 복숭아, 소나무 등
[해설작성자 : 산기]

17. 태양복사의 산란에 관한 다음 설명 중 가장 거리가 먼 것은?
     1. 레일리산란의 경우 그 세기는 파장의 2승에 반비례한다.
     2. 산란의 세기는 입사되는 빛의 파장(λ)에 대한 입자크기(반경)의 비에 의해 결정된다.
     3. 입자의 크기가 입사되는 빛의 파장에 비해 아주 작게 되면 레일리산란이 발생한다.
     4. 맑은 날 하늘이 푸르게 보이는 이유는 레일리산란 특성에 의해 파장이 짧은 청색광이 긴 적색광보다 더욱 강하게 산란되기 때문이다.

     정답 : []
     정답률 : 74%
     <문제 해설>
레일리 산란의 경우 그 세기는 파장의 4승에 반비례한다.
[해설작성자 : 1-35]

18. 질소산화물에 관한 설명으로 거리가 먼 것은?
     1. 아산화질소(N2O)는 성층권의 오존을 분해하는 물질로 알려져 있다.
     2. 아산화질소(N2O)는 대류권에서 태양에너지에 대하여 매우 안정하다.
     3. 전세계의 질소화합물 배출량 중 인위적인 배출량은 자연적 배출량의 약 70% 정도 차지하고 있으며, 그 비율은 점차 증가하는 추세이다.
     4. 연료 NOx는 연료 중 질소화합물 연소에 의해 발생되고, 연료 중 질소화합물은 일반적으로 석탄에 많고 중유, 경유 순으로 적어진다.

     정답 : []
     정답률 : 74%
     <문제 해설>
자연적 배출량의 약 10% 입니다.
[해설작성자 : comcbt.com 이용자]

자연적 배출량 : 인위적배출량 = 9 : 1 입니다.
[해설작성자 : 미묨몀]

19. 다음 중 세류현상(down wash)이 발생하지 않는 조건으로 가장 적절한 것은?
     1. 굴뚝높이에서의 풍속이 오염물질 토출속도의 1.5배 이상일 때
     2. 굴뚝높이에서의 풍속이 오염물질 토출속도의 2.0배 이상일 때
     3. 오염물질의 토출속도가 굴뚝높이 풍속의 1.5배 이상일 때
     4. 오염물질의 토출속도가 굴뚝높이 풍속의 2.0배 이상일 때

     정답 : []
     정답률 : 67%
     <문제 해설>
다운워시(세류현상): 배출구의 풍하방향에 연기가 휘말려 떨어지는 현상
다운워시를 방지하려면? 배출구 가스유속: 풍속의 2배 이상으로!(4번)

cf)다운드래프트: 건물 및 지형의 풍하방향에 연기가 휘말려 떨어지는 현상
다운드래프트를 방지하려면? 굴뚝 높이: 건물, 지형의 2.5배 이상으로!
[해설작성자 : comcbt.com 이용자]

20. 대기오염물질과 그 발생원의 연결로 가장 거리가 먼 것은?
     1. 페놀 - 타르공업, 도장공업
     2. 암모니아 - 소다공업, 인쇄공장, 농약제조
     3. 시안화수소 - 청산제조업, 가스공업, 제철공업
     4. 아황산가스 - 용광로, 제련소, 석탄화력발전소

     정답 : []
     정답률 : 70%
     <문제 해설>
암모니아 - 비료, 냉동, 표백, 도금, 색소제조공장, 나일론제조 등
[해설작성자 : 이링]

2과목 : 연소공학


21. 액화석유가스(LPG)에 대한 설명으로 옳지 않은 것은?
     1. 황분이 적고 유독성분이 거의 없다.
     2. 사용에 편리한 기체연료의 특징과 수송 및 저장에 편리한 액체연료의 특징을 겸비하고 있다.
     3. 천연가스에서 회수되기도 하지만 대부분은 석유정제 시 부산물로 얻어진다.
     4. 비중이 공기보다 가벼워 누출될 경우 인화 폭발 위험성이 크다.

     정답 : []
     정답률 : 83%
     <문제 해설>
비중이 공기보다 무겁고, 누출될 경우 인화 폭발 위험성이 큰 건 맞음.
[해설작성자 : comcbt.com 이용자]

22. COM(Coal oil mixture), 즉 혼탄유 연소 특징으로 옳지 않은 것은?
     1. COM은 주로 석탄과 중유의 혼합연료이다.
     2. 배출가스 중의 NOx, SOx, 분진농도는 미분탄연소와 중유연소 각각인 경우 농도가중 평균 정도가 된다.
     3. 화염길이가 중유연소인 경우에 가까운 것에 대하여 화염안정성은 미분탄연소인 경우에 가깝다.
     4. 중유보다 미립화 특성이 양호하다.

     정답 : []
     정답률 : 66%
     <문제 해설>
화염길이는 미분탄에 가까운 반면 화염안정성은 중유 연소에 가깝다.
[해설작성자 : 태화]

23. 중유조성이 탄소 87%, 수소 11%, 황 2% 이었다면 이 중유연소에 필요한 이론 습연소 가스량(Sm3/kg)은?
     1. 9.63
     2. 11.35
     3. 12.96
     4. 13.62

     정답 : []
     정답률 : 67%
     <문제 해설>
1. 이론공기량(Ao= 8.89C+26.67(H-O/8)+3.33S)을 구한다
2. 이론 습연소 가스량 식에 대입하여 계산
(이 때 "이론 습연소 가스량 식 = Ao+5.6H+0.7O+0.8N+1.244W"이다.)

Ao= 10.7346이 나오기 때문에
이론습연소가스량= 10.7346+(5.6×0.11)
= 11.35
[해설작성자 : 없어서 내가한다]

24. 프로판(C3H8) 1Sm3을 완전연소시켰을 때 건조연소가스 중의 CO2 농도는 11%이었다. 공기비는 약 얼마인가?
     1. 1.05
     2. 1.15
     3. 1.23
     4. 1.39

     정답 : []
     정답률 : 59%
     <문제 해설>
C3H8+5O2 -> 3CO2+4H2O
공기비를 m으로 두면, 연소후 주입공기 잔여량은 (5/0.21)*m-5
따라서 건조연소가스는 (5/0.21)*m-5+3이고, CO2농도 11%= 3/{(5/0.21)*m)-2}가 된다.
따라서 m은 1.2294가 됨.
[해설작성자 : ???]

C3H8+5O2 → 3CO2+4H2O

CO2(%) = CO2량/Gd *100(%)
11(%) = 3(Sm3)/Gd * 100
Gd(실제건연소가스량) = 27.27


Gd = (m-0.21)*Ao + 연소생성물(CO2 + SO2)
Ao(이론공기량) = 이론산소량 / 0.21 = 5/0.21 = 23.81

27.27 = (m-0.21)*(23.81) + 3 (CO2=3, SO2는 0)
m = 1.2293 = 1.23
답 3번
[해설작성자 : comcbt.com 이용자]

25. 액체연료인 석유의 물성치에 관한 설명으로 옳지 않은 것은?
     1. 석유류의 증기압이 큰 것은 착화점이 낮아서 위험하다.
     2. 석유류의 인화점은 휘발유 -50℃~0℃, 등유 30℃~70℃, 중유 90℃~120℃ 정도이다.
     3. 석유의 비중이 커지면 탄화수소비(C/H)가 증가하고, 발열량이 감소한다.
     4. 석유의 동점도가 감소하면 끓는점이 높아지고 유동성이 좋아지며 이로 인하여 인화점이 높아진다.

     정답 : []
     정답률 : 57%
     <문제 해설>
석유의 동점도가 감소하면 끓는점이 낮아지고 유동성이 좋아지며 이로 인해 인화점이 낮아진다.
[해설작성자 : comcbt.com 이용자]

아래와 같은 오류 신고가 있었습니다.
여러분들의 많은 의견 부탁 드립니다.
추후 여러분들의 의견을 반영하여 정답을 수정하도록 하겠습니다.
참고로 정답 변경은 오류 신고 5회 이상일 경우 수정합니다.

[오류 신고 내용]
3번에 탄화수소비가 증가하면 발열량이 증가해야하는 것 아닌가요?
[해설작성자 : 김곤호]

[오류신고 반론]
미교원 물쌤교재에서 3번 보기는 “석유의 비중이 커지면 탄화수소비가 증가하고 발열량이 감소한다” 입니다. 정답은 4번입니다
[해설작성자 : 시크릿쥬쥬박]

26. 기체연료의 연소방식과 연소장치에 관한 설명으로 옳지 않은 것은?
     1. 확산연소는 주로 탄화수소가 적은 발생로가스, 고로가스 등에 적용되는 연소방식이다.
     2. 예혼합연소는 화염온도가 낮아 국부가열의 염려가 없고 연소부하가 작은 경우 사용이 가능하며, 화염의 길이가 길다.
     3. 저압버너는 역화방지를 위해 1차 공기량을 이론공기량의 약 60% 정도만 흡입하고 2차 공기는 로내의 압력을 부압으로 하여 공기를 흡인한다.
     4. 예혼합연소에 사용되는 버너에는 저압버너, 고압버너, 송풍버너 등이 있다.

     정답 : []
     정답률 : 79%
     <문제 해설>
2. 예혼합연소는 화염온도가 높아 연소부하가 큰 경우 사용이 가능하며, 화염의 길이가 짧다.
[해설작성자 : 이링]

27. A석탄을 사용하여 가열로의 배출가스를 분석한 결과 CO2 14.5%, O2 6%, N2 79%, CO 0.5%이었다. 이 경우의 공기비는?
     1. 1.18
     2. 1.38
     3. 1.58
     4. 1.78

     정답 : []
     정답률 : 71%
     <문제 해설>
배출가스 분석치를 이용한 공기비 계산

m = N2/(N2-3.76(O2-0.5*CO))
    = 79/(79-3.76(6-0.5*0.5)) = 1.3767
[해설작성자 : 이링]

28. C 85%, H 15%의 액체연료를 100kg/h로 연소하는 경우, 연소 배출가스의 분석결과가 CO2 12%, O2 4%, N2 84%이었다면 실제연소용 공기량은? (단, 표준상태 기준)
     1. 약 1160 Sm3/h
     2. 약 1410 Sm3/h
     3. 약 1620 Sm3/h
     4. 약 1730 Sm3/h

     정답 : []
     정답률 : 61%
     <문제 해설>
실제연소공기량 A
A=Ao X M 100kg/h
1407.64=11.5556 X 1.2181 X 100

이론공기량 Ao 랑 공기비 m은 구하기 쉬우니
생략합니다.
[해설작성자 : 불굴의 노력가]

29. A기체연료 2Sm3을 분석한 결과 C3H8 1.7Sm3, CO 0.15Sm3, H2 0.14Sm3, O2 0.01Sm3였다면 이 연료를 완전연소 시켰을 때 생성되는 이론습연소가스량(Sm3)은?
     1. 약 41 Sm3
     2. 약 45 Sm3
     3. 약 52 Sm3
     4. 약 57 Sm3

     정답 : []
     정답률 : 49%
     <문제 해설>
Gow=0.79Ao+CO2+H2O

C3H8+5O2→3CO2+4H2O
    1 : 5    :    3 : 4
1.7: 8.5: 5.1: 6.8

CO    +0.5O2 →CO2
1    : 0.5    : 1
0.15:0.075 :0.15

H2    +0.5O2 →H2O
1    : 0.5    : 1
0.14: 0.07 :0.14

Ao=(8.5+0.075+0.07-0.01)×1/0.21
    =41.12(m^3)

CO2=5.1+0.15=5.25m^3

H2O=6.8+0.14=6.94m^3

Gow=(0.79×41.12)+5.25+6.94=44.67m^3
[해설작성자 : 쓰엉]

30. 기체연료 중 연소하여 수분을 생성하는 H2와 CxHy 연소반응의 발열량 산출식에서 아래의 480 이 의미하는 것은?

    

     1. H2O 1kg의 증발잠열
     2. H2 1kg의 증발잠열
     3. H2O 1Sm3의 증발잠열
     4. H2 1Sm3의 증발잠열

     정답 : []
     정답률 : 78%

31. 다음 중 디젤노킹(diesel knocking) 방지법으로 가장 거리가 먼 것은?
     1. 착화지연 기간 및 급격연소 시간의 분사량을 감소시킨다.
     2. 급기온도를 높인다.
     3. 기관의 압축비를 크게 하여 압축압력을 높게한다.
     4. 회전속도를 높인다.

     정답 : []
     정답률 : 63%
     <문제 해설>
회전속도를 낮춰야 한다.
[해설작성자 : 해즐베이커]

회전속도를 저하시킬 것(스파크 점화기관의 녹킹 방지대책과는 반대이다.)
[해설작성자 : 산기]

32. 다음 중 연료의 연소과정에서 공기비가 낮을 경우 예상되는 문제점으로 가장 적합한 것은?
     1. 배출가스에 의한 열손실이 증가한다.
     2. 배출가스 중 CO와 매연이 증가한다.
     3. 배출가스 중 SOx와 NOx의 발생량이 증가한다.
     4. 배출가스의 온도저하로 저온부식이 가속화된다.

     정답 : []
     정답률 : 74%
     <문제 해설>
공기비가 크면 -> NOx 발생량 증가, 열손실 증가, 배기가스 온도 저하로 인한 저온부식
공기비가 작으면 -> 불완전 연소로 인해 매연 증가(CO, HC 등의 물질 ↑)
[해설작성자 : 참피]

33. 기체연료의 이론공기량(Sm3/Sm3)을 구하는 식으로 옳은 것은? (단, H2, CO, CxHy, O2는 연료 중의 수소, 일산화탄소, 탄화수소, 산소의 체적비를 의미한다.)
     1. 0.21{0.5H2+0.5CO+(x+y/4)CxHy-O2}
     2. 0.21{0.5H2+0.5CO+(x+y/4)CxHy+O2}
     3. 1/0.21{0.5H2+0.5CO+(x+y/4)CxHy-O2}
     4. 1/0.21{0.5H2+0.5CO+(x+y/4)CxHy+O2}

     정답 : []
     정답률 : 73%

34. 1.5%(무게기준) 황분을 함유한 석탄 1143kg을 이론적으로 완전연소시킬 때 SO2 발생량은? (단, 표준상태 기준이며, 황분은 전량 SO2로 전환된다.)
     1. 12 Sm3
     2. 18 Sm3
     3. 21 Sm3
     4. 24 Sm3

     정답 : []
     정답률 : 62%
     <문제 해설>
S                    +             02 = SO2
32kg                                        22.4Sm3
0.015*1143kg                        xSm3

x = 22.4Sm3*0.015*1143kg /32kg
    = 12.0015 Sm3

35. 폐가스 소각과 관련한 다음 설명 중 가장 거리가 먼 것은?
     1. 직접화염 재연소기의 설계 시 반응시간은 1~3초 정도로 하고, 이 방법은 다른 방법에 비해 NOx 발생이 적다.
     2. 직접화염 소각은 가연성 폐가스의 배출량이 많은 경우에 유용하다.
     3. 촉매산화법은 고온연소법에 비해 반응온도가 낮은 편이다.
     4. 촉매산화법은 저농도의 가연물질과 공기를 함유하는 기체 폐기물에 대하여 적용되며 백금 및 팔라듐 등이 촉매로 쓰인다.

     정답 : []
     정답률 : 55%
     <문제 해설>
직접화염 재연소기의 설계 시 반응시간은 0.2-0.7초 정도로 하고, 이 방법은 다른 방법에 비해 NOx 발생이 많다
[해설작성자 : 이링]

36. 그을음 발생에 관한 설명으로 옳지 않은 것은?
     1. 분해나 산화하기 쉬운 탄화수소는 그을음 발생이 적다.
     2. C/H비가 큰 연료일수록 그을음이 잘 발생된다.
     3. 탈수소보다 -C-C-의 탄소결합을 절단하는 것이 용이한 연료일수록 잘 발생된다.
     4. 발생빈도의 순서는'천연가스 < LPG < 제조가스 < 석탄가스 < 코크스'이다.

     정답 : []
     정답률 : 71%
     <문제 해설>
3. -C-C-(사슬모양)의 탄소결합을 절단하기 보다는 탈수소가 쉬운 쪽이 매연이 생기기 쉽다.
[해설작성자 : 어둑새벽]

37. 연소 시 매연 발생량이 가장 적은 탄화수소는?
     1. 나프텐계
     2. 올레핀계
     3. 방향족계
     4. 파라핀계

     정답 : []
     정답률 : 68%
     <문제 해설>
올레핀계 > 나프텐계 > 아세틸렌 > 프로필렌 > 프로판 > 메탄(파라핀계)
[해설작성자 : 이링]

38. C=78(중량%), H=18(중량%), S=4(중량%)인 중유의 (CO2)max은 약 몇 %인가? (단, 표준상태, 건조가스 기준)
     1. 20.6
     2. 17.6
     3. 14.8
     4. 13.4

     정답 : []
     정답률 : 54%
     <문제 해설>
*CO2max(%)=1.867C/God(이론 건연소가스량)×100 식을 이용
God= Ao-5.6H+0.7O+0.8N이므로 11.8679-5.6×0.18로 계산되고 10.8599가 나온다
CO2max= (1.867×0.78/10.8599)×100 = 13.40
[해설작성자 : 없어서 내가한다]

39. C=82%, H=15%, S=3%의 조성을 가진 액체연료를 2kg/min으로 연소시켜 배기가스를 분석하였더니 CO2=12.0%, O2=5%, N2=83%라는 결과를 얻었다. 이 때 필요한 연소용 공기량(Sm3/hr)은?
     1. 약 1100
     2. 약 1300
     3. 약 1600
     4. 약 1800

     정답 : []
     정답률 : 50%
     <문제 해설>
A = m * Ao

         N2
m = ------------------ = 1.2928
         N2-3.76(O2-0.5CO)
    
Ao = 11.3889
A = 14.7236 Sm3/hr * (2kg/min) * 60min/hr = 1766 Sm3/hr
[해설작성자 : 미쁜산들]

40. 다음 중 폭굉유도거리가 짧아지는 요건으로 거리가 먼 것은?
     1. 정상의 연소속도가 작은 단일가스인 경우
     2. 관속에 방해물이 있거나 관내경이 작을수록
     3. 압력이 높을수록
     4. 점화원의 에너지가 강할수록

     정답 : []
     정답률 : 65%
     <문제 해설>
* 폭굉 유도거리가 짧아지는 요건
폭굉유도거리 : 관중에 폭굉 가스가 존재할 때 최초의 완만한 연소가 격렬한 폭굉으로 발전할 때까지의 거리

1. 정상의 연소속도가 큰 혼합가스 일수록 짧다
2. 관속에 방해물이 있거나 관내경이 작을수록
3. 압력이 높을 수록
4. 점화원의 에너지가 강할수록
[해설작성자 : 이링]

3과목 : 대기오염 방지기술


41. Bag filter에서 먼지부하가 360g/m2일 때마다 부착먼지를 간헐적으로 탈락시키고자 한다. 유입가스 중의 먼지농도가 10g/m3이고, 겉보기 여과속도가 1cm/sec일 때 부착먼지의 탈락시간 간격은? (단, 집진율은 80%이다.)
     1. 약 0.4 hr
     2. 약 1.3 hr
     3. 약 2.4 hr
     4. 약 3.6 hr

     정답 : []
     정답률 : 60%
     <문제 해설>
1cm/sec=36m/hr
? hr = 360g/m2 ÷ (10g/m2 * 0.8 * 36m/hr)
         = 1.25hr
[해설작성자 : ???]

아래와 같은 오류 신고가 있었습니다.
여러분들의 많은 의견 부탁 드립니다.
추후 여러분들의 의견을 반영하여 정답을 수정하도록 하겠습니다.
참고로 정답 변경은 오류 신고 5회 이상일 경우 수정합니다.

[오류 신고 내용]
1cm/sec=3.6m/hr입니다
[해설작성자 : comcbt.com 이용자]

[오류신고 반론]
1cm/sec=36m/hr 맞습니다.
[해설작성자 : 엉터리 작작]

42. 목(throat) 부분의 지름이 30cm인 Venturi Scrubber를 사용하여 360m3/min의 함진가스를 처리할 때, 320L/min의 세정수를 공급할 경우 이 부분의 압력손실(mmH2O)은? (단, 가스밀도는 1.2kg/m3이고, 압력손실계수는 [0.5+액가스비] 이다.)
     1. 약 545
     2. 약 575
     3. 약 615
     4. 약 665

     정답 : []
     정답률 : 41%
     <문제 해설>
압력손실 = 압력손실계수 * rV^2 / 2g
액가스비 = 320L/360m^3 = 0.8889L/m^3
V = (360m^3/min * 1/60) / (0.15m)^2 * 3.14 = 84.8826m/sec
압력손실 = [0.5+0.8889] * 1.2kg/m^3 * (84.8836m/sec)^2 / 2 * 9.8m/sec = 612.68mmH2O
[해설작성자 : Ba]

43. 선택적 촉매환원(SCR)법과 선택적 비촉매환원(SNCR)법이 주로 제거하는 오염물질은?
     1. 휘발성유기화합물
     2. 질소산화물
     3. 황산화물
     4. 악취물질

     정답 : []
     정답률 : 72%

44. 휘발유 자동차의 배출가스를 감소하기 위해 적용되는 삼원촉매 장치의 촉매물질 중 환원촉매로 사용되고 있는 물질은?
     1. Pt
     2. Ni
     3. Rh
     4. Pd

     정답 : []
     정답률 : 65%
     <문제 해설>
휘발유 자동차의 환원촉매제는 로듐Rh 이다.

★백금Pt, 팔라듐Pd은 산화촉매제
[해설작성자 : 연자]

45. 액측 저항이 클 경우에 이용하기 유리한 가스분산형 흡수장치는?
     1. 충전탑
     2. 다공판탑
     3. 분무탑
     4. 하이드로필터

     정답 : []
     정답률 : 65%
     <문제 해설>
가스분산형 흡수장치의 종류
다공판탑, 단탑, 기포탑, 포종탑 등
[해설작성자 : 이링]

46. 흡수에 의한 가스상 물질의 처리장치로 거리가 먼 것은?
     1. 충전탑
     2. 분무탑
     3. 다공판탑
     4. 활성 알루미나탑

     정답 : []
     정답률 : 57%
     <문제 해설>
활성 알루미나는 작은 구슬모양의 수분제거제입니다. 간단하게 생각하면 물 먹는 하마 안에 있는 가루나 식품 습기제거제로 들어있는 실리카겔과 비슷한 것이라고 생각하면 될 것 같습니다.
활성 알루미나를 구글에 검색해보시면 이해가 더 빠를 것으로 생각됩니다. 추가로 활성 알루미나 = 실리카겔 인 것은 아닙니다. 활성 알루미나는 알루미늄의 물 화합물을 가열 및 탈수하여 만들고, 실리카겔은 SiO2(규산,'규조토'로 많이 알려져 있습니다.)를 합성하여 만든 것입니다.
[해설작성자 : 문제푸는 알파카]

47. 굴뚝(연돌)에서 피토우관을 사용하여 배출가스의 유속을 구하고자 측정한 결과가 아래 [보기]와 같을 때, 이 굴뚝에서의 배출가스 유속은?

    

     1. 약 5m /s
     2. 약 6m /s
     3. 약 7m /s
     4. 약 8m /s

     정답 : []
     정답률 : 61%
     <문제 해설>
유속Vs= C * 루트((2*9.8*5)/1.5) = 8.082903769
[해설작성자 : 옥련]

48. 여과집진장치의 특성으로 옳지 않은 것은?
     1. 다양한 여과재의 사용으로 인하여 설계 시 융통성이 있다.
     2. 여과재의 교환으로 유지비가 고가이다.
     3. 수분이나 여과속도에 대한 적응성이 높다.
     4. 폭발성, 점착성 및 흡습성 먼지의 제거가 곤란하다.

     정답 : []
     정답률 : 67%
     <문제 해설>
3. 수분이나 여과속도에 대한 적응력이 낮음
[해설작성자 : comcbt.com 이용자]

49. 활성탄에 SO2를 흡착시키면 황산이 생성된다. 이를 탈착시키는 방법 중 활성탄 소모나 약산이 생성되는 단점을 극복하기 위해 H2S 또는 CS2를 반응시켜 단체의 S를 생성시키는 방법은?
     1. 세척법
     2. 산화법
     3. 환원법
     4. 촉매법

     정답 : []
     정답률 : 60%
     <문제 해설>
가열법은 비싼 활성탄을 소모하고 세척법은 약산을 생산하므로 쓸모가 적은 점을 감안한 게 환원법이다.
[해설작성자 : 스페이스]

50. 흡수탑의 충전물에 요구되는 사항으로 거리가 먼 것은?
     1. 단위 부피내의 표면적이 클 것
     2. 간격의 단면적이 클 것
     3. 단위 부피의 무게가 가벼울 것
     4. 가스 및 액체에 대하여 내식성이 없을 것

     정답 : []
     정답률 : 69%
     <문제 해설>
4. 가스 및 액체에 대하여 내식성이 있을것.
[해설작성자 : comcbt.com 이용자]

51. 충전탑(Packed Tower)과 단탑(Plate tower)을 비교 설명한 것으로 가장 거리가 먼 것은?
     1. 포말성 흡수액일 경우 충전탑이 유리하다.
     2. 흡수액에 부유물이 포함되어 있을 경우 단탑을 사용하는 것이 더 효율적이다.
     3. 온도 변화에 따른 팽창과 수축이 우려될 경우에는 충전제 손상이 예상되므로 단탑이 유리하다.
     4. 운전 시 용매에 의해 발생되는 용해열을 제거해야 할 경우 냉각오일을 설치하기 쉬운 충전탑이 유리하다.

     정답 : []
     정답률 : 66%
     <문제 해설>
희석열(용해열) 심한 곳에서는 부적합하다.
[해설작성자 : lwj]

용해열을 제거해야 할 경우 단탑에 유리
[해설작성자 : 해즐베이커]

52. 냄새물질의 화학구조에 대한 설명으로 가장 거리가 먼 것은?
     1. 골격이 되는 탄소수는 저분자일수록 관능기 특유의 냄새가 강하고 자극적이나 8~13에서 가장 냄새가 강하다.
     2. 불포화도(2중결합 및 3중결합의 수)가 높으면 냄새가 보다 강하게 난다.
     3. 락톤 및 케톤화합물은 환상이 크게 되면 냄새가 강해진다.
     4. 분자 내 수산기의 수가 증가할수록 냄새가 강하다.

     정답 : []
     정답률 : 75%
     <문제 해설>
4. 분자내 수산기의 수가 1(최소)일때 냄가가 가장 강함, 증가할수록 냄새가 약해짐.
[해설작성자 : comcbt.com 이용자]

53. 직경이 500mm인 관에 60m3/min의 공기가 통과한다면 공기의 이동속도는?
     1. 5.1 m/sec
     2. 5.7 m/sec
     3. 6.2 m/sec
     4. 6.9 m/sec

     정답 : []
     정답률 : 57%
     <문제 해설>
Q=AV
1m3/sec=pi*0.5^2/4*V
V=5.1m/s
[해설작성자 : ???]

유속은 유량/면적
유량은 단위보정해서1m^3/s
면적은 파이D^2/4로써 직경 D에 0.5넣고
구해주면 0.196 M^2나오고
마지막으로 1/0.196=5.1 나옵니다.
[해설작성자 : 불굴의 노력가]

54. 질산공장의 배출가스 중 NO2 농도가 80ppm, 처리가스량이 1000 Sm3 이었다. CO에 의한 비선택적 접촉환원법으로 NO2를 처리하여 NO와 CO2로 만들고자 할 때, 필요한 CO의 양은?
     1. 0.04 Sm3
     2. 0.08 Sm3
     3. 0.16 Sm3
     4. 0.32 Sm3

     정답 : []
     정답률 : 48%
     <문제 해설>
NO2+CO -> NO+CO2
80ppm=80ml/m3
NO2부피=80ml/m3*1000Sm3*10^-6m3/ml
            =0.08Sm3
[해설작성자 : ???]

55. 관성력 집진장치에 관한 설명으로 옳지 않은 것은?
     1. 압력손실은 30~70mmH2O 정도이고, 굴뚝 또는 배관에 적용될 때가 있다.
     2. 곡관형, louver형, pocket형, multibaffle형 등은 반전식에 해당한다.
     3. 함진가스의 방향 전환각도가 크고, 방향 전환횟수가 적을수록 압력손실은 커지나 집진율이 높아진다.
     4. 반전식의 경우 방향전환을 하는 가스의 곡률반경이 작을수록 미세한 먼지를 분리포집할 수 있다.

     정답 : []
     정답률 : 59%
     <문제 해설>
함진가스의 방향 전환각도가 작고, 방향 전환 횟수가 많을수록 압력손실은 커지나 집진율이 높아진다.
[해설작성자 : 해즐베이커]

56. 불화수소농도가 250ppm인 굴뚝 배출가스량 1000Sm3/h를 10m3의 물로 10시간 순환 세정할 경우, 순환수의 pH는? (단, 불화수소는 60%가 전리하고, 불소의 원자량은 19)
     1. 2.18
     2. 2.48
     3. 2.72
     4. 2.94

     정답 : []
     정답률 : 30%
     <문제 해설>
xM : [1000Nm3/hr×250/10^6×10hr×(20×103g/22.4m3)×0.6]/10000L
= 1M : 20g/L
X=6.7×10^-3 M
pH= -log(6.7×10^-3) = 2.17
[해설작성자 : comcbt.com 이용자]

해리된 불화수소의 몰수 = 해리된 수소의 몰수 = 250/10^6 × 1000Sm^3/hr×10hr×(1000 mol/22.4Sm^3)×0.6 = 66.96 mol
수소의 몰농도 = 66.96 / 10000 = 6.7×10^-3 mol/L
비례식을 세우지 않아도 풀 수 있습니다.
[해설작성자 : ㅅㄱㄹ]

57. 먼지의 발생원을 자연적 및 인위적으로 구분할 때, 그 발생원이 다른 것은?
     1. 질소산화물과 탄화수소의 반응에 의해 0.2㎛이하의 입자가 발생한다.
     2. 화산의 폭발에 의해서 분진과 SO2가 발생한다.
     3. 사막지역과 같이 지면의 먼지가 바람에 날릴 경우 통상 0.3㎛ 이상의 입자상 물질이 발생한다.
     4. 자연적으로 발생한 O3과 자연대기 중 탄화수소(HC) 간의 광화학적 기체반응에 의해 0.2㎛ 이하의 입자가 발생한다.

     정답 : []
     정답률 : 60%
     <문제 해설>
1번은 인위적
나머지는 자연적발생
[해설작성자 : 똑충]

58. 송풍기를 원심력형과 축류형으로 분류할 때 다음 중 축류형에 해당하는 것은?
     1. 프로펠러형
     2. 방사경사형
     3. 비행기날개형
     4. 전향날개형

     정답 : []
     정답률 : 59%
     <문제 해설>
축류형
1.프로펠러형
2.원통 축류형
[해설작성자 : lwj]

축류형
프로펠러(디스크)형, 튜브형, 베인형, 고정날개형

원심력형
터보형, 평한(플레이트)형, 다의(시로코)형, 비행기날개형
[해설작성자 : 이링]

59. VOCs의 종류 중 지방족 및 방향족 HC를 처리하기 위해 적용하는 제어기술로 가장 거리가 먼 것은?
     1. 흡수
     2. 생물막
     3. 촉매소각
     4. UV 산화

     정답 : []
     정답률 : 49%
     <문제 해설>
<흡수처리>
-지방족 HC, 방향족 HC 는 처리 가능
-할로겐 HC는 처리 불가
<흡착처리>
-활성탄 주로이용
-극성화합물, 탄화수소류의 흡착특성이 나쁨
<막분리>
-물의 빙점이하에서 운영되는 응축기를 통과시킨다음 유기용제가 우선적으로 침투되는 막모듈을 통과시켜 VOCs 농축
<소각처리>
-배출량 작고 저농도적합
-Cu, Au, Ag, Zn, Cd는 촉매수명 단축
-반응온도 300~400도 , 보조연료 필요없음
<기타>
-냉각응축, 생물여과, 플라즈마및 uv
[해설작성자 : 지니에염]

VOC는 용해도가 낮아서 흡수법은 적당하지 않습니다.
[해설작성자 : 열혈덕배]

흡수법은 극성이며 용해도가 큰 물질에 적용하는데 지방족 및 방향족 HC는 그렇지 아니하여 적용하기 어렵다.
[해설작성자 : 두껍]

60. 여과집진장치의 탈진방식 중 간헐식에 관한 설명으로 옳지 않은 것은?
     1. 연속식에 비하여 먼지의 재비산이 적고, 높은 집진율을 얻을 수 있다.
     2. 대량의 가스의 처리에 적합하며, 점성있는 조대먼지의 탈진에 효과적이다.
     3. 간헐식 중 진동형은 여포의 음파진동, 횡진동, 상하진동에 의해 포집된 먼지층을 털어내는 방식이다.
     4. 집진실을 여러 개의 방으로 구분하고 방 하나씩 처리가스의 흐름을 차단하여 순차적으로 탈진하는 방식이며, 여포의 수명은 연속식에 비해 길다.

     정답 : []
     정답률 : 71%
     <문제 해설>
간헐식은 조대먼지 탈진과 대량의 가스 처리 둘 다 부적합합니다.
[해설작성자 : dd]

간헐식은 대량가스 부적합 조대먼지 탈진에 효과가 없다
대량가스 적합한건 연속식이다.
[해설작성자 : 물쌤제자]

4과목 : 대기오염 공정시험기준(방법)


61. 이온크로마토그래프법(Ion Chromatography)에 사용되는 장치에 관한 설명으로 옳지 않은 것은?
     1. 용리액조는 이온성분이 용출되지 않는 재질로서 용리액이 공기와 원활한 접촉이 가능한 개방형을 선택한다.
     2. 송액펌프는 맥동이 적은 것을 선택한다.
     3. 시료주입장치는 일정량의 시료를 밸브조작에 의해 분리관으로 주입하는 루프주입방식이 일반적이다.
     4. 검출기는 분리관 용리액 중의 시료성분의 유무와 양을 검출하는 부분으로 일반적으로 전도도 검출기를 많이 사용한다.

     정답 : []
     정답률 : 65%
     <문제 해설>
용리액조는 이온성분이 용출되지 않는 재질로서 용리액을 직접 공기와 접촉시키지 않는 밀폐된 것을 선택한다.
[해설작성자 : 봄이콩이]

62. 특정 발생원에서 일정한 굴뚝을 거치지 않고 외부로 비산 배출되는 먼지를 고용량공기시료채취법으로 측정하는 방법에 관한 설명으로 옳지 않은 것은?
     1. 시료채취장소는 원칙적으로 측정하려고 하는 발생원의 부지경계선상에 선정 하며 풍향을 고려하여 그 발생원의 비산먼지 농도가 가장 높을 것으로 예상되는 지점 3개소 이상을 선정한다.
     2. 시료채취장소 별도로 발생원의 위(Upstream)인 바람의 방향을 따라 대상 발생원의 영향이 없을 것으로 추측되는 곳에 대조위치를 선정한다.
     3. 그 지역을 대표할 수 있는 지점에 풍향풍속계를 설치하여 전 채취시간 동안의 풍향풍속을 기록하고, 연속기록 장치가 없을 경우에는 적어도 30분 간격으로 여러지점에서 3회 이상 풍향풍속을 측정하여 기록한다.
     4. 풍속이 0.5m/s 미만 또는 10m/s 이상되는 시간이 전 채취시간의 50% 미만일 때 풍속에 대한 보정계수는 1.0이다.

     정답 : []
     정답률 : 67%
     <문제 해설>
적어도 10분 간격으로 같은 지점에서 3회 이상 측정

63. 폐기물 소각로에서 배출되는 다이옥신류의 최종배출구에서 시료채취 시 흡인가스량으로 가장 적합한 것은? (단, 기타사항은 고려하지 않는다.)(관련 규정 개정전 문제로 여기서는 기존 정답인 1번을 누르면 정답 처리됩니다. 자세한 내용은 해설을 참고하세요.)
     1. 4시간 평균 3Nm3 이상
     2. 2시간 평균 1Nm3 이상
     3. 2시간 평균 0.5Nm3 이상
     4. 4시간 평균 2Nm3 이상

     정답 : []
     정답률 : 62%
     <문제 해설>
20년 이후 개정되어 동일한 문제는 출제되지 않음
[해설작성자 : 모두합격기원]

64. 굴뚝 배출가스 내의 시안화수소 분석방법 중 질산은 적정법에서 분석용 시료용액에 수산화소듐용액(질량분율 2%) 또는 아세트산(부피분율 10%)을 첨가하여 pH미터를 써서 pH를 조절한 후 적정하여야 하는데 이 때 조절하고자 하는 pH 값은?(관련 규정 개정전 문제로 여기서는 기존 정답인 4번을 누르면 정답 처리됩니다. 자세한 내용은 해설을 참고하세요.)
     1. 5~6
     2. 7
     3. 8~10
     4. 11~12

     정답 : []
     정답률 : 64%
     <문제 해설>
공정시험법 개정(21.09)로 삭제
[해설작성자 : comcbt.com 이용자]

65. 기체크로마토그래피법에 관한 설명으로 옳지 않은 것은?
     1. 분리관오븐의 온도조절 정밀도는 ±0.5℃의 범위 이내 전원 전압변동 10%에 대하여 온도변화 ±0.5℃ 범위 이내(오븐의 온도가 150℃ 부근일 때)이어야 한다.
     2. 보유시간을 측정할 때는 2회 측정하여 그 평균치를 구하며 일반적으로 5~30분 정도에서 측정하는 피이크의 보유시간은 반복시험을 할 때 ±5% 오차범위 이내이어야 한다.
     3. 분리관유로는 시료도입부, 분리관, 검출기기배관으로 구성된다.
     4. 가스 시료도입부는 가스계량관(통상 0.5mL~5mK)과 유로변환기구로 구성된다.

     정답 : []
     정답률 : 73%
     <문제 해설>
보유시간을 측정할 때는 3회 측정하여 그 평균치를 구하며,일반적으로 5~30분 정도에서 측정하는 봉우리의 보유시간은 반복시험을 할 때 ±3% 오차범위 이내이어야 한다.
[해설작성자 : 봄이콩이]

66. 원형굴뚝의 반경이 0.85m일 때 측정점 수는 몇 개인가?
     1. 4
     2. 8
     3. 12
     4. 20

     정답 : []
     정답률 : 67%
     <문제 해설>
반경0.85m=직경1.7m

굴뚝직경과 측정점수:
1이하-4 / 1초과2이하-8 / 2초과4이하-12 / 4초과4.5이하-16 / 4.5초과-20
[해설작성자 : ???]

67. 굴뚝 배출가스 중 일산화탄소를 정전위전해법으로 분석하고자 할 때 주요 성능기준에 관한 설명으로 옳지 않은 것은?(관련 규정 개정전 문제로 여기서는 기존 정답인 1번을 누르면 정답 처리됩니다. 자세한 내용은 해설을 참고하세요.)
     1. 적용범위 : 적용범위는 최고 5% 이다.
     2. 드리프트 : 재현성은 측정범위 최대 눈금값의 ±2% 이내로 한다.
     3. 드리프트 : 고정형은 24시간, 이동형은 4시간 연속 측정하여 제로 드리프트 및 스팬드리프트는 어느 것이나 최대 눈금값의 ±2% 이내로 한다.
     4. 응답시간 : 90% 응답 시간은 2분 30초 이내로 한다.

     정답 : []
     정답률 : 72%
     <문제 해설>
적용범위 : 적용범위는 최고 3%이다.
[해설작성자 : YJ]

시험 기준 개정으로 4번도 옳지 않은 보기임.
정전위 전해법 응답시간 : 95% 응답 시간은 5분이내로 한다. (2020년 기준)
[해설작성자 : 여비]

68. 다음 중 흡광도를 측정하기 위한 순서로 원칙적으로 제일 먼저 행하여야 할 행위는?
     1. 시료셀과 대조셀을 넣고 눈금판의 지시치의 차이를 확인한다.
     2. 광로를 차단 후 대조셀로 영점을 맞춘다.
     3. 광원으로부터 광속을 통하여 눈금 100에 맞춘다.
     4. 눈금판의 지시 안정 여부를 확인한다.

     정답 : []
     정답률 : 71%
     <문제 해설>
안정후 영점
[해설작성자 : 공부하는짱구]

69. 수산화소듐(NaOH)용액을 흡수액으로 사용하는 분석대상가스가 아닌 것은?
     1. 염화수소
     2. 브롬화합물
     3. 불소화합물
     4. 벤젠

     정답 : []
     정답률 : 67%
     <문제 해설>
수산화소듐 용액을 흡수액으로 사용하는 가스.
> 염.불.시.페.브.소
염화수소/불소화합물/시안화수소/페놀/브롬화합물/비소

불소화합물은 수산화소듐 용액을 사용.
[해설작성자 : 봄이콩이]

70. 굴뚝 배출가스 중의 염화수소를 싸이오안산제2수은 자외선/가시선분광법으로 측정하는 방법에 관한 설명으로 옳지 않은 것은?
     1. 흡수액은 수산화소듐용액을 사용한다.
     2. 이산화황, 기타 할로겐화물, 시안화물 및 황화물의 영향이 무시될 때 적당하다.
     3. 하이포염소산소듐용액으로 적정한다.
     4. 시료채취관은 유리관, 석영관, 불소수지관 등을 사용한다.

     정답 : []
     정답률 : 51%
     <문제 해설>
3. 자외선/가시분광법(흡광광도법)은 적정하지 않는다
[해설작성자 : 나도해설!]

하이포아염소산소듐 용액으로 적정하는건 염소를 오르토톨리딘법으로 분석할때이다.
[해설작성자 : 용블리]

71. 굴뚝 배출가스 내의 휘발성유기화합물(Volatile Organic Compounds, VOCs) 시료채취장치 중 흡착관법에 관한 설명으로 가장 거리가 먼 것은?
     1. 채취관의 재질은 유리, 불소수지 등으로 120℃ 이상까지 가열이 가능한 것 이어야 한다.
     2. 응축기는 유리재질이어야 하며 앞쪽 흡착관을 통과한 후에 위치하여 가스를 50℃ 이하로 낮출 수 있는 용량이어야 한다.
     3. 흡착관은 사용하기 전 반드시 안정화(컨디셔닝) 단계를 거쳐야 한다.
     4. 유량측정부는 기기의 온도 및 압력측정이 가능해야 하며 최소 100mL/min의 유량으로 시료채취가 가능해야 한다.

     정답 : []
     정답률 : 50%
     <문제 해설>
응축기는 유리재질이어야 하며 앞쪽 흡착관을 통과한 후에 위치하여 가스를 20℃ 이하로 낮출 수 있는 용량이어야 한다.
[해설작성자 : 봄이콩이]

아래와 같은 오류 신고가 있었습니다.
여러분들의 많은 의견 부탁 드립니다.
추후 여러분들의 의견을 반영하여 정답을 수정하도록 하겠습니다.
참고로 정답 변경은 오류 신고 5회 이상일 경우 수정합니다.

[오류 신고 내용]
응축기는 유리재질이고 앞쪽 흡착관 '통과전'에 가스를 20°C이하로 낮출수있어야 한다.
[해설작성자 : comcbt.com 이용자]

[추가 오류 신고]
2. 응축기 및 응축수 트랩 : 응축기 및 응축수 트랩은 유리재질이어야 하며, 응축기는 가스가 앞 쪽 흡착관을 통과하기 전 기체를 20도 이하로 낮출수 있는 부피여야한다.
[해설작성자 : 왤케안외워지냐ㅜ.ㅜ]

72. 굴뚝배출 가스 내의 염소가스 분석방법 중 오르토톨리딘법에 관한 설명으로 옳은 것은?
     1. 염소표준 착색액으로 요오드산 칼륨용액을 사용한다.
     2. 염소표준용액은 N/100 KMnO4 용액으로 표정한다.
     3. 시료는 1L/min의 흡인속도로 채취한다.
     4. 약 20℃에서 5~20분 사이에 분석용 시료를 10mm 셀에 취한다.

     정답 : []
     정답률 : 37%
     <문제 해설>
1. 염소표준 착색액으로 차아염소산나트륨(하이포염소산소듐)을 사용한다.
2. 염소표준용액은 0.1N-티오황산나트륨(싸이오황산소듐) 용액으로 표정한다.
3. 시료는 100mL/min의 흡인속도로 채취한다.
[해설작성자 : 이링]

73. 환경대기 중 아황산가스 농도 측정방법 중 자동연속측정법은?
     1. 비분산 적외선 분석법
     2. 수소염 이온화 검출기법
     3. 광 산란법
     4. 자외선 형광법

     정답 : []
     정답률 : 58%
     <문제 해설>
수동 및 반자동
파라로자닐린법(주시험방법), 산정량 수동법, 산정량 반자동법

자동연속 측정
용액전도율법, 자외선 형광법(주시험 방법), 불꽃광도법, 흡광차분광법
[해설작성자 : 이링]

74. 환경대기 중 벤조(a)피렌 농도를 측정하기 위한 주시험방법으로 가장 적합한 것은?
     1. 이온크로마토그래프법
     2. 가스크로마토그래프법
     3. 흡광차분광법
     4. 용매포집법

     정답 : []
     정답률 : 59%
     <문제 해설>
가스크로마토그래피.형광분광광도법이있는데 기체크로마토그래피가 주시험방법
[해설작성자 : 공정공정]

75. 다음은 굴뚝 배출가스 중의 산소측정방식에 관한 설명이다. 가장 적합한 것은?

    

     1. 질코니아 방식
     2. 담벨형 방식
     3. 압력검출형 방식
     4. 전극 방식

     정답 : []
     정답률 : 71%
     <문제 해설>
배(압)변화량 검출 ~> 압력검출형
[해설작성자 : 역동]

76. 다음은 굴뚝 배출가스 중 베릴륨 분석방법에 관한 설명이다. ( )안에 알맞은 것은?(관련 규정 개정전 문제로 여기서는 기존 정답인 3번을 누르면 정답 처리됩니다. 자세한 내용은 해설을 참고하세요.)

    

     1. ㉠ 황산, ㉡ 4-메틸-2펜타논
     2. ㉠ 황산, ㉡ 디티존사염화탄소용액(0.005W/V%)
     3. ㉠ 질산, ㉡ 4-메틸-2펜타논
     4. ㉠ 질산, ㉡ 디티존사염화탄소용액(0.005W/V%)

     정답 : []
     정답률 : 56%
     <문제 해설>
삭제된 내용입니다
[해설작성자 : 리선직]

77. 굴뚝 배출가스 중의 금속화합물을 원자흡수분광광도법으로 분석할 때 굴뚝 배출가스의 온도가 500~1000℃일 경우에 사용하는 원통여과지로 가장 적합한 것은?(오류 신고가 접수된 문제입니다. 반드시 정답과 해설을 확인하시기 바랍니다.)
     1. 유리 섬유제 원통여과지
     2. 석영 섬유제 원통여과지
     3. 설룰로스 섬유제 원통여과지
     4. 고무 섬유제 원통여과지

     정답 : []
     정답률 : 58%
     <문제 해설>
1. 유리 섬유제 원통여과지 : 500℃ 이하
2. 석영 섬유제 원통여과지 : 1000℃ 이하
3. 셀룰로오스 섬유제 원통여과지 : 120℃ 이하

아래와 같은 오류 신고가 있었습니다.
여러분들의 많은 의견 부탁 드립니다.
추후 여러분들의 의견을 반영하여 정답을 수정하도록 하겠습니다.
참고로 정답 변경은 오류 신고 5회 이상일 경우 수정합니다.

[오류 신고 내용]
기준 개정으로 해당 내용은 삭제됨.
[해설작성자 : Ba]

[추가 오류 신고]
삭제됨
[해설작성자 : comcbt.com 이용자]

[관리자 입니다.
문제지 사진원본 확인해 봤는데
정답은 2번이네요.
관련 규정이 개정 되었을 경우 개정된 법령집 내용 및 링크 삽입부탁 드립니다.
그외 다른 문제집 확인 가능한분 계시면 확인 부탁 드립니다.
신고시 출판사명까지 기제 부탁 드립니다.]

78. A 굴뚝 배출가스의 유속을 피토우관으로 측정하였다. 배출가스 온도는 120℃, 동압측정 시 확대율이 10배되는 경사 마노미터를 사용하였고, 그 내부액은 비중이 0.85의 톨루엔을 사용하여 경사마노미터의 액주로 측정한 동압은 45mm·톨루엔주 이었다. 이 때의 배출가스 유속은? (단, 피토우관의 계수 : 0.9594, 배출가스의 표준상태에서의 밀도 : 1.3kg/Sm3)
     1. 약 7.8 m/s
     2. 약 8.7 m/s
     3. 약 9.5 m/s
     4. 약 10.2 m/s

     정답 : []
     정답률 : 49%
     <문제 해설>
1. 톨루엔주 -> mmH2O
(A물질의 액주)*(A물질의 비중)/동압측정확대율
=45mm톨루엔주*0.85/10배 = 3.825mmH2O
2. 배출가스 표준상태에서 밀도를 온도보정
1.3kg/Sm3/((273+120)/273)=0.9031kg/m3
3. 배출가스 유속
V=c(2gh/Y)^(0.5)
= 0.9594*((2*9.8*3.825)/0.9031)^(0.5)
= 8.74m/s
[해설작성자 : MiL]

79. 자외선/가시선분광법으로 측정한 A물질의 투과퍼센트 지시치가 25%일 때 A물질의 흡광도는?
     1. 0.25
     2. 0.50
     3. 0.60
     4. 0.82

     정답 : []
     정답률 : 65%
     <문제 해설>
흡광도 =             1    
                    log ----        
                            0.25

80. 굴뚝 배출가스 중 카드뮴을 원자흡수분광광도법(원자흡광광도법)으로 분석하려고 한다. 채취한 시료에 유기물이 함유되지 않았을 경우 분석용 시료용액의 전처리방법으로 가장 적합한 것은?
     1. 질산법
     2. 과망간산칼륨법
     3. 질산-과산화수소수법
     4. 저온회화법

     정답 : []
     정답률 : 54%
     <문제 해설>
1. 타르 기타 소량의 유기물을 함유하는 것 - (처리방법):질산-염산법, 질산-과산화수소법, 마이크로산분해법
2. 유기물을 함유하지 않은 것 - (처리방법): 질산법, 마이크로산분해법
3. 셀룰로스 섬유제 필터를 사용한 것 - (처리방법) : 저온회화법
[해설작성자 : 봄이콩이]

81. 환경정책기본법령상 SO2의 대기환경기준으로 옳은 것은? (단, ㉠ 연간평균치, ㉡ 24시간평균치, ㉢ 1시간평균치)
     1. ㉠ 0.02ppm 이하, ㉡ 0.05ppm 이하, ㉢ 0.15ppm 이하
     2. ㉠ 0.03ppm 이하, ㉡ 0.06ppm 이하, ㉢ 0.10ppm 이하
     3. ㉠ 0.05ppm 이하, ㉡ 0.10ppm 이하, ㉢ 0.12ppm 이하
     4. ㉠ 0.06ppm 이하, ㉡ 0.1ppm 이하, ㉢ 0.12ppm 이하

     정답 : []
     정답률 : 66%

82. 대기환경보전법규상 자동차의 종류에 대한 설명으로 틀린 것은? (단, 2015년 12월 10일 이후 적용)
     1. 이륜자동차의 규모는 차량총중량이 1천킬로그램을 초과하지 않는 것이다.
     2. 이륜자동차는 측차를 붙인 이륜자동차와 이륜자동차에서 파생된 삼륜 이상의 자동차는 제외한다.
     3. 소형화물자동차에는 승용자동차에 해당되지 않는 승차인원이 9인 이상인 승합차를 포함한다.
     4. 초대형 승용자동차의 규모는 차량총중량이 15톤 이상이다.

     정답 : []
     정답률 : 69%
     <문제 해설>
2번 '제외' -> '포함'

83. 대기환경보전법령상 천재지변 등으로 인해 기본부과금을 납부할 수 없다고 인정되어 징수유예를 하고자 하는 경우 ㉠ 징수유예기간 과 ㉡ 그 기간중의 분할납부의 횟수는?
     1. ㉠ 유예한 날의 다음날부터 다음 부과기간의 개시일 전일까지, ㉡ 4회 이내
     2. ㉠ 유예한 날의 다음날부터 2년 이내, ㉡ 12회 이내
     3. ㉠ 유예한 날의 다음날부터 3년 이내, ㉡ 12회 이내
     4. ㉠ 유예한 날의 다음날부터 다음 부과기간의 개시일 전일까지, ㉡ 6회 이내

     정답 : []
     정답률 : 49%
     <문제 해설>
기본부과금- 개시일 전일까지, 4회이내
초과부과금-2년이내, 12회이내
징수유예기간 연장-3년이내, 18회이내
[해설작성자 : iamyue]

84. 악취방지법규상 지정악취물질에 해당하지 않는 것은?
     1. 염화수소
     2. 메틸에틸케톤
     3. 프로피온산
     4. 뷰틸아세테이트

     정답 : []
     정답률 : 64%

85. 대기환경보전법상 '대기오염물질'의 정의로서 가장 적합한 것은?
     1. 연소시에 발생하는 유리탄소를 주로 하는 미세한 입자상물질로서 환경부령이 정하는 것
     2. 연소시에 발생하는 유리탄소가 응결하여 입자의 지름이 1미크론 이상이 되는 물질로서 환경부령이 정하는 것
     3. 대기 중에 존재하는 물질 중 대기오염물질에 대한 심사·평가결과 대기오염의 원인으로 인정된 가스·입자상물질로서 환경부령으로 정하는 것
     4. 물질의 연소·합성·분해 시에 발생하는 고체상 또는 액체상의 물질로서 환경부령이 정하는 것

     정답 : []
     정답률 : 72%
     <문제 해설>
대기환경보전법
제2조(정의) 이 법에서 사용하는 용어의 뜻은 다음과 같다.    

1. "대기오염물질"이란 대기 중에 존재하는 물질 중 제7조에 따른 심사ㆍ평가 결과 대기오염의 원인으로 인정된 가스ㆍ입자상물질로서 환경부령으로 정하는 것을 말한다.
[해설작성자 : ???]

86. 대기환경보전법규상 특정대기유해물질에 해당하지 않는 것은?
     1. 수은 및 그 화합물
     2. 아세트알데히드
     3. 황산화물
     4. 아닐린

     정답 : []
     정답률 : 51%
     <문제 해설>
황산화물은 일반오염물질에 포함된다
[해설작성자 : 쌍기사 가자]

87. 대기환경보전법상 대기환경규제지역을 관할하는 시·도지사 등은 그 지역이 대기환경규제지역으로 지정·고시된 후 몇 년 이내에 그 지역의 환경기준을 달성·유지하기 위한 계획을 수립·시행하여야 하는가?
     1. 5년 이내에
     2. 3년 이내에
     3. 2년 이내에
     4. 1년 이내에

     정답 : []
     정답률 : 31%
     <문제 해설>
아래와 같은 오류 신고가 있었습니다.
여러분들의 많은 의견 부탁 드립니다.
추후 여러분들의 의견을 반영하여 정답을 수정하도록 하겠습니다.
참고로 정답 변경은 오류 신고 5회 이상일 경우 수정합니다.

[오류 신고 내용]
삭제된 내용입니다
[해설작성자 : 리선직]

88. 대기환경보전법규상 한국환경공단이 환경부장관에게 보고해야할 위탁업무 보고사항 중'자동차 배출가스 인증생략 현황'의 보고 횟수 기준은?
     1. 수시
     2. 연 1회
     3. 연 2회
     4. 연 4회

     정답 : []
     정답률 : 58%
     <문제 해설>
<위탁업무 보고사항(업무내용-보고횟수-보고기일>
수시검사, 결함확인 검사, 부품결함 보고서류의 접수- 수시- 위반사항 적발 시
결함확인검사 결과- 수시- 위반사항 적발 시
자동차 배출가스 인증생략 현황- 연2회- 매 반기 종료 후 15일 이내
자동차 시험검사 현황- 연 1회- 다음 해 1월 15일까지
[해설작성자 : 두껍]

89. 대기환경보전법령상 Ⅲ지역(녹지지역 및 자연환경보전지역)의 기본부과금의 지역별 부과계수는?
     1. 0.5
     2. 1.0
     3. 1.5
     4. 2.0

     정답 : []
     정답률 : 66%
     <문제 해설>
1지역 1.5 / 2지역 0.5 / 3지역 1
[해설작성자 : ???]

90. 다음은 대기환경보전법규상 첨가제 제조기준이다. ( )안에 알맞은 것은?

    

     1. ㉠ 10% 이상, ㉡ 5% 이상
     2. ㉠ 5% 이상, ㉡ 5% 이상
     3. ㉠ 5% 이상, ㉡ 3% 이상
     4. ㉠ 5% 이상, ㉡ 1% 이상

     정답 : []
     정답률 : 53%

91. 다중이용시설 등의 실내공기질 관리법령상 대통령령이 정하는 규모의 다중 이용시설에 해당되지 않는 것은?
     1. 여객자동차터미널의 연면적 2천2백제곱미터인 대합실
     2. 공항시설 중 연면적 1천1백제곱미터인 여객터미널
     3. 철도역사의 연면적 2천2백제곱미터인 대합실
     4. 모든 지하역사

     정답 : []
     정답률 : 68%
     <문제 해설>
1. 여객자동차터미널의 연면적 "2천제곱미터" 이상인 대합실
2. 공항시설 중 연면적 "1천5백제곱미터" 이상인 여객터미널 -> 1500 이하이므로 오답
3. 철도역사의 연면적 "2천제곱미터" 이상인 대합실
4. 모든 지하역사(출입통로,대합실,승강장 및 환승통로와 이에 딸린 시설 포함)
[해설작성자 : C.J.H]

92. 대기환경보전법령상 초과부과금 산정의 기초가 되는 오염물질 또는 배출물질의 배출기간이 달라지게 된 경우 초과부과금의 조정부과나 환급은 해당 배출시설 또는 방지시설의 개선완료 등의 이행여부를 확인한 날로부터 최대 며칠 이내에 하여야 하는가?
     1. 7일 이내
     2. 15일 이내
     3. 30일 이내
     4. 60일 이내

     정답 : []
     정답률 : 48%

93. 대기환경보전법규상 자동차 연료 제조기준 중 매년 6월 1일부터 8월 31일까지 출고되는 휘발유의 증기압(kPa, 37.8℃) 기준으로 옳은 것은?
     1. 100 이하
     2. 80 이하
     3. 65 이하
     4. 60 이하

     정답 : []
     정답률 : 32%

94. 환경정책기본법령상 환경기준으로 옳은 것은? (단, ㉠, ㉡은 대기환경기준, ㉢, ㉣은 수질 및 수생태계'하천'에서의 사람의 건강보호기준)

    

     1.
     2.
     3.
     4.

     정답 : []
     정답률 : 54%
     <문제 해설>
ㄱ - 0.1 ppm
ㄴ - 0.1 ppm
ㄷ - 0.005 mg/L

95. 다중이용시설 등의 실내공기질 관리법상 다중이용시설을 설치하는 자는 환경부장관이 고시한 오염물질방출건축자재를 사용하여서는 안 되는데, 이 규정을 위반하여 사용한 자에 대한 과태료 부과기준으로 옳은 것은?
     1. 1천만원 이하의 과태료에 처한다.
     2. 500만원 이하의 과태료에 처한다.
     3. 300만원 이하의 과태료에 처한다.
     4. 100만원 이하의 과태료에 처한다.

     정답 : []
     정답률 : 48%
     <문제 해설>
다중이용시설등의 실내공기질 관리법
제16조(과태료)
①다음 각호의 1에 해당하는 자는 1천만원 이하의 과태료에 처한다.
1. 제5조의 규정을 위반하여 공기질 유지기준을 지키지 아니한 자
2. 제11조제2항의 규정을 위반하여 오염물질방출건축자재를 사용한 자
[해설작성자 : MiL]

96. 다중이용시설 등의 실내공기질 관리법규상 신축공동주택의 오염물질 항목별 실내공기질 권고기준으로 옳지 않은 것은?
     1. 폼알데하이드 : 300㎍/m3 이하
     2. 에틸벤젠 : 360㎍/m3 이하
     3. 자일렌 : 700㎍/m3 이하
     4. 벤젠 : 30㎍/m3 이하

     정답 : []
     정답률 : 67%
     <문제 해설>
210 이하

폼알데하이드 : 210㎍/m3 이하
[해설작성자 : 수질환경기사]

97. 대기환경보전법령상 연료를 연소하여 황산화물을 배출하는 시설의 기본부과금의 농도별 부과계수로 옳은 것은? (단, 연료의 황함유량(%)은 1.0% 이하, 황산화물의 배출량을 줄이기 위하여 방지시설을 설치한 경우와 생산 공정상 황산화물의 배출량이 줄어든다고 인정하는 경우 제외)
     1. 0.1
     2. 0.2
     3. 0.4
     4. 1.0

     정답 : []
     정답률 : 64%
     <문제 해설>
0.5 이하 - 0.2
1.0 이하 - 0.4
1.0 초과 - 1.0
[해설작성자 : 뿌엥]

98. 대기환경보전법규상 수도권대기환경청장, 국립환경과학원장 또는 한국환경공단이 설치하는 대기오염 측정망에 해당하지 않는 것은?
     1. 대기오염물질의 지역배경농도를 측정하기 위한 교외대기측정망
     2. 산성 대기오염물질의 건성 및 습성 침착량을 측정하기 위한 산성강하물측정망
     3. 도시지역의 휘발성유기화합물 등의 농도를 측정하기 위한 광화학대기오염물질측정망
     4. 도시지역의 대기오염물질 농도를 측정하기 위한 도시대기측정망

     정답 : []
     정답률 : 67%
     <문제 해설>
도시대기측정망은 시도지사가 설치하는 대기오염 측정망의 종류에 포함
[해설작성자 : 쌍기사 가자]

99. 대기환경보전법규상 환경기술인의 신규교육시기와 횟수 기준은? (단, 규정된 교육기관이며, 정보통신매체를 이용하여 원격교육을 하는 경우 제외)
     1. 환경기술인으로 임명된 날부터 6개월 이내에 1회
     2. 환경기술인으로 임명된 날부터 1년 이내에 1회
     3. 환경기술인으로 임명된 날부터 2년 이내에 1회
     4. 환경기술인으로 임명된 날부터 3년 이내에 1회

     정답 : []
     정답률 : 66%
     <문제 해설>
신규교육-1년이내 1회
보수교육-3년마다 1회
[해설작성자 : iamyue]

100. 대기환경보전법상 방지시설을 거치지 아니하고 오염물질을 배출할 수 있는 공기조절장치, 가지배출관 등을 설치한 행위를 한 자에 대한 벌칙기준으로 적합한 것은?(관련 규정 개정전 문제로 여기서는 기존 정답인 3번을 누르면 정답 처리 됩니다. 자세한 내용은 해설을 참고하세요.)
     1. 2년 이하의 징역이나 1천만원 이하의 벌금에 처한다.
     2. 3년 이하의 징역이나 2천만원 이하의 벌금에 처한다.
     3. 5년 이하의 징역이나 3천만원 이하의 벌금에 처한다.
     4. 7년 이하의 징역이나 5천만원 이하의 벌금에 처한다.

     정답 : []
     정답률 : 72%
     <문제 해설>
5년이하 5천만원이하 벌금으로 바뀜(2018년기준)
[해설작성자 : iamyue]


정 답 지

1

2

3

4

5

6

7

8

9

10

11

12

13

14

15

16

17

18

19

20

21

22

23

24

25

26

27

28

29

30

31

32

33

34

35

36

37

38

39

40

41

42

43

44

45

46

47

48

49

50

51

52

53

54

55

56

57

58

59

60

61

62

63

64

65

66

67

68

69

70

71

72

73

74

75

76

77

78

79

80

81

82

83

84

85

86

87

88

89

90

91

92

93

94

95

96

97

98

99

100

대기환경기사 필기 기출문제(해설) 및 CBT 2016년10월01일을 이용해 주셔서 감사합니다.
, 필기, 기출문제, 전자문제집, CBT, 온라인, 모의테스트, 모의고사



List of Articles
번호 제목 글쓴이 날짜 조회 수
7489 산림기사 필기 기출문제(해설) 및 CBT 2005년03월06일(320) 좋은아빠되기 2025.11.25 2
7488 산림기사 필기 기출문제(해설) 및 CBT 2004년08월08일(319) 좋은아빠되기 2025.11.25 4
7487 산림기사 필기 기출문제(해설) 및 CBT 2004년05월23일(318) 좋은아빠되기 2025.11.25 2
7486 산림기사 필기 기출문제(해설) 및 CBT 2004년03월07일(317) 좋은아빠되기 2025.11.25 4
7485 대기환경기사 필기 기출문제(해설) 및 CBT 2018년09월15일(316) 좋은아빠되기 2025.11.25 2
7484 대기환경기사 필기 기출문제(해설) 및 CBT 2018년04월28일(315) 좋은아빠되기 2025.11.25 4
7483 대기환경기사 필기 기출문제(해설) 및 CBT 2018년03월04일(314) 좋은아빠되기 2025.11.25 2
7482 대기환경기사 필기 기출문제(해설) 및 CBT 2017년09월23일(313) 좋은아빠되기 2025.11.25 4
7481 대기환경기사 필기 기출문제(해설) 및 CBT 2017년05월07일(312) 좋은아빠되기 2025.11.25 2
7480 대기환경기사 필기 기출문제(해설) 및 CBT 2017년03월05일(311) 좋은아빠되기 2025.11.25 4
» 대기환경기사 필기 기출문제(해설) 및 CBT 2016년10월01일(310) 좋은아빠되기 2025.11.25 1
7478 대기환경기사 필기 기출문제(해설) 및 CBT 2016년05월08일(309) 좋은아빠되기 2025.11.25 4
7477 대기환경기사 필기 기출문제(해설) 및 CBT 2016년03월06일(308) 좋은아빠되기 2025.11.25 2
7476 대기환경기사 필기 기출문제(해설) 및 CBT 2015년09월19일(307) 좋은아빠되기 2025.11.25 4
7475 대기환경기사 필기 기출문제(해설) 및 CBT 2015년05월31일(306) 좋은아빠되기 2025.11.25 2
7474 대기환경기사 필기 기출문제(해설) 및 CBT 2015년03월08일(305) 좋은아빠되기 2025.11.25 4
7473 대기환경기사 필기 기출문제(해설) 및 CBT 2014년09월20일(304) 좋은아빠되기 2025.11.25 1
7472 대기환경기사 필기 기출문제(해설) 및 CBT 2014년05월25일(303) 좋은아빠되기 2025.11.25 4
7471 대기환경기사 필기 기출문제(해설) 및 CBT 2014년03월02일(302) 좋은아빠되기 2025.11.25 2
7470 대기환경기사 필기 기출문제(해설) 및 CBT 2013년09월28일(301) 좋은아빠되기 2025.11.25 4
Board Pagination Prev 1 ... 456 457 458 459 460 461 462 463 464 465 ... 835 Next
/ 835