자격증 필기 기출문제



무선설비기사 필기 기출문제(해설) 및 CBT 2014년10월04일(476)

최강 자격증 기출문제 전자문제집 CBT : www.comcbt.com


전자문제집 CBT란?

종이 문제집이 아닌 인터넷으로 문제를 풀고 자동으로 채점하며 모의고사, 오답 노트, 해설까지 제공하는
무료 기출문제 학습 프로그램으로 실제 상설검정에서 사용하는 OMR 형식의 CBT를 제공합니다.


최신 무선설비기사 필기 기출문제 : [다운로드]

1과목 : 디지털 전자회로


1. 다음 중 스위칭 정전압 회로에 대한 설명으로 틀린 것은?
     1. 스위칭 정전압 회로는 직렬 정전압 회로에 비하여 소형ㆍ경량이나, 트랜지스터의 컬렉터 손실이 크게 되어 효율성이 나쁘다.
     2. 스위칭 정전압 회로를 흔히 SMPS(Switching Mode Power Supply)라고 부르기도 한다.
     3. 직렬 정전압 회로와 차이점은 제어 트랜지스터가 연속적인 전류를 흘리는 것이 아니라 단속(On-Off)적으로 전류를 흘린다.
     4. 스위칭 트랜지스터의 이미터에 흐르는 전류는 펄스 형태로 나타난다.

     정답 : []
     정답률 : 73%

2. 다음 중 아래 그림과 같은 입ㆍ출력 파형 특성을 만족시키는 정류 회로는? (단, 다이오드의 장벽전압은 0.7[V]이고, 변압기의 권선비는 1:1로 가정한다.)

   

     1. 반파정류회로
     2. 중간탭 전파정류회로
     3. 브리지 전파정류회로
     4. 용량성 필터를 갖는 반파정류회로

     정답 : []
     정답률 : 69%

3. 정류회로의 부하에 병렬로 콘덴서를 연결한 용량성 평활회로의 경우 부하저항이 감소하면 리플 전압은 어떻게 변화하는가?
     1. 리플이 증가한다.
     2. 리플이 감소한다.
     3. 리플의 증가와 감소가 반복한다.
     4. 변화가 없다.

     정답 : []
     정답률 : 78%

4. 다음 중 영 바이어스(Zero Bias)된 B급 푸시풀(Push-Pull) 증폭기에서 발생되는 왜곡의 원인으로 가장 적합한 것은?
     1. 주파수 일그러짐
     2. 진폭 일그러짐*
     3. 교차 일그러짐
     4. 위상 일그러짐

     정답 : []
     정답률 : 59%

5. 전압이득이 40[dB]이고 차단주파수가 400[kHz]인 개루프(Open Loop) 증폭기에 부궤환 회로를 사용하여 전압이득이 20[dB]로 감소되었을 경우 폐루프(Closed-Loop) 증폭기의 차단주파수는? (문제 오류로 실제 시험에서는 모두 정답처리 되었습니다. 여기서는 1번을 누르면 정답 처리 됩니다.)
     1. 800[kHz]
     2. 600[kHz]
     3. 400[kHz]
     4. 200[kHz]

     정답 : []
     정답률 : 84%

6. 다음 중 전치 증폭기에 대한 설명으로 틀린 것은?
     1. 출력신호를 1차 증폭시킨다.
     2. 초기신호를 정형한다.
     3. 고출력 증폭용으로 사용된다.
     4. 일반적으로 종단 증폭기에 비해 중폭률이 낮다.

     정답 : []
     정답률 : 65%
     <문제 해설>
전치 증폭기는 고출력 증폭용으로 사용되지 않습니다.
주로 입력 신호를 초기 증폭하거나, 신호의 품질을 개선하는 역할을 합니다.
고출력 증폭기는 주로 출력 단계에서 사용됩니다.
[해설작성자 : KEITH PARK]

7. 다음 중 이상적인 연산증폭기에 대한 설명으로 틀린 것은?
     1. 입력 임피던스는 무한대(∞)이다.
     2. 출력 임피던스는 0이다.
     3. 공통모드제거비(CMRR)는 0이다.
     4. 대역폭이 무한대(∞)이다.

     정답 : []
     정답률 : 77%

8. 다음 그림과 같은 회로에서 결합계수가 0.5이고, 발진주파수가 200[kHz]일 경우 C의 값은 얼마인가? (단, π=3.14이고, L1=L2=1[mH]로 가정한다.)

   

     1. 211.3[μF]
     2. 211.3[pF]
     3. 422.6[μF]
     4. 422.6[pF]

     정답 : []
     정답률 : 77%

9. 다음 중 발진회로를 구성하는 요소가 아닌 것은?
     1. 위상천이회로
     2. 정궤환회로
     3. RC타이밍회로
     4. 감쇄회로

     정답 : []
     정답률 : 65%

10. 다음 중 단측파대 변조 방식의 특징으로 틀린 것은?
     1. 점유주파수 대역폭이 매우 작다.
     2. 복조를 할 경우 반송파의 동기가 필요하다.
     3. 송신출력이 비교적 적어도 된다.
     4. 전송 도중에 복조되는 경우가 있다.

     정답 : []
     정답률 : 78%

11. 다음 중 디지털 변조방식에 대한 설명으로 틀린 것은?
     1. ASK 방식은 반송파의 진폭을 변화시키는 방식으로 장거리 및 대용량 전송에는 적합하지않다.
     2. FSK 방식은 방송파의 주파수를 변화시키는 방식으로 전송로의 영향을 많이 받기 때문에 전송로 상태가 열악한 통신에는 적합하지 않다.
     3. PSK 방식은 반송파의 위상을 변화시키는 방식으로 심볼에러가 우수하고 전송로 등에 의한 레벨 변동에 영향을 적게 받는다.
     4. QAM 방식은 반송파의 진폭과 위상을 상호 변환하여 싣는 방식으로 제한된 전송 대역 내에서 고속 전송에 유리하다.

     정답 : []
     정답률 : 74%

12. 다음 중 펄스에 대한 설명으로 틀린 것은?
     1. 짧은 시간에 전압 또는 전류의 진폭이 급격하게 변화하는 파형이다.
     2. 충격파, 직사각형파, 톱니파, 계단파 등이 있다.
     3. 전압이나 전류의 성분이 양인 양(+)펄스와 음인 음(-)펄스가 있다.
     4. 펄스에는 고조파가 포함되지 않는다.

     정답 : []
     정답률 : 83%

13. 다음 중 단안정 멀티바이브레이터에 대한 설명으로 틀린 것은?
     1. 두 증폭단 사이에 AC 결합과 DC 결합이 함께 쓰인다.
     2. 회로의 시정수로 주기가 결정된다.
     3. 정상 상태에서 한 개의 TR이 On이면 다른 TR은 Off이다.
     4. 1개의 펄스가 인가되면 2개의 안정상태를 유지한다.

     정답 : []
     정답률 : 76%

14. 2진수 1110을 2의 보수로 변환한 것으로 맞는 것은?
     1. 1010
     2. 1110
     3. 0001
     4. 0010

     정답 : []
     정답률 : 82%

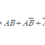
15. 다음 중 부울대수의 정리가 성립되지 않는 것은?
     1. A+B=B+A
     2. AㆍB=A(A+B)
     3. A(B+C)=AB+AC
     4. A+(BㆍC)=(A+B)(A+C)

     정답 : []
     정답률 : 80%

16. JK Flip Flop을 그림과 같이 결선하였을 경우 클럭 펄스가 인가될 때마다 Q의 출력상태는 어떻게 동작하는가?

    

     1. Toggle
     2. Reset
     3. Set
     4. Race 현상

     정답 : []
     정답률 : 77%

17. 10진 BCD 코드를 LED 출력으로 표시하려면 어떤 디코더 드라이브가 필요한가?
     1. BCD-10세그먼트
     2. Octal-10세그먼트
     3. BCD-7세그먼트
     4. Octal-7세그먼트

     정답 : []
     정답률 : 84%

18. 비동기식 5진 계수회로는 최소 몇 개의 플립플롭이 필요한가?
     1. 4
     2. 3
     3. 2
     4. 1

     정답 : []
     정답률 : 83%

19. 다음 그림의 회로명칭은 무엇인가?

    

     1. 반가산기
     2. 반감산기
     3. 전가산기
     4. 전감산기

     정답 : []
     정답률 : 81%

20. 다음 중 디지털 컴퓨터(Digital Computer)의 보조 기억장치가 아닌 것은?
     1. 자기 드럼(Magnetic Drum)
     2. 자기 테이프(Magnetic Tape)
     3. 자기 디스크(Magnetic Disk)
     4. 자기 코어(Magnetic Core)

     정답 : []
     정답률 : 82%

2과목 : 무선통신 기기


21. 다음 중 전력증폭기의 무선 규격과 관련이 없는 것은?
     1. IMD(Intermodulation Distortion) 특성
     2. ACPR(Adjacent Channel Power Ratio) 특성
     3. 1[dB] Compression Point 특성
     4. NF(Noise Figure) 특성

     정답 : []
     정답률 : 72%
     <문제 해설>
NF는 잡음 지수라고 하며, 증폭기에 의해 발생되는 S/N비의 열화 정도를 나타내는 것으로 전력증폭기의 무선규격과는 관련이 없다.
[해설작성자 : Mia]

22. 대역폭이 45[kHz]인 방송 프로그램 신호를 PCM 방식으로 전송하고자 할 때 필요한 최소 표본화 주파수는 얼마인가?
     1. 30[kHz]
     2. 45[kHz]
     3. 90[kHz]
     4. 65[kHz]

     정답 : []
     정답률 : 88%

23. 수신 주파수가 850[kHz]이고 국부발진주파수가 1,305[kHz]일 때 영상주파수는 몇 [kHz]인가?
     1. 790[kHz]
     2. 1,020[kHz]
     3. 1,760[kHz]
     4. 2,155[kHz]

     정답 : []
     정답률 : 85%

24. 다음 중 DSB 방식에 비하여 SSB 방식의 장점으로 틀린 것은?
     1. 송신기의 소비전력이 약 30[%] 정도 줄어든다.
     2. 선택성 페이딩의 영향이 6[dB] 정도 개선된다.
     3. SNR 개선이 첨두 전력이 같을 때 약 12[dB] 정도 개선된다.
     4. 대역폭이 축소되어 주파수 이용률이 개선된다.

     정답 : []
     정답률 : 83%

25. 다음 중 초단파대 이하의 무선송신기에서 종단전력증폭기를 안테나와 결합시킬 경우 주로 π형 결합회로가 사용되는 이유가 아닌 것은?
     1. 반사파가 제거된다.
     2. 정합회로 설계가 용이하다.
     3. 스퓨리어스 발사 억제에 효과적이다.
     4. 멀티밴드(Multi Band) 조정이 용이하다.

     정답 : []
     정답률 : 60%
     <문제 해설>
반사파제거가 xx, 스퓨리어스 제거 oo
[해설작성자 : 또구리]

26. 2진 ASK신호의 전송속도가 1,200[bps]일 경우 보[Baud] 속도는 얼마인가?
     1. 300[Baud/초]
     2. 400[Baud/초]
     3. 600[Baud/초]
     4. 1,200[Baud/초]

     정답 : []
     정답률 : 88%

27. FSK 신호는 정보데이터에 의하여 반송파의 무엇을 변경하여 얻는 신호인가?
     1. 주파수
     2. 위상
     3. 진폭
     4. 위상과 진폭

     정답 : []
     정답률 : 88%

28. 다음 그림은 어떤 변조방식의 성상도를 나타낸 것인가?

    

     1. 16PSK
     2. 16ASK
     3. 16QAM
     4. 16FSK

     정답 : []
     정답률 : 86%

29. 다음 중 선박에서 위성을 이용하여 위치를 측정할 수 있는 장치는?
     1. 로란(LORAN) C
     2. 데카(DECCA)
     3. GPS
     4. RDF

     정답 : []
     정답률 : 90%

30. 다음 중 무선 항법 장치가 아닌 것은?
     1. VOR
     2. DME
     3. ILS
     4. NBDP

     정답 : []
     정답률 : 76%

31. 다음 중 UPS의 구성에 대한 설명으로 옳지 않은 것은?
     1. 입력 필터부 : 고조파 성분을 없애는 장치
     2. 정류부 : 교류전원을 직류전원으로 변환하는 장치
     3. Static 스위치부 : 장비문제로 출력에 전원이 공급되지 않을 경우 출력으로 전원을 공급할 수 있는 비상 전원 공급용 스위치부
     4. 축전지 : 전원을 충전하는 장치

     정답 : []
     정답률 : 86%
     <문제 해설>
보기의 4가지 모두 UPS의 구성요소에 해당한다. 다만, 3번의 설명에서 장비 문제로 출력에 전원이 공급되지 않을 때 "입력 부분이 아닌" 출력 부분으로 전원을 공급해주는 비상 전원 공급 장치이다.
[해설작성자 : 민재mk]

32. 다음 중 정류회로의 특성에 관한 설명이 잘못된 것은?
     1. 전압변동률은 부하전류가 커지면 커질수록 증가하게 된다
     2. 맥동률은 부하전류가 작아지면 작을수록 감소하게 된다.
     3. 파형률은 백분율로 하지 않으며, 부하전류가 증가하면 커진다.
     4. 정류효율의 값이 크면 교류가 직류로 변환되는 과정에서 손실이 적게 된다.

     정답 : []
     정답률 : 79%

33. 다음 중 납 축전지의 단자 전압 변화 원인으로 옳은 것은?
     1. 외부 충격
     2. 단자 접촉 불량
     3. 전해액의 비중
     4. 양극판 재질

     정답 : []
     정답률 : 86%

34. 다음 중 정류회로의 전압 변동 원인으로 적합하지 않은 것은?
     1. 오랜 사용 기간
     2. 부하 변동
     3. 교류 입력전압 변동
     4. 온도에 따른 소자 특성 변화

     정답 : []
     정답률 : 77%

35. 전원장치에 사용되는 평활회로의 역할을 무엇인가?
     1. 저역여파기
     2. 고역여파기
     3. 대역여파기
     4. 대역소거여파기

     정답 : []
     정답률 : 80%

36. 다음 중 AM 송신기의 전력측정 방법으로 적합하지 않은 것은?
     1. 공중선의 실효 저항에 의한 측정
     2. 볼로미터 브리지에 의한 전력측정
     3. 의사 공중선을 사용하는 방법
     4. 전구 부하에 의한 방법

     정답 : []
     정답률 : 84%

37. 희망신호 근처에 방해파가 있을 경우 수신기의 감도가 저하되는 현상을 무엇이라 하는가?
     1. 혼변조
     2. 상호변조
     3. 감도억압효과
     4. 스퓨리어스 레스폰스

     정답 : []
     정답률 : 58%

38. 기준 안테나로 무손실 반파장 다이폴 안테나와 등방성 안테나를 사용하여 피측정 안테나의 이득을 측정한 경우 각각의 이득을 무엇이라고 하는가?
     1. 상대이득, 절대이득
     2. 상대이득, 지상이득
     3. 절대이득, 지상이득
     4. 절대이득, 상대이득

     정답 : []
     정답률 : 83%

39. 정류회로에서 평균값을 지시하는 가동코일형 직류 전압계를 이용하여 직류 전압을 측정한 결과값이 100[V]이고, 실효값을 지시하는 전류력계형 전압계를 이용하여 교류 전압을 측정한 결과값이 2[V]일 경우 리플률은 몇 [%]인가?
     1. 1[%]
     2. 2[%]
     3. 4[%]
     4. 10[%]

     정답 : []
     정답률 : 84%

40. 단상 전파 정류회로의 직류 출력전압과 직류 출력전력은 단상 반파 정류 회로와 비교하여 각각 몇 배인가?
     1. 1배, 2배
     2. 1배, 4배
     3. 2배, 2배
     4. 2배, 4배

     정답 : []
     정답률 : 84%

3과목 : 안테나 공학


41. 다음 지문에서 설명하는 두 개의 법칙으로 맞는 것은?

    

     1. 옴의 법칙, 나이퀘스트 정의
     2. 델린저 현상, 페이딩
     3. 패러데이 법칙, 렌츠의 법칙
     4. 암페어의 오른나사 법칙, 렌츠의 법칙

     정답 : []
     정답률 : 86%

42. 다음 중 전자파에 대한 설명으로 틀린 것은?
     1. 전계와 자계가 이루는 평면에 수직으로 진행하는 파진
     2. 동 방향에 평행인 방향으로 진행하는 파
     3. 전계와 자계가 서로 얽혀 고리 모양으로 진행하는 파
     4. TE(횡전파), TM(횡자파), TEM(횡전자파)의 합성파

     정답 : []
     정답률 : 75%
     <문제 해설>
전자파는 횡파니까 답은 2번
[해설작성자 : 민민맨]

43. 유전체에서 변위전류를 발생하는 것은?
     1. 전속밀도의 공간적 변화
     2. 분극 전하밀도의 공간적 변화
     3. 전속밀도의 시간적 변화
     4. 분극 전하밀도의 시간적 변화

     정답 : []
     정답률 : 83%

44. 다음 중 S-파라미터(Scattering parameter)의 물리적 의미로 틀린 것은? (단, Zo는 전송선로의 특성 임피던스이다.)
     1. S11은 Zo에 정합된 출력을 갖는 입력 반사계수이다.
     2. S21는 순방향 전송 계수이다.
     3. S12는 역방향 전송 계수이다.
     4. S22는 Zo에 정합된 입력을 갖는 출력 전파계수이다.

     정답 : []
     정답률 : 76%

45. 다음 중 동축급전선에 대한 설명으로 잘못된 것은? (단, f : 주파수, D : 외부도체 직경, d : 내부도체 직경)
     1. 전송손실은 f2에 비례하여 커진다.
     2. 전송손실이 최소로 되는 내경과 외경의 비(D/d)가 존재한다.
     3. 내부도체 직경과 외부도체 직경의 비(D/d)가 같으면 특성 임피던스는 내경과 외경에 의해 결정된다.
     4. 특성 임피던스가 같은 경우에 케이블이 굵으면 손실이 적다.

     정답 : []
     정답률 : 74%

46. 전송선로의 인덕턴스가 2[μH/m], 커패시턴스가 50[pF/m]일 때 이 선로에 대한 위상속도는?
     1. 0.1×108[m/sec]
     2. 1×108[m/sec]
     3. 10×108[m/sec]
     4. 100×108[m/sec]

     정답 : []
     정답률 : 75%

47. 다음 중 급전선에 대한 설명으로 틀린 것은?
     1. 정재파가 분포되어 있는 급전선을 동조 급전선이라 한다.
     2. 비동조 급전선은 동조 급전선보다 전력의 손실이 적다.
     3. 동조 급전선은 거리가 짧을 때, 비동조 급전선은 길 때 사용한다.
     4. 비동조 급전선은 정합장치가 불필요하다.

     정답 : []
     정답률 : 79%

48. 다음 중 도파관에 대한 설명으로 옳은 것은?
     1. 차단파장이 가장 짧은 모드를 기본자태(Dominant Mode)라고 한다.
     2. 도파관내에서의 파장(관내파장)은 자유공간에서의 파장보다 길다.
     3. 기본적으로 TEM 자태(TEM Mode)를 사용한다.
     4. 관벽전류에 의한 감쇠가 크다.

     정답 : []
     정답률 : 57%

49. 다음 중 선로를 분포정수로 해석하였을 경우 전파정수와 특성 임피던스의 관계를 설명한 것으로 틀린 것은?
     1. 특성 임피던스는 길이와 관계없이 일정하다.
     2. 전파속도는 주파수와 반비례한다.
     3. 감쇠정수는 주파수와 무관하다.
     4. 위상정수는 주파수에 비례한다.

     정답 : []
     정답률 : 55%
     <문제 해설>
파장 = 속도 / 주파수 >> 속도 = 파장*주파수
따라서 속도는 주파수와 비례한다.
[해설작성자 : :)]

50. 50[Ω]의 무손실 전송선로에서 부하 임피던스가 ZL=50-j65[Ω]일 경우 입력전력이 100[mW]이면 부하에 의해 소모되는 전력은 얼마인가?
     1. 67[mW]
     2. 70[mW]
     3. 73[mW]
     4. 77[mW]

     정답 : []
     정답률 : 53%
     <문제 해설>
Z0+ZL= 100 -j65
임피던스의 크기를 구하면 /z/ = root(100^2 + 65^2) =119.2
입력 전력에 의해 부하에 흐르는 전류를 구한다면 P= I^2 * Z 에 의거
I = root(100*10^-3)^2 / 119.2)
부하에 소모되는 전력
PL = I^2 * Z = 68.3mW ≒ 70mW
[해설작성자 : 구리]

반사계수 계산 (Γ)
Γ= (ZL−Z0)/(ZL+Z0)

반사 손실 고려 전력 소모 계산
PL =Pin ×(1−∣Γ∣^2) = 약 70mW
​[해설작성자 : 민민맨]

51. 10[μV/m]의 전계강도를 dB 단위로 변환한 값은 얼마인가? (단, 1[μV/m]를 0[dB]로 한다.)
     1. 10[dB]
     2. 20[dB]
     3. 30[dB]
     4. 40[dB]

     정답 : []
     정답률 : 65%

52. 다음 중 접지 안테나의 손실저항에 해당되지 않는 것은?
     1. 와전류저항
     2. 코로나 누설저항
     3. 유전체손실
     4. 표피저항

     정답 : []
     정답률 : 69%

53. 안테나의 구조에 의한 분류 중 극초단파대(UHF)용 판상안테나에 속하지 않는 것은?
     1. 슈퍼 턴 스타일(Super Turn Style) 안테나
     2. 슬롯(Slot) 안테나
     3. 빔(Beam) 안테나
     4. 코너 리플렉터(Corner Reflector) 안테나

     정답 : []
     정답률 : 72%

54. 야기안테나 소자 중 가장 긴 소자의 역할과 리액턴스 성분은 무엇인가?
     1. 복사기, 용량성
     2. 지향기, 유도성
     3. 반사기, 유도성
     4. 도파기, 용량성

     정답 : []
     정답률 : 83%

55. 다음 중 MUF(최고사용주파수)를 결정하는 요소에 해당되지 않는 것은?
     1. 입사각
     2. 송신전력
     3. 전리층의 높이
     4. 송수신점 간의 거리

     정답 : []
     정답률 : 50%

56. 다음 중 전파투시도(Profile map)에 대한 설명으로 틀린 것은?
     1. 전파투시도에서 전파 통로는 곡선으로 나타낸다.
     2. 송수신점을 포함하여 대지와 수직인 지형의 단면도를 나타낸다.
     3. 전파투시도를 그릴 때 등가지구 반경계수를 고려한다.
     4. 전파경로상의 수직 장애물의 효과를 연구하는데 유용하다.

     정답 : []
     정답률 : 62%
     <문제 해설>
등가지구 반경계수를 고려한 것으로 곡선이 아닌 직선으로 나타낸것이다.
[해설작성자 : comcbt.com 이용자]

57. 다음 중 델린저 현상에 대한 설명으로 틀린 것은?
     1. 태양의 흑점 폭발시 발생된 다량의 자외선에 의해 야기된다.
     2. 주로 저위도 지방에서 주간에 발생한다.
     3. 1.5~20[MHz]의 단파통신에 영향을 준다.
     4. F층의 전자밀도가 순간적으로 증가하게 된다.

     정답 : []
     정답률 : 58%

58. 다음 중 전자파 잡음 방해의 개선방법으로 적합하지 않은 것은?
     1. 인공잡음을 경감시킨다.
     2. 내부잡음 전력을 감소시킨다.
     3. 수신기의 대역폭을 넓힌다.
     4. 지향성 안테나의 사용 등에 의한 수신 신호전력을 크게 한다.

     정답 : []
     정답률 : 86%

59. 임계 주파수는 전자밀도가 2배 증가할 경우 어떻게 변화하는가?
     1. 2배 감소한다.
     2. 2배 증가한다.
     3. √2 배 증가한다.
     4. √2 배 감소한다.

     정답 : []
     정답률 : 68%

60. 모든 스펙트럼 영역에 균일하게 퍼져있는 연속성 잡음을 무엇이라 하는가?
     1. 인공잡음
     2. 대기잡음
     3. 백색잡음
     4. 우주잡음

     정답 : []
     정답률 : 87%

4과목 : 무선통신 시스템


61. 비트율(Bit Rate)이 일정한 경우 16진 PSK의 전송 대역폭은 2진 PSK(BPSK) 전송 대역폭의 몇 배인가?
     1. 1/4배
     2. 1/2배
     3. 2배
     4. 4배

     정답 : []
     정답률 : 65%

62. 18[kHz]까지 전송할 수 있는 PCM 시스템에서 요구되는 표본화 주파수는?
     1. 9[kHz]
     2. 18[kHz]
     3. 36[kHz]
     4. 72[kHz]

     정답 : []
     정답률 : 85%

63. 다음 중 장파대용 무선 시스템에서 지표파의 전계강도가 가장 큰 곳은?
     1. 평야
     2. 산악
     3. 시가지
     4. 해상

     정답 : []
     정답률 : 83%

64. FM 통신방식이 AM 통신방식에 비해 S/N비가 좋은 이유는?
     1. 리미터(Limiter)를 사용하기 때문에
     2. 점유주파수대폭이 좁기 때문에
     3. 깊은 변조를 할 수 있기 때문에
     4. 클래리파이어(Clarifier)를 사용하기 때문에

     정답 : []
     정답률 : 82%

65. 다음 중 정지위성에 대한 설명으로 적합하지 않은 것은?
     1. 정지위성의 주기는 12시간이다.
     2. 적도 상공 약 36,000[km]에 위치하고 있다.
     3. 1개의 정지위성의 통신 범위는 지표의 약 40[%] 정도이다.
     4. 전파경로가 길어 평균 0.25초 정도의 전파지연이 발생한다.

     정답 : []
     정답률 : 76%
     <문제 해설>
정지위성은 지구 자전속도와 같아 정지한것처럼 보여서 정지위성
-> 주기는 24시간
[해설작성자 : JJU]

66. M/W 통신에서 송신출력이 1[W], 송수신 안테나 이득이 각각 30[dBi], 수신 입력 레벨이 -30[dBm]일 때 자유공간 손실은 몇 [dB]인가? (단, 전송선로 손실 및 기타 손실은 무시한다.)
     1. 112[dB]
     2. 117[dB]
     3. 120[dB]
     4. 123[dB]

     정답 : []
     정답률 : 86%

67. 다음 중 마이크로파 중계방식에 대한 설명으로 옳지 않은 것은?
     1. 직접 중계 방식은 통화로의 삽입 및 분기가 곤란하다.
     2. 검파 중계 방식은 변복조장치가 부가되어 있어 장치가 복잡하다.
     3. 무급전 중계 방식에 있어서는 반사파의 크기가 클수록 손실이 크다.
     4. 헤테로다인 중계 방식은 장거리 중계 방식에 적당하다.

     정답 : []
     정답률 : 50%

68. 다음 중 기지국에서 단말로 전송하는 하향링크 전송에 다수 개의 안테나로 송신하여 공간다이버시티를 얻는 기술에 대한 설명으로 옳지 않는 것은?
     1. 수신 오류율이 줄어든다.
     2. 하나의 안테나로 송신하는 것에 비해 최대 전송속도가 송신안테나 수의 비만큼 증가한다.
     3. 수신기의 안테나 수가 증가할 필요는 없다.
     4. 송신에 필요한 대역폭은 변화가 없다.

     정답 : []
     정답률 : 58%

69. 다중경로에 의한 시간 지연을 갖고 도달하는 각 반사파를 독립적으로 분리하여 복조할 수 있게 구성된 수신기는?
     1. 헤테로다인 수신기
     2. 호모다인 수신기
     3. 레이크 수신기
     4. 린 콤팩스 수신기

     정답 : []
     정답률 : 72%

70. 한 지점에서 송신한 신호의 전력이 수신 지역에서 6[dB] 감소되어 수신되었다면 전력이 몇 배 감소한 것인가?
     1. 4배 감소
     2. 6배 감소
     3. 8배 감소
     4. 64배 감소

     정답 : []
     정답률 : 78%
     <문제 해설>
3db -> 2배
6db -> 4배
[해설작성자 : JJU]

71. 다음 중 무선 LAN의 특징이 아닌 것은?
     1. 설치, 유지보수, 재배치가 간편하다.
     2. 긴급, 임시 네트워크 구축 필요시 효율적으로 설치 가능하다.
     3. 단말의 이동성 보장, 네트워크 구축 필요시 효율적으로 설치 가능하다.
     4. 주파수 자원이 한정되어 신뢰성과 보안성이 우수하다.

     정답 : []
     정답률 : 84%

72. 무선 인터넷 기술 중 하나로 무선 단말기 및 무선망에서 무선 응용서비스를 사용할 수 있도록 하는 프로토콜은 무엇인가?
     1. RADIUS
     2. HDLC
     3. WAP
     4. CHAP

     정답 : []
     정답률 : 80%
     <문제 해설>
무선망에서 무선응용서비스를 이용할 수 있게하는 프로토콜이 WAP다
그 속에 RADIUS, HDLC, CHAP가 있다.
[해설작성자 : 이은택]

73. 다음 중 프로토콜에 대한 설명으로 틀린 것은?
     1. 효율적이고 정확한 정보전송을 위한 정보 기기간의 필요한 규약들의 집합이다.
     2. 두 지점간의 통신을 원활히 수행할 수 있도록 하는 통신상의 규약내용을 포함한다.
     3. 데이터통신에서 사용되는 프로토콜은 같은 계층으로 구분되고 있다.
     4. 컴퓨터 시스템 사이의 정보교환을 관리하는 규약(규칙, 절차, 약속)들의 집합이다.

     정답 : []
     정답률 : 74%

74. 다음 중 통신망의 계층구조에 대한 설명으로 옳지 않은 것은?
     1. 하나의 계층은 소프트웨어 관점에서 하나의 모듈에 해당되며 계층 사이에 적용되는 규칙이나 절차를 최대화한다.
     2. 계층은 물리적인 단위가 아니다.
     3. 통신이 성립하려면 대상 시스템의 같은 계층까지 프로토콜이 준수되어야 한다.
     4. ISO에서 일곱 계층으로 나누어진 참조모델을 제안했다.

     정답 : []
     정답률 : 68%

75. OSI 참조모델에서 전송제어, 흐름제어, 오류제어 등의 역할을 수행하는 계층은?
     1. 세션 계층
     2. 네트워크 계층
     3. 물리 계층
     4. 데이터링크 계층

     정답 : []
     정답률 : 80%

76. 다음 중 FEC(Forward Error Correction)에 대한 설명으로 옳지 않은 것은?
     1. 데이터 비트 프레임에 잉여 비트를 추가해 에러를 검출, 수정하는 방식이다.
     2. 연속적인 데이터 흐름 외에 역채널이 필요하다.
     3. 에러율이 낮은 경우 효과적이다.
     4. 잉여 비트를 첨가하므로 전송 효율이 떨어진다.

     정답 : []
     정답률 : 77%

77. 다음 중 선박국의 디지털 선택 호출장치의 기술적 조건으로 틀린 것은?
     1. 송신하는 통신 내용을 표시할 수 있을 것
     2. 정상적으로 작동 중임을 알리는 기능이 있을 것
     3. 점검 및 보수를 쉽게 할 수 있을 것
     4. 식별 부호를 쉽게 변경할 수 있을 것

     정답 : []
     정답률 : 75%

78. 다음 중 무선 LAN 보안에 대한 설명으로 옳지 않은 것은?
     1. IEEE802.11b의 원래의 보안 메커니즘은 Static WEP이다.
     2. Static WEP은 40 또는 104비트 암호키를 사용한다.
     3. Static WEP은 802.1X를 이용한 상호인증을 포함한다.
     4. IEEE 무선 보안 표준은 Static WEP 외에 IV, Dynamic WEP, WPA까지 포함한다.

     정답 : []
     정답률 : 66%

79. 다음 중 통신망 설계 시 기본 설계 내용에 포함되지 않는 것은?
     1. 공사기간
     2. 설계기준
     3. 시공방법
     4. 감리방법

     정답 : []
     정답률 : 70%

80. 다음 중 시스템의 고장(Malfunction)의 유형이 아닌 것은?
     1. Permanent
     2. Intermittent
     3. Frequent
     4. Transient

     정답 : []
     정답률 : 75%
     <문제 해설>
고장유형 : 영구결함, 간헐결함, 순간결함 / Permanent, Intermittent, Transient

81. 8비트로 된 레지스터에서 첫째 비트는 부호비트로 0, 1로 양, 음을 나타낸다고 할 때 2의 보수(2's Complement)로 숫자를 표시한다면 이 레지스터로 표현할 수 있는 10진수의 범위로 올바른 것은?
     1. -127 ~ +127
     2. -128 ~ +127
     3. -128 ~ +128
     4. -128 ~ +129

     정답 : []
     정답률 : 82%

82. 다음 중 소프트웨어의 유형과 특징이 올바른 것은?
     1. 베타버전 : 개발 중인 하드웨어/소프트웨어에 붙는 제품 버전으로 개발 초기 단계에서 개발 기업 내 또는 일반의 사용자에게 배포하여 시험하는 초기 버전
     2. 알파버전 : 소프트웨어를 정식으로 발표하기 전에 발견하지 못한 오류를 찾아내기 위해 회사가 특정 사용자들에게 배포하는 시험용 소프트웨어
     3. 프리웨어 : 별도로 판매되는 제품들을 묶어 하나의 패키지로 만들어 판매하는 형태로, 컴퓨터 시스템을 구입할 때 컴퓨터 시스템을 구성하는 하드웨어 장치와 프로그램 등을 모두 하나로 묶어 구입하는 방법
     4. 공개소프트웨어 : 누구나 자유롭게 사용하고 수정하거나 재배포할 수 있도록 공개하는 소프트웨어로, 누구에게나 이용과 복제, 배포가 자유롭다는 뜻의 소프트웨어

     정답 : []
     정답률 : 75%

83. 자외선을 이용하여 지울 수 있는 메모리로 맞는 것은?
     1. PROM
     2. EPROM
     3. EEPROM
     4. 플래쉬 메모리(Flash Memory)

     정답 : []
     정답률 : 86%

84. 운영체제는 동일하지 않은 시스템 구조를 지원하기 위해 여러 시스템의 구성요소들을 제공한다. 이러한 시스템의 구성요소 중 지문을 해당하는 용어로 맞는 것은?

    

     1. 파일 관리
     2. 프로세스 관리
     3. 주변장치 관리
     4. 레지스터 관리

     정답 : []
     정답률 : 76%

85. 다음 문장의 괄호 안에 들어갈 용어로 올바른 것은?

    

     1. ⓐ CISC ⓑ PowerPC ⓒ RISC
     2. ⓐ PowerPC ⓑ CISC ⓒ RISC
     3. ⓐ RISC ⓑ PowerPC ⓒ CISC
     4. ⓐ CISC ⓑ RISC ⓒ PowerPC

     정답 : []
     정답률 : 70%

86. CPU 내부에 있는 특수 목적용 레지스터 중 하나로, 인터럽트 수행과정에서 원래의 프로세스가 수행될 수 있도록 프로그램 카운터의 주소를 임시로 저장하는 레지스터를 무엇이라 하는가?
     1. 명령 레지스터
     2. 상태 레지스터
     3. 기억장치 버퍼 레지스터
     4. 스택 포인터

     정답 : []
     정답률 : 65%

87. 10진수 47.625를 2진수로 변환한 것으로 옳은 것은?
     1. 101111.111
     2. 101111.010
     3. 101111.001
     4. 101111.101

     정답 : []
     정답률 : 76%

88. 기억장치를 동일한 크기의 페이지 단위로 나누고, 페이지 단위로 주소 변환 및 대체를 하는 가상 기억장치 구현방식은 무엇인가?
     1. 논리 메모리 분할 기법
     2. 페이징 기법
     3. 스케줄링 기법
     4. 세그먼테이션 기법

     정답 : []
     정답률 : 80%

89. 다음 문장이 의미하는 소프트웨어는 무엇인가?

    

     1. 유틸리티
     2. 디바이스 드라이버
     3. 응용소프트웨어
     4. 미들웨어

     정답 : []
     정답률 : 85%

90. 다음 중 인터럽트의 우선순위가 가장 높은 것은?
     1. 기계착오
     2. 외부신호
     3. SVC
     4. 전원이상

     정답 : []
     정답률 : 81%

91. 데이터 및 통신메세지의 입력ㆍ출력ㆍ저장ㆍ검색ㆍ전송 또는 제어 등의 주요기능과 정보 전송용으로 작동되는 1개 이상의 터미널 포트를 갖춘 기기로서 600볼트 이하의 공급 전압을 가진 기기를 무엇이라 하는가?
     1. 정보기기
     2. 전송기기
     3. 통신기기
     4. 방송통신기기

     정답 : []
     정답률 : 53%
     <문제 해설>
"정보" 전송용 -> 정보기기
[해설작성자 : 또구리]

92. 전력선통신설비 및 유도식통신설비의 주파수허용편차로 맞는 것은?
     1. 0.1[%]
     2. 0.3[%]
     3. 0.5[%]
     4. 1[%]

     정답 : []
     정답률 : 74%

93. 다음 중 준공검사를 받지 아니하고 운용할 수 있는 무선국에 속하지 않는 것은?
     1. 적도 지역에 개설한 무선국
     2. 대통령 경호를 위하여 개설하는 무선국
     3. 30와트 미만의 무선설비를 시설하는 어선의 선박국
     4. 외국에서 운용할 목적으로 개설한 육상이동지구국

     정답 : []
     정답률 : 61%

94. 다음 중 특정소출력무선국의 종류가 아닌 것은?
     1. 무선조정용
     2. 데이터전송용
     3. 안전시스템용
     4. 자계유도용

     정답 : []
     정답률 : 70%

95. 다음 중 적합인증을 받아야 하는 대상기기가 아닌 것은?
     1. 무선방위측정기
     2. 경보자동 전화장치
     3. 전계강도측정기
     4. 네비텍스수신기

     정답 : []
     정답률 : 55%

96. 다음 중 “인체, 기자재, 무선설비 등을 둘러싸고 있는 전파의 세기, 잡음 등 전자파의 총체적인 분포상황”으로 정의되는 것은?
     1. 전파환경
     2. 전자파분포
     3. 전파지연
     4. 전자파환경

     정답 : []
     정답률 : 61%

97. 미래창조과학부장관이 전파자원의 공평하고 효율적인 이용을 촉진하기 위하여 시행하는 내용이 아닌 것은?
     1. 주파수 분배의 변경
     2. 주파수의 공동사용
     3. 주파수 이용권의 양도, 임대
     4. 주파수 회수 또는 재배치

     정답 : []
     정답률 : 74%

98. 무선설비의 변조특성 등에 대한 기술기준으로 적합하지 않은 것은?
     1. 변조신호에 의하여 반송파가 진폭 변조되는 송신장치는 변조도가 100[%]를 초과하지 아니하여야 한다.
     2. 반송파가 주파수 변조되는 송신장치는 최대주파수편이의 범위를 초과하지 아니하여야 한다.
     3. 무선설비는 최고 변조주파수에 안정적으로 동작하여야 한다.
     4. 편향변조에 의하여 점유주파수대폭이 충분하여야 한다.

     정답 : []
     정답률 : 58%

99. 무선설비 공사의 품질확보 차원에서 미흡 또는 중대한 위해를 발생시킬 수 있다고 판단될 경우 공사 중지를 지시할 수 있다. 다음 중 공사의 전면중지에 해당되는 사항은?
     1. 재시공 지시가 이행되지 않는 상태에서는 다음 단계의 공정이 진행됨으로써 하자발생이 될 수 있다고 판단될 때
     2. 안전시공 상 중대한 위험이 예상되어 물적, 인적 중대한 피해가 예견될 때
     3. 동일 공정에서 3회 이상 시정지시가 이행되지 않을 때
     4. 천재지변 등 불가항력적인 사태가 발생하여 공사를 계속할 수 없다고 판단될 때

     정답 : []
     정답률 : 82%

100. 무선설비 기성 및 준공검사 처리절차가 100.순서대로 바르게 나열된 것은?
     1. 검사원 및 감리조서 → 검사원 임명 → 검사실시 → 검사결과 통보 및 검사조서 → 발주자 결재 대가지급
     2. 검사원 임명 → 검사원 및 감리조서 → 검사실시 → 검사결과 통보 및 검사조서 → 발주자 결재 대가지급
     3. 검사원 임명 → 검사원 및 감리조서 → 발주자 결재 → 검사실시 → 검사결과 통보 및 검사조서 대가지급
     4. 검사원 및 감리조서 → 검사원 임명 → 발주자 결재 → 검사실시 → 검사결과 통보 및 검사조서 → 대가지급

     정답 : []
     정답률 : 79%


정 답 지

1

2

3

4

5

6

7

8

9

10

11

12

13

14

15

16

17

18

19

20

21

22

23

24

25

26

27

28

29

30

31

32

33

34

35

36

37

38

39

40

41

42

43

44

45

46

47

48

49

50

51

52

53

54

55

56

57

58

59

60

61

62

63

64

65

66

67

68

69

70

71

72

73

74

75

76

77

78

79

80

81

82

83

84

85

86

87

88

89

90

91

92

93

94

95

96

97

98

99

100

무선설비기사 필기 기출문제(해설) 및 CBT 2014년10월04일을 이용해 주셔서 감사합니다.
, 필기, 기출문제, 전자문제집, CBT, 온라인, 모의테스트, 모의고사



List of Articles
번호 제목 글쓴이 날짜 조회 수
7651 무선설비기사 필기 기출문제(해설) 및 CBT 2016년10월08일(482) new 좋은아빠되기 2025.11.25 2
7650 무선설비기사 필기 기출문제(해설) 및 CBT 2016년06월11일(481) new 좋은아빠되기 2025.11.25 2
7649 무선설비기사 필기 기출문제(해설) 및 CBT 2016년03월05일(480) new 좋은아빠되기 2025.11.25 3
7648 무선설비기사 필기 기출문제(해설) 및 CBT 2015년10월04일(479) new 좋은아빠되기 2025.11.25 0
7647 무선설비기사 필기 기출문제(해설) 및 CBT 2015년06월06일(478) new 좋은아빠되기 2025.11.25 3
7646 무선설비기사 필기 기출문제(해설) 및 CBT 2015년03월07일(477) new 좋은아빠되기 2025.11.25 1
» 무선설비기사 필기 기출문제(해설) 및 CBT 2014년10월04일(476) new 좋은아빠되기 2025.11.25 3
7644 무선설비기사 필기 기출문제(해설) 및 CBT 2014년05월31일(475) new 좋은아빠되기 2025.11.25 0
7643 무선설비기사 필기 기출문제(해설) 및 CBT 2014년03월09일(474) new 좋은아빠되기 2025.11.25 3
7642 무선설비기사 필기 기출문제(해설) 및 CBT 2013년10월12일(473) new 좋은아빠되기 2025.11.25 0
7641 무선설비기사 필기 기출문제(해설) 및 CBT 2013년06월09일(472) new 좋은아빠되기 2025.11.25 4
7640 무선설비기사 필기 기출문제(해설) 및 CBT 2013년03월17일(471) new 좋은아빠되기 2025.11.25 0
7639 무선설비기사 필기 기출문제(해설) 및 CBT 2012년10월06일(470) new 좋은아빠되기 2025.11.25 3
7638 무선설비기사 필기 기출문제(해설) 및 CBT 2012년06월02일(469) new 좋은아빠되기 2025.11.25 0
7637 무선설비기사 필기 기출문제(해설) 및 CBT 2012년03월11일(468) new 좋은아빠되기 2025.11.25 3
7636 무선설비기사 필기 기출문제(해설) 및 CBT 2011년09월25일(467) new 좋은아빠되기 2025.11.25 1
7635 무선설비기사 필기 기출문제(해설) 및 CBT 2011년05월29일(466) new 좋은아빠되기 2025.11.25 2
7634 무선설비기사 필기 기출문제(해설) 및 CBT 2011년03월13일(465) new 좋은아빠되기 2025.11.25 1
7633 무선설비기사 필기 기출문제(해설) 및 CBT 2010년10월10일(464) new 좋은아빠되기 2025.11.25 2
7632 무선설비기사 필기 기출문제(해설) 및 CBT 2010년05월02일(463) new 좋은아빠되기 2025.11.25 1
Board Pagination Prev 1 ... 119 120 121 122 123 124 125 126 127 128 ... 506 Next
/ 506