자격증 필기 기출문제



기계설계산업기사 필기 기출문제(해설) 및 CBT 2017년08월26일(699)

최강 자격증 기출문제 전자문제집 CBT : www.comcbt.com


전자문제집 CBT란?

종이 문제집이 아닌 인터넷으로 문제를 풀고 자동으로 채점하며 모의고사, 오답 노트, 해설까지 제공하는
무료 기출문제 학습 프로그램으로 실제 상설검정에서 사용하는 OMR 형식의 CBT를 제공합니다.


최신 기계설계산업기사 필기 기출문제 : [다운로드]

1과목 : 기계가공법 및 안전관리


1. 선반의 가로 이송대에 4mm 리드로 100등분 눈금의 핸들이 달려 있을 때 지름 38mm의 환봉을 지름 32mm 절삭하려면 핸들의 눈금은 몇 눈금을 돌리면 되겠는가?
     1. 35
     2. 70
     3. 75
     4. 90

     정답 : []
     정답률 : 64%
     <문제 해설>
38mm에서 32mm 절삭하려고 할때 핸들의 눈금은 = (38-32)/2/x(번분수임!) = 4/100 이된다.
이때 계산을 하면 75눈금이라는 답이 나오게 된다.

리드 4mm , 32mm에서 38mm까지 절삭부분 6mm 하지만 반지름 기준이므로 3mm만 회전 하면 됨.
한편 리드의 의미는 1회전 시켰을때 4mm이동한다라는 말이니까 3/4 회전 시키면 됨
또한, 100등분 이므로 100눈금이 1회전임
따라서 100눈금 곱하기 3/4 하면 75눈금 나온다
[해설작성자 : 형이 알려준다]

2. 연삭가공에서 내면연삭에 대한 설명으로 틀린 것은?
     1. 외경 연삭에 비하여 숫돌의 마모가 많다.
     2. 외경 연삭보다 숫돌 축의 회전수가 느려야 한다.
     3. 연삭숫돌의 지름은 가공물의 지름보다 작아야 한다.
     4. 숫돌 축은 지름이 작기 때문에 가공물의 정밀도가 다소 떨어진다.

     정답 : []
     정답률 : 53%
     <문제 해설>
소정의 연삭 속도를 얻으려면 바깥지름 연삭보다 숫돌축의 회전수를 높여야한다.
[해설작성자 : 몽자몽자]

3. 동일직경 3개의 핀을 이용하여 수나사의 유효지름을 측정하는 방법은?
     1. 광학법
     2. 삼침법
     3. 지름법
     4. 반지름법

     정답 : []
     정답률 : 91%

4. 비교 측정방법에 해당되는 것은?
     1. 사인 바에 의한 각도 측정
     2. 버니어캘리퍼스에 의한 길이 측정
     3. 롤러와 게이지 블록에 의한 테이퍼 측정
     4. 공기 마이크로미터를 이용한 제품의 치수 측정

     정답 : []
     정답률 : 54%
     <문제 해설>
아래와 같은 오류 신고가 있었습니다.
여러분들의 많은 의견 부탁 드립니다.
추후 여러분들의 의견을 반영하여 정답을 수정하도록 하겠습니다.
참고로 정답 변경은 오류 신고 5회 이상일 경우 수정합니다.

[오류 신고 내용]
4번 공기마이크로미터는 직접측정기로 정답은 3번입니다.
[해설작성자 : 측정]

[오류신고 반론]
공기 마이크로미터
에어게이지라고도 한다. 원리는 치수의 변화를 공기의 유량(流量) ·압력의 변화로 바꾸고, 유량 ·압력의 변화량을 측정하여 치수를 재는 비교측정기이다.
[출처:네이버 두산백과]
[해설작성자 : eri]

[오류신고 반론]
공기 마이크로미터는 치수를 측정하는데 공기를 이용하여 측정하는 측정기기입니다.
원리적으로 치수의 변화를 공기의 유량이나, 공기관로 내의 압력 변화를 변환하여 그 양을 앎으로서 치수를 측정하는 비교측정기 입니다.

사인 바에 의한 각도 측정 : 간접 측정
버니어캘리퍼스에 의한 길이 측정 : 직접 측정
롤러와 게이지 블록에 의한 테이퍼 측정 : 간접 측정
공기 마이크로미터를 이용한 제품의 치수 측정 : 비교측정

※공기 마이크로미터(air micrometer)
공기의 유랑을 이용한 비교측정장비로서 공기의 흐름을 확대기구로 하여 길이를 측정하는 방법으로 모양을 교환함으로서 바깥지름, 안지름, 직각도, 진원도, 평면도, 테이퍼, 타원 등을 측정할 수 있다.    
[해설작성자 : 릪]

5. 호닝 작업의 특징으로 틀린 것은?
     1. 정확한 치수가공을 할 수 있다.
     2. 표면정밀도를 향상 시킬 수 있다.
     3. 호닝에 의하여 구멍의 위치를 자유롭게 변경하여 가공이 가능하다.
     4. 전 가공에서 나타난 테이퍼, 진원도 등에 발생한 오차를 수정할 수 있다.

     정답 : []
     정답률 : 74%
     <문제 해설>
호닝은 구멍이 뚫어져 있는 상태에서 구멍내면의 다듬을 하는 가공으로 구멍의 위치를 자유롭게 변경하지 못한다.
[해설작성자 : 부경대]

6. 주축(spindle)의 정지를 수행하는 NC-code는?
     1. M02
     2. M03
     3. M04
     4. M05

     정답 : []
     정답률 : 56%
     <문제 해설>
1.M02 : 프로그램 끝
2.M03 : 주축 정회전
3.M04 : 주축 역회전
4.M05 : 주축 정지
[해설작성자 : 부경대]

7. 합금공구강에 대한 설명으로 틀린 것은?(문제 오류로 가답안 발표시 3번으로 발표되었지만 확정답안 발표시 전항 정답 처리 되었습니다. 여기서는 가답안인 3번을 누르면 정답 처리 됩니다.)
     1. 탄소공구강에 비해 절삭성이 우수하다.
     2. 저속 절삭용, 총형 절삭용으로 사용된다.
     3. 탄소공구강에 Ni, Co 등의 원소를 첨가한 강이다.
     4. 경화능을 개선하기 위해 탄소공구강에 소량의 합금 원소를 첨가한 강이다.

     정답 : []
     정답률 : 75%
     <문제 해설>
문제 오류로 가답안 발표시 3번으로 발표되었지만 확정답안 발표시 전항 정답 처리 되었습니다. 여기서는 가답안인 3번을 누르면 정답 처리 됩니다.

Ni, Co 등의 원소를 첨가한 강은 초인바(=초불변강)이다.

합금공구강(공구용 합금강):탄소강에 크롬(Cr), 텅스텐(W), 바나듐(V), 몰리브덴(Mo) 등을 첨가하여 탄소강의 결점을 보완한 합금강
[해설작성자 : ㄹㄹ]

8. 측정자의 미소한 움직임을 광학적으로 확대하여 측정하는 장치는?
     1. 옵티미터(optimeter)
     2. 미니미터(minimeter)
     3. 공기 마이크로미터(air micrometer)
     4. 전기 마이크로미터(electrical micrometer)

     정답 : []
     정답률 : 73%
     <문제 해설>
옵티미터 - 광학 확대장치 이용
미니미터 - 레버(lever)를 이용
공기 마이크로미터 - 공기 유출량에 의한 압력변화를 이용
전기 마이크로미터 - 전기 용량의 변화를 이용

9. TiC 입자를 Ni 혹은 Ni과 Mo를 결합제로 소결한 것으로 구성인선이 거의 발생하지 않아 공구수명이 긴 절삭공구 재료는?
     1. 서멧
     2. 고속도강
     3. 초경합금
     4. 합금공구강

     정답 : []
     정답률 : 53%
     <문제 해설>
고속도강- 금속재료를 빠른 속도로 절삭하는 공구에 사용되는 특수강이다. 표준조성은 텅스텐 18%, 크로뮴 4%, 바나듐 1%이며, 이것이 ‘18-4-1’ 고속도강이다.

초경합금- 공구(工具) 등에 사용되는 초경질 합금으로 금속의 탄화물 분말을 소성(燒成)해서 만든 경도가 대단히 높은 합금이다.

합금공구강- 탄소공구강의 담금질성을 좋게 하며, 균열과 비틀림을 방지하기 위하여 Cr, W, V, Ni 등을 첨가하고, 고온 경도를 갖게 한 강.

(출처: 네이버 지식백과)
[해설작성자 : 우주최강미녀]

10. 연삭깊이를 깊게 하고 이송속도를 느리게 함으로써 재료 제거율을 대폭적으로 높인 연삭방법은?
     1. 경면(mirror) 연삭
     2. 자기(magnetic) 연삭
     3. 고속(high speed) 연삭
     4. 크립 피드(creep feed) 연삭

     정답 : []
     정답률 : 78%
     <문제 해설>
크리프피드연삭:다른 연삭가공에 비해 절삭깊이가 깊고 이송이 적어 주로 성형연삭에 많이 사용된다.
[해설작성자 : ㅇㄹㅇㄹㅇ]

11. 가연성 액체(알코올, 석유, 등유류)의 화재 등급은?
     1. A급
     2. B급
     3. C급
     4. D급

     정답 : []
     정답률 : 72%
     <문제 해설>
A:일반 B:유류 C:전기 D:금속 E:가스
[해설작성자 : LincolnP]

12. 선반의 주축을 중공축으로 할 때의 특징으로 틀린 것은?
     1. 굽힘과 비틀림 응력에 강하다.
     2. 마찰열을 쉽게 발산시켜 준다.
     3. 길이가 긴 가공물 고정이 편리하다.
     4. 중량이 감소되어 베어링에 작용하는 하중을 줄여준다.

     정답 : []
     정답률 : 47%
     <문제 해설>
주축은 회전하는 축으로 일감에 발생된 열이 전열이 거의 되지 않는다.
주축의 형상과 마찰열은 상관관계가 없다.
[해설작성자 : 부경대]

13. 기어 절삭법이 아닌 것은?
     1. 배럴에 의한 법(barrel system)
     2. 형판에 의한 법(templet system)
     3. 창성에 의한 법(generated tool system)
     4. 총형 공구에 의한 법(formed tool system)

     정답 : []
     정답률 : 69%
     <문제 해설>
베럴법 : 물품을 회전용기 중에 넣어 기계적, 화학적 또는 전해 처리하는 방법의 총칭으로써 배럴버니싱, 배럴 연마법, 배럴 도금법, 배럴 세정법 등이 있다
[해설작성자 : 신정훈]

14. 지름이 75mm의 탄소강을 절삭속도 150m/min으로 가공하고자 한다. 가공 길이 300mm, 이송은 0.2mm/rev 할 때 1회 가공 시 가공시간은 약 얼마인가?
     1. 2.4분
     2. 4.4분
     3. 6.4분
     4. 8.4분

     정답 : []
     정답률 : 44%
     <문제 해설>
가공시간 T=L/ns
[해설작성자 : 파피]

N(회전수) = 1000*V(절삭속도) / 파이*D(지름)
=1000*150 / 파이*75 = 636.94...
가공시간 : T=L/Nf = 300/636.94*0.2 = 2.35(약2.4분)
여기서 L:공작물 길이 , N:회전수 , f:바이트이송(0.2mm/rev)

15. 표면 거칠기의 측정법으로 틀린 것은?
     1. NPL식 측정
     2. 촉침식 측정
     3. 광 절단식 측정
     4. 현미 간접식 측정

     정답 : []
     정답률 : 53%
     <문제 해설>
NPL식 측정은 각도를 측정하기 위함
[해설작성자 : 부경대]

16. 수직 밀링머신의 주요 구조가 아닌 것은?
     1.
     2. 칼럼
     3. 방진구
     4. 테이블

     정답 : []
     정답률 : 76%
     <문제 해설>
방진구는 선반의 부속 장치로서 가늘고 긴 공작물을 가공할 때 공작물은 자중과 절삭력으로 인하여 휘거나 터짐이 생기고 진동을 일으켜 균일한 직경을 가공하기가 곤란해진다. 이를 방지하기 위해 방진구를 사용한다.
[해설작성자 : 부경대]

17. 드릴을 가공할 때, 가공물과 접촉에 의한 마찰을 줄이기 위하여 절삭날 면에 주는 각은?
     1. 선단각
     2. 웨브각
     3. 날 여유각
     4. 홈 나선각

     정답 : []
     정답률 : 70%
     <문제 해설>
날 여유각 : 절삭날이 장애를 받지 않고 재료를 절삭하도록 절삭날에 주어진 여유각
[해설작성자 : 부경대]

18. 밀링머신의 테이블 위에 설치하여 제품의 바깥부분을 원형이나 윤곽가공 할 수 있도록 사용되는 부속장치는?
     1. 더브테일
     2. 회전 테이블
     3. 슬로팅 장치
     4. 래크 절삭 장치

     정답 : []
     정답률 : 69%

19. 높은 정밀도를 요구하는 가공물, 각종 지그 등에 사용하며 온도 변화에 영향을 받지 않도록 항온항습실에 설치하여 사용하는 보링 머신은?
     1. 지그 보링 머신(jig boring machine)
     2. 정밀 코어 머신(fine boring machine)
     3. 코어 보링 머신(core boring machine)
     4. 수직 보링 머신(vertical boring machine)

     정답 : []
     정답률 : 61%
     <문제 해설>
드릴링 머신 또는 보통 보링 머신으로 뚫은 구멍은 중심 위치가 정밀하지 못하다. 그러므로 정밀도가 높은 지그 보링 머신을 사용하며 특히 지그 제작 및 정밀기계의 구멍가공에 사용하기 위한 전문 기계로서, 제품의 허용오차가 극히 작은 +-0.002~0.005mm 정도의 정밀도를 가진 보링 머신이다.
[해설작성자 : 부경대]

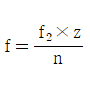
20. 밀링머신 테이블의 이송속도 720mm/min, 커터의 날수 6개, 커터 회전수가 600rpm일 때, 1날 당 이송량은 몇 mm 인가?
     1. 0.1
     2. 0.2
     3. 3.6
     4. 7.2

     정답 : []
     정답률 : 61%
     <문제 해설>
f=F/Zn=720/6*600=0.2
[해설작성자 : dfdfdfd]

2과목 : 기계제도


21. 강구조물(steel structure) 등의 치수 표시에 관한 KS 기계 제도 규격에 관한 설명으로 틀린 것은?
     1. 구조선도에서 절점 사이의 치수를 표시할 수 있다.
     2. 형상, 강관 등의 치수를 각각의 도형에 연하여 기입할 때 길이의 치수도 반드시 나타내야 한다.
     3. 구조선도에서 치수는 부재를 나타내는 선에 연하여 직접 기입할 수 있다.
     4. 등변 ㄱ형상 경우 “L 100×100×5-1500”과 같이 나타낼 수 있다.

     정답 : []
     정답률 : 50%
     <문제 해설>
형강, 강관의 치수를 도면의 도형에 표시할 때는 길이 치수를 생략할 수 있음
[해설작성자 : ㅇㄹㅇ]

22. 그림에서 나타난 기하공차 도시에 대해 가장 올바르게 설명한 것은?

    

     1. 임의의 평면에서 평행도가 기준면 A에 대해 mm 이내에 있어야 한다.
     2. 임의의 평면 100mm×100mm에서 평행도가 기준면 A에 대해 mm 이내에 있어야 한다.
     3. 지시하는 면 위에서 임의로 선택한 길이 100mm에서 평행도가 기준면 A에 대해 0.05mm이내에 있어야 한다.
     4. 지시한 화살표를 중심으로 100mm 이내에서 평행도가 기준면 A에 대해 0.05mm 이내에 있어야 한다.

     정답 : []
     정답률 : 65%
     <문제 해설>
지시하는 면 위에서 임의로 선택한 길이 100mm에서 평행도가 기준면 A에 대해 0.05mm이내에 있어야 한다.
[해설작성자 : 부경대]

23. 헬리컬 기어 제도에 대한 설명으로 틀린 것은?
     1. 잇봉우리원은 굵은 실선으로 그린다.
     2. 피치원은 가는 1점 쇄선으로 그린다.
     3. 이골원은 단면 도시가 아닌 경우 가는 실선으로 그린다.
     4. 축에 직각인 방향에서 본 정면도에서 단면 도시가 아닌 경우 잇줄 방향은 경사진 3개의 가는 2점 쇄선으로 나타낸다.

     정답 : []
     정답률 : 74%
     <문제 해설>
단면도시인 경우에 가는 2점 쇄선이 맞으며 단면도시가 아닌 경우에는 3개의 가는실선으로 그립니다
[해설작성자 : 최현범]

24. 그림과 같은 환봉의 “A“ 면을 선반 가공할 때 생기는 표면의 줄무늬 방향 기호로 가장 적합한 것은?

    

     1. C
     2. M
     3. R
     4. X

     정답 : []
     정답률 : 71%
     <문제 해설>
C: 동심
M: 무방향
R: 레이디얼 방향
X: 교차
[해설작성자 : Alicl]

25. 구름 베어링의 상세한 간략 도시방법에서 복렬 자동 조심 볼 베어링의 도시기호는?
     1.
     2.
     3.
     4.

     정답 : []
     정답률 : 67%
     <문제 해설>
1. 복렬 깊은 홈
2. 복렬 자동 조심
3. 복렬 앵귤러
[해설작성자 : 욤]

26. 기하공차의 도시 방법에서 위치도를 나타내는 것은?
     1.
     2.
     3.
     4.

     정답 : []
     정답률 : 86%
     <문제 해설>
1. 원통도
2. 진원도
3. 동심도(동축도)
4. 위치도
[해설작성자 : comcbt.com 이용자]

27. 그림과 같이 제 3각법으로 나타낸 정면도와 평면도에 가장 적합한 우측면도는?

    

     1.
     2.
     3.
     4.

     정답 : []
     정답률 : 78%

28. 도면에 마련되는 양식의 종류 중 작성부서, 작성자, 승인자, 도면명칭, 도면번호 등을 나타내는 양식은?
     1. 표제란
     2. 부품란
     3. 중심마크
     4. 비교눈금

     정답 : []
     정답률 : 86%

29. 그림과 같은 정투상도(정면도와 평면도)에서 우측면도로 가장 적합한 것은?

    

     1.
     2.
     3.
     4.

     정답 : []
     정답률 : 65%

30. 기하학적 형상의 특성을 나타내는 기호 중 자유상태 조건을 나타내는 기호는?
     1.
     2.
     3.
     4.

     정답 : []
     정답률 : 70%
     <문제 해설>
P:돌출공차역
M:최대 질량의 실체를 갖는 조건
F:자유상태조건
S:규제기호로 표시하지 않음
[해설작성자 : ㅇㅇ]

31. 필릿 용접 기호 중 화살표 반대쪽에 필릿 용접을 지시하는 것은?(오류 신고가 접수된 문제입니다. 반드시 정답과 해설을 확인하시기 바랍니다.)
     1.
     2.
     3.
     4.

     정답 : []
     정답률 : 72%
     <문제 해설>
실선과 점선이 같이 있을 때는 실선에 용접기호가 있을 때는 화살표 쪽에 용접한다.
실선과 점선티 같이 있을 때는 점선에 용접기호가 있을 때는 화살표 반대 쪽에 용접한다.
실선만 있을 때는 실선 위에 용접 기호가 있을 때는 화살 쪽 반대쪽에 용접한다.
실선만 있을 때는 실선 아래에 용접 기호가 있을 때는 화살쪽에 용접한다.
[해설작성자 : 부경대]

아래와 같은 오류 신고가 있었습니다.
여러분들의 많은 의견 부탁 드립니다.
추후 여러분들의 의견을 반영하여 정답을 수정하도록 하겠습니다.
참고로 정답 변경은 오류 신고 5회 이상일 경우 수정합니다.

[오류 신고 내용]
이거 3번도 정답 아닌가요?
[해설작성자 : ㄴㄴ]

[추가 오류 신고]
2,3번 둘다 정답이네요
용접 기호가 실선+파선으로 개정 되었으나 3번의 경우 아직 현업 도면에 적용 되어있는곳이 있어서...
[해설작성자 : Alicl]

[관리자 입니다.
문제지 사진원본 확인해 봤는데
정답은 2번이네요.
관련 규정이 개정 되었을 경우 개정된 법령집 내용 및 링크 삽입부탁 드립니다.
그외 다른 문제집 확인 가능한분 계시면 확인 부탁 드립니다.
신고시 출판사명까지 기제 부탁 드립니다.]

32. 의 구멍과 축 사이의 최소 죔새는?
     1. 0.053
     2. 0.037
     3. 0.021
     4. 0.005

     정답 : []
     정답률 : 60%
     <문제 해설>
축의 최소허용치수=40-0.016
구멍의 최대허용치수=40-0.021
최소죔새 : 축의 최소허용치수 - 구멍의 최대허용치수
=0.005
[해설작성자 : 부경대]

33. 그림과 같은 도면에서 가는 실선이 교차하는 대각선 부분은 무엇을 의미하는가?

    

     1. 평면이라는 뜻
     2. 나사산 가공하는 뜻
     3. 가공에서 제외하는 뜻
     4. 대각선의 홈이 파여 있다는 뜻

     정답 : []
     정답률 : 86%

34. V-블록을 3각법으로 정투상한 그림과 같은 도면에서 “A”부분의 치수는?

    

     1. 6
     2. 7
     3. 9
     4. 10

     정답 : []
     정답률 : 86%
     <문제 해설>
평면도와 우측면도를 확인하시면 16-7의 값이 A로 정해집니다.
[해설작성자 : 동남사거리]

35. 재료 기호가 “SS 275”로 나타났을 때 이 재료의 명칭은?
     1. 탄소강 단강품
     2. 용접 구조용 주강품
     3. 기계 구조용 탄소 강재
     4. 일반 구조용 압연 강재

     정답 : []
     정답률 : 75%
     <문제 해설>
탄소강 단강품:SF
기계구조용 탄소강재:SM+두자리 숫자+C
일반구조용 압연강재:SS
[해설작성자 : DFDF]

용접 구조용 주강품 : SCW
[해설작성자 : 릪]

36. 치수 기입의 원칙에 관한 설명으로 옳지 않은 것은?
     1. 치수는 되도록 주 투상도에 집중하여 기입한다.
     2. 치수는 되도록 공정마다 배열을 분리하여 기입한다.
     3. 치수는 기능, 제작, 조립을 고려하여 명료하게 기입한다.
     4. 중요치수는 확인하기 쉽도록 중복하여 기입한다.

     정답 : []
     정답률 : 86%
     <문제 해설>
치수는 중복하여 기입하지 않는다.
[해설작성자 : 릪]

37. 다음 용접기호가 나타내는 용접 작업 명칭은?

    

     1. 가장자리 용접
     2. 표면 육성
     3. 개선 각이 급격한 V형 맞대기 용접
     4. 표면 접합부

     정답 : []
     정답률 : 57%

38. 도면에서 부분 확대도를 그리는 경우로 가장 적합한 것은?
     1. 특정한 부분의 도형이 작아서 그 부분의 상세한 도시나 치수기입이 어려울 때 사용한다.
     2. 도형의 크기가 클 경우에 사용한다.
     3. 물체의 경사면을 실제 길이로 투상하고자 할 때 사용한다.
     4. 대상물의 구멍, 홈 등과 같이 그 부분의 모양을 도시하는 것으로 충분한 경우에 사용한다.

     정답 : []
     정답률 : 83%

39. 그림과 같은 입체도의 정면도(화살표 방향)로 가장 적합한 것은?

    

     1.
     2.
     3.
     4.

     정답 : []
     정답률 : 81%

40. 다음 공ㆍ유압 장치의 조작 방식을 나타낸 그림 중에서 전기 조작에 의한 기호는?
     1.
     2.
     3.
     4.

     정답 : []
     정답률 : 58%
     <문제 해설>
1. 솔레노이드(전자 방식)-1코일
2.일반기호(기계적 방식)
3.스프링(기계적 방식)
4.롤러(기계적 방식)
[해설작성자 : a piss candy]

3과목 : 기계설계 및 기계재료


41. 아연을 소량 첨가한 황동으로 빛깔이 금색에 가까워 모조금으로 사용되는 것은?
     1. 톰백(tombac)
     2. 델타 메탈(delta metal)
     3. 하드 블라스(hard brass)
     4. 문쯔 메탈(muntz metal)

     정답 : []
     정답률 : 79%
     <문제 해설>
톰백 : 모조금 아연 5~20%, 전연성 좋고 색이 금색이라 모조금으로 사용, 판재 사용
[해설작성자 : 부경대]

42. 열가소성 재료의 유동성을 측정하는 시험방법은?
     1. 로크웰 시험법
     2. 브리넬 시험법
     3. 멜트 인덱스법
     4. 샤르피 시험법

     정답 : []
     정답률 : 62%
     <문제 해설>
로코웰 브리넬 샤르피는 충격시험의 일종입니다
[해설작성자 : 필리핀로맨티스트조수난]

43. 금속의 결정 구조 중 체심입방격자(BCC)인 것은?
     1. Ni
     2. Cu
     3. Al
     4. Mo

     정답 : []
     정답률 : 54%
     <문제 해설>
체심입방격자(BCC):크롬(Cr), 텅스텐(W), 몰리브덴(Mo), 바나듐(V), 리튬(Li), 나트륨(Na), 탄탈(Ta), 칼륨(K)
면심입방격자(FCC):알루미늄(Al), 은(Ag), 금(Au), 구리(Cu), 니켈(Ni), 납(Pb), 칼슘(Ca)
조밀육방격자(HCP):마그네슘(Mg), 아연(Zn), 카드뮴(Cd), 티탄(Ti), 베릴륨(Be), 지르코늄(Zr), 세륨(Ce), 코발트(Co)
[해설작성자 : dfdfd]

44. 담금질한 후 치수의 변형 등이 없도록 심냉처리 해야 하는 강은?
     1. 실루민
     2. 문쯔메탈
     3. 두랄루민
     4. 게이지강

     정답 : []
     정답률 : 56%
     <문제 해설>
게이지강은 치수를 재는 것에 사용되는 강이므로 변형이 없어야함
[해설작성자 : 부경대]

45. 탄소 함유량이 약 0.85%C~2.0%C에 해당하는 강은?
     1. 공석강
     2. 아공석강
     3. 과공석강
     4. 공정주철

     정답 : []
     정답률 : 48%
     <문제 해설>
아공석강: 0.03~0.08%
공석강: 0.8%
[해설작성자 : eri]

46. 진동에너지를 흡수하는 능력이 우수하여 공작기계의 베드 등에 가장 적합한 재료는?
     1. 회주철
     2. 저탄소강
     3. 고속도공구강
     4. 18-8스테인리스강

     정답 : []
     정답률 : 60%
     <문제 해설>
회주철은 진동에너지를 흡수하는 감쇠능력이 뛰어나 공작 기계의 베드, 프레임 및 기계 구조물의 몸체 등에 널리 사용되고 있다.
[해설작성자 : 부경대]

47. 비정질 합금에 관한 설명으로 틀린 것은?
     1. 전기 저항이 크다.
     2. 구조적으로 장거리의 규칙성이 있다.
     3. 가공경화 현상이 나타나지 않는다.
     4. 균질한 재료이며, 결정 이방성이 없다.

     정답 : []
     정답률 : 47%
     <문제 해설>
비정질 합금은 결정구조를 가지지 않는 아몰포스 구조를 하고 있어 경도와 강도가 높고 인성 또한 우수하며, 자기적 특성이 우수하여 변압기용 철심 등에 활용 된다.
[해설작성자 : 부경대]

비정질합금은 외부는 고체 내부는 액체이므로 규칙성이 없다
[해설작성자 : 기계재료]

48. 노 내에서 Fe-Si, Al 등의 강력한 탈산제를 첨가하여 완전히 탈산시킨 강은?
     1. 킬드강(killed steel)
     2. 림드강(rimmed steel)
     3. 세미킬드강(semi-killed steel)
     4. 세미림드강(semi-rimmed steel)

     정답 : []
     정답률 : 69%
     <문제 해설>
림드강 : 탈산량이 적어 기포가 많은 편
세미킬드강 : 림드강과 킬드강의 중간 정도로 기포가 적은 편
[해설작성자 : comcbt.com 이용자]

49. 강 표면에 Al을 침투시키는 표면 경화법은?
     1. 크로마이징
     2. 칼로라이징
     3. 실리콘나이징
     4. 보로나이징

     정답 : []
     정답률 : 81%
     <문제 해설>
크로마이징 : Cr(크롬) 침투
칼로라이징 : Al(알루미늄) 침투
실리콘나이징 : Si(규소) 침투
보로나이징 : B(붕소) 침투
[해설작성자 : 릪]

50. 항공기 재료에 많이 사용되는 두랄루민의 강화 기구는?
     1. 용질강화
     2. 시효경화
     3. 가공경화
     4. 마텐자이트 변태

     정답 : []
     정답률 : 66%
     <문제 해설>
시효 경화 : 금속재료를 일정한 시간 적당한 온도하에 놓아두면 단단해지는 현사으로 상온에서 일어나는 것은 알루미늄합금, 납합금 등 녹는점이 낮은 금속의 합금이며 구리합금 등은 가열하지 않으면 일어나지 않는다.
[해설작성자 : 부경대]

시효경화:담금질한 알루미늄합금이 과포화 고용체가 상온에서 제2상을 석출하여 시간이 지남에 따라 강도,경도가 증가하는 현상으로 두랄루민과 철(Fe), 황동이 시효경화를 잘 일으킨다.
[해설작성자 : ㅇㄹㅇㄹㅇ]

51. 폭(b)×높이(h)=10mm×8mm인 묻 힘 키가 전동축에 고정되어 0.25 kNㆍm의 토크를 전달 할 때, 축지름은 약 몇 mm 이상이어야 하는가? (단, 키의 허용 전단응력은 36MPa 이며, 키의 길이는 47mm이다.)
     1. 29.6
     2. 35.3
     3. 41.7
     4. 50.2

     정답 : []
     정답률 : 35%
     <문제 해설>
축의 지름을 구하기 위해서는    반지름을 먼저구합니다.
-공식-
T(토오크)=P(축에가해지는 힘)x r(반지름)
r(반지름)=T/P 이된다.    [Zaw(키의 허용 전단응력)=P / b(폭)xㅣ(길이)]
P를 구할려면 P=Zaw x b x l 이다
P=16920N -> 16.92KN 따라서 0.25KN/16.92KN = 반지름(0.01478m -> 14.78mm)
축의 지름은 D = 2r 답은 29.6mm나온다.



[해설작성자 : 구기]

축직경 d = 2*250*10^3 / 10*47*36 = 29.55mm
[해설작성자 : sdsds]

52. 래크 공구로 모듈 5, 압력각은 20°, 잇수는 15인 인벌류트 치형의 전위 기어를 가공하려 한다. 이때 언더컷을 방지하기 위하여 필요한 이론 전위량은 약 mm 인가?
     1. 0.124
     2. 0.252
     3. 0.510
     4. 0.613

     정답 : []
     정답률 : 22%
     <문제 해설>
전위계수 1 - z/2 x sin^2(a)     = 0.122666
전위량 = 모듈X전위계수                 = 5x0.122666 = 0.61333

[해설작성자 : ㅅㅣㅁㅅㅣㅁ]

53. 베이링 설치 시 고려해야 하는 예압(preload)에 관한 설명으로 옳지 않은 것은?
     1. 예압은 축의 흔들림을 적게 하고, 회전 정밀도를 향상시킨다.
     2. 베어링 내부 틈새를 줄이는 효과가 있다.
     3. 예압량이 높을수록 예압 효과가 커지고, 베어링 수명에 유리하다.
     4. 적절한 예압을 적용할 경우 베어링의 강성을 높일 수 있다.

     정답 : []
     정답률 : 75%
     <문제 해설>
베어링예압:베어링을 축에 조립할 때 치수공차에의한 유격을 조정하기 위하여 압력을 주어 베어링을 조립하는 것으로서, 축 회전의 흔들림, 진동 및 소음저감, 처짐이 없고 강성도가 높아지므로 베어링 및 기계의 수명이 향상된다.
[해설작성자 : ㄴㅇㄴㅇㄴ]

54. 평벨트 전동에서 유효장력이란 무엇인가?
     1. 벨트 긴장측 장력과 이완측 장력과의 차를 말한다.
     2. 벨트 긴장측 장력과 이완측 장력과의 비를 말한다.
     3. 벨트 긴장측 장력과 이완측 장력의 평균값을 말한다.
     4. 벨트 긴장측 장력과 이완측 장력의 합을 말한다.

     정답 : []
     정답률 : 66%
     <문제 해설>
유효장력=긴장측 장력-이완측 장력
[해설작성자 : 부경대]

55. 두 축의 중심선이 어느 각도로 교차되고 그 사이의 각도가 운전 중 다소 변하여도 자유로이 운동을 전달 할 수 있는 축 이음은?
     1. 플랜지 이음
     2. 셀러 이음
     3. 올덤 이음
     4. 유니버설 이음

     정답 : []
     정답률 : 69%

56. 공업 제품에 대한 표준화를 시행 시 여러 장점이 있다. 다음 중 공업제품 표준화와 관련한 장점으로 거리가 먼 것은?
     1. 부품의 호완성이 유지된다.
     2. 능률적인 부품생산을 할 수 있다.
     3. 부품의 품질향상이 용이하다.
     4. 표준화 규격 제정 시에 소요되는 시간과 비용이 적다.

     정답 : []
     정답률 : 63%
     <문제 해설>
공업제품에 대한 표준화를 시행하기 위해서는 소요되는 시간과 비용이 많이 소요되는 단점이 있다.
[해설작성자 : 릪]

57. 두께 10mm의 강판에 지름 24mm의 리벳을 사용하여 1줄 겹치기 이음할 때 피치는 약몇 mm 인가? (단, 리벳에서 발생하는 전단응력은 35.5MPa이고, 강판에 발생하는 인장응력은 42.2MPa이다.)
     1. 43
     2. 62
     3. 55
     4. 74

     정답 : []
     정답률 : 40%
     <문제 해설>
(파이xdmm^2)/4x35.5MPa=(p-d)10mmx42.2MPa=W(하중)
(파이xdmm^2x35.5MPa)/(4x10mmx42.2MPa)=p-d=38
p=d+38mm=62mm
[해설작성자 : 일병 이주형 ㅠㅠ 전역언제하냐]

58. 10kN의 물체를 수직방향으로 들어올리기 위해서 아이볼트를 사용하려 할 때, 아이볼트 나사부의 최소 골지름은 약 몇 mm 인가? (단, 볼트의 허용인장응력은 50MPa이다.)
     1. 14
     2. 16
     3. 20
     4. 22

     정답 : []
     정답률 : 48%
     <문제 해설>
나사가 절단되는 부위는 골지름 부분이다.
(응력)=(하중)/(단면적)=(W)/(파이 X (D^2/4))
정리하면
D^2=4W/(파이X응력)
D^2=(4X10000)/(파이X50)
D^2=254.64790
D=15.957
[해설작성자 : Dark.T]

아래와 같은 오류 신고가 있었습니다.
여러분들의 많은 의견 부탁 드립니다.
추후 여러분들의 의견을 반영하여 정답을 수정하도록 하겠습니다.
참고로 정답 변경은 오류 신고 5회 이상일 경우 수정합니다.

[오류 신고 내용]
아이볼트는 축하중만 받는 경우의 대표적인 볼트이므로
축하중만 받는 경우로
(나사의 골지름)^2= 2*(축하중)/(허용인장응력) 이다.
즉, D^2 = 2 x 10000N / 50000000 Pa(N/m^2)
D^2 = 0.0004 m
D = 0.02 m
단위환산을 하면
D = 20mm 이다.
[해설작성자 : 정밀기계공학과 파이팅!]

[오류신고 반론]
50(응력)=10x10^3(하중)x4/pi x d^2
d=15.957
출처 : 삼원북스
[해설작성자 : 정수빈]

[오류신고 반론]
오류신고 해주신 분이 올린 내용은 나사의 바깥지름을 구하는 경우입니다.
문제 해설 및 [오류신고 반론] 에 제시된 내용은 나사의 골지름을 구하는 경우로, 문제의 해답이 됩니다.
[해설작성자 : ㅂㅈㄷ]

59. 드럼 지름이 300mm인 밴드 브레이크에서 1kNㆍm의 토크를 제동하려고 한다. 이 때 필요한 제동력은 약 몇 N 인가?
     1. 667
     2. 5500
     3. 6667
     4. 795

     정답 : []
     정답률 : 51%
     <문제 해설>
토크 T = F(제동력) X D(지름) / 2
1 = F X 0.3 / 2     (mm를 m로 변환)
F = 6.667kN = 6667N
[해설작성자 : Dark.T]

60. 그림과 같은 스프링 장치에서 전체 스프링 상수 K 는?

    

     1. K = k1 + k2
     2.
     3.
     4. K = k1×k2

     정답 : []
     정답률 : 69%
     <문제 해설>
1.병렬의 경우 스프링 상수
k = k1 + k2
2.직렬의 경우 스프링 상수
1/k = 1/k1 + 1/k2
[해설작성자 : 한국직업능력교육원 배곧]

61. 매개변수 μ 방향으로 3차 곡선, ν 방향으로 2차 곡선으로 이루어진 Bezier 곡면을 정의하기 위해 필요한 조정점의 개수는?
     1. 6
     2. 12
     3. 24
     4. 48

     정답 : []
     정답률 : 49%
     <문제 해설>
u방향 조정점 갯수 : (3+1)개
v방향 조정점 갯수 : (2+1)개
조정점 갯수는 4x3 즉 12개
[해설작성자 : 부경대]

62. CAD 용어에 대한 설명 중 틀린 것은?
     1. Pan : 도면의 다른 영역을 보기 위해 디스플레이 윈도를 이동시키는 행위
     2. Zoom : 대상물의 실제 크기(치수 포함)를 확대하거나 축소하는 행위
     3. Clipping : 필요 없는 요소를 제거하는 방법, 주로 그래픽에서 클리핑 윈도로 정의된 영역 밖에 존재하는 요소들을 제거하는 것을 의미
     4. Toggle : 명령의 실행 또는 마우스 클릭시마다 On 또는 Off가 번갈아 나타나는 세팅

     정답 : []
     정답률 : 65%
     <문제 해설>
ZOOM : 대상물의 실제 크기는 변함 없고 화면상의 대상물의 확대, 축소로 보여지게 하는 명령이다.
Scaling : 대상물의 실제 크기를 확대하거나 축소하는 행위이다.
[해설작성자 : 부경대]

63. 다음 중 CAD 소프트웨어가 갖추어야 할 기능으로 가장 거리가 먼 것은?
     1. 제조 공정 제어
     2. 데이터 변환
     3. 화면 제어
     4. 그래픽 요소 생성

     정답 : []
     정답률 : 73%
     <문제 해설>
제조 공정 제어 : CAM영역에서 갖추어야 할 기능이다.
[해설작성자 : 부경대]

64. 4개의 경계곡선이 주어진 경우, 그 경계곡선을 선형보간하여 만들어지는 곡선은?
     1. Coon's 곡면
     2. Bezier 곡면
     3. Blending 곡면
     4. Sweep 곡면

     정답 : []
     정답률 : 69%
     <문제 해설>
쿤스 곡면은 4개의 모서리 점과 4개의 경계 곡선을 부드럽게 연결한 곡면 표현법이다.
곡면이 간결한 장점이 있으나 곡면내부를 직접 조절하기가 어려운 단점이 존재한다
[해설작성자 : 이진섭]

65. CAD 시스템을 활용하는 방식에 따라 크게 3가지로 구분한다고 할 때 이에 해당하는 않는 것은?
     1. 연결형 시스템(connected system)
     2. 독립형 시스템(stand alone system)
     3. 중앙통제형 시스템(host based system)
     4. 분산처리형 시스템(distributed based system)

     정답 : []
     정답률 : 53%
     <문제 해설>
CAD 시스템을 활용하는 방식에 따라 크게 3가지로 분류됨
1. 독립형 시스템
2. 중앙통제형 시스템
3. 분산처리형 시스템
[해설작성자 : KWANGGU]

66. 와이어 프레임 모델의 장점에 해당하지 않는 것은?
     1. 데이터의 구조가 간단하다.
     2. 모델 작성이 용이하다.
     3. 투시도의 작성이 용이하다.
     4. 물리적 성질(질량)의 계산이 가능하다.

     정답 : []
     정답률 : 81%

67. 벡터의 성질과 관련하여 다음 중 틀린 것은? (단, 는 공간상의 벡터를 나타내고, 는 스칼라 양을 나타낸다.)
     1.
     2.
     3.
     4.

     정답 : []
     정답률 : 57%
     <문제 해설>
아래와 같은 오류 신고가 있었습니다.
여러분들의 많은 의견 부탁 드립니다.
추후 여러분들의 의견을 반영하여 정답을 수정하도록 하겠습니다.
참고로 정답 변경은 오류 신고 5회 이상일 경우 수정합니다.

[오류 신고 내용]
3번에 둘다 곱하기 입니다
[해설작성자 : 코카스]

[오류신고 반론]
3번 왼쪽은 벡터곱(외적)입니다. 일반적인 사칙연산의 곱과 유사한 오른쪽 벡터합(내적)과는 다릅니다.    
[해설작성자 : ㅇㅇ]

[추가 오류 신고]
3번 보기 두개다 곱하기 입니다
출처 윙큐 2020 기계설계산업기사

[오류신고 반론]
벡터는 교환 법칙이 성립하지 않는다.
→     →     →     →
a × b ≠ b × a
[해설작성자 : 릪]

[오류신고 반론]
맆님 말씀 대로 백터 곱샘은 교환법칙이 성립하지 않습니다
교환법칙 불가: cross product ( [3 4 9] x [1 2 3] != [1 2 3] x [3 4 9]    )    (결과:    벡터)
교환법칙 가능: dot product (    [3 4 9]·[1 2 3] = [1 2 3]·[3 4 9    )            (결과: 스케일러)

헷갈리지 마세요!!!!
[해설작성자 : 홍]

68. (x, y) 좌표 기반의 2차원 평면에서 다음 직선의 방정식 중 기울기의 절대값이 가장 큰 것은?
     1. 수평축에서 135도 기울어져 있는 직선
     2. 점 (10, 10), (25, 55)를 지나는 직선
     3. 직선의 방정식이 4y = 2x+7인 직선
     4. x축 절편이 3, y축 절편이 15인 직선

     정답 : []
     정답률 : 51%
     <문제 해설>
1. tan(135)=1, 기울기 1
2. y-55=(55-10)/(25-10) (x-25)
     y=3x-20, 기울기 3
3. y=0.5x+1.75, 기울기 0.5
4. y=ax+15, 0=3a+15, a=-5 기울기 -5

*절댓값이 가장 큰 것은 기울기 -5인 4번
[해설작성자 : comcbt.com 이용자]

69. 다음 중 CAD(Computer aided design) 시스템을 사용함으로써 얻을 수 있는 효과로 가장 거리가 먼 것은?
     1. 제품 설계 시간의 단축
     2. 구조해석, 응력해석 등이 가능
     3. 제품 가공 시간의 단축
     4. 설계 검증의 용이

     정답 : []
     정답률 : 69%
     <문제 해설>
CAD만으로 제품 가공 시간을 단축시킬 수는 없음.
[해설작성자 : 글적고갑니다]

제품가공 시간의 단축은 CAM(가공) 영역에서 갖추어야 할 기능이다
[해설작성자 : 릪]

70. 빛을 편광시키는 특성을 가진 유기화합물을 이용하여 투과된 빛의 특성을 수정하여 디스플레이 하는 방식으로 CRT 모니터에 비해서는 두께가 얇은 모니터를 만들 수 있으나 시야각이 다소 좁고 백라이트가 필요하며 어느 정도의 두께 이상은 줄일 수 없다는 단점을 가진 이 디스플레이 장치는?
     1. 플라지마 패널(plasma panel)
     2. 액정 디스플레이(liquid crystal display)
     3. 전자 발광 디스플레이(electroluminescent display)
     4. 래스터 스캔 디스플레이(raster scan display)

     정답 : []
     정답률 : 71%

71. 다음 중 B-Rep 모델링에서 토폴로지 요소간에 만족해야 하는 오일러-포앙카레 공식으로 옳은 것은? (단, V는 꼭지점의 개수, E는 모서리의 개수, F는 면 또는 외부 루프의 개수, H는 면상의 구멍 루프의 개수, C는 독립된 셸의 개수, G는 입체를 관통하는 구멍의 개수이다.)
     1. V + F + E + H = 2(C + G)
     2. V + F - E + H = 2(C + G)
     3. V + F - E - H = 2(C - G)
     4. V - F + E - H = 2(C - G)

     정답 : []
     정답률 : 47%
     <문제 해설>
오일러-포앙카레 공식
V+F-E-H=2*(C-G)
[해설작성자 : 부경대]

아래와 같은 오류 신고가 있었습니다.
여러분들의 많은 의견 부탁 드립니다.
추후 여러분들의 의견을 반영하여 정답을 수정하도록 하겠습니다.
참고로 정답 변경은 오류 신고 5회 이상일 경우 수정합니다.

[오류 신고 내용]
오일러 공식은 V-E+F-H=2가 맞습니다 수정부탁합니다
[해설작성자 : 뭘봐]

[관리자 입니다.
다른 문제집 확인 가능한분 계시면 확인 부탁 드립니다.
신고시 출판사명까지 기제 부탁 드립니다.]

임의의 한 다면체를 구성하는 점과 선, 면이 가지는 관계를 정리한 것을 오일러 다면체 정리라고 하며, 점의 개수에서 선의 개수를 뺀 값에 면의 개수를 더할 경우에 나오는 값이 일정하다는 정리이다

출처 윙큐 2020기계설계산업기사

[관리자 입니다.
관리자는 비 전공자라서 정확하게 설명해 주지 않으면 못알아 듣습니다.
정답이 뭔지 그리고 몇번이 고쳐야 하는지 등과 같은 방식으로
오류신고 부탁 드립니다.]

[오류신고 반론]
오일러공식: V+F-L=2
오일러-포앙카레공식: V+F-E-H=2(C-G)

출처: 구민사 기계설계산업기사 필기(2020)
[해설작성자 : eri]

72. 다음 중 서로 다른 CAD 시스템간의 데이터 상호 교환을 위한 표준화 파일형식을 모두 고른 것은?

    

     1. 가, 나, 다
     2. 가, 다, 라
     3. 가, 나, 라
     4. 나, 다, 라

     정답 : []
     정답률 : 64%
     <문제 해설>
데이터 표준 프로그램 : IGES, DXF, STEP, PHIGS, GKS, STL
[해설작성자 : 부경대]

73. 서피스 모델링(surface modeling)의 일반적인 특징으로 거리가 먼 것은?
     1. NC 데이터를 생성 할 수 있다.
     2. 은선 제거가 불가능하다.
     3. 질량 등 물리적 성질 계산이 곤란하다.
     4. 복잡한 형상표현이 가능하다.

     정답 : []
     정답률 : 62%

74. 공간상에서 곡면을 작성하고자 한다. 안내선(guide line)과 단면모양(section)으로 만들어지는 곡면은?
     1. Revolve 곡면
     2. Sweep 곡면
     3. Blending 곡면
     4. Grid 곡면

     정답 : []
     정답률 : 73%

75. 래스터 그래픽 장치의 프레임 버퍼(frame buffer)에서 8bit plane을 사용한다면 몇 가지 색상을 동시에 낼 수 있는가?
     1. 32
     2. 64
     3. 128
     4. 256

     정답 : []
     정답률 : 64%
     <문제 해설>
2^8 개 즉 256개
[해설작성자 : 부경대]

76. 솔리드 모델링의 데이터 구조 중 CSG(constructive solid geometry) 트리구조의 특징에 대한 설명으로 틀린 것은?
     1. 데이터 구조가 간단하고 데이터의 양이 적어 데이터 구조의 관리가 용이하다.
     2. CSG 트리로 저장된 솔리드는 항상 구현이 가능한 입체를 나타낸다.
     3. 화면에 입체의 형상을 나타내는 시간이 짧아 대화식 작업에 적합하다.
     4. 기본형상(primitive)의 파라미터만 간단히 변경하여 입체 형상을 쉽게 바꿀 수 있다.

     정답 : []
     정답률 : 52%
     <문제 해설>
CSG 방식은 복잡한 형상을 단순한 형상들의 조합으로 통해 명확한 모델 생성을 하는 방식이며 저장시 데이터가 간결하고 형상 수정이 용이하나 디스플레이의 계산이 오래걸려 입체의 형상을 나타내는 시간이 오래걸리고 이로인하여 대화식 작업을 하기에는 매우 비적합하다.
[해설작성자 : 이진섭]

77. CAD 시스템에서 원호를 정의하고자 한다. 다음 중 하나의 원호를 정의내릴 수 없는 경우는?
     1. 중심점과 원호의 시작점과 끝점, 그리고 시작점에서 원호가 그려지는 방향이 주어질 때
     2. 중심점과 원호의 시작점, 현의 길이 그리고 시작점에서 원호가 그려지는 방향이 주어질때
     3. 원호를 이루는 각각의 시작점, 중간점, 끝점이 주어질 때
     4. 중심점과 원호 반지름의 크기, 그리고 시작점에서 원호가 그려지는 방향이 주어질 때

     정답 : []
     정답률 : 47%
     <문제 해설>
중심점, 원호 반지름의 크기, 시작점에서 원호가 그려지는 방향, 원호의 크기가 주어져야 함
[해설작성자 : 부경대]

아래와 같은 오류 신고가 있었습니다.
여러분들의 많은 의견 부탁 드립니다.
추후 여러분들의 의견을 반영하여 정답을 수정하도록 하겠습니다.
참고로 정답 변경은 오류 신고 5회 이상일 경우 수정합니다.

[오류 신고 내용]
4번은 중심점+반지름+방향으로 가능합니다.
정답은 2번입니다. 현의길이로 정의할 수 있는 경우는 없습니다.
[해설작성자 : 원호]

[오류신고 반론]
나합격 문제집 해설에 답은 4번으로 나와있습니다.
2015년 2회차 문제에 비슷한 문제가 출제된 적이있는데
캐드시스템에서 원호를 정의하는 방법은
1.원호의 시작점,중심점,각도를 입력
2.원호의 시작점,중심점,끝점을 입력
3.원호의 시작점,중심점,현의길이를 입력
이렇게 세가지 경우가 있다고 해설되어 있습니다.
4번은 시작점에서 원호가 그려지는 방향이 주어졌지 시작점이 주어졌다는 소리는 아닌거 같아서 4번인거 같네요.
[해설작성자 : ㅇㅇ]

[오류신고 반론]
2번이 맞는 이유는 시작점과 현의 길이 정보가 있으면, 원호의 끝점을 알 수 있기 때문입니다.
4번이 틀린 이유는 원호의 끝점 정보가 없기 때문입니다.(주어진 정보로는 끝점을 유추할 수 없음)

촐처: 구민사 기계설계산업기사 필기(2020)
[해설작성자 : eri]

[관리자 입니다.
다른 문제집 확인 가능한분 계시면 확인 부탁 드립니다.
신고시 출판사명까지 기제 부탁 드립니다.]

78. 3차원 그래픽스 처리를 위한 ISO 국제표준의 하나로서 ISO-IEC TTC 1/SC 24에서 제정한 국제 표준으로 구조체 개념을 가지고 있는 것은?
     1. PHIGS
     2. DTD
     3. SGML
     4. SASIG

     정답 : []
     정답률 : 64%
     <문제 해설>
PHIGS : 3차원의 움직이는 물체를 실제처럼 화면에 나타나게 함
항공 교통망 시뮬레이션, 몰 분자 모델링분야, 도형 구성 분야 등에서 사용
[해설작성자 : 부경대]

79. 그림과 같은 꽃병 형상의 도형을 그리기에 가장 적합한 방법은?

    

     1. 오프셋 곡면
     2. 원추 곡면
     3. 회전 곡면
     4. 필릿 곡면

     정답 : []
     정답률 : 76%

80. 벡터 가 존재한다. a1, a2, a3는 x, y, z축 방향의 변위 일 때 벡터의 크기 는?
     1.
     2.
     3.
     4.

     정답 : []
     정답률 : 50%
     <문제 해설>
            →
벡터 a = 3i + 4j + 5k
            →
벡터 a = (3,4,5)좌표로 표시
            →                            →
벡터 a 의 크기 |a|= √32+42+52 = 7.07
[해설작성자 : 릪]


정 답 지

1

2

3

4

5

6

7

8

9

10

11

12

13

14

15

16

17

18

19

20

21

22

23

24

25

26

27

28

29

30

31

32

33

34

35

36

37

38

39

40

41

42

43

44

45

46

47

48

49

50

51

52

53

54

55

56

57

58

59

60

61

62

63

64

65

66

67

68

69

70

71

72

73

74

75

76

77

78

79

80

기계설계산업기사 필기 기출문제(해설) 및 CBT 2017년08월26일을 이용해 주셔서 감사합니다.
, 필기, 기출문제, 전자문제집, CBT, 온라인, 모의테스트, 모의고사



List of Articles
번호 제목 글쓴이 날짜 조회 수
7869 기계설계산업기사 필기 기출문제(해설) 및 CBT 2018년03월04일(700) 좋은아빠되기 2025.11.25 4
» 기계설계산업기사 필기 기출문제(해설) 및 CBT 2017년08월26일(699) 좋은아빠되기 2025.11.25 2
7867 기계설계산업기사 필기 기출문제(해설) 및 CBT 2017년05월07일(698) 좋은아빠되기 2025.11.25 4
7866 기계설계산업기사 필기 기출문제(해설) 및 CBT 2017년03월05일(697) 좋은아빠되기 2025.11.25 2
7865 기계설계산업기사 필기 기출문제(해설) 및 CBT 2016년08월21일(696) 좋은아빠되기 2025.11.25 4
7864 기계설계산업기사 필기 기출문제(해설) 및 CBT 2016년05월08일(695) 좋은아빠되기 2025.11.25 3
7863 기계설계산업기사 필기 기출문제(해설) 및 CBT 2016년03월06일(694) 좋은아빠되기 2025.11.25 3
7862 기계설계산업기사 필기 기출문제(해설) 및 CBT 2015년08월16일(693) 좋은아빠되기 2025.11.25 4
7861 기계설계산업기사 필기 기출문제(해설) 및 CBT 2015년05월31일(692) 좋은아빠되기 2025.11.25 1
7860 기계설계산업기사 필기 기출문제(해설) 및 CBT 2015년03월08일(691) 좋은아빠되기 2025.11.25 4
7859 기계설계산업기사 필기 기출문제(해설) 및 CBT 2014년08월17일(690) 좋은아빠되기 2025.11.25 2
7858 기계설계산업기사 필기 기출문제(해설) 및 CBT 2014년05월25일(689) 좋은아빠되기 2025.11.25 4
7857 기계설계산업기사 필기 기출문제(해설) 및 CBT 2013년08월18일(688) 좋은아빠되기 2025.11.25 1
7856 기계설계산업기사 필기 기출문제(해설) 및 CBT 2013년03월10일(687) 좋은아빠되기 2025.11.25 4
7855 기계설계산업기사 필기 기출문제(해설) 및 CBT 2012년05월20일(686) 좋은아빠되기 2025.11.25 2
7854 기계설계산업기사 필기 기출문제(해설) 및 CBT 2012년03월04일(685) 좋은아빠되기 2025.11.25 4
7853 기계설계산업기사 필기 기출문제(해설) 및 CBT 2011년10월02일(684) 좋은아빠되기 2025.11.25 1
7852 기계설계산업기사 필기 기출문제(해설) 및 CBT 2011년06월12일(683) 좋은아빠되기 2025.11.25 4
7851 기계설계산업기사 필기 기출문제(해설) 및 CBT 2006년09월10일(682) 좋은아빠되기 2025.11.25 3
7850 기계설계산업기사 필기 기출문제(해설) 및 CBT 2006년05월14일(681) 좋은아빠되기 2025.11.25 4
Board Pagination Prev 1 ... 437 438 439 440 441 442 443 444 445 446 ... 835 Next
/ 835