자격증 필기 기출문제



방송통신산업기사(구) 필기 기출문제(해설) 및 CBT 2002년09월08일(884)

최강 자격증 기출문제 전자문제집 CBT : www.comcbt.com


전자문제집 CBT란?

종이 문제집이 아닌 인터넷으로 문제를 풀고 자동으로 채점하며 모의고사, 오답 노트, 해설까지 제공하는
무료 기출문제 학습 프로그램으로 실제 상설검정에서 사용하는 OMR 형식의 CBT를 제공합니다.


최신 방송통신산업기사(구) 필기 기출문제 : [다운로드]

1과목 : 디지털 전자회로


1. 다음 그림의 회로는 무슨 회로인가?

   

     1. 미분기
     2. 적분기
     3. 가산기
     4. 증폭기

     정답 : []
     정답률 : 알수없음

2. 트랜지스터의 활성영역에서 베이스 접지시 전류증폭율 α 가 0.98, 역포화 전류 Ico가 100[㎂], 베이스 전류가 IB = 10[㎃]일 때, 콜렉터 전류 IC는?
     1. 495[㎃]
     2. 49.5[㎃]
     3. 4.9[㎂]
     4. 0.5[㎂]

     정답 : []
     정답률 : 알수없음

3. 다음은 수정편의 리액턴스 특성이다. 발진에 이용될 주파수 범위는?

   

     1. ωS < ω < ωP
     2. ω P < ω
     3. ω S < ω
     4. ω S > ω > ω P

     정답 : []
     정답률 : 알수없음

4. 다음중 그 값이 작을수록 좋은 것은?
     1. 증폭기 바이어스 회로의 안정계수
     2. 차동 증폭기의 동상신호 제거비(CMRR)
     3. 증폭기의 신호대 잡음비
     4. 정류기의 정류효율

     정답 : []
     정답률 : 알수없음

5. 정논리회로에서의 다음 트랜지스터 회로의 기능은?

   

     1. OR회로
     2. AND회로
     3. NAND회로
     4. EOR회로

     정답 : []
     정답률 : 알수없음

6. 다음 부울대수식과 등가인 것은?

   

     1. AㆍBㆍ(A+C)
     2. (A+B)ㆍ(A+C)
     3. (A+B)ㆍAㆍC
     4.

     정답 : []
     정답률 : 알수없음

7. 두개의 입력이 동시에 1 이 되었을 때에도 불확실한 출력상태가 되지 않도록 두개의 Flip-Flop을 사용한 회로는?
     1. RS F-F
     2. D F-F
     3. Master slave F-F
     4. T F-F

     정답 : []
     정답률 : 알수없음

8. 변조도가 100[%]인 AM파의 출력 전력이 6[KW]라면 반송파 성분의 전력은 얼마인가?
     1. 2[KW]
     2. 4[KW]
     3. 8[KW]
     4. 12[KW]

     정답 : []
     정답률 : 알수없음

9. 발진이 생성될 수 있는 기본조건은?
     1. 회로의 증폭률이 최소 5 이상 필요하다.
     2. 증폭기에 부궤환회로를 부가한다.
     3. 공진결합회로가 필요하다.
     4. 증폭기에 정궤환회로를 부가한다.

     정답 : []
     정답률 : 알수없음

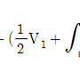
10. 다음 연산 증폭기에서 출력 전압의 크기는?

    

     1. V0 = 100(V2 - V1)
     2. V0 = V2 + V1
     3. V0 = 99(V1 - V2)
     4. V0 = V2 - V1

     정답 : []
     정답률 : 알수없음

11. 전원회로에서 무부하시 600[V], 부하시 500[V] 였다면 전압변동률은 얼마인가?
     1. 20%
     2. 30%
     3. 35%
     4. 45%

     정답 : []
     정답률 : 알수없음

12. 다음 논리 회로 중 팬 아웃(fan out)의 수가 많은 회로는?
     1. DTL 게이트
     2. TTL 게이트
     3. RTL 게이트
     4. DL 게이트

     정답 : []
     정답률 : 알수없음

13. 다음 중 레지스터의 기능은?
     1. 펄스 발생기이다.
     2. 카운터의 대용으로 쓰인다.
     3. 회로를 동기시킨다.
     4. 데이터를 일시 저장한다.

     정답 : []
     정답률 : 알수없음

14. PLL의 구성에 불필요한 것은?
     1. 위상검출기(PD)
     2. 전압제어 발진기(VCO)
     3. 저역통과필터(LPF)
     4. 자동주파수 제어(AFC)

     정답 : []
     정답률 : 알수없음

15. R-S Flip-Flop을 J-K Flip-Flop으로 만들고자 할 때 필요한 게이트(gate)는?
     1. OR gate 2개
     2. AND gate 2개
     3. NOR gate 2개
     4. NAND gate 2개

     정답 : []
     정답률 : 알수없음

16. 플립플롭을 구성하는데 주로 이용되는 회로는?
     1. 쌍안정 멀티바이브레이터
     2. 단안정 멀티바이브레이터
     3. 비안정 멀티바이브레이터
     4. 무안정 멀티바이브레이터

     정답 : []
     정답률 : 알수없음

17. 주파수 3[㎑]로 3[㎒]의 반송파를 주파수 변조하였을때 최대 주파수 편이가 ± 75[㎑]라면 소요 대역폭은?
     1. 225[㎑]
     2. 156[㎑]
     3. 150[㎑]
     4. 112.5[㎑]

     정답 : []
     정답률 : 알수없음

18. 수정발진회로가 갖는 가장 큰 특징은?
     1. 잡음의 경감
     2. 출력의 증대
     3. 효율의 증대
     4. 발진주파수의 안정

     정답 : []
     정답률 : 알수없음

19. 전가산기(full adder)의 입출력 구조는?
     1. 입력 2개, 출력 2개
     2. 입력 3개, 출력 2개
     3. 출력 3개, 입력 2개
     4. 출력 3개, 입력 3개

     정답 : []
     정답률 : 알수없음

20. 다음 중 연산 증폭기의 특성과 관련 없는 것은?
     1. 높은 이득
     2. 낮은 CMRR
     3. 높은 입력 임피던스
     4. 낮은 출력 임피던스

     정답 : []
     정답률 : 알수없음

2과목 : 방송통신 기기


21. 방송통신기기 국내 위성 방송에서 사용하고 있는 전파의 편파는?
     1. 수직편파
     2. 수평편파
     3. 우회전편파
     4. 좌회전편파

     정답 : []
     정답률 : 알수없음

22. 지상 TV 방송을 위해서는 일반적으로 VHF 및 UHF 주파수대가 이용된다. 현재 우리나라에서 지상 TV 방송용으로 이용되고 있는 주파수대가 아닌 것은?
     1. 54 ㎒ - 88 ㎒
     2. 114 ㎒ - 156 ㎒
     3. 174 ㎒ - 216 ㎒
     4. 470 ㎒ - 890 ㎒

     정답 : []
     정답률 : 알수없음

23. HDTV, 디지털 영상 저장, 영상 전화 등에 사용되는 영상 압축방식이 아닌 것은?
     1. AC-2
     2. JPEG
     3. MPEG
     4. H.261

     정답 : []
     정답률 : 알수없음

24. TV의 영상신호 전송방식은?
     1. 직렬전송방식
     2. 병렬전송방식
     3. 직병렬전송방식
     4. 종속전송방식

     정답 : []
     정답률 : 알수없음

25. 우리나라의 지상파 디지털 TV규격중 맞는것은?
     1. 변조방식 : 8-VSB, 영상 : MPEG-2 MP@ML 및 MP@HL, 음성 : AC-3
     2. 변조방식 : 16-VSB, 영상 : MPEG-2 MP@ML 및 MP@HL, 음성 : AC-3
     3. 변조방식 : 16-VSB, 영상 : MPEG-2 MP@ML 및 MP@HL, 음성 : MPEG-1
     4. 변조방식 : COFDM, 영상 : MPEG-2 MP@ML 및 MP@HL, 음성 : AC-3

     정답 : []
     정답률 : 알수없음

26. NTSC방식의 텔레비전 방송에서 1초간에 전송되는 화상의 수는 얼마인가?
     1. 30개
     2. 60개
     3. 50개
     4. 1152개

     정답 : []
     정답률 : 알수없음

27. 다음 그림은 방송국에서 TV 신호의 발생 및 송신과정을 나타낸 것이다. (A)와 (B)에 들어갈 적절한 기기는?

    

     1. A : 혼합기 B : 발진신호 발생
     2. A : 편향기 B : 동기신호 발생
     3. A : 색혼합기 B : 칼라신호 발생
     4. A : 색조정기 B : 반송파신호 발생

     정답 : []
     정답률 : 알수없음

28. 그림에서 아날로그신호 s(t)를 표본화 주기 1[sec], 양자화 레벨 4인 PCM으로 변조한 결과중 옳은 것은?

    

     1. 000110110100
     2. 011011010010
     3. 011100011100
     4. 001011011000

     정답 : []
     정답률 : 알수없음

29. 반송파주파수가 100[KHz]이고, 신호파주파수가 4[KHz]인 두 전파의 진폭변조 파형이 오실로스코프상에 나타나 있다. 이 파형에서 진폭이 가장 큰점의 높이는 5[cm]이고 진폭이 가장 낮은 점에서의 높이는 2[cm]라고 한다. 이 송신기의 출력이 150[Kw]일 때 반송파전력은 얼마인가?
     1. 137[Kw]
     2. 13.7[Kw]
     3. 147[Kw]
     4. 14.7[Kw]

     정답 : []
     정답률 : 알수없음

30. 영상신호에서 페데스탈 레벨과 흑색 레벨과의 차이를 의미하는 것은?
     1. 흑색 레벨
     2. 블랭킹 레벨
     3. 셋업 레벨
     4. 동기첨단 레벨

     정답 : []
     정답률 : 알수없음

31. MPEG-1 오디오 압축기법 중 LayerⅠ과 Ⅱ와 달리 LayerⅢ의 특징이 아닌 것은?
     1. 서브밴드 부호화
     2. MS 스테레오 부호화
     3. MDCT(Modified Discrete Cosine Transform, 변형 이산 여현 부호화)
     4. 허프만 부호화

     정답 : []
     정답률 : 알수없음

32. 칼라 TV 전송방식중 2개의 색차신호를 선순차방식으로 FM 변조하여 전송하고 수신측에서 1라인 메모리를 사용하여 동시신호로 변환하는 방식으로 전송계에서 생기는 일그러짐의 영향을 적게 받으며 색상이 변하지 않아 수상기의 색조정이 필요없는 전송방식은?
     1. SECAM방식
     2. PAL방식
     3. CAPTAIN방식
     4. NTSC방식

     정답 : []
     정답률 : 알수없음

33. 오디오믹서 (Audio Mixer)의 Equalizing의 기능을 가장 잘 설명한 것은?
     1. 소재음의 입력을 선택한다.
     2. 선택된 각 소재음의 레벨을 페이더(fader)에 의해 조정하는 기능이다.
     3. 음질을 조정하거나 불필요한음, 귀에 거슬리는 음 등을 제거하는 기능과 일부의 주파수 대역 성분만을 강조 하거나 감쇠시키는 기능이다.
     4. 믹서의 시스템 성능을 측정하기 위하여 믹서내에 내장되어 설치된 주파수 발생장치이다.

     정답 : []
     정답률 : 알수없음

34. 다음중 위성통신의 특징이 아닌것은?
     1. 이동통신에 적합하다.
     2. 고품질의 광대역 통신이 가능하다.
     3. 경제성이 있고 이용분야가 확대되고 있다.
     4. 위성회선으로 중계하는 경우 전송지연 없이 통신이 가능하다.

     정답 : []
     정답률 : 알수없음

35. 다음 그림은 광대역 FM송신기의 계통도를 나타낸 것이다. A,B,C 에 해당되는 것은?

    

     1. 미분기, IDC(클리퍼), 주파수 체배기
     2. 프리엠퍼시스, 주파수 체배기, 평형변조기
     3. 프리엠퍼시스, IDC(클리퍼), 주파수 체배기
     4. 미분기, 주파수체배기, 평형변조기

     정답 : []
     정답률 : 알수없음

36. 다음에서 설명하는 펄스통신방식은 연속 레벨변조방식 중 어느 것에 해당하는가?

    

     1. PAM (Pulse Amplitude Modulation)
     2. PWM (Pulse Width Modulation)
     3. PPM (Pulse Position Modulation)
     4. PAM (Pulse Frequency Modulation)

     정답 : []
     정답률 : 알수없음

37. 영상신호에서 Blanking level(귀선소거레벨)과 Reference white level(백색기준레벨)사이의 차를 백분율로 표시되며 움직이는 물체를 주사하는 시간동안의 Blanking level에 대한 평균신호레벨을 나타내는 용어는 다음중 어느것인가?
     1. Blanking level
     2. Chroma Signal
     3. APL (Average picture level)
     4. VIR (Vertical interval reference)

     정답 : []
     정답률 : 알수없음

38. TV방송의 영상조정장치의 특성 측정을 하기 위해 2T, 20T Pulse나 Sin2파형을 발생하는 장비는?
     1. Oscilloscope
     2. Spectrum Analyzer
     3. Distortion Meter
     4. Pattern Generater

     정답 : []
     정답률 : 알수없음

39. CATV 방송국이 방송신호를 직접 측정, 시험하기 위하여 갖추어야 할 장비에 속하지 않는 것은?
     1. 파형분석기
     2. 벡타스코프
     3. TV 신호발생기
     4. 비트에러 측정기

     정답 : []
     정답률 : 알수없음

40. 다음은 잡음지수와 종합잡음지수에 대한 설명이다. 틀린 것은?
     1. 잡음지수 F는 로 정의된다.
     2. 종합잡음지수는 최종 뒷단에 있는 종단 증폭기의 이득에 가장 큰 영향을 받는다.
     3. 종합잡음지수는 초단 증폭기의 잡음지수에 큰 영향을 받는다
     4. 낮은 종합잡음지수가 입출력 회로간의 반드시 낮은 VSWR을 동시에 만족시키지는 않는다.

     정답 : []
     정답률 : 알수없음

3과목 : 방송미디어 개론


41. FM 변조에서 신호파 주파수는 50[kHz], 최대 주파수 편이가 200[kHz]인 때의 변조지수는?
     1. 5
     2. 50
     3. 500
     4. 4

     정답 : []
     정답률 : 알수없음

42. 디지털 변조의 세가지 기본 형태가 아닌 것은?
     1. ASK
     2. FSK
     3. TSK
     4. PSK

     정답 : []
     정답률 : 알수없음

43. 다음 보기 중 기존 신문에 대한 인터넷신문의 장점으로 가장 거리가 먼 것은?
     1. 상호작용성
     2. 속보성
     3. 심층적보도
     4. 휴대성

     정답 : []
     정답률 : 알수없음

44. 현재 아날로그 TV에서 사용되는 전송 방식은?
     1. 잔류측파대 변조방식
     2. 상측파대 변조방식
     3. 하측파대 변조방식
     4. 양측파대 변조방식

     정답 : []
     정답률 : 알수없음

45. 우리나라의 아날로그 텔레비전 표준방식은?
     1. NTSC
     2. PAL
     3. SECAM
     4. NAB

     정답 : []
     정답률 : 알수없음

46. 공중전기통신사업자로부터 회선을 빌려 컴퓨터를 이용한 네트워크를 구성, 정보의 축적· 처리· 가공을 하는 통신서비스 또는 그 네트워크를 제공하는 사업을 말하는 것으로 이(異)기종 호스트 컴퓨터간 접속이나 단말기와의 접속 프로토콜변환을 네트워크내에서 가능하도록 할 수 있는 것은?
     1. WLL
     2. VAN
     3. CDMA
     4. MMDS

     정답 : []
     정답률 : 알수없음

47. UHF 방송의 주파수 범위는?
     1. 30(㎒)∼300(㎒)
     2. 300(㎒)∼3000(㎒)
     3. 3(㎒)∼30(㎒)
     4. 30(㎑)∼300(㎑)

     정답 : []
     정답률 : 알수없음

48. 코드분할다중방식(CDMA)방식의 종류가 아닌 것은?
     1. DS(직접확산방식)
     2. FH(주파수 도약방식)
     3. TH(시간 도약방식)
     4. FR(프레임 릴레이방식)

     정답 : []
     정답률 : 알수없음

49. 내용의 해설 및 다큐멘터리 형식의 프로그램이나 드라마 줄거리 내용을 말로 설명하는 해설을 무엇이라고 하는가?
     1. 더빙
     2. 이벤트
     3. 리허설
     4. 나레이션

     정답 : []
     정답률 : 알수없음

50. 영상신호를 재현하고자 오실로스코프를 7875Hz에 동기시켰다. 이 때 화면에 재현되는 영상정보는 무엇인가?
     1. 비월주사에 대한 영상정보
     2. 필드에 대한 영상정보
     3. 프레임에 대한 영상정보
     4. 수평주사선의 영상정보

     정답 : []
     정답률 : 알수없음

51. TV방송전파를 이용하여 TV방송과 함께 동시에 2개 외국어로 정보를 전송할 수 있는 뉴미디어는?
     1. 문자다중 방송
     2. 음성다중방송
     3. 인터케스트 방송
     4. DARC

     정답 : []
     정답률 : 알수없음

52. 다중방송을 실시 목적으로 분류할 때 해당되지 않는 것은?
     1. 주 서비스를 고품질화 하기 위한 것
     2. 주 서비스를 고기능화 하기 위한 것
     3. 독립된 새로운 서비스를 실시하기 위한 것
     4. 기존의 서비스를 반복하기 위한 것

     정답 : []
     정답률 : 알수없음

53. 디지털 텔레비전 방송에서 채택하고 있는 영상압축 신호처리 방식은?
     1. JPEG
     2. M-JPEG
     3. ZIP-1
     4. MPEG-2

     정답 : []
     정답률 : 알수없음

54. 방송의 멀티미디어를 표방하는 21세기의 통합 디지털방송을 무엇이라 하는가?
     1. DBS
     2. RDS
     3. ISDB
     4. DTV

     정답 : []
     정답률 : 알수없음

55. 다음중 무선통신의 근본 원칙이 아닌 것은?
     1. 무선통신은 필요한 최소한의 사항만을 교신하여야 한다
     2. 무선통신에 사용되는 용어는 될 수 있는대로 간명하여야 한다.
     3. 통신상 오류를 인지할 때에는 반복해서 통신함으로서 오류를 제거해야 한다.
     4. 무선통신을 할 때에는 자국의 호출부호 호출명칭 또는 표식부호를 붙여 그 출처를 명확히 하여야 한다.

     정답 : []
     정답률 : 알수없음

56. MPEG-2 압축방식이 주로 사용되는 영역에 알맞는 것은?
     1. 정지화상의 기록 매체
     2. 실시간 재현을 위한 방송 영상매체
     3. 음성 및 화상의 압축을 위한 전기 통신매체
     4. 음성을 압축 저장 기록하는 매체

     정답 : []
     정답률 : 알수없음

57. 다음 중 영상 압축 알고리즘이 아닌 것은?
     1. DVI
     2. H.261
     3. MPEG
     4. G.722

     정답 : []
     정답률 : 알수없음

58. 문자방송은 TV 방송전파중 다음의 어느것을 이용하여 문자를 전송하는가?
     1. 수직귀선소거기간
     2. 수평귀선소거기간
     3. 순차주사기간
     4. 비월주사기간

     정답 : []
     정답률 : 알수없음

59. 다음 중 시각매체의 종류가 아닌 것은?
     1. 동영상
     2. 문자
     3. 화상
     4. 음향

     정답 : []
     정답률 : 알수없음

60. 사운드 카드에 다양한 효과를 주기위한 디지털 신호처리 칩을 의미하는 용어는?
     1. DSP (Digital Signal Processor)
     2. ADPCM (Adaptive Delta Pulse Code Modulation)
     3. DAC (Digital Analog Converter)
     4. ADC (Analog Digital Converter)

     정답 : []
     정답률 : 알수없음

61. 방송장비 설비공사시 접지(Grounding)방법이 틀린 것은?
     1. 방송 장비에 연결되는 접지선은 전력선 접지와 분리하여야 한다.
     2. 외부에서 공급되는 음향신호의 케이블 중 실드선은 접지에 연결하여 사용한다.
     3. 외부로부터 공급되는 영상신호의 접지는 FLOATING 시켜야 한다.
     4. 장비를 방송시설의 RACK에 장착시 상호 접지가 되도록 한다.

     정답 : []
     정답률 : 알수없음

62. 서브루틴에 대한 설명으로 틀린 것은?
     1. 자주 사용되는 일련의 프로그램은 서브루틴으로 구성한다.
     2. 인터럽트 발생시의 처리프로그램은 서브루틴으로 구성한다.
     3. 일반적으로 I/O 프로그램은 서브루틴으로 구성한다.
     4. 부프로그램은 주프로그램과 동시에 수행되도록 서브 루틴으로 구성한다.

     정답 : []
     정답률 : 알수없음

63. 송신 공중선의 형식과 구성에서 틀린 것은?
     1. 정합이 충분할 것
     2. 만족한 지향성을 얻을 수 있을 것
     3. 공중선의 이득이 높고 능률이 좋을 것
     4. 수신선의 이득과 능률의 가능한 작은 것

     정답 : []
     정답률 : 알수없음

64. 컴퓨터 시스템에서 명령형식을 보통 1-주소방식, 2-주소방식, 3-주소방식으로 분류하는 기준이 되는 것은?
     1. 기억 장치의 용량
     2. 명령어의 수
     3. 오퍼랜드의 수
     4. 레지스터의 수

     정답 : []
     정답률 : 알수없음

65. ASCII 코드에서 존(ZONE) 비트로 사용되는 비트의 수는?
     1. 1
     2. 2
     3. 3
     4. 4

     정답 : []
     정답률 : 알수없음

66. 전자계산기에서 계산속도가 빠른 단위 순서대로 나열된 것은?
     1. ps-ns-μs-ms
     2. μs-ps-ns-ms
     3. ms-μs-ns-ps
     4. ms-ns-μs-ps

     정답 : []
     정답률 : 알수없음

67. 마이크로프로세서의 주소지정방식중 옳지 않은 것은?
     1. 즉치주소방식(immediate addressing)
     2. 간접주소방식(indirect addressing)
     3. 참조주소방식(reference addressing)
     4. 인덱스주소방식(indexing addressing)

     정답 : []
     정답률 : 알수없음

68. 컴퓨터 시스템 성능 평가 요인들 중 해당되지 않는 것은?
     1. program size
     2. reliability
     3. throughput
     4. turnaround time

     정답 : []
     정답률 : 알수없음

69. 선형 리스트중 마지막으로 입력한 자료가 제일 먼저 출력되는 LiFO(Last in first out)구조는?
     1. 트리
     2. 스택
     3.
     4. 섹터

     정답 : []
     정답률 : 알수없음

70. 2진수 0111을 그레이 코드(Gray code)로 바꾸면 무엇인가?
     1. 1010
     2. 0100
     3. 0000
     4. 1111

     정답 : []
     정답률 : 알수없음

71. 방송법의 목적에 관련되지 않는 것은?
     1. 방송의 자유와 독립의 보장
     2. 민주적 여론 형성
     3. 방송사업자의 발전
     4. 국민문화의 향상

     정답 : []
     정답률 : 알수없음

72. 방송국 검사의 종류가 아닌 것은?
     1. 임시검사
     2. 변경검사
     3. 수시검사
     4. 정기검사

     정답 : []
     정답률 : 알수없음

73. 중계유선방송을 위한 수신공중선은 전파의 수신장애가 적은 장소에 설치하되, 다른 사람의 수신시설 또는 전기통신설비로부터 얼마이상 떨어져야 하는가?
     1. 1[m]
     2. 2[m]
     3. 2.5[m]
     4. 4.5[m]

     정답 : []
     정답률 : 알수없음

74. TV 영상신호를 TV 방송전파로 발사할 때는 다음 중 어느 방식을 일반적으로 채택하고 있는가?
     1. 양측파대 방식
     2. 잔류측파대 방식
     3. 단측파대 저감반송파 방식
     4. 단측파대 억압반송파 방식

     정답 : []
     정답률 : 알수없음

75. 보도, 교양, 오락, 등 다양한 방송 분야 상호간에 조화를 이루도록 방송 프로그램을 편성하는 것은?
     1. 종합편성
     2. 방송편성
     3. 방송분야
     4. 전문편성

     정답 : []
     정답률 : 알수없음

76. 입출력장치와 마이크로프로세서 사이의 접속장치(Interface)에서 악수하기 (Handshaking)라는 뜻은?
     1. CPU의 병렬데이터를 I/O장치에 맞추어 직렬 데이터로 변환하기
     2. CPU와 I/O 장치 사이의 제어신호 교환하기
     3. I/O장치의 전압높이를 CPU에 맞추기
     4. CPU가 사용하지 않는 버스를 I/O 장치에서 제어하기

     정답 : []
     정답률 : 알수없음

77. 지상파방송이나 위성방송 등을 수신하여 중계 송신하는 것을 무엇이라 하는가?
     1. 중계유선방송
     2. 종합유선방송
     3. 음악유선방송
     4. 자가유선방송

     정답 : []
     정답률 : 알수없음

78. 일반적으로 요구되는 수신설비의 조건이 아닌 것은?
     1. 내부잡음이 적을 것
     2. 명료도가 충분할 것
     3. 감도가 적을 것
     4. 선택도가 클 것

     정답 : []
     정답률 : 알수없음

79. 전파법에서 정한 공중선전력의 표시방법이 아닌 것은?
     1. 첨두전력
     2. 반송파전력
     3. 변조전력
     4. 평균전력

     정답 : []
     정답률 : 알수없음

80. 다음 중에서 일반적으로 프로그램을 수행하는데 필요하지 않는 장치는 어느 것인가?
     1. 보조기억장치
     2. 연산장치
     3. 제어장치
     4. 기억장치

     정답 : []
     정답률 : 알수없음


정 답 지

1

2

3

4

5

6

7

8

9

10

11

12

13

14

15

16

17

18

19

20

21

22

23

24

25

26

27

28

29

30

31

32

33

34

35

36

37

38

39

40

41

42

43

44

45

46

47

48

49

50

51

52

53

54

55

56

57

58

59

60

61

62

63

64

65

66

67

68

69

70

71

72

73

74

75

76

77

78

79

80

방송통신산업기사(구) 필기 기출문제(해설) 및 CBT 2002년09월08일을 이용해 주셔서 감사합니다.
, 필기, 기출문제, 전자문제집, CBT, 온라인, 모의테스트, 모의고사



List of Articles
번호 제목 글쓴이 날짜 조회 수
8060 방송통신산업기사(구) 필기 기출문제(해설) 및 CBT 2005년03월20일(891) 좋은아빠되기 2025.11.25 4
8059 방송통신산업기사(구) 필기 기출문제(해설) 및 CBT 2005년03월06일(890) 좋은아빠되기 2025.11.25 1
8058 방송통신산업기사(구) 필기 기출문제(해설) 및 CBT 2004년09월05일(889) 좋은아빠되기 2025.11.25 4
8057 방송통신산업기사(구) 필기 기출문제(해설) 및 CBT 2004년03월07일(888) 좋은아빠되기 2025.11.25 2
8056 방송통신산업기사(구) 필기 기출문제(해설) 및 CBT 2003년08월31일(887) 좋은아빠되기 2025.11.25 4
8055 방송통신산업기사(구) 필기 기출문제(해설) 및 CBT 2003년05월25일(886) 좋은아빠되기 2025.11.25 2
8054 방송통신산업기사(구) 필기 기출문제(해설) 및 CBT 2003년03월16일(885) 좋은아빠되기 2025.11.25 3
» 방송통신산업기사(구) 필기 기출문제(해설) 및 CBT 2002년09월08일(884) 좋은아빠되기 2025.11.25 1
8052 방송통신산업기사(구) 필기 기출문제(해설) 및 CBT 2002년05월26일(883) 좋은아빠되기 2025.11.25 6
8051 방송통신산업기사(구) 필기 기출문제(해설) 및 CBT 2002년03월10일(882) 좋은아빠되기 2025.11.25 2
8050 화공기사(구)(구) 필기 기출문제(해설) 및 CBT 2010년09월05일(881) 좋은아빠되기 2025.11.25 4
8049 화공기사(구)(구) 필기 기출문제(해설) 및 CBT 2010년05월09일(880) 좋은아빠되기 2025.11.25 3
8048 화공기사(구)(구) 필기 기출문제(해설) 및 CBT 2009년08월30일(879) 좋은아빠되기 2025.11.25 2
8047 화공기사(구)(구) 필기 기출문제(해설) 및 CBT 2009년05월10일(878) 좋은아빠되기 2025.11.25 3
8046 화공기사(구)(구) 필기 기출문제(해설) 및 CBT 2008년09월07일(877) 좋은아빠되기 2025.11.25 3
8045 화공기사(구)(구) 필기 기출문제(해설) 및 CBT 2008년05월11일(876) 좋은아빠되기 2025.11.25 3
8044 화공기사(구)(구) 필기 기출문제(해설) 및 CBT 2005년05월29일(875) 좋은아빠되기 2025.11.25 2
8043 화공기사(구)(구) 필기 기출문제(해설) 및 CBT 2004년09월05일(874) 좋은아빠되기 2025.11.25 3
8042 화공기사(구)(구) 필기 기출문제(해설) 및 CBT 2004년05월23일(873) 좋은아빠되기 2025.11.25 3
8041 화공기사(구)(구) 필기 기출문제(해설) 및 CBT 2004년03월07일(872) 좋은아빠되기 2025.11.25 3
Board Pagination Prev 1 ... 550 551 552 553 554 555 556 557 558 559 ... 957 Next
/ 957