자격증 필기 기출문제



방송통신산업기사(구) 필기 기출문제(해설) 및 CBT 2006년03월05일(893)

최강 자격증 기출문제 전자문제집 CBT : www.comcbt.com


전자문제집 CBT란?

종이 문제집이 아닌 인터넷으로 문제를 풀고 자동으로 채점하며 모의고사, 오답 노트, 해설까지 제공하는
무료 기출문제 학습 프로그램으로 실제 상설검정에서 사용하는 OMR 형식의 CBT를 제공합니다.


최신 방송통신산업기사(구) 필기 기출문제 : [다운로드]

1과목 : 디지털 전자회로


1. 다음 중 LC 발진기에서 일어나는 현상이 아닌 것은?
     1. 인입현상
     2. 기생진동
     3. 자외선현상
     4. Blocking 발진

     정답 : []
     정답률 : 알수없음

2. 토글 플립플롭(Toggle-F/F)을 2단 직렬 연결한 후 입력에 4[kHz] 펄스를 인가하면 출력은?
     1. 16[kHz]
     2. 8[kHz]
     3. 2[kHz]
     4. 1[kHz]

     정답 : []
     정답률 : 알수없음

3. 결합상태가 DC(직류)로 구성된 멀티바이브레이터는?
     1. 무안정 멀티바이브레이터
     2. 단안정 멀티바이브레이터
     3. 쌍안정 멀티바이브레이터
     4. 무단안정 멀티바이브레이터

     정답 : []
     정답률 : 알수없음

4. 반송파전압 eC = ECcos(ωCt+θ) 를 신호전압 eCCcosωCt로 진폭변조시 피변조파의 상측파대의 진폭은? (단, ma: 변조도)
     1. ωC + ωS
     2. maㆍEC/2
     3. ωC - ωS
     4. maㆍEC

     정답 : []
     정답률 : 알수없음

5. 슈미트 트리거(Schmitt trigger) 회로의 용도 설명 중 틀린 것은?
     1. 구형파 펄스 발생회로로 사용된다.
     2. 임의의 파형에서 그 크기에 해당하는 펄스폭의 구형파를 얻기 위해서 사용된다.
     3. A-D 변환회로로 사용된다.
     4. D-A 변환회로로 사용된다.

     정답 : []
     정답률 : 알수없음

6. 다음 회로에서 R1 = 1[MΩ], R2 = 4[MΩ]일 때 전압증폭도 Av는 얼마나 되는가? (단, 연산증폭기는 이상적이다.)

   

     1. -1
     2. -2
     3. -3
     4. -4

     정답 : []
     정답률 : 알수없음

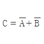
7. 다음 논리식 중 좌우항의 관계가 틀린 것은?
     1.
     2.
     3.
     4.

     정답 : []
     정답률 : 알수없음

8. 그림과 같은 전파정류회로의 각 다이오드에 걸리는 최대 역전압의 크기는 약 얼마인가? (단, 100V 는 상용전압이고 n1 = n2 이다.)

   

     1. 100[V]
     2. 141[V]
     3. 230[V]
     4. 282[V]

     정답 : []
     정답률 : 알수없음

9. D 플립-플롭을 이용하여 그림과 같은 회로를 구성하고, 클럭(clk) 단자에 5[kHz] 클럭 펄스를 인가하였다. 동작 시작 단계에서 Q출력을 +5[kHz]로 하였다면 출력은?

   

     1. 10[kHz]
     2. 2.5[kHz]
     3. 5[kHz]
     4. 5[V] DC

     정답 : []
     정답률 : 알수없음

10. 전가산기의 출력(S : 합, Co : 캐리출력)에서 S = Co가 되기 위한 입력 A, B, Ci(캐리입력) 조건은?
     1. A = 0, B = 0, Ci = 1 또는 A = 1, B = 1, Ci = 1
     2. A = 0, B = 0, Ci = 0 또는 A = 1, B = 1, Ci = 1
     3. A = 1, B = 1, Ci = 0 또는 A = 1, B = 1, Ci = 1
     4. A = 0, B = 0, Ci = 0 또는 A = 0, B = 0, Ci = 1

     정답 : []
     정답률 : 알수없음

11. 다음 중 디지털변조방식에 속하지 않는 것은?
     1. 위상변조(PM)
     2. 펄스부호변조(PCM)
     3. 적응델타변조(ADM)
     4. 차분펄스부호변조(DPCM)

     정답 : []
     정답률 : 알수없음

12. 전압이득이 50인 저주파 증폭기가 약10[%] 정도의 왜율을 가지고 있다. 이를 2[%] 정도로 개선하기 위하여 걸어 주어야하는 부궤환율 β은 얼마 이어야 하는가?
     1. 10
     2. 4
     3. 0.02
     4. 0.08

     정답 : []
     정답률 : 알수없음

13. J-K 플립플롭에서 Jn = 0, Kn = 1일 때 클록펄스가 1 상태라면 Qn+1 의 출력상태는?
     1. 부정
     2. 0
     3. 1
     4. 반전

     정답 : []
     정답률 : 알수없음

14. 실리콘 제어정류소자(SCR)의 전류-전압 특성곡선은?
     1.
     2.
     3.
     4.

     정답 : []
     정답률 : 알수없음

15. JK 플립플롭을 이용하여 D형 플립플롭을 만들려면?
     1. J의 입력을 인버터를 통해 K에 연결한다.
     2. J와 K를 동일 입력으로 한다.
     3. Q의 입력을 J에 궤환시킨다.
     4. K의 입력을 J에 궤환시킨다.

     정답 : []
     정답률 : 알수없음

16. 다음 불 대수의 정리 중 옳지 않은 것은?
     1. A + B = B + A
     2. A + BㆍC = (A + B)(A + C)
     3.
     4.

     정답 : []
     정답률 : 알수없음

17. 그림에서 병렬공진회로의 공진주파수가 5[MHz]이다. 입력주파수가 5[MHz]일 때 컬렉터 전류는?

    

     1. 증가한다.
     2. 감소한다.
     3. 최대가 된다.
     4. 최소가 된다.

     정답 : []
     정답률 : 알수없음

18. 에미터 접지 트랜지스터에서 동작점의 안정화를 위한 대책을 가장 적절하게 설명한 것은?
     1. 동작점의 베이스전류 IB 만 일정하게 한다.
     2. 전류 이득 β가 일정하게 한다.
     3. 동작점의 IC의 VCE의 값을 일정하게 한다.
     4. 역포화 전류 ICO가 일정한 값을 갖도록 한다.

     정답 : []
     정답률 : 알수없음

19. 그림과 같은 에미터 저항을 가진 CE 증폭기에서 에미터 저항 RE의 가장 중요한 역할은 무엇인가?

    

     1. S(안정계수)를 감소시켜 동작점이 안정된다.
     2. 주파수 대역을 증가시킨다.
     3. 바이어스 전압을 감소시킨다.
     4. 증폭회로의 출력을 증가시킨다.

     정답 : []
     정답률 : 알수없음

20. LC 동조 발진기에 비해 수정 발진기의 특징으로 잘못 설명한 것은?
     1. 안정도가 높다.
     2. Q가 비교적 크다.
     3. 발진 주파수를 가변하기 어렵다.
     4. 저주파 발진기로 적합하다.

     정답 : []
     정답률 : 알수없음

2과목 : 방송통신 기기


21. 위성 DBS 중계기 안테나를 통해서 받는 전파는?
     1. 수평편파
     2. 수직편파
     3. 구형파
     4. 원형편파

     정답 : []
     정답률 : 알수없음

22. TV 방송의 연주소에서 영상프로그램의 제작이나 송출시 사용하는 동기신호는 다음 가운데 어느 것을 Main으로 하는가?
     1. 카메라에서 발생한 동기 신호를 Main으로 한다.
     2. VTR에서 Play되는 동기 신호를 Main으로 한다.
     3. 중계차에서 보내오는 동기신호를 Main으로 한다.
     4. Sync Generator에서 발생한 신호를 Main으로 한다.

     정답 : []
     정답률 : 알수없음

23. 영상신호를 발생시키기 위하여 주사를 하는 이유로 가장 타당한 것은?
     1. 텔레비전의 전송방식이 직렬방식이기 때문이다.
     2. 텔레비전 전송방식이 병렬방식이기 때문이다.
     3. 화질이 좋게 하기 위해서이다.
     4. 정보량을 축소하기 위해서이다.

     정답 : []
     정답률 : 알수없음

24. 수퍼헤테로다인 수신기의 중간주파수(IF)를 높게 선정하였을 때 개선되는 것은?
     1. 근접 주파수 선택도
     2. 단일 조정(Tracking)
     3. 영상 주파수 선택도
     4. 강도 및 안정도

     정답 : []
     정답률 : 알수없음

25. HDTV는 인간의 시각특성에 대한 보다 심도 깊은 연구 결과 화면의 가로:세로의 비율을 기존의 4 : 3에서 이것으로 결정하였다. 맞는 것은?
     1. 8 : 6
     2. 3 : 4
     3. 16 : 9
     4. 9 : 16

     정답 : []
     정답률 : 알수없음

26. 스펙트럼 분석기(Spectrum Analyzer)의 용도로서 바람직하지 않은 것은?
     1. 안테나 패턴 측정
     2. FM편차 측정
     3. 전압 측정
     4. 변조증폭기의 동조

     정답 : []
     정답률 : 알수없음

27. 오버슈트(Overshoot)란 입력파형에 대하여 출력파형이 규정값보다 넘어 화면 오른쪽 가장자리에 백색선이 발생하는 현상이다. 이의 원인으로 가장 타당한 것은?
     1. 영상신호용 증폭기의 과도특성이 나쁠 경우
     2. 편향회로의 동기가 맞지 않은 경우
     3. 카메라 장치의 동기신호발생장치가 고장인 경우
     4. 색신호 재생회로의 과부하가 발생한 경우

     정답 : []
     정답률 : 알수없음

28. AM 송신기에서 사용하지 않는 회로는?
     1. 주파수 체배기
     2. 완충증폭기
     3. 발진기
     4. 주파수 변별회로

     정답 : []
     정답률 : 알수없음

29. 다음은 잡음지수와 종합잡음지수에 대한 설명이다. 틀린 것은?
     1. 잡음지수 는 로 정의된다.
     2. 종합잡음지수는 최종 뒷단에 있는 종단 증폭기의 이득에 가장 큰 영향을 받는다.
     3. 종합잡음지수는 초단 증폭기의 잡음지수에 큰 영향을 받는다.
     4. 잡음지수가 적을수록 내부잡음의 발생이 적다는 것을 의미한다.

     정답 : []
     정답률 : 알수없음

30. 다음 중 방송에 대한 정의를 올바르게 설명하지 않는 것은?
     1. 전송을 목적으로 하는 지상의 무선국을 이용하여 행하는 방송을 지상파 방송이라 한다.
     2. 인공위성의 중계기를 이용하여 행하는 방송을 위성방송이라 한다.
     3. 전송선로 설비를 이용하여 수신자에게 방송프로그램을 송신하는것을 유선 방송이라 한다.
     4. 인터넷상에서 네트워크을 통하여 방송 프로그램을 송신하는 것을 네트워크 방송이라 한다.

     정답 : []
     정답률 : 알수없음

31. AM 송신기에 있어서 완충증폭기에 대한 설명으로 틀린것은?
     1. 발진부 바로 다음 단에 설치를 한다.
     2. 주로 C급 증폭방식을 채택한다.
     3. 부하의 변동을 방지한다.
     4. 발진주파수의 변동을 방지한다.

     정답 : []
     정답률 : 알수없음

32. 위성방송용 지구국에 주로 사용되는 안테나는?
     1. Rhombic ANT
     2. 4 dipole ANT
     3. Parabola ANT
     4. Cassegrain ANT

     정답 : []
     정답률 : 알수없음

33. CATV의 기본구성요소가 아닌 것은?
     1. 서비스 분배 전송로
     2. 교환장치
     3. 가입자 단말장치
     4. 헤드엔드

     정답 : []
     정답률 : 알수없음

34. 방송 송신소에 대한 설명 중 가장 타당한 것은?
     1. 프로그램 제작 및 제작된 프로그램을 방송 위성국으로 송출하는 역할을 하는 곳
     2. 연주소로부터 프로그램을 전송 받아서 일반 수신자에게 방송 전파를 송신 역할을 하는 곳
     3. 연주소와 중계방송국(중계국)으로 구성된다.
     4. 방송국의 방송 프로그램을 중계ㆍ송신하여 방송국의 방송전파가 수신되지 않는 난시청 지역을 서비스하는 역할을 하는 곳

     정답 : []
     정답률 : 알수없음

35. 다음 중 정지위성의 궤도는 대략 지구상공 몇 [km]인가?
     1. 약 1500[km]
     2. 약 25600[km]
     3. 약 36000[km]
     4. 약 30000[km]

     정답 : []
     정답률 : 알수없음

36. 두 개의 색차신호를 반송파 억압 진폭 변조하여 휘도신호에 중첩시키는 TV 신호방식은?
     1. PAL 방식
     2. SECAM 방식
     3. MUSE 방식
     4. NTSC 방식

     정답 : []
     정답률 : 알수없음

37. 다음 중 임의의 채널 출력 레벨이 56dBV라면 dBμV로는 얼마인가?
     1. 116[dBμV]
     2. 106[dBμV]
     3. 86[dBμV]
     4. 66[dBμV]

     정답 : []
     정답률 : 알수없음

38. 기본 대역의 비디오 및 오디오 신호를 CATV 채널로 변환하는 것은?
     1. 신호처리기
     2. 변조기
     3. 복조기
     4. 컨버터

     정답 : []
     정답률 : 알수없음

39. 다음 변조 방식 중 직접 FM 변조 방식이 아닌 것은?
     1. PLL을 이용한 방식
     2. 리액턴스 소자 이용 방식
     3. 암스트롱 회로 이용 방식
     4. VCXO를 이용한 방식

     정답 : []
     정답률 : 알수없음

40. 반송파 주파수가 102MHz, 신호파 주파수가 5kHz가 주파수 편이 25kHz로 주파수 변조되었다. 변조지수는?
     1. 2.5
     2. 5
     3. 10
     4. 15

     정답 : []
     정답률 : 알수없음

3과목 : 방송미디어 개론


41. 우리나라 지상파 디지털 방송의 기본 방식이 아닌 것은?
     1. 전송방식은 단일반송파 변조(8-VSB)이다.
     2. 영상신호 압축에는 SDTV와 HDTV를 동시에 지원하는 MPEG-2기술이다.
     3. 음성신호 압축에는 Dolby AC-3 방식이다.
     4. 채널 대역폭은 8MHz이다.

     정답 : []
     정답률 : 알수없음

42. 다음 중 멀티미디어와 가장 관계가 적은 것은?
     1. 둘 이상의 미디어가 복합된 것을 말한다.
     2. 사운드와 비디오 문자정보를 제공해주는 텔레비전만을 말한다.
     3. 사용자는 멀티미디어 시스템과 대화를 할 수 있다.
     4. 다양한 미디어의 정보를 얻을 수 있다.

     정답 : []
     정답률 : 알수없음

43. 우리나라 CATV 방송 시스템에 동축케이블의 공칭 임피던스는?
     1. 50[Ω]
     2. 75[Ω]
     3. 200[Ω]
     4. 300[Ω]

     정답 : []
     정답률 : 알수없음

44. 2차원 영상신호를 1차원 신호로 변환하는 것을 무엇이라 하는가?
     1. 편향
     2. 주사
     3. 귀선소거
     4. 정합

     정답 : []
     정답률 : 알수없음

45. 내용의 해설 및 다큐멘터리 형식의 프로그램이나 드라마 줄거리 내용을 말로 설명하는 해설은?
     1. 더빙
     2. 이벤트
     3. 리허설
     4. 나레이션

     정답 : []
     정답률 : 알수없음

46. 아날로그 지상파 컬러텔레비전의 다양한 방식들에 대한 설명으로 틀린 것은?
     1. 우리나라는 미국에서 개발된 NTSC 방식을 이용한다.
     2. NTSC방식의 주사선은 1Frame당 525선이다.
     3. PAL방식과 SECAM방식은 유럽에서 많이 쓰인다.
     4. 북한의 경우 우리와 같은 NTSC방식을 이용한다.

     정답 : []
     정답률 : 알수없음

47. 다음 중 시각매체의 종류가 아닌 것은?
     1. 동영상
     2. 문자
     3. 화상
     4. 음향

     정답 : []
     정답률 : 알수없음

48. 다음 중 VOD는 무엇의 약자인가?
     1. Video On Demand
     2. Vision On Demand
     3. Voice On Demand
     4. Video On Digital

     정답 : []
     정답률 : 알수없음

49. 다음 중 멀티미디어 패키지로서 가장 적당한 것은?
     1. 플로피 디스크(FDD)
     2. RAM
     3. ROM
     4. CD-ROM

     정답 : []
     정답률 : 알수없음

50. 다음 중 FM 방송의 사용 주파수대역은?
     1. 880Hz ~ 8800Hz
     2. 88kHz ~ 108kHz
     3. 88MHz ~ 108MHz
     4. 8.8GHz ~ 10.8GHz

     정답 : []
     정답률 : 알수없음

51. TV프로그램과 인터넷을 조합하여 TV로도 전자우편을 받고 WWW를 자유롭게 여행할 수 있는 차세대 TV는?
     1. ISP - TV
     2. WEB - TV
     3. 인터캐스트 - TV
     4. EMAIL - TV

     정답 : []
     정답률 : 알수없음

52. 고속 디지털 신호를 취급하는 B-ISDN에서는 교환기에서 단말기까지 광섬유케이블을 부설할 필요가 있다. 다음중 교환기에서 각 가정까지 광섬유케이블을 부설하는 방식은?
     1. FTTO
     2. FTTZ
     3. FTTH
     4. FTTC

     정답 : []
     정답률 : 알수없음

53. 지상파 TV규격을 채택함에 있어 이동 중에 수신가능성 여부, 다중경로 환경을 고려한 기술능력이 매우 중요시 되고 있다. 다음 중 이동수신특성 및 다중경로 환경에 가장 우수한 디지털 변조방식은?
     1. VSB
     2. OFDM
     3. PSK
     4. QAM

     정답 : []
     정답률 : 알수없음

54. 일반 가정까지 광케이블을 설치하여 현재의 전화, TV, 컴퓨터뿐아니라 전자신문, 영화, 게임, 홈쇼핑, 화상회의, 원격의료 등의 멀티미디어 서비스를 제공하는 통신망을 무엇이라 하는가?
     1. 고도화 정보통신망
     2. 유무선 통합 통신망
     3. 이동통신 통신망
     4. 초고속 정보통신망

     정답 : []
     정답률 : 알수없음

55. 기본적인 방송프로그램 제작이 이루어지는 곳은?
     1. 스튜디오
     2. 송출실
     3. 편집실
     4. 녹화실

     정답 : []
     정답률 : 알수없음

56. 다음 중 국내 아날로그 칼라 TV방식의 특성과 관계 없는 것은?
     1. 영상신호 주파수 대역은 4.2[MHz]이다.
     2. 중간주파수는 영상은 45.75[MHz]이고, 음성은 41.25[MHz]이다.
     3. 변조방식은 영상은 VSB, 음성은 FM 방식이다.
     4. 방송신호의 대역폭은 6[MHz]이나, 채널특성에 따라 변동이 가능하다.

     정답 : []
     정답률 : 알수없음

57. TV방송전파를 이용하여 TV방송과 함께 동시에 2개 외국어로 정보를 전송할 수 있는 뉴미디어는?
     1. 문자자막 방송
     2. 음성다중 방송
     3. 인터캐스트 방송
     4. DARC

     정답 : []
     정답률 : 알수없음

58. MPEG-2 시스템의 기본조건으로 적합하지 않은 것은?
     1. 단일스트림 전송
     2. 고정 비트속도 유지
     3. MPEG-1과의 호환성
     4. 고정길이 패킷화 전송

     정답 : []
     정답률 : 알수없음

59. 순차주사와 비월주사에 대한 설명 중 잘못된 것은?
     1. 순차주사는 위에서부터 바닥까지 주사선을 순서대로 주사한다.
     2. 순차주사는 방송용 비디오 장비에서 널리 이용된다.
     3. 비월주사는 한 프레임의 주사선을 짝수와 홀수로 나눠 2번에 걸쳐 주사한다.
     4. 비월주사는 화면의 깜박임(Flicker)을 줄일 수 있다.

     정답 : []
     정답률 : 알수없음

60. 다음 중 우리나라의 지상파 디지털 방송방식은?
     1. ATSC
     2. DVB-T
     3. OFDM
     4. BST-OFDM

     정답 : []
     정답률 : 알수없음

61. 데이지 휠(daisy wheel)을 사용하는 프린터는?
     1. 활자식 라인 프린터
     2. 도트 매트릭스 프린터
     3. 레이져 프린터
     4. 잉크젯 프린터

     정답 : []
     정답률 : 알수없음

62. 다음 중 순서도를 작성하는 이유로 가장 타당한 것은?
     1. 시스템의 성능을 분석하기 위하여한다.
     2. C언어의 코딩을 생략하기 위하여한다.
     3. 프로그램을 작성할 경우 처리되는 자료의 흐름이 잘 이해되기 위하여 한다.
     4. 시스템 설계를 하기 위하여 한다.

     정답 : []
     정답률 : 알수없음

63. 다음 그림은 컴퓨터의 구성을 간략히 보여준다. 빈 블록과 가장 관계 깊은 것은?

    

     1. 마이크로프로세서(microprocessor)
     2. 제어장치(control unit)
     3. 보조기억장치(auxiliary memory)
     4. 인터페이스(interface)

     정답 : []
     정답률 : 알수없음

64. 선형리스트 중 마지막으로 입력한 자료가 제일 먼저 출력되는 LIFO(Last in first out) 구조는?
     1. 트리
     2. 스택
     3.
     4. 섹터

     정답 : []
     정답률 : 알수없음

65. 운영체제(OS)의 목적과 관계가 먼 것은?
     1. 처리능력의 증대
     2. 응답시간의 단축
     3. 신뢰도의 향상
     4. 응용소프트웨어의 개발

     정답 : []
     정답률 : 알수없음

66. 전자계산기의 기본 논리회로는 조합논리회로와 순서논리회로로 구분된다. 이중 조합논리 회로에 해당되는 것은?
     1. RAM
     2. 2진 다운카운터
     3. 반가산기
     4. 2진 업카운터

     정답 : []
     정답률 : 알수없음

67. 다음 오퍼랜드 어드레스방식 중에서 기억장치를 두 번 읽어야 원하는 데이터를 얻을 수 있는 방식은?
     1. 간접어드레스지정방식
     2. 직접어드레스지정방식
     3. 상대어드레스지정방식
     4. 페이지어드레스방식

     정답 : []
     정답률 : 알수없음

68. 전자계산기에서 보수(complement)를 사용하는 이유로 가장 타당한 것은?
     1. 가산의 결과를 정확하게 얻기 위해
     2. 감산을 가산의 방법으로 처리하기 위해
     3. 승산의 연산과정을 간단히 하기 위해
     4. 제산의 불필요한 과정을 생략하기 위해

     정답 : []
     정답률 : 알수없음

69. 다음의 time chart에 해당하는 것은 어느 Gate인가?

    

     1. AND
     2. OR
     3. NAND
     4. NOR

     정답 : []
     정답률 : 알수없음

70. 어떠한 명령(instruction)이 수행되기 위해서 가장 먼저 이루어져야 하는 마이크로 오퍼레이션은 무엇인가?
     1. PC ← MAR
     2. PC ← PC+1
     3. MAR ← PC
     4. MBR ← IR

     정답 : []
     정답률 : 알수없음

71. 다음 중 방송법의 궁극적인 목적은?
     1. 문화창달의 공헌 기여
     2. 공공복리의 증진 기여
     3. 방송ㆍ언론의 신장 기여
     4. 방송ㆍ통신기술의 발전 기여

     정답 : []
     정답률 : 알수없음

72. 다음 중 종합유선방송국의 하향 음악방송대역은?
     1. 88[MHz] ~ 108[MHz]
     2. 120[MHz] ~ 140[MHz]
     3. 54[MHz] ~ 60[MHz]
     4. 60[MHz] ~ 66[MHz]

     정답 : []
     정답률 : 알수없음

73. 종합유선방송국 시설 중 주전송장치에 영상신호와 음성신호의 특성으로 적합하지 않은 것은?
     1. 영상신호 기저대역 주파수는 4.2MHz 범위 이내
     2. 음성신호 기저대역 주파수는 50Hz ~ 15kHz 범위 이내
     3. 영상신호 출력임피던스는 600Ω 불평형
     4. 음성신호 출력임피던스는 600Ω 평형

     정답 : []
     정답률 : 알수없음

74. 정보통신공사업의 등록기준에 속하지 않는 것은?
     1. 기술능력
     2. 자본금
     3. 감리자격
     4. 기타 필요한 사항

     정답 : []
     정답률 : 알수없음

75. 방송위원회는 방송기술 및 시설에 관한 심의ㆍ의결사항에 대하여 어느 기관의 의견을 들어야 하는가?
     1. 국정홍보처
     2. 문화관광부
     3. 정보통신부
     4. 공정거래위원회

     정답 : []
     정답률 : 알수없음

76. 정보통신부공사 가운데 경미한 공사에 해당하는 것은?
     1. 간이무선국의 무선설비설치공사
     2. 전파관계법에 의한 통신설비공사
     3. 방송법에 의한 방송설비공사
     4. 교환설비공사

     정답 : []
     정답률 : 알수없음

77. 다음 중 방송국의 개설조건이 아닌 것은?
     1. 방송국을 개설하고자 하는 자는 다른 방송의 수신에 혼신을 일으키지 아니하도록 이를 설치하여야 한다.
     2. 혼신의 방지를 위한 방송국의 설치장소 등 방송국의 개설조건에 관하여 필요한 사항은 대통령령으로 정한다.
     3. 정보통신부장관은 방송국을 개설하고자 하는 자의 허가 신청 내용이 개설조건에 적합하지 아니한 때에는 설치장소의 이전 등 보환을 명할 수 있다.
     4. 송신공중선의 출력 및 지향특성 등 방송국의 개설조건에 관하여 필요한 사항은 정보통신부령으로 정한다.

     정답 : []
     정답률 : 알수없음

78. 디지털 텔레비전 방송에서 프로그램채널에 관한 설명으로 적합하지 않는 것은?
     1. 프로그램채널은 방송 서비스채널과 데이터 서비스 채널이 있다.
     2. 방송서비스채널은 영상, 음성 및 보조 데이터로 구성된다.
     3. 데이터서비스채널은 단일 스트림으로 구성된다.
     4. 프로그램채널은 아날로그 방송신호로만 구성된다.

     정답 : []
     정답률 : 알수없음

79. 방송사업의 허가ㆍ승인ㆍ등록의 취소에 관한 내용으로 틀린 것은? (복원 오류로 보기 내용이 정확하지 않습니다. 내용을 아시는분께서는 오류 신고를 통하여 내용 작성부탁 드립니다. 정답은 3번입니다.)
     1. 허위 기타 부정한 방법으로 허가ㆍ승인을 얻거나 등록을 한 경우 에는 취소할 수 있다.
     2. 허가ㆍ승인ㆍ등록의 취소가 있을 경우 서면으로 통지해야 한다.
     3. 문화관광부장관이 방송위원회의 승인을 얻어야 취소할 수 있다.
     4. (복원중)

     정답 : []
     정답률 : 알수없음

80. 한국방송공사 이사회의 기능에서 심의ㆍ의결 사항이 아닌 것은?
     1. 각 방송국의 공사계획 및 시공감리에 관한 사항
     2. 공사가 행하는 방송의 공적 책임에 과한 사항
     3. 지역방송국의 설치 및 폐지에 관한 사항
     4. 공사가 행하는 방송의 기본운영계획에 관한 사항

     정답 : []
     정답률 : 알수없음


정 답 지

1

2

3

4

5

6

7

8

9

10

11

12

13

14

15

16

17

18

19

20

21

22

23

24

25

26

27

28

29

30

31

32

33

34

35

36

37

38

39

40

41

42

43

44

45

46

47

48

49

50

51

52

53

54

55

56

57

58

59

60

61

62

63

64

65

66

67

68

69

70

71

72

73

74

75

76

77

78

79

80

방송통신산업기사(구) 필기 기출문제(해설) 및 CBT 2006년03월05일을 이용해 주셔서 감사합니다.
, 필기, 기출문제, 전자문제집, CBT, 온라인, 모의테스트, 모의고사



List of Articles
번호 제목 글쓴이 날짜 조회 수
8079 방송통신산업기사(구) 필기 기출문제(해설) 및 CBT 2016년03월05일(910) 좋은아빠되기 2025.11.25 2
8078 방송통신산업기사(구) 필기 기출문제(해설) 및 CBT 2015년03월07일(909) 좋은아빠되기 2025.11.25 4
8077 방송통신산업기사(구) 필기 기출문제(해설) 및 CBT 2014년10월04일(908) 좋은아빠되기 2025.11.25 2
8076 방송통신산업기사(구) 필기 기출문제(해설) 및 CBT 2014년03월09일(907) 좋은아빠되기 2025.11.25 5
8075 방송통신산업기사(구) 필기 기출문제(해설) 및 CBT 2013년10월12일(906) 좋은아빠되기 2025.11.25 1
8074 방송통신산업기사(구) 필기 기출문제(해설) 및 CBT 2013년03월17일(905) 좋은아빠되기 2025.11.25 4
8073 방송통신산업기사(구) 필기 기출문제(해설) 및 CBT 2012년10월06일(904) 좋은아빠되기 2025.11.25 2
8072 방송통신산업기사(구) 필기 기출문제(해설) 및 CBT 2012년03월11일(903) 좋은아빠되기 2025.11.25 3
8071 방송통신산업기사(구) 필기 기출문제(해설) 및 CBT 2011년10월09일(902) 좋은아빠되기 2025.11.25 1
8070 방송통신산업기사(구) 필기 기출문제(해설) 및 CBT 2011년03월13일(901) 좋은아빠되기 2025.11.25 4
8069 방송통신산업기사(구) 필기 기출문제(해설) 및 CBT 2010년10월10일(900) 좋은아빠되기 2025.11.25 2
8068 방송통신산업기사(구) 필기 기출문제(해설) 및 CBT 2010년03월14일(899) 좋은아빠되기 2025.11.25 4
8067 방송통신산업기사(구) 필기 기출문제(해설) 및 CBT 2010년02월21일(898) 좋은아빠되기 2025.11.25 1
8066 방송통신산업기사(구) 필기 기출문제(해설) 및 CBT 2009년03월01일(897) 좋은아빠되기 2025.11.25 4
8065 방송통신산업기사(구) 필기 기출문제(해설) 및 CBT 2008년09월07일(896) 좋은아빠되기 2025.11.25 2
8064 방송통신산업기사(구) 필기 기출문제(해설) 및 CBT 2007년03월04일(895) 좋은아빠되기 2025.11.25 4
8063 방송통신산업기사(구) 필기 기출문제(해설) 및 CBT 2006년09월10일(894) 좋은아빠되기 2025.11.25 1
» 방송통신산업기사(구) 필기 기출문제(해설) 및 CBT 2006년03월05일(893) 좋은아빠되기 2025.11.25 4
8061 방송통신산업기사(구) 필기 기출문제(해설) 및 CBT 2005년09월04일(892) 좋은아빠되기 2025.11.25 3
8060 방송통신산업기사(구) 필기 기출문제(해설) 및 CBT 2005년03월20일(891) 좋은아빠되기 2025.11.25 4
Board Pagination Prev 1 ... 549 550 551 552 553 554 555 556 557 558 ... 957 Next
/ 957