자격증 필기 기출문제



컴퓨터응용가공산업기사 필기 기출문제(해설) 및 CBT 2003년08월10일(920)

최강 자격증 기출문제 전자문제집 CBT : www.comcbt.com


전자문제집 CBT란?

종이 문제집이 아닌 인터넷으로 문제를 풀고 자동으로 채점하며 모의고사, 오답 노트, 해설까지 제공하는
무료 기출문제 학습 프로그램으로 실제 상설검정에서 사용하는 OMR 형식의 CBT를 제공합니다.


최신 컴퓨터응용가공산업기사 필기 기출문제 : [다운로드]

1과목 : 기계가공법 및 안전관리


1. 치약, 화장품 용기등 연한 금속의 짧고 얇은 관을 제작하는데 많이 이용되는 소성가공 방법은 무엇인가?
     1. 빌렛 압출법(billet extrusion process)
     2. 충격 압출법(impact extrusion)
     3. 관재 인발(tube drawing)
     4. 디프 드로잉(deep drawing)

     정답 : []
     정답률 : 38%

2. KS규격 안전색에서 자주색이 의미하는 것은?
     1. 방화, 금지, 정지
     2. 항해, 항공의 보안시설
     3. 의무적 행동
     4. 방사능

     정답 : []
     정답률 : 39%

3. 원통용 소재 등의 밑부분에 심(seam)을 하는데 사용하는 판금용 기계는 무엇인가?
     1. 프레스 브레이크
     2. 세팅 다운 머신
     3. 터닝 머신
     4. 탄젠트 벤더

     정답 : []
     정답률 : 38%

4. 삼침법이란 나사의 어느 부분을 측정하는 방법인가?
     1. 바깥지름
     2. 골지름
     3. 유효지름
     4. 피치

     정답 : []
     정답률 : 66%

5. 소성가공에 해당되는 것은?
     1. 선삭
     2. 엠보싱
     3. 드릴링
     4. 브로칭

     정답 : []
     정답률 : 62%

6. 주물 결함의 하나인 기공이 생기는 것을 방지하는 방법으로 적합하지 않은 것은?
     1. 급냉을 막는다.
     2. 주입 온도를 필요이상 높게 하지 않는다.
     3. 라이저를 크게 한다.
     4. 통기성을 좋게 한다.

     정답 : []
     정답률 : 20%

7. 선반에서 에이프론(apron)은 다음중 어느 부분에 있는가?
     1. 주축대
     2. 심압대
     3. 왕복대
     4. 베드

     정답 : []
     정답률 : 41%

8. 사인바(Sine bar)에 관하여 틀리게 설명한 것은?
     1. 2개의 원주핀이 블록과 더불어 사용된다.
     2. 3각형 모양의 블록이 필수적이다.
     3. 3각함수를 이용하여 각도의 측정을 정밀하게 하는데 사용한다.
     4. 블록을 올려 놓기 위한 정반도 함께 사용한다.

     정답 : []
     정답률 : 65%

9. 표면경화와 피로강도 상승의 효과가 함께 있는 가공법은?
     1. 숏피닝
     2. 래핑
     3. 샌드블라스팅
     4. 호빙

     정답 : []
     정답률 : 66%

10. 알곤, 헬륨 등의 불활성가스 분위기 속에서 텅스텐 용접봉을 사용하여 용접하는 것은?
     1. CO2 알곤 용접
     2. 서브머지드 용접
     3. MIG 용접
     4. TIG 용접

     정답 : []
     정답률 : 41%

11. 입도가 작고 연한 숫돌에 의해, 일감의 표면을 완성가공하는 방법으로 가공면은 매끈하고 방향성이 없고 변질층의 두께가 매우 작아 고정밀도의 표면을 얻는것이 주목적인 것은?
     1. 래핑(lapping)
     2. 액체호닝(liquid honing)
     3. 초음파가공(ultra-sonic machining)
     4. 슈퍼피니싱(superfinishing)

     정답 : []
     정답률 : 63%

12. 지름 50㎜인 연강 둥근 봉을 20m/min의 절삭 속도로 선삭할 때, 스핀들의 회전수는?
     1. 100.1 rpm
     2. 127.3 rpm
     3. 440.2 rpm
     4. 500.5 rpm

     정답 : []
     정답률 : 79%

13. 탄소강의 용접시 탄소함유량의 증가와 더불어 어떤 현상이 일어나는가?
     1. 용접성이 좋아진다.
     2. 급냉연화가 나타난다.
     3. 급냉경화가 심해진다.
     4. 용접부의 경도가 낮아진다.

     정답 : []
     정답률 : 31%

14. 플레이너나 세이퍼의 구동장치로 진동이 가장 적고 속도 조절이 쉬워 무단 변속이 가능한 기구는?
     1. 링크 기구
     2. 랙과 피니언
     3. 워드네오날드 기구
     4. 유압 기구

     정답 : []
     정답률 : 23%

15. 100 mm의 사인바(sine bar)에 의해서 30° 를 만드는 데 필요한 블록게이지가 다음과 같이 준비되어 있을 때, 필요없는 것은?
     1. 40 mm
     2. 20 mm
     3. 5.5 mm
     4. 4.5 mm

     정답 : []
     정답률 : 36%

16. 강의 특수 열처리법에서, 오스테나이트를 경(硬)한 조직인 베이나이트로 변환시키는 항온 열처리법은?
     1. 오스포밍(ausforming)
     2. 노멀라이징(normalizing)
     3. 오스템퍼링(austempering)
     4. 마르템퍼링(martempering)

     정답 : []
     정답률 : 59%
     <문제 해설>
오스테나이트를 경(硬)한 조직 = 오스템퍼링(austempering)
[해설작성자 : 아사카]

17. 방전가공이란 무엇인가?
     1. 기계적 진동을 하는 공구와 공작물 사이에 연삭입자와 물 또는 기름의 혼합액을 주입하여 급격한 타격작용으로 공작물 표면을 가공하는 방법
     2. 공작물을 양극으로 하여 전해액 안에서 공작물의 표면을 전기분해하는 가공법
     3. 공구와 공작물 사이에서 방전을 시켜 구멍뚫기,조각, 절단 등의 가공을 하는 방법
     4. 전해 연삭에서 나타난 양극 생성물을 연삭작업으로 갈아내는 가공법

     정답 : []
     정답률 : 42%

18. 단조 온도에 대한 설명 중 틀린 것은?
     1. 단조 완료 온도가 높으면 결정이 미세화 된다.
     2. 재질이 다르면 고온에서 최적 단조 온도가 다르게 된다.
     3. 단조 가공 완료 온도는 재결정 온도 근처로 하는 것이 좋다.
     4. 단조 온도를 단조 최고온도보다 높게 하면 산화가 심하다.

     정답 : []
     정답률 : 23%

19. 주형을 만들때 상형과 하형의 밀착 부족으로 인하여 발생하는 결함은?
     1. 기공(blow hole)
     2. 수축공(shrinkage cavity)
     3. 핀(fin)
     4. 편석(segregation)

     정답 : []
     정답률 : 28%
     <문제 해설>
1. 주형으로부터 가스가 뿜어 나옴으로 생긴다.
2. 쇳물 주입후 쇳물의 수축률에 의해 생긴것으로 수지상 결정이라 부르는 거친 구멍임.
4. 불순물에 의해서 생긴다.
[해설작성자 : pdh]

20. 압연 롤과 압연재 사이의 마찰계수를 μ , 롤로부터의 압연압력을 P라고 할 때 롤이 자력으로 재료를 끌어당기기 위하여는 다음 어느 관계가 성립하여야 하는가?

    

     1. μ ≧ tanα
     2. μ < tanα
     3. μ ≧ P sinα
     4. μ ≧ P cosα

     정답 : []
     정답률 : 31%

2과목 : 기계설계 및 기계재료


21. 피치가 12.7㎜, 잇수 15인 체인휘일이 400rpm으로 회전할때 이 체인의 평균 속도는 약 얼마인가?
     1. 1.3m/sec
     2. 2.5m/sec
     3. 3.3m/sec
     4. 4.5m/sec

     정답 : []
     정답률 : 18%

22. 두줄나사를 두바퀴 돌렸더니 축 방향으로 12㎜ 이동했다. 이 나사의 피치(pitch)와 리드(lead)는 각각 얼마인가?
     1. p = 3㎜, ℓ = 6㎜
     2. p = 6㎜, ℓ = 3㎜
     3. p = 3㎜, ℓ = 3㎜
     4. p = 6㎜, ℓ = 6㎜

     정답 : []
     정답률 : 61%

23. 다음중 구상흑연 주철의 조직에 포함되지 않는 것은?
     1. 마텐자이트
     2. 페라이트
     3. 펄라이트
     4. 시멘타이트

     정답 : []
     정답률 : 34%

24. 탄소 6.68%C를 함유한 백색 침상의 금속간 화합물로서 800∼920HB로 취약하며 상온에서는 강자성이나 210℃가넘으면 상자성으로 변하여 A0 변태를 하는 것은?
     1. 시멘타이트
     2. 흑연
     3. 오스테나이트
     4. 페라이트

     정답 : []
     정답률 : 42%

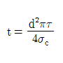
25. 연강축의 허용 전단응력 τa = 200㎏f/cm2일 때 비틀림 모멘트만을 받는 축의 지름 d는 약 몇 ㎝인가? (단, H : 전달마력(PS), N : 회전수(rpm)이다.)
     1.
     2.
     3.
     4.

     정답 : []
     정답률 : 37%

26. 특수강에서 합금원소의 주요한 역할이 아닌 것은?
     1. 기계적, 물리적, 화학적 성질의 개선
     2. 황 등의 해로운 원소 제거
     3. 소성가공성의 개량
     4. 페라이트의 입자 조정

     정답 : []
     정답률 : 57%

27. 고체 침탄법에서 침탄제로 많이 사용되는 것은?
     1. 목탄 60%와 BaCO3 40%의 혼합물
     2. 목탄 또는 KCN 60%의 혼합물
     3. BaCl2 60%와 CaCO3 40%의 혼합물
     4. NaCN 40%와 KCN 60%의 혼합물

     정답 : []
     정답률 : 40%

28. 금속 재료가 일정한 온도 영역과 변형속도의 영역에서 유리질처럼 늘어나는 특수한 현상은?
     1. 형상기억
     2. 초소성
     3. 초탄성
     4. 초취성

     정답 : []
     정답률 : 66%

29. 500kgf 의 하중을 올리는 나사 잭의 허용인장응력을 5kgf/mm2라고 할 때 나사의 직경으로 가장 알맞은 것은?
     1. 12mm
     2. 14mm
     3. 18mm
     4. 22mm

     정답 : []
     정답률 : 34%

30. 헬리컬 기어의 축직각 모듈 mn과 치직각 모듈 m과의 관계는 다음 중 어느 것인가? (단, β 는 나선각이다.)
     1. m = mn cos2β
     2. mn = m cosβ
     3. m = mn cosβ
     4. mn = m cos2β

     정답 : []
     정답률 : 25%

31. 다음 합금 중 고체 음이나 고체진동이 문제가 되는 경우 음원이나 진동 원을 사용하여 공진, 진폭, 진동속도를 감쇠 시키는 합금은?
     1. 초 소성합금
     2. 초 탄성합금
     3. 제진 합금
     4. 초 내열합금

     정답 : []
     정답률 : 52%

32. 베어링 하중 3500㎏f를 지지하고 있는 강제(鋼製)엔드 저널의 허용 베어링 압력이 100㎏f/cm2이라면 저널의 지름 d와 길이 ℓ은 각각 얼마 정도인가? (단, ℓ = 2d이다.)
     1. d = 41.8㎜, ℓ = 83.6㎜
     2. d = 46.1㎜, ℓ = 92.2㎜
     3. d = 51.2㎜, ℓ = 102.4㎜
     4. d = 56.3㎜, ℓ = 112.6㎜

     정답 : []
     정답률 : 26%

33. 캠 브레이크(cam brake)는 다음 중 어느 브레이크에 속하는가?
     1. 유체 브레이크
     2. 축압 브레이크
     3. 자동하중 브레이크
     4. 밴드 브레이크

     정답 : []
     정답률 : 49%

34. 다음 중 역류를 방지하여 유체를 한쪽 방향으로 흘러가게 하는 밸브는?
     1. 게이트 밸브
     2. 첵 밸브
     3. 글로브 밸브
     4. 볼 밸브

     정답 : []
     정답률 : 75%

35. 쾌삭강은 탄소강에 어떤 원소를 첨가시켜 개선한 구조용강이다. 다음 중 쾌삭강에 첨가하는 원소가 아닌 것은?
     1. Si
     2. S
     3. P
     4. Pb

     정답 : []
     정답률 : 15%

36. 원동차의 지름이 300 mm, 종동차의 지름이 500 mm인 내접촉 마찰차의 중심거리는?
     1. 800 mm
     2. 400 mm
     3. 200 mm
     4. 100 mm

     정답 : []
     정답률 : 14%

37. 격자 상수란?
     1. 단위체적당의 격자수
     2. 격자를 이루고 있는 원자의 수
     3. 단위세포 한 모서리의 길이
     4. 단위세포 모서리와 모서리의 길이

     정답 : []
     정답률 : 21%

38. 다음 중 가장 큰 회전력을 전달시킬 수 있는 키는?
     1. 평 키(flat key)
     2. 안장 키(saddle key)
     3. 핀 키(pin key)
     4. 접선 키(tangential key)

     정답 : []
     정답률 : 51%

39. 재료의 침탄층, 질화층, 탈탄층 등의 경도를 측정하는데 가장 적당한 시험법은?
     1. 비커스 경도시험
     2. 마르텐스 경도시험
     3. 브리넬 경도시험
     4. 쇼어 경도시험

     정답 : []
     정답률 : 32%

40. 다음 탄소 공구강 중 탄소 함유량이 가장 많은 것은?
     1. STC1
     2. STC2
     3. STC3
     4. STC4

     정답 : []
     정답률 : 34%

3과목 : 컴퓨터응용가공


41. 가는 2점 쇄선의 용도 중 틀린 것은?
     1. 되풀이 하는 것을 나타내는데 사용한다.
     2. 중심이 이동한 중심 궤적을 표시하는데 쓰인다.
     3. 인접부분을 참고로 표시하는데 사용한다.
     4. 가공 전 또는 가공 후의 모양을 표시하는데 사용한다

     정답 : []
     정답률 : 43%

42. 컴퓨터의 CPU에서 사용되는 고속의 기억장치로 정보를 이동하기 위해 대기하거나 이송된 정보를 받아들여 일시적으로 자료를 보관하는 장소는?
     1. 계수기(Counter)
     2. 디코더(Decorder)
     3. 인터럽트(Interrupt)
     4. 레지스터(Register)

     정답 : []
     정답률 : 55%

43. 축 방향으로 본 단면으로 도시할 때 기어의 이뿌리원을 그리는데 사용되는 선의 종류는?(오류 신고가 접수된 문제입니다. 반드시 정답과 해설을 확인하시기 바랍니다.)
     1. 가는 1점 쇄선
     2. 가는 파선
     3. 가는 실선
     4. 굵은 실선

     정답 : []
     정답률 : 50%
     <문제 해설>
아래와 같은 오류 신고가 있었습니다.
여러분들의 많은 의견 부탁 드립니다.
추후 여러분들의 의견을 반영하여 정답을 수정하도록 하겠습니다.
참고로 정답 변경은 오류 신고 5회 이상일 경우 수정합니다.

[오류 신고 내용]
정답 4번 단면 도시 안할때 가는실선.
[해설작성자 : comcbt.com 이용자]

[추가 오류 신고]
정답 4번 아닌가요???
[해설작성자 : comcbt.com 이용자]

[관리자 입니다.
다른 문제집 확인 가능한분 계시면 확인 부탁 드립니다.
신고시 출판사명까지 기제 부탁 드립니다.]

44. 한정된 범위 내에서 수치가 입력되도록 만들어진 장비로서 스칼라 량을 다이알 방식에 의해 회전변위를 수치로 표현하여 입력되는 장치는?
     1. LOCATOR(위치 선택기)
     2. VALUATOR(밸류에이터)
     3. BUTTON(버튼)
     4. KEYBOARD(키보드)

     정답 : []
     정답률 : 68%

45. 기준직선 A에 평행하고 지정길이 100mm에 대하여 0.01mm의 공차값을 지정할 경우 표시방법으로 옳은 것은?
     1.
     2.
     3.
     4.

     정답 : []
     정답률 : 50%

46. CAD 명령어에서 이동(MOVE)기능과 복사(COPY)기능의 차이는?
     1. 오브젝트의 변위
     2. 오브젝트의 위치
     3. 오브젝트의 수
     4. 오브젝트의 변환

     정답 : []
     정답률 : 51%

47. 다음 그림은 어느 단면도에 해당하는가?

    

     1. 온단면도
     2. 한쪽단면도
     3. 회전단면도
     4. 부분단면도

     정답 : []
     정답률 : 27%

48. 치수기입의 원칙을 설명한 것이다. 바르지 못한 것은?
     1. 특별히 명시하지 않는 한 도시한 대상물의 마무리 치수를 기입
     2. 서로 관련되는 치수는 되도록이면 분산하여 기입
     3. 기능상 필요한 경우 치수의 허용한계를 기입
     4. 참고치수에 대해서는 수치에 괄호를 붙여 기입

     정답 : []
     정답률 : 61%

49. 컴퓨터의 통신속도를 나타내는 단위는?
     1. BPI
     2. BPT
     3. MIPS
     4. BPS

     정답 : []
     정답률 : 73%

50. 다음은 롤링베어링의 호칭번호이다. 안지름은 몇 mm인가?

    

     1. 26
     2. 60
     3. 130
     4. 300

     정답 : []
     정답률 : 67%

51. 서로 다른 CAD 시스템에서 구성된 그래픽 데이터를 교환하는 표준으로 1979년 미국에서 시작하여 표준규격으로 제정된 것은?
     1. IGES
     2. DXF
     3. SET
     4. PDDI

     정답 : []
     정답률 : 67%

52. 부품도를 제도할 때 물체의 일부분만을 도시하여도 충분한 경우 그 필요한 부분만을 나타내는 투상도는?
     1. 국부 투상도
     2. 부분 투상도
     3. 보조 투상도
     4. 회전 투상도

     정답 : []
     정답률 : 63%

53. 두 끝점이 P11(1,2)와 P12(3,3)인 직선을 좌표축의 원점 (0,0)을 중심으로 60° 회전(Rotation)변환시킨 결과 직선의 두 끝점 P21, P22의 좌표값으로 맞는 것은?

    

     1. P21=(-√2, √3), P22=(-1, 4)
     2. P21=(-0.616, 1.866), P22=(-0.598, 4.098)
     3. P21=(-0.134, 2.232), P22=(1.098, 4.098)
     4. P21=(-1.232, 1.866), P22=(-1.098, 4.098)

     정답 : []
     정답률 : 30%

54. CAD 시스템에서 낮은 차수의 곡선을 선호하는 이유는?
     1. 차수가 낮을수록 곡선의 불필요한 진동이 덜하다.
     2. 차수가 낮을수록 곡선을 그리는데 계산시간이 많이든다.
     3. 차수가 낮을수록 곡선의 미(美)적인 효과가 크다.
     4. 차수가 낮을수록 공간 곡선을 정의하기 용이하다.

     정답 : []
     정답률 : 23%

55. 원점에서 극좌표로 r=5, θ=90° 만큼 이동한 점의 직교 좌표는?
     1. (0, 5)
     2. (0, 90)
     3. (5, 0)
     4. (5.145, 5.145)

     정답 : []
     정답률 : 30%

56. 다음 그림의 기하공차의 기호 가 나타내는 것은?

    

     1. 진직도
     2. 원통도
     3. 동심도
     4. 대칭도

     정답 : []
     정답률 : 77%

57. 도형 변환 행렬 에서 0<d<1 이면 어떤 변환을 하는가?
     1. x방향 확대
     2. y방향 확대
     3. x방향 축소
     4. y방향 축소

     정답 : []
     정답률 : 31%

58. 도면의 A1 크기에서 철하지 않을 때 d의 치수는 최소 몇 ㎜인가?

    

     1. 5
     2. 10
     3. 20
     4. 25

     정답 : []
     정답률 : 34%

59. 와이어 프레임 모델의 특징이 아닌 것은?
     1. 3면 투시도 작성이 불가능하다.
     2. 해석을 위한 유한요소의 자동생성이 불가능하다.
     3. 단면도 작성이 불가능하다.
     4. 은선 제거가 불가능하다.

     정답 : []
     정답률 : 27%

60. 스프링의 제도방법 중 틀린 것은?
     1. 코일스프링은 하중이 가해지지 않은 상태에서 그리는 것을 원칙으로 한다.
     2. 겹판스프링의 모양만을 도시할 때에는 스프링의 외형을 가는 1점쇄선으로 그린다.
     3. 도면에서 지시가 없는 코일스프링은 모두 오른쪽으로 감은 것을 나타낸다.
     4. 코일 스프링의 간략도는 스프링 재료의 중심선을 굵은 실선으로 그린다.

     정답 : []
     정답률 : 43%

61. 다음 CNC 시스템의 구성 중 사람의 손과 발에 해당되는 것은?
     1. 서보기구
     2. 볼 스크류
     3. 리졸버
     4. 컨트롤러

     정답 : []
     정답률 : 61%

62. NURBS곡선에 대한 설명으로 틀린 것은?
     1. 원, 타원, 포물선, 쌍곡선등 원추 곡선을 정확하게 나타낼 수 있다.
     2. 일반적인 B-Spline곡선을 포함한다.
     3. 3차 NURBS곡선은 특정 노트구간에서 4개의 조정점 외에 4개의 가중값(weights value)과 노트(knot) 벡터의 정보가 이용된다.
     4. 모든 조정점을 지나는 부드러운 곡선이다.

     정답 : []
     정답률 : 46%

63. 다음은 CNC선반 프로그램을 나타낸 것이다. 이 프로그램에서 ø = 80 일 때, 주축의 회전수는 얼마인가?

    

     1. 378 rpm
     2. 478 rpm
     3. 578 rpm
     4. 678 rpm

     정답 : []
     정답률 : 61%

64. 회전운동을 직선운동으로 바꿀 때 사용되는 볼 스크류의 장점이 아닌 것은?
     1. 백래시를 줄일 수 있다.
     2. 마찰계수가 적다.
     3. 높은 정밀도를 유지한다.
     4. 면접촉으로 동력전달이 효과적이다.

     정답 : []
     정답률 : 42%

65. 솔리드 모델링 방법 중 CSG(constructive solid geometry)방식과 비교할 때 B-rep(boundary representation)방식의 특징에 해당하는 것은?
     1. 메모리 용량이 적다.
     2. NC 데이터 생성이 어렵다.
     3. 3면도, 투시도, 전개도의 작성이 용이하다.
     4. 데이터 구조가 단순하고, 기억용량이 적다.

     정답 : []
     정답률 : 56%

66. CAD시스템에서 이용되는 2차 곡선방정식에 대한 설명으로 올바르지 못한 것은?
     1. 곡선식에 대한 계산시간이 3차, 4차식보다 적게 걸린다.
     2. 여러개의 곡선을 하나의 곡선으로 연결하는 것이 가능하다.
     3. 연결된 여러개의 곡선사이의 곡률의 연속이 보장된다.
     4. 매개변수식으로 표현하는 것이 가능하기도 하다.

     정답 : []
     정답률 : 36%

67. 다음 머시닝센터 프로그램에서 N10블록의 G49의 의미는?

    

     1. 공구경 보정
     2. 공구길이 보정
     3. 공구길이 보정 해제
     4. 공구경 보정 해제

     정답 : []
     정답률 : 73%

68. 포스트 프로세서의 작업 내용은?
     1. 도면 작성시 도형 정의 프로그램
     2. 3차원 프로그램
     3. 작업의 표준화에 필요한 프로그램
     4. CNC 공작기계에 맞추어 NC 데이터를 생성하는 작업

     정답 : []
     정답률 : 72%

69. 모델링할 경우에 부울 연산법에 의해서 가장 원활하게 모델을 구성할 수 있는 방식을 무엇이라고 하는가?
     1. 와이어프레임(WIREFRAME)모델
     2. 서피스(SURFACE) 모델
     3. 시스템(SYSTEM) 모델
     4. 솔리드(SOLID) 모델

     정답 : []
     정답률 : 64%

70. 엔드밀로 그림과 같은 위치에서 360도 원을 가공할 때 맞는 프로그램은?

    

     1. G17 G03 I-2. F100;
     2. G17 G03 J-2. F100;
     3. G18 G02 J2. F100;
     4. G18 G03 I2. F100;

     정답 : []
     정답률 : 52%

71. 컴퓨터 그래픽의 기본요소(PRIMITIVE)중 3차원 프리미티브에 해당되지 않는 것은 어느 것인가?
     1. 구(sphere)
     2. 관(tube)
     3. 원통(cylinder)
     4. 선(line)

     정답 : []
     정답률 : 70%

72. 일반적인 CNC공작기계에서 제품가공 흐름도로 가장 적합한 것은?
     1. 프로그램작성 → 도면 → 가공계획 → 기계가공 → 제품
     2. 도면 → 가공계획 → 프로그램작성 → 기계가공 → 제품
     3. 제품 → 도면 → 기계가공 → 가공계획 → 프로그램작성
     4. 도면 → 프로그램작성 → 가공계획 → 기계가공 → 제품

     정답 : []
     정답률 : 54%

73. 다음 중 CNC공작기계를 도입함에 따른 장점이 아닌 것은?
     1. 품질의 균일성
     2. 공구수명의 연장
     3. 준비시간의 절감
     4. 리드 타임의 연장

     정답 : []
     정답률 : 71%

74. 다음 CNC선반에 관한 설명 중 틀린 것은?
     1. CNC선반의 이송은 공작물 회전당 공구의 이송량을 주로 사용한다.
     2. 제 2원점은 고정되어 있으므로 임의로 작업자가 설정 할 수 없다.
     3. 절대 명령은 X와 Z로, 증분 명령은 U와 W로 명령한다.
     4. 동일 지령절에 절대 명령과 증분 명령을 동시에 혼용하여 사용할 수 있다.

     정답 : []
     정답률 : 63%

75. CAD/CAM에서 사용되는 모델 구성방식에 대한 내용 중 잘못 설명한 것은?
     1. wire frame model-실루엣(silhouette)이 잘 나타난다.
     2. surface model-NC data를 생성할 수 있다.
     3. solid model-정의된 형상의 무게를 구할 수 있다.
     4. surface model-tool path를 구할 수 있다.

     정답 : []
     정답률 : 45%

76. 다음 보조기능 중에서 기계부의 ON/OFF기능이 아닌 것은?
     1. M02
     2. M03
     3. M05
     4. M09

     정답 : []
     정답률 : 25%

77. 머시닝센타에서 2날 엔드밀를 사용하여 이송속도 (G94F100)으로 가공할 때 엔드밀의 날 하나당 이송속도는 몇 mm/tooth 인가? (단, 주축의 회전수는 500rpm 이다.)
     1. 0.05
     2. 0.1
     3. 0.2
     4. 0.25

     정답 : []
     정답률 : 48%
     <문제 해설>
X*2*500=100
100/1000=0.01
[해설작성자 : 아사카]

78. 머시닝센터에서 리머 가공시 바르지 못한 것은?
     1. 기계 리머를 사용한다.
     2. 리머를 뺄 때 정회전 상태에서 절입시와 같은 이송 속도로 한다.
     3. 좋은 가공면을 얻기 위하여 높은 절삭속도로 이송을 빠르게 한다.
     4. 리머 가공시 충분한 절삭유를 주입하여 칩(chip) 배출을 원활하게 한다.

     정답 : []
     정답률 : 63%
     <문제 해설>
높은 절삭속도로 이송속도를 느리게 한다.
[해설작성자 : 아사카]

79. 자동공구 교환장치(ATC)에서 공구교환 명령은?
     1. M06
     2. M30
     3. M50
     4. M40

     정답 : []
     정답률 : 74%
     <문제 해설>
M06 : 공구교환
[해설작성자 : 아사카]

80. 임의의 4개의 점이 공간상에 구성되어 있다. 4개의 점으로 한 개의 베지어(Bezier)곡선을 구성한다면 베지어 곡선을 구성하기 위한 기본 계산식의 차수는 몇 차식인가?
     1. 1차식
     2. 2차식
     3. 3차식
     4. 4차식

     정답 : []
     정답률 : 55%


정 답 지

1

2

3

4

5

6

7

8

9

10

11

12

13

14

15

16

17

18

19

20

21

22

23

24

25

26

27

28

29

30

31

32

33

34

35

36

37

38

39

40

41

42

43

44

45

46

47

48

49

50

51

52

53

54

55

56

57

58

59

60

61

62

63

64

65

66

67

68

69

70

71

72

73

74

75

76

77

78

79

80

컴퓨터응용가공산업기사 필기 기출문제(해설) 및 CBT 2003년08월10일을 이용해 주셔서 감사합니다.
, 필기, 기출문제, 전자문제집, CBT, 온라인, 모의테스트, 모의고사



List of Articles
번호 제목 글쓴이 날짜 조회 수
8096 컴퓨터응용가공산업기사 필기 기출문제(해설) 및 CBT 2005년08월07일(927) 좋은아빠되기 2025.11.25 4
8095 컴퓨터응용가공산업기사 필기 기출문제(해설) 및 CBT 2005년05월29일(926) 좋은아빠되기 2025.11.25 1
8094 컴퓨터응용가공산업기사 필기 기출문제(해설) 및 CBT 2005년03월20일(925) 좋은아빠되기 2025.11.25 4
8093 컴퓨터응용가공산업기사 필기 기출문제(해설) 및 CBT 2005년03월06일(924) 좋은아빠되기 2025.11.25 3
8092 컴퓨터응용가공산업기사 필기 기출문제(해설) 및 CBT 2004년08월08일(923) 좋은아빠되기 2025.11.25 4
8091 컴퓨터응용가공산업기사 필기 기출문제(해설) 및 CBT 2004년05월23일(922) 좋은아빠되기 2025.11.25 1
8090 컴퓨터응용가공산업기사 필기 기출문제(해설) 및 CBT 2004년03월07일(921) 좋은아빠되기 2025.11.25 4
» 컴퓨터응용가공산업기사 필기 기출문제(해설) 및 CBT 2003년08월10일(920) 좋은아빠되기 2025.11.25 2
8088 컴퓨터응용가공산업기사 필기 기출문제(해설) 및 CBT 2003년05월25일(919) 좋은아빠되기 2025.11.25 4
8087 컴퓨터응용가공산업기사 필기 기출문제(해설) 및 CBT 2003년03월16일(918) 좋은아빠되기 2025.11.25 1
8086 컴퓨터응용가공산업기사 필기 기출문제(해설) 및 CBT 2002년08월11일(917) 좋은아빠되기 2025.11.25 4
8085 컴퓨터응용가공산업기사 필기 기출문제(해설) 및 CBT 2002년05월26일(916) 좋은아빠되기 2025.11.25 2
8084 컴퓨터응용가공산업기사 필기 기출문제(해설) 및 CBT 2002년03월10일(915) 좋은아빠되기 2025.11.25 4
8083 방송통신산업기사(구) 필기 기출문제(해설) 및 CBT 2018년10월06일(914) 좋은아빠되기 2025.11.25 2
8082 방송통신산업기사(구) 필기 기출문제(해설) 및 CBT 2017년10월14일(913) 좋은아빠되기 2025.11.25 3
8081 방송통신산업기사(구) 필기 기출문제(해설) 및 CBT 2017년03월04일(912) 좋은아빠되기 2025.11.25 3
8080 방송통신산업기사(구) 필기 기출문제(해설) 및 CBT 2016년10월08일(911) 좋은아빠되기 2025.11.25 3
8079 방송통신산업기사(구) 필기 기출문제(해설) 및 CBT 2016년03월05일(910) 좋은아빠되기 2025.11.25 2
8078 방송통신산업기사(구) 필기 기출문제(해설) 및 CBT 2015년03월07일(909) 좋은아빠되기 2025.11.25 4
8077 방송통신산업기사(구) 필기 기출문제(해설) 및 CBT 2014년10월04일(908) 좋은아빠되기 2025.11.25 2
Board Pagination Prev 1 ... 548 549 550 551 552 553 554 555 556 557 ... 957 Next
/ 957