자격증 필기 기출문제



컴퓨터응용가공산업기사 필기 기출문제(해설) 및 CBT 2008년03월02일(932)

최강 자격증 기출문제 전자문제집 CBT : www.comcbt.com


전자문제집 CBT란?

종이 문제집이 아닌 인터넷으로 문제를 풀고 자동으로 채점하며 모의고사, 오답 노트, 해설까지 제공하는
무료 기출문제 학습 프로그램으로 실제 상설검정에서 사용하는 OMR 형식의 CBT를 제공합니다.


최신 컴퓨터응용가공산업기사 필기 기출문제 : [다운로드]

1과목 : 기계가공법 및 안전관리


1. 절삭공구의 구비조건으로 틀린 것은?
     1. 취성이 클것
     2. 마찰계수가 작을 것
     3. 내마모성이 클것
     4. 고온에서 경도가 감소하지 않을 것

     정답 : []
     정답률 : 81%
     <문제 해설>
취성이 작아야 한다.

2. 구성인선(built-up edge)에 대한 일반적인 설명으로 틀린 것은?
     1. 절삭 저항이 커진다.
     2. 가공 면을 거칠게 한다.
     3. 바이트의 수명을 짧게 한다.
     4. 절삭속도를 작게 하면 방지된다.

     정답 : []
     정답률 : 73%
     <문제 해설>
절삭속도를 크게 해야 방지된다.

3. 절삭유제의 사용 목적에 대한 일반적인 설명으로 틀린 것은?
     1. 절삭공구를 냉각시켜 공구의 경도저하를 막는다.
     2. 칩의 제거를 용이하게 하여 절삭작업을 쉽게 한다.
     3. 공구의 마모를 줄이고 윤활 및 세척작용으로 가공표면을 좋게 한다.
     4. 공구와 가공물의 친화력 향상으로 정밀도를 높게 한다.

     정답 : []
     정답률 : 62%
     <문제 해설>
절삭유는 정밀도와 상관 없다.
공구가 열을 받아 뜨거워지기 때문에 식히는 역할을 한다.
공구가 열을 받으면 연기가 나고 점점 마모가 나고 뚝 부서진다.
[해설작성자 : 아사카]

4. 터릿 선반(turret lathe)등에 널리 사용되며, 보통 선반에서는 주축의 테이퍼 구멍에 슬리브를 꽂은 다음 여기에 끼워 사용하는 것은?
     1. 연동척
     2. 마그네틱척
     3. 콜릿척
     4. 단동척

     정답 : []
     정답률 : 67%

5. 다음 중 선반 베드의 재질로 가장 적합한 것은?
     1. 고급 주철
     2. 탄소 공구강
     3. 연강
     4. 초경합금

     정답 : []
     정답률 : 51%

6. 수평 밀링 머신의 주축(spindle)에 대한 설명 중 틀린 것은?
     1. 보통 테이퍼 롤러 베어링으로 지지되어 있다.
     2. 기둥(column)에 설치되어 있으며 아버를 고정한다.
     3. 주축 끝에 코터가 장치되어 있어 커터의 중심을 맞춘다.
     4. 주축단은 보통 테이퍼진 구멍으로 되어 있으며 크기는 규격으로 정해져 있다.

     정답 : []
     정답률 : 30%

7. 암나사를 가공하는 탭(tap)을 사용하여 가공할 때 일반적으로 최종 다듬질에 사용하는 것은?
     1. 3번 탭
     2. 2번 탭
     3. 1번 탭
     4. 0번 탭

     정답 : []
     정답률 : 74%

8. 다음 중 작업자의 복장으로서 적당하지 않은 것은?
     1. 기름이 밴 작업복은 입지 않는다.
     2. 수건은 허리춤에 곡 맞게 끼거나 목에 감는다.
     3. 작업복의 소매와 바지의 단추를 잠근다.
     4. 상의의 옷자락이 밖으로 나오지 않도록 한다.

     정답 : []
     정답률 : 85%

9. 한계 게이지 측정방식의 특징 중 잘못된 것은?
     1. 개인차가 없고 측정 시간이 절약된다.
     2. 경험이 필요치 않다.
     3. 측정이 쉽고 대량 생산에 적합하다.
     4. 눈금이 없어 측정 실패율이 높다.

     정답 : []
     정답률 : 66%

10. 밀링에서 상향절삭과 비교한 하향절삭 작업의 장점에 대한 설명이다. 틀린 것은?
     1. 공구의 수명이 길다.
     2. 가공물 고정이 유리하다.
     3. 앞으로 가공할 면을 잘 볼 수 있어서 좋다.
     4. 백 래시를 제거하지 않아도 된다.

     정답 : []
     정답률 : 77%
     <문제 해설>
백래시를 제거해야 한다.
백래시를 제거하지 않아도 되는 것은 상향절삭일 때이다.

11. 셰이퍼에서 램의 왕복 속도는 어떠한가?
     1. 일정하다.
     2. 귀환 행정일 때가 늦다.
     3. 절삭 행정일 때가 빠르다.
     4. 귀환 행정일 때가 빠르다.

     정답 : []
     정답률 : 56%

12. 일감에 회전운동과 이송을 주며, 숫돌을 일감표면에 약한 압력으로 눌러 대고 다듬질할 면에 따라 매우 작고 빠른 진동을 주어 가공하는 방법은?
     1. 슈퍼피니싱
     2. 래핑
     3. 드릴링
     4. 드레싱

     정답 : []
     정답률 : 76%

13. 호빙머신에서 호브의 절삭속도를 v(m/min), 호브의 바깥지름을 d(mm)라 하면, 호브의 회전수 n(rpm)을 나타내는 식은?
     1.
     2.
     3.
     4.

     정답 : []
     정답률 : 79%
     <문제 해설>
v=pi*d*n/1000
n=1000*v/pi*d

14. CNC장치의 일반적인 정보 흐름으로 옳은 것은?
     1. NC명령 → 제어장치 → 서보기구 → NC가공
     2. 서보기구 → NC명령 → 제어장치 → NC가공
     3. 제어장치 → NC명령 → 서보기구 → NC가공
     4. 서보기구 → 제어장치 → NC명령 → NC가공

     정답 : []
     정답률 : 49%

15. 드릴작업할 때 절삭속도 25m/min, 드릴지름 22mm, 이송0.1mm/rev, 드릴 끝의 원추높이가 6mm일 경우 깊이 100mm인 구멍을 뚫는 때 소요시간은 약 몇 분인가?
     1. 8.76
     2. 6.43
     3. 4.72
     4. 2.93

     정답 : []
     정답률 : 29%
     <문제 해설>
n=1000v/pi*d=1000*25/3.14*22=361.71
f=fz*z*n=361.71*1*0.1=36.17
(100+6)/36.17=2.93

16. 연삭 중 어느 정도 숫돌입자가 마열되면 결합제의 결합도가 저항에 견디지 못하고 숫돌에서 탈락하여 새로운 날로 바뀌는 것이 숫돌의 특징이다. 이러한 현상을 무엇이라고 하는가?
     1. 로딩
     2. 트루잉
     3. 자생작용
     4. 글레이징

     정답 : []
     정답률 : 54%

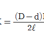
17. 그림과 같은 사인바의 H값을 구하는 공식은?

    

     1.
     2.
     3. H=Lㆍsinθ
     4. H=2(Lㆍsinθ)

     정답 : []
     정답률 : 36%
     <문제 해설>
sina=높이/빗변이기 때문에
L*sina=빗변*(높이/빗변)=높이다.
따라서 H=L*sina 이다.

18. 다음 중 영국식 선반 베드의 단면 형상은?
     1. 산형
     2. 평형
     3. 절충형
     4. 별형

     정답 : []
     정답률 : 59%

19. 연삭 작업에서 연삭 숫돌의 입자가 무디어 지거나 눈 메움이 생기면 연삭 능력이 저하되므로 숫돌의 예리한 날이 나타나도록 가공하는 작업을 무엇이라 하는가?
     1. 시닝
     2. 드레싱
     3. 글레이징
     4. 로딩

     정답 : []
     정답률 : 64%

20. 다음 중 금긋기 작업 공구로 가장 거리가 먼 것은?
     1. 서피스게이지
     2. 콤파스
     3. V 블록
     4. 광선정반

     정답 : []
     정답률 : 56%

2과목 : 기계설계 및 기계재료


21. 다음 회주철에 대한 설명 중 틀린 것은?
     1. 인장력에 약하고 깨지기 쉽다.
     2. 탄소강에 비해 진동에너지의 흡수가 되지 않는다.
     3. 주조와 절삭가공이 쉽다.
     4. 유동성이 좋아 복잡한 형태의 주물을 만들 수 있다.

     정답 : []
     정답률 : 39%

22. 철공용 줄(file)의 재질로 가장 적합한 것은?
     1. 고속도강
     2. 탄소공구강
     3. 세라믹
     4. 연강

     정답 : []
     정답률 : 55%

23. 다음 중 절삭 공구용 특수강은?
     1. Ni-Cr 강
     2. 불변강
     3. 내열강
     4. 고속도강

     정답 : []
     정답률 : 72%

24. 탄소강에서 적열취성의 원인이 되는 원소는?
     1. 규소
     2. 망간
     3.
     4.

     정답 : []
     정답률 : 50%

25. 열간가공과 비교하여 냉간가공의 장점은 무엇인가?
     1. 작업능률이 양호하다.
     2. 가공에 필요한 동력이 적게 소모된다.
     3. 제품 표면이 아름답다.
     4. 단시간 내 완성이 가능하다.

     정답 : []
     정답률 : 35%

26. 비중이 1.74 정도 이며, 가벼워 항공기 및 자동차 부품 등에 사용되는 합금의 재료는?
     1. Sn
     2. Cu
     3. Mg
     4. Ni

     정답 : []
     정답률 : 62%
     <문제 해설>
비중비교
Sn-7.29
Cu-8.96
Ni-8.9

27. 순철(α철)의 격자구조는?
     1. 면심입방격자
     2. 연심정방격자
     3. 체심입방격자
     4. 조밀육방격자

     정답 : []
     정답률 : 46%

28. 탄소가 0.25%인 탄소강의 기계적 성질을 0~500℃ 사이에서 조사하면 200~300℃에서 인장강도가 최대치를, 연신율이 최저치를 나타내며 가장 취약하게 되는 현상은?
     1. 고온취성
     2. 상온 충격치
     3. 청열취성
     4. 탄소강 충격값

     정답 : []
     정답률 : 69%

29. 가공용 알루미늄합금 중 항공기나 자동차 음체용 고강도 Al-Cu-Mg-Mn계의 합금은?
     1. 두랄루민
     2. 하이드로날륨
     3. 라우탈
     4. 실루민

     정답 : []
     정답률 : 75%
     <문제 해설>
하이드로날륨 Al+Mg 4~7% 내식성이 우수. 선박용품, 건축용 재료로 쓰임
라우탈 Ai+Cu 3~8%+Si 3~8% 주조성 개선. 절삭성 향상. 피스톤, 기계부속품으로 쓰임
실루민 Al+Si 10~14% 주조성은 좋으나 절삭성이 불량

30. 다음 중 주철의 흑연발생 촉진 원소는 어느 것인가?
     1. Si
     2. Mn
     3. P
     4. S

     정답 : []
     정답률 : 31%

31. 다음 중 표준스퍼 기어에서 이의 크기가 가장 큰 것은? (단, m : 모듈, P : 지름피치 이다.)
     1. P = 10
     2. P = 12
     3. m = 2
     4. m = 2.5

     정답 : []
     정답률 : 22%

32. 사각형 단면(100mm×60mm)의 기둥에 10kgf/cm2압축응력이 발생할 때 압축하중은 약 얼마인가?
     1. 6000kgf
     2. 600kgf
     3. 60kgf
     4. 60000kgf

     정답 : []
     정답률 : 46%
     <문제 해설>
10kgf/cm^2, 100mm=10cm, 60mm=6cm
10kgf/cm^2*(10cm*6cm)
=10*10*6kgf
=600kgf

33. 반복하중을 받는 스프링에서는 그 반복속도가 스프링의 고유진동수에 가까워 지면 심한 진동을 일으켜 스프링의 파손 원인이 된다. 이 현상을 무엇이라 하는가?
     1. 자유높이
     2. 스프링상수
     3. 비틀림모멘트
     4. 서징

     정답 : []
     정답률 : 46%

34. 축의 홈이 깊게 파여 축의 강도가 약하게 되기는 하나 키와 키홈 등이 모두 가공하기 쉽고 키가 자동적으로 축과 보스 사이에 자리를 잡을 수 잇어 자동차, 공작기계 등의 축에 널리 사용되며 특히 테이퍼 축에 사용하면 편리한 키는?
     1. 둥근 키
     2. 접선 키
     3. 묻힘 키
     4. 반달 키

     정답 : []
     정답률 : 37%

35. 다음 그림과 같은 원통코일 스프링의 처짐량 δ=60mm일 때, 작용하는 하중 W는 몇 kgf인가? (단, 스프링 상수 k1=6kgf/cm. k2=2kgf/cm이다.)

    

     1. 4kgf
     2. 6kgf
     3. 9kgf
     4. 48kgf

     정답 : []
     정답률 : 34%

36. V벨트를 평벨트와 비교한 특징이다. 틀린 것은?
     1. 전동효율이 좋다.
     2. 축간거리를 더 멀리 할 수 있다.
     3. 고속운전이 가능하다.
     4. 정숙한 운전이 가능하다.

     정답 : []
     정답률 : 62%

37. 재료에 높은 온도로 큰 하중을 일정하게 작용시키면 응력이 일정해도 시간의 경과에 따라 변형률이 증가하는 현상은?
     1. 크리프현상
     2. 시효현상
     3. 응력집중현상
     4. 피로파손현상

     정답 : []
     정답률 : 54%

38. 3줄 나사에서 나사를 3회전 하였더니 36mm 전진하였다. 이 나사의 피치는?
     1. 12mm
     2. 6mm
     3. 4mm
     4. 3mm

     정답 : []
     정답률 : 57%

39. 축을 설계할 때 고려해야 할 사항이 아닌 것은?
     1. 강도 및 변형
     2. 진동
     3. 회전방향
     4. 얼응력

     정답 : []
     정답률 : 52%

40. 역류를 방지하여 유체를 한쪽 방향으로만 흘러가게 하는 밸브는 무슨 밸브라 하는가?
     1. 콕밸브
     2. 체크밸브
     3. 게이트밸브
     4. 안전밸브

     정답 : []
     정답률 : 73%

3과목 : 컴퓨터응용가공


41. CAD/CAM 시스템에서 컵이나 병 등의 형상을 만들 때 회전곡면(revolution surface)을 이용한다. revolution작업시 필요한 자료가 아닌 것은?
     1. 회전각도
     2. 회전중심축
     3. 회전단면선
     4. 옵셋(offset)량

     정답 : []
     정답률 : 64%

42. 4면체 와이어프레임 모델(wireframe model)로 표현하였을 때 모서리(edges) 개수는 몇 개인가?
     1. 6
     2. 5
     3. 4
     4. 3

     정답 : []
     정답률 : 45%

43. 와이어프레임 모델의 일반적인 특징 설명으로 틀린 것은?
     1. 온선제거가 가능하다.
     2. 처리속도가 빠르다.
     3. 단면도 작성이 어렵다.
     4. 데이터의 구성이 간단하다.

     정답 : []
     정답률 : 70%
     <문제 해설>
은선제거가 불가능하다.

44. 베지어(Bezier)곡선의 특징을 설명한 것 중 틀린 것은?
     1. 곡선은 조정점(control point)에 의해 형성된 블록포(convex hull)의 바깥쪽에 위치할 수 있다.
     2. 곡선은 양끝점의 조정점을 통과한다.
     3. 1개의 조정점 변화는 곡선 전체에 영향을 미친다.
     4. n개의 조정점에 의하여 정의되는 곡선은(n-1)차 곡선이다.

     정답 : []
     정답률 : 47%
     <문제 해설>
곡선은 조정점에 의해 형성된
블록포의 내측에 위치할 수 있다.

45. 와이어프레임 모델과 비교하여 솔리드 모델(Solid model)에 관한 설명 중 틀린 것은?
     1. 체적에 관한 물리적 특성 계산이 가능하다.
     2. 일반적으로 메모리 요구량이 많아진다.
     3. 정확한 형상표현이 가능하다.
     4. 온선 제거 및 간섭 체크가 곤란하다.

     정답 : []
     정답률 : 68%
     <문제 해설>
솔리드 모델(Solid model)
은선 제거 및 간섭 체크가 가능하다.
[해설작성자 : 아사카]

46. 자유곡면을 형성할 때 곡면 패치(patch)의 4개 점의 위치 벡터와 4개의 경계곡선을 정의하고, 그 경계조건을 보간하여 곡면을 생성시키는 것은?
     1. NURBS 곡면
     2. Coons 곡면
     3. Spline 곡면
     4. Ferguson 곡면

     정답 : []
     정답률 : 66%

47. 항공기 날개나 동체, 자동차 차체, 배의 동체 등에는 기능상으로 매우 복잡한 형상이 표현되어야 하기 때문에 다양한 곡면의 표현 방법이 요구되고 있다. 다음 중 모델링 방법에 따른 곡면의 설명 중 틀린 것은?
     1. Loft 곡면 : 여러 개의 단면곡선을 연결 규칙에 따라 연결한 곡면
     2. Grid 곡면 : 삼차원 측정기 등에서 얻은 점을 근사적으로 연결하는 곡면
     3. Blending 곡면 : 두 곡면이 만나는 부분을 부드럽게 만들 때 생성되는 곡면
     4. Patch 곡면 : 경계곡선의 외부를 형성하는 곡면

     정답 : []
     정답률 : 31%

48. 아래에서 공구간섭(overcut, undercut)에 대하여 틀리게 설명한 것은?
     1. 볼록한 모양을 가공할 시에는 별로 문제되지 않는다.
     2. Overcut을 방지하려면 사용하는 공구의 반경이 곡면의 최소 곡률 반경보다 커야 한다.
     3. Undercut을 방지하려면 사용하는 공구의 반경이 곡면의 최소 곡률 반경보다 작아야 한다.
     4. 여러 개의 곡면이 모여 복합곡면을 이루면 공구간섭을 체계적으로 해결하기가 힘들다.

     정답 : []
     정답률 : 29%

49. 다음 모델 중 FEM과 같은 공학적인 해석에 적합한 모델은?
     1. 와이어프레임 모델
     2. 서피스 모델
     3. 솔리드 모델
     4. 경계(boundary)모델

     정답 : []
     정답률 : 66%

50. 일반적인 CAD 시스템에서 직선을 정의하는 방법이 아닌 것은?
     1. 임의의 2점을 지정
     2. 임의의 한 점과 중분 좌표값 입력
     3. 곡선의 중심점
     4. 임의의 원에 위치한 한 점에서의 접선

     정답 : []
     정답률 : 57%

51. DNC 시스템의 물리적 구성요소라고 할 수 없는 것은?
     1. CNC기계
     2. 데이터 전송장치(통신선)
     3. 중앙컴퓨터
     4. CL 데이터

     정답 : []
     정답률 : 66%

52. 공구의 경로(CL data)를 입력받아 특정의 CNC공작기계에 맞는 CNC프로그램을 생성해내는 도구는?
     1. 산술계산기(arithmetic calculator)
     2. 포스트 프로세서(post processor)
     3. 번역기(translation unit)
     4. 테이프 판독기(tape reader)

     정답 : []
     정답률 : 77%

53. 이종 CAD 시스템간의 제품 데이터 교환에 사용하는 중립 데이터 형식이 아닌 것은?
     1. IGES
     2. DXF
     3. STEP
     4. KSSM

     정답 : []
     정답률 : 70%

54. 그래픽 입력장치가 아닌 것은 어느 것인가?
     1. 라이트 펜(light pen)
     2. 디지타이저(Digitizer)
     3. 플로터(plotter)
     4. 조이스틱(Joy stick)

     정답 : []
     정답률 : 72%
     <문제 해설>
플로터는 출력장치이다.

55. 3차원 CAD 데이터를 이용하여 원하는 실물모형(mock-up)을 제작하는 것은?
     1. Ivertment Casting
     2. Rapid Prototyping
     3. Slurry Casting
     4. Reverse Engineering

     정답 : []
     정답률 : 51%

56. 다음은 2차원에서 구성되는 원추곡선의 가장 일반적인 식이다. 이 일반식으로 표현되지 않는 형상은? ax2+bxy+cy2+dx+ey+g=0 (여기서 a,b,c,d,e,g 는 상수이다.)
     1. Ellipse(타원)
     2. Parabola(포물선)
     3. Hyperbola(쌍곡선)
     4. Hexagon(육각형)

     정답 : []
     정답률 : 44%

57. 2차원 상의 한점 P=[x, y, 1]을 x축 방향으로 전단 변환(shearing)하는 3×3 동차 변환 행렬[T]은? (여기서 a는 상수)

    

     1.
     2.
     3.
     4.

     정답 : []
     정답률 : 32%

58. 다음의 기하학적 변환 중에서 변환 전의 거리와 비교할 때 변환이 수행된 후에 물체상에 위치한 특정 두 점간의 거리가 달라질 수 있는 변환은?
     1. 이동 변환(translation)
     2. 회전 변환(rotation)
     3. 크기 변환(scaling)
     4. 반사 변환(reflection)

     정답 : []
     정답률 : 52%

59. 그림과 같이 제품형상을 구성할 때 기초 형상(primitives)들을 조합하는 방식으로 3차원 형상을 구성하는 방식에 해당하는 모델은?

    

     1. B-rap 모델
     2. Cell decomposition 모델
     3. surface 모델
     4. CSG 모델

     정답 : []
     정답률 : 49%
     <문제 해설>
기초형상을 조합(합, 차, 적)하는 방식으로 3차원 형상을 구성하는 방식은 CSG 방식이다.
이와 대조되는 방식은 B-Rep 방식이다.
B-Rep 방식은 점, 모서리, 면의 상관관계를 이용하여 형상화하는 방식이다.

60. 은선 제거법에서 면 위의 점에서 법선벡터를 N, 면 위의 점으로부터 관찰자 눈으로 향하는 벡터를 M이라고 할 때, 관찰자의 눈에 보이지 않는 면에 대한 표현으로 알맞은 것은?

    

     1. MㆍN > 0
     2. MㆍN< 0
     3. MㆍN = 0
     4. M = N

     정답 : []
     정답률 : 55%

61. 도면 내에 참고 치수를 나타내려고 한다. 올바른 설명은?
     1. 치수에 괄호를 한다.
     2. 치수앞에 @표를 한다.
     3. 치수를 ○ 안에 표시한다.
     4. 치수 위에 ※ 표를 한다.

     정답 : []
     정답률 : 73%

62. 다음 중에서 온 단면도로 나타낸 것은?
     1.
     2.
     3.
     4.

     정답 : []
     정답률 : 48%
     <문제 해설>
온 단면도 : 1/2 단면
한쪽 단면도 : 1/4 단면
[해설작성자 : 아사카]

63. 구멍의 치수가 , 축의 치수가 일 때, 최대 틈새는 얼마인가?
     1. 0.02
     2. 0.03
     3. 0.05
     4. 0.07

     정답 : []
     정답률 : 73%
     <문제 해설>
(50+0.05)-(50-0.02)=0.07

64. 다음 표면의 결 도시기호에서 X는 무엇을 나타내는가?

    

     1. 가공방법의 약호
     2. 가공모양의 기호
     3. 표면거칠기의 상한치
     4. a에 대한 기준길이

     정답 : []
     정답률 : 70%

65. 도면에서 가는 실선으로 표시된 대각선 부분의 의미는?

    

     1. 홈부분
     2. 곡면
     3. 평면
     4. 라운드 부분

     정답 : []
     정답률 : 76%

66. 다음 재료 중 기계 구조용 탄소 강재인 것은?
     1. SS 400
     2. SCr 410
     3. SM 40C
     4. SCS 55

     정답 : []
     정답률 : 64%

67. 다음 도면에서 평면도로 가장 적합한 것은?

    

     1.
     2.
     3.
     4.

     정답 : []
     정답률 : 72%

68. 다음 그림에서 13-ø20에서 13이 나타내는 것은?

    

     1. 구멍의 전체 수량
     2. 구멍의 크기
     3. 구멍의 간격
     4. 구멍의 등급

     정답 : []
     정답률 : 75%
     <문제 해설>
구멍의 전체 수량 13
구멍의 크기 Ø20
구멍의 간격 90
구멍의 등급 미표기

69. 나사의 도시에서 수나사와 암나사의 골지름은 어떤 선으로 그리는가?
     1. 굵은실선
     2. 가는실선
     3. 파선
     4. 일점쇄선

     정답 : []
     정답률 : 51%

70. 관련형체에 적용하는 데이텅이 필요한 기하공차의 종류인 것은?
     1. 진직도
     2. 원통도
     3. 평면도
     4. 원주 흔들림

     정답 : []
     정답률 : 60%

71. 다음 CNC의 제어 방식 중에서 여러 축의 움직임을 동시에 제어할 수 있기 때문에 2차원 또는 3차원 이상의 제어에 사용되는 것은?
     1. 윤곽절삭 제어방식
     2. 직선절삭 제어방식
     3. 위치결정 제어방식
     4. 절대좌표 제어방식

     정답 : []
     정답률 : 46%
     <문제 해설>
2차원 또는 3차원 이상의 제어는 윤곽절삭 제어방식이다.
[해설작성자 : 아사카]

72. CNC선반 프로그램에 G96 S100 M03 ; 일 때 S100은 어떠한 의미를 나타내는가?
     1. 절삭속도 100m/min로 주축속도 일정제어
     2. 매분 이송 100mm/min
     3. 매회전 이송 100mm/rev
     4. 회전수 100rpm으로 주축회전수 일정제어

     정답 : []
     정답률 : 60%
     <문제 해설>
G96 : 절삭속도 일정제어
[해설작성자 : 아사카]

73. CNC선반에서 절삭동력이 1.8kW이고, 주축의 회전수가 800rpm일 때 ø60mm가공시 주분력은 약 몇 N인가?
     1. 717
     2. 736
     3. 756
     4. 775

     정답 : []
     정답률 : 18%

74. CMC선반에서 공구보정(offset)번호 4번을 선택하여, 2번 공구를 사용하려고 할 때 공구지령으로 옳은 것은?
     1. T0204
     2. T0402
     3. T2040
     4. T4020

     정답 : []
     정답률 : 70%
     <문제 해설>
Txxyy
xx번의 공구를 yy번으로 공구보정. 실행하라

75. 다음 CNC선반 프로그램에서 N70 블록에서의 주축 회전수는 몇 rpm인가?

    

     1. 250
     2. 1500
     3. 1800
     4. 1990

     정답 : []
     정답률 : 46%
     <문제 해설>
N20 G50 S1800
N30 G96 S250
N60 X40
n=1000V/pi*d =1000*250/(3.14*40)=1989
N20 지령으로 인해 최대 회전수 1800.

76. 머시닝센터의 공구보정과 해당 G코드가 잘못 연결된 것은?
     1. G40 - 공구 지름 보정 취소
     2. G42 - 공구 지름 우측 보정
     3. G43 - 공구 길이 보정 “+”
     4. G49 - 공구 길이 보정 “-”

     정답 : []
     정답률 : 66%
     <문제 해설>
g49는 공구 길이 보정 취소

77. CNC 공작기계의 운전시 유의사항 중 옳지 않은 것은?
     1. 작업시 안전을 위해 장갑을 낀다.
     2. 절삭가공 전 반드시 프로그램을 확인한다.
     3. 공작물의 고정에 유의한다.
     4. 공구경로에 유의한다.

     정답 : []
     정답률 : 80%
     <문제 해설>
작업시 안전을 위해 장갑을 끼지 않는다.

78. CNC 공작기계에서 백래시를 줄이고 운동저항을 적게 하기 위해 사용되는 요소는?
     1. 볼스크루
     2. 리졸버
     3. 서보모터
     4. 컨트롤러

     정답 : []
     정답률 : 70%

79. 머시닝센터에서 공작물을 자동으로 교환하는 장치는?
     1. APC
     2. APT
     3. ATC
     4. ABS

     정답 : []
     정답률 : 36%
     <문제 해설>
자동 공구 교환장치(automatic tool changer:ATC)
[해설작성자 : 한솔도시락]

[추가 해설]

APC=Automatic Pallet Changer
자동 공작물 교환 장치

80. 다음 중 머시닝센터에 사용되는 고정 사이클 취소를 나타내는 준비 기능은?
     1. G80
     2. G85
     3. G86
     4. G89

     정답 : []
     정답률 : 62%
     <문제 해설>
G85 보링 사이클 - 절입 및 복귀시 왕복 절삭 가공
G86 보링 사이클 - 일반 황삭 보링 작업용 고정 사이클
G89 보링 사이클 - 구멍 바닥에서 드웰을 하는 보링 사이클


정 답 지

1

2

3

4

5

6

7

8

9

10

11

12

13

14

15

16

17

18

19

20

21

22

23

24

25

26

27

28

29

30

31

32

33

34

35

36

37

38

39

40

41

42

43

44

45

46

47

48

49

50

51

52

53

54

55

56

57

58

59

60

61

62

63

64

65

66

67

68

69

70

71

72

73

74

75

76

77

78

79

80

컴퓨터응용가공산업기사 필기 기출문제(해설) 및 CBT 2008년03월02일을 이용해 주셔서 감사합니다.
, 필기, 기출문제, 전자문제집, CBT, 온라인, 모의테스트, 모의고사



List of Articles
번호 제목 글쓴이 날짜 조회 수
8119 컴퓨터응용가공산업기사 필기 기출문제(해설) 및 CBT 2016년03월06일(950) 좋은아빠되기 2025.11.25 1
8118 컴퓨터응용가공산업기사 필기 기출문제(해설) 및 CBT 2015년05월31일(949) 좋은아빠되기 2025.11.25 4
8117 컴퓨터응용가공산업기사 필기 기출문제(해설) 및 CBT 2015년03월08일(948) 좋은아빠되기 2025.11.25 3
8116 컴퓨터응용가공산업기사 필기 기출문제(해설) 및 CBT 2014년05월25일(947) 좋은아빠되기 2025.11.25 4
8115 컴퓨터응용가공산업기사 필기 기출문제(해설) 및 CBT 2013년03월10일(946) 좋은아빠되기 2025.11.25 1
8114 컴퓨터응용가공산업기사 필기 기출문제(해설) 및 CBT 2012년09월15일(945) 좋은아빠되기 2025.11.25 4
8113 컴퓨터응용가공산업기사 필기 기출문제(해설) 및 CBT 2012년03월04일(944) 좋은아빠되기 2025.11.25 3
8112 컴퓨터응용가공산업기사 필기 기출문제(해설) 및 CBT 2011년10월02일(943) 좋은아빠되기 2025.11.25 4
8111 컴퓨터응용가공산업기사 필기 기출문제(해설) 및 CBT 2011년06월12일(942) 좋은아빠되기 2025.11.25 1
8110 컴퓨터응용가공산업기사 필기 기출문제(해설) 및 CBT 2011년03월20일(941) 좋은아빠되기 2025.11.25 4
8109 컴퓨터응용가공산업기사 필기 기출문제(해설) 및 CBT 2010년09월05일(940) 좋은아빠되기 2025.11.25 3
8108 컴퓨터응용가공산업기사 필기 기출문제(해설) 및 CBT 2010년05월09일(939) 좋은아빠되기 2025.11.25 4
8107 컴퓨터응용가공산업기사 필기 기출문제(해설) 및 CBT 2010년03월07일(938) 좋은아빠되기 2025.11.25 1
8106 컴퓨터응용가공산업기사 필기 기출문제(해설) 및 CBT 2009년08월30일(937) 좋은아빠되기 2025.11.25 4
8105 컴퓨터응용가공산업기사 필기 기출문제(해설) 및 CBT 2009년05월10일(936) 좋은아빠되기 2025.11.25 3
8104 컴퓨터응용가공산업기사 필기 기출문제(해설) 및 CBT 2009년03월01일(935) 좋은아빠되기 2025.11.25 4
8103 컴퓨터응용가공산업기사 필기 기출문제(해설) 및 CBT 2008년09월07일(934) 좋은아빠되기 2025.11.25 1
8102 컴퓨터응용가공산업기사 필기 기출문제(해설) 및 CBT 2008년05월11일(933) 좋은아빠되기 2025.11.25 4
» 컴퓨터응용가공산업기사 필기 기출문제(해설) 및 CBT 2008년03월02일(932) 좋은아빠되기 2025.11.25 3
8100 컴퓨터응용가공산업기사 필기 기출문제(해설) 및 CBT 2007년09월02일(931) 좋은아빠되기 2025.11.25 4
Board Pagination Prev 1 ... 547 548 549 550 551 552 553 554 555 556 ... 957 Next
/ 957