자격증 필기 기출문제



침투비파괴검사기능사 필기 기출문제(해설) 및 CBT 2014년10월11일(5회)(1003)

최강 자격증 기출문제 전자문제집 CBT : www.comcbt.com


전자문제집 CBT란?

종이 문제집이 아닌 인터넷으로 문제를 풀고 자동으로 채점하며 모의고사, 오답 노트, 해설까지 제공하는
무료 기출문제 학습 프로그램으로 실제 상설검정에서 사용하는 OMR 형식의 CBT를 제공합니다.


최신 침투비파괴검사기능사 필기 기출문제 : [다운로드]

1과목 : 침투탐상시험법(대략구분)


1. 비파괴검사법 중 대상 물체가 전도체인 경우에만 검사가 가능한 시험법은?
     1. 침투탐상시험
     2. 방사선투과시험
     3. 초음파탐상시험
     4. 와전류탐상시험

     정답 : []
     정답률 : 94%

2. 누설검사에 이용되는 가압 기체가 아닌 것은?
     1. 공기
     2. 황산가스
     3. 헬륨가스
     4. 암모니아가스

     정답 : []
     정답률 : 76%

3. 초음파탐상시험법을 원리에 따라 분류할 때 포함되지 않는 것은?
     1. 투과법
     2. 공진법
     3. 종파법
     4. 펄스반사법

     정답 : []
     정답률 : 48%

4. 자속밀도(B)와 자화세기(H)의 관계식으로 옳은 것은? (단. μ는 투자율이다.)
     1.
     2.
     3. B=μ2*H2
     4. B=μ*H

     정답 : []
     정답률 : 66%
     <문제 해설>
자속밀도를 구하는 공식은 투자율x자화세기입니다.
[해설작성자 : 전기기능사 80점 필기 취득자]

5. 방사선투과시험에 대한 설명으로 틀린 것은?
     1. 체적결함에 대한 검출감도가 높다.
     2. 오스테나이트 스테인리스강에 적용이 곤란하다.
     3. 결함의 종류 및 형상에 대한 정보를 알 수 있다.
     4. 건전부와 결함부에 대한 투과선량의 차이에 따라 필름 상의 농도차를 이용하는 시험방법이다.

     정답 : []
     정답률 : 73%

6. 누설검사에서 실제로 가장 많이 사용되는 추적가스는?
     1. 공기
     2. 산소
     3. 암모니아
     4. 헬륨

     정답 : []
     정답률 : 70%

7. 표면근처의 결함검출. 박막두께측정 및 재질 식별 등의 검사가 가능한 비파괴시험법은?
     1. 자분탐상시험
     2. 침투탐상시험
     3. 와전류탐상시험
     4. 음향방출시험

     정답 : []
     정답률 : 74%

8. 침투탐상시험시 유화제의 적용 시간을 정상 시간보다 오래두면 어떤 검사 결과가 나타나는가?(오류 신고가 접수된 문제입니다. 반드시 정답과 해설을 확인하시기 바랍니다.)
     1. 결함지시모양이 더욱 선명하게 나타난다.
     2. 가늘고 얕은 결함지시모양을 읽기 쉽다.
     3. 세척 후에도 과잉 세척액이 남는다.
     4. 전혀 결함이 나타나지 않는다.

     정답 : []
     정답률 : 46%
     <문제 해설>
아래와 같은 오류 신고가 있었습니다.
여러분들의 많은 의견 부탁 드립니다.
추후 여러분들의 의견을 반영하여 정답을 수정하도록 하겠습니다.
참고로 정답 변경은 오류 신고 5회 이상일 경우 수정합니다.

[오류 신고 내용]
과유화로 결함이 안나타날수도있지 않나요?
4번도 맞을수있는지..
[해설작성자 : comcbt.com 이용자]

[관리자 입니다.
다른 문제집 확인 가능한분 계시면 확인 부탁 드립니다.
신고시 출판사명까지 기제 부탁 드립니다.]

[추가 오류 신고]
유화시간이 길게되면 굳어버리게되니까 과잉세척액으로 남아서 세척이 어렵게된다라고 이론으로 나와있는것같습니다 전 3번같아요
[해설작성자 : 비파괴지망생]

[추가 오류 신고]
과유화가 되면 결함으로 침투한 침투제를 세척해버려서 결함이 안나타나는거 아닌가요?? 저도 4번같네용..
[해설작성자 : 전공 비파괴]

9. 방사선투과시험과 비교하여 자분탐상시험의 특징을 설명한 것으로 옳지 않은 것은?
     1. 모든 재료에 적용이 가능하다.
     2. 탐상이 비교적 빠르고 간단한 편이다.
     3. 표면 및 표면 바로 밑의 균열검사에 적합하다.
     4. 결함모양이 표면에 직접 나타나므로 육안으로 관찰할 수 있다.

     정답 : []
     정답률 : 79%
     <문제 해설>
1. 자분탐상시험은 자성을 띠어야 검사를 할수있다
[해설작성자 : Nicnu]

10. 초음파탐상기에 요구되는 성능 중 수신된 초음파 펄스의 음압과 브라운관에 나타난 에코 높이의 관계를 나타내는 것은?
     1. 시간축의 직선성
     2. 분해능
     3. 증폭의 직선
     4. 감도

     정답 : []
     정답률 : 60%

11. 필름특성곡선에 대한 설명 중 옳은 것은?
     1. 필름의 종류에 따른 현상시간의 변화를 나타낸 곡선
     2. 필름을 투과하는 방사선의 세기 또는 투과비율을 나타낸 곡선
     3. 필름에 조사된 방사선량과 사진농도와의 관계를 나타낸 곡선
     4. 필름의 종류에 따른 입도특성을 나타낸 곡선

     정답 : []
     정답률 : 65%

12. 음향방출검사에서 관찰되는 AE신호파형으로 짝지어진 것은?
     1. 연속형-돌발형
     2. 연속형-회전형
     3. 돌발형-회전형
     4. 돌발형-톱니형

     정답 : []
     정답률 : 58%

13. 주강품에 대한 방사선투과시험에서 발견할 수 없는 결함은?
     1. 슬래그혼
     2. 블로우홀
     3. 수축공
     4. 라미네이션

     정답 : []
     정답률 : 72%
     <문제 해설>
라미네이션은 초음파에서만 검출가능
[해설작성자 : 우왕ㅋ굳ㅋ]

14. 시험체 표면에 넓고 얇게 발생한 결함의 검출에 수세성 형광 침투액의 적용이 적절하지 않은 이유는?
     1. 세척처리가 부족하여 결함 주위에 지시 모양이 생기기 쉽기 때문이다.
     2. 세척처리로 인해 결함에 침투해 있는 침투액이 씻겨나가기 쉽기 때문이다.
     3. 침투액의 점도가 높아 표면에 잔류하기 쉽고. 세척처리가 어렵기 때문이다.
     4. 결함의 지시모양이 표면의 요철에 의한 지시와 차이가 나기 쉽기 때문이다.

     정답 : []
     정답률 : 67%

15. 용접시 개선면 검사. 용접 중간층 표면검사. 용접 완료후의 표면검사 다음 단계로 침투탐상검사가 요구될 때 휴대가 용이하는 등 가장 적합하게 사용할 수 있는 검사법은?
     1. 건식현상법에 의한 수세성 형광침투탐상검사
     2. 속건식현상법에 의한 용제제거성 염색침투탐상검사
     3. 무현상법에 의한 용제제거성 형광침투탐상검사
     4. 건식현상법에 의한 후유화성 형광침투탐상검사

     정답 : []
     정답률 : 72%

16. 침투탐상시험에서 후유화성과 수세성의 차이를 구별하는 가장 주된 내용은?
     1. 물이 포함되어 있는지의 여부
     2. 알루미늄 합금에 사용할 수 있는지의 여부
     3. 침투액에 유화제가 포함되어 있는지의 여부
     4. 현상하기 전 표면의 과잉침투액 제거 필요여부

     정답 : []
     정답률 : 71%

17. 5개 별모양의 균열이 존재하고. 세척성능을 점검하기 위해 두 개의 영역으로 분리된 침투탐상 시험편은 무엇인가?
     1. A형 대비시험편
     2. PSM 모니터패널
     3. B형 대비시험편
     4. C형 대비시험편

     정답 : []
     정답률 : 57%

18. 용제제거성 침투제 도포 후. 현상전에 잉여침투제를 제거하는 제일 좋은 방법은?
     1. 용제제거성 스프레이를 시편에 직접 분사한다.
     2. 물에 담가 초음파 세척기를 가동시킨다.
     3. 식기세척용 세제를 물에 풀고. 스폰지로 거품을 내어 닦아 낸다.
     4. 세척제를 스며들게 한 천 또는 종이로 닦아낸다.

     정답 : []
     정답률 : 73%

19. 다음 중 암실의 밝기를 측정하기 위한 장비는?
     1. 농도계
     2. 열량계
     3. 조도계
     4. 자외선강도계

     정답 : []
     정답률 : 84%
     <문제 해설>
조도 = [lx]
[해설작성자 : 럭스]

20. 무관련지시란 침투탐상시험 때 나타난 어떤 지시를 묘사한 것이다. 다음 중 어떤 것이 무관련지시인가?
     1. 외부균열에 의하여 생긴 지시
     2. 응력 또는 임계부식에 의하여 생긴 지시
     3. 부품의 형태 또는 구조에 의하여 생긴 지시
     4. 연마균열(grinding cracks)에 의하여 생긴 지시

     정답 : []
     정답률 : 63%

2과목 : 침투탐상관련규격(대략구분)


21. 침투탐상시험에서 일반적으로 흰색의 배경에 빨간색의 대조(contrast)를 이루게 하여 관찰하는 침투액과 현상제의 조합으로 옳은 것은?
     1. 염색침투액 – 무현상
     2. 염색침투액 – 습식현상제
     3. 형광침투액 – 건식현상제
     4. 형광침투액 – 습식현상제

     정답 : []
     정답률 : 73%

22. 다음 중 모세관의 상승높이와 비례하는 것은?
     1. 표면장력
     2. 접촉각
     3. 비중
     4. 모세관직경

     정답 : []
     정답률 : 57%

23. 침투제가 그 역할을 수행하기 위한 주된 현상은?
     1. 건조
     2. 세척 작용
     3. 후유화 현상
     4. 모세관 현상

     정답 : []
     정답률 : 87%

24. 침투탐상검사에서 현상제를 선택하는 기준으로 적절한 것은?
     1. 용접부 검사에는 습식 현상제가 효과적이다.
     2. 작업시간 단축을 위해 무현상법을 적용한다.
     3. 거친 표면에는 습식현상제가 효과적이다.
     4. 구조물 부분탐상에는 속건식현상제가 효과적이다..

     정답 : []
     정답률 : 50%

25. 다음 중 침투탐상검사 방법과 적용 시험품의 연결이 옳은 것은?
     1. 수세성침투탐상 – 대형 구조물 부분탐상
     2. 수세성침투탐상 – 석유저장탱크 용접부
     3. 용제제거성침투탐상 – 대형 구조물 검사
     4. 용제제거성침투탐상 – 용접 개선면 검사

     정답 : []
     정답률 : 49%

26. 침투탐상시험에 사용되는 현상제의 특징이 아닌 것은?
     1. 침투액을 분산시키는 능력이 우수하여야 한다.
     2. 화학적으로 안정된 백색 미분말을 주로 사용한다.
     3. 형광침투액 사용시 현상제는 형광성을 가져야 한다.
     4. 건식현상제는 주로 산화규소 분말로 구성되어 있다.

     정답 : []
     정답률 : 60%

27. 침투탐상시험에서 현상이 잘 되었을 때 나타난 결함지시모양을 실제 결함과의 크기를 비교한 것으로 가장 옳은 설명은?
     1. 결함지시모양의 크기는 항상 실제 결함 크기와 같다.
     2. 결함지시모양의 크기는 항상 실제 결함 크기보다 작다.
     3. 결함지시모양의 크기는 실제 결함 크기보다 크거나 같다.
     4. 결함지시모양의 크기는 실제 결함 크기보다 작거나 같다.

     정답 : []
     정답률 : 74%
     <문제 해설>
현상이 잘 되었을 때, 즉 이상적일 때 결함지시모양은
실제 결함 크기보다 당연히 작겠죠?(또는 같다)
[해설작성자 : 상식적으로 생각]

28. 침투탐상 시험방법 및 침투지시모양의 분류(KS B 0816)에 따른 탐상제 관리에 대한 설명으로 틀린 것은?
     1. 기준 탐상제 및 사용하지 않는 탐상제는 용기에 밀폐하여 냉암소에 보관한다.
     2. 탐상제를 개방형의 장치에서 사용할 때는 먼지. 불순물의 혼입. 탐상제의 비산을 방지하도록 처리하여야 한다.
     3. 수세성 침투액. 세척액 및 속건식 현상제는 개방형 용기에 보관하여야 한다.
     4. 습식 및 속건식 현상제는 소정의 농도로 유지하여야 한다.

     정답 : []
     정답률 : 80%

29. 항공우주용 기기의 침투탐상 검사방법(KS W 0914)에서 공정 제한 사항으로 틀린 것은?
     1. 항공 우주용 제품의 최종 수령 검사에는 형광침투액 계통의 침투액을 사용할 수 없다.
     2. 염색침투액을 사용하는 검사는 동일한 면에 대하여 형광침투액을 사용하는 검사 전에 사용할 수 없다.
     3. 건식 및 수용성 현상제는 염색침투액에 사용할 수 없다.
     4. 터진 엔진의 중요 부품 정비검사는 후유화성 형광침투액과 친수성 유화제를 사용한다.

     정답 : []
     정답률 : 31%

30. 항공 우주용 기기의 침투탐상 검사방법(KS W 0914)에서 사용 중인 유화제의 제거성은 최대 얼마의 주기마다 검사하여야 하는가?
     1. 일 1회
     2. 주 1회
     3. 월 1회
     4. 연 1회

     정답 : []
     정답률 : 53%

31. 침투탐상 시험방법 및 침투 지시 모양의 분류(KS B 0816)에 따라 침투 지시 모양이 동일선상이고 상호간의 거리가 몇 mm이하일 때 연속 침투 지시 모양으로 규정하고 있는 가?
     1. 1
     2. 2
     3. 3
     4. 4

     정답 : []
     정답률 : 86%

32. 침투탐상 시험방법 및 침투지시모양의 분류(KS B 0816)에 따라 대비시험편을 사용하는 경우로 가장 부적합한 것은?
     1. 탐상제의 성능 비교
     2. 탐상조작 조건의 결정
     3. 탐상조작 적부의 점검
     4. 시험편의 화학성분 결정

     정답 : []
     정답률 : 69%

33. 침투탐상 시험방법 및 침투지시모양의 분류(KS B 0816)에서 규정한 자외선 조사장치의 강도와 파장으로 옳은 것은?
     1. 시험체 표면에서 1000㎼/cm2 이상 및 320~400㎚인 자외성 파장을 만족해야 한다.
     2. 시험실에서 1000㎼/cm2 이하 및 320~400㎚이하인 자외선 파장을 만족해야 한다.
     3. 시험실에서 800㎼/cm2 이상 및 320~400㎚이하인 자외선 파장을 만족해야 한다.
     4. 시험체 표면에서 800㎼/cm2 이상 및 320~400㎚인 자외성 파장을 만족해야 한다.

     정답 : []
     정답률 : 66%

34. 침투탐상 시험방법 및 침투지시모양의 분류(KS B 0816)에서 현상처리 후에 건조과정이 필요한 탐상방법은 무엇인가?
     1. FB-W
     2. FA-D
     3. FC-S
     4. FB-S

     정답 : []
     정답률 : 51%

35. 항공우주용 기기의 침투탐상 검사방법(KS W 0914)에서 침투액의 적용에 대한 설명으로 틀린 것은?
     1. 침투액의 침투시간은 특별한 지시가 없는 한 최소 10분이다.
     2. 침투액의 침투시간이 2시간을 초과하면 건조되지 않도록 다시 도포한다.
     3. 침투액을 침지법으로 적용할 경우에는 침지시간은 침투시간의 1/3이상으로 한다.
     4. 침투시간 중 침투액이 국부적으로 모이지 않도록 시험품을 회전시키거나 움직이게 한다.

     정답 : []
     정답률 : 36%

36. 항공우주용 기기의 침투탐상 검사방법(KS W 0914)에서 규정한 침투액의 제거에서 방법A의 공정 중 수동 스프레이법의 부가 공기압으로 옳은 것은?
     1. 최소 172 kPa
     2. 최대 172 kPa
     3. 최소 275 kPa
     4. 최대 275 kPa

     정답 : []
     정답률 : 25%

37. 침투탐상 시험방법 및 침투지시모양의 분류(KS B 0816)에서 규정한 세척 및 제거에 대한 설명 중 옳은 것은?
     1. 형광 침투액을 사용할 경우 수온은 특별한 규정이 없을 때는 5~50℃로 한다.
     2. 염색침투액은 제거처리 후 깨끗한 헝겊으로 닦아 세척을 확인한다.
     3. 제거처리는 세척액을 침지할 때 효과적이다.
     4. 세척 효과를 위해 수압은 300 kPa 이상으로 한다.

     정답 : []
     정답률 : 68%

38. 항공우주용 기기의 침투탐상 검사방법(KS W 0914)에 따라 샘플링검사에 합격된 로트의 표시방법으로 옳은 것은?
     1. 별도의 표시를 하지 않는다.
     2. 착색의 경우 밤색 염료를 사용한다.
     3. 에칭의 경우 전수검사와 똑같은 방법으로 표시한다.
     4. 각인의 경우 기호 P를 타원으로 둘러싼 표시를 한다.

     정답 : []
     정답률 : 69%

39. 항공우주용 기기의 침투탐상 검사방법(KS W 0914)에서 종류 C는 어떤 현상제인가?
     1. 수현탁성 현상제
     2. 수용성 현상제
     3. 속건성 현상제
     4. 건식분말 현상제

     정답 : []
     정답률 : 37%

40. 침투탐상 시험방법 및 침투지시모양의 분류(KS B 0816)에서 사용하는 탐상제 중 침투액의 제거방법에서 유기용제를 사용하는 방법의 기호는?
     1. A
     2. B
     3. C
     4. D

     정답 : []
     정답률 : 55%

41. 침투탐상 시험방법 및 침투지시모양의 분류(KS B 0816)에서 염색 침투 탐상시 자연광 또는 백색광 아래에서의 조도는?
     1. 시험면에서 500㏓이하
     2. 시험면에서 500㏓이상
     3. 시험면에서 10W/m2이상
     4. 시험면에서 10W/m2이하

     정답 : []
     정답률 : 72%

42. 침투탐상 시험방법 및 침투지시모양의 분류(KS B 0816)에서 규정한 시험체 및 탐상제의 일반적인 온도 범위를 벗어난 경우 조치 사항으로 옳은 것은?
     1. 시험체의 온도가 3~15℃인 범위에서는 온도를 고려하여 침투시간을 줄인다.
     2. 시험체의 온도가 50℃를 넘는 경우 규정된 침투시간을 늘린다.
     3. 시험체의 온도가 3℃이하인 경우 규정된 침투시간보다 줄인다
     4. 시험체의 온도가 5℃이하인 경우 규정된 침투시간보다 늘린다.

     정답 : []
     정답률 : 65%

43. 황동에 10~20%니켈을 넣은 것으로 색깔이 은과 비슷하여 예부터 장식. 식기 등으로 사용되어 온 것은?
     1. 양은
     2. 켈밋
     3. 콘스탄탄
     4. 플래티나이트

     정답 : []
     정답률 : 71%

44. 내열강의 내열성 증대와 탄화물의 생성을 쉽게 하기 위해 합금 원소로 첨가되는 대표적인 금속은?
     1. Si
     2. Al
     3. Cr
     4. Ni

     정답 : []
     정답률 : 57%

45. 침입형 고용체가 될 수 없는 원소는?
     1. B
     2. N
     3. Cu
     4. H

     정답 : []
     정답률 : 57%

46. Cu에서 40~50%Ni을 함유한 합금으로 전기저항선이나 열전쌍에 많이 사용되는 것은?
     1. 모넬메탈
     2. 콘스탄탄
     3. 니크롬
     4. 인코넬

     정답 : []
     정답률 : 58%

47. 구리(Cu)의 특징을 설명한 것 중 틀린 것은?
     1. 자성체이며 주조가 가능하다.
     2. 구리의 비중은 약 8.9이다.
     3. 결정격자는 면심입방격자이다.
     4. 관. 선. 플랜지 등으로 가공하여 사용한다.

     정답 : []
     정답률 : 54%
     <문제 해설>
구리는 자성체가 아닙니다.
구리는 자석에 붙지 않습니다.
[해설작성자 : CuCuCuu?]

48. 다음 중 원자로용 1차 금속군에 해당되는 것은?
     1. Na.Cs
     2. W.Ta
     3. Ge.Si
     4. U.Th

     정답 : []
     정답률 : 48%

49. Y-합금에 대한 설명으로 옳은 것은?
     1. 주성분은 Al-Cu-Mo-Mn 이며. 응고성이 좋다.
     2. 주성분은 Al-Cu-Mg-Ni 이며. 내열성을 갖는다.
     3. 주성분은 Al-Cr-Mg-Ni 이며. 용해성이 좋다.
     4. 주성분은 Al-W-Mg-Ni-Mo 이며. 취성이 있다.

     정답 : []
     정답률 : 72%

50. 금속재료에 외부의 힘을 가하여 원하는 형태로 변형시킴과 동시에 재료의 기계적 성질을 개선하는 가공법을 무엇이라 하는가?
     1. 용접
     2. 절삭가공
     3. 소성가공
     4. 분말야금

     정답 : []
     정답률 : 72%

51. 금속재료의 고강도화 4가지 기구에 해당되지 않는 것은?
     1. 형상강화
     2. 고용강화
     3. 입계강화
     4. 석출강화

     정답 : []
     정답률 : 35%

52. 금속 가공에서 재결정 온도보다 낮은 온도에서 가공하는 것을 무엇이라 하는가?
     1. 풀림가공
     2. 열간가공
     3. 고온가공
     4. 냉간가공

     정답 : []
     정답률 : 85%

53. 용융된 금속이 실제의 응고점보다 낮은 온도에서 응고가 시작되는 것을 무엇이라 하는가?
     1. 과냉
     2. 급냉
     3. 서냉
     4. 방열

     정답 : []
     정답률 : 62%

54. 공구강의 구비조건을 설명한 것으로 틀린 것은?
     1. 마모성이 클 것.
     2. 상온 및 고온경도가 클 것.
     3. 가공 및 열처리성이 양호할 것.
     4. 강인성 및 내충격성이 우수할 것.

     정답 : []
     정답률 : 77%

55. 회주철의 인장 강도 범위는 10~40kgf/mm2이다. 이를 MPa 로 환산하면 몇 MPa인가?
     1. 9.8MPa~39.2MPa
     2. 98MPa~392MPa
     3. 980MPa~3920MPa
     4. 9800MPa~39200MPa

     정답 : []
     정답률 : 58%

56. 그림과 같이 변형 후 수백 % 이상의 연신율을 나타내는 재료는?

    

     1. 수소저장합금
     2. 금속 초미립자
     3. 초소성 합금
     4. 반도체 재료

     정답 : []
     정답률 : 66%

57. 비중이 약 7.13 정도이며. 도금용. 전기 방식용 양극 재료 등에 사용되고. 또한 합금으로는 황동. 다이캐스팅 용도로 많이 쓰이는 금속은?
     1. Mg
     2. Ti
     3. Sn
     4. Zn

     정답 : []
     정답률 : 58%

58. 피복 아크 용접봉의 피복제의 주된 역할 설명 중 틀린 것은?
     1. 전기 전도를 양호하게 한다.
     2. 슬래그를 제거하기 쉽게 하고. 파형이 고운 비드를 만든다.
     3. 용착 금속의 냉각속도를 느리게 하여 급랭을 방지한다.
     4. 스패터의 발생을 적게 한다.

     정답 : []
     정답률 : 43%

59. 연납용으로 사용되는 용제가 아닌 것은?
     1. 염화아연
     2. 붕사
     3. 인산
     4. 염산

     정답 : []
     정답률 : 51%

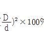
60. 아크 용접기의 사용률(%)을 구하는 식은?
     1.
     2.
     3.
     4.

     정답 : []
     정답률 : 58%


정 답 지

1

2

3

4

5

6

7

8

9

10

11

12

13

14

15

16

17

18

19

20

21

22

23

24

25

26

27

28

29

30

31

32

33

34

35

36

37

38

39

40

41

42

43

44

45

46

47

48

49

50

51

52

53

54

55

56

57

58

59

60

침투비파괴검사기능사 필기 기출문제(해설) 및 CBT 2014년10월11일(5회)을 이용해 주셔서 감사합니다.
, 필기, 기출문제, 전자문제집, CBT, 온라인, 모의테스트, 모의고사



List of Articles
번호 제목 글쓴이 날짜 조회 수
8173 침투비파괴검사기능사 필기 기출문제(해설) 및 CBT 2016년01월24일(1회)(1008) 좋은아빠되기 2025.11.25 2
8172 침투비파괴검사기능사 필기 기출문제(해설) 및 CBT 2015년10월10일(5회)(1007) 좋은아빠되기 2025.11.25 3
8171 침투비파괴검사기능사 필기 기출문제(해설) 및 CBT 2015년07월19일(4회)(1006) 좋은아빠되기 2025.11.25 3
8170 침투비파괴검사기능사 필기 기출문제(해설) 및 CBT 2015년04월04일(2회)(1005) 좋은아빠되기 2025.11.25 3
8169 침투비파괴검사기능사 필기 기출문제(해설) 및 CBT 2015년01월25일(1회)(1004) 좋은아빠되기 2025.11.25 2
» 침투비파괴검사기능사 필기 기출문제(해설) 및 CBT 2014년10월11일(5회)(1003) 좋은아빠되기 2025.11.25 4
8167 침투비파괴검사기능사 필기 기출문제(해설) 및 CBT 2014년01월26일(1회)(1000) 좋은아빠되기 2025.11.25 2
8166 침투비파괴검사기능사 필기 기출문제(해설) 및 CBT 2013년10월12일(5회)(999) 좋은아빠되기 2025.11.25 4
8165 침투비파괴검사기능사 필기 기출문제(해설) 및 CBT 2013년07월21일(4회)(998) 좋은아빠되기 2025.11.25 2
8164 침투비파괴검사기능사 필기 기출문제(해설) 및 CBT 2013년04월14일(2회)(997) 좋은아빠되기 2025.11.25 4
8163 침투비파괴검사기능사 필기 기출문제(해설) 및 CBT 2013년01월27일(1회)(996) 좋은아빠되기 2025.11.25 1
8162 침투비파괴검사기능사 필기 기출문제(해설) 및 CBT 2012년10월20일(5회)(995) 좋은아빠되기 2025.11.25 4
8161 침투비파괴검사기능사 필기 기출문제(해설) 및 CBT 2012년07월22일(4회)(994) 좋은아빠되기 2025.11.25 2
8160 침투비파괴검사기능사 필기 기출문제(해설) 및 CBT 2012년04월08일(2회)(993) 좋은아빠되기 2025.11.25 4
8159 침투비파괴검사기능사 필기 기출문제(해설) 및 CBT 2012년02월12일(1회)(992) 좋은아빠되기 2025.11.25 2
8158 침투비파괴검사기능사 필기 기출문제(해설) 및 CBT 2011년10월09일(5회)(991) 좋은아빠되기 2025.11.25 4
8157 침투비파괴검사기능사 필기 기출문제(해설) 및 CBT 2011년07월31일(4회)(990) 좋은아빠되기 2025.11.25 2
8156 침투비파괴검사기능사 필기 기출문제(해설) 및 CBT 2011년04월17일(2회)(989) 좋은아빠되기 2025.11.25 4
8155 침투비파괴검사기능사 필기 기출문제(해설) 및 CBT 2011년02월13일(1회)(988) 좋은아빠되기 2025.11.25 1
8154 침투비파괴검사기능사 필기 기출문제(해설) 및 CBT 2010년10월03일(5회)(987) 좋은아빠되기 2025.11.25 5
Board Pagination Prev 1 ... 363 364 365 366 367 368 369 370 371 372 ... 776 Next
/ 776