자격증 필기 기출문제



공조냉동기계기사(구) 필기 기출문제(해설) 및 CBT 2012년03월04일(1353)

최강 자격증 기출문제 전자문제집 CBT : www.comcbt.com


전자문제집 CBT란?

종이 문제집이 아닌 인터넷으로 문제를 풀고 자동으로 채점하며 모의고사, 오답 노트, 해설까지 제공하는
무료 기출문제 학습 프로그램으로 실제 상설검정에서 사용하는 OMR 형식의 CBT를 제공합니다.


최신 공조냉동기계기사(구) 필기 기출문제 : [다운로드]

1과목 : 기계열역학


1. 실린더안에 0.8kg의 기체를 넣고 이것을 압축하기 위해서는 13 kJ의 일이 필요하며, 또 이때 실린더를 냉각하기 위해서 10 kJ의 열을 빼앗아야 한다면 이 기체의 비 내부에너지 변화량은?
     1. 3.75 kJ/kg의 증가
     2. 28.8 kJ/kg의 증가
     3. 3.75 kJ/kg의 감소
     4. 28.8 kJ/kg의 감소

     정답 : []
     정답률 : 61%

2. 에어컨을 이용하여 실내의 열을 외부로 방출하려한다. 실외 35℃, 실내 20℃인 조건에서 실내로부터 3kW의 열을 방출하려 할 때 필요한 에어컨의 동력은 얼마인가? (단, Carnot cycle을 가정한다.)
     1. 0.154 k
     2. 1.54 kW
     3. 15.4 kW
     4. 154 kW

     정답 : []
     정답률 : 61%

3. 29℃와 227℃ 사이에서 작동하는 카르노(Carnot)사이클 열기관의 열효율은?
     1. 60.4%
     2. 39.6%
     3. 0.604%
     4. 0.396%

     정답 : []
     정답률 : 73%

4. 두께 1cm, 면적 0.5m2의 석고판의 뒤에 가열 판이 부착되어 1000W의 열을 전달한다. 가열 판의 뒤는 완전히 단열되어 열은 앞면으로만 전달된다. 석고판 앞면의 온도는 100℃이다. 석고의 열전도율이 k=0.79W/m ㆍ K일 때 가열 판에 접하는 석고 면의 온도는 약몇 ℃ 인가?
     1. 110
     2. 125
     3. 150
     4. 212

     정답 : []
     정답률 : 67%

5. 다음 냉동 시스템의 설명 중 틀린 것은?
     1. 왕복동 압축기는 냉매가 낮은 비체적과 높은 압력일 때 적합하며 원심 압축기는 높은 비체적과 낮은 압력을 때 적합하다.
     2. R-22와 같은 수소를 포함하는 HCFC는 대기 중의 수명이 비교적 짧으므로 성층권에 도달하여 분해되는 양이 적다.
     3. 냉동 사이클은 동력 사이클의 터빈을 밸브나 긴 모세관 등의 스로틀 기기로 대치하여 작동유체가 고압에서 저압으로 스로틀 팽창하도록 한다.
     4. 흡수식 시스템은 액체를 가압하므로 소요되는 입력 일이 매우 크다.

     정답 : []
     정답률 : 54%
     <문제 해설>
증기식 시스템은 액체를 가압하므로 소요되는 입력일이 크다
[해설작성자 : 와와페달]

6. 다음 중 열역학적 상태량이 아닌 것은?
     1. 기체상수
     2. 정압비열
     3. 엔트로피
     4. 압력

     정답 : []
     정답률 : 43%

7. 고속주행 시 타이어의 온도는 매우 많이 상승한다. 온도 20℃에서 계기압력 0.183 MPa의 타이어가 고속 주행으로 온도 80℃로 상승할 때 압력 상승한 양(Kpa)은? (단, 타이어의 체적은 변하지 않고, 타이어 내의 공기는 이상기체로 가정한다. 대기압은 101.3 Kpa이다.)
     1. 약 37 Kpa
     2. 약 58 Kpa
     3. 약 286 Kpa
     4. 약 345 Kpa

     정답 : []
     정답률 : 53%

8. 어떤 냉장고에서 질량유량 80kg/hr 의 냉매가 17kJ/kg의 엔탈피로 증발기에 들어가 엔탈피 36kJ/kg가 되어 나온다. 이 냉장고의 냉동능력은?
     1. 1220 kJ/hr
     2. 1800 kJ/hr
     3. 1520 kJ/hr
     4. 2000 kJ/hr

     정답 : []
     정답률 : 71%
     <문제 해설>
Q=G(h1-h4)
=80(36-17)
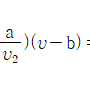
=1520
[해설작성자 : comcbt.com 이용자]

Q=G(h1-h4)
=80(36-17)
=1520
[해설작성자 : 만년공학도]

9. 오토사이클(Otto Cycle)의 이론적 열효율 ηth를 나타내는 식은? (단, ε는 압축비, k는 비열비이다.)
     1.
     2.
     3.
     4.

     정답 : []
     정답률 : 68%

10. 다음 사항 중 옳은 것은?
     1. 엔트로피는 상태량이 아니다.
     2. 엔트로피를 구하는 적분 경로는 반드시 가역변화라야 한다.
     3. 비가역 사이클에서 클라우지우스(Clausius) 적분은 영이다.
     4. 가역, 비가역을 포함하는 모든 이상기체의 등온변화에서 압력이 저하하면 엔트로피도 저하한다.

     정답 : []
     정답률 : 42%
     <문제 해설>
엔트로피는 종량성 상태량이다.
가역 사이클에서 클라우지우스 적분은 영이다
압력이 저하하면 엔트로피는 증가한다
[해설작성자 : MINGS]

11. 성능계수(COP)가 0.8인 냉동기로서 7200 kJ/h로 냉동하려면, 이에 필요한 동력은?
     1. 약 0.9 kW
     2. 약 1.6 kW
     3. 약 2.5 kW
     4. 약 2.0 kW

     정답 : []
     정답률 : 59%

12. 물질의 상태에 관한 설명으로 옳은 것은?
     1. 압력이 포화압력보다 높으면 과열증기 상태다.
     2. 온도가 포화온도보다 높으면 압축액체이다.
     3. 임계압력 이하의 액체를 가열하면 증발현상을 거치지 않는다.
     4. 포화상태에서 압력과 온도는 종속관계에 있다.

     정답 : []
     정답률 : 48%

13. 다음 열기관 사이클의 에너지 전달량으로 적절한 것은?

    

     1. Q2 = 20kJ, Q3 = 30kJ, W = 50kJ
     2. Q2 = 20kJ, Q3 = 50kJ, W = 30kJ
     3. Q2 = 30kJ, Q3 = 30kJ, W = 50kJ
     4. Q2 = 30kJ, Q3 = 20kJ, W = 50kJ

     정답 : []
     정답률 : 52%

14. 질량 m=100 kg인 물체에 a=2.5m/s2의 가속도를 주기 위해 가해야 할 힘(F)은 약 몇 N 인가?
     1. 102
     2. 205
     3. 225
     4. 250

     정답 : []
     정답률 : 72%

15. 100kPa, 20℃의 물을 매시간 3000kg씩 500kPa로 공급하기 위하여 소요되는 펌프의 동력은 약 몇 kW인가? (단, 펌프의 효율은 70%로 물의 비체적은 0.001m3/kg으로 본다.)
     1. 0.33
     2. 0.48
     3. 1.32
     4. 2.48

     정답 : []
     정답률 : 42%
     <문제 해설>
펌프일 = 0.001*(500-100) =0.4.
실제펌프일 = 3000*0.4=1200
소요동력 = 1200/(3600*0.7)
[해설작성자 : comcbt.com 이용자]

16. 그림과 같은 증기압축 냉동사이클이 있다. 1, 2, 3상태의 엔탈피가 다음과 같을 때 냉매의 단위 질량당 소요 동력과 냉각량은 얼마인가?(단, h1=178.16, h2=210.38, h3=74.53, 단위:kJ/kg)

    

     1. 32.22 kJ/kg, 103.63 kJ/kg
     2. 32.22 kJ/kg, 136.85 kJ/kg
     3. 103.63 kJ/kg, 32.22 kJ/kg
     4. 136.85 kJ/kg, 32.22 kJ/kg

     정답 : []
     정답률 : 46%
     <문제 해설>
소요동력 : h2-h1, 210.38-178.16 = 32.22kJ/kg
냉각략 : h1-h3, 178.16-74.53 = 103.63kJ/kg
[해설작성자 : 루루네아빠]

17. 대기압하에서 20℃의 물 1kg을 가열하여 같은 압력의 150℃의 과열 증기로 만들었다면, 이때 물의 흡수한 열량은 20℃와 150℃에서 어떠한 양의 차이로 표시되겠는가?
     1. 내부에너지
     2. 엔탈피
     3. 엔트로피
     4.

     정답 : []
     정답률 : 47%

18. 두 정지 계가 서로 열 교환을 하는 경우에 한쪽계는 수열에 의한 엔트로피 증가가 있고, 다른 계는 방열에 의한 엔트로피 감소가 있다. 이들 두 계를 합하여 한계로 생각하면 단열된 계가 된다. 이 합성계가 비가역 단열변화를 하면 이 합성계의 엔트로피 변화 dS는?
     1. dS < 0
     2. dS > 0
     3. dS = 0
     4. dS ≠ 0

     정답 : []
     정답률 : 50%
     <문제 해설>
가역     dS = 0
비가역 dS > 0
[해설작성자 : comcbt.com 이용자]

19. 질량 4 kg의 액체를 15℃에서 100℃까지 가열하기 위해 714 kJ의 열을 공급하였다면 액체의 비열(specific heat)은 몇 J/kgㆍK인가?
     1. 1100
     2. 2100
     3. 3100
     4. 4100

     정답 : []
     정답률 : 73%
     <문제 해설>
열량 Q = m C dT
따라서 비열은 Q / m dT
따라서 714000J / 4 * (100-15) = 2100J/Kg.K
[해설작성자 : 건전한자]

20. 800 kPa, 350℃의 수증기를 200 kPa로 교축한다. 이 과정에 대하여 운동 에너지의 변화를 무시할 수 있다고 할 때 이 수증기의 Joule-Thomson 계수는? (단, 교축 후의 온도는 344℃이다)
     1. 0.005 K/kPa
     2. 0.01 K/kPa
     3. 0.02 K/kPa
     4. 0.03 K/kPa

     정답 : []
     정답률 : 57%

2과목 : 냉동공학


21. 냉장고내 유지온도에 따라 저압압력이 낮아지는 원인이 아닌 것은?
     1. 고내 공기가 냉각되므로 증발기에 서리가 두껍게 부착한다.
     2. 냉매가 장치에 과충전 되어 있다.
     3. 냉장고의 부하가 작다.
     4. 냉매 액관 중에 플래쉬 가스(flash gas)가 발생하고 있다.

     정답 : []
     정답률 : 51%
     <문제 해설>
냉매충전이 부족할경우 저압압력이 낮아진다.
[해설작성자 : MINGS]

22. 냉동사이클의 냉매 상태변화와 관계가 없는 것은?
     1. 등엔트로피 변화
     2. 등압 변화
     3. 등엔탈피 변화
     4. 등적 변화

     정답 : []
     정답률 : 55%

23. 초저온 동결에 액체질소를 사용할 때의 장점이라 할 수 없는 것은?
     1. 동결시간이 단축되어 연속작업이 가능하다.
     2. 급속 동결이 가능하므로 품질이 우수하다.
     3. 동결건조가 일어나지 않는다.
     4. 발생되는 질소가스를 다시 사용할 수 있다.

     정답 : []
     정답률 : 66%

24. 빙축열 방식이 수축열 방식에 비해 유리하다고 할수 없는 것은?
     1. 축열조를 소형화할 수 있다.
     2. 낮은 온도를 이용할 수 있다.
     3. 난방 시의 축열대응에도 적합하다.
     4. 축열조의 설치장소가 자유롭다.

     정답 : []
     정답률 : 60%

25. 다음 중 증기 이젝터(ejector)가 필요하며 물의 냉각목적에 사용하는 냉동기는?
     1. 전자 냉동기
     2. 흡수식 냉동기
     3. 증기압축식 냉동기
     4. 증기분사식 냉동기

     정답 : []
     정답률 : 66%

26. 흡수식 냉동기용 흡수제의 구비조건 중 잘못된 것은?
     1. 용액의 증기압이 낮을 것
     2. 농도 변화에 의한 증기압의 변화가 작을 것
     3. 재생에 많은 열량을 필요로 하지 않을 것
     4. 동일압력에서 증발 시 증발온도가 냉매의 증발온도와 차이가 없을 것

     정답 : []
     정답률 : 64%

27. 냉매 R-22 는 2.5 kgf/cm2 의 압력에서 포화액 및 건포화증기의 엔탈피 값이 각각 94.58 kcal/kg, 147.03 kcal/kg 이다. 그러면 압력 2.5 kgf/cm2에서 건도(x)가 0.75 인 습증기의 엔탈피(h)는 약 얼마인가?
     1. 120 kcal/kg
     2. 134 kcal/kg
     3. 140 kcal/kg
     4. 145 kcal/kg

     정답 : []
     정답률 : 68%

28. 다음은 냉동장치에 사용되는 자동제어기기에 대하여 설명한 것이다. 이 중 옳은 것은?
     1. 고압 차단 스위치는 토출압력이 이상 저압이 되었을 때 작동하는 스위치이다.
     2. 온도 조절 스위치는 냉장고 등의 온도가 일정범위가 되도록 작용하는 스위치이다.
     3. 저압 차단 스위치(정지용)는 냉동기의 고압측 압력이 너무 저하 하였을 때 차단하는 스위치이다.
     4. 유압 보호 스위치는 유압이 올라간 경우에 유압을 내리기 위한 스위치이다.

     정답 : []
     정답률 : 63%
     <문제 해설>
- 고압 차단 스위치는 토출압력이 일정압력 이상 올라갔을때 작동
- 저압 차단 스위치는 저압축 압력이 일정압력 이하 일때 차단
- 유압 보호 스위치는 유압이 일정압력 이하 일때 차단
[해설작성자 : 만년공학도]

29. 아이스머신 중 칩 아이스머신(chip ice machine)은 어느 식과 어느 식의 개량형인가?
     1. 팩 아이스머신식과 플레이트 아이스머신식
     2. 플레이트 아이스머신식과 튜브 아이스머신식
     3. 팩 아이스머신식과 튜브 아이스머신식
     4. 튜브 아이스머신식과 코일 아이스머신식

     정답 : []
     정답률 : 46%

30. 다음 브라인에 대한 설명 중 틀린 것은?
     1. 브라인은 농도가 진하게 될수록 부식성이 크다.
     2. 염화칼슘 브라인은 동결점이 매우 낮으며 부식성도 염화나트륨 브라인보다 작다.
     3. 염화마그네슘 브라인은 염화나트륨 브라인보다 동 결점이 낮으며 부식성도 작다.
     4. 브라인에 대한 부식 방지를 위해서는 밀폐 순환식을 채택하여 공기에 접촉하지 않게 해야 한다.

     정답 : []
     정답률 : 57%

31. 어떤 냉장실 온도를 -20℃로 유지하기 위해 25A관을 사용하였을 때 필요한 관 길이는 약 얼마인가?(단, 관의 열통과율은 6 kcal/m2h℃, 냉동 부하는 2 RT냉매온도는 -32℃이다.)
     1. 1.175m
     2. 11.75m
     3. 117.5m
     4. 1175m

     정답 : []
     정답률 : 33%

32. 다음 응축기 중 열통과율이 가장 작은 형식은?
     1. 7통로식 응축기
     2. 입형 셀 튜브식 응축기
     3. 공랭식 응축기
     4. 2중관식 응축기

     정답 : []
     정답률 : 63%

33. 팽창밸브에 사용하는 감온통의 배관상 설치위치에 대한 설명이 잘못된 것은?
     1. 증발기 출구측 흡입관의 수평부에 설치한다.
     2. 흡입관 관경이 20mm 이상일 때는 중심부 수평에서 45° 상부에 설치한다.
     3. 흡입관 관경이 20mm 이하일 때는 배관 상부에 설치한다.
     4. 트랩부분에는 설치하지 않는다.

     정답 : []
     정답률 : 51%
     <문제 해설>
상부가 아니고 하부에 설치한다.
[해설작성자 : 루루네아빠]

34. H2O-LiBr 흡수식 냉동기에 냉매의 순환과정을 올바르게 표사한 것은? (단, ①냉각기(증발기), ②흡수기, ③응축기, ④발생기 이다.)
     1. ④ → ③ → ① → ②
     2. ④ → ① → ③ → ②
     3. ③ → ④ → ① → ②
     4. ③ → ② → ④ → ①

     정답 : []
     정답률 : 63%

35. 증발식 응축기에 대한 설명 중 옳은 것은?
     1. 냉각수의 감열(현열)로 냉매가스를 응축
     2. 외기의 습구 온도가 높아야 응축능력 증가
     3. 응축온도가 낮아야 응축능력 증가
     4. 냉각탑과 응축기의 기능을 하나로 합한 것

     정답 : []
     정답률 : 58%

36. 카르노 사이클 기관은 0℃ 와 100℃ 사이에서 작용할 때 400℃ 와 500℃ 사이에서 작용할 때와의 열효율을 비교하면 전자는 후자의 약 몇 배가 되겠는가?
     1. 1.2배
     2. 2배
     3. 4배
     4. 3배

     정답 : []
     정답률 : 72%

37. 냉동사이클에서 습압축으로 일어나는 현상에 맞지 않는 것은?
     1. 응축잠열 감소
     2. 냉동능력 감소
     3. 압축기의 체적 효율 감소
     4. 성적계수의 감소

     정답 : []
     정답률 : 62%

38. 다음과 같은 상태에서 운전되는 암모니아 냉동기에 있어서 압축기가 흡입하는 가스 1m3/h 의 냉동효과는 약 얼마인가?

    

     1. 490 kcal/h
     2. 502 kcal/h
     3. 611 kcal/h
     4. 735 kcal/h

     정답 : []
     정답률 : 54%

39. 냉각탑(Cooling tower)에 관한 설명 중 맞는 것은?
     1. 오염된 공기를 깨끗하게 하며 동시에 공기를 냉각하는 장치이다.
     2. 냉매를 통과시켜 공기를 냉각시키는 장치이다.
     3. 찬 우물물을 냉각시켜 공기를 냉각시키는 장치이다.
     4. 냉동기의 냉각수가 흡수한 열을 외기에 방사하고 온도가 내려간 물을 재순환시키는 장치이다.

     정답 : []
     정답률 : 68%

40. 암모니아 및 프레온 냉매와의 비교 중 틀린 것은?
     1. 암모니아 냉동장치에서 수분이 1% 함유에 따라 증발온도 0.5℃상승한다.
     2. R-22는 암모니아보다 냉동효과(kcal/kg)가 크고 안전하다.
     3. R-13는 R-22에 비하여 저온용에 적합하다.
     4. 암모니아는 R-22에 비하여 유분리가 용이하다.

     정답 : []
     정답률 : 54%
     <문제 해설>
R-22보다 암모니아의 냉동효과 더 크다.
[해설작성자 : Amd64]

3과목 : 공기조화


41. 공기조절기의 공기냉각 코일에서 공기와 냉수의 온도변화가 그림과 같았다. 이 코일의 대수평균 온도차(LMTD)는 약 얼마인가?

    

     1. 9.6℃
     2. 14.5℃
     3. 13℃
     4. 5℃

     정답 : []
     정답률 : 65%

42. 팬코일 유닛의 구성과 관계없는 것은?
     1. 송풍기
     2. 여과기
     3. 냉온수 코일
     4. 가습기

     정답 : []
     정답률 : 58%

43. 공기중의 수증기가 응축하기 시작할 때의 온도 즉, 공기가 포화상태로 될 때의 온도는 어느 것인가?
     1. 건구온도
     2. 노점온도
     3. 습구온도
     4. 상당외기온도

     정답 : []
     정답률 : 74%

44. 공기-수 방식에 의한 공기조화의 설명으로 옳지 않은 것은?
     1. 유닛 1대로서 구획(zone)을 구성하므로 개별제어가 가능하다.
     2. 장치내 필터의 성능이 나빠 정기적으로 청소할 필요가 있다.
     3. 전공기 방식에 비해 반송동력이 크다.
     4. 부하가 큰 구획(zone)에 대해서도 덕트 스페이스가 작다.

     정답 : []
     정답률 : 41%
     <문제 해설>
전공기 방식에비해 반송동력이 작아도된다
[해설작성자 : MINGS]

45. 수관 보일러의 분류가 잘못된 것은?
     1. 동(드럼)의 유무에 따라 무동식과 7동식으로 분류
     2. 순환방식에 따라 자연순환식과 강제순환식으로 분류
     3. 수관의 경사도에 따라 수평관식, 경사관식, 수직관식으로 분류
     4. 수관의 형태에 따라 직관식과 곡관식으로 분류

     정답 : []
     정답률 : 54%
     <문제 해설>
수관보일러는 동(드럼)의 유무에 따라 무동식과 1동식, 2동식, 3동식으로 분류한다
[해설작성자 : comcbt.com 이용자]

46. 각 공조방식과 열 운반 매체의 연결이 잘못된 것은?
     1. 단일덕트 방식 - 공기
     2. 이중덕트 방식 - 물, 공기
     3. 2관식 팬코일 유닛 방식 - 물
     4. 패키지 유닛방식 - 냉매

     정답 : []
     정답률 : 67%
     <문제 해설>
이중덕트 방식은 전공기 방식이다
단일덕트, 이중덕트, 유인유닛
[해설작성자 : 공조합격목표]

47. 제3종 환기에 대한 설명으로 틀린 것은?
     1. 기계배기를 한다.
     2. 실내압력이 대기압이하로 된다.
     3. 오염공기가 발생하는 실내에 적합하다.
     4. 급기만 송풍기에 의해 한다.

     정답 : []
     정답률 : 65%
     <문제 해설>
1종환기 기계급기 기계배기
2종환기 기계급기 자연배기
3종환기 자연급기 기계배기
4종환기 자연급기 자연배기
[해설작성자 : comcbt.com 이용자]

48. 난방설비에서 온수헤더 또는 증기헤더를 사용하는 주된 이유로 적합한 것은?
     1. 온수 및 증기의 온도차가 커지는 것을 방지하기 위해서
     2. 워터 해머(water hammer)를 방지하기 위해서
     3. 미관을 좋게 하기 위해서
     4. 온수 및 증기를 각 계통별로 공급하기 위해서

     정답 : []
     정답률 : 66%

49. 기후에 따른 불쾌감을 표시하는 불쾌지수는 무엇을 고려한 지수인가?
     1. 기온과 기류
     2. 기온과 노점
     3. 기온과 복사열
     4. 기온과 습도

     정답 : []
     정답률 : 76%

50. 실내 냉방 전부하가 33000 kcal/h(현열 28800kcal/h, 잠열 4200kcal/h)일 때 실내 급기풍량은 얼마인가? (단, 공기의 비율 0.24 kcal/kg℃, 비중량1.2kg/m3, 취출온도차는 10℃로 한다.)
     1. 11460m3/h
     2. 12000m3/h
     3. 10000m3/h
     4. 14520m3/h

     정답 : []
     정답률 : 52%
     <문제 해설>
냉방에서는 현열기준으로 한다.

잠열까지 계산 하는 경우 : 코일 혹은 제습능력까지 고려시
현열만 : 풍량, 공기 온도결정

따라서 28800/0.24*1.2*10=10000
[해설작성자 : comcbt.com 이용자]

51. 공기 세정기의 주요부는 세정실과 무엇으로 구분 되는가?
     1. 배수관
     2. 유닛 히트
     3. 유량조절 밸브
     4. 엘리미네이트

     정답 : []
     정답률 : 72%

52. 내벽의 열전달율 5kcal/m2h℃, 외벽의 열전달율10 kcal/m2h℃, 벽의 열전도율 4 kcal/m h℃, 벽두께20cm, 외기온도 0℃, 실내온도 20℃ 일 때 열통과율은 약 얼마인가?
     1. 2.86 kcal/m2h℃
     2. 3.75 kcal/m2h℃
     3. 4.52 kcal/m2h℃
     4. 5.35 kcal/m2h℃

     정답 : []
     정답률 : 57%

53. 공기여과기(air filter)의 여과효율을 측정하는 방법이 아닌 것은?
     1. 비색법
     2. DOP법
     3. 중량법
     4. 정전기법

     정답 : []
     정답률 : 58%
     <문제 해설>
비색법 : 공기중 입자 농도를 색의 변화를 통해 측정
DOP법 : DOP 입자를 이용해 여과기 성능 테스트
중량법 : 여과기 통과 전후의 입자들의 중량 차이를 측정
정전기법 : 공기여과기보다는 정전기필터 성능 평가에 쓰인다.
[해설작성자 : 건전한자]

54. 난방부하가 3520kcal/h인 사무실을 약 85~90℃정도의 온수를 이용하여 온수난방을 하려고 한다. 온수방열기의 필요 방열면적(m2)은 약 얼마인가?
     1. 5.4
     2. 6.6
     3. 7.8
     4. 8.9

     정답 : []
     정답률 : 61%
     <문제 해설>
온수난방기에서 표준상태 섭씨 80도의 온수가 흐를 때,
상당방열면적 EDR = 방열기 총 발열량/표준발열량 = 3520/450 = 7.9m^2
[해설작성자 : 배고픈세상]

55. 공조설비에 사용되는 보일러에 대한 설명으로 적당하지 않은 것은?
     1. 증기보일러의 보급수는 연수장치로 처리할 필요가 있다.
     2. 보일러효율은 연료가 보유하는 고위 발열량을 기준으로 하고, 보일러에서 발생한 열량과의 비를 나타낸 것이다.
     3. 관류보일러는 소요 압력의 증기를 비교적 짧은 시간에 발생시킬 수 있다.
     4. 증기보일러 및 수온이 120℃를 초과하는 온수보일러에는 안전장치로서 본체에 안전밸브를 설치할 필요가 있다.

     정답 : []
     정답률 : 50%
     <문제 해설>
보일러효율은 연료가 보유하는 저위 발열량을 기준
[해설작성자 : MINGS]

56. 증기 난방배관에서 증기트랩을 사용하는 이유로서 가장 적당한 것은?
     1. 관내의 공기를 배출하기 위하여
     2. 배관의 신축을 흡수하기 위하여
     3. 관내의 압력을 조절하기 위하여
     4. 증기관에 발생된 응축수를 제거하기 위하여

     정답 : []
     정답률 : 67%

57. 다음 중 일사를 받은 벽의 전열계산과 관계있는 것은?
     1. 대수평균 온도차
     2. 벽면양쪽 온도차
     3. 상당외기 온도차
     4. 유효온도차

     정답 : []
     정답률 : 61%

58. 덕트의 설계법 중 모든 덕트 계통에서 동일한 단위마찰저항으로 하여 각 부의 덕트 치수를 결정하는 방법은?
     1. 등속법
     2. 정압법
     3. 등분기법
     4. 정압재취득법

     정답 : []
     정답률 : 38%

59. 다음 중 공기의 조성에 대한 설명으로 틀린 것은?
     1. 질소는 대기의 최다 성분으로서 대기에 약 78% 정도 존재한다.
     2. 산소는 무색 및 무취의 기체로써 대기에 약 21%정도 존재한다.
     3. 이산화탄소는 무색 및 무취의 기체로써 대기에 약0.035% 정도 존재하지만 최근 증가하는 경향이 있다.
     4. 아르곤은 무색 및 무취의 활성기체로써 대기에 약0.39% 정도 존재한다.

     정답 : []
     정답률 : 66%
     <문제 해설>
0,39% → 0.93%
[해설작성자 : 루루네아빠]

60. 특정한 곳에 열원을 두고 열 수송 및 분배망을 이용하여 한정된 지역으로 열매를 공급하는 난방법은?
     1. 간접난방법
     2. 지역난방법
     3. 단독난방법
     4. 개별난방법

     정답 : []
     정답률 : 75%

4과목 : 전기제어공학


61. 그림과 같은 제어계에서 ⓐ부분에 해당하는 것은?

    

     1. 조절부
     2. 조작부
     3. 검출부
     4. 비교부

     정답 : []
     정답률 : 62%

62. 물리적인 제량이 전기적인 신호로 처리되는 변환 장치의 정적특성이 아닌 것은?
     1. 정밀도
     2. 분해능
     3. 반복성
     4. 시정수

     정답 : []
     정답률 : 52%

63. 그림과 같은 연산증폭기를 사용한 회로의 기능은?

    

     1. 적분기
     2. 미분기
     3. 가산기
     4. 제한기

     정답 : []
     정답률 : 49%
     <문제 해설>
콘덴서 = 적분기, 저항 = 미분기
[해설작성자 : 루루네아빠]

64. 3대의 단상변압기를 결선하여 사용 중 1대가 고장이 났을 경우 2대의 단상변압기로 V-V결선을 하여 사용할 수 있는 변압기 결선방법은?
     1. △-Y
     2. Y-△
     3. △-△
     4. Y-Y

     정답 : []
     정답률 : 57%

65. 동기전동기의 특징이 아닌 것은?
     1. 정속도 전동기이다.
     2. 저속도에서 효율이 좋다.
     3. 난조가 일어나기 쉽다.
     4. 기동 토크가 크다.

     정답 : []
     정답률 : 46%
     <문제 해설>
기동토크가 없다
[해설작성자 : comcbt.com 이용자]

66. 논리식 를 불대수의 정리를 이용하여 간단히 하면?
     1. X + Y
     2. Y
     3. 1
     4. 0

     정답 : []
     정답률 : 43%

67. 목표값이 다른양과 일정한 비율 관계를 가지고 변화하는 제어는?
     1. 추종제어
     2. 프로그램제어
     3. 비율제어
     4. 정치제어

     정답 : []
     정답률 : 77%

68. 피드백 제어의 장점이 아닌 것은?
     1. 제어기 부품들의 성능이 나쁘면 큰 영향을 받는다.
     2. 외부조건의 변화에 대한 영향을 줄일 수 있다.
     3. 제어계의 특성을 향상시킬 수 있다.
     4. 목표값을 정확히 달성할 수 있다.

     정답 : []
     정답률 : 61%

69. 다음 전지에서 2차 전지에 속하는 것은?
     1. 망간 건전지
     2. 공기 전지
     3. 수은 전지
     4. 납축 전지

     정답 : []
     정답률 : 50%
     <문제 해설>
2차 전지는 충전해서 사용할 수 있는 전지이다.
[해설작성자 : Amd64]

70. 회로에서 i2가 0이 되기 위한 C 의 값은? (단, L은 합성인덕턴스, M은 상호인덕턴스이다.)

    

     1.
     2.
     3.
     4.

     정답 : []
     정답률 : 49%

71. 비행기 및 선박의 방향제어에 사용되는 것은?
     1. 프로세스 제어
     2. 자동조정
     3. 서보 제어
     4. 시퀀스 제어

     정답 : []
     정답률 : 68%

72. 그림과 같은 신호-흐름선도에서 전달함수 G를 구하면?

    

     1.
     2.
     3.
     4.

     정답 : []
     정답률 : 56%

73. 교류에서 똑같은 변화가 반복해서 나타날 때 표현되는 용어로 1회의 변화를 하는데 걸리는 시간을 무엇이라 하는가?
     1. 주파수
     2. 각속도
     3. 주기
     4. 각주파수

     정답 : []
     정답률 : 70%

74. 변압기 내부의 저항과 누설리액턴스의 %강하는 3% 및 4% 이다. 부하역률이 지상 60%일 때 이 변압기의 전압변동률은 몇 % 인가?
     1. 1.4
     2. 4
     3. 4.8
     4. 5

     정답 : []
     정답률 : 28%

75. 다음 중 파고율이 가장 큰 파형은?
     1. 삼각파
     2. 정현파
     3. 반원파
     4. 구형파

     정답 : []
     정답률 : 58%
     <문제 해설>
1. 1.73
2. 1.414
3. 1.225
4. 1
[해설작성자 : 루루네아빠]

76. 그림에서 3개의 입력단자에 각각 1을 입력하면 출력단자 A와 B의 출력은?

    

     1. A=0, B=0
     2. A=1, B=0
     3. A=1, B=1
     4. A=0, B=1

     정답 : []
     정답률 : 61%

77. 지멘스(siemens)는 무엇의 단위인가?
     1. 도전율
     2. 자기저항
     3. 리액턴스
     4. 컨덕턴스

     정답 : []
     정답률 : 54%

78. 그림과 같은 펄스를 라플라스 변환하면 그 값은?

    

     1.
     2.
     3.
     4.

     정답 : []
     정답률 : 57%

79. 다음 회로는 무접점 논리회로 중 어떤 회로인가?

    

     1. AND 회로
     2. OR 회로
     3. NAND 회로
     4. NOR 회로

     정답 : []
     정답률 : 56%
     <문제 해설>
A, B, C 중 1개의 입력만 들어와도 출력되기 때문에 OR회로가 된다.
[해설작성자 : 루루네아빠]

80. 150[kVA] 단상변압기의 철손이 1[kW], 전 부하동 손이 4[kW]이다. 이 변압기의 최대 효율은 몇 [kVA]의 부하에서 나타나는가?
     1. 25
     2. 75
     3. 100
     4. 125

     정답 : []
     정답률 : 42%
     <문제 해설>
150*루트1/4=75
[해설작성자 : 바람킹]

81. 강관의 이음법에 속하지 않는 것은?
     1. 나사 이음
     2. 플랜지 이음
     3. 용접 이음
     4. 코킹 이음

     정답 : []
     정답률 : 67%
     <문제 해설>
강관의 이음법
나사이음 플랜지이음 용접이음
[해설작성자 : 내가 돌아왔다.]

82. 급수배관에서 공기실의 설치목적으로 가장 적당한 것은?
     1. 유량조절
     2. 유속조절
     3. 부식방지
     4. 수격작용방지

     정답 : []
     정답률 : 70%
     <문제 해설>
급수배관에서 공기실의 설치목적은 수격작용방지입니다.
[해설작성자 : 411]

83. 공기조화 설비에서 에어워셔(Air Washer)의 플러딩 노즐이 하는 역할은?
     1. 공기 중에 포함된 수분을 제거한다.
     2. 입구공기의 난류를 정류로 만든다.
     3. 일리미네이터에 부착된 먼지를 제거한다.
     4. 출구에 섞여 나가는 비산수를 제거한다.

     정답 : []
     정답률 : 72%

84. 다음 도시기호의 이음은?

    

     1. 나사식 이음
     2. 용접식 이음
     3. 소켓식 이음
     4. 플랜지식 이음

     정답 : []
     정답률 : 65%

85. 유기질 보온재가 아닌 것은?
     1. 펠트
     2. 코르크
     3. 기포성수지
     4. 탄산마그네슘

     정답 : []
     정답률 : 54%

86. 증기배관의 수평 환수관에서 관경을 축소할 때 사용하는 이음쇠로 가장 적합한 것은?
     1. 소켓
     2. 부싱
     3. 동심 리듀서
     4. 편심 리듀서

     정답 : []
     정답률 : 70%

87. 방열기 주위배관 설명으로 옳지 않은 것은?
     1. 방열기 주위는 스위블 이음으로 배관한다.
     2. 공급관은 앞쪽올림의 역구배로 한다.
     3. 환수관은 앞쪽내림의 순구배로 한다.
     4. 구배를 취할 수 없거나 수평주관이 2.5m 이상일때는 한 치수 작은 지름으로 한다.

     정답 : []
     정답률 : 69%
     <문제 해설>
구배를 취할 수 없을때는 한 치수 큰 지름으로 한다.
[해설작성자 : Amd64]

88. 도시가스 배관에서 고압이라 함은 얼마 이상의 압력(게이지압력)을 말하는가?
     1. 0.1MPa 이상
     2. 0.2MPa 이상
     3. 0.5MPa 이상
     4. 1MPa 이상

     정답 : []
     정답률 : 60%

89. 대 ㆍ 소변기 및 이와 유사한 용도를 갖는 기구로부터 배출되는 물과 이것을 함유하는 배수를 무엇이라 하는가?
     1. 우수
     2. 오수
     3. 잡배수
     4. 특수배수

     정답 : []
     정답률 : 74%

90. 같은 지름의 관을 직선으로 연결할 때 사용하는 이음쇠가 아닌 것은?
     1. 소켓(socket)
     2. 유니언(union)
     3. 벤드(bend)
     4. 플랜지(flange)

     정답 : []
     정답률 : 71%
     <문제 해설>
벤드와 엘보는 관의 방향을 바꿀 때 사용된다.
[해설작성자 : 루루네아빠]

91. 통기관을 접속하여도 장시간 위생기기를 사용하지 않을 때 봉수파괴가 될 수 있는 원인으로 가장 적당한 것은?
     1. 자기사이펀 작용
     2. 흡인작용
     3. 분출작용
     4. 증발작용

     정답 : []
     정답률 : 57%

92. 온수온도 90℃의 온수난방 배관의 보온재로 부적합한 것은?
     1. 규산칼슘
     2. 퍼얼라이트
     3. 암면
     4. 경질포옴라버

     정답 : []
     정답률 : 59%
     <문제 해설>
1. 650도 이하
2. 650도 이하
3. 600도 이하
4. 80도 이하
[해설작성자 : 루루네아빠]

93. 지역난방의 특징에 대하여 잘못 설명된 것은?
     1. 대규모 열원기기를 이용한 에너지 효율적 이용이 가능하다.
     2. 대기 오염물질이 증가한다.
     3. 도시의 방재수준 향상이 가능하다.
     4. 사용자에게는 화제에 대한 우려가 적다.

     정답 : []
     정답률 : 77%

94. 스테인리스강 커플링과 고무링만으로 이음 할 수 있는 방법으로 쉽게 이음할 수 있고, 시공이 간편하며, 경제성이 있어 건물의 배수관 등에 많이 사용되는 주철관 이음은?
     1. 기계식 이음
     2. 노-허브 이음
     3. 빅토릭 이음
     4. 플랜지 이음

     정답 : []
     정답률 : 41%

95. 증기난방을 응축수환수법에 의해 분류하였을 때 그 종류가 아닌 것은?
     1. 기계 환수식
     2. 하트포드 환수식
     3. 중력 환수식
     4. 진공 환수식

     정답 : []
     정답률 : 68%

96. 소형, 경량으로 설치면적이 적고 효율이 좋으므로 가장 많이 사용되고 있는 냉각탑은?
     1. 대기식 냉각탑
     2. 대향류식 냉각탑
     3. 직교류식 냉각탑
     4. 밀폐식 냉각탑

     정답 : []
     정답률 : 63%
     <문제 해설>
소형,경량으로 설치면적이 적고 효율이 좋아 가장 많이 사용되고 있는 냉각탑은 대향류식 냉각탑
[해설작성자 : 333]

97. 베어퍼록 현상은 액의 끓음에 의한 동요를 말하며 이를 방지하는 방지법이 아닌 것은?
     1. 실린더 라이너의 외부를 가열한다.
     2. 흡입배관을 크게 하고 단열 처리한다.
     3. 펌프의 설치위치를 낮춘다.
     4. 흡입관로를 깨끗이 청소한다.

     정답 : []
     정답률 : 65%
     <문제 해설>
외부를 가열하게되면    유체의 열이 올라 베이퍼록 현상이 더 잘 나타나게 된다.
[해설작성자 : 루루네아빠]

98. 가스배관 시공에 대한 설명으로 틀린 것은?
     1. 건물 내 배관은 안전을 고려, 벽, 바닥 등에 매설 하여 시공한다.
     2. 건축물의 벽을 관통하는 부분의 배관에는 보호관 및 부식방지 피복을 한다.
     3. 배관의 경로와 위치는 장래의 계획, 다른 설비와의 조화 등을 고려하여 정한다.
     4. 부식의 우려가 있는 장소에 배관하는 경우에는 방식, 절연조치를 한다.

     정답 : []
     정답률 : 74%

99. 복사난방을 대류난방과 비교할 때 복사난방의 장 ㆍ단점을 열거 한 것 중 틀린 것은?
     1. 실의 높이에 따른 온도 편차가 비교적 균일하며 쾌감도가 좋다.
     2. 방열기가 없으므로 공간의 이용도가 좋다.
     3. 배관의 수리가 곤란하고, 외기의 급변화에 따른 온도조절이 곤란한다.
     4. 공기의 대류가 많아 실내의 먼지가 상승한다.

     정답 : []
     정답률 : 64%
     <문제 해설>
복사난방은 공기의 대류가 적기때문에 먼지가 상승하지 않는다
[해설작성자 : MINGS]

100. 장치내 전수량 20000L이며, 수온을 20℃에서 80℃로 상승시킬 경우 물의 팽창수량은 약 얼마인가?(단, 20℃일 때 비중량 0.99823kg/L, 80℃일 때 0.97183kg/L이다.)
     1. 54.3
     2. 400L
     3. 543L
     4. 5430L

     정답 : []
     정답률 : 55%


정 답 지

1

2

3

4

5

6

7

8

9

10

11

12

13

14

15

16

17

18

19

20

21

22

23

24

25

26

27

28

29

30

31

32

33

34

35

36

37

38

39

40

41

42

43

44

45

46

47

48

49

50

51

52

53

54

55

56

57

58

59

60

61

62

63

64

65

66

67

68

69

70

71

72

73

74

75

76

77

78

79

80

81

82

83

84

85

86

87

88

89

90

91

92

93

94

95

96

97

98

99

100

공조냉동기계기사(구) 필기 기출문제(해설) 및 CBT 2012년03월04일을 이용해 주셔서 감사합니다.
, 필기, 기출문제, 전자문제집, CBT, 온라인, 모의테스트, 모의고사



List of Articles
번호 제목 글쓴이 날짜 조회 수
8522 공조냉동기계기사(구) 필기 기출문제(해설) 및 CBT 2015년08월16일(1363) new 좋은아빠되기 2025.11.25 1
8521 공조냉동기계기사(구) 필기 기출문제(해설) 및 CBT 2015년05월31일(1362) new 좋은아빠되기 2025.11.25 2
8520 공조냉동기계기사(구) 필기 기출문제(해설) 및 CBT 2015년03월08일(1361) new 좋은아빠되기 2025.11.25 2
8519 공조냉동기계기사(구) 필기 기출문제(해설) 및 CBT 2014년08월17일(1360) new 좋은아빠되기 2025.11.25 3
8518 공조냉동기계기사(구) 필기 기출문제(해설) 및 CBT 2014년05월25일(1359) new 좋은아빠되기 2025.11.25 1
8517 공조냉동기계기사(구) 필기 기출문제(해설) 및 CBT 2014년03월02일(1358) new 좋은아빠되기 2025.11.25 2
8516 공조냉동기계기사(구) 필기 기출문제(해설) 및 CBT 2013년08월18일(1357) new 좋은아빠되기 2025.11.25 2
8515 공조냉동기계기사(구) 필기 기출문제(해설) 및 CBT 2013년06월02일(1356) new 좋은아빠되기 2025.11.25 2
8514 공조냉동기계기사(구) 필기 기출문제(해설) 및 CBT 2013년03월10일(1355) new 좋은아빠되기 2025.11.25 1
8513 공조냉동기계기사(구) 필기 기출문제(해설) 및 CBT 2012년08월26일(1354) new 좋은아빠되기 2025.11.25 2
» 공조냉동기계기사(구) 필기 기출문제(해설) 및 CBT 2012년03월04일(1353) new 좋은아빠되기 2025.11.25 3
8511 공조냉동기계기사(구) 필기 기출문제(해설) 및 CBT 2011년08월21일(1352) new 좋은아빠되기 2025.11.25 2
8510 공조냉동기계기사(구) 필기 기출문제(해설) 및 CBT 2011년06월12일(1351) new 좋은아빠되기 2025.11.25 1
8509 공조냉동기계기사(구) 필기 기출문제(해설) 및 CBT 2011년03월20일(1350) new 좋은아빠되기 2025.11.25 3
8508 공조냉동기계기사(구) 필기 기출문제(해설) 및 CBT 2010년07월25일(1349) new 좋은아빠되기 2025.11.25 3
8507 공조냉동기계기사(구) 필기 기출문제(해설) 및 CBT 2010년05월09일(1348) new 좋은아빠되기 2025.11.25 2
8506 공조냉동기계기사(구) 필기 기출문제(해설) 및 CBT 2010년03월07일(1347) new 좋은아빠되기 2025.11.25 1
8505 공조냉동기계기사(구) 필기 기출문제(해설) 및 CBT 2009년03월01일(1346) new 좋은아빠되기 2025.11.25 3
8504 공조냉동기계기사(구) 필기 기출문제(해설) 및 CBT 2008년05월11일(1345) new 좋은아빠되기 2025.11.25 3
8503 공조냉동기계기사(구) 필기 기출문제(해설) 및 CBT 2006년08월06일(1344) new 좋은아빠되기 2025.11.25 2
Board Pagination Prev 1 ... 275 276 277 278 279 280 281 282 283 284 ... 706 Next
/ 706