자격증 필기 기출문제



조경산업기사 필기 기출문제(해설) 및 CBT 2016년03월06일(1796)

최강 자격증 기출문제 전자문제집 CBT : www.comcbt.com


전자문제집 CBT란?

종이 문제집이 아닌 인터넷으로 문제를 풀고 자동으로 채점하며 모의고사, 오답 노트, 해설까지 제공하는
무료 기출문제 학습 프로그램으로 실제 상설검정에서 사용하는 OMR 형식의 CBT를 제공합니다.


최신 조경산업기사 필기 기출문제 : [다운로드]

1과목 : 조경계획 및 설계


1. 팩스턴(Paxton)의 이름을 높여 준 작품은?
     1. 시뵈베르원
     2. 수정궁
     3. 큐 가든
     4. 켄싱턴원

     정답 : []
     정답률 : 74%

2. 일본정원 중 선종(禪宗)의 영향을 가장 크게 받은 시대는?
     1. 아즈카(비조)시대
     2. 무로마찌(실정)시대
     3. 에도(강호)시대
     4. 모모야마(도산)시대

     정답 : []
     정답률 : 70%

3. 조선시대 민가정원의 지당형태를 잘못 설명한 것은?
     1. 지당내 섬에는 목본식물이 식재된다.
     2. 지당의 윤곽선은 직선적으로 처리된다.
     3. 지당 가운데는 1~3개의 섬이 조성된다.
     4. 지당 내부의 섬을 연결하는 곡교(曲橋)가 조성된다.

     정답 : []
     정답률 : 67%
     <문제 해설>
4. 중국 명시대 민가정원 양식이다.
[해설작성자 : comcbt.com 이용자]

4. 조선시대 궁궐정원 시설이 아닌 곳은?
     1. 통명전
     2. 향원정
     3. 교태전
     4. 연복정

     정답 : []
     정답률 : 70%
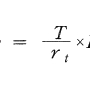
     <문제 해설>
통명전 : 창경궁
향원정 : 경복궁
교태전 : 경복궁
연복정 : 고려시대
[해설작성자 : 일월조경]

5. 고대 메소포타미아 지방에 만들어졌던 파크(Park)에 관한 설명으로 가장 적합한 것은?
     1. 사막지대에 정형식으로 조성된 궁원이다.
     2. 신전을 중심으로 하여 조성한 신림(神林)이다.
     3. 왕의 수렵(狩獵)놀이를 주목적으로 하여 조성한 숲이다.
     4. 왕의 소유이지만 일반사람들에게도 공개되는 오늘날의 공원과 같은 것이다.

     정답 : []
     정답률 : 79%

6. 선 왕릉의 공간은 능침, 제향, 진입공간으로 구성되어 있다. 다음 중 제향공간에 속하지 않는 것은?
     1. 곡장
     2. 정자각
     3. 수라간
     4. 수복방

     정답 : []
     정답률 : 62%
     <문제 해설>
곡장 : 왕릉 주위에 쌓은 나지막한 담. 능침공간
[해설작성자 : 일월조경]

7. 다음 중 부울리바아드(boulevard)가 의미하는 것은?
     1. 어린이 놀이터
     2. 삼림욕을 할 수 있는 숲
     3. 나무가 줄지어 심어진 유보도(遊步道)
     4. 도시 가운데에 있는 벤치가 놓인 공원(公園)

     정답 : []
     정답률 : 78%
     <문제 해설>
boule·vard
1.(도시의, 가로수가 늘어선) 도로
2.대로(흔히 거리 이름에 쓰임)
[해설작성자 : 강이아빠]

8. 다음 제시된 평면기하학식 정원의 조성 시기가 가장 빠른 정원은?
     1. 베르사이유(Versailles) 궁원
     2. 카르스루헤(Karsruhe) 성
     3. 보르비콩트(Vaux-Le-Viconte)
     4. 헤렌하우젠(Herrenhauzen) 궁

     정답 : []
     정답률 : 83%

9. Litton의 삼림경관의 유형과 그 설명이 틀린 것은?
     1. 관개경관 : 터널적 경관이라고도 불리며 수관 아래나 임내의 경관
     2. 파노라믹 경관 : 시선을 가로막는 장애물이 없이 풍경을 조망할 수 있는 경관
     3. 위요경관 : 기준면(바닥)을 지면 또는 수평이나 초원으로 하여 주위의 경관요소들이 울타리처럼 자연스럽게 싸고 있는 국소적 경관
     4. 세부경관 : 평행선의 연속이나 경관요소들이 직선상으로 연결됨으로써 시선은 어느 점을 따라 유도되는 현상의 경관

     정답 : []
     정답률 : 80%

10. 프로그램이란 설계시 필요한 요소와 요인들에 대한 목록과 표를 말하는데, 이 프로그램의 구성은 세 가지로 이루어진다. 다음 중 구성 요소로 가장 보기 어려운 것은?
     1. 설계 비용
     2. 설계 목적과 목표
     3. 설계상의 특별한 요구사항
     4. 설계에 포함되어야 할 요소들의 목록

     정답 : []
     정답률 : 83%

11. 우리나라「도시ㆍ군계획시설의 결정ㆍ구조 및 설치기준에 관한 규칙」상의「교통광장」의 분류에 해당하지 않는 것은?
     1. 교차점광장
     2. 중심대광장
     3. 주요시설광장
     4. 역전광장

     정답 : []
     정답률 : 62%

12. 다음 중 생태숲 계획시 고려할 사항으로 가장 부적합한 것은?
     1. 건설사업으로 인한 산림의 훼손지복원이나 이용객들의 치유목적 및 자연학습장으로 이용 가능한 숲의 조성에 적용한다.
     2. 오염되거나 훼손된 도시산업화 지역에서 환경보전 및 자연성 증진 기능을 수행 할 수 있도록 조성하는 다층복합구조의 숲 조성에 적용한다.
     3. 생태라는 개념을 도입하여 자연이 갖는 생태적 기능을 강조함과 동시에 일반인의 관심과 흥미를 유도할 수 있는 숲을 말한다.
     4. 50만 제곱미터 이상(자연휴양림ㆍ도시숲 등과 연접하여 교육ㆍ탐방ㆍ체험 등의 기능을 높일 수 있는 경우에는 30만제곱미터 이상)인 산림을 대상으로 지정할 수 있다.

     정답 : []
     정답률 : 78%
     <문제 해설>
산림생태계가 안정되어 있거나 산림생물 다양성이 높아 특별히 현지 내 보전·관리가 필요한 숲을 말한다.
생태숲은 산림생태계의 안정과 산림생물의 다양성을 유지·증진하고 연구·교육·탐방·체험 등을 위하여 필요한 산림으로서 30만m2 이상(자연휴양림, 도시림 등과 잇닿아 있어 교육·탐방·체험 등의 기능을 높일 수 있는 경우에는 20만m2 이상)인 지역을 대상으로 지방자치단체의 장이나 지방산림청장의 신청을 받아 산림청장이 지정한다.
[해설작성자 : 강이아빠]

13. 아파트 단지계획에 있어서 다음 그림은 무엇을 가장 잘 표현한 것인가?

    

     1. 녹지 속에 아파트가 파묻혀 있도록 계획한 것
     2. 완충녹지를 조성하여 그 곳에 공원을 계획한 것
     3. 주거동으로 포위된 넓은 공간을 공원적 성격을 지닌 다목적인 자리로 계획한 것
     4. 동선의 흐름에 따라 성격을 달리한 공원을 계획하여 공간이용의 다양화를 도모한 것

     정답 : []
     정답률 : 85%

14. 대지(垈地)조건에 가장 적합한 토지의 용도를 찾고 정지 작업하기 위한 절ㆍ성토량을 계산하여 적절한 사면 처리 방법을 강구하기 위한 대지 조사 작업은?
     1. 토지이용 조사
     2. 경사도 분석
     3. 토양조사
     4. 인공구조물 조사

     정답 : []
     정답률 : 75%

15. 다음 중 조경설계기준상의 「보행등」에 관한 설명으로 틀린 것은?
     1. 보행로 경계에서 1,000mm 정도의 거리에 배치한다.
     2. 소로ㆍ산책로ㆍ계단ㆍ구석진 길ㆍ출입구ㆍ장식벽 등에 설치한다.
     3. 보행인의 이용에 불편함이 없는 밝기를 확보하며, 보행로의 경우 3lx 이상의 밝기를 적용한다.
     4. 산책로 등의 보행공간만을 비추고자 할 경우에는 포장면 속에 배치하거나 등주의 높이를 50~100㎝로 설계한다.

     정답 : []
     정답률 : 69%
     <문제 해설>
보행등 설계
배치간격은 설치 높이의 5배 이하의 거리로 하며, 보행경계에서 50cm 정도의 거리에 배치
보행인의 불편이 없게하며, 보행로의 경우 3lx 이상의 밝기를 적용
보행등 1회로는 보행등 10개 이하로 구성, 보행등의 공용접지는 5기 이하로 함
[해설작성자 : 강이아빠]

16. 정투상도에 의한 제1각법으로 도면을 그릴 때 도면 위치로 맞는 것은?
     1. 정면도를 중심으로 평면도가 위에, 우측면도는 정면도의 왼쪽에 위치한다.
     2. 정면도를 중심으로 평면도가 위에, 우측면도는 정면도의 오른쪽에 위치한다.
     3. 정면도를 중심으로 평면도가 아래에, 우측면도는 정면도의 오른쪽에 위치한다.
     4. 정면도를 중심으로 평면도가 아래에, 우측면도는 정면도의 왼쪽에 위치한다.

     정답 : []
     정답률 : 63%

17. 다음 색채의 일반적인 성질 중에서 보색 관계는?
     1. 한색과 난색
     2. 청색과 탁색
     3. 유채색과 무채색
     4. 고명도와 저명도

     정답 : []
     정답률 : 76%

18. 다음 도시공원 및 녹지 등에 관한 법률 시행규칙의 도시공원의 면적기준 설명의 “B"에 적합한 수치는?

    

     1. 2
     2. 3
     3. 6
     4. 10

     정답 : []
     정답률 : 71%

19. 다음 수종 중 멀리서 조망하였을 때 잎이 주는 질감이 가장 부드러운 것은?
     1. 버즘나무
     2. 상수리나무
     3. 해송
     4. 낙우송

     정답 : []
     정답률 : 73%

20. 조경제도에서 불규칙한 곡선을 그릴 때 사용하기 가장 적합한 제도 용구는?
     1. 삼각자
     2. 스케일
     3. 자유곡선자
     4. 만능제조기

     정답 : []
     정답률 : 91%

2과목 : 조경식재


21. 다음 중 초화류의 식재간격(㎝)이 가장 큰 것은?
     1. 팬지
     2. 맨드라미
     3. 샐비어
     4. 꽃양배추

     정답 : []
     정답률 : 83%

22. 받침줄(guy, 당김줄)을 사용해 지주할 때 주의 사항으로 틀린 것은?
     1. 나뭇가지를 감쌀 때 고무호스를 사용해야 한다.
     2. 받침줄은 가급적 금속재 앵카로 지지되어야 한다.
     3. 받침줄에 의해 힘이 분산될 때 평형상태가 되어야 한다.
     4. 받침줄은 조이기 위하여 가급적 턴버클을 사용하지 않는 것이 효과적이다.

     정답 : []
     정답률 : 76%

23. 뿌리돌림 분의 크기를 정할 때 고려해야 할 조건으로 틀린 것은?
     1. 귀중한 수목은 크게 작업한다.
     2. 뿌리 발생력이 강한 수종은 작게 작업한다.
     3. 심근성 수종은 천근성보다 좁고 깊게 잡는다.
     4. 뿌리발생에 불리한 지형과 토양에서는 작게 작업한다.

     정답 : []
     정답률 : 65%

24. 수(水) 처리에 이용되는 습지식물의 분류 중 침수식물에 해당하는 것은? (문제 오류로 실제 시험에서는 모두 정답처리 되었습니다. 여기서는 1번을 누르면 정답 처리됩니다.)
     1. 부들
     2. 가래
     3. 골풀
     4. 사초

     정답 : []
     정답률 : 86%

25. 자귀나무의 학명으로 맞는 것은?
     1. Amorpha fruticosa
     2. Albizziz julibrissin
     3. Caragana sinica
     4. Cercis chinensis

     정답 : []
     정답률 : 77%

26. 다음 중 같은 색의 꽃이 피는 수목으로 맞게 짝지어진 것은?
     1. Cornus controversa, Aesculus turbinata
     2. Cornus kousa, Lagerstroemia indica
     3. Cercis chinensis, Cornus officinalis
     4. Albizzia julibrissin, Chionanthus retusus

     정답 : []
     정답률 : 48%
     <문제 해설>
1:층층나무,칠엽수
2:산딸나무,배롱나무
3:박태기나무,산수유
4;자귀나무,이팝나무
[해설작성자 : comcbt.com 이용자]

해설추가
1:층층나무(5~6월 백색꽃 개화),칠엽수(꽃은 잡성화로 양성화와 수꽃이 있고 6월에 분홍색 반점이 있는 흰색)
2:산딸나무(5월 하순부터 6월 상순경에 흰색꽃),배롱나무(7월부터 늦가을까지 분홍색꽃) 흰색꽃이 피는건 흰배롱나무라 한다.
3:박태기나무(4월 분홍색꽃),산수유(3~4월 노랑꽃)
4;자귀나무(6~7월 연분홍색 꽃),이팝나무(4~5월 백색꽃)
[해설작성자 : 강이아빠]

27. 다음 중 한 마디에 잎이 2개씩 달리는 대생(對生)하는 식물이 아닌 종은?
     1. 쥐똥나무
     2. 굴참나무
     3. 수수꽃다리
     4. 고로쇠나무

     정답 : []
     정답률 : 52%

28. 훼손된 비탈면의 자연환경과 생태계를 복원하기 위한 성능 목표로 틀린 것은?
     1. 비탈침식의 조장
     2. 비탈면의 경관향상
     3. 종 다양성의 확보
     4. 주변 지역과의 조화

     정답 : []
     정답률 : 73%

29. 다음 중 개화의 순서가 바르게 된 것은?
     1. 쥐똥나무 → 산수유 → 풍년화 → 금목서
     2. 풍년화 → 산수유 → 쥐똥나무 → 금목서
     3. 금목서 → 쥐똥나무 → 풍년화 → 산수유
     4. 풍년화 → 쥐똥나무 → 금목서 → 산수유

     정답 : []
     정답률 : 76%

30. 다음 자연생육에서도 비교적 정형을 유지하는 수종들 중 전정으로서만 정형을 유지할 수 있는 수종은?
     1. 개잎갈나무
     2. 가이즈까향나무
     3. 낙우송
     4. 낙엽송

     정답 : []
     정답률 : 76%

31. 단풍나무과(科)의 식물은 아름다운 단풍으로 계절감을 제공하는 대표적인 수종이다. 다음 중 단풍나무과 식물이 아닌 것은?
     1. 신나무
     2. 미국풍나무
     3. 중국단풍
     4. 네군도단풍

     정답 : []
     정답률 : 71%

32. 수목식재시 자연토의 생존최소토심과 토양등급 중급 이상의 생육최소토심을 순서대로 열거한 것 중 틀린 것은?
     1. 심근성 교목 : 90㎝, 150㎝
     2. 천근성 교목 : 60㎝, 90㎝
     3. 소관목 : 45㎝, 60㎝
     4. 잔디ㆍ초화류 : 15㎝, 30㎝

     정답 : []
     정답률 : 76%
     <문제 해설>
소관목 -    자연토 생존최소심도(cm) 30, 토양등급 중급이상 생육최소심도(cm) 45
대관목 -    자연토 생존최소심도(cm) 45, 토양등급 중급이상 생육최소심도(cm) 60
[해설작성자 : 강이아빠]

33. 일반적인 식재지역의 토양조건 중 수목생육에 가장 좋은 토양 조건은?
     1. 산성 토양
     2. 풍화암 토양
     3. 점질 토양
     4. 중성이나 약산성 토양

     정답 : []
     정답률 : 80%

34. 다음 방품림 구조의 설명으로 가장 거리가 먼 것은?
     1. 1.5~2.0m 간격의 정삼각형식재가 바람직하다.
     2. 수림대의 길이는 수고의 12배 이상이 필요하다.
     3. 지형과의 관계에서는 능선 또는 법견에 설치함이 좋다.
     4. 수림의 밀폐도는 90~95% 정도 유지되도록 하는 것이 필요하다.

     정답 : []
     정답률 : 62%
     <문제 해설>
방풍림 밀폐도 : 수림         50~70%
                                산울타리 45~55%
[해설작성자 : 일월조경]

35. 다음 식물에 관한 설명으로 틀린 것은?
     1. 건생식물에는 바위솔, 세덤류가 속한다.
     2. 소택식물에 있어 마름, 가래 줄 등의 정수 식물이 속한다.
     3. 중생식물은 적윤지 식물에 잘 자라는 식물로 온대낙엽활엽수가 속한다.
     4. 토양수분이 부족하여 잎의 원형질 분리가 일어나 시들기 시작하는 때를 초기위조점이라 한다.

     정답 : []
     정답률 : 59%
     <문제 해설>
마름,가래>    부엽식물,     (소택이란 늪과 못을 아우르는 말)
연꽃,부들,창포 > 정수식물
[해설작성자 : 꾸역꾸역]

36. 낙엽송은 개화가 매우 힘든 수종으로 알려져 있다. 개화결실을 촉진하기 위한 기술이 아닌 것은?
     1. 접목법
     2. 환상박피
     3. 조직배양법
     4. 지베렐린처리법

     정답 : []
     정답률 : 57%

37. 다음 중 학명에 품종이 표기되지 않는 식물은?
     1. 반송
     2. 불두화
     3. 용버들
     4. 화살나무

     정답 : []
     정답률 : 64%
     <문제 해설>
1.반송 Pinus densiflora f. multicaulis
2.불두화 Viburnum opulus f. hydrangeoides
3.용버들 Salix matsudana f. tortuosa
4.화살나무 Euonymus alatus

변종이나 품종은 종명 다음에 var,for(=f.)를 씀 , 재배 품종은 cultivated variety
[해설작성자 : 강이아빠]

38. 바람에 쓰러지기 쉬운 수종이 아닌 것은?
     1. 미루나무
     2. 아까시나무
     3. 갈참나무
     4. 양버즘나무

     정답 : []
     정답률 : 61%

39. 조경수목 종자의 품질을 나타내는 기준인 순량율이 50%, 실중이 60g, 발아율이 90%라고 할 때, 종자의 효율은?
     1. 27%
     2. 30%
     3. 45%
     4. 54%

     정답 : []
     정답률 : 65%
     <문제 해설>
효율 = (순량율 * 발아율) / 100    (50*0.9).100=0.45 = 45%
효율 = (순량율 * 발아세) /100
[해설작성자 : 꾸역꾸역]

40. 다음 중 낙상홍에 대한 설명이 아닌 것은?
     1. 과명이 감탕나무과이다.
     2. 학명은 Ilex cornuta 이다.
     3. 암수딴그루이다.
     4. 열매는 붉은색이다.

     정답 : []
     정답률 : 56%
     <문제 해설>
학명은=Ilex serrata Thunb.
[해설작성자 : nchanger]

3과목 : 조경시공


41. 다음 1/50,000 도면상에서 AB간의 도상수평거리가 10㎝일 때 AB간의 실 수평거리와 AB선의 경사를 구한 값은?

    

     1. 실수평거리 : 50m, 경사 : 1/3.3
     2. 실수평거리 : 500m, 경사 : 1/33.3
     3. 실수평거리 : 5,000m, 경사 : 1/333
     4. 실수평거리 : 50,000m, 경사 : 1/3333

     정답 : []
     정답률 : 68%

42. 그림과 같은 외팔보에 등분포하중이 작용한다. 지점 C에서의 굽힘모멘트의 크기는 얼마인가?

    

     1. ωa2/4
     2. ωa2/2
     3. ωa2
     4. 2ωa2

     정답 : []
     정답률 : 64%

43. 기본벽돌을 사용하여 2.0B의 두께로 벽을 만들었을 때 벽 두께(mm)는? (단, 줄눈 두께는 1㎝로 한다.)
     1. 190
     2. 200
     3. 380
     4. 390

     정답 : []
     정답률 : 58%
     <문제 해설>
표준형 벽돌의 크기를 이용한다. (190mm*90mm*57mm) 순서대로 길이- 마구리- 높이
B=Brick(벽돌)

두께 : 벽돌의 길이(190mm)를 기준으로 두께를 표시한다.
0.5B, 즉 벽돌 반장의 폭은 90mm(마구리)
2.0B는 벽돌 4장이 필요
9cm*4cm=36cm

벽돌 4개의 사이 사이에는 3곳의 줄눈이 들어간다.
줄눈 두께가 1cm이므로, 10mm*3곳=30mm
360mm(벽돌의 두께 ) + 30mm(줄눈 두께) =390mm
[해설작성자 : 강이아빠]

44. 다음 설명에 적합한 콘크리트의 종류는?

    

     1. 서중콘크리트
     2. 매스콘크리트
     3. 팽창콘크리트
     4. 한중 콘크리트

     정답 : []
     정답률 : 62%

45. 배수지역의 표면 종류에 따른 유출계수가 가장 큰 곳은?
     1. 공원
     2. 상업지역
     3. 학교운동장
     4. 저밀도주거지역

     정답 : []
     정답률 : 71%
     <문제 해설>
유출계수의 크기 개략적으로 도로>상업,주거,산업 지역>급경사 산지>농경지

1.공원(기본 유출계수 0.10~0.25)
2.상업지역(도심지역 기본 유출계수 0.70~0.95,근린지역 기본 유출계수 0.50~0.70)
3.학교운동장(기본 유출계수 0.20~0.35)
4.저밀도주거지역(교외지역 기본 유출계수 0.25~0.40,단독주택 기본 유출계수 0.30~0.50)
[해설작성자 : 강이아빠]

46. 다음 설명하는 건설 장비는?

    

     1. Bulldozer
     2. Back Hoe
     3. Grader
     4. Drag line

     정답 : []
     정답률 : 72%

47. 흙을 100m 거리로 리어카를 이용하여 운반하려한다. 운반로의 상태가 보통일 때 하루에 운반하는 흙은 몇 m3인가? (단, 흙 1m3은 1,800kg, 하루작업시간은 450분, 리어카의 1회 적재량은 250kg 이고, 적재 적하시간과 평균왕복운반속도는 다음 표와 같다.)

    

     1. 4.268
     2. 5.342
     3. 7.102
     4. 9.678

     정답 : []
     정답률 : 47%
     <문제 해설>
1일운반량 Q=N×q N= VT/120L+Vt 2500×450/120×100+2500×4=51.14회
51.14×250=12785kg    12785÷1800=7.102
[해설작성자 : 갑순이든]

48. 다음 네트워크 공정표와 관련된 설명 중 틀린 것은?
     1. 작업을 나타내며 시간과 자원을 필요로 하는 부분을 Activity(작업, 활동)라고 한다.
     2. 작업의 종료, 개시 또는 작업과 작업간의 연결점을 Event(결합점)라 한다.
     3. 작업을 나타내는 실선 화살선으로 작업이나 시간의 값을 나타내는 것을 Dummy(더미)라 한다.
     4. 최초작업의 개시에서 최종작업의 완료에 이르는 경로 중 소요일수가 가장 긴 경로를 Critical Path(주공정선)이라고 한다.

     정답 : []
     정답률 : 72%

49. 다음 [보기]에서 설명하는 시멘트는?

    

     1. 실리카시멘트
     2. 알루미나시멘트
     3. 고로시멘트
     4. 중용열 포틀랜드시멘트

     정답 : []
     정답률 : 73%

50. CPM과 비교한 PERT의 특성으로 부적합한 것은?
     1. PERT는 최소비용에 대한 도입이론이 없다.
     2. CPM과 PERT 모두 공사전체의 파악을 용이하게 한다.
     3. PERT는 소요시간 추정을 위하여 1점 추정을 한다.
     4. PERT는 경험이 없는 건설공사나 비반복사업에 유리하다.

     정답 : []
     정답률 : 58%
     <문제 해설>
PERT    3점추정
[해설작성자 : 갑순이든]

51. 어떤 배수구역의 면적 비율이 주거지 40%, 도로 30%, 녹지 30%라고 가정하고 그 유출계수를 각각 순서대로 0.90, 0.80, 0.10이라고 한다면, 이 구역의 합리적인 평균 유출계수는?
     1. 0.60
     2. 0.63
     3. 0.80
     4. 0.83

     정답 : []
     정답률 : 58%
     <문제 해설>
0.4×0.9+0.3×0.8+0.3×0.1=0.63
[해설작성자 : 갑순이든]

52. 콘크리트 시공에서 골재의 습윤상태에 관하 것으로 콘크리트 반죽시 물량(水量)이 골재에 의해 증감되지 않는 이상적인 상태 또는 골재입자의 표면에 물은 없으나 내부의 공극에는 물이 꽉 차 있는 상태는?
     1. 절대건조상태
     2. 습윤상태
     3. 노건상태(爐乾狀態)
     4. 표면건조 포화상태

     정답 : []
     정답률 : 78%

53. 다음 중 일반적인 옹벽의 설계과정에서 고려해야 되는 사항이 아닌 것은?
     1. 옹벽 각 부재의 구조체를 설계한다.
     2. 지형의 조사, 지반의 토질조사 및 시험을 한다.
     3. 뒷채움 흙의 경우 배수시설은 고려하지 않고 구조물에서 결정한다.
     4. 옹벽의 자중, 옹벽에 작용하는 토압 및 뒷채움 흙의 재하중을 계산한다.

     정답 : []
     정답률 : 83%

54. 옹벽의 종류 중 옹벽배면 기초저판 위의 흙 무게를 보강하여 안정성을 높인 옹벽의 구조에 해당하지 않는 것은?
     1. 캔틸레버 옹벽
     2. 역T형 옹벽
     3. L형 옹벽
     4. 중력식 옹벽

     정답 : []
     정답률 : 60%
     <문제 해설>
4.중력식 옹벽
ㄱ 상단이 좁고 하단이 넓은 형태
ㄴ 자중으로 토압에 저항하도록 설계됨
ㄷ 3m 내외의 낮은 옹벽, 무근콘크리트로 사용
[해설작성자 : 강이아빠]

55. 다음의 도형과 같은 현장토공에서 절토량은 얼마인가? (단, 각점의 숫자는 절토 깊이를 나타내며, 토량 계산은 구형(矩形) 단면법에 의한다. 사각형 하나의 넓이는 5m2이다.)

    

     1. 11.25m3
     2. 17m3
     3. 21.25m3
     4. 85m3

     정답 : []
     정답률 : 58%

56. 콘크리트의 특징에 관한 설명 중 옳지 않은 것은?
     1. 보강이 어렵고 철거하기 힘들다.
     2. 임의의 크기의 구조물을 형성할 수 있다.
     3. 압축강도에 비해 인장강도와 휨강도가 비교적 크다.
     4. 유지비가 목재 등에 비해 상대적으로 저렴하다.

     정답 : []
     정답률 : 77%

57. 흙의 다짐효과에 대한 설명 중 틀린 것은?
     1. 흙을 다지면 공극이 작아지고 투수성이 저하된다.
     2. 다짐건조밀도는 전압횟수에 따라 증가하지만 한계에 도달하면 거의 증가가 없다.
     3. 입도배합이 좋은 흙에서는 높을 건조밀도를 얻을 수 있다.
     4. 최대건조밀도는 모래질 흙일수록 낮고 점토일수록 높다.

     정답 : []
     정답률 : 65%

58. 강(鋼)과 비교한 알루미늄의 특징에 대한 내용 중 옳지 않은 것은?
     1. 강도가 작다.
     2. 비중이 작다.
     3. 열팽창률이 작다.
     4. 전기 전도율이 높다.

     정답 : []
     정답률 : 53%

59. 포틀랜드시멘트의 화학성분 중 가장 많은 부분을 차지하는 것은?
     1. 실리카(Sio2)
     2. 산화철(Fe2O3)
     3. 알루미나(Al2O3)
     4. 석회(CaO)

     정답 : []
     정답률 : 75%

60. 유기질계 토양개량제로서 부적합한 것은?
     1. 토탄
     2. 피트모스
     3. 바크퇴비
     4. 벤토나이트

     정답 : []
     정답률 : 60%

61. 강도율이 1.98인 조경시설물 생산 사업장에서 한 근로자가 평생 근무한다면 이 근로자는 재해로 인해 며칠의 근로손실일수가 발생하겠는가? (단, 근로자의 평생근무시간은 100,000시간이라 한다.)
     1. 198일
     2. 216일
     3. 254일
     4. 300일

     정답 : []
     정답률 : 61%
     <문제 해설>
1.98×100000/1000=198
[해설작성자 : 갑순이든]

62. 다음 중 하천 생태복원 관리와 관련된 설명 중 ( )안에 들어 갈 수 없는 것은?

    

     1. 환삼덩굴
     2. 교란
     3. 비점오염원
     4. 치수안정성

     정답 : []
     정답률 : 70%

63. 수목의 생장이 왕성할 때 하계전정(하기전정,夏期剪定)을 설명한 것 중 옳지 않은 것은?
     1. 밀생된 부분을 솎아낸다.
     2. 굵은 가지 1~2개 솎아낸다.
     3. 도장지를 잘라 내는 정도로 한다.
     4. 목적대로 가벼운 전정을 2~3회 나누어 실시한다.

     정답 : []
     정답률 : 59%

64. 분제의 물리적인 성질로서 가장 거리가 먼 것은?
     1. 고착성(Tenacity)
     2. 토분성(Dustibility)
     3. 부착성(Adhesiveness)
     4. 현수성(Suspensibility)

     정답 : []
     정답률 : 73%

65. 잔디깎기를 실시하는 목적으로 가장 거리가 먼 것은?
     1. 잔디의 생육면을 평탄하게 한다.
     2. 통풍이 잘 되므로 병해충을 방제한다.
     3. 잔디의 분얼이 억제되며 생장이 정지된다.
     4. 정기적으로 깎으므로 잡초발생이 억제된다.

     정답 : []
     정답률 : 73%

66. 토사포장 방법에 대한 설명 중 맞지 않는 것은?
     1. 지반위에 자갈, 모래, 점토를 섞은 혼합물(노면자갈)을 30~50㎝ 깔고 다진다.
     2. 노면자갈의 최대 굵기가 30~50mm일 때 55~70%의 혼합비율로 한다.
     3. 점토질은 10%이하이고, 모래질은 30%이하이면 좋다.
     4. 노면자갈의 두께는 노면 총 두께의 1/5이하이다.

     정답 : []
     정답률 : 50%
     <문제 해설>
노면자갈의 최대굵기는 30~50mm이하가 이상적, 노면총두께의1/3이하
[해설작성자 : 갑순이든]

67. 수목을 식재한 후 일반적으로 지주목을 설치한다. 다음은 지주목의 필요성에 대한 설명으로 옳지 않은 것은?
     1. 수고 생장에 도움을 준다.
     2. 도시미관을 위해 필수적이다.
     3. 바람에 의한 피해를 줄일 수 있다.
     4. 수간의 굵기가 균일하게 생육할 수 있도록 해준다.

     정답 : []
     정답률 : 77%

68. 다음 중「설치하자」에 의한 사고로 볼 수 없는 것은?
     1. 시설의 구조 자체의 결함에 의한 사고
     2. 시설 설치의 미비에 의한 사고
     3. 시설 배치의 미비에 의한 사고
     4. 시설의 노후, 파손에 의한 사고

     정답 : []
     정답률 : 71%

69. 주민참가에 의하여 행하여 질 수 있는 공원관리활동 내용이 아닌 것은?
     1. 청소
     2. 기술자문
     3. 공원관리에 대한 제안
     4. 어린이의 놀이지도

     정답 : []
     정답률 : 78%

70. 다음 중 이용관리의 방법이 아닌 것은?
     1. 이용지도
     2. 토양시비관리
     3. 안전관리
     4. 팸플릿 작성 및 포스터의 이용

     정답 : []
     정답률 : 70%
     <문제 해설>
토양시비관리 : 유지관리
[해설작성자 : 하늘이 맑은지]

71. 방동사니류 잡초에 해당하지 않는 것은?
     1. 올미
     2. 올방개
     3. 올챙이고랭이
     4. 바람하늘지기

     정답 : []
     정답률 : 52%
     <문제 해설>
올미는 광엽잡초에 해당합니다.
[해설작성자 : 태기태]

방동사니류 : 사초과
올미 : 택사과
[해설작성자 : 하늘이 맑은지]

72. 수목에 비료를 주는 방법 중 작업방법이 비교적 신속하고, 비료의 유실량(流失量)이 많다. 특히 토양 내로의 이동속도가 비교적 느린 양분에 적용하지 않는 것이 좋다. 즉 질소시비의 경우에는 이 방법이 좋으나, 인(P)이나 칼륨(K)에는 좋지 않은 시비방법은?
     1. 표토시비법
     2. 천공시비법
     3. 엽면시비법
     4. 수간주사법

     정답 : []
     정답률 : 60%

73. 일반적으로 시설물별 내용 년수로 옳은 것은?
     1. 벤치(플라스틱) : 5년
     2. 시계탑 : 10년
     3. 담장(로프 울타리) : 20년
     4. 테니스 코트(클레이코드) : 10년

     정답 : []
     정답률 : 59%
     <문제 해설>
벤치(플라스틱): 7년
담장(로프 울타리): 10년
시계탑은 15년입니다
[해설작성자 : 오류킬러]

74. 아스팔트 포장의 보수 및 시공 공법이 아닌 것은?
     1. 패칭공법
     2. 표면충전처리공법
     3. 표면실링공법
     4. 덧씌우기공법

     정답 : []
     정답률 : 46%
     <문제 해설>
아스팔트포장 보수 방법

1.패칭공법
· 균열,국부침하,부분 박리에 적용
· 파손부분을 사각형으로 따내어 제거 ->깨끗이 쓸어내고 택코팅 ->롤러, 래머,콤팩터 등으로 다지기 -> 표면에 모래,석분 살포 -> 표면 온도가 손을 댈 수 있을 정도일 때 교통 개방

2.표면충전처리공법
· 차량통행이 적고, 균열 정도 범위가 심각하지 않을 경우 메우거나 덮어 씌워 재생

3.표면실링공법

4.덧씌우기공법
· Overlay: 기본 포장을 재생, 새포장으로 조성
[해설작성자 : 강이아빠]

콘크리트의 균열을 보수하기 위한 방법은 표면실링공법과 절단공법이 있다.
표면실링공법: 미세한 비구조적균열(0.2mm이하의균열부에 적용)위에 도막을 형성하여 방수성,내구성을 향상시키는 목적으로 처리하는 공법
[해설작성자 : 갑순이든]

75. 다음 중 잎을 가해하는 식엽성 해충으로 분류되는 것은?
     1. 박쥐나방
     2. 도토리거위벌레
     3. 솔수염하늘소
     4. 대벌레

     정답 : []
     정답률 : 58%
     <문제 해설>
박쥐나방, 솔수염하늘소는 천공성 해충
도토리거위벌레는 종실해충입니다
[해설작성자 : 태기태]

76. 공사 기성고(旣成고) 곡선 중 원활하게 진행하고자 할 땐 어느 곡선이 가장 적절한가?

    

     1. 1
     2. 2
     3. 3
     4. 4

     정답 : []
     정답률 : 60%

77. 비탈면 보호공의 유지관리 항목 중에서 특히 방책기 중의 굴공, 낙석 또는 토사의 퇴적, 기초보의 풍화 또는 붕괴 들을 주로 점검해야 하는 비탈면 보호공은?
     1. 편책공
     2. 비탈면돌망태공
     3. 낙석방지망공
     4. 낙성방지책공

     정답 : []
     정답률 : 54%

78. 목재시설물의 관리 지침 중 적당하지 않은 것은?
     1. 원목은 옹이가 없는 것이 좋다.
     2. 썩는 것을 방지하기 위해 방부처리를 한다.
     3. 표면 방부처리 후 대패질을 부드럽게 만든다.
     4. 수축 및 균열을 방지하기 위해 충분히 건조시킨다.

     정답 : []
     정답률 : 73%
     <문제 해설>
3.방부처리 후 방부제 도포
[해설작성자 : comcbt.com 이용자]

79. 운영관리 고유의 업무 영역으로 분류하기 어려운 것은?
     1. 예산ㆍ재무 제도
     2. 조직관리
     3. 월동관리
     4. 재산관리

     정답 : []
     정답률 : 67%
     <문제 해설>
조경관리의 구분

1 유지관리 :조경수목과 시설물을 항상 이용에 용이하게 점검 보수하여 구성요소의 설치 목적에 따른 기능이 공공을 위한 서비스 제공을 원할히 하는 것이다.

2. 운영관리 : 이용 가능한 구성 요소를 더 효과적이고 안전하고 또 더 많은 사람이 이용하기 위한 방법으로 예산, 재무제도, 조직, 재산 등의 관리가 있다.
[해설작성자 : 강이아빠]

80. 수병치료를 위한 수간주사법에 대한 설명이 옳은 것은?
     1. 청명한 날의 낮 시간에 실시한다.
     2. 수간주사액은 주로 살균제 성분이다.
     3. 빗자루병의 치료에는 효과가 없다.
     4. 수피 두께 정도까지 바늘을 찌른다.

     정답 : []
     정답률 : 58%


정 답 지

1

2

3

4

5

6

7

8

9

10

11

12

13

14

15

16

17

18

19

20

21

22

23

24

25

26

27

28

29

30

31

32

33

34

35

36

37

38

39

40

41

42

43

44

45

46

47

48

49

50

51

52

53

54

55

56

57

58

59

60

61

62

63

64

65

66

67

68

69

70

71

72

73

74

75

76

77

78

79

80

조경산업기사 필기 기출문제(해설) 및 CBT 2016년03월06일을 이용해 주셔서 감사합니다.
, 필기, 기출문제, 전자문제집, CBT, 온라인, 모의테스트, 모의고사



List of Articles
번호 제목 글쓴이 날짜 조회 수
8959 조경산업기사 필기 기출문제(해설) 및 CBT 2018년09월15일(1804) 좋은아빠되기 2025.11.25 2
8958 조경산업기사 필기 기출문제(해설) 및 CBT 2018년04월28일(1803) 좋은아빠되기 2025.11.25 3
8957 조경산업기사 필기 기출문제(해설) 및 CBT 2018년03월04일(1802) 좋은아빠되기 2025.11.25 2
8956 조경산업기사 필기 기출문제(해설) 및 CBT 2017년09월23일(1801) 좋은아빠되기 2025.11.25 2
8955 조경산업기사 필기 기출문제(해설) 및 CBT 2017년05월07일(1800) 좋은아빠되기 2025.11.25 2
8954 조경산업기사 필기 기출문제(해설) 및 CBT 2017년03월05일(1799) 좋은아빠되기 2025.11.25 3
8953 조경산업기사 필기 기출문제(해설) 및 CBT 2016년10월01일(1798) 좋은아빠되기 2025.11.25 2
8952 조경산업기사 필기 기출문제(해설) 및 CBT 2016년05월08일(1797) 좋은아빠되기 2025.11.25 2
» 조경산업기사 필기 기출문제(해설) 및 CBT 2016년03월06일(1796) 좋은아빠되기 2025.11.25 2
8950 조경산업기사 필기 기출문제(해설) 및 CBT 2015년09월19일(1795) 좋은아빠되기 2025.11.25 4
8949 조경산업기사 필기 기출문제(해설) 및 CBT 2015년05월31일(1794) 좋은아빠되기 2025.11.25 2
8948 조경산업기사 필기 기출문제(해설) 및 CBT 2015년03월08일(1793) 좋은아빠되기 2025.11.25 1
8947 조경산업기사 필기 기출문제(해설) 및 CBT 2014년09월20일(1792) 좋은아빠되기 2025.11.25 2
8946 조경산업기사 필기 기출문제(해설) 및 CBT 2014년05월25일(1791) 좋은아빠되기 2025.11.25 3
8945 조경산업기사 필기 기출문제(해설) 및 CBT 2014년03월02일(1790) 좋은아빠되기 2025.11.25 2
8944 조경산업기사 필기 기출문제(해설) 및 CBT 2013년09월28일(1789) 좋은아빠되기 2025.11.25 4
8943 조경산업기사 필기 기출문제(해설) 및 CBT 2013년06월02일(1788) 좋은아빠되기 2025.11.25 2
8942 조경산업기사 필기 기출문제(해설) 및 CBT 2013년03월10일(1787) 좋은아빠되기 2025.11.25 2
8941 조경산업기사 필기 기출문제(해설) 및 CBT 2012년09월15일(1786) 좋은아빠되기 2025.11.25 2
8940 조경산업기사 필기 기출문제(해설) 및 CBT 2012년05월20일(1785) 좋은아빠되기 2025.11.25 3
Board Pagination Prev 1 ... 389 390 391 392 393 394 395 396 397 398 ... 841 Next
/ 841