자격증 필기 기출문제



에너지관리기사 필기 기출문제(해설) 및 CBT 2018년04월28일(1963)

최강 자격증 기출문제 전자문제집 CBT : www.comcbt.com


전자문제집 CBT란?

종이 문제집이 아닌 인터넷으로 문제를 풀고 자동으로 채점하며 모의고사, 오답 노트, 해설까지 제공하는
무료 기출문제 학습 프로그램으로 실제 상설검정에서 사용하는 OMR 형식의 CBT를 제공합니다.


최신 에너지관리기사 필기 기출문제 : [다운로드]

1과목 : 연소공학


1. 연도가스 분석결과 CO2 12.0%, O2 6.0%, CO 0.0%이라면 CO2 max는 몇 %인가?
     1. 13.8
     2. 14.8
     3. 15.8
     4. 16.8

     정답 : []
     정답률 : 68%
     <문제 해설>
CO_2(max)=0.21*(0.12)/(0.21-0.06)=0.0168 = 16.8%
[해설작성자 : comcbt.com 이용자]

연소가스 분석 결과로 CO2max계산
CO2max=(21×(CO2+CO))/(21-O2+(0.395×CO))
     CO가 0이면
CO2max=(21×CO2)/(21-O2)
들어가는 값은 %값 그대로 대입
                (21×12)/(21-6)=16.8%
[해설작성자 : 조로미]

2. 연소관리에 있어서 과잉공기량 조절 시 다음 중 최소가 되게 조절하여야 할 것은? (단, Ls:배가스에 의한 열손실량, Li:불완전연소에 의한 열손실량, Lc:연소에 의한 열손실량, Lr:열복사에 의한 열손실량일 때를 나타낸다.)
     1. Ls+Li
     2. Ls+Lr
     3. Li+Lc
     4. Li

     정답 : []
     정답률 : 77%
     <문제 해설>
보일러의 손실열량 항목 중에서 가장 큰 비중을 차지하는 것이 배기가스에 의한 열손실량,
다음이 불완전연소에 의한 열손실량이다.
[해설작성자 : 해임30]

3. 다음 중 분해폭발성 물질이 아닌 것은?
     1. 아세틸렌
     2. 히드라진
     3. 에틸렌
     4. 수소

     정답 : []
     정답률 : 64%
     <문제 해설>
수소의 연소반응식
H2+1/2 O2 > H20
[해설작성자 : CEFU-02]

분해폭발성물질
아세틸렌 하이드라진 (산화)에틸렌 5류위험물
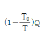
[해설작성자 : 원조로미]

분해폭발 물질
아세틸렌,산화에틸렌,히드라진,오존 등
[해설작성자 : Ls리]

4. 과잉공기량이 연소에 미치는 영향으로 가장 거리가 먼 것은?
     1. 열효율
     2. CO 배출량
     3. 노 내 온도
     4. 연소 시 와류 형성

     정답 : []
     정답률 : 76%
     <문제 해설>
1. 지나친 과잉공기는 온도를 낮추어 열효율을 감소시킨다.
2. 과잉공기량이 많을 수록 CO 배출량은 감소
3. 지나친 과잉공기는 노 내 온도를 감소시킨다.
4. 연소시 와류 형성은 연소실의 형상에 따라 좌우된다.
(차량의 경우 피스톤 헤드부분에 연료 입자와 공기가 균일 하게 혼합되도록 와류생성을 유도)
[해설작성자 : comcbt.com 이용자]

5. 최소착화에너지(MIE)의 특징에 대한 설명으로 옳은 것은?
     1. 질소농도의 증가는 최소착화에너지를 감소시킨다.
     2. 산소농도가 많아지면 최소착화에너지는 증가한다.
     3. 최소착화에너지는 압력증가에 따라 감소한다.
     4. 일반적으로 분진의 최소착화에너지는 가연성가스보다 작다.

     정답 : []
     정답률 : 65%
     <문제 해설>
1. 질소농도가 높으면 기체연료를 희석시킴
2. 산소농도가 많아지면 최소착화에너지는 감소
4. 가연성 가스가 분진보다 최소착화에너지가 작다
[해설작성자 : mehdi]

최소착화에너지는 점화하기 위한 최소한의 에너지를 말하는 것인데,
압력이 증가할수록 최소착화에너지는 감소한다.
[해설작성자 : 탄일팔칠]

6. 기체연료용 버너의 구성요소가 아닌 것은?
     1. 가스량 조절부
     2. 공기/가스 혼합부
     3. 보염부
     4. 통풍구

     정답 : []
     정답률 : 71%
     <문제 해설>
기체용 버너의 구성요소 = 가스량조절부 공기량조절부 공기가스혼합부 보염부 노즐
[해설작성자 : 박진호]

통풍구는 통풍장치 및 연소장치이다.
[해설작성자 : 미스터차]

가연성 기체를 연료로 공기를 혼합하여 연소시키는 연소기기를 말한다.
[해설작성자 : 아세히드에틸]

7. 다음 중 습식집진장치의 종류가 아닌 것은?
     1. 멀티클론(multiclone)
     2. 제트 스크러버(jet scrubber)
     3. 사이클론 스크러버(cyclone scrubber)
     4. 벤츄리 스크러버(venturi scrubber)

     정답 : []
     정답률 : 71%
     <문제 해설>
건식 집진장치 = (중력식 관성력식 원심력식 여과)집진장치
습식 집진장치 = (벤투리 제트 사이클론)스크레버, 충전탑(세정탑)
[해설작성자 : 박진호]

멀티클론은 건식집진장치에서 여러 개의 소형 사이클론을 병렬로 연결하여 사용하는 장치를 의미합니다.
[해설작성자 : 가스공기보염]

8. 다음 중 연소 전에 연료와 공기를 혼합하여 버너에서 연소하는 방식인 예혼합 연소방식버너의 종류가 아닌 것은?
     1. 저압버너
     2. 중압버너
     3. 고압버너
     4. 송풍버너

     정답 : []
     정답률 : 67%
     <문제 해설>
예혼합 연소방식 버너의 종류
1. 고압버너 : LPG, 부탄가스 등과 공기를 혼합하여 사용하는 버너로 가스압력을 0.2MPa이상으로 한다
2. 저압버너 : 분젠식 버너라 하며 가스를 노즐로부터 분출시켜 주위의 공기를 1차 공기로 흡입하는 방식이다
3. 송풍버너 : 연소용 공기를 가압하여 연소하는 형식의 버너로 고압버너와 마찬가지로 공기를 노즐로 분사함과 동시에 가스를 흡입 혼합하여 연소하는 형식이다
[해설작성자 : 원조로미]

예혼합 연소방식: 연소 전에 공기 또는 산소와 연소가스를 일정한 혼합비로 혼합시켜 연소시키는 방식
버너는 저압버너, 고압버너, 송풍버너가 있음
[해설작성자 : 저고송]

9. 연소가스에 들어 있는 성분을 CO2 , CmHn, O2, CO의 순서로 흡수 분리시킨 후 체적 변화로 조성을 구하고,이어 잔류가스에 공기나 산소를 혼합, 연소시켜 성분을 분석하는 기체연료 분석 방법은?
     1. 헴펠법
     2. 치환법
     3. 리비히법
     4. 에슈카법

     정답 : []
     정답률 : 78%
     <문제 해설>
CO2 수산화칼륨 30% 수용액
CmHn 무수황산 25% 포함 발연황산
O2 알칼리성 피로갈롤 용액
CO 암모니아성 염화제1구리 용액
[해설작성자 : 제트사이벤츄]

10. 다음 중 중유연소의 장점이 아닌 것은?
     1. 회분을 전혀 함유하지 않으므로 이것에 의한 장해는 없다.
     2. 점화 및 소화가 용이하며, 화력의 가감이 자유로워 부하 변동에 적용이 용이하다.
     3. 발열량이 석탄보다 크고, 과잉공기가 적어도 완전 연소시킬 수 있다.
     4. 재가 적게 남으며, 발열량, 품질 등이 고체연료에 비해 일정하다.

     정답 : []
     정답률 : 72%
     <문제 해설>
회분 일부 함유되어있음
[해설작성자 : 박진호]

11. 보일러실에 자연환기가 안될 때 실외로부터 공급하여야할 공기는 벙커C유 1L 당 최소 몇 Nm3이 필요한가? (단, 벙커C유의 이론공기량은 10.24Nm3/kg, 비중은 0.96, 연소장치의 공기비는 1.3으로 한다.)
     1. 11.34
     2. 12.78
     3. 15.69
     4. 17.85

     정답 : []
     정답률 : 63%
     <문제 해설>
d : 비중
최소공기량 = m * Ao *d
[해설작성자 : 아~몰라~~]

12. 수소가 완전 연소하여 물이 될 때 수소와 연소용 산소와 물의 몰(mol)비는?
     1. 1:1:1
     2. 1:2:1
     3. 2:1:2
     4. 2:1:3

     정답 : []
     정답률 : 86%

13. 버너에서 발생하는 역화의 방지대책과 거리가 먼 것은?
     1. 버너 온도를 높게 유지한다.
     2. 리프트 한계가 큰 버너를 사용한다.
     3. 다공 버너의 경우 각각의 연료분출구를 작게 한다.
     4. 연소용 공기를 분할 공급하여 일차공기를 착화범위보다 적게 한다.

     정답 : []
     정답률 : 69%
     <문제 해설>
버너 온도를 낮게 유지해야 한다
[해설작성자 : mehdi]

역화하는 버너에 온도까지 높으면 더 역화합니다
[해설작성자 : 버높역화]

14. 미분탄 연소의 특징이 아닌 것은?
     1. 큰 연소실이 필요하다.
     2. 마모부분이 많아 유지비가 많이 든다.
     3. 분쇄시설이나 분진처리시설이 필요하다.
     4. 중유연소기에 비해 소요 동력이 적게 필요하다.

     정답 : []
     정답률 : 76%
     <문제 해설>
중유 연소장치에 비해 소요동력이 많이 필요하고 소규모 보일러에 부적합
[해설작성자 : 안유진화이팅]

15. 등유(C10H20)를 연소시킬 때 필요한 이론공기량은 약 몇 Nm3/kg 인가?
     1. 15.6
     2. 13.5
     3. 11.4
     4. 9.2

     정답 : []
     정답률 : 56%
     <문제 해설>
C10H20 + 15O2 -> 10CO2 + 10H2O
140kg : 15*22.4Nm3 = 1kg : Oo
Ao=Oo/0.21
[해설작성자 : 학즉선]

C10H20+15O2 -> 10CO2+10H2O

1*15*22.4
ㅡㅡㅡㅡㅡ
140*0.21
=11.428
≒11.4
[해설작성자 : 역화방지버너온도낮게유지]

16. 다음 석탄의 성질 중 연소성과 가장 관계가 적은 것은?
     1. 비열
     2. 기공률
     3. 점결성
     4. 열전도율

     정답 : []
     정답률 : 68%
     <문제 해설>
점결성 : 석탄을 건류하는 과정에서 가스가 발산되면서 코크스와 되어 굳어지는 성질
[해설작성자 : keh715]

점결성 : 석탄이 탈 때에, 녹아서 엉겨 뭉쳐서 덩어리도 되는 성질.
[해설작성자 : mehdi]

석탄의 점결성은 코크스 제조와 관계된다.
[해설작성자 : 공일당일]

17. 연소상태에 따라 매연 및 먼지의 발생량이 달라진다. 다음 설명 중 잘못된 것은?
     1. 매연은 탄화수소가 분해 연소할 경우에 미연의 탄소입자가 모여서 된 것이다.
     2. 매연의 종류 중 질소산화물 발생을 방지하기 위해서는 과잉공기량을 늘리고 노내압을 높게 한다.
     3. 배기 먼지를 적게 배출하기 위한 건식집진장치는 사이클론, 멀티클론, 백필터 등이 있다.
     4. 먼지 입자는 연료에 포함된 회분의 양, 연소방식, 생산물질의 처리방법 등에 따라서 발생하는 것이다.

     정답 : []
     정답률 : 80%
     <문제 해설>
공기의 주 성분은 질소(79%)
과잉공기량을 늘리면 질소산화물 발생은 증가
[해설작성자 : mehdi]

매연의 종류 중 질소산화물 발생을 방지하기 위해서는 과잉공기량을 감소시키고 노내압을 낮게 유지한다.
[해설작성자 : 건환산회]

18. 액체연료 1kg 중에 같은 질량의 성분이 포함될 때, 다음 중 고위발열량에 가장 크게 기여하는 성분은?
     1. 수소
     2. 탄소
     3.
     4. 회분

     정답 : []
     정답률 : 76%
     <문제 해설>
산소와 반응하여 물(수증기)이 발생되는 수소성분
[해설작성자 : 역화방지버너온도]

19. 연소가스 중의 질소산화물 생성을 억제하기 위한 방법으로 틀린 것은?
     1. 2단 연소
     2. 고온 연소
     3. 농담 연소
     4. 배기가스 재순환 연소

     정답 : []
     정답률 : 78%
     <문제 해설>
2. 고온으로 연소하면 질소산화물 생성 증가
3. 농담연소 : 대기 오염을 유발하는 질소 산화물의 발생량을 감소하는 연소법
[해설작성자 : mehdi]

20. 프로판(Propane)가스 2kg을 완전 연소시킬 때 필요한 이론공기량은 약 몇 Nm3인가?
     1. 6
     2. 8
     3. 16
     4. 24

     정답 : []
     정답률 : 67%
     <문제 해설>
Oo = 2x5x22.4 / 44 = 5.09 [Nm3]
Ao = Oo/0.21 = 5.09 / 0.21 = 24.238 [Nm3]
[해설작성자 : 학즉선]

C3H8+5O2 -> 3CO2+4H2O

44:5*22.4=2:x
5*22.4*2
ㅡㅡㅡㅡ
44*0.21
=24.242
≒24
[해설작성자 : 고위성분수소]

2과목 : 열역학


21. 98.1kPa, 60℃에서 질소 2.3kg, 산소 1.8kg의 기체 혼합물이 등엔트로피 상태로 압축되어 압력이 343kPa로 되었다. 이 때 내부에너지 변화는 약 몇 kJ인가? (단, 혼합 기체의 정적비열은 0.711kJ/(kgㆍK)이고, 비열비는 1.4이다.)
     1. 325
     2. 417
     3. 498
     4. 562

     정답 : []
     정답률 : 49%
     <문제 해설>
dU = Cv * dT
Cv는 주어졌으므로 온도변화만 알면 됨
T2/T1=(P2/P1)^((r-1)/r) // r은 비열비
T2=476.174K, T1=333K, dT = T2-T1=143.174K
따라서 dU = Cv*dT= 0.711kJ/kg*K * 143.174K = 101.7967kJ/kg, 총 기체 혼합물 질량은 4.1kg이니까 곱하면 417kJ
[해설작성자 : 전기기사 10일컷]

22. 온도가 800K이고 질량이 10kg인 구리를 온도 290K인 100kg의 물 속에 넣었을 때 이계 전체의 엔트로피 변화는 몇 kJ/K인가? (단, 구리와 물의 비열은 각각 0.398kJ(kgㆍK), 4.185kJ/(kgㆍK)이고, 물은 단열된 용기에 담겨 있다.)
     1. -3.973
     2. 2.897
     3. 4.424
     4. 6.870

     정답 : []
     정답률 : 49%
     <문제 해설>
평균온도T= m1c1T1 +m2c2T2/(m1c1+m2c2) = 294.8K
엔트로피 = m1c1ln(294.8/800) + m2c2ln(294.8/290) = 2.8969kJ/K
[해설작성자 : 박진호]

ΔS = ΔS1 + ΔS2
[해설작성자 : 아~몰라~~]

23. 비압축성 유체의 체적팽창계수 β에 대한 식으로 옳은 것은?
     1. β=0
     2. β=1
     3. β>0
     4. β>1

     정답 : []
     정답률 : 57%
     <문제 해설>
비압축성유체 = 밀도가 일정 = 체적변화가없는유체 = 체적팽창계수가 0
[해설작성자 : 박진호]

비압축성 유체의 체적팽창계수는 유체의 압력 변화에 대한 저항 정도를 나타내는 지표입니다.
[해설작성자 : 고위성분수소]

24. 압력 200kPa, 체적 1.66m3의 상태에 있는 기체가 정압조건에서 초기 체적의 1/2로 줄었을 때 이 기체가 행한 일은 약 몇 kJ인가?
     1. -166
     2. -198.5
     3. -236
     4. -245.5

     정답 : []
     정답률 : 57%
     <문제 해설>
200*(1/2-1)*1.66
= -166kJ
[해설작성자 : 터빈]

Pa = N/m2 = N.m/m3 = J/m3
KPa = KJ/m3
W = P(V2- V1)    
    
    = 200(1.66/2 - 1.66) = - 166 KJ
[해설작성자 : 아~몰라~~]

25. 실린더 속에 100g의 기체가 있다. 이 기체가 피스톤의 압축에 따라서 2kJ의 일을 받고 외부로 3kJ의 열을 방출했다. 이 기체의 단위 kg 당 내부에너지는 어떻게 변화하는가?
     1. 1kJ/kg 증가한다.
     2. 1kJ/kg 감소한다.
     3. 10kJ/kg 증가한다.
     4. 10kJ/kg 감소한다.

     정답 : []
     정답률 : 57%
     <문제 해설>
dU=dQ+dW=-3+2=-1kJ/100=-10kJ/kg
[해설작성자 : 전]

100g=0.1kg
전체 열량=2+3=5kJ
전체 내부에너지=3-2=1kJ 감소
단위 kg당 내부에너지=1/0.1=10kJ/kg 감소
[해설작성자 : 이팔공공공]

(2-3)         1000
ㅡㅡㅡ * ㅡㅡㅡ
100             1
= -10
[해설작성자 : 고위성분수소]

26. 인정한 질량유량으로 수평하게 증기가 흐르는 노즐이 있다. 노즐 입구에서 엔탈피는 3205kJ/kg이고, 증기 속도는 15m/s이다. 노즐 출구에서의 증기 엔탈피가 2994kJ/kg일 때 노즐 출구에서의 증기의 속도는 약 몇 m/s 인가? (단, 정상상태로서 외부와의 열교환은 없다고 가정한다.)
     1. 500
     2. 550
     3. 600
     4. 650

     정답 : []
     정답률 : 39%
     <문제 해설>
E=엔탈피+운동에너지+위치에너지=h + v^2/2 + gz
외부와 열교환 없으므로 Ei=Eo
hi + vi^2/2 + gzi = ho + vo^2/2 + gzo
수평흐름이므로 zi = zo

vo^2(m/s)= ( 2(hi-ho) + vi^2/2 ) ^ 1/2
                 = ( (2*3205-2994)*1000 + 15^2/2 ) ^ 1/2 = 650m/s
[해설작성자 : 전기기사 10일컷]

노즐 출구속도(W2)
W2 = 루트2·g·102(h1-h2)
= 루트2*9.8*102(3205-2994)
=649.48
[해설작성자 : 미스터차]

v2 = √(2(h1-h2) + V12)                        
         = √(2(3205-2994)*103+152)                    
         = 649.788 (m/s)                                        
[해설작성자 : 아~몰라~~]

27. 공기를 작동유체로 하는 Diesel cycle의 온도범위가 32℃~3200℃이고 이 cycle의 최고 압력이 6.5MPa, 최초 압력이 160kPa일 경우 열효율은 약 얼마인가? (단, 공기의 비열비는 1.4이다.)
     1. 41.4%
     2. 46.5%
     3. 50.9%
     4. 55.8%

     정답 : []
     정답률 : 35%
     <문제 해설>
1. 압축비 계산
ε = (P2/P1)^(1/k) = (6.5/0.16)^(1/1.4) = 14.097
2. 단절비 계산
σ= T3/(T1 x ε^(k-1)) = (273+3200)/((273+32)x14.1^(1.4-1)) = 3.95
3. 열효율 계산
η={1-(1/ε)^(k-1) x (σ^k - 1)/(k(σ-1))} x 100
    = 50.91%
[해설작성자 : 학즉선]

28. 그림과 같은 카르노 냉동 사이클에서 성적 계수는 약 얼마인가? (단, 각 사이클에서의 엔탈피(h)는 h1=h4=98kJ/kg,h2=231kJ/kg, h3=282kJ/kg이다.)

    

     1. 1.9
     2. 2.3
     3. 2.6
     4. 3.3

     정답 : []
     정답률 : 52%
     <문제 해설>
COP=q/Aw=(231-98)/(282-231)=2.6
[해설작성자 : 장롱]

Q2            h2 - h1        231 - 98
COPr = ----- = --------- = ----------
                W             h3 - h2        282 - 231
                                                 = 2.607
[해설작성자 : 아~몰라~~]

                 Q2        h2 - h1            231 - 98                                            
COPr = ----- = --------- = ----------                                
                 W         h3 - h2            282 - 231                                    
                                                = 2.607
[해설작성자 : comcbt.com 이용자]

231-98
ㅡㅡㅡㅡ
282+231
=2.607
≒2.6
[해설작성자 : 역화방지버너온도낮게유지]

29. 밀폐계에서 비가역 단열과정에 대한 엔트로피 변화를 옳게 나타낸 식은? (단, S는 엔트로피, CP는 정압비열, T는 온도, R은 기체상수, P는 압력, Q는 열량을 나타낸다.)
     1. dS=0
     2. dS>0
     3.
     4.

     정답 : []
     정답률 : 63%
     <문제 해설>
비가역 = 엔트로피 증가
[해설작성자 : 박진호]

30. 압력이 1000kPa이고 은도가 400℃인 과열증기의 엔탈피는 약 몇 kJ/kg인가? (단, 압력이 1000kPa일 때 포화온도는 179.1℃, 포화증기의 엔탈피는 2775kJ/kg이고, 과열증기의 평균비열은 2.2kJ/(kgㆍK)이다.)
     1. 1547
     2. 2452
     3. 3261
     4. 4453

     정답 : []
     정답률 : 37%
     <문제 해설>
2775+(400-179.1)*2.2
온도차필요한거라 켈빈으로 환산 안햇음
[해설작성자 : 전기기사 10일컷]

과열증기 엔탈피
=발생증기엔탈피+증기비열(과열증기온도-포화증기온도)
=2775+2.2(400-179.1)=3261kJ/kg
[해설작성자 : 안옥제]

31. 표준 증기압축 냉동사이클을 설명한 것으로 옳지 않은 것은?
     1. 압축과정에서는 기체상태의 냉매가 단열압축되어 고온고압의 상태가 된다.
     2. 증발과정에서는 일정한 압력상태에서 저온부로부터 열을 공급 받아 냉매가 증발한다.
     3. 응축과정에서는 냉매의 압력이 일정하며 주위로의 연방출을 통해 냉매가 포화액으로 변한다.
     4. 팽창과정은 단열상태에서 일어나며, 대부분 등엔트로피 팽창을 한다.

     정답 : []
     정답률 : 58%
     <문제 해설>
팽창과정은 고온,고압의 냉매액을 증발기에서 증발하기 쉽도록 하기 위하여 저온,저압의 액으로 교축팽창 시키는 역할
엔탈피가 일정한 등 엔탈피 과정
[해설작성자 : 윤쭌아빠]

32. 이상기체를 등온과정으로 초기 체적의 1/2로 압축하려 한다. 이때 필요한 압축일의 크기는? (단, m은 질량, R은 기체상수, T는 온도이다.)
     1. 1/2mRT×ln2
     2. mRT×ln2
     3. 2mRT×ln2
     4.

     정답 : []
     정답률 : 58%
     <문제 해설>
W = m*P1*v1*ln(P1/P2) = MP1*V1*ln(V2/V1)
V2 = 1/2V1
m*R*T1*ln(1/2)
[해설작성자 : 아~몰라~~]

33. 이상기체 1mol이 그림의 b 과정(2 → 3 과정)을 따를 때 내부에너지의 변화량은 약 몇 J 인가? (단, 정적비열은 1.5×R이고, 기체상수 R은 8.314kJ/(kmolㆍK) 이다.)

    

     1. -333
     2. -665
     3. -998
     4. -1662

     정답 : []
     정답률 : 54%
     <문제 해설>
1. du = u2-u1 = Cv(T2-T1) = (1.5R)x(T2-T1)
            = (1.5x8.314)x{(273+70)-(273+50)}
            = -997.68 [J]
[해설작성자 : 학즉선]

내부에너지 변화량(△u)
△u=1.5*R=1.5*8.314*(70-150=-998J
[해설작성자 : 차연준]

1.5*8.314*((273+70)-(273+150))=
[해설작성자 : 솔잎2]

34. 다음 온도(T)-엔트로피(s) 선도에 나타난 랭킨(Rankine) 사이클의 효율을 바르게 나타낸 것은?

    

     1.
     2.
     3.
     4.

     정답 : []
     정답률 : 64%
     <문제 해설>
효율 = 터빈이하는일(Wt) / 공급열량(Q1) = 면적1-2-3-4-1 / 면적5-2-3-6-5
[해설작성자 : 박진호]

온도(T)-엔트로피(s) 선도에 나타난 랭킨(Rankine) 사이클의 효율

면적 1-2-3-4-1
ㅡㅡㅡㅡㅡㅡㅡㅡ
면적 5-2-3-6-5
[해설작성자 : 역화방지버너온도낮게유지]

35. 어떤 기체의 이상기체상수는 2.08kJ/(kgㆍK)이고 정압비열은 5.24kJ/(kgㆍK)일 때, 이 가스의 정적비열은 약 몇 kJ/(kgㆍK)인가?
     1. 2.18
     2. 3.16
     3. 5.07
     4. 7.20

     정답 : []
     정답률 : 67%
     <문제 해설>
Cp-Cv=R
Cv = Cp-R = 5.24-2.08 = 3.16
[해설작성자 : 학즉선]

36. Rankine cycled 4개 과정으로 옳은 것은?
     1. 가역단열팽창 → 정압방열 → 가역단열압축 → 정압가열
     2. 가역단열팽창 → 가역단열압축 → 정압가열 → 정압방열
     3. 정압가열 → 정압방열 → 가역단열압축 → 가역단열팽창
     4. 정압방열 → 정압가열 → 가역단열압축 → 가역단열팽창

     정답 : []
     정답률 : 80%

37. 동일한 온도, 압력 조건에서 포화수 1kg과 포화증기 4kg을 혼합하여 습증기가 되었을 이 증기의 건도는?
     1. 20%
     2. 25%
     3. 75%
     4. 80%

     정답 : []
     정답률 : 59%
     <문제 해설>
포화수의 건도 0
포화증기의 건도 1

(0*1 + 1*4 ) / 1 + 4 = 0.8
[해설작성자 : mehdi]

x = (Gw / Ga) x 100 = (4/4+1) x 100 = 80 [%]
[해설작성자 : 학즉선]

4
ㅡㅡ * 100
4+1
=80%
[해설작성자 : 역화방지버너온도낮게유지]

38. 냉동기에 사용되는 냉매의 구비조건으로 옳지 않은 것은?
     1. 응고점이 낮을 것
     2. 액체의 표면장력이 작을 것
     3. 임계점(critical point)이 낮을 것
     4. 비열비가 작을 것

     정답 : []
     정답률 : 63%
     <문제 해설>
*냉매 구비조건 : ↑증발열(잠열) 증기비열 열전도율 전기저항 임계온도 동작계수
↓응고점 응고온도 비체적 비열 표면장력 점성계수 작동온도에서포화압력
증발 읍축 압력 적당히
[해설작성자 : 박진호]

냉매는 임계점이 높아야 액화가 용이하여 잠열을 사용할 수 있다.
[해설작성자 : 하나의 상]

39. 다음 중 포화액과 포화증기의 비엔트로피 변화량에 대한 설명으로 옳은 것은?
     1. 온도가 올라가면 포화액의 비엔트로피는 감소하고 포화증기의 비엔트로피는 증가한다.
     2. 온도가 올라가면 포화액의 비엔트로피는 증가하고 포화증기의 비엔트로피는 감소한다.
     3. 온도가 올라가면 포화액과 포화증기의 비엔트로피는 감소한다.
     4. 온도가 올라가면 포화액과 포화증기의 비엔트로피는 증가한다.

     정답 : []
     정답률 : 60%
     <문제 해설>
온도증가 - 포화액비엔트로피증가 - 포화증기증발잠열감소 - 포화증기 비엔트로피감소
[해설작성자 : 박진호]

온도가 올라가면 포화액의 비엔트로피는 증가하지만
포화증기는 증발잠열이 감소하기 때문에 비엔트로피는 감소한다.
[해설작성자 : 역화방지버너온도낮게유지]

40. 다음 공기 표준 사이클(air standard cycle) 중 두 개의 등온과정과 두 개의 정압과정으로 구성된 사이클은?
     1. 디젤(Diesel) 사이클
     2. 사바테(Sabathe) 사이클
     3. 에릭슨(Ericsson) 사이클
     4. 스터링(Stirling) 사이클

     정답 : []
     정답률 : 70%
     <문제 해설>
에릭슨사이클 ; 등온압축-정압가열-등온팽창-정압방열
오토사이클 ; 단열압축-정적가열-단열팽창-정적방열
[해설작성자 : 원조로미]

2개의 등온과정과 2개의 정압과정으로 구성된 가스 사이클의 이상 사이클로 실현이 불가능한 사이클이다.
[해설작성자 : 등온정압에릭슨]

3과목 : 계측방법


41. 다음 중 계량단위에 대한 일반적인 요건으로 가장 적절하지 않은 것은?
     1. 정확한 기준이 있을 것
     2. 사용하기 편리하고 알기 쉬울 것
     3. 대부분의 계량단위를 60진법으로 할 것
     4. 보편적이고 확고한 기반을 가진 안정된 원기가 있을 것

     정답 : []
     정답률 : 84%
     <문제 해설>
대부분의 계량단위 10진법이다.
[해설작성자 : ㅂ ㅅ ㅇ ]

42. 다음 중 송풍량을 일정하게 공급하려고 할 때 가장 적당한 제어방식은?
     1. 프로그램제어
     2. 비율제어
     3. 추종제어
     4. 정치제어

     정답 : []
     정답률 : 73%
     <문제 해설>
정치제어는 목표값이 시간에 따라 일정한값
[해설작성자 : ㅂ ㅅ ㅇ ]

정치제어 : 목표값이 시간의변화 외부조건의 영향을 받지않고 일정한값으로 제어되는방식으로 보일러 냉난방장치의 압력제어 급수탱크의 액면제어 일정한 송풍량 등에 사용되는 제어방식
[해설작성자 : 박진호]

(고)정(수)치 제어
[해설작성자 : 들상]

43. 다음 중 오리피스(orifice), 벤투리관(venturi tube)을 이용하여 유량을 측정하고자 할 때 요한 값으로 가장 적절한 것은?
     1. 측정기구 전후의 압력차
     2. 측정기구 전후의 온도차
     3. 측정기구 입구에 가해지는 압력
     4. 측정기구의 출구 압력

     정답 : []
     정답률 : 80%

44. 다음 가스분석 방법 중 물리적 성질을 이용한 것이 아닌 것은?
     1. 밀도법
     2. 연소열법
     3. 열전도율법
     4. 가스크로마토그래프법

     정답 : []
     정답률 : 58%
     <문제 해설>
화학식 가스분석계
오자르트 헴펠 연소열 미연소가스계 자동화학식계
[해설작성자 : ㅂ ㅅ ㅇ ]

45. 다음 중 공기식 전송을 하는 계장용 압력계의 공기압신호는 몇 kg/cm2인가?
     1. 0.2~1.0
     2. 1.5~2.5
     3. 3~5
     4. 4~20

     정답 : []
     정답률 : 63%
     <문제 해설>
공기압식 압력 = 0.2~1kgf/cm^2
전송거리 = 100~150m
[해설작성자 : 박진호]

46. 열전대 온도계의 보호관 중 상용 사용온도가 약 1000℃이며, 내열성, 내산성이 우수하나 환원성 가스에 기밀성이 약간 떨어지는 것은?
     1. 카보런덤관
     2. 자기관
     3. 석영관
     4. 황동관

     정답 : []
     정답률 : 60%
     <문제 해설>
카보램던관 1600
자기관 1450
석영관 1000
황동관 400
[해설작성자 : 보세요]

보호관은 열전대나 측온저항체 등의 온도센서는 소자 자체로는 기계적 및 화학적으로 약하기 때문에 피측온물이나 공업용으로 사용하는 경우에는 금속이나 세라믹스 또는 플라스틱의 긴 통에 넣어 직접적으로 접촉하지 않도록 보호하는 것을 목적으로 사용되는 관입니다.
[해설작성자 : 산성우수석영]

47. 베르누이 정리를 응용하며 유량을 측정하는 방법으로 액체의 전압과 전압과의 차로부터 순간치 유량을 측정하는 유량계는?
     1. 로터미터
     2. 피토관
     3. 임펠러
     4. 휘트스톤 브릿지

     정답 : []
     정답률 : 71%

48. 다음 그림과 같은 U자관에서 유도되는 식은?

    

     1. P1=P2-h
     2. h=γ(P1-P2)
     3. P1+P2=γh
     4. P1=P2+γh

     정답 : []
     정답률 : 57%
     <문제 해설>
P1이 P2보다 h만큼 아래에있으므로 더많은 부력받음
부력 = 비중량*높이 이므로
P1=P2+감마h
[해설작성자 : 박진호]

P1-P2=rh
P1=P2+rh
[해설작성자 : 산성우수석영]

49. 온도계의 동작 지연에 있어서 온도계의 최초 지시치가 To(℃), 측정한 온도가 x(℃)일때, 온도계 지시치 T(℃)와 시간 τ와의 관계식은? (단, λ는 시정수이다.)
     1. dT/dτ=(x-To)/λ
     2. dT/dτ=λ/(x-To)
     3. dT/dτ=(λ-x)/To
     4. dT/dτ=To/(λ-x)

     정답 : []
     정답률 : 58%
     <문제 해설>
dT         x-To
ㅡㅡ = ㅡㅡㅡㅡ
dt             ㅅ
[해설작성자 : 산성우수석영]

50. 다음 집진장치 중 코트렐식과 관계가 있는 방식으로 코로나 방전을 일으키는 것과 관련 있는 집진기로 가장 적절한 것은?
     1. 전기식 집진기
     2. 세정식 집진기
     3. 원심식 집진기
     4. 사이클론 집진기

     정답 : []
     정답률 : 73%
     <문제 해설>
전기식 집진장치는 코트렐식이 대표적이다.(코로나 방전을 이용한다.)
[해설작성자 : 이칠삼]

전기식 집진기는 대기 중의 입자상 물질을 제거하기 위해 전기장을 이용하는 장치입니다.
[해설작성자 : 코로나전기식]

51. U자관 압력계에 사용되는 액주의 구비조건이 아닌 것은?
     1. 열팽창계수가 작을 것
     2. 모세관현상이 적을 것
     3. 화학적으로 안정될 것
     4. 점도가 클 것

     정답 : []
     정답률 : 79%
     <문제 해설>
U자관 압력계에 사용되는 액주의 구비조건
1. 열평창계수가 작을 것
2. 모세관현상이 적을 것
3. 화학적으로 안정되고 점도가 적을 것

52. 다음 중 비접촉식 온도계는?
     1. 색온도계
     2. 저항온도계
     3. 압력식온도계
     4. 유리온도계

     정답 : []
     정답률 : 78%
     <문제 해설>
비접촉식온도계
- 색 광고 광전관 방사온도계
[해설작성자 : ㅂㅅㅇ]

53. 20ℓ인 물의 온도를 15℃에서 80℃로 상승시키는 데 필요한 열량은 약 몇 kJ 인가?
     1. 4680
     2. 5442
     3. 6320
     4. 6860

     정답 : []
     정답률 : 58%
     <문제 해설>
물의 비열 4.186kJ/kgK 로 계산하셔야 정확합니다.
물의 현열(Q)=20*4.186*(80-15)
=5,442kJ
[해설작성자 : 밀도차]

Q=G*C*△t
비중과 온도는 주어졌고, 비열(C)은 4.185로 적용한다.
[해설작성자 : 코로나전기식]

54. 1차 제어 장치가 제어량을 측정하여 제어 명령을 발하고 2차 제어 장치가 이 명령을 바탕으로 제어량을 조절할 때, 다음 중 측정 제어로 가장 적절한 것은?
     1. 주치제어
     2. 프로그램제어
     3. 캐스케이드제어
     4. 시퀀스제어

     정답 : []
     정답률 : 81%

55. 다음 중 용적식 유량계에 해당하는 것은?
     1. 오리피스미터
     2. 습식가스미터
     3. 로터미터
     4. 피토관

     정답 : []
     정답률 : 48%
     <문제 해설>
용적식 - 건식습식오벌터빈루트
면적식 - 로터미터
유속식 - 피토관
[해설작성자 : ㅂㅅㅇ]

오리피스 - 차압식
[해설작성자 : comcbt.com 이용자]

56. 열전대 온도계 보호관 중 내열강 SEH-5에 대한 설명으로 옳지 않은 것은?
     1. 내식성, 내열성 및 강도가 좋다.
     2. 자기관에 비해 저온측정에 사용된다.
     3. 유황가스 및 산화염에도 사용이 가능하다.
     4. 상용온도는 800℃이고 최고 사용 온도는 850℃까지 가능하다.

     정답 : []
     정답률 : 63%
     <문제 해설>
내열강금속보호관 1000~1200
[해설작성자 : ㅂㅅㅇ]

57. 다음 용어에 대한 설명으로 옳지 않은 것은?
     1. 측정량:측정하고자 하는 양
     2. 값:양의 크기를 함께 수화 기준
     3. 제어편차:목표치에 제어량을 더한 값
     4. 양:수와 기준으로 표시할 수 있는 크기를 갖는 현상이나 물체 또는 물질의 성질

     정답 : []
     정답률 : 78%
     <문제 해설>
제어 편차 : 목표량과 제어량의 차이
[해설작성자 : mehdi]

58. 다음 중 가스의 열전도율이 가장 큰 것은?
     1. 공기
     2. 메탄
     3. 수소
     4. 이산화탄소

     정답 : []
     정답률 : 71%
     <문제 해설>
일반적으로 기체의 열전도율은 분자량이 작을수록 크다
수소는 분자량이 2로 기체중 분자량이 가장 작으므로 열전도율이 가장 크다
[해설작성자 : 박진호]

59. 다음 중 수분 흡수법에 의해 습도를 측정할 때 흡수제로 사용하기에 가장 적절하지 않은 것은?
     1. 오산화인
     2. 피크린산
     3. 실리카겔
     4. 황산

     정답 : []
     정답률 : 56%
     <문제 해설>
피크린산은 매실에 있는 성분이다.
[해설작성자 : ㅂ ㅅ ㅇ ]

60. 페루프를 형성하여 출력측의 신호를 입력측에 되돌리는 제어를 의미하는 것은?
     1. 뱅뱅
     2. 리셋
     3. 시퀀스
     4. 피드백

     정답 : []
     정답률 : 82%
     <문제 해설>
되돌리는 - 피드백
[해설작성자 : 장롱]

4과목 : 열설비재료 및 관계법규


61. 에너지이용 합리화법에 따라 냉난방온도의 제한온도 기준 및 건물의 지정기준에 대한 설명으로 틀린 것은?
     1. 공공기관의 건물은 냉방온도 26℃ 이상, 난방온도 20℃ 이하의 제한온도를 둔다.
     2. 판매시설 및 공항은 냉방온도의 제한온도는 25℃ 이상으로 한다.
     3. 숙박시설 중 객실 내부 구역은 냉방온도의 제한온도는 25℃ 이상으로 한다.
     4. 의료법에 의한 의료기관의 실내구역은 제한온도를 적용하지 않을 수 있다.

     정답 : []
     정답률 : 74%
     <문제 해설>
숙박시설 및 객실 내부구역은 제한온도를 적용하지 않는다.
[해설작성자 : 대협천재]

62. 에너지이용 합리화법에 따라 자발적 협약체결기업에 대한 지원을 받기 위해 에너지 사용자와 정부 간 자발적 협약의 평가기준에 해당하지 않는 것은?
     1. 에너지 절감량 또는 온실가스 배출 감축량
     2. 계획 대비 달성률 및 투자실적
     3. 자원 및 에너지의 재활용 노력
     4. 에너지이용합리화자금 활용실적

     정답 : []
     정답률 : 68%

63. 에너지이용 합리화법에서 목표에너지원단위란 무엇인가?
     1. 연료의 단위당 제품생산목표량
     2. 제품의 단위당 에너지사용목표량
     3. 제품의 생산목표량
     4. 목표량에 맞는 에너지사용량

     정답 : []
     정답률 : 75%

64. 작업이 간편하고 조업주기가 단축되며 요체의 보유열을 이용할 수 있어 경제적인 반연속식 요는?
     1. 셔틀요
     2. 윤요
     3. 터널요
     4. 도염식요

     정답 : []
     정답률 : 75%
     <문제 해설>
셔틀요 반연속식요
[해설작성자 : 장롱]

65. 연료를 사용하지 않고 용선의 보유열과 용선속 불순물의 산화열에 의해서 노 내 온도를 유지하며 용강을 얻는 것은?
     1. 평로
     2. 고로
     3. 반사로
     4. 전로

     정답 : []
     정답률 : 63%
     <문제 해설>
전로는 쇳물인 용선 안으로 공기나 산소 를 불어넣어
용선 안의 탄소가 이산화탄소나 일산화탄소 가스 상태로 배출되게 한다.
[해설작성자 : 보유산화용강전로]

66. 에너지이용 합리화법에 따른 검사 대상기기에 해당하지 않는 것은?
     1. 가스 사용량이 17kg/h를 초과하는 소형온수보일러
     2. 정격용량이 0.58MW를 초과하는 철금속가열로
     3. 온수를 발생시키는 보일러로서 대기개방형인 주철제 보일러
     4. 최고사용압력이 0.2MPa를 초과하는 증기를 보유하는 용기로서 내용적이 0.004m3 이상인 용기

     정답 : []
     정답률 : 58%
     <문제 해설>
아래와 같은 오류 신고가 있었습니다.
여러분들의 많은 의견 부탁 드립니다.
추후 여러분들의 의견을 반영하여 정답을 수정하도록 하겠습니다.
참고로 정답 변경은 오류 신고 5회 이상일 경우 수정합니다.

[오류 신고 내용]

정답 4번이 아니라 3번
[해설작성자 : JG]

[추가 오류 신고]

3,4번 모두정답임
[해설작성자 : 11]

[오류신고 반론]
정답 4번임. 3번은 강철제,주철제 보일러 온수발생시키는 보일러 로써 대기개방형인것은 검사대상기기가 맞음.
[해설작성자 : 에너지따자]

[추가 오류 신고]
온수를 발생시키는 보일러로서 대기개방형인 주철제보일러는 적용범위에서 제외되는 것이므로 3번은 확실한 답이 됩니다.
[해설작성자 : 직접찾아봄]

[오류신고 반론]
4번 정답. 에너지이용 합리화법 시행규칙 직접 찾아봄.
온수발생 대기개방형인 주철제 보일러는 검사대상기기에 포함됨.
[해설작성자 : 에효~~~]

[오류신고 반론]
출처 : 에너지이용 합리화법 시행규칙 별표 3의 3, 별표 1
4. 0.004-> 0.04
나머지는 모두 해당합니다.
[해설작성자 : 강지원]

[오류신고 반론]
[오류신고 반론]
에너지이용합리화법 시행규칙 별표 3.3 검사대상기기에서 강철제,주철제 보일러의 적용범위를 보면


다음 각 호의 어느 하나에 해당하는 것은 "제외"한다.

제외한다라고 적혀있음

다음 각 호의 어느 하나에 해당하는 것은 제외한다.
1. 최고사용압력이 0.1MPa 이하이고, 동체의 안지름이 300미리미터 이하이며, 길이가 600미리미터 이하인 것
2. 최고사용압력이 0.1MPa 이하이고, 전열면적
이 5제곱미터 이하인 것
3. 2종 관류보일러
4. 온수를 발생시키는 보일러로서 대기개방형인것 <---------

3번은 확실한 정답이 맞습니다.
[해설작성자 : 개사마님]

67. 외경 65mm의 증기관이 수평으로 설치되어 있다. 증기관의 보온된 표면온도는 55℃, 외기온도는 20℃일 때 관의 열 손실량(W)은? (단, 이 때 복사열은 무시한다.)
     1. 29.5
     2. 36.6
     3. 44.0
     4. 60.0

     정답 : []
     정답률 : 40%
     <문제 해설>
L = 1m
λ = 0.03W/m℃
T1 = 55℃
T2 = 20℃
r1 = 65mm / 1000 = 0.065m
r2 = r1 + (2 * L) = 0.065m + (2 * 1m) = 2.065m
따라서, 열손실량 Q는 다음과 같습니다.
Q = 2πLλ(T1 - T2) / ln(r2 / r1)
Q ≈ **44W**
따라서, 증기관의 열 손실량은 약 44W입니다.
[해설작성자 : 이건모를걸]

68. 에너지법에서 정의하는 용어에 대한 설명으로 틀린 것은?
     1. “에너지사용자”란 에너지사용시설의 소유자 또는 관리자를 말한다.
     2. “에너지사용시설”이란 에너지를 사용하는 공장, 사업장 등의 시설이나 에너지를 전환하여 사용하는 시설을 말한다.
     3. “에너지공급자”란 에너지를 생산, 수입, 전환, 수송, 저장, 판매하는 사업자를 말한다.
     4. “연료”란 석유, 석탄, 대체에너지 기타 열 등으로 제품의 원료로 사용되는 것을 말한다.

     정답 : []
     정답률 : 60%
     <문제 해설>
연료는 석유,가스,석탄 그 밖에 열을 발생하는 열원을 말하는데
제품의 연료로 사용하는 것은 제외한다.
[해설작성자 : 차연준]

연료는 보통 태워서 에너지를 만들어내는 물질을 말한다. 휘발유, 등유, 경유, 연탄 등이 있다.
[해설작성자 : 보유산화용강전로]

69. 관로의 마찰손실수두의 관계에 대한 설명으로 틀린 것은?
     1. 유체의 비중량에 반비례한다.
     2. 관 지름에 반비례한다.
     3. 유체의 속도에 비례한다.
     4. 관 길이에 비례한다.

     정답 : []
     정답률 : 40%
     <문제 해설>
[가답안은 1번이었으나, 확정답안은 3번으로 변경되었습니다.]

유체의 속도의 제곱에 비례하기때문에 3번이 정답입니다.
[해설작성자 : 대협천재]

70. 다음 열사용기자재에 대한 설명으로 가장 적절한 것은?
     1. 연료 및 열을 사용하는 기기, 축열식 전기기기와 단열성 자재를 말한다.
     2. 일명 특정 열사용기자재라고도 한다.
     3. 연료 및 열을 사용하는 기기만을 말한다.
     4. 기기의 설치 및 시공에 있어 안전관리, 위해방지 또는 에너지이용의 효율관리가 특히 필요하다고 인정되는 기자재를 말한다.

     정답 : []
     정답률 : 58%
     <문제 해설>
열사용기자재 검사대상기기는 고온고압의 증기나 온수를 보유하고 있는
보일러와 압력용기, 그리고 다량의 에너지를 소비하는 일정 규모 이상의 기기를 포함합니다.
[해설작성자 : 보유산화용강전로]

71. 에너지이용 합리화법에 따라 검사대상기기의 설치자가 사용 중인 검사대상기기를 폐기한 경우에는 폐기한 날부터 최대 며칠 이내에 검사대상기기 폐기신고서를 한국에너지공단이사장에게 제출하여야 하는가?
     1. 7일
     2. 10일
     3. 15일
     4. 200일

     정답 : []
     정답률 : 69%

72. 다이어프램 밸브(diaphragm valve)에 대한 설명으로 틀린 것은?
     1. 화학약품을 차단함으로써 금속부분의 부식을 방지한다.
     2. 기밀을 유지하기 위한 패킹을 필요로 하지 않는다.
     3. 저항이 적어 유체의 흐름이 원활하다.
     4. 유체가 일정 이상의 압력이 되면 작동하여 유체를 분출시킨다.

     정답 : []
     정답률 : 64%
     <문제 해설>
유체를 분출하는것은 안전밸브이다
[해설작성자 : 문열어치킨이야]

73. 터널가마에서 샌드 시일(sand seal)장치가 마련되어 있는 주된 이유는?
     1. 내화벽돌 조각이 아래로 떨어지는 것을 막기 위하여
     2. 열 절연의 역할을 하기 위하여
     3. 찬바람이 가마 내로 들어가지 않도록 하기 위하여
     4. 요차를 잘 움직이게 하기 위하여

     정답 : []
     정답률 : 67%
     <문제 해설>
샌드실 = 고온부의 열이 레일이 위치한 저온부로 이동하지않도록 하기위하여 설치하는것으로 열절연의 역할을 한다
[해설작성자 : 박진호]

74. 다음 중 중성내화물에 속하는 것은?
     1. 납석질 내화물
     2. 고알루미나질 내화물
     3. 반규석질 내화물
     4. 샤모트질 내화물

     정답 : []
     정답률 : 72%
     <문제 해설>
내화물의 분류 및 종류
1.    산성 내화물:규석질 내화물,반규석질 내화물,납석질 내화물,샤모트질 내화물
2.염기성 내화물:마그네시아 내화물,불소성 마그네시아 내화물,개량마그네시아 내화물,포스 체라이트 내화물,마그크로질 내화물, 돌로마이트질 내화물
3.    중성 내화물:고알루미나질 내화물,탄화규소질 내화물,크롬질 내화물,탄소질 내화물,
4.부정형 내화물:캐스터블 내화물,플라스틱 내화물,레밍믹스,내화피복제,내화몰타르
[해설작성자 : 꼬마전기]

75. 보온재 내 공기 이외의 가스를 사용하는 경우 가스분자량이 공기의 분자량보다 적으면 보온재의 열전도율의 변화는?
     1. 동일하다.
     2. 낮아진다.
     3. 높아진다.
     4. 높아지다가 낮아진다.

     정답 : []
     정답률 : 58%
     <문제 해설>
기체의 경우 분자량이 작을수록 열전도율은 높아진다.
[해설작성자 : 윤종이]

76. 다음 중 고온용 보온재가 아닌 것은?
     1. 우모펠트
     2. 규산칼슘
     3. 세라믹화이버
     4. 펄라이트

     정답 : []
     정답률 : 71%
     <문제 해설>
우모펠트는 저온에서 사용하는 유기질 보온재이다.
[해설작성자 : 우유]

유기질 보온재 종류
- 우모펠트
- 폴리우레탄
- 폴리에틸렌

77. 연속가마, 반연속가마, 불연속가마의 구분 방식은 어떤 것인가?
     1. 온도상승 속도
     2. 사용목적
     3. 조업방식
     4. 전열방식

     정답 : []
     정답률 : 81%

78. 에너지이용 합리화법에 따라 인정검사 대상기기 조종자의 교육을 이수한 자의 조종 범위에 해당하지 않는 것은?
     1. 용량이 3t/h인 노통 연관식 보일러
     2. 압력용기
     3. 온수를 발생하는 보일러로서 용량이 300kW인 것
     4. 증기 보일러로서 최고사용 압력이 0.5MPa이고 전열면적이 9m2인 것

     정답 : []
     정답률 : 49%
     <문제 해설>
에너지이용 합리화법에 따라 인정검사 대상기기 조종자의 교육을 이수한 자의 조종 범위
1. 증기보일러로서 최고사용압력이 1Mpa이하이고, 전열면적이 10제곱미터 이하인 것
2. 온수발생 및 열매체를 가열하는 보일러로서 용량이 581.5 킬로와트 이하인 것
3. 압력용기
[해설작성자 : 지끼미]

79. 보온재의 열전도율에 대한 설명으로 틀린 것은?
     1. 재료의 두께가 두꺼울수록 열전도율이 낮아진다.
     2. 재료의 밀도가 클수록 열전도율이 낮아진다.
     3. 재료의 온도가 낮을수록 열전도율이 낮아진다.
     4. 재질 내 수분이 적을수록 열전도율이 낮아진다.

     정답 : []
     정답률 : 71%
     <문제 해설>
밀도와 열전도율은 서로 비례한다.
[해설작성자 : 승현님.]

재료의 밀도가 클수록 열전도율이 커진다.
재료의 밀도가 작을수록 열전도율이 작아진다.
[해설작성자 : 규세펄]

80. 에너지이용 합리화법에 따라 검사 대상기기 조종자의 해임신고는 신고 사유가 발생한 날로부터 며칠 이내에 하여야 하는가?
     1. 15일
     2. 20일
     3. 30일
     4. 60일

     정답 : []
     정답률 : 75%
     <문제 해설>
검사대상기기 관리자의 선임신고 - 에너지이용 합리화법 시행규칙 제31조의28
검사대상기기의 설치자는 검사대상기기 관리자를 선임,해임하거나 검사대상기기 관리자가 퇴직한 경우에는 신고 사유가 발생한 날부터 30일 이내에 공단이사장에게 해야 한다.
[해설작성자 : 규]

81. 다음 [보기]에서 설명하는 보일러 보존방법은?

    

     1. 석회밀폐 건조보존법
     2. 만수보존법
     3. 질소가스 봉입보존법
     4. 가열건조법

     정답 : []
     정답률 : 65%
     <문제 해설>
장기보존법 : 소다만수 보존법, 질소가스 봉입, 석회밀폐 건조보존법
단기보존법 : 보통만수법, 가열건조법

석회밀폐 보존법
먼저 보일러 내외부를 깨끗이 정비한 후 외부에서 습기가 스며들지 않게 조치한 후,
노내에 장작불 등을 피워 충분히 건조시킨 후 생석회나 실리카켈등을 보일러내에 집어넣는다.
[해설작성자 : 숯불석회]

82. 다음 중 인젝터의 시동순서로 옳은 것은?

    

     1. ㉱ → ㉰ → ㉯ → ㉮
     2. ㉯ → ㉰ → ㉮ → ㉱
     3. ㉰ → ㉯ → ㉱ → ㉮
     4. ㉱ → ㉰ → ㉮ → ㉯

     정답 : []
     정답률 : 75%

83. 보일러 사고의 원인 중 제작상의 원인으로 가장 거리가 먼 것은?
     1. 재료불량
     2. 구조 및 설계불량
     3. 용접불량
     4. 급수처리불량

     정답 : []
     정답률 : 81%

84. 바이메탈 트랩에 대한 설명으로 옳은 것은?
     1. 배기능력이 탁월하다.
     2. 과열증기에도 사용할 수 있다.
     3. 개폐온도의 차가 적다.
     4. 밸브폐색의 우려가 있다.

     정답 : []
     정답률 : 49%
     <문제 해설>
온도조절 트랩 - 바이메탈 트랩 - 배기 능력이 탁월하다
[해설작성자 : comcbt.com 이용자]

1] 증기와 등축수의 온도차를 이용
2] 구조상 고압에 적당
3] 배기능력 탁월
4] 배압이 높아도 작동 가능
5] 드레인 배출온도 변화
6] 증기누출x
7] 밸브 폐색x
8] 과열증기 사용불가
9] 개폐온도차가 크다
[해설작성자 : 원조로미]

바이메탈은 두 개의 다른 금속이 접합된 자동 온도조절 장치입니다.
[해설작성자 : 숯불석회]

85. 증기 10t/h를 이용하는 보일러의 에너지 진단 결과가 아래 표와 같다. 이 때, 공기비 개선을 통한 에너지 절감률(%)은?

    

     1. 1.6
     2. 2.1
     3. 2.8
     4. 3.2

     정답 : []
     정답률 : 41%
     <문제 해설>
열 손실 = 공기비*이론공기량*비열*△t
공기비 조절전
(1.8 x 10.696) x (0.31) x (110-20) = 537 kcal
공기비 조절후
공기 조절 후 손실 열
(1.1 x 10.696) x (0.31) x (110-20) = 328 kcal
절감율 조절전-조절후 / 입열량 * 100%
(537 - 328 / 9800)* 100% = 2.13%
[해설작성자 : 승현님.]

배기가스량 Gw=mAo
1)공기비 조절전 배기가스 손실열
    Q1 = Gw X C X (배기가스온도 - 송풍온도)
         = (1.8 X 10.696) X 0.31 X (110 -20) = 537.153(Kcal/Kg)

2)공기비 조절후 배기가스 손실열
    Q2 = Gw X C X (배기가스온도 - 송풍온도)
         = (1.1 X 10.696) X 0.31 X (110 -20) = 328.260(Kcal/Kg)

3) 에너지 절감율 : 입열량에 대한 공기비 개선 전후의 손실열량 비율
절감율 : (배기가스 손실열차이/입열량) X 100
                    ((537.153 - 328.260)/9800 )X100 = 2.131 %
[해설작성자 : comcbt.com 이용자]

86. 물의 탁도(turbidity)에 대한 설명으로 옳은 것은?
     1. 증류수 1L 속에 정제카올린 lmg을 함유하고 있는 색과 동일한 색의 물은 탁도 1도의 물로 한다.
     2. 증류수 1L 속에 정제카올린 1g을 함유하고 있는 색과 동일한 색의 물을 탁도 1도의 물로 한다.
     3. 증류수 1L 속에 황산칼슘 1mg을 함유하고 있는 색과 동일한 색의 물을 탁도 1도의 물로 한다.
     4. 증류수 1L 속에 황산칼슘 1g을 함유하고 는 색과 동일한 색의 물을 탁도 1도의 물로 한다.

     정답 : []
     정답률 : 75%
     <문제 해설>
탁도 : 물의 흐림정도를 나타내는것으로 증류수 1 L당 고령토(kaolin)1mg함유
[해설작성자 : 아~몰라~~]

87. 열교환기에 입구와 출구의 온도차가 각각 △θʹ, △θʺ일 때 대수평균 온도차(△θm)의 식은? (단, △θʹ>△θʺ이다.)
     1.
     2.
     3.
     4.

     정답 : []
     정답률 : 61%

88. 히트파이프의 열교환기에 대한 설명으로 틀린 것은?
     1. 열저항이 적어 낮은 온도차에서도 열회수가 가능
     2. 전열면적을 크게 하기 위해 핀튜브를 사용
     3. 수평, 수직, 경사구조로 설치 가능
     4. 별도 구동장치의 동력이 필요

     정답 : []
     정답률 : 68%
     <문제 해설>
열저항이 적어 낮은 온도차에서도 열회수가 가능.
전열면적을 크게 하기 위해 핀튜브를 사용.
수평, 수직, 경사구조로 설치 가능.
별도 구동장치의 동력이 필요없다.
진공으로 된 내부에 열매체를 봉입한 구조.
[해설작성자 : matroosCH]

일반적으로 히트파이프 열교환기 중심에 위치한 중간 칸막이는 2개의 역류기류를 분리합니다.
기본적인 히트파이프는 구동부분이 없으므로 외부전원이 필요 없으며, 특별한 유지보수가 필요 없습니다.
[해설작성자 : 바이배기탁월]

89. 보일러의 증발량이 20 ton/h 이고, 보일러 본체의 전열면적이 450m2 일 때, 보일러의 증발률(kg/m2 ㆍ h)은?
     1. 24
     2. 34
     3. 44
     4. 54

     정답 : []
     정답률 : 64%
     <문제 해설>
증발률
= 매시 실제증기발생량 / 전열면적
= (20×1000)/450
= 44.444[kg/m^2•h]
정답은 3번
[해설작성자 : 제발합격]

90. 해수 마그네시아 정전 반응을 바르게 나타낸 식은?
     1. 3MgO+2SiO2⋅2H2O+3CO2 → 3MgCO2+25O2+2H2O
     2. CaCO3+MgCO3→CaMg(CO2)2
     3. CaMg(CO2)2+MgCO2→2MgCO3+CaCO3
     4. MgCO3+Ca(OH)2→Mg(OH)2+CaCO3

     정답 : []
     정답률 : 60%
     <문제 해설>
해수 마그네시아 정전 반응
MgCO3+Ca(OH)2→Mg(OH)2+CaCO3
[해설작성자 : 바이배기탁월]

91. 육용강제 보일러에서 길이 스테이 또는 정사스테이를 핀 이음으로 부착할 경우, 스테이휠 부분의 단면적은 스테이 소요 단면적의 얼마 이상으로 하여야 하는가?
     1. 1.0배
     2. 1.25배
     3. 1.5배
     4. 1.75배

     정답 : []
     정답률 : 64%

92. 보일러와 압력용기에서 일반적으로 사용되는 계산식에 의해 산정되는 두께에 부식여유를 포함한 두께를 무엇이라 하는가?
     1. 계산 두께
     2. 실제 두께
     3. 최소 두께
     4. 최대 두께

     정답 : []
     정답률 : 73%
     <문제 해설>
계산 두께: 검사기준의 계산식에 의해 산정되는 두께 (부식여유 X)
최소 두께: 검사기준의 계산식에 의해 산정되는 두께 (부식여유 O: 부식 + 마모)
실제 두께: 실제로 측정한 두께
[해설작성자 : matroosCH]

93. 원수(原水) 중의 용존 산소를 제거할 목적으로 사용되는 약제가 아닌 것은?
     1. 탄닌
     2. 히드라진
     3. 아황산나트륨
     4. 폴리아미드

     정답 : []
     정답률 : 62%
     <문제 해설>
폴리아미드(Polyamide)는 내수성, 내약품성이 뛰어나
포밍(거품) 방지제로 사용된다.
[해설작성자 : 강판효율]

94. 지름이 5cm인 강관(50W/mㆍK) 내에 98K의 온수가 0.3m/s로 흐를 때, 온수의 열전달계수(W/m2ㆍK)는? (단, 온수의 열전도도는 0.68W/mㆍK이고, Nm수(Nusselt mumber)는 160이다.)
     1. 1238
     2. 2176
     3. 3184
     4. 4232

     정답 : []
     정답률 : 45%
     <문제 해설>
(열전도도/지름) * NU수
(0.68/0.05) * 160 = 2176
[해설작성자 : 대협천재]

온수열전달계수=k/D X Nu수
k:열전달계수
D: 직경
Nu
[해설작성자 : 아~몰라~~]

온수열전달계수=k/D X Nu수
k:열전달계수
D: 직경
Nu :너셀넘버

α= (k/D) X Nu = (0.68/0.05) X 160 = 2,176 (W/m2K)
[해설작성자 : comcbt.com 이용자]

0.68
ㅡㅡㅡ * 160
0.05
=2176
[해설작성자 : 바이배기탁월]

95. 맞대기 용접은 용접방법에 따라 그루브를 만들어야 한다. 판 두께 10mm에 할 수 있는 그루브의 형상이 아닌 것은?
     1. V형
     2. R형
     3. H형
     4. J형

     정답 : []
     정답률 : 75%
     <문제 해설>
H형 :20~30mm초과하는 판에 사용

96. 저압용으로 내식성이 크고, 청소하기 쉬운 구조이며, 증기압이 2kg/cm2 이하의 경우에 사용되는 절탄기는?
     1. 강관식
     2. 이중관식
     3. 주철관식
     4. 황동관식

     정답 : []
     정답률 : 67%
     <문제 해설>
강관식 = 고압용 절탄기
주철관식 = 저압용 절탄기
[해설작성자 : 원조로미]

주철관식 : 저압용, 내식성 크고 청소하기 쉬운구조, 증기압이 2kg/cm^2이하
[해설작성자 : 저압주철]

97. 육용강제 보일러에서 오목면에 압력을 받는 스테이가 없는 접시형 경판으로 노통을 설치할 경우, 경판의 최소 두께(mm)를 구하는 식으로 옳은 것은? (단, P : 최고 사용압력(kg/cm2), R : 접시모양 경판의 중앙부에서의 내면 반지름(mm), σa : 재료의 허용 인장응력(kg/mm2), : 경판자체의 이음효율, A : 부식여유(mm)이다.)
     1.
     2.
     3.
     4.

     정답 : []
     정답률 : 70%
     <문제 해설>
         PR
t=ㅡㅡㅡㅡㅡ+A
     150ean
[해설작성자 : 저압주철]

98. 급수처리에서 양질의 급수를 얻을 수 있으나 비용이 많이 들어 보급수의 양이 적은 보일러 또는 선박보일러에서 해수로부터 철수를 얻고자 할 때 주로 사용하는 급수처리 방법은?
     1. 증류법
     2. 여과법
     3. 석회소다법
     4. 이온교환법

     정답 : []
     정답률 : 75%
     <문제 해설>
증류법 : 비용이 많이 들고 바다의 선박일러에서    사용하는 급수처리법 (양질의 급수처리)
[해설작성자 : comcbt.com 이용자]

증류법은 가장 오래된 담수화 기술
바닷물을 수증기가 되는 온도 이상으로 가열해서 순수한 물만 증발시키는 방법
[해설작성자 : 해수증류]

99. 다음 중 기수분리의 방법에 따른 분류로 가장 거리가 먼 것은?
     1. 장애판을 이용한 것
     2. 그물을 이용한 것
     3. 방향전환을 이용한 것
     4. 압력을 이용한 것

     정답 : []
     정답률 : 62%
     <문제 해설>
○ 기수 분리 방법에 따른 분류
1. 장애판(스크러버)를 이용한것
2. 방향 전환을 이용한것
3. 원심력을 이용한것
4. 1,2,3의 조합을 이루는 것
[해설작성자 : 라둥파파]

100. 노통 보일러이 평형 노통을 일체형으로 제작하면 강도가 약해지는 결점이 있다. 이러한 결점을 보완하기 위하여 몇 개의 플랜지형 노통으로 제작하는 데 이 때의 이음부를 무엇이라 하는가?
     1. 브리징 스페이스
     2. 가세트 스테이
     3. 평형 조인트
     4. 아담슨 조인트

     정답 : []
     정답률 : 62%
     <문제 해설>
브리징 스페이스 : 노통 보일러와 가셋 스테이에 두는 틈새
[해설작성자 : 승현님.]

Adamson 조인트 : 노통보일러에서 열팽창 흡수 역할을 하는 이음
[해설작성자 : 라둥파파]

아담슨 조인트 - 평형노통의 약한 단점을 보환하기 위하여 약 1m 정도의 노통 거리마다 접합한다.
[해설작성자 : 해수증류]


정 답 지

1

2

3

4

5

6

7

8

9

10

11

12

13

14

15

16

17

18

19

20

21

22

23

24

25

26

27

28

29

30

31

32

33

34

35

36

37

38

39

40

41

42

43

44

45

46

47

48

49

50

51

52

53

54

55

56

57

58

59

60

61

62

63

64

65

66

67

68

69

70

71

72

73

74

75

76

77

78

79

80

81

82

83

84

85

86

87

88

89

90

91

92

93

94

95

96

97

98

99

100

에너지관리기사 필기 기출문제(해설) 및 CBT 2018년04월28일을 이용해 주셔서 감사합니다.
, 필기, 기출문제, 전자문제집, CBT, 온라인, 모의테스트, 모의고사



List of Articles
번호 제목 글쓴이 날짜 조회 수
9132 설비보전기사(구) 필기 기출문제(해설) 및 CBT 2016년10월01일(1978) 좋은아빠되기 2025.11.25 2
9131 설비보전기사(구) 필기 기출문제(해설) 및 CBT 2016년05월08일(1977) 좋은아빠되기 2025.11.25 3
9130 설비보전기사(구) 필기 기출문제(해설) 및 CBT 2015년09월19일(1976) 좋은아빠되기 2025.11.25 1
9129 설비보전기사(구) 필기 기출문제(해설) 및 CBT 2015년05월31일(1975) 좋은아빠되기 2025.11.25 3
9128 설비보전기사(구) 필기 기출문제(해설) 및 CBT 2014년09월20일(1974) 좋은아빠되기 2025.11.25 2
9127 설비보전기사(구) 필기 기출문제(해설) 및 CBT 2014년05월25일(1973) 좋은아빠되기 2025.11.25 4
9126 설비보전기사(구) 필기 기출문제(해설) 및 CBT 2013년09월28일(1972) 좋은아빠되기 2025.11.25 1
9125 설비보전기사(구) 필기 기출문제(해설) 및 CBT 2012년09월15일(1971) 좋은아빠되기 2025.11.25 4
9124 설비보전기사(구) 필기 기출문제(해설) 및 CBT 2011년10월02일(1970) 좋은아빠되기 2025.11.25 2
9123 설비보전기사(구) 필기 기출문제(해설) 및 CBT 2010년09월05일(1969) 좋은아빠되기 2025.11.25 3
9122 설비보전기사(구) 필기 기출문제(해설) 및 CBT 2009년08월30일(1968) 좋은아빠되기 2025.11.25 1
9121 설비보전기사(구) 필기 기출문제(해설) 및 CBT 2008년09월07일(1967) 좋은아빠되기 2025.11.25 3
9120 설비보전기사(구) 필기 기출문제(해설) 및 CBT 2007년09월02일(1966) 좋은아빠되기 2025.11.25 2
9119 설비보전기사(구) 필기 기출문제(해설) 및 CBT 2006년09월10일(1965) 좋은아빠되기 2025.11.25 3
9118 에너지관리기사 필기 기출문제(해설) 및 CBT 2018년09월15일(1964) 좋은아빠되기 2025.11.25 1
» 에너지관리기사 필기 기출문제(해설) 및 CBT 2018년04월28일(1963) 좋은아빠되기 2025.11.25 3
9116 에너지관리기사 필기 기출문제(해설) 및 CBT 2018년03월04일(1962) 좋은아빠되기 2025.11.25 3
9115 에너지관리기사 필기 기출문제(해설) 및 CBT 2017년09월23일(1961) 좋은아빠되기 2025.11.25 4
9114 에너지관리기사 필기 기출문제(해설) 및 CBT 2017년05월07일(1960) 좋은아빠되기 2025.11.25 1
9113 에너지관리기사 필기 기출문제(해설) 및 CBT 2017년03월05일(1959) 좋은아빠되기 2025.11.25 3
Board Pagination Prev 1 ... 405 406 407 408 409 410 411 412 413 414 ... 866 Next
/ 866